Ромашка аптечная (ромашка ободранная)
Міністерство освіти і науки України
Кафедра видобування нафти і газу
КУРСОВА РОБОТА
З ДИСЦИПЛІНИ:
"НАФТОГАЗОПРОМИСЛОВА
ПРОДУКЦІЯ"
На тему:
"Підвищення продуктивності
нафтових свердловин через застосування процесу гідравлічного розриву пласта
(ПГРП) та розрахунок його вартості "
План
Вступ
1. Проектування процесу гідравлічного розриву пласта з метою
підвищення продуктивності нафтових свердловин
1.1 Механізм здійснення гідравлічного розриву пласта. Матеріали для
здійснення ГРП та вимоги до них
1.2 Розрахунок параметрів здійснення гідравлічного розриву пласта
та вибір обладнання для його здійснення
1.3 Технологія здійснення процесу гідравлічного розриву пласта
1.4 Розрахунок прогнозної технологічної ефективності процесу
гідравлічного розриву пласта
1.5 Організація і послідовність виконання ремонтних робіт на
конкретній свердловині, пов'язаних із запроектованим потужним гідравлічним
розривом пласта, технологія і техніка цих робіт. План проведення робіт
2. Розрахунок техніко-економічної ефективності проведення ПГРП
2.1 Організація робіт при проведенні ПГРП
2.2 Кошторис проведення потужного гідравлічного розриву пласта
2.3 Розрахунок річної економічної ефективності
Висновок
Література
Вступ
Гідравлічний розрив пласта (ГРП) - це один з основних методів
дії на привибійну зону пласта.
Гідравлічний розрив пласта - це метод утворення нових тріщин
або розширення і розвиток деяких існуючих в пласті тріщин при нагнітанні в
свердловину рідини або піни при високому тиску і подальшому закріпленні їх
розклинюючим високопроникним матеріалом (пісок, пропант, корунд і ін.).
ГРП застосовується в будь-яких породах, за винятком
пластичних сланців і глин. Це метод не тільки відновлення природної проникності
свердловин, але й значного її збільшення. Сучасні технології ГРП звичайно
передбачають закріплення тріщин приблизно десятьма тонами закріплюючого
матеріалу і застосовуються для збільшення поточного дебіту нафтових, газових
видобувних або приймальності нагнітальних свердловин низькопроникних <0,05
мкм2 пластах товщиною не менше 5 метрів, які залягають на глибинах
до 3500 м, а також в пластах з дещо більшою проникністю, але забрудненою
привибійною зоною.
При збільшенні кількості піску до 20 тон здійснюється
глибокопроникний ГРП, який забезпечує різке збільшення фільтраційної поверхні,
зміну характеру припливу рідини від радіального до лінійного з підключенням
нових зон пласта, ізольованих внаслідок макронеоднорідності. Тріщини такого ГРП
досягають 100.150 м довжини при ширині 10.20 мм.
Мета даної курсової роботи полягає у тому щоб на
практиці змоделювати проектування процесу гідравлічного розриву пласта з метою
підвищення продуктивності нафтових свердловин.
Методи які використовуються в даній курсовій роботі
наступні. Метод аналізу (проводиться аналіз декількох способів підвищення
продуктивності свердловин), а також використовується метод моделюваня
(моделюється розрив ГРП).
1.
Проектування процесу гідравлічного розриву пласта з метою підвищення
продуктивності нафтових свердловин
1.1 Механізм
здійснення гідравлічного розриву пласта. Матеріали для здійснення ГРП та вимоги
до них
Для здійснення ГРП глибокозалягаючих міцних порід з високою
температурою запропоновано застосовувати скляні і пластмасові кульки, зерна
корунду і агломерованого бокситу, молоту шкаралупу грецького горіха і т.д.
У газоносних пластах проникністю до 0,001 мкм застосовують
масований ГРП, при якому розвивають тріщини довжиною до 1000 м, закріплені до
300 тон піску.
Масивний ГРП дуже дорогий, тому передбачається кошторисною
вартістю свердловин і збільшує її на 30-50 %.
За технологічними схемами здійснення розрізняють однократний,
скерований (поінтервальний) та багатократний ГРП. При однократному гідророзриві
під тиском рідини закачування перебувають всі розкриті перфорацією пласти
