Стратегии найма персонала на коммерческом предприятии

  • Вид работы:
    Дипломная (ВКР)
  • Предмет:
    Менеджмент
  • Язык:
    Русский
    ,
    Формат файла:
    MS Word
    261,27 Кб
  • Опубликовано:
    2012-06-24
Вы можете узнать стоимость помощи в написании студенческой работы.
Помощь в написании работы, которую точно примут!

Стратегии найма персонала на коммерческом предприятии

Введение

Построение рекрутинговой функции начинается с понимания целей и задач системы найма в компании, а также определения основной стратегии компании. Для этого необходимо внимательно разобраться с особенностями бизнеса данной организации, определяющими формирование ее штатной структуры, выявить характеристики потенциального рынка труда в секторе данного бизнеса. Например, компания предоставляет банковские услуги, рынок труда банковских специалистов является узкоспециализированным и редко пополняется за счет производственного сектора или сектора торговли, но может обмениваться специалистами с рынком инвестиционных компаний. Производственные и торговые рынки труда зачастую сегментированы по специализации бизнеса (алкогольный, фармацевтический), но могут пересекаться в области FMCG. Разбираясь с ситуацией на рынках труда, мы должны отобрать для себя потенциальные ниши, где в дальнейшем сможем искать специалистов.

Важно уточнить общую стратегию развития компании, в которой мы будем выстраивать систему найма. Если это низкомаржинальный бизнес, придерживающийся стратегии минимизации издержек и формирующий прибыль за счет увеличения масштабов бизнеса, то мы будем работать с тем сегментом рынка труда, который связан со средним и нижним диапазоном заработных плат, и, соответственно, минимизацию издержек должны учесть в собственных технологиях найма. Если же деятельность компании связана с дорогой продукцией (проектами), требующей высочайшей квалификации и уникальности специалистов, то необходима иная стратегия найма и другой уровень стоимости кадрового ресурса. Бывают и более сложные ситуации, например в научно-исследовательских институтах; сочетание высокой квалификации с низким уровнем оплаты труда приводит к необходимости подбирать молодых и неопытных специалистов и обеспечивать их подготовку в компании, при этом в подборе нам важно разглядеть потенциал кандидатов, чтобы деньги, вложенные в их дальнейшее внутреннее развитие, принесли ожидаемый результат.

Этим обусловлена актуальность выбранной темы исследования - стратегии найма персонала на коммерческом предприятии.

К главным факторам, определяющим успешную деятельность предприятия обслуживания, относятся:

высокая квалификация, подготовка сотрудников и их мотивация;

обеспечение постоянного качества работы;

имидж предприятия обслуживания, влияющий на выбор клиента, покупающего его услугу.

Решение о принятии на работу, согласно оценкам специалистов, акция не только существенная, но и имеющая далеко идущие последствия. Актуальность выбранной темы работы заключается также в том, что в эффективности процесса отбора кадров и приема на работу заинтересованы как общество в целом, так и отдельные предприятия, конкретные индивиды.

В соответствии с этим целью настоящего дипломного проекта является разработка рекомендаций по совершенствованию стратегии найма персонала коммерческого предприятия.

Задачами работы являются:

1)   изучение теоретических основ отбора персонала на замещение вакантных должностей;

2)      анализ деятельности предприятия

)        анализ существующего процесса отбора и найма персонала на ЗАО «Связной-Логистика»

)        выявление проблем и постановка задач для проекта системы совершенствования отбора персонала;

)        разработка рекомендаций по совершенствованию стратегии найма персонала и оценка их эффективности.

Объектом наблюдения является малое предприятие ЗАО «Связной-Логистика».

Предмет исследований в работе - процесс обеспечения организации кадрами.

В соответствии с поставленной целью и задачами дипломного проекта:

в 1 главе дипломного проекта исследованы теоретические основы процесса отбора и найма сотрудников на коммерческом предприятии;

во 2 главе проведен анализ существующей системы найма персонала в фирме ЗАО «Связной-Логистика»;

в 3 главе разработан проект совершенствования системы отбора персонала на ЗАО «Связной-Логистика».

При выполнении работы использовались труды таких авторов как: Кибанова А.Я., Шекшни С.В., Галенко В.П.. Магуры М.И., Курбатовой М.Б., Дураковой И.Б., Деркача А.А и других.

Список использованных источников включает 29 наименований.

 

1. Теоретические подходы к разработке стратегии найма персонала

1.1 Значение стратегии найма персонала в общей стратегии управления персоналом


На уровне предприятия необходимость усиленного внимания к качеству рабочей силы диктуется существующей рыночной конъюнктурой. В современных условиях высокой степени конкуренции на рынке выигрывает тот, у кого выше качество обслуживания, качество выпускаемого продукта, выше производительность труда, эффективнее управление предприятием, привлекательнее разделяемые корпоративные ценности, а эти показатели напрямую зависят от качества работающего персонала. По этой причине между работодателями наблюдается состязательность за привлечение в свою фирму работников.

Lester C. Thurow в своей книге "Формирование неравенства" ("Generating inequality") развил концепцию "трудовой очереди" (labor queue) или "конкуренцию труда" (job competition), основывающуюся на предположении о том, что работодатели ранжируют нанимаемых в соответствии с уровнем их профессиональной подготовки. Согласно Thurow, когнитивные трудовые навыки не приобретаются до того момента, пока рабочий не войдет на рынок труда, но они в значительной степени реализуются на месте работы. Работодатель формируют трудовую очередь, в которой потенциальные сотрудники ранжируются в показателях относительной их обучаемости для доступных мест работы. Комплекс фоновых характеристик, включающий формальное образование, опыт работы, свойства личности, возраст, пол, раса и другое, используется работодателем для определения для каждого рабочего соответствующего места в трудовой очереди. Таким образом, "лучшим" потенциальным сотрудником является тот, кто, по мнению работодателя, может быть обучен для заданной работы с наименьшими затратами, то есть с минимальными инвестициями на подготовку данного работника по сравнению с другими. Те, кто оказывается наиболее обучаем, будут первыми выбранными для доступной "входной" должности на внутреннем рынке, дающей возможность продвижения по внутренним "карьерным лестницам".[21, с. 145]

Итак, процесс найма рассматривается как инвестиционное решение работодателя, способное снизить его затраты на обучение персонала в будущем.

Однако, человек, ищущий работу, кроме того, что встает сам в условную "трудовую очередь", в другую "очередь" он выстраивает своих потенциальных работодателей, иными словами, он сегментирует работодателей.

Выделение отдельных сегментов осуществляются по различным признакам и критериям. Самый простой способ сегментировать работодателей - согласно предлагаемому уровню оплаты труда. Однако часто люди также заинтересованы в неденежных аспектах своей работы. И. Фишер называл такого рода доход психическим. Допуская, что работник выбирает место работать исходя из совокупности внешних факторов, таких как заработная плата, и внутренних - "психических", при этом перевес в ту или иную сторону зависит от самого работника.

Как и в концепции "трудовой очереди" Thurow, потенциальные работодатели, для ищущих работу работников, представляют собой отдельные разрозненные сегменты, то есть существует несколько разрозненных "очередей" работодателей, обладающие сходными характеристиками.

Таким образом, практически, на рынке противостоят друг другу не только два экономических агента "работодатели - рабочие", а множество различных агентов, дифференцированных по сегментам и мотивам деятельности, и для каждого из этих экономических агентов процесс найма является инвестиционным решением и несет важные социально-экономические последствия.

Найм персонала фирмой служит важнейшим индикатором последующей стратегии фирмы в области обучение персонала, иными словами, является стратегическим инвестиционным решением, при этом снижение затрат на обучение в период после найма возможно при условии, что затраты фирмы на найм (в том числе, на процесс "фильтрации") больше нуля, и они способны обеспечить поиск и отбор работников, соответствующих по квалификации долгосрочной стратегии фирмы. Политика найма определяет целый ряд эффектов, которые могут либо существенно усилить организацию, либо создать для нее критическую ситуацию. Ошибки найма относятся к числу наиболее дорогостоящих, особенно если речь идет о найме квалифицированных рабочих.

Для индивидов процесс найма также является инвестиционным решением, так как поведение работников на рынке труда и решение об инвестициях в человеческий капитал определяется, исходя из поведения потенциальных работодателей на рынке труда, а также для обеспечения собственного конкурентного преимущества перед другими работниками на рынке труда. [16, с.64]

Индивидуум осуществляет инвестиции в человеческий капитал, преследуя три цели:

1)   увеличить свою предполагаемую заработную плату в будущем (теория человеческого капитала)

2)   подает положительный "сигнал" работодателю, который для найма фильтрует рабочую силу (теория сигналов)

3)   присоединяется к "трудовой очереди", занимая при этом наибольший из возможных рангов (теория "трудовой очереди").

Таким образом, рынок труда представляет собой отдельные разрозненные сегменты потенциальных работников и работодателей, то есть существует несколько разрозненных "очередей" работодателей и работников, каждая из которых обладает сходными характеристиками. Процесс найма приводит к совпадению отдельных "очередей" работников и "очередей" работодателей.

Какие же основные стратегии поведения фирмы, в области найма, можно выделить, избирая в качестве критерия классификации стратегий объем инвестиций в человеческий капитал.

Отметим, что с точки зрения теории человеческого капитала, под человеческим капиталом на уровне предприятий понимается совокупность навыков, умений, способностей, квалификаций и интеллектуального потенциала персонала, обеспечивающих получение прибыли. Рабочая сила в соответствии с теорией человеческого капитала рассматривается как средство производства, требующее капиталовложений с целью повышения производительности. "Производственная подготовка, с точки зрения теоретиков человеческого капитала, охватывает как формальное обучение внутри фирм, так и накопление опыта непосредственно по ходу трудовой деятельности или неформальная подготовка".

Стратегия персонала представляет собой совокупность целей и пути их достижения, объединенных в семь направлений - найма, адаптации, кадрового мониторинга, мотивации и стимулирования, обучения и развития, а также политику взаимодействия. [16, с. 75]

При приеме сотрудников на работу, фирма оценивает необходимые в них инвестиции, а также определяет, какую прибыль будет получать компания в результате работы каждого из них. Но вместе с тем, нужно оценить затраты, которые необходимо вложить в их обучение, чтобы новый персонал приносил максимальную пользу организации. Стоимость любого специалиста на рынке труда состоит из таких компонентов, как заработная плата, временной ресурс для адаптации, мотивационный пакет, обучение.

Основные виды стратегий найма персонала представлены в табл. 1.1.

Таблица 1.1 - Стратегии найма персонала

Стретегия

Ресурсы

Характеристика

Стратегия найма работников, не требующих инвестиций

Неквалифицированный труд

Обычно найм неквалифицированных рабочих не требует вложений в процесс найма

Стратегия найма готовых специалистов, не требующих инвестиций

Квалифицированный труд, при этом уровень квалификации достаточный или избыточный для выполнения функциональных обязанностей на рабочем месте

Эта стратегия предполагает найм опытного специалиста, который не требует дополнительных временных и финансовых затрат на свое обучение или переквалификацию, и самостоятельно приступает к своим обязанностям и сразу приносит прибыль в компанию, но, с другой стороны, фирма увеличивает расходы на его зарплату и мотивационный пакет

Стратегия найма работников, требующих инвестиций для работы в будущем на своем же рабочем месте

Квалифицированный труд, при этом уровень квалификации достаточный или избыточный для выполнения функциональных обязанностей на рабочем месте

В этой стратегии возможно три варианта: фирма сама оплачивает необходимое дополнительное обучение работника, работник сам оплачивает дополнительное обучение работодатель увольняет рабочего, квалификация, которого не удовлетворяет его требованиям, и на его место нанимает другого работника с достаточной квалификацией

Стратегия найма работников, требующих инвестиций, для карьерного роста внутри компании

Четвертая стратегия предполагает, что специалиста подготавливают на предприятии

В работника инвестируется не только время на адаптацию, расходы на заработную плату, мотивационные блага, в том числе и средства на его обучение (курсы, тренинги, прикрепление наставника и т. п.), кроме того нужно отметить, что возможность карьерного роста сама по себе является мотиватором для квалифицированного работника. В результате организация получает лояльного квалифицированного специалиста, подготовленного “под конкретную компанию”

Комбинированная стратегия найма

Предполагает использование нескольких стратегий

Обычно используется отдельно стратегия найма неквалифицированных рабочих, где затраты на процесс найма и отбора минимальны или отсутствуют, и стратегия найма квалифицированных рабочих, где требуются вложения в процесс найма


Каждая стратегия найма имеет положительные и отрицательные характеристики и выбор стратегии найма работников фирмой зависит от ее организационной формы, от сферы деятельности, от менеджмента, от организационной культуры, от финансового положения фирмы, от факторов внешней среды, и стратегии могут меняться исходя из ситуации.

Отметим основные особенности применения фирмами в России политики найма и развития персонала.

Использование "диплома", в качестве сигнала работодателям в России требует некоторых оговорок. Если предположить, что все-таки дипломы и различные образовательные сертификаты служат сигналом для работодателя, и на них, прежде всего, обращается внимание при отборе работников, то нужно ввести различия между так, называемыми "дешевыми" и "дорогими" дипломами и сертификатами, в зависимости от качества образования, количества прикладываемых усилий при обучении, сложности программ в разных ВУЗах и на разных дополнительных программах обучения.

Таким образом, сертификат (диплом) о профессиональном образовании выполняет важные сигнальные функции о “качестве” соискателя. Сильная дифференциация в авторитетности учебного заведения означает, что значительная доля молодых специалистов, выходящих на рынок труда, оказывается в уязвимом положении, поскольку подтверждающие их дипломы плохо котируются среди работодателей. Другими словами, такие дипломы не являются авторитетным сигналом “качества” и, следовательно, делают возможным найм лишь при понижении возможной заработной платы выпускников относительно зарплаты выпускников более престижных учебных заведений.[28,с.147]

Для начала приведем несколько определений понятия «отбор персонала» различных авторов:

Отбор персонала - это серия мероприятий и действий, осуществляемых предприятием или организацией для выявления из списка заявителей лица или лиц, наилучшим образом подходящих для вакантного места работы. [15,с.10]

Отбор персонала - процесс изучения психологических и профессиональных качеств претендента с целью установления его пригодности к выполнению обязанностей на определенном рабочем месте или должности и выбора из совокупности претендентов наиболее подходящего с учетом соответствия его квалификации, специальности и способностей характеру деятельности, интересам организации и его самого. [18,с.114]

Отбор персонала - оценка профессионально-важных деловых и иных качеств кандидатов на вакантные должности: выбор лучших из резерва, созданного в ходе вербовки. [25,с.89]

Основные критерии, по которым фирма выбирает сотрудников для прохождения обучения можно разделить на четыре основных группы:

) по мере необходимости (чаще всего это касается служб бухгалтерии);

) по желанию и инициативе работника, с расчетом на повышение по службе;

) по стажу (например, прохождение аттестации каждые пять лет);

) комплекс критериев: уровень квалификации, перспективность, должность, стаж и другие критерии.

Таким образом, "существует противоречие между, с одной стороны, возросшими при переходе к рыночным отношениям потребностями экономики и экономически активного населения в профессиональном развитии личности и человеческих ресурсов в целом и недостаточности финансирования дополнительного образования в условиях отсутствия активной деятельности государства по формированию устойчивых источников его финансирования и, с другой стороны, преимущественно общественными затратами на формирование существующего кадрового потенциала экономики при частнособственническом характере присвоения результатов его использования без осуществления или недостаточности инвестиций на воспроизводство этого потенциала" [28,с.101]

На рисунке 1.1 представлены этапы стратегии найма персонала

Рис. 1.1. Этапы найма персонала

Следует отметить, что в ряде случаев инвестиции в человеческий капитал не осуществляются из-за отсутствия у руководителей фирм и компаний осознания целесообразности и эффективности затрат на обучения персонала. Выгоды в будущем имеют меньшую ценность по сравнению с такими же выгодами, получаемыми сегодня. Люди склонны выше оценивать определенную сумму денег или набор благ в настоящее время, чем такую же сумму или набор благ в будущем. Значит, работодателей, которые потенциально готовы вкладывать деньги в образования персонала, может неоправданно оттолкнуть риск, с которым они могут столкнуться, если бы им пришлось отказаться от части своей прибыли сегодня ради возможности более высокой прибыли завтра.

Похожие результаты были получены в ходе исследования, проведенные Национальным фондом подготовки управленческих кадров РФ, показали, что "основными барьерами на пути реформирования промышленных предприятий являются неразвитость внутрифирменного обучения персонала и неподготовленность управленческих кадров среднего и низового управленческого уровня, а также специалистов и рабочих кадров к реализации новейших проектов. Существовавшая ранее на предприятиях система внутрипроизводственного обучения в массе своей в настоящее время либо разрушена, либо прекратила развиваться, и не соответствует требованиям к квалификации кадров. Реальная практика свидетельствует о том, что лишь единицы предприятий серьезно занимаются этой проблемой. На многих из них не сформирована политика в сфере профессионального обучения персонала. Работники кадровых служб практически не владеют современными методами организации внутрифирменного обучения персонала, не обладают знаниями основ психологии и педагогики образования взрослых" [16,с.139].

Таким образом, у российских фирм краткосрочная политика найма превалирует над долгосрочным планированием, то есть существует несоответствие между долгосрочными стратегическими целями компании и краткосрочными оперативными целями.

Правительство не ведет активной политики в области стимулирования развития персонала предприятиями. Хотя положительные тенденции в этой области прослеживаются. Так в 25 главе Налогового Кодекса РФ снят норматив расходов на подготовку и переподготовку кадров, который составлял не более 4% расходов на оплату труда работников, включаемых в себестоимость продукции (работ, услуг).

В России работодатель может включать в расходы на повышение квалификации и переподготовку денежные суммы, которые он считает необходимым потратить на непрерывное образование своих сотрудников и специалистов в соответствии с профилем деятельности предприятия. Однако обязанности работодателя вкладывать денежные средства в развитие человеческого капитала законодательно не закреплены, не предусмотрено нижней границы финансирования, отсутствуют также соответствующие стимулы, поэтому зачастую ему более выгодно брать высококвалифицированных специалистов и по мере устаревания их знаний, ухудшения профессиональных и деловых качеств заменять на новых подготовленных специалистов. Таким образом, существующее законодательство России косвенно способствует формированию практики хищнического использования накопленного кадрового потенциала, то есть использования работодателями текучести кадров для сокращения затрат на обучение и переобучение персонала.[16,с.154]

Однако, Министерство образования Российской Федерации приказом от 22.05.2001 N 2111 создала Координационный совет по повышению квалификации и переподготовке руководителей и специалистов, в целях совершенствования управления и координации деятельности в области дополнительного профессионального образования, обеспечения согласованности действий органов государственного управления в решении проблем повышения квалификации и профессиональной переподготовки кадров на территории Российской Федерации, определения приоритетных направлений развития дополнительного профессионального образования. Одним из основных направлений работы данного Координационного совета является как раз оказание содействие в развитии корпоративного (внутрифирменного) обучения кадров. Важной проблемой, которую должен решить Координационный совет, это развитие законодательной и нормативной базы для внутрифирменного профессионального обучения, которая способствовала бы возрождению такого обучения на большинстве предприятий России.

Еще одна проблема фирм, не имеющих внутренней системы внутрипроизводственного обучения и стратегии персонала - это удержание персонала. Так более половины респодентов, проходящих обучения за свои деньги и одновременно работающих, собираются после окончание учебной программы перейти на другое место работы в другую фирмы, около четверти надеются на повышение, при этом больше трех четвертей из обучающихся за свои счет работают в данной фирме менее трех лет.

Данный факт свидетельствует о том, что фирме выгоднее увольнять рабочих, если они их квалификация начинает не соответствовать требованиям рабочего места, и нанимать нового работника с нужными характеристиками. Иными словами, у фирмы существует возможность сэкономить на затратах на персонал, в свою очередь государство не стимулирует предпринимателей к удержанию и развитию персонала организаций, таким образом оно поощряет использование работодателями экстенсивных факторов развития, а не интенсивных.

Поэтому, работодателям часто выгодно, чтобы работник обучался за свой счет, увеличивая свой специфический капитал, что, однако приводит к риску "оппортунистического" поведения со стороны работника, который склонен перейти на другое место работы после получения дополнительного образования [20,с.149].

"Основным потребителем рабочей силы в России является негосударственный сектор, на долю которого приходится более 87% занятых в экономике. Прибыль собственников составляет более 50% всего валового внутреннего продукта Российской Федерации, в то время как в экономически развитых странах не более 20%. Прибыль формируется, в основном, за счет использования труда квалифицированного персонала, подготовленного на средства общества в годы, предшествующие началу рыночных преобразований. При этом, большинство “владельцев и руководителей организаций считают, что в современных условиях нет смысла тратиться на обучение персонала, проще нанять работника требуемой квалификации", особенно последнее актуально, если рассматривать данную проблему совместно с "образовательной экспансией" [21,с.240].

Необходимо совершенствовать организационные формы предоставления и потребления образовательных услуг и их устойчивого финансирования. Предъявление качественно новых требований к профессиональному развитию персонала в условиях маркетинговой концепции делает необходимой переподготовку и повышение квалификации практически всех работников, а сложившееся на сегодняшний день ситуация не может этого обеспечить.

Таким образом, когда предприятие принимает решения о найме, оно определяет свою дальнейшую политику в области обучения и переобучение персонала. Выбор той или иной стратегии найма зависит главным образом от поведения потенциальных работников на рынке труда и образования, а также ситуационных факторов микро и макросреды предприятия таких, как экономическая ситуация в стране, конкурентная среда предприятия, правовое регулирование, демографические факторы. Для лучшей адаптации к условиям рыночной экономики предприятию часто необходимо использовать комбинированную стратегию найма персонала, что, прежде всего, связано с технологией и характером производства, которые предполагают использование труда работников разной квалификации.

 

1.2 Основные принципы построения стратегии найма персонала


Для того чтобы построить эффективную систему отбора и найма персонала, прежде всего, важно понять ее определение и место в общей системе управления персоналом, т.к. отбор кадров должен быть увязан со всеми другими функциями управления персоналом. Отбор персонала является одним из ключевых элементов кадровой политики любой организации (государственной или коммерческой).

При организации отбора кадров принято руководствоваться следующими принципами:

. Ориентация на сильные, а не на слабые стороны человека и поиск не идеальных кандидатов, которых в природе не существует, а наиболее подходящих для данной должности. Он прекращается, если несколько человек не удовлетворяют предъявленным требованиям, поскольку, скорее всего, сами требования завышены и их нужно пересматривать.

. Отказ в приеме новых работников независимо от квалификации и личных качеств, если потребности в них нет.

. Обеспечение соответствия индивидуальных качеств претендента требованиям, предъявляемым содержанием работы (образование, стаж, опыт, а в ряде случаев пол, возраст, здоровье, психологическое состояние).

. Ориентация на наиболее квалифицированные кадры (хороший специалист, сколько бы ему не платили, всегда обходиться дешевле, чем плохой), но не более высокой квалификации, чем это требует рабочее место [14,с.58].

В литературе по управлению персоналом выделяются четыре основных положения, которые следует иметь в виду при поиске и отборе персонала:

. Поиск и отбор кадров не должны рассматриваться как просто нахождение подходящего человека для выполнения конкретной работы; поиск и отбор должны быть увязаны с общим контекстом кадрового плана и со всеми существующими программами, реализуемыми в сфере управления персоналом.

. Необходимо принимать во внимание не только уровень профессиональной компетенции кандидатов, но и то, как новые работники будут вписываться в культурную и социальную структуру организации. Организация больше потеряет, чем приобретает, если наймет на работу технически грамотного человека, но не способного устанавливать хорошие взаимоотношения с товарищами по работе, с клиентами или поставщиками, или подрывающего установленные нормы и порядки.

. Необходим полный учет всех требований трудового законодательства и обеспечения справедливого подхода ко всем кандидатам и претендентам на должность.

. Отбор персонала необходимо отличать от подбора персонала. В процессе отбора происходит поиск людей под установленные требования, должности, вида деятельности, решения других задач работы с персоналом. При подборе же осуществляется поиск, идентификация требований различных должностей, видов деятельности с известными возможностями, профессиональным опытом, стажем, способностями человека [4,с.41].

Из вышеизложенного можно сделать вывод, что существуют следующие условия успешного отбора:

. Ясное представление о тех параметрах (квалификационных и личных), которыми должен обладать искомый сотрудник.

. Сбор, анализ и сравнение информации, следовательно, привлечение необходимых сотрудников для этого со специальными качествами. Определение минимально необходимого количества лиц, участвующих в оценке претендентов (не ограничено только сотрудниками организации).

. Необходимо определить круг реальных потенциально пригодных кандидатов, т.е. определены те сегменты рынка, где могут находиться данные кандидаты.

Научно-методические принципы найма персонала представлены в таблице1.2.

Таблица 1.2 - Принципы найма персонала

Принцип

Содержание принципа

Комплектность

Всестороннее исследование и оценка личности кандидата (изучение биографических данных, профессиональной карьеры, уровня профессиональных знаний и умений, деловых и личных качеств, состояния здоровья, мнения коллег о нем)

Объективность

Повторяемость результатов оценки указанных качеств кандидата при повторных отборах, а также сведение к минимуму влияния субъективного мнения консультанта, принимающего окончательное решение

Непрерывность

Постоянная работа по вербовке и отбору лучших специалистов, формирование кадрового резерва для руководящих должностей

Научность

Использование в процессе подготовки и проведения найма последних научных достижений и новейших технологий


Научно-методический обоснованный найм кадров позволяет избежать главной и широко распространенной ошибки - субъективности оценки кандидата, сильного влияния первого впечатления о человеке на последующее решение о его приеме на работу.

Схема найма работника в организацию приведена на рисунке 1.2

 

Рис. 1.2. Схема найма персонала

Состав мероприятий при приеме на работу :

-    Предварительная беседа поступающего на работу и руководителя соответствующего подразделения;

-       Изучение и проверка объективных данных поступающего на работу;

-       Проверка документов поступающего на работу (паспорт, трудовая книжка, документы об образовании, рекомендации ВТЭК для инвалидов, медицинское заключение для принимаемых на тяжелые работы, прочие документы);

-       Беседа с начальником отдела кадров для оценки возможности и правомерности приема на работу (причины предыдущего увольнения, мотивы поступления на работу, состояние здоровья, состав семьи, место жительства, жилищные условия, требования поступающего на работу;

-    Собеседование в кадровой комиссии Совета предприятия для поступающих на руководящие должности;

-       Беседа с руководителем подразделения;

-       Инструктаж поступающего сотрудником отдела кадров о правилах внутреннего распорядка, режима труда, ознакомление с условиями коллективного договора и другими условиями работы в организации;

-       Подготовка трудового договора-заявления или контракта;

-       Согласование условий договора или контракта в подразделениях предприятия;

-       Подготовка и оформление приказа о зачислении на работу;

-       Подготовка сведений для личной картотеки;

-       Формирование личного дела поступающего на работу;

-       Инструктаж по технике безопасности и противопожарной безопасности, производственной санитарии;

-       Особый контроль за работающим в период испытательного срока;

-       Подготовка заключения руководителем подразделения по результатам работы в период испытательного срока.

Комплексный подход к поиску и отбору персонала предполагает решение следующих задач:

. Определение потребности в персонале с учетом основных целей организации.

. Получение точной информации о том, какие требования к работнику предъявляет вакантная должность.

. Установление квалификационных требований, необходимых для успешного выполнения работы.

. Определение личностных и деловых качеств, необходимых для эффективного выполнения данной работы, которые могут рассматриваться в качестве критериев при оценке кандидатов.

. Поиск возможных источников кадрового пополнения и выбора адекватных методов привлечения подходящих кандидатов.

. Определение того, какие методы отбора кадров позволяют лучше всего оценить пригодность кандидатов к работе в данной должности.

. Обеспечение оптимальных условий для адаптации новых работников в организации [4,с.55].

Для успешного отбора первостепенное значение имеет определение критериев, на основании которых будет приниматься решение о преимуществах тех или иных соискателей.

Поиск работников для замещения вакантных должностей может осуществляться как за счет внутренних ресурсов организации, так и за счет внешних источников. Внутренний отбор используется для заполнения вакансий за счет работников организации; внешний отбор - для заполнения вакансий привлекаются кандидаты со стороны [6,с.277].

Для того чтобы удовлетворять поставленным целям, процесс отбора персонала должен осуществляться в соответствии с четкими правилами. Эта технология должна быть хорошо формализована, оформлена процедурно и подкреплена соответствующими положениями, инструкциями и т.д. [10,с.115].

Итак, процесс отбора персонала исторически сложился давно, но, изменяясь со временем, он приобрел систему, основные понятия, формы и функции. Сейчас без современных подходов к отбору персонала не обходится ни одна фирма, предприятие, которое считает себя конкурентоспособным.

Крайне редко в организациях используется такой метод отбора как конкурс на замещение вакантных должностей. Хотя он считается одним из инновационных методов работы с персоналом, который обеспечивает соревновательный и открытый характер используемых процедур, гласность результатов, при этом сохраняет необходимую конфиденциальность, что позволяет ослабить остроту возможных социальных конфликтов, связанных с кадровыми процессами.

Конкурс - это такая процедура организации набора персонала, которая, с одной стороны, дает возможность получения максимума информации об уровне профессиональной подготовленности, деловых и личностных качествах претендентов на занятие должности, а, с другой - задает порядок объективного сопоставления кандидатов между собой.

Конкурс дает возможность конкурсантам не только проявить свои способности, имеющиеся и потенциальные, но и продемонстрировать свою готовность занять определенную должность через определение целей и понимание своей будущей деятельности, что позволяет более точно прогнозировать успешность его работы на новом месте.

Необходимо также обратить внимание на то, что проведение конкурса не может состояться без обязательных его элементов:[27,с.218]

наличие более двух претендентов, выставляющих свою кандидатуру на конкурс;

конкурсная комиссия, которой предоставляется право на основе положения о проведении конкурса выбрать приемы и методы его проведения;

механизмы оценки достоинств конкурсантов и принятия решения по итогам конкурса;

механизмы информирования общественности о ходе и результатах конкурса.

Все мероприятия в процессе подготовки и проведения конкурса могут быть отнесены к одному из трех возможных его этапов (табл. 1.3) [26,с.201].

Таблица 1.3 - Этапы конкурса

Этапы конкурса

Содержание

Подготовительный

процесс создания конкурса

Основной

процесс сбора информации о кандидатах

Заключительный

процесс легитимизации результатов конкурса


В ходе первого этапа проводится вся подготовительная работа. В центре этого этапа - процесс создания конкурса (формирование организационных структур, правил, процедур проведения, профессиональной и материально-технической базы, происходит первичный отбор кандидатов).

Первый этап продолжается с момента принятия решения о проведении конкурса до утверждения окончательного списка кандидатов.

В ходе второго - основного - этапа собирается информация о профессиональной подготовленности, деловых и личностных качествах кандидатов в ходе проведения отдельных методов, на основании которых готовятся заключения о конкурсантах, и подводятся итоги в баллах. После окончания каждого из подэтапов конкурсная комиссия принимает решение о допуске/недопуске конкурсанта к участию в следующем подэтапе [9,с.95].

В ходе третьего этапа подводятся итоги конкурса:

конкурсной комиссией анализируется и сопоставляется между собой информация по кандидатам;

принимается решение о назначении на должности;

решение о назначении доводится до сведения кандидатов;

заключаются трудовые контракты.