одночасно (інтервал, який має, наприклад, занижену продуктивність), а при
багатократному ГРП - здійснюється дія послідовно на кожний окремий пласт або
пропласток.
Операція ГРП складається з наступних послідовних етапів:
закачка в пласт рідини розриву для утворення в ньому тріщин; закачка рідини
пісконосія; закачка рідини для продавлювання піску в свердловину. Для
проведення цих операцій за відома встановлюють якість і об'єм робочої і
продавочної рідини, кількість піску та його вміст в робочій рідині, а також
темпи їх закачування. Часто рідину розриву використовують і в якості рідини
пісконосія.
До рідин розриву ставляться наступні основні вимоги:
сумісність їх з породою і флюїдами продуктивного
пласта;
- мала фільтрація через поверхні утворених тріщин;
простота технології отримання і відносно невисока
вартість.
Крім того, рідина пісконосій повинна мати утримуючу здатність
по відношенню до розклинюючих агентів.
За фізико-хімічними властивостями рідини розриву поділяються
на рідини на вуглеводневій основі і рідини на водній основі. Вони не повинні
зменшувати фільтраційні характеристики пласта, не спричиняти набухання
глинистого цементу порід, не утворювати осади при контакті з флюїдами і
водночас бути доступними і дешевими.
Раніше широко використовувались рідини на вуглеводневій
основі (нафта; та загущена мазутом, бітумом, асфальтенами; дизельне паливо) і
емульсії гідрофобні та гідрофільні водонафтові; нафто-кислотні;
кислотно-гасові). Їх. Застосування може бути доцільним при проведенні ГРП у
видобувних свердловинах. У наш час в основному (десь біля 20 % операцій ГРП)
використовують на водній основі (вода, розчини полімерів, кислотні розчини,
міцелярні розчини). Збільшенням витрат таких рідин забезпечується розрив пласта
і компенсується їх недостатня пісконесучість. Загустіння води досягається
вдаванням ПАА (поліакриламід), ССБ (сульфат-спиртова барда), КМЦ
(карбоксилметилцелюлоза). Для попередження набухання глин (стабілізації глин)
воду додають ПАР, полімери, хлористий амоній та ін.
У якості розклинюючого агенту використовують зернисті матеріали:
пісок, шкарлупа грецького горіха, нейлонові і пластмасові кульки, корунд,
суміші цих матеріалів.
Розклинюючим матеріалом (наповнювачем тріщин) звичайно
служить кварцевий пісок з діаметром частинок 0,5.1,2 мм. Гранульований
розклинювальний агент має володіти високою міцністю на зім'яття і не
втискуватися в поверхню тріщин, мати невелику густину, сферичну форму і
однорідний фракційний склад.
На практиці, як правило, при проведенні ГРП в 1 м3
рідини-пісконосія вводять 200-250 кг розклинюючого агента. Відомі технології
гідророзриву із змінною концентрацією розклинюючого агента в рідині пісконосія,
при цьому звичайно масовий вміст частинок в ній рекомендується поступово
збільшувати від 100-150 кг до 500 кг на 1 м3.
Оптимальний об'єм розклинюючого агенту встановлюється в
результаті накопиченого досвіду. Разом з тим, найбільш доцільно закачувати при
гідророзриві 5-6 м3 наповнювача тріщин.
Гідравлічний розрив пласта (ГРП) застосовується практично на
всіх родовищах підприємств ВАТ "Укрнафта". На початковому етапі
розробки родовищ (1257-1270 р. р.) ГРП проводили нютонівськими рідинами (нафта,
загущена нафта) об'ємом до 100 м3 при витраті 0,6-1,5 м/хв із закріпленням
тріщини 4-12 т кварцевого піску. Пізніше (1271-1226 р. р.) ГРП проводили водою,
або водним розчином полімеру з витратою 1,5-2,0 м/хв і нагнітанням біля 400 м
рідини і 7-10 т піску. Додатковий видобуток нафти становив біля 500 т на один
ГРП. Потім збільшували кількість рідини до 1200 м3 і піску до 24 т, а балі до
4800 м3 і піску до 72-24 т. однак це не дозволило підвищити продуктивність
процесів. У 1286-1226 р. р. додатковий видобуток на один ГРП знизився в
середньому до 300 т нафти.
У 1227 році почалось впровадження нової технології - потужних
ГРП (ПГРП). Особливостями ПГРП є використання ненютонівської рідин - водного