При разработке конкурсных процедур необходимо внимательно подходить к выбору методов оценки кандидатов, позволяющих наиболее объективно оценить профессиональные, деловые и личностные качества кандидатов.

В основе системы кадрового обеспечения лежат различные мероприятия. Схематично систему кадрового обеспечения организации можно представить следующим образом (рис. 1.2).

От того, как произведен отбор, и какие люди приняты для работы в организации, зависит вся ее последующая деятельность. Поэтому, чтобы повысить эффективность организации необходимо более серьезно и детально подходить к вопросу построения системы кадрового отбора.

Содержание этапа отбора кандидатов на должность во многом зависит от традиций, особенностей (культуры) организации, принимающей новых сотрудников, а также характера должности, на которую подбирается кандидат. В общем виде данный этап может быть представлен следующим образом (рис. 1.3)

Первичный отбор начинается с анализа списка кандидатов с точки зрения их соответствия требованиям организации к будущему сотруднику. Основная цель первичного отбора состоит в отсеивании кандидатов, не обладающих набором характеристик, необходимых для занятия вакантной должности. Методы первичного отбора зависят от бюджета, стратегии, культуры организации. Наиболее распространенными в настоящее время являются - анализ анкетных данных, тестирование, экспертиза почерка [13,с.32].

Рис. 1.4 Этапы отборочного тура [28,с.184]

Привлекательность анализа почерка как метода первичного отбора кандидатов заключается в низких издержках, однако он отличается односторонним подходом и содержит в себе высокую степень риска неадекватной оценки потенциала кандидатов. Поэтому он может использоваться в качестве одного из методов первичного отбора, не имеющего решающего значения.

Стадия первичного отбора, независимо от применяемых методов, завершается созданием ограниченного списка кандидатов, наиболее соответствующих требованиям организации.

На следующем этапе кадровая служба проводит индивидуальные собеседования с отобранными кандидатами.

Цель собеседований заключается в оценке степени соответствия кандидата портрету идеального сотрудника, его способности выполнять требования должностной инструкции, потенциала профессионального роста и развития, способности адаптироваться в организации, знакомстве с ожиданиями кандидата в отношении организации, условий работы, ее оплаты и т.п [18,с.214].

Существуют разновидности собеседований с кандидатами:

«один на один»;

руководитель и несколько кандидатов;

несколько представителей организации беседуют с одним кандидатом.

Выбор типов собеседований зависит от традиций организации, особенностей кандидата, вакантной должности, индивидуального предпочтения проводящего собеседование сотрудника. Результаты собеседования должны быть зафиксированы документально. Заключение проводившего собеседование сотрудника передается руководителю подразделения, располагающего вакансией, который и принимает решение о дальнейших действиях в отношении данного кандидата [18,с.145].

Для того чтобы лучше оценить профессиональные и личные качества кандидата организации могут обратиться за информацией к людям и организациям, знающим его по учебе, совместной работе, занятиям спортом и т.п. Однако, в обоих случаях - устной и письменной рекомендации, существует проблема получения объективной информации.

Собеседование с руководителем подразделения должно позволить оценить, прежде всего, профессиональные качества кандидата, его способности выполнять производственные задачи. Одновременно руководитель оценивает степень своей личной профессиональной совместимости с кандидатом и вероятность успешной интеграции последнего в подразделение. Кроме того, руководитель предоставляет кандидату детальную информацию о своем подразделении, вакантной должности, функциях, которые придется выполнять кандидату в случае его приема на работу. Результаты собеседования фиксируются руководителем.

На основе анализа результатов собеседования руководитель подразделения выбирает кандидата, который, по его мнению, наиболее подходит для данной должности.

В последнее время большое распространение получает практика приема на работу с испытательным сроком, дающая возможность оценить кандидата непосредственно на рабочем месте без принятия на себя обязательств по его постоянному трудоустройству. Этот метод предоставляет объективную основу для решения, которое принимает в конце испытательного периода руководитель - принять или не принять кандидата на постоянную работу [19,с.348].

Таким образом, можно отметить, что отбор и прием персонала на работу представляет собой довольно длительный и дорогостоящий процесс. Поэтому, руководству и специалистам кадровой службы необходимо уделять большое внимание процессу подготовки и формирования мероприятий, которые будут осуществляться в процессе отбора, чтобы повысить эффективность данного процесса.

Преимущества и недостатки внешних и внутренних источников привлечения персонала приведены в табл. 1.4.

Наем персонала за счет внутренних источников во многом зависит от кадровой политики администрации организации в целом. Разумное использование имеющихся людских ресурсов может позволить организации обойтись без нового набора.

Из внешних источников найма в нашей стране набольшее распространение получили следующие источники найма:

люди, случайно зашедшие в поисках работы;

объявления в газетах;

средние школы, колледжи, лицеи, техникумы, профессионально-технические училища, высшие учебные заведения;

службы по трудоустройству;

частные агентства по найму;

объявления по радио и телевидению и др.

Таблица 1.4 - Преимущества и недостатки внешних и внутренних источников привлечения персонала

Преимущества привлечения

Недостатки привлечения

Внешние источники привлечения персонала

Более широкие возможности выбора. Появление новых импульсов для развития организации Новый человек, как правило, легко добивается признания. Прием на работу покрывает абсолютную потребность в кадрах. Меньшая угроза возникает интриг внутри организации

Более высокие затраты на привлечение кадров. Высокий удельный вес работников, принимаемых со стороны, способствует росту текучести кадров. Ухудшается социально-психологический климат в организации среди давно работающих. Высокая степень риска при прохождении испытательного срока. Плохое знание организации. Длительный период адаптации. Блокирование возможностей служебного роста для работников организации. Нового работника плохо знают в организации

Внутренние источники привлечения персонала

Появление шансов для служебного роста молодых кадров предприятия Повышение степени привязанности к организации. Улучшение социально-психологического климата на производстве. Низкие затраты на привлечение кадров. Претендентов на должность хорошо знают в организации. Претендент на должность знает данную организацию. Сохранение уровня оплаты труда, сложившегося в данной организации (претендент со стороны может предъявить более высокие требования в отношении оплаты труда по сравнению с существующей на рынке труда в данный момент) организации

Ограничение возможности для выбора кадров. Возможны напряженность или соперничество в коллективе в случае появления нескольких претендентов на должность руководителя. Появление панибратства при решении деловых вопросов, так как только вчера претендент на должность руководителя был наравне с коллегами. Нежелание отказать в чем-либо сотруднику, имеющему большой стаж работы в данной организации


Существуют разные источники найма персонала, у каждого свои достоинства и недостатки. Каким воспользоваться - выбор конкретной организации. Зависит он от ос специфики и объемов деятельности конкретного предприятия.


1.3 Методы и подходы к отбору и найму персонала


Для того чтобы построить эффективную систему отбора и найма персонала, прежде всего, важно понять ее определение и место в общей системе управления персоналом, т.к. отбор кадров должен быть увязан со всеми другими функциями управления персоналом.

Цель найма персонала состоит в создании резерва кандидатов на все рабочие места с учетом, в том числе и будущих организационных и кадровых изменений, увольнений, перемещений, уходов на пенсию, окончаний сроков контрактов, изменений направлений и характера производственной деятельности.

Если говорить кратко, то задача службы персонала состоит в осуществлении контроля за соответствием кадрового состава организации стоящим перед ней производственными задачами.

Различают понятия «набор» и «найм кадров». Набор кадров - массовое привлечение на работу персонала в какую-либо организацию. Набор кадров предполагает системный подход к реализации нескольких этапов, осуществляемых в рамках процесса найма персонала:

1.   Общий анализ потребности (настоящей и будущей) в кадрах;

2.      Формулирование требований к персоналу - точное определение того, кто нужен организации, путем анализа работы (рабочего места, должности), подготовки описания этой работы, а также определение сроков и условий набора;

.        Определение основных источников поступлений кандидатов;

.        Выбор методик оценки и отбора кадров

Найм на работу - это ряд действий, направленных на привлечение кандидатов, обладающих качествами, необходимыми для достижения целей, поставленных организацией. Это комплекс организационных мероприятий, включающий все этапы набора кадров, а также оценку, отбор кадров и прием сотрудников на работу.

Таблица 1.5 - Основные методы первичного отбора

Метод

Характеристика

Анализ анкетных данных

проводится анализ информации, содержащейся в заполненных кандидатами анкетах, сравнивая фактические данные с собственной моделью

Тестирование

Помогает более точно определить сегодняшнее состояние кандидата с точки зрения его соответствия требованиям, предъявляемым к вакантной должности, а также потенциала развития

Экспертиза почерка

Является своеобразной разновидностью тестирования, требующей значительно более низких затрат


Некоторые специалисты в области управления персоналом рассматривают этот процесс до окончания этапа введения в должность, т.е. до того момента, когда новые сотрудники органично впишутся в конкретный трудовой коллектив и организацию в целом.

Найм кадров в организациях осуществляют работники отдела кадров (менеджеры по персоналу).

Ключевым звеном в процессе найма персонала можно назвать определение адекватных требований к кандидатам. Хорошей основой для разработки таких требований является специальное психологическое исследование - профессиография, технология изучения требований профессии к личным и деловым качествам, профессиональным знаниям и умениям. Объем, глубина и детальность их изучения зависят от заказа руководства фирмы. Результатом является профессиограмма.

В современных условиях получило развитие такое направление профессиографии, как акмеография. Акмеографический подход, базируясь на продуктивных основах профессиографии, охватывает, кроме ролевых характеристик персонала, и субъективные стороны его труда: профессиональные позиции, индивидуальные особенности деятельности. Примечательной особенностью акмеографического подхода выступает его ориентированность на выявление и продуктивное развитие творческого потенциала человека.

В практике отбора кандидатов используются следующие методы:

-    анализ заявительных документов;

-       собеседования (интервью);

-       тестирование;

-       медицинский срок;

-       испытательный срок.

Отбор с помощью заявительных документов, к числу которых относятся следующие:

.     Письменное заявление.

2.      Автобиография - резюме.

.        Свидетельства.

.        Анкеты.

.        Характеристики.

.        Рекомендательные письма.

В письменном заявлении более чем в других документах ощущается личность кандидата, поскольку в нем есть возможность сообщить о своих желаниях относительно работы, обосновать смену рабочего места, объяснить причину обращения в эту, а не в другую организацию.

Автобиография или описание жизни в хронологическом порядке является наиболее важным документов для достаточно быстрого анализа профессионального и личностного развития и становления кандидата. Автобиографию можно использовать как основу для подготовки интервью.

В последние годы в практике отбора получили широкое распространение резюме.

Резюме - самохарактеристика - одно из самых эффективных средств саморекламы, самомаркетинг работника на рынке труда. рассылая свое резюме в соответствующие организации, кандидат резко повышает свои планы на успех.

Главная цель резюме - привлечь внимание к себе при первом заочном знакомстве, произвести приятное впечатление и побудить работодателя пригласить на личную встречу.

Отбор на основе различного рода свидетельств, изучение которых позволяет на основе содержащихся там оценок сделать предположение о пригодности кандидатов. К числу таких свидетельств относятся:

-    школьные свидетельства (аттестат об образовании);

-       свидетельства, удостоверяющие получение всех видов и форм послешкольного образования - различных курсов, профессиональных учебных заведений, которые подтверждают достижения кандидата в учебе, статус и престижность образовательного учреждения;

-       трудовые свидетельства, которые дают информацию о занятости кандидата, его достижениях, отношении к работе, недостатках (трудовая книжка или ее заверенная копия).

Обязательным инструментом отбора персонала на рабочие места являются персональные анкеты, которые содержат небольшой перечень вопросов, выявляющих семейноличностный и профессиональный статус претендента.

Одним из методов, используемых при отборе кандидатов, является справка о кандидате.

Более 90% решений по отбору кандидатов принимаются на основе собеседования (интервью), цель которого заключается в рассмотрении заявителя на предмет его соответствия требованиям должности.

Собеседование является двусторонним процессом - не только организация оценивает кандидата, но и кандидат оценивает организацию с точки зрения ее соответствия его собственным интересам и запросам (табл. 1.6).

Таблица 1.6 - Типы собеседований

Наименование

Характеристика

Биографические

строятся вокруг фактов из жизни кандидата, его прошлого опыта;

Ситуационное

кандидату предлагается решить одну или несколько проблем (практических ситуаций)

Критериальное 

кандидату задаются вопросы о том, что бы он сделал в определенной ситуации, а его ответ оценивают с точки зрения заранее выработанных критериев


Стадии собеседования по отбору на работу представлены в таблице 1.7

Таблица 1.7 - Стадии собеседования по отбору на работу

Наименование

Характеристика

предварительная подготовка

сотрудник, проводящий собеседование детально изучает интервью кандидата, определяет критерии оценки кандидата

«создание атмосферы доверия» 

необходимо дать кандидату возможность расслабиться и полностью продемонстрировать свои качества

основная часть

представляет обмен информацией между участниками собеседования

завершение

предложить кандидату задать последний вопрос

оценка кандидата

должна быть произведена непосредственно после собеседования

Существует несколько видов интервью, его эффективность во многом определяется способностями интервьюера и его подготовкой к проведению подобной беседы. Наиболее информативная беседа не предполагает использования схемы. Готовится лишь список тем, которые необходимо затронуть, а далее интервьюер, задавая наводящие вопросы, «выуживает» у кандидата всю необходимую ему информацию, определяет его знания, способности, умение ориентироваться в нестандартной ситуации [22,с.347].

Цель интервью - оценка профессионально важных деловых и личных качеств кандидата.

В практике используются разнообразные формы собеседования.

Тестирование, как метод отбора кандидатов, завоевывает в последнее время все большую популярность среди организаций не только за рубежом, но и в отечественной практике кадровой работы.

Тест представляет собой стандартизированный метод, используемый для измерения различных характеристик отдельных людей, в частности, кандидатов на занятие вакантной должности.

В процедуре отбора последним шагом является испытательный срок, цель установления которого заключается в практической проверке профессиональной пригодности нового работника. Порядок и сроки испытания регламентируются ТК РФ. Процедуру испытания следует четко определить, поставив перед работником конкретные задания. Полученные результаты оцениваются перед окончанием испытательного срока. Если работник не удовлетворяет предъявленным требованиям, его увольняют по ст.70 ТК РФ.

Наряду с традиционными методами отбора применяются также и нетрадиционные, такие как астрология, графология, физиогномика, хиромантия.

2. Анализ стратегии найма персонала на примере ЗАО «Связной-логистика»

2.1 Общая характеристика ЗАО «Связной»


Сеть салонов "Связной" является одной из ведущих фирм г.Новосибирска, специализирующихся на реализации услуг сотовых операторов и торговле персональными средствами связи (с возможностью подключения).

ЗАО «Связной-Логистика» - крупная российская сеть салонов сотовой связи - основана в январе 1995 года.

Ассортимент магазина более представляет собой более 1 000 наименований товаров.

Основные виды деятельности представлены на рисунке 2.1.

Рис. 2.1. Распределение выручки по видам деятельности

Абоненты могут пополнять свой лицевой счет - для чего используется специализированное программное обеспечение "Кибер-Плат", позволяющий переводить деньги практически мгновенно.

Основной целью деятельности предприятия является расширение рынка сотовой связи, а также извлечение прибыли.

Миссию предприятия салоном "Сязной" можно сформулировать следующим образом: максимальное удовлетворение потребностей самого широкого круга клиентов в услугах сотовой связи, отвечающих самым последним веяниям моды и способствующих максимальному сохранению здоровья каждого клиента на работе и в повседневной жизни, а также оказание консультационных услуг в данной области по самым приемлемым ценам, за счет применения новейших технологий и техники, индивидуального и чуткого подхода высоко квалифицированных в области техники работников к каждому клиенту и при обеспечении справедливого отношения к своим сотрудникам.

С учетом сформулированной салоном "Связной" миссии можно выделить следующие стратегические задачи, стоящие перед организацией:

) расширение круга предлагаемых услуг и продукции;

) постоянное обновление ассортимента мобильных телефонов;

) установление приемлемых цен на все виды продукции;

) поиск и внедрение новейших технологий и техники;

) борьба с конкурентами;

) повышение квалификации сотрудников;

) изучение потребностей потребителей.

С учетом выявленных стратегических задач для предприятия "Связной" сформулируем следующие цели:

) Увеличивать в течение 3 лет выручку от реализации каждого вида товаров сотовой связи, ежегодно на 50%.

) Разработать вопросы комплекса маркетинга для технических товаров.

) Проводить ежегодные маркетинговые исследования потребностей потребителей в новых видах продукции сотовой связи в течение 3 лет.

) Усовершенствовать структуру управления организацией.

) Повысить квалификацию всех работников, связанных с оказанием услуг и работой с клиентами.

) Снизить текучесть кадров на 5%.

) Увеличивать продвижение по службе на 10% ежегодно в течение 3 лет.

Салон "Связной" осуществляет свою деятельность в условиях активной конкуренции.

Поставка телефонов в компанию Связной происходит централизованного через компанию-партнера GSMLINE, которая предлагает оптовые поставки сотовых телефонов во все регионы России. В ассортименте компании насчитывается более 250 моделей сотовых телефонов, оплата производится по факту реализации, доставка техники происходит еженедельно железнодорожным транспортом.

Компания ЗАО «Связной-Логистика» - самостоятельная организация, ничего не производит. Суть процесса функционирования заключается в том, чтобы найти как можно больше партнёров, заключить договоры и продать продукцию.

Компания самостоятельно планирует свою деятельность и определяет перспективы развития, исходя из экономической эффективности для обеспечения производственного и социального развития организации, повышения личных доходов его работников. Основными видами деятельности предприятия являются: розничная торговля, торгово-закупочная и посредническая деятельность.

Источниками формирования имущества и финансовых средств является: доходы, полученные от реализации продукции, а также других видов хозяйственной деятельности; банковские и иные кредиты.

Прибыль, остающаяся у предприятия после уплаты налогов и обязательных платежей, находится в его распоряжении и расходуется им самостоятельно. Из остающейся прибыли образуются различные фонды.

Предприятие ведёт оперативный и бухгалтерский учёт результатов своей работы, ведёт статистическую отчётность.

Компания ЗАО «Связной-Логистика» несёт полную имущественную ответственность за нарушения договорных, кредитных, налоговых, расчётных операций.

Высшим органом управления ЗАО «Связной-Логистика» является собрание учредителей общества.

Структура организации - логическое взаимоотношение уровней управления и функциональных областей (планирование, мотивация, контроль и другие), построенных таким образом чтобы эффективно достигать целей организации. Главной функцией организационной структуры является координация и контроль. В рассматриваемом магазине применяется линейно-функциональная структура организации, представленная на рисунке 2.2.

Рис. 2.2. Организационная структура отдельного магазина ЗАО «Связной-Логистика»

При данной структуре управления сохраняется преимущество линейной структуры в виде принципа единоначалия, и преимущество функциональной структуры в виде специализации управления.

Применяя данную структуру магазину ЗАО «Связной-Логистика» свойственны следующие достоинства и недостатки.

Достоинства:

1)  эффективная работа в стабильных условиях;

2)      управленческий штаб не велик, и как следствие низкие управленческие расходы;

)        простые решения принимаются быстро, так как они находятся в компетенции одной службы;

)        фирма ориентирована на качество поставляемой продукции, а не на конкуренцию;

)        в основном используются ценовые факторы конкуренции.

)        Недостатки:

)        управление идет строго по приказу, не учитывая человеческий фактор;

)        затруднено движение информации. В рассматриваемой организации этот недостаток слабо проявляется из-за небольшой численности персонала и как следствие не большой разветвленности структуры организации.

При анализе численности и качественного состава работников ЗАО «Связной-Логистика» изучались его важнейшие структурные компоненты - профессионально-квалификационный потенциал - характеристики работников по профессиям, образованию, стажу, уровню квалификации, определение текучести кадров и ее причин.

Важной частью анализа численности работников является изучение структуры отдельных категорий работников в общей численности.

Для анализа выделяются три категории работников: руководители, специалисты и рабочие. Детальное изучение причин и характера изменений в составе работников позволяет наметить организационно-технические мероприятия по его улучшению. Изучение структуры кадров осуществляется путем сопоставления фактических и базисных удельных весов численности каждой категории работников в общей численности.

Численность работников по категориям в ЗАО «Связной-Логистика» представлена в табл. 2.1 и на рис. 2.3.

Таблица 2.1 - Численность работников по категориям в ЗАО «Связной-Логистика» в 2010-2011 гг.

Категории работников

На конец 2011 года


Чел.

Уд.вес

Чел.

Уд.вес

Среднесписочная численность всего

52

100

54

100

в том числе:





Руководители

9

17,4

9

15,8

Специалисты

14

26,9

15

29,0

Рабочие (экспедиторы, кладовщики)

29

55,7

30

55,2


Как видно из табл. 2.1, доля руководителей в 2011 году уменьшилась с 17,4 до 15,8 %. Более половины состава персонала на предприятии составляют рабочие специальности (55 % от общей численности). Абсолютная численность специалистов и рабочих увеличилась на 2 человека.

Рис. 2.3. Численность работников по категориям в ЗАО «Связной-Логистика» в 2010-2011 гг.

Распределение работников ЗАО «Связной-Логистика» по уровню образования показано в табл. 2.2 и на рис. 2.4.

Таблица 2.2 - Распределение работников предприятия по уровню образования, %

Образование

Всего

В том числе

 

 

руководители

специалисты

Рабочие

Высшее

56,5

100,0

80

18,0

Среднее специальное

19,0

-

20

33,8

Полное среднее

16,3

-

-

39,0

Неполное среднее

8,2

-

-

9,2

Итого

100,0

100,0

100,0

100,0


Рис. 2.4. Распределение работников ЗАО «Связной-Логистика» по уровню образования

Удельный вес руководителей и специалистов с высшим образованием достаточно высок: все руководители имеют высшее образование (100%), среди специалистов - 80%. Почти 34% такой категории как рабочие имеют среднее специальное образование. Среди этой категории работников 70% учатся в высших учебных заведениях.

Полное соответствие профессии полученному образованию отмечается только у 48% работников предприятия. В то же время 20% считают, что уровень их квалификации выше сложности выполняемой работы.

Распределение персонала предприятия по категориям в зависимости от возраста показано в табл. 2.3 и на рис. 2.5.

Таблица 2.3 - Распределение работников ЗАО «Связной-Логистика» по категориям в зависимости от возраста, %

Возраст, лет

Руководители

Специалисты

Рабочие

До 20

0

-

1,0

20-29

-

24,0

55,0

30-39

25,0

32,0

20,0

40 и старше

75,0

44,0

24,0

Итого

100,0

100,0

100,0


Рис. 2.5. Распределение работников ЗАО «Связной-Логистика» по категориям в зависимости от возраста

Как видно из табл. 2.5 и рис. 2.5, более половины состава персонала на предприятии составляют рабочие специальности (55% от общей численности).

Рассмотрим характеристику работников фирмы по стажу в зависимости от категории (табл. 2.4).

Таблица 2.4 - Характеристика работников предприятия по стажу, в зависимости от категории, %

Стаж, лет

Руководители

Специалисты

Рабочие

Менее 1

7

10,0

4,7

1-3

78,0

63,0

18,5

3-6

13,0

12,0

27,0

6 и более

2,0

15,0

11,5

Итого

100,0

100,0

100,0


Распределение рабочих по возрастным группам в зависимости от профессии показывает следующую картину. Около половины руководителей и специалистов составляют лица старше 40 лет (75 и 44% соответственно). Можно сделать вывод, что для предприятия характерна тенденция старения кадров. Анализ движения кадров ЗАО «Связной-Логистика» показан в табл. 2.5.

Таблица 2.5 - Движение кадров ЗАО «Связной-Логистика» за 2010-2011 годы

Показатели

2010 г

2011 г

Темпы роста (%)

Численность работников, занятых на начало года

48

50

104,17

Численность работников, занятых на конец года

50

54

108,0

Принято работников

21

16

76,19

Уволено работников

17

12

70,59

в том числе:




- на учебу

-

-

-

- на пенсию

2

3

150,0

- по собственному желанию

10

8

80,0

- по инициативе администрации

4

1

25,0

- по суду

1

-

-

Среднегодовая численность работников

52

54

103,8

Общий оборот, чел.

38

28

73,7

Коэффициент по приему

40,38%

29,63%


Коэффициент выбытия

32,69%

22,22%


Коэффициент текучести

28,8%

16,6%



При помощи коэффициента текучести кадров можно ориентировочно определить, насколько удовлетворен спрос, предъявляемый работником к предприятию, т.е. насколько конкурентоспособно предприятие на рынке труда с позиций удовлетворения потребностей персонала.

Как видно из таблицы коэффициент текучести кадров в 2010 г. выше, чем в 2011г. (28,8% и 16,6% соответственно), общий оборот рабочей силы уменьшился на 10 чел. или на 23,6%. Основная причина увольнения - по собственному желанию. Коэффициент текучести на предприятии можно назвать высоким (нормальным считается коэффициент текучести не превышающий 10 %). Значительное количество лиц в возрасте до 30 лет среди принятых на предприятие не изменяет сложившуюся ситуацию, так как среди уволенных также высок удельный вес молодежи, хотя в целом по предприятию показатель текучести кадров снизился по сравнению с 2010 годом. Это говорит о низкой закрепляемости молодежи на предприятии. Важно также отметить, что большинство персонала увольняется из предприятия, проработав в нем недолгое время, как правило, не более одного года. Это говорит о неэффективной системе управления персоналом, в частности, системы найма и отбора персонала.

Показатели деятельности магазина ЗАО «Связной-Логистика» за 2010-2011 годы представлены в таблице 2.6.

Себестоимость продукции в 2011 году росла опережающими темпами по отношению к выручке (рост 9% и 8% соответственно). В результате, уровень доходов от реализации сократился на 0,5%. Издержки обращения в 2011 году увеличились на 1728 тыс. руб., а уровень издержек обращения увеличился на 0,6%, что связано с увеличением транспортных расходов.

В результате снижения уровня доходов от реализации и роста уровня издержек обращения, несмотря на рост выручки, прибыль от реализации сократилась на 659 тыс. руб. и в 2011 году составила 6001 тыс. руб. рентабельность продаж сократилась на 1,1%.

Таблица 2.6 - Показатели деятельности ЗАО «Связной-Логистика» за 2010-2011 гг., тыс. руб.

Показатели

2010г

2011г

Темпы изменения -




+/-

%

Выручка от реализации товаров

99017

106969

7952

108

Себестоимость продукции

78898

85781

6883

109

Доходы от реализации

20119

21188

1069

105

Уровень доходов от реализации.%

20,3

19,8

-0,5

97

Издержки обращения

13459

15187

1728

113

Уровень издержки обращения.%

13,6

14,2

0,6

104

Прибыль от реализации

6660

6001

-659

90

Рентабельность продаж,%

6,7

5,6

-1,1

83

Прибыль от прочей реализации

127

92

-35

72

Прибыль от внереализационной деятельности

34

39

5

115

Прибыль до налогообложения

6821

6132

-689

90

Налог на прибыль

1637

1472

-165

90

Чистая прибыль

5184

4660

-524

90

Рентабельность,%

5,2

4,4

-0,9

83

Сумма основных фондов

4569

4687

118

103

Фондоотдача

21,7

22,8

1,2

105

Фондорентабельность

1,14

0,99

-0,15

86,8

Фондоемкость

0,046

0,044

-0,002

95


К основным факторам, влияющим на прибыль от реализации товаров, относятся: объем продаж, доходы от реализации товаров, издержки обращения.

Влияние изменения объема продаж в текущих ценах на прибыль от реализации товаров рассчитывается следующим образом:

 (1)

где ΔПОТ - изменение прибыли от реализации товара за счет изменения оборота торговли;

ОТ1, ОТ0 - объем оборота в предшествующем и отчетном периодах;

Уро - уровень рентабельности за предшествующий год.

ΔПОТ =(106969-99017)*6,7261/100=534,86 тыс.руб.

Рост оборота торговли ЗАО «Связной-Логистика» на 7952 тыс. руб. увеличил прибыль от реализации товаров на 534,9 тыс. руб.

На прибыль и рентабельность значительное влияние оказывают ценовые факторы. С ростом цен на товары увеличиваются объем продаж и сумма доходов от реализации товаров.

Изменение прибыли от торговой деятельности обусловлено влиянием цен и физического объема продаж. Влияние изменения цен на прибыль от реализации товаров рассчитывается по формуле:

 (2)

где ΔПр - изменение прибыли от реализации товаров за счет изменения цен;

ОТс - сопоставимый оборот.

Объем продаж в сопоставимых ценах в отчетном году составил:

/1,1= 97244,55 тыс. руб.

ΔПр =(106969-97244,55)*6,7261/100= 654,1 тыс. руб.

За счет роста цен на 10% прибыль возросла на 654,1 тыс. руб.

Влияние объема продаж в сопоставимых ценах (физического объема оборота) на прибыль от реализации товаров определяется следующей формулой:

 (3)

где ΔПОтс - изменение прибыли от реализации товаров за счет изменения объема продаж в сопоставимых ценах (физического объема оборота).

ΔПОтс =(97244,55-99017)* 6,7261/100= -119,2 тыс. руб.

Уменьшение физического объема продаж способствовало сокращению прибыли на 119,2 тыс. руб.

Таким образом, прирост прибыли от реализации товаров за счет увеличения товарооборота обусловлен исключительно инфляционными процессами.

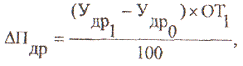
Влияние изменения уровня доходов от реализации товаров на прибыль можно рассчитать на основе следующей формулы:

 (4)

где ΔПдр - изменение прибыли от реализации товара за счет изменения уровня доходов от реализации;

Удр1 и Удр2 - уровень доходов от реализации товаров в предшествующем и отчетном периодах.

ΔПдр =-0,5111*106969/100 = -546,75 тыс.руб.

Снижение среднего уровня доходов от реализации товаров на 0,5% уменьшило прибыль в торговле на 546,8 тыс.руб.

Оценка влияния издержек обращения на прибыль может быть произведена следующим образом:

 (5)

где ΔПуио - изменение прибыли за счет изменения уровня издержек обращения;

Уио1 и Уио2 - уровень издержек обращения в отчетном и предшествующем периодах.

ΔПуио =-0,605*106969/100 = -647,12 тыс.руб.

Рост уровня издержек обращения на 0,61 % привел к снижению прибыли на 647,1 тыс. руб.

Общее влияние факторов на прибыль от реализации товаров представлено в таблице 2.7.

Таблица 2.7 - Влияние факторов на изменение прибыли от реализации товаров ЗАО «Связной-Логистика» в 2011 году

Факторы

Размер влияния факторов, тыс. руб.

Объем продаж всего, в т.ч.:

534,9

 - рост цен

654,1

- изменение физической массы товаров

-119,2

Доход от реализации товаров

-546,8

Издержки обращения

-647,1

Абсолютное изменение суммы прибыли от реализации

-659,0


Таким образом, единственный фактор, увеличивший прибыль от реализации - рост цен. Под влиянием всех остальных факторов прибыль от реализации снижалась.

Прибыль до налогообложения снизилась на 10% до 6132 тыс. руб. Факторы, повлиявшие ее снижение те же, что и на прибыль от реализации - опережающие рост себестоимости по отношению к выручке и повышение уровня издержек обращения.

Фондоотдача возросла на 5%. Причина - опережающий рост товарооборота (8%) к стоимости основных фондов (3%).

Фондорентабельность снизилась на 14% из-за снижения чистой прибыли на 10% при незначительном росте стоимости основных фондов.