гелю та високоміцного закріплювача тріщин - пропанту, з високими концентраціями
300-600 кг/ м в пульпі на основі гелю.
Отже з 1227 року впроваджено потужний гідравлічний розрив
пласта спецтехнікою, розрахованої на тиск до 100 МПа, з комп'ютерним контролем
і управлінням, застосуванням ненютонівської рідини - водного гелю фірми
Кліарвотер та закріплювача тріщини - керамічного пропанта ІРР 16/30 міцністю на
стиск 85,0 МПа, тобто в двічі більшою міцністю піску. Гель фірми Кліарвотер
відзначається особливими фізичними властивостями - уявною в'язкістю 1500-500
мПа-с, при швидкостях зсуву 100-800 1/с, можливістю кіркоутворення, низькою
теплопровідністю і інше. З'явилась можливість розвивати в пластах широкі
високопровідні тріщини будь-якої довжини.
Потужний ГРП (ПГРП) здійснюють для створення в пластах
широких (0,7 - 1,2 см) тріщин високої провідності (0,4-1,2 мкм2) довжиною 30-50
м, що дозволяє збільшувати продуктивність свердловин в 2-4 рази для створення
таких тріщин і якісного закріплення їх під час ПГРП в пласти нагнітають 60-80
м3 високов'язкої ненютонівської рідини (гелю) з витратою 1,6-304 м3/хв. і 6-10
т закріплювача тріщин (пропанту) із зростаючою його концентрацією - від 100
кг/м3 на початку 600кг/м в кінці процесу. Градієнти вибійного тиску
досягають величини 2,1 - 2,36 МПа на 100 м, а тиски на гирлі в свердловинах
глибиною 2500-3700 знаходяться на рівні 50-65 МПа. Запорукою ефективного
застосування процесу є обґрунтований вибір свердловини, підбір рецептури гелю
та закріплювача тріщин, розрахунок метрів ПГРП, добра організація проведення
процесу, дослідження свердловини до і після нього для оцінки ефективності.
Перед ПГРП у більшості випадків проводять МініГРП для
дослідження витку тріщини, визначення коефіцієнта втрат рідини та параметрів
пласта.
Повторно проектують ПГРП за одержаними під час МініГРП
уточненими даними і виконують процес на свердловині. У ході процесу контролюють
основні його параметри і, за потребою, вводять корективи в технологію.
Під час ПГРП здійснюється управління процесом з використанням
системи керування змішувача (блендера) та станції управління. Паралельно
здійснюється запис параметрів гідророзриву та зниження тиску після закінчення
нагнітання для поточного та післяопераційного аналізу. Застосування
комп'ютерного оснащення проектування та керування процесом та системами
радіозв'язку між агрегатами забезпечує його високу оперативність і зручність
для персоналу.
Досягнення у технології проведення потужних гідравлічних
розривів пластів (ПГРП) значною мірою пов'язані з розробками високоефективних
рецептур рідин-носіїв, зокрема гелів на водній і вуглеводневій (нафтовій)
основі, с гелях частини дисперсної фази зв'язані між собою в сітчатий каркас, а
дисперсне середовище замикається в проміжках між ними. Таким чином одержують
еластичні структурові системи - гелі, які мають типову коагуляційну структуру,
характеризуються високою несучою здатністю, невисокою фільтратовіддачею.
Особливість утворення гелів із компонентів фірми
"Clearwater Inc." полягає в тому, що точка гелеутворення (раптова
втрата текучості) наступає в момент добавки зшивача, коли виникає трьохмірна
молекулярна сітка, яка пронизує весь об’єм суміші. Компонентами суміші є
гелеутворювач (ГЛЧ), інгібітор (ІНГ), деемульгатор (ДЕЕ), біоочищувач (БІО),
руйнівник (БРК) і зшивач (ЗШВ). Точна хімічна формула кожного з компонентів є
власністю фірми. За даними Американського нафтового інституту (АНІ) всі
компоненти належать до класу малотоксичних сполук.
Власне гелеутворювач (ГЛЧ) порівняно з полімерними
реагентами, які традиційно застосовувались у вітчизняній практиці одержання
рідин для ГРП, зокрема з поліакриламідом (ПАА), за одинакових умов і при рівних
концентраціях через добу досягають приблизно однакового абсолютного значення
приросту об’єму при заміру їх набухання у воді на приладі ПНГ-1. що ж до