Фондоемкость снизилась на 5%, т.к. выручка росла немного быстрее, чем стоимость основных фондов.

В целом результаты работы ЗАО «Связной-Логистика» в 2011 г. следует оценить позитивно, т.к. предприятию удалось сохранить большинство показателей на уровне 2010 г. несмотря на финансовый кризис, в то время как многие торговые предприятия Новосибирска обанкротились.

2.2 Анализ внешней и внутренней среды


Рынок, на котором работает компания, является высоконокурентным. В 2011 г. салоны сотовой связи Новосибирской области продали товаров и услуг, по приблизительным оценкам участников рынка, примерно на 7,5-10 млрд. руб. Но общие финансовые потоки, которыми управляют компании по объему значительно превышают локальный рынок и составляют, по меньшей мере, 20 млрд. руб, т.к. через Новосибирск проходят основные сделки по купли-продаже сотовых телефоном для соседних регионов. Оптимизируя оргструктуру, все федеральные сети объединили новосибирские подразделения с соседями, центром оставив Новосибирск. Например, «Евросеть» руководит из Новосибирска всеми 196 городами присутствия в 13 регионах СФО. Филиал «Беталинк», кроме Новосибирской области, отвечает за Алтайский край и Иркутскую область, «Телефон.Ру» - за Омскую, Томскую и Красноярскую области, «DИКСИС» - за Алтайский край, Кемеровскую область.

И по объему продаж, и по числу магазинов в Новосибирской области лидирует «Евросеть», ее доля рынка - около 30%. Компания первой из федеральных сетей вышла в Новосибирск, а затем набрала обороты с помощью рискованной стратегии: открывала на заемные деньги много магазинов, в то же время работала в формате дискаунтера и вела рекламные кампании с использованием нецензурных слоганов. Года два назад, чтобы получить бесплатный телефон, клиенты «Евросети» публично ныряли в ледяную воду, обнажались и раскрашивали свои тела, соревновались в продолжительности поцелуев и т.д. Сейчас период агрессивного захвата рынка прошел, и «вирусный» маркетинг сменили на более консервативный.

Основные конкуренты «Евросети» (102 магазина) в Новосибирской области - федералы «DИКСИС» (59 магазинов), «Связной», «Беталинк» (45) и «Телефон.Ру» (45), который не входит в «большую пятерку» российских сотовых ритейлеров, но имеет хорошо развитую сеть в Сибири. Также из федеральных игроков в Новосибирской области присутствуют сети салонов «Эльдорадо» (9) и «Ультра», ныне принадлежащая «Евросети». А одна из крупнейших федеральных сетей «Цифроград» представлена в объеме 48 магазинов.

Идентификация стратегий крупнейших участников рынка приведена в таблице 2.8

Таблица 2.8 - Стратегическая характеристика отрасли

Наименование

Стратегические планы

Цели по размерам рынка

 «Евросеть»

Быть лидером

Агрессивная экспансия путем приобретений и внутреннего роста

Стремление к ценовому лидерству

 «МТС»

Превзойти существующего лидера отрасли

Экспансия путем внутреннего роста

Преследование, основанное на дифференциации: по качеству, сервису, технологии

 «Мегафон»

Войти в лидирующую двойку

Экспансия путем приобретений

Преследование, основанное на дифференциации: по качеству диапазону, товаров, имиджу

 «Эльдорадо»

Сохранить позицию

Сохранение существующей доли

Фокусирование на рыночных нишах

«Телефон.Ру»

Только выживание

Расширение рынка с целью получения кратковременной прибыли

Фокусирование на рыночных нишах


Таким образом, в условиях высококонкурентного рынка и отсутствия фирм, занимающих значительную рыночную долю, игроки на рынке применяют всевозможные виды стратегий.

Таблица 2.9 - PEST-анализ для ЗАО «Связной-Логистика»

P - Политика

E - Экономика

1. Государственное регулирование предпринимательства и (или) конкуренции в данной отрасли. 2. Ужесточение требований в области защиты прав потребителей. 3. Изменение трудового кодекса РФ. 4.Ужесточение требований по уплате налогов, противопожарной безопасности

1. Стабилизация экономического положения: прогнозируемый уровень инфляции - 8-10%, ставки рефинансирования - 8%. 2.Снижение уровня безработицы за счет развития среднего бизнеса. 3. Кредитная политика благоприятна и открывает новые возможности для расширения бизнеса

S - Социум

T - Технология

1. Уровень жизни населения города растет, стабильно и довольно быстро. 2. Устойчивая тенденция европеизации. 3. Угроза ухода потребителей к новым конкурентам

1. Закупка нового оборудования для эффектной выставки товара и в тоже время для хранения части товара в торговом зале экономит средства и поможет привлечь новых потребителей. 2. НТП

стратегия найм персонал собеседование

В табл. 2.9 представлен PEST-анализ факторов внешней среды, оказывающих наибольшее влияние на деятельность ЗАО «Связной-Логистика».

Как видно из таблицы 2.9, основные политические факторы, влияния которых опасается ЗАО «Связной-Логистика» связаны с общей политической стабильностью (сменой власти, изменением законодательства). ЗАО «Связной-Логистика» опасается роста конкуренции на рынке.

Рост стоимости комплектующих, повышение инфляции может привести к финансовым затруднениям ЗАО «Связной-Логистика».

Среди социокультурных факторов, которые могут оказать положительное влияние на деятельность и развитие предприятия, можно выделить: повышение уровня благосостояние общества, увеличение спроса на продукцию.

Развитие технологий может оказать положительное влияние на деятельность фирмы, однако одновременно с этим существенно повысятся требования потребителей к качеству продукции и услуг.

Модель сил конкуренции Портера для рассматриваемого предприятия приведена на в таблице 2.10.

Таблица 2.10 - Анализ конкурентной среды на основе модели М. Портера

Конкурентная сила

Характеристика

1. Поставщики

Угроза со стороны данной силы - объединение поставщиков и установление ими высоких цен на материалы, сговор отдельных предприятий-поставщиков, прямая интеграция поставщиков в категорию потребителей. Поставщиками являются зарубежные предприятия. Возможные действия по ослаблению влияния данной силы - это заключение долгосрочных договоров, а также интеграция «назад»

2. Покупатели

Сила покупателей состоит в том, что они диктуют условия продажи и цену. У покупателя есть выбор и если данный продавец не соглашается на его условия и не идет на компромисс, покупатель делает выбор в пользу фирмы-конкурента. Кроме того, сговор фирм-конкурентов может привести к вытеснению фирмы с рынка, существует угроза обратной интеграции покупателей. Чтобы удержаться на рынке компания старается удовлетворять покупательский спрос. Благодаря такому важному преимуществу как умеренная цена на итальянские кожаные аксессуары известных брендов цена, имеет своих постоянных клиентов. Для того чтобы ослабить влияние силы покупателей необходимо: интеграция «вперед», дифференциация товаров, улучшение имиджа компании

3. Товары-заменители

Угроза появления аналогов продукции конкурентами с более лучшими качествами и по более низким ценам. Благодаря тому, что рынок весьма специфический, на нем существует очень мало товаров-заменителей. Они не составляют сильной конкуренции и не ослабляют позиций предприятий на рынке

4. Барьеры входа в отрасль

Создание стратегических альянсов между сильными конкурентами - повышение барьеров входа в отрасль, достижение конкурентами эффекта опыта, снижение издержек на НИОКР. Рынок кожаных аксессуаров является очень сложным. Вход на него новых предприятий затруднен очень высокими барьерами входа в отрасль и жесткой конкуренцией среди уже действующих на рынке фирм. Для укрепления позиций предприятия нужно увеличение сбыта

5. Конкуренция среди существующих фирм

Угроза заключается в объединении крупных конкурентов и ужесточении конкуренции. На рынке существует достаточно сильная конкуренция среди основных конкурентов. На рынке преобладает интенсивное соперничество между фирмами-конкурентами, т.к. действие фирм-конкурентов снижает среднюю прибыль в отрасли. Интенсивность конкуренции усиливается когда затраты покупателей, при переходе к потреблению продукции других фирм, невелики, когда условия хозяйствования в отрасли толкают фирмы на снижение цен. Влияние этой силы можно ослабить увеличением конкурентных преимуществ и доли на рынке в стратегическом плане


В достижении долгосрочной цели, поставленной перед предприятием - увеличение доли рынка необходимо использовать сильные стороны предприятия, высокая квалификация работников; хорошее финансовое положение предприятия. Прежде всего, ЗАО «Связной-Логистика» можно рекомендовать разработку эффективной системы управления персонала, в частности, отбора персонала. Известно, что основными факторами повышения конкурентоспособности предприятия является обеспеченность предприятия квалифицированной рабочей силой, степень ее мотивации.

Для анализа внутренней среды организации на основе SNW-подхода необходимо заполнить табл. 2.11. SNW-анализ внутренней среды ЗАО «Связной-Логистика» проводился методом экспертных оценок.

Исходя из представленных данных следует, что на предприятии в категории высшего звена работают сотрудники высокой квалификации, с богатым опытом работы. Однако предприятие испытывает дефицит рядовых сотрудников с опытом работы и ответственным отношением к выполняемым функциям.

ЗАО «Связной-Логистики» выбрало стратегию развития «Широкой дифференциации», так как компания нацелена на предоставление потребителям более широкого спектра товаров и услуг. Цель состоит в привлечении большего количества потребителей, благодаря предоставлению разнообразных товаров используя при этом для каждого потребителя индивидуальный подход. По итогам анализа на корпоративном уровне можно сделать вывод о разностороннем потенциале компании, с одной стороны имеются четкие цели и направления дальнейшего развития, что в условиях конкурентной среды является одним из наиважнейших факторов существования.

Таблица 2.11 - Стратегический SNW-анализ внутренней среды ЗАО «Связной-Логистика»

Наименование стратегической позиции

Количественная оценка

Комментарий

1. Стратегия организации

 80

Цели развития организации хорошо сформулированы, прописаны планы, руководство видит перспективы развития, цели, задачи и миссия предприятия хорошо сформулированы

2.Перспективность отрасли

75

Отрасль перспективна, рынки сбыта расширяются

3.Общее финансовое положение, в том числе:

50

Нормальное финансовое состояние с эпизодическими задержками платежей

3.1.Уровень бухгалтерского учета

60

Бухгалтерский учет ведется в соответствии с особенностями сферы деятельности организации

4.Конкурентоспособность продукции

85

Продукция высокого качества и отвечает требованиям рынка

5.Использование технологий

60

Широкое применение новых технологий, оборудования.

6.Уровень менеджмента

80

Состав топ-менеджмента имеет богатый опыт в области управления предприятиями

7.Известность товарного знака, политика брэндирования

80

Широко известен в регионе и за его пределами

7.1.Качество персонала

55

Нехватка опытных специалистов

7.2.Репутация на рынке

80

Организация зарекомендовала себя как надежного производителя и контрагента

8.Репутация как работодателя

55

Наблюдается высокий уровень текучести кадров


ЗАО «Связной-Логистика» работает в сегменте, где имеется уже множество конкурентов, многие из которых уже успели себя зарекомендовать, однако компания занимает лидирующие позиции. Позиции конкурентов довольно сильные, но, несмотря на это, компания предоставляет свои услуги большему кругу клиентов, делает индивидуальный подход к процессам взыскания для каждого клиента, функциональности предоставляемых услуг находится на высоте и удовлетворяет текущих и потенциальных клиентов.

Преимущество компании: гибкая система ценообразования на предоставляемые услуги, индивидуальный подход к каждому клиенту, высокое качество предоставляемых услуг.

Проблемы: высокий уровень текучести кадров; нехватка опытных специалистов.

Более детальный анализ сильных и слабых сторон предприятия представлен в таблице 2.12.

Таблица 2.12 - SWOT-анализ ЗАО «Связной-Логистика»


 Возможности (O) 1. Географическое положение - центр Новосибирска 2. Оказание комплексной услуги по перевозке грузов - автомобиль + грузчики

 Угрозы (T) 1. Усиливающаяся конкуренция со стороны фирм, оказывающих аналогичные услуги 2. Повышающееся требование потребителей к качеству услуг 3.Выравнивание цен на рынке предлагаемых услуг

 Сильные стороны (S) 1. Оптимальная оргструктура предприятия, отвечающая целям деятельности 2. Сильные менеджеры у руководства  3. Налаженные каналы сбыта 4. Квалифицированный персонал

SO-стратегии 1. Целеустремленно расширять рынок сбыта путем завоевания доверия качеством и низкой ценой. 2. «Стеснение» конкурентов путем их концентрации на конкретном виде услуг

ST-стратегии 1. Использование заинтересованности инвесторов в увеличении объемов предоставляемых услуг 2. Агрессивная рекламная компания  3. Проведение выставок-презентаций

Слабые стороны (W) 1. Недостаток собственных средств для расширения деятельности 2.Недостаточно сильная мотивация персонала  3.Высокая текучесть кадров

WO-стратегии  1. Изучение региональных рынков конкурентов с целью завоевания их секторов. 2. Вытеснение посредников

WT-стратегии 1. Поиск новых видов предоставляемых услуг 2. Дальнейшее использование инструментов кредитования 3. Завоевание доверия потребителей надежностью и низкими ценами на услуги


Итак, рассматриваемое предприятие работает в отрасли с большим количеством конкурентов, причем значительных. Услуги и товары аналогичны. Не касаясь данной области, компании нужно обладать другими положительными характеристиками, особенностями, для того, что достойно выглядеть на фоне конкурентов, увеличивать свою долю на рынке.

Как известно, персонал - основа любой организации. Эффективная система управления персоналом позволит улучшить различные показатели деятельности предприятия в целом. Именно на эту сферу ЗАО «Связной - Логистика» и стоит обратить внимание.

Основные функции предприятия, как отмечалось выше:

-    Торговля сотовыми телефонами;

-       Услуги сотовых операторов;

-       Торговля мобильными аксессуарами.

Насколько хорошо осуществляется эта деятельность, полностью зависит от персонала организации, по большей части от продавцов-консультантов. Поэтому руководству ЗАО «Связной-Логистика» необходимо с наибольшим вниманием относится к процессам управления персоналом: подбор, отбор, наем, адаптация, обучение, мотивация и т.п.

В данной области у предприятия наблюдаются некоторые проблемы. Это выражается в высоком показателе текучести кадров. Причем, на фоне других показателей он значительно выделяется в негативном плане. На это и стоит обратить внимание.

Текучесть кадров частично объясняется спецификой деятельности рассматриваемого предприятия. Молодые люди зачастую временно устраиваются на должность продавцов консультантов, через пол года уходят по разным причинам: учеба, недостаточная мотивация, отсутствие карьерного роста и т.п. ЗАО «Связной-Логистика» постоянно требуется набирать новых сотрудников. Именно на этом аспекте мы и остановимся в дипломном проекте.

Когда результаты деятельности зависят от людей, которые ее выполняют, вполне логично возникает необходимость постоянно заниматься развитием и совершенствованием работы с персоналом; главное - осмысленно подходить к набору персонала. Далее, подробно рассмотрим данный процесс в ЗАО «Связной-Логистика».

2.3 Содержание и этапы процесса найма персонала в ЗАО «Связной-Логистика»


В ЗАО «Связной-Логистика» вопросами кадрового планирования занимается отдел кадров, при этом очень мало уделяется вопросам кадровой политики, анализу кадрового потенциала, организации кадрового планирования, проведения аудита персонала, формированию благоприятного имиджа организации.

Результаты проведенного выше анализа свидетельствуют о недостатках в работе с персоналом: высокий уровень текучести кадров, профессиональный уровень рядовых сотрудников не достаточно высок, имеются проблемы относительно механизма отбора кадров, позволяющие на этапе конкурса на вакантное место выявить наиболее подходящие, перспективные кадры.

В сети мобильной связи «Связной» данные функции возложены на отдел кадров. Цель отдела кадров - сохранение квалифицированных работников в условиях нестабильного производства и наем новых работников. Функции отдела кадров: обеспечивать кадрами организацию (наем, расстановка, увольнение); вести кадровое производство; анализировать текучесть кадров и дисциплину труда; учитывать движение персонала; подготавливать кадровые приказы и др.

Существуют различные источники найма персонала. Их можно разделить на внутренние (использование уже имеющегося персонала предприятия: повышения, перестановки) и внешние (привлечение дополнительных сотрудников из вне). Все они обладают своими достоинствами и недостатками и используются в зависимости от сферы и объемов деятельности конкретного предприятия.

По данным предприятия ЗАО «Связной-Логистика», указанным в таблице 2.12, видно, что внутренние источники при найме составляют лишь 17% от общего числа.

Таблица 2.12 - Источники найма кадров предприятия ЗАО «Связной-Логистика» за 2010-2011

Наименование источника найма

Удельный вес, %

Рекомендации друзей и родственников Объявления, реклама, интернет Различные источники внутри компании Инициативные письма-обращения о приеме  Прочие

35 40 17 5 3

Всего

100


Основной источник найма персонала - реклама, объявления. Значительную роль играет также прием на работу «по связям», рекомендации друзей, знакомых, родственников (35%).

Можно отметить, что это не лучшим образом отражается на деятельности организации, поскольку, чаще всего, люди дают рекомендации, основываясь на межличностных отношениях, не учитываю профессиональные характеристики и потребности предприятия.

Итак, процесс найма персонала будем рассматривать как набор мероприятий направленных на привлечение кандидатов по необходимым параметрам. Данный процесс осуществляется вплоть до того момента, когда сотрудник приступит непосредственно к выполнению предписанных обязанностей, а также оценку первых результатов его труда. На их основании можно сделать вывод, о необходимости содержания в штате определенного человека. К рассматриваемым мероприятиям относим подбор, отбор, первоначальное обучение и оценку, адаптацию и прием сотрудников на работу.

Обратим внимание на то, что процессы обучения и адаптации в ЗАО «Связной» осуществляются на достаточно хорошем уровне. Рассмотрим их подробнее.

Всех новички, подавшие заявку на определенную должность в компании, обязательно проходят адаптационный тренинг, рассказывающий о культуре компании, требованиях к сотрудникам, особенностях отрасли и специфике работы на розничных точках.

После этого новички отправляются на обучение, которое продолжается в общей сложности 11 дней. В ходе обучения новые сотрудники знакомятся с продуктами и услугами компании, учатся грамотно обслуживать клиентов и овладевают техниками продаж.

«Связной» уделяет большое внимание высокому качеству обслуживания покупателей в розничных магазинах сети и постоянно совершенствует систему обучения персонала. Тренинги для новых сотрудников проводились в компании практически с момента основания и всегда были ориентированы на развитие таких качеств как клиентоориентированость, креативность и предприимчивость.

Проблема заключается в том, что не всем это подходит, не всем интересно. А группы для обучения составляются без особого отбора, иногда оказывается, что никто из прошедших первоначальное обучение не остается работать в организации. А на них было затрачено время, оплачены услуги тренера.

Также, многие претенденты вообще не проходят никаких первоначальных испытаний. Как уже упоминалось в предыдущем пункте, принимаются на работу по знакомству, чьему-либо совету. Это очень негативно влияет на коэффициент текучести кадров.

Проблемы высокой текучести кадров и трудностей найма соответствующего персонала тесно связаны между собой. Их можно решить при помощи одних и тех же средств.

Заработная плата и другие льготы - находятся на том же уровне, что и у конкурентов. Существует разделение: окладная (неизменная) часть и дополнительная часть (зависит от качества выполняемой работы, от объемов продаж по большей части).

Условия труда и характер работы - также ничем не уступают конкурентам (график работы, расположение и состояние рабочих помещений).

Кадровая политика - существуют хорошие программы обучения и повышения квалификации. Они применяются на практике. Соответствуют требованиям времени, клиентов, особенностям деятельности ЗАО «Связной».

Процедура набора кадров. На данном этапе есть проблемы. Необходимо их эффективность и избирательность; обратить особое внимание на качество личностных спецификаций, рекламу, систему обработки анкет, проведение собеседования и получение рекомендательных писем.

Получается так, что в ЗАО «Связной» отсутствуют первые этапы системы найма персонала. В разработке рекомендаций обратим внимание именно на эти этапы: подбор и отбор кадров.

Далее с адаптацией и обучением все в полном порядке.

3. Совершенствование системы найма персонала ЗАО «Связной-логистика»

3.1 Рекомендации по проведению отборочного собеседования


Учитывая то, что основная проблема текучести кадров наблюдается среди работников торговых залов, сконцентрируем свое внимание именно на этой категории сотрудников. Это молодые люди, зачастую без опыта работы, толком не знающие: чего хотят от жизни и для чего пришли работать именно в эту организацию.

В данной ситуации ЗАО «Связной-Логистика» можно порекомендовать следующее: прежде чем отправлять сотрудника на обучение проводить с ним собеседование. В данный момент такого не происходит. Все кандидаты, подавшие заявки, сразу приглашаются на обучение.

Собеседование является одним из наиболее распространенных методов отбора и оценки персонала. При кажущейся внешней простоте применения оно является одним из самых трудоемких процессов, требующим обязательной подготовки проводящего его сотрудника.

Основная цель собеседования - получение информации, которая позволит:

) оценить, насколько данный кандидат подходит для предполагаемой должности (то есть, провести оценку профессиональной пригодности соискателя (его профессиональных знаний и навыков, деловых, индивидуально-психологических и психофизиологических качеств);

) определить, насколько данный кандидат выделяется из всех заявивших свои кандидатуры на замещение вакантной должности (какие качества и навыки преобладают, а какие, наоборот, нуждаются в дальнейшем развитии; насколько эти качества важны для вакантной должности; возможен ли прием на работу сотрудника с условием дальнейшего роста; будет ли вакантная должность «шагом вперед» для соискателя или он давно «перерос» предполагаемую должность);

) установить, достоверна ли предоставляемая кандидатом информация (имеется в виду только первичная оценка достоверности информации).

Основными задачами отборочного собеседования являются:

. Предоставление кандидату информации о возможной будущей профессии.

. Регистрация и проверка основных автобиографических данных кандидата.

. Оценка внешности кандидата и стиля поведения.

. Проверка соответствия профессионального опыта и знаний кандидата уровню квалификации, необходимому для успешного выполнения предлагаемой работы.

. Оценка умственных и личностных качеств кандидата.

. Заключение о том, насколько интервьюируемый подходит для выполнения данного участка работ, и в зависимости от этого, оказание влияния на его желание занять вакансию

Следовательно, в процессе отборочного собеседования кандидат должен предоставить незнакомому человеку, выступающему в роли интервьюера, конфиденциальную информацию, раскрытие которой возможно лишь в условиях доверительного общения. Задача интервьюера в данном случае осложняется тем, что он должен не просто воспринять доверенную ему информацию, но систематизировать ее и «отфильтровать» таким образом, чтобы на основе полученных данных оценить пригодность кандидата к выполнению определенных работ и спрогнозировать эффективность его труда.

Именно поэтому авторы текстов по технике проведения интервью единодушно называют искренность одной из важнейших проблем в его проведении, отмечая необходимость расположить к себе собеседника, а среди ведущих качеств интервьюера выделяют способность создавать условия для полной открытости собеседника. Каждый интервьюируемый стремится соответствовать образу идеального кандидата, который, как ему кажется, есть у работодателя, искажать или корректировать сведения о себе в соответствии с тем, что предположительно хочет услышать собеседник.

Как и в любом социальном контакте, в акте проведения отборочного интервью можно выделить три основные фазы: начало (приветствие), середина (продолжение) и завершение (прощание).

Проведение собеседования требует тщательной подготовки.

Для качественного проведения собеседования специалистам ЗАО «Связной-Логистика» понадобятся:

. Биографическая анкета. Возможно использование и иных анкет, с помощью которых можно получить не только биографические сведения, но и представление о личностных качествах кандидата или его профессиональных воззрениях.

. Должностная инструкция или квалификационная характеристика, личностная спецификация (документ, описывающий параметры, которыми должна обладать личность для успешного выполнения работы).

. Целесообразно разработать еще один документ - для отражения результатов собеседования. В некоторых компаниях информацию по результатам собеседования включают в бланк анкеты, а иногда выносят в отдельный документ. В любом случае информация об итогах собеседования должна содержать сведения о том, кто и когда проводил собеседование с соискателем, каково мнение сотрудников, проводивших собеседование, о данном кандидате, насколько кандидат соответствует заявленной должности, есть ли возможность использовать кандидата на других работах, какое принято решение (о приеме на работу или об отказе в приеме).

Для того, чтобы сделать процесс отбора наиболее оптимальным, целесообразно использовать различные варианты проведения собеседований. Умение проводить различные виды собеседований предоставит вам дополнительные возможности для правильной оценки соискателей, а также позволит добиться высоких результатов работы.

Автору дипломного проекта наиболее эффективным использовать предварительное (отсеивающее) собеседование. Для экономии времени предлагается использовать письменное отсеивающее задание. Специалисты компании в качестве первичного отсеивающего задания могут высылать соискателям по электронной почте задания, на основе которых проводится первичный отсев.

Пример письма

Добрый день! Некоторое время тому назад Вы высылали нам резюме на вакансию менеджера отдела продаж. Если Вас еще интересует возможность смены места работы, мы готовы вести с Вами дальнейшие переговоры и организовать встречу с руководством компании.

До встречи Вам необходимо:

) ознакомиться с историей и деятельностью компании на сайте www.svyaznoy.ru;

) заполнить анкету (анкета прилагается);

) ответить на вопросы, приводимые в конце данного письма.

Ответы должны быть конкретными, с максимальным количеством примеров и цифр, объемом в 2 страницы. Ответы на вопросы и анкету мы ожидаем до 2 декабря. После их получения мы свяжемся с Вами и организуем встречу с руководством компании.

Вопросы:

Что Вы знаете об ЗАО «Связной-Логистика»?

Кем Вы можете работать в ЗАО «Связной-Логистика»?

Перечислите три Ваших профессиональных достижения за последний год.

Какой у Вас опыт в продажах?

С какими клиентами Вы работали? Приведите примеры.

Какие источники Вы используете для повышения вашей профессиональной компетенции?

Чем Вы лучше других кандидатов?

В чем Вы видите преимущества работы в ЗАО «Связной-Логистика»?

Какой минимальный доход Вы хотите получать в первые 3 месяца, 1 год работы? Какая часть должна составлять гарантированные выплаты, а какой процент связан с финансовыми результатами Вашей работы?

После отсеивающего собеседования нужно проводить отборочное собеседование.

Отборочное собеседование - это решающая беседа, в ходе которой оценивается квалификация кандидата. В зависимости от необходимости может практиковаться серия отборочных собеседований в процессе которых соискатель беседует с различными сотрудниками компании, начиная с работника отдела кадров и заканчивая, например, генеральным директором компании. Если отсеивающее собеседование проводилось по телефону то, как правило, соискателю предлагают заполнить стандартную анкету перед первым отборочным собеседованием.

Собеседование должно быть четко спланировано и подготовлено. Особенно это важно для начинающих специалистов. Чем тщательнее продуманы этапы собеседования и обозначены темы для обсуждения, тем лучше результат.

. Необходимо соблюдать анонимность. Вся информация, полученная в ходе беседы, должна являться закрытой для посторонних лиц.

. Недопустимо использовать собеседование и полученную информацию в личных целях.

. Поведение специалистов ЗАО «Связной-Логистика» должно быть вежливым и тактичным.

. Для проведения собеседования следует выбрать удобное помещение, где не будут отвлекать посетители и телефонные звонки.

Первым этапом собеседования является налаживание контакта и установление доверительных отношений.

Хорошим тоном считается соблюдение договоренности о встрече. Некоторые интервьюеры намеренно задерживают начало беседы для того, чтобы проверить «стрессоустойчивость» кандидата. Но в большинстве случаев это только вызывает раздражение у соискателя, и желание работать в компании пропадает.

В самом начале беседы нужно задать пару «светских» вопросов о погоде, проведенных выходных или пробках на дорогах. Это необходимо для создания атмосферы расслабленности и доверия, а также для того, чтобы оценить, насколько кандидат склонен вести бесконечные пустые разговоры и как быстро вспоминает о действительной цели своего прихода в ваш офис.

Затем нужно объяснить соискателю цель собеседования и, если есть такая возможность, кратко ознакомьте его с тем, какие еще испытания ему предстоит пройти.

Когда кандидат почувствует себя уверенно, можно переходить к главной части собеседования, которая нацелена на получение основной информации о соискателе для оценки профессиональных навыков и личностных качеств.

Здесь важно:

задавать как можно больше вопросов;

внимательно слушать соискателя (если после ответа у вас не возникло ни одного вопроса, то чаще всего это свидетельствует о том, что вы плохо слушали);

не оставлять недопонятыми отдельные моменты и выяснять все до конца;

все время помнить семь вопросов криминалистики: выясняя особенности того или иного периода жизни соискателя, нужно постараться получить ответы на вопросы «кто?», «что?», «зачем?», «когда?», «где?» «как?» и «почему?». На первых порах, когда еще не отработан навык постановки вопросов, вполне можно пользоваться этими маленькими «костылями», которые помогут выбрать направление для следующих вопросов;

требовать подтверждения сказанному (комбинировать последовательность закрытых и открытых вопросов);

выбирать тип вопроса в зависимости от ситуации;

выходить на собеседование с заранее составленными вопросами, которые нужно задать соискателю и не стесняться пользоваться их перечнем во время беседы.

Последний этап беседы - выход из интервью. Когда получена вся необходимая информация кандидату целесообразно задать несколько «расслабляющих» вопросов, произнести пару фраз, обеспечивающих мягкое окончание интервью и оповестить его о дальнейших планах.

Примеры

Мы с Вами проговорили больше часа. Вы не слишком устали от такого количества вопросов?

Вам еще интересна предложенная нами вакансия?

Я постараюсь в течение двух-трех дней переговорить с генеральным директором о Вашей кандидатуре и обязательно свяжусь с Вами для того, чтобы мы могли договориться о следующей встрече. Будет ли у Вас свободное время на следующей неделе?

Спасибо за то, что Вы нашли время для разговора с нами. Было приятно пообщаться.

Предлагается использовать в интервью четыре уровня вопросов, способствующих установлению доверия в процессе собеседования и получения от кандидата более глубокой и правдивой информации.

Первый уровень состоит из наиболее общих вопросов, предполагающих достаточно поверхностные, официальные ответы.

На втором уровне задаются вопросы, позволяющие детализировать полученную общую информацию и перейти к конкретным реальным фактам.

С помощью вопросов третьего уровня интервьюер открывает для себя доступ к более актуальным сообщениям, отражающим мнение кандидата по тому или иному вопросу.

Четвертый уровень содержит вопросы, заставляющие человека раскрыть свои суждения относительно ценностей.

Итак, организация и проведение собеседования, в частности с кандидатами на должность менеджеров по продажам, уже на первоначальном этапе позволит выявить достойных кандидатов. И продолжать работу нужно будет уже именно с ними: проводить обучение, адаптацию, оценку, принимать на работу.

Затраты времени и сил на собеседование приведут к дальнейшему снижению затрат на обучение, оценку. Также у предприятия будет возможность принимать на работу сотрудников, стремящихся работать именно в указанной сфере и развиваться в этом направлении, а не просто подработать. Сократиться в целом необходимость постоянного набора все новых и новых сотрудник, особенно на работу в торговых залах «Связного».

 

3.2 Рекомендации по осуществлению конкурсного отбора кандидатов


В результате проведенного анализа можно констатировать, что принятая в компании система работы с персоналом неэффективна. Происходит «распыление» ресурсов, а эффект от производимых действий минимальный.

Цель разрабатываемых рекомендация - создать эффективную систему найма персонала для ЗАО «Связной-Логистика».

ЗАО «Связной» тратит слишком много времени и средств на проведение тренингов для новых сотрудников. На первоначальном этапе это не очень эффективно. Поэтому рекомендуется производить определенный отбор кандидатов уже на стадии подачи заявки. Для найма персонала на должности руководителей, специалистов рекомендуется использовать по возможности внутренние ресурсы.

Этапы оценки кандидатов и обучения новичков должны быть четко разграничены. Сначала кандидаты, желающие работать в компании, проходят этап отбора, включающий собеседования, тесты, ролевые игры и упражнения. Затем те, кто успешно справился с заданиями, попадают на адаптационный тренинг, тренинг по продажам и т.д.

Методика конкурсного отбора персонала в этом случае будет включать ряд этапов.

. Создание конкурсной комиссии.

Цель конкурсной комиссии проведения отбора персонала на замещение вакантной должности - обеспечение мероприятий по объективной оценке кандидатов в соответствии с выделенными профессиональными, управленческими и другими параметрами оценки.

Задачи конкурсной комиссии:

1)   разработка правил проведения конкурса;

2)      подготовка проведения конкурса;

)        обеспечение объективности экспертной оценки кандидатов и соблюдение правил проведения конкурса.

Конкурсная комиссия должна включать представителей всех заинтересованных групп, профессионально компетентных в вопросах кадровой работы. Например, в конкурсную комиссию ЗАО «Связной-Логистика» будут входить:

·   руководитель отдела кадров;

·   руководитель учебного центра;

·   руководитель отдела маркетинга;

·   руководитель отдела продаж;

2. Подготовка проведения конкурса.

На подготовительном этапе проведения отбора осуществляется ряд мероприятий:

- разработка и утверждение нормативных документов, регламентирующих деятельность конкурсной избирательной комиссии;

- публикации объявления о проведении конкурса;

- разработка программы основного этапа конкурса;

- утверждение программы основного (в некоторых случаях и заключительного) этапа проведения конкурса (заседание конкурсной комиссии);

- подбор специалистов и формирование групп научного сопровождения;

- создание организационно-технической группы по материально-техническому обеспечению основного и заключительного этапов конкурса;

- подготовка и оценка рефератов;

- подготовка материалов к рассмотрению на заседании конкурсной комиссии;

- рассмотрение документов, представленных кандидатам на участие в конкурсе (заседание конкурсной комиссии);

- инструктаж (ознакомление конкурсантов с правилами проведения конкурса и получение от них письменного согласия на участие в нем);

- утверждение окончательного списка конкурсантов (заседание конкурсной комиссии).

3. Осуществление мероприятий основного этапа конкурсного отбора.

На этом этапе непосредственно проводится сам отбор. При этом используются следующие процедуры для сбора информации о кандидатах:

·   тестирование;

·   экспертный опрос (собеседование с кандидатом).

·   подведение промежуточных итогов, представление их в конкурсную комиссию, которая выносит решение о принятии или непринятии кандидата на должность.

Итак, на основе вышеперечисленных процедур выстраивается методика конкурсного отбора персонала на занятие вакантной должности при организации конкурса в форме отбора (рис. 3.1).

Как отмечалось выше, одним из резервов при отборе персонала является внутренний ресурс, т.е. продвижение уже нанятых сотрудников на более высокие должности.

Рис. 3.1 Методика конкурсного отбора персонала

Методика конкурсного отбора персонала в случае «выборов», принятых в качестве парадигмы конкурса кандидатов на занятие вакантной руководящей должности, включает ряд этапов.

1. Создание конкурсной комиссии.

Цель конкурсной комиссии проведения выборов на замещение вакантной должности будет той же - обеспечение мероприятий по объективной оценке кандидатов в соответствии с выделенными профессиональными, управленческими и другими параметрами оценки. Она и, соответственно, задачи комиссии будут одинаковыми для любой организационной формы конкурса.

Состав же комиссии будет отличаться в каждом отдельном случае. Для проведения выборов она должна включать людей, которым доверяет трудовой коллектив. Таким образом, основному этапу выборов кандидата на вакантную должность должны предшествовать предварительные выборы - членов избирательной комиссии.

2. Подготовка проведения выборов

На подготовительном этапе проведения выборов осуществляется ряд мероприятий:

- принятие решения о необходимости проведения конкурса;

- создание конкурсной (избирательной) комиссии;

- разработка необходимого инструментария для проведения конкурса;

- создание организационно-технической группы по материально-техническому обеспечению основного и заключительного этапов конкурса;

- подготовка материалов к рассмотрению на заседании конкурсной комиссии;

- определение списка кандидатов на участие в конкурсе;

- утверждение окончательного списка конкурсантов (заседание конкурсной комиссии).

3. Осуществление мероприятий основного этапа конкурсного отбора

На этом этапе непосредственно проводится сам отбор. При этом используются следующие процедуры для сбора информации о кандидатах:

·   интервью;

·   публичное выступление;

·   опрос работников организации, клиентов, партнеров.

Результаты сбора информации представляются в избирательную комиссию.

На заключительном этапе конкурсная комиссия принимает решение о дальнейших мероприятиях конкурса (либо о допуске кандидатов к следующим испытаниям, либо о принятии кандидатов на должность) с публичным оглашением результатов.

Этапы системы отбора персонала ЗАО «Связной -Логистика» представлены в таблице 3.1.

Таблица 3.1 - Этапы системы отбора персонала ЗАО «Связной-логистика»

Этапы

Инструментарий

Результат

1.Опрос (анкетирование) сотрудников отделов

Опросник для сотрудников

Материал для согласования требований к кандидатам на вакантные должности с требованиями отделом предприятия

2. Обработка результатов опроса

Заполнение бланка

Четкие требования к кандидатам на вакансии; оценка потребности в кадрах

3. Реклама о найме сотрудником (в том числе в рамках PR-акций компании)

Объявления в СМИ, участие в ярмарках-презентациях и т.д.

Поступление резюме от кандидатов на вакансии

4. Анализ резюме кандидатов, предварительная беседа по телефону и собеседование

Сравнение результатов собеседования

Выдвижение кандидатов на вакансии на конкурсный отбор

5. Конкурсный отбор из внешних источников


Наем сотрудников

6. Конкурсный отбор из внутренних источников


Продвижение сотрудников по карьерной лестнице

7.Оценка результатов мероприятий по отбору персонала

Опросник для сотрудников анализ потребности в кадрах.

Принятие решения о целесообразности проведения следующего цикла мероприятий по отбору персонала


Предложенные мероприятия позволят с большей точностью, а, следовательно, и эффективностью производить набор сотрудников на вакантные должности.

Руководители и специалисты будут строго соответствовать выдвигаемым требованиям, а для работы в торговом зале будут отбираться те люди, которым это действительно интересно, которые заинтересованы в длительной перспективе работать в компании, таким образом, возможно создать некий внутренний резерв кадров на более высокие должности.

3.3 Результаты внедрения предложенных мероприятий


В настоящем пункте рассчитаем эффективность разработанных выше предложений. Эффект может выражаться в количественном и качественном виде. Особенно, когда речь идет о работе с персоналом, бывает сложно определить конкретный экономический (количественный) результат. Встречаются решения, предполагающие социальный (качественный) эффект.

Учитывая это, постараемся определить социально-экономический эффект от внедрения разрабатываемого проекта конкурсного отбора персонала и рекомендации по проведению собеседования с кандидатами на должность менеджера по продажам.

Экономическая и социальная эффективность имеют принципиальную взаимосвязь: с одной стороны, социальную эффективность в виде стимулов для персонала можно обеспечить только тогда, когда существование организации является надежным, и она получает прибыль, позволяющую предоставить эти стимулы; с другой стороны, экономической эффективности можно добиться только в том случае, если сотрудники предоставят в распоряжение организации свою рабочую силу, что они обычно бывают готовы сделать только при наличии определенного уровня социальной эффективности.

Итак, рассмотрим подробно, какие же результаты принесет внедрение предложенных мероприятий.

Самый важный и наиболее ярко выраженный эффект - сокращение текучести кадров. В идеале - снижение его до 0-5%. В этом кроется цель всех мероприятий работы с персоналом. А для этого необходимо правильно подобрать персонал на определенные должности, чему и будут способствовать разработанные мероприятия.

Проведение собеседования (особенно с кандидатами на должность работников торгового зала) позволит в целом снизить расходы на осуществление найма персонала. А у предприятия будет возможность принимать сотрудников с потенциалом развития в данном направлении.

«Связной» в среднем 1 раз в год набирает 7 сотрудников торговых залов. Стоит сократить процент «советов» и больше ориентироваться на размещение объявлений.

Желающих занять вакантное место большое количество. Практически всех сразу отправляют на первоначальное обучение. Группы для обучения собирают в размере 7-8 человек. Первоначальное обучение проходит 2 дня по 2 часа: 1 - о компании и продукции; 2- тренинг по продажам. Затраты на оплату услуг тренеров: 1000 рублей за каждого, прошедшего обучение; бонус за новобранца, вышедшего на работу. Стоит учесть затраты времени и занятое помещение для обучения. Раздаточный материал для учеников.

Проведение собеседования позволит сократить число подавших заявки, по крайней мере, на 50%. Обычно после обучения отсеивается именно такое количество. Это люди, отправившие резюме или позвонившие, при это они возможно и не собираются вообще в серьез выходить на работу, либо их мало интересует сфера продаж, либо направление деятельности фирмы. При этом собеседование входит в обязанности сотрудников отдела кадров. На одного претендента необходимо будет выделять по 20 минут. Предприятие сможет сэкономить время и деньги на оплату работы тренеров.

Принятие на работу сотрудника - очень серьезный шаг. Нужно обратить внимание на его профессиональные качества, уживчивость в коллективе, интерес к компании, продукции и выполняемым обязанностям и т.д. Многие эти аспекты легко выявить при осуществлении методики конкурсного отбора персонала.

Все описанное выше напрямую влияет на следующие показатели: производительность труда (годовой объем продаж деленный на количество персонала), ошибки в работе, согласованность требований к кандидатам с запросами подразделений, затраты времени на отбор персонала в год, достижение коммерческих целей деятельности предприятия.

Качественные показатели экономической оценки персонала устанавливает сотрудник, в подчинении которого находится вновь принятый специалист. В частности, производительность труда отслеживается по объему продаж отдельно взятой торговой точки и количеству сотрудников прикрепленных к ней. Под ошибками в работе принимаются все недочеты, возникающие в процессе работы и, например, невыдача кассового чека, некорректная подготовка отчета о продажах и пр. Под согласованностью требований к кандидатам с запросами подразделений понимается показатели удовлетворенности вновь прибывшим сотрудником. Затраты времени на отбор персонала - время поиска сотрудника, удовлетворяющего всем запросом работодателя. Достижение коммерческих целей предприятия выражается в исполнении плана по продажам, индивидуального и общего по компании.

Но обязательно необходимо отметить и затраты на организацию данного мероприятия. Они отражены в таблице 3.2.

Таблица 3.2 - Предварительная оценка затрат на отбор персонала в ЗАО «Связной-Логистика»


Наименование статьи затрат

Сумма затрат, руб.

Прямые затраты

Затраты на размещение объявления в газетах и других СМИ

3000


Затраты, связанные с организацией процедуры конкурсного отбора

20000


Затраты на дополнительное привлечение специалиста в области управления персоналом (для разработки подробного сценария проведения конкурсного отбора с распределением ответственности за мероприятия)

4500


Всего

27500

Косвенные затраты

Отвлечение сотрудников от прямых обязанностей для прохождения анкетирования, конкурсного отбора, работы в комиссиях по отбору персонала

В пределах должностных окладов


Для сокращения времени работы над разработкой мероприятий по конкурсной оценке кандидатов, предлагается привлечь специалиста в данной области. Его использование, скорее всего, будет единовременным, только для разработки программы отбора, соответствующего требованиям компании. Дальнейшие корректировки смогут вносить сами работники отдела кадров.

Далее перейдем непосредственно к результатам осуществления предложенного мероприятия. В таблице 3.3 представлен ожидаемых экономический эффект от внедрения проекта.

Таблица 3.3 - Эффективность внедрения проекта

Параметры оценки экономической и социальной эффективности

Без внедрения проекта

Эффект за счет внедрения проекта

Экономическая эффективность

1. производительность труда (годовой объем продаж, деленный на количество персонала)

50,54 тыс. руб. / чел в год

75 тыс. руб. / чел в год

(75 - 50,54) тыс. руб.*7 чел = 172,2 тыс. руб.

2. ошибки в работе

15%

7%

2527 (100-7)/(100-15) - 2527 = 237,8 тыс. руб

3. согласованность требований к кандидатам с запросами подразделений

85%

90%

2527 (100-85)/(100-90) - 2527 = 1263,5 тыс. руб

4. затраты времени на отбор персонала в год

6 месяцев

2527 (6/5) - 2527 = 505,4тыс. руб

Итого

2178,9 тыс. руб.


При расчете исходим из объема продаж 2011 года, который составил 2527 тыс.руб. Предположим, что объем продаж в 2012-2013 годах не увеличится, но останется на уровне 2011 года.

Производительность труда понимается как отношение годового объема продаж к численности персонала и показывает объем выручки на одного человека в год. Она зависит от умения и желания человека работать, от того, на своем ли месте он вообще находится. Проводя конкурсный отбор, мы можем утверждать, что это действительно так. А если сотрудник испытывает положительные эмоции от работы, он делает больше и качественнее. Объем продаж компании за 2011 год составил 2527 тыс. руб. при количестве сотрудников 50 человек. Значит, производительность труда в 2011 году составила 2527 / 50 = 50,54 тыс. руб.

Согласно данным о потребности компании в персонале, предполагается набор 7 человек, что при разности фактической и плановой производительности труда даст увеличение объема продаж на 172,2 тыс. руб.

Предполагается сокращение ошибок в работе с 15 до 7%. За счет более тщательного отбора сотрудников. Тем более, что все функции и предполагаемые сложности будут рассматриваться и «разыгрываться» в процессе конкурсного отбора.

Создание конкурсной комиссии позволит избежать приема на работу персонала, не подходящего по определенным параметрам. В комиссии будут присутствовать представители разных подразделений, что позволит сразу оценить претендента с различных позиций и подобрать наиболее подходящего.

Кроме того, разработанная система отбора персонала позволит сократить время на данную процедуру. Работать по заранее подготовленному сценарию гораздо удобнее, возникает минимум вопросов и несостыковок, каждому известна его роль в процессе.

Суммарный дополнительный экономический эффект от внедрения проекта - 2178,9 тыс. руб. Отсюда можно вычесть затраты на размещение объявлений, привлечение специалиста из вне, оплату труда работникам предприятия, участвующим в данной процедуре дополнительно, вне обговоренных ранее должностных обязанностей. Эти расходы составят 27,5 тыс.руб.

В результате экономический эффект составит 2151,4 тыс.руб. при учете времени 2 года (2012-2013 гг.). За это время эффект должен проявить себя.

В этих расчетов не учитываются косвенные затраты на проведение мероприятий по отбору персонала, т.к. этот вид затрат трудно поддается исчислению в рублях.

Приведенные расчеты говорят об эффективности внедрения проектируемой системы отбора персонала в фирме ЗАО «Связной-Логистика».

Заключение


Персонал - особая ценность любой организации. С одной стороны, они являются ее творцами, определяют цели и выбирают методы достижения этих целей, а с другой - люди являются важным ресурсом, который используют все организации для реализации собственных целей. В этом качестве персоналу необходимо управление. Построение системы управления персоналом - один из самых важных и трудоемких аспектов в организации деятельности любого предприятия. Кадры - основа работы предприятия. От работы всего персонала и каждого отдельно взятого работника зависит эффективность деятельности всей организации. Поэтому, чем лучше будет организовано управление персоналом, тем больших результатов сможет достичь предприятие.

Стратегия найма персонала - один из важных аспектов системы управления персоналом на предприятии. С найма все начинается. Когда предприятие принимает решения о найме, оно определяет свою дальнейшую политику в области обучения и переобучение персонала, его адаптации, мотивации и т.д. Выбор той или иной стратегии найма зависит главным образом от поведения потенциальных работников на рынке труда и образования, а также ситуационных факторов микро и макросреды предприятия таких, как экономическая ситуация в стране, конкурентная среда предприятия, правовое регулирование, демографические факторы.

При построении системы найма персонала необходимо ориентироваться на следующие принципы:

.     Ясное представление о тех параметрах (квалификационных и личных), которыми должен обладать искомый сотрудник.

2.      Отказ в приеме новых работников независимо от квалификации и личных качеств, если потребности в них нет.

.        Сбор, анализ и сравнение информации, следовательно, привлечение необходимых сотрудников для этого со специальными качествами.

.        Обеспечение соответствия индивидуальных качеств претендента требованиям, предъявляемым содержанием работы (образование, стаж, опыт, а в ряде случаев пол, возраст, здоровье, психологическое состояние).

Существуют различные методы и подходы к найму персонала. Их выбор основан на сфере, объемах и целях деятельности конкретной организации.

Поскольку объектом дипломной работы является деятельность ЗАО «Связной-Логистика», был проведен общий анализ, который выявил достаточно хорошее положение предприятия на рынке. Но все же есть к чему стремиться, поскольку конкуренция очень высокая.

Также была проанализирована существующая система отбора и найма персонала. В ней были выявлены проблемы: персонал принимают по рекомендации, без прохождения каких-либо испытаний. Отсюда увеличенный показатель текучести кадров. Поскольку принимаемые сотрудники не соответствуют требованиям, а, следовательно, сотрудникам не подходят условия труда, выполняемые обязанности.

Для устранения эти проблемы было предложено:

Разработать программу собеседования (в основном ориентируясь на самую проблемную категорию персонала - менеджеры по продажам);

Ввести программу конкурсного отбора кандидатов.

Все это позволит увеличить общие показатели финансово-хозяйственной деятельности ЗАО «Связной» и искоренить указанные выше проблемы. Набираемые сотрудники будут соответствовать требованиям, время, затраченное на их отбор, сократится, снизится показатель текучести кадров, а это сбережет ресурсы, постоянно расходуемые на отбор и наем новых сотрудников.

Библиографический список

.       Авдеев В.В. Управление персоналом: технология формирования команды: Учебное пособие. - М.: Финансы и статистика, 2008.-312с.

2.      Акберин Р.З., Кибанов А.Я. Совершенствование структуры, функций и экономических взаимоотношений управленческих подразделений предприятий при разных формах хозяйствования. Учебное пособие - М.: ГАУ, 2008-210с.

.        Ансофф Н. Стратегическое управление. - М.: Экономика, 2010.

.        Арутюнов В.В., Волынский И.В. Управление персоналом. - Ростов-на-Дону, 2010. - с. 88.

.        Бавыкин В. Новый менеджмент. Управление предприятием на уровне высших стандартов. - М.: Экономика,2007-294с.

.        Блинов А.О., Василевская О.В. Искусство управления персоналом: Учеб. пос. - М.: ГЕЛАН, 2011.-310с.

.        Волгин А.П. Управление персоналом в условиях рыночной экономики. - М., 2009. - с. 77.

.        Вуднок М., Фрэнсис Д. Раскрепощенный менеджер: для руководителя-практика. - М.: Дело, 2001.

.        Герчиков В. Миссия организации и особенности политики управления персоналом // Управление персоналом, 2009, - 159 с.

.        Гончаров В.В. В поисках совершенства управления: руководство для высшего управленческого персонала. - М.: МНИИПУ, 2007-325с.

.        Грейсон Дж. Американский менеджмент на пороге XXI века. - М.: Экономика, 2008.

.        Гутгарц Р.Д. Эволюция подходов к проблеме управления кадрами предприятия // Менеджмент в России и за рубежом 2008, - 95 с.

.        Дряхлов Н., Куприянов Е. Система мотивации персонала в Западной Европе и США // Теория и практика управления, 2008 № 2, с. 84.

.        Дятлов В.А., Кибанов А.Я., Пихало В.Т. Управление персоналом. М.: ПРИОР, 2010. - с. 65.

.        Загоруйко И., Федоров В. Как управлять персоналом коммерческой организации // Человек и труд. - 2010 - №1. - с. 15.

.        Евенко Л.И. Эволюция концепций управления человеческими ресурсами // Стратегия развития персонала. Материалы конференции.-М., 2008, - 456 с.

.        Егоршин А.П. Управление персоналом - Н. Новгород: НИМБ, 2011-355с.

.        Зайцев Г.Г., Файбутевич С.Н. Управление кадрами на предприятии. - СПб: Издательство С.-Петербург, 2007.

.        Иванцевич Дж., Лобанов А.А. Человеческие ресурсы управления. Основы управления персоналом. - М.: Дело ,2008-400с.

.        Ислантьев Г.С., Селина А.В. Кадры предприятия. - М.: Экономика, 2010

.        Кибанов А.Я., Захаров Д.К. Организация управления персоналом на предприятии. - М.: ГАУ, 2006.

.        Лагина, Шакирова Организация работы с кадрами и её совершенствовании. - М.: ВНИИЭгазпром , 2008-410с.

.        Мескон М., Альберт М., Хедоури Ф. Основы менеджмента. - М.: Дело, 2006.

.        Мордовин С. К. Управление человеческими ресурсами:17-модульная программа для менеджеров. - М. ИНФРА-М, 2010. - С. 148.

.        Система работы с кадрами управления. Под ред. Шаховой В.А. - М.: Мысль, 2010-288с.

.        Старобинский Э.Е. Как управлять персоналом? - М.: Бизнес- школа « Интел- синтез», 2009.-259с.

.        Травин В.В. , Дятлов В.А. Основы кадрового менеджмента. - М.: Дело ЛТД, 2007.-322с.

.        Шекшня С.В. Управление персоналом. Учебно-практическое пособие. - М.: Бизнес - школа «Интел- Синтез», 2009-400с.

.        www.svyaznoy.ru

Приложение

ДОЛЖНОСТНАЯ ИНСТРУКЦИЯ

Инспектора по движению кадров

Настоящая должностная инструкция разработана и утверждена на основании трудового договора и в соответствии с положениями Трудового кодекса Российской Федерации и иных нормативных актов, регулирующих трудовые правоотношения в Российской Федерации.

. Общие положения

1.   Инспектор по движению кадров является служащим отдела кадров и отвечает за организационно-техническое обеспечение движения персонала Общества.

2.   Инспектор по движению кадров назначается на должность и освобождается от должности в установленном действующим трудовым законодательством порядке приказом директора Общества.

3.   Инспектор по движению кадров подчиняется непосредственно начальнику отдела кадров

4.   На должность инспектора по движению кадров назначается лицо, удовлетворяющее следующим требованиям:

·    высшее или среднее специальное образование;

·        стаж работы не менее 1-го года;

·        знания и навыки организации делопроизводства, структуры подразделений предприятия;

·        методы оформления и обработки документов;

·        знание оргтехники, умение пользоваться электронной почтой;

·        знание стандартов унифицированной системы организационно-распорядительной документации.

· В своей деятельности Инспектор по движению кадров руководствуется: нормативными актами РФ;

·    приказами (распоряжениями) директора Общества;

·        нормативно - методическими материалами по организации делопроизводства;

·        правилами внутреннего трудового распорядка Общества;

·        положением о документообороте Общества;

·        положением о процедуре подготовки документов Общества;

·        настоящей должностной инструкцией.

1.6.   Инспектор по движению кадров должен владеть вопросами:

· организации работы с документами, составления документации;

·        применения средств вычислительной и организационной техники;

·        культуры труда и служебной этики.

1.7.   Режим работы инспектора по движению кадров определяется в соответствии с трудовым договором и Правилами внутреннего трудового распорядка Общества.

2. Должностные обязанности

Инспектор по движению кадров обязан:

1.   Осуществлять подготовку необходимых документов.

2.   Осуществлять работы по следующим направлениям:

- составлять программы движения кадров;

- обрабатывать данные по движению персонала,

-       подготавливать планы по обучению в рамках программ по движению кадров;

-       подготовка материалов и документов, а также необходимых для работы с персоналом сотрудникам ОК;

-       формирование дел в соответствии с утвержденной номенклатурой.

3.   Контролировать качество подготовки, правильность составления, согласования, утверждения документов, представляемых на подпись руководству Общества.

4.   Осуществлять доведение принятых решений до непосредственных исполнителей.

5.   Осуществлять оперативную связь с отделами, участвующими в движении персонала.

6.   Вести прием по вопросам регулирования движения и персонала, участвующего во внутреннем и внешнем движении.

2.7.   Выполнять работу по документационному обеспечению кадровой деятельности предприятия: оформление приказов по личному составу;

·    оформление личных карточек формы Т-2 или личных дел;

·        оформление трудовых книжек;

·        оформление и ведение трудовых контрактов (договоров);

·        оформление командировочных документов;

·        оформление листов нетрудоспособности;

·        ведение табеля учета рабочего времени;

·        выдача справок о трудовом стаже.

8.   Обеспечивать выполнение машинописных и копировально-множительных работ.

9.   Проводить ежегодный отбор документов на архивное хранение или на уничтожение.

2.10. Выполнять отдельные поручения руководства по профилю экономической эффективности программ обучения.

11.   Осуществлять информационно-справочное обслуживание по документам Общества.

12.   Осуществлять оперативно-организационное обслуживание руководства.

3. Права

Инспектор по движению кадров имеет право:

3.1.   Визировать документы управленческой деятельности в рамках своей компетенции.

2.   Вносить на рассмотрение руководства предложения по улучшению документационного обеспечения деятельности предприятия, совершенствованию форм и методов управленческого труда на основе применения электронной техники.

3.   Взаимодействовать со всеми сотрудниками Общества по вопросам проверки исполнения документов и представления необходимой информации руководству.

4.   Требовать от работников Общества (в рамках их полномочий) совершения следующих действий:

·    предоставления необходимой информации; подготовки необходимых документов;

·        организации необходимых мероприятий.

4. Ответственность

Инспектор по движению кадров несет ответственность в пределах, определенных действующим законодательством Российской Федерации за:

1.   Небрежное, халатное отношение к регистрации и ведению документов.

2.   Сохранность документации, разглашение сведений, имеющих гриф "Конфиденциально" или "КТ".

4.3.   Нечеткое и несвоевременное выполнение должностных обязанностей, предусмотренных настоящей инструкцией.

4.4.   Организационно-техническое обеспечение административной деятельности Общества, своевременное и качественное выполнение обязанностей, возложенных должностной инструкцией, сохранение коммерческой тайны в пределах, определенных действующим трудовым законодательством.

5.   Несоблюдение требований действующего законодательства, локальных нормативных актов Общества, неисполнение организационно-распорядительных документов Общества.

6.   Правонарушения, совершенные в процессе осуществления своей деятельности.

4.7.   Причинение материального ущерба - в пределах, определенных трудовым, уголовным и гражданским законодательством Российской Федерации.

Профиль кандидата (категория «руководитель») на должность

Общие компетенции

Профессиональные компетенции

Профессионально значимые черты

 Критерий

Оценка в баллах От 1 до 3*

Критерий

Оценка в баллах От 1 до 3

Критерий

Оценка

1.Коммуникативные навыки Хорошо поставленная грамотная речь. Умение публично выступать, аргументированно отстаивать свою точку зрения. Способность к эффективной устной и письменной презентации

Определяется в процессе структурированного интервью специалистом по подбору персонала.

Знание процессов бизнес-планирования и менеджмента

Определяется руководителем структурного подразделения в процессе собеседования

Ответственность Отношение к своим обязанностям, обязательность и надежность. От каких факторов она зависит.

Краткая характеристика по результатам психологического исследования

2.Стремление к развитию Стремление к новым возможностям, технологиям, совершенствованию. Сочетание лучшего из прошлого опыта и кардинально нового взгляда на проблему.

Определяется в процессе структурированного интервью специалистом по подбору персонала.

Знание основ финансового менеджмента и бухгалтерского учета

Определяется руководителем структурного подразделения в процессе собеседования

Способности к лидерству. Уровень притязаний, Умение принимать решения, мотивация достижения, самооценка, уверенность в себе, упорс тво в достижении цели, умение убеждать.

Краткая характеристика по результатам психологического исследования

3. Планирование Эффективное планирование своей деятельности в кратко и среднесрочном масштабе, умение структурировать задачу и определять приоритеты.

Определяется в процессе структурированного интервью специалистом по подбору персонала

Оптимизация управления издержками

Определяется руководителем структурного подразделения в процессе собеседования

Лояльность Преданность коллективу, организации, делу. Склонность к перемене места работы или вида деятельности.

Краткая характеристика по результатам психологического исследования

4. Творческий подход  Склонность к новому видению проблем, оригинальному решению обычных задач, способность найти несколько вариантов решения.

Определяется в процессе структурированного интервью специалистом по подбору персонала

Основы и методики тарифо- и ценообразования на электрическую, тепловую энергию и сопутствующие услуги

Определяется руководителем структурного подразделения в процессе собеседования

Активность жизненной позиции, инициативность

Краткая характеристика по результатам психологического исследования

5. Решение проблем Умение подойти к проблеме любой сложности с набором готовых решений

Определяется в процессе структурированного интервью специалистом по подбору персонала

Знание проблем реформирования электроэнергетики

Определяется руководителем структурного подразделения в процессе собеседования

Стиль поведения в конфликтной ситуации

Краткая характеристика по рез ультатам психологического исследования

6. Менеджерский потенциал Способность к четкой постановке целей и приоритетов, Корректировка планов, управление по срокам, склонность к тактическому и стратегическому планированию. Владение навыками мотивирования подчиненных Делегирование ответственности, формирование системы контроля.

Определяется специалистом по подбору персонала в процессе структурированного интервью и психологом в ходе психодиагностического исследования.

Знание основного пакета законов по реформированию электроэнергетики

Определяется руководителем структурного подразделения в процессе собеседования

Коммуникативные качества

Краткая характеристика по результатам психологического исследования

8. Управление конфликтами. Умение разрешать и предотвращать конфликты. Стиль поведения в конфликтной ситуации

Определяется в процессе структурированного интервью специалистом по подбору персонала и психологом в результате психодиагностического исследования.

Знание основ акционерного законодательства

Определяется руководителем структурного подразделения в процессе собеседования

Эмоционально-волевая сфера Эмоциональная устойчивость, уровень самоконтроля

Краткая характеристика по результатам психологического исследования

9. Лидерские черты Склонность к лидерству, доминированию, высокая степень самостоятельности и ответственности. Высокая мотивация достижения успеха. Ориентация на результат.

Определяется в процессе структурированного интервью специалистом по подбору персонала и психологом в результате психодиагностического исследования.

Знание рынка ценных бумаг

Определяется руководителем структурного подразделения в процессе собеседования

Мотивационно- потребностная сфера Ведущие потребности, тип мотивации

Краткая характеристика по результатам психологического исследования



Навыки работы с ПК, офисными приложениями, планирование работы в MS Outlook, базовый английский язык

Определяется в процессе структурированного интервью специалистом по подбору персонала.

Уровень интеллекта IQ

Краткая характеристика по результатам психологического исследования


балл- качество или компетенция выражены ниже среднего; знаний и навыков явно недостаточно для успешного выполнения работы;

балла - качество или компетенция выражены средне; достаточно для шаблонных операций, умеренной успешности в пределах своей профессии;

балла - качество или компетенция выражены выше среднего, обладает большим потенциалом, запас знаний и навыков превышает требования специальности (должности).

Похожие работы на - Стратегии найма персонала на коммерческом предприятии

 

Не нашли материал для своей работы?
Поможем написать уникальную работу
Без плагиата!
Без нейросетей!