швидкості набухання, то в перші секунди і хвилини вона є в 4-5 разів більшою
для ГЛЧ порівняно з ПАА.
Характерним є те, що водний розчин ГЛЧ стає гелеподібним при
1 % -ній концентрації, а із збільшенням температури до 80°С зміна показників
пластичної в’язкості і динамічної напруги зсуву його розчинів як прісних так і
мінералізованих є незначною, що не властиве більшості відомих полімерних
реагентів, які застосовують у вітчизняному нафтогазовидобутку. Якщо врахувати,
що для одержання водного гелю потрібно 0,34-0,48 % ГЛЧ, то визначальною у
досягненні точки гелеутворення є роль зшивача, тому й класифікують водний гель
фірми "Clearwater Inc.", як рідину-носій на основі зшитих гелів.
До технологічних особливостей даного водного гелю треба
віднести те, що після зшивання золів ГЛЧ імобілізація водного дисперсного
середовища є стільки міцною, що явища синерезису (вивільнення захопленої рідкої
фази з часом) ми не спостерігаємо. Тому подальший розклад (деструкція) гелю
пов'язаний з хімічними реакціями між компонентами. Рецептурним складом гелю
значають як температуру так і тривалість розкладу, що диктують конкретні умови
проведення ПГРП.
Гель із компонентів фірми "Clearwater Inc." Дуже
чутливий до зміни температури. Експериментами при температурах від 36 до 23
виявлено, що деструкція його наступає відповідно через 300 і 20 хв., навіть при
найкращих співвідношеннях ГЛЧ, ЗШЧ і БРК. Для температури більшої 20 необхідно
осовувати додатково - стабілізатор і тільки тоді час деструкції зростає до 30
хв., що достатньо для проведення ПГРП.
Такі критерії оцінки реологічних характеристик водного гелю
фірми "Кліарвотер", як зміна уявної в'язкості в залежності від
швидкості зсуву і від температури ілюструють дані, наведені в таблиці 1.1.
Таблиця 1.1 - Зміна уявної в'язкості водного гелю в
залежності від температури для швидкостей зсуву в НКТ і тріщині
|
Швидкість зсуву, 1/с
|
Уявна в’язкість, мПа-с
|
|
Температура, 0С
|
|
25
|
45
|
65
|
25
|
|
100 (втріщині)
|
1500
|
1200
|
240
|
200
|
|
500 (в трубах)
|
650
|
520
|
430
|
400
|
З таблиці 1.1 видно, що гель є ненютонівською рідиною, яка
характеризується дуже високою уявною в'язкістю, здатною змінюватися в
залежності від швидкості зсуву і температури. Позитивним є здатність для
зростання в'язкості при невеликих швидкостях зсуву, які очікуються в тріщині, і
зниження - при великих швидкостях зсуву в трубах, що спричиняє зменшенню
гідравлічних втрат під час руху гелю до пласта.
1.2
Розрахунок параметрів здійснення гідравлічного розриву пласта та вибір
обладнання для його здійснення
Таблиця вихідних даних:
Свердловина №16 характеризується такими даними:
|
Глибина свердловини до середини пласта
|
м
|
Нсв=1826
|
|
Проникність пласта
|
м2
|
Кпл=0.04∙10-1
|
|
Товщина пласта
|
м
|
h=18
|
|
Радіус контура живлення (половина
середньоарифметичної віддалі між свердловинами)
|
м
|
Rk=340
|
|
Приведений радіус свердловини
|
м
|
rc=0.1
|
|
Пористість породи
|
долі од.
|
mпл=0.12
|
|
Вибраний темп закачки рідини розриву
|
м3/с
|
q0=12∙10-3
|
|
Внутрішній діаметр НКТ
|
м
|
d=0.062
|
|
Концентрація піску в рідині
|
кг/м3
|
c=250
|
|
Маса піску для проведення ГРП
|
кг
|
M=15∙103
|
|
Обводненість продукції свердловини
|
долі. од
|
nB=0.1
|
|
Поточний дебіт свердловини
|
м3/добу
|
Q0=3
|
|
Додатково за літературними даними беремо:
|
-
|
-
|
|
Модуль пружності породи
|
Па
|
E=10∙1010
|
|
Коефіцієнт Пуассона
|
|
v=0.4
|
|
Густина породи
|
кг/м3
|
ρп=2600
|
|
Густина піску
|
кг/м3
|
ρпп=2500
|
|
Зрушуюче навантаження труби умовним діаметром
групи міцності "Д"
|
Н
|
рст=282∙103
|
|
Зусилля затяжки різьби
|
Н
|
G=55∙103
|
|
Прискорення вілького падіння
|
м/с2
|
g=2.81
|
|
Макрошорсткість внутрішньої поверхні НКТ
|
м
|
∆=0.02∙10-3
|
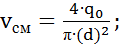
. Визначення вибійного тиску ГРП.
Вертикальну складову гірничого тиску визначимо за формулою
(1.1), Па:

(1.1)
Горизонтальна складова гірничого тиску, Па:

(1.2)
Запроектуємо гідравлічний розрив пласта прісною водою, обробленою
поверхнево-активними речовинами для попередження зменшення проникності пласта
за рахунок розбухання глинистого цементу. В якості рідини-пісконосія використовуємо
ту ж саму воду, оброблену поверхнево-активними речовинами з густиною і
коефіцієнтом динамічної в'язкості відповідно


Для розклинювання тріщини плануємо закачування 150 тонн кварцового
піску фракції 0,8-1,1 мм. Темп закачування рідини задаємо - 172 л/с, що значно
більше мінімально допустимого в разі утворення вертикальних тріщин.
В процесі ГРП безперервно закачують рідину розриву в об'ємі 1 м3
і рідину-пісконосій в об'ємі 2 м, яка одночасно є і рідиною розриву.
Для визначення параметрів тріщини використовуємо формули, які
витікають із спрощеної методики Ю.П. Желтова.
Спочатку оцінимо ширину тріщини після закачування 1 м3
рідини розриву, для чого визначимо тиск на вибої в цей момент часу за формулою,
задавши:

(1.3)
Довжина тріщини після закачування 1 м3 рідини

,

(1.4)=35.246
м.
Розкриття (або ширина) тріщини

(1.5)
Розкриття тріщини є достатнім для того, щоб піcок фракції 0,8-1,1
мм поступав в неї під час закачування порції рідини-пісконосія.
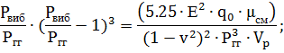
. Розрахунок параметрів рідино-пісчаної суміші проводимо за
формулами (1.4-1.6). Об’ємна концентрація піску в рідині:

(1.6)
Густина суміші, кг/м3:

(1.7)
Умовна динамічна в’язкість суміші, мПа∙с:

(1.8)
Тиск на вибої свердловини в кінці гідророзриву (після закачування
10 м3 рідини в тріщину) визначаємо аналогічно - за формулою (1.3),
задавши Vp=10 м3

. Визначення витрат тиску на тертя при русі суміші по НКТ.
Для виконання ГРП використаємо насосне устаткування типу УШ 630∙700А,
яка має такі основні характеристики:
Раг=70∙106 Па, qаг=0.0064 м3/с,
ктс=0.75
Швидкість руху суміші шукаємо за формулою (1.7), м/с:

(1.2),

.
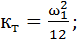
Критерій Рейнольдса:

(1.10)
Коефіцієнт гідравлічного опору визначимо з умови (1.2):

(1.11)


Втрати тиску на тертя розраховуємо по формулі Дарсі-Вейсбаха, Па:

(1.12)

. Тоді втрати тиску на гирлі при проведені ГРП обрахуємо за
формулою (1.11), Па:

(1.13)
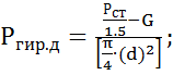
. Допустимий тиск на гирлі розраховуємо за формулою (1.12), Па:

(1.14)
Як бачимо тиск нагнітання Рг менший від отриманих
допустимих тисків, отже на НКТ не потрібно встановлювати пакер з якорем, але
враховуючи терміни експлуатації свердловини над покрівлею продуктивного пласта
встановлюємо пакер з якорем.
. Кількість насосних агрегатів:

n=1.565
(1.15)=2 агрегати.
. Розрахунок необхідної кількості матеріалів для проведення процесу
ГРП.
Об’єм рідини продавки з врахуванням поверхневих комунікацій, м3:

(1.16)
Об’єм рідини пісконосія, м3:

.
Об’єм рідини розриву беруть в межах 5-10 м3 Vp=
7.5
. Робота агрегату
Час закачки рідини розриву, хв:

(1.18)

Час закачки рідини пісконосія, хв:

(1.12)

хв.
Час закачки рідини продавки, хв.:

(1.20)

Загальний час роботи агрегату, хв.:

(1.21)
Вибираємо піскозмішувальне устатковання типу УСП-50 для
транспортування до 2 т піску, дозованого введення піску в потік рідини і
приготування піщано-рідинної суміші, блок маніфольдів типу ІБМ-700С для
обв'язки кількох насосних агрегатів з гирлом свердловини та арматуру гирла типу
2АУ-700. Дистанційний контроль за процесом здійснюємо за допомогою станції
контролю і управління, яка змонтована на автомобілі. Для захисту людей від шуму
застосовуюємо антифони і заглушки. Слід відмітити, що агрегати розміщуємо в
напрямку від гирла свердловини з навітряної сторони, щоб за наявності аварійної
чи пожежної небезпеки безперешкодно відїхати від неї.
Для гідророзриву мають перевагу слабопроникні, зцементовані, міцні
породи, тобто вибираються свердловини, в яких породи пластів при випробуванні
або експлуатації не руйнуються, і в яких не спостерігається піскопроявлення.
Кращі результати проведення ГРП отримані в видобувних свердловинах у яких:
пласти з високим тиском, меншою ступінню дренажності і більш високою
нафтонасиченістю.
По горизонтах, які розробляються з підтриманням пластового тиску,
ефективність гідравлічного розриву пласта виявляється вищою, ніж у тих, які
експлуатуються без підвищення пластового тиску.
Переважно товщина продуктивних пластів, на яких проводять
гідророзрив складає 2-15 м. У свердловинах, які вскрили багатопластові поклади
або пласти товщиною більше 15 м, проводять багатократні або поінтервальні
гідророзриви.
Гідравлічний розрив пласта не рекомендується проводити в технічно
несправних свердловинах.
При виборі свердловин для проведення ГРП доцільно використовувати
дані електрокаротажу, аналізи кернів, історію експлуатації свердловини, дані з
розривів пласта на інших свердловинах того самого родовища і т.д.
На основі проведеного аналізу експлуатації свердловин я приймаю
рішення провести потужний гідравлічний розрив пласта на свердловині № 16 так як
вона працює періодично (період накопичення 20 годин) і має низький дебіт.
розрив пласт гідравлічний свердловина
1.3
Технологія здійснення процесу гідравлічного розриву пласта
Технологічна карта
Перед здійсненням ГРП виконують великий об'єм підготовчих
робіт, пов'язаних з вивченням геологопромислових матеріалів, дослідженням
свердловини і обстеженням її технічного стану, а також з техніко-технологічного
забезпечення процесу.
По свердловині, по якій буде проводитися гідророзрив,
проводиться аналіз усіх геолого-промислових матеріалів і встановлюється глибина
залягання і Товщина пласта, винос породи з пласта, обводненість і джерело
поступлення води, газовий фактор і причини його підвищення, технологія і
результати обробок, проведених у свердловині. За результатами аналізу
геолого-промислових матеріалів намічаються об'єми додаткових
геолого-промислових та гідродинамічних досліджень для отримання достовірної
інформації про свердловину і пласт, необхідну при плануванні гідророзриву
пласта. Підготовка свердловини містить наступні операції:
підготовка майданчика біля свердловини для
розміщення основних і додаткових агрегатів, ємностей для робочих і додаткових
рідин;
- оснащення підйомного обладнання або монтаж підйомної
пересувної установки типу А-50У для проведення спуско-підіймальних операцій;
підйом з свердловини фонтанного або компресорного
ліфта або ж насосної установки, замір глибини розміщення вибою свердловини, а
при наявності пробки її промивка;
шаблонування експлуатаційної колони при здійсненні
гідравлічного розриву по НКТ або опресування її при гідророзриві по
експлуатаційній колоні;
замір фону гама-активності при ГРП з контролем
місцерозташування і ширини розкриття тріщин методом стоків;
спуск у свердловину підземного обладнання: НКТ з
пакером і якорем при гідророзриві по трубах або ж НКТ при гідророзриві по
експлуатаційній колоні;
монтаж обладнання гирла свердловини.
Одночасно з підготовкою свердловини готується необхідне
обладнання, рідини для проведення ГРП і пісок.
Технологія гідравлічного розриву пласта містить такі
операції:
промивка свердловини;
- спускання у свердловину високоміцних НКТ з пакером і
якорем на нижньому кінці;
обв'язка і опресовка на 1,5-кратний робочий тиск
гирла і наземного обладнання;
визначення приймальності свердловини закачуванням
рідини;
закачування по НКТ у пласт рідину-розриву,
рідини-пісконосія і
протискуючої рідини;
демонтаж обладнання;
пуск свердловини в роботу.
Після зниження тиску із свердловини виймають підземне
обладнання і заміряється глибина розміщення вибою. При наявності піщаної пробки
водиться її промивка.
Освоєння і експлуатація свердловини після гідророзриву у
більшості випадків проводиться тим самим способом, як і до здійснення процесу.
Спосіб експлуатації вибраної нами свердловини після здійснення процесу ГРП
залишаємо незмінним, а освоєння свердловини проводимо шляхом пуску
штангово-насосної установки в експлуатацію.
Після встановлення постійного відбору рідини із свердловини
проводиться дослідження методами усталеного і неусталеного відборів для
визначення коефіцієнта продуктивності у видобувних або коефіцієнта
приймальності у нагнітальних свердловинах та інших параметрів пласта,
привибійної зони і свердловини. Для виявлення якісних змін, що відбулися в
свердловині після гідророзриву, потрібно заміряти дебіт нафти і газу,
обводненість, кількість піску, виносяться і т.д.
Для більш повної уяви про довготривалість ефекту у
свердловині при її експлуатації, необхідно ще періодично (один раз у квартал)
проводити дослідження по вивченню динаміки коефіцієнта продуктивності.
Технологічна карта здійснення потужного гідравлічного розриву
пласта на свердловині приведена в таблиці 1.2.
Всього: 10 м3 води + 112 м3 розчину ПЕМ
і 7000 кг пропанту.
Процес ПГРП проводиться у два етапи: спочатку МініГРП з
нагнітанням у 20-30 м3 малов'язкої рідини, або гелю з метою
визначення тиску розриву і проникності пласта, прогнозування процесу розвитку
тріщини, уточнення зовних технологічних параметрів ПГРП і оцінки можливості
проведення ПГРП його ефективності. Після виконується ПГРП під час якого в пласт
нагнітається витраті 2,0-3,6 м3/хв рідина розриву (гель), а за нею
20-40 м3 пульпи (гелю з 6-т пропанту) і на кінець протискуюча
рідина.
Процес ПГРП відрізняється від ГРП такими технологічними
параметрами як: значним зменшенням об'єму пульпи-гелю з закріплювачем (а
значить і тривалістю процесу) у 4-12 раз, зменшенням гідровтрат майже у два
рази (а значить тиску на усті на 30 МПа), поступовим підвищенням концентрації
Таблиця 1.2 - Технологічна карта здійснення ПГРП на
свердловині № 16
|
Тип рідини
|
Об’єм м3
|
Конц. про- панту кг/м2
|
Витрата м3/хв
|
Маса закрі плюва ча, кг
|
Тиск на гирлі, МПа
|
Тріщина, м
|
|
|
|
|
|
|
півдов- жина
|
ширина
|
висота
|
|
Потужний ГРП
|
|
Вода
|
10
|
0
|
1,0-24,0
|
0
|
|
|
|
|
|
ПЕМ
|
5
|
0
|
2,47-3,2
|
0
|
|
|
|
|
|
ПЕМ
|
40
|
0
|
3,0-3,24
|
0
|
|
|
|
|
|
ПЕМ
|
8
|
100
|
3, 20-3,2
|
800
|
|
|
|
|
|
ПЕМ
|
30
|
140
|
3, 20-3,2
|
4200
|
|
|
|
|
|
ПЕМ
|
10
|
200
|
3,04-35,2
|
20040
|
до 545
|
840
|
0,0413
|
182
|
|
Протискування
|
|
ПЕМ
|
125
|
0
|
3,0-3,2
|
0
|
до 640
|
|
|
|
|
Закрити свердловину. Замір падіння тиску.
|
|
Очікувана величина втрат тиску в НКТ до 12.0
МПа.
|
|
|
|
|
|
|
|
|
|
|
1.4 Розрахунок
прогнозної технологічної ефективності процесу гідравлічного розриву пласта
Довжина тріщини після закачування 10м3 рідини:

(1.22)=42.06
м
Розкриття або ширина тріщини:

(1.23)
Рідина-пісконосій розповсюдилась в тріщині на відстань від
свердловини, яка приблизно становить 80% її довжини, тобто: l1=0.8∙l;
l1=32.248 м.
Приймаючи коефіцієнт пористості піску в тріщині після її закриття
m=0.3 визначимо залишкову ширину тріщини.

(1.24),
Проникність тріщини такої ширини:

(1.25)
Середня проникність в при вибійній зоні при утворені вертикальної
тріщини визначається за формулою:

(1.26)
Очікуваний ефект від ГРП попередньо можна визначити за наближеною
формулою Г.К. Максимовича. в якій радіус свердловини де після проведення ГРП
приймається рівним радіусу тріщини 1)

(1.27)=3.766
Отже, очікуваний ефект за наявності вертикальної тріщини рівний
E=3.766 раза
Фактична ефективність може бути дещо нижча, оскільки під час руху
рідини по тріщинах, які заповнені піском, спостерігається невраховані формулою
незначні втрати напору.
Визначимо дебіт після проведенні ГРП:

(1.28)

222
т/добу.
Дебіт по нафті буде складати:

(1.22)

т/добу.
На практиці ми проводимо потужний гідравлічний розрив пласта за
новою технологією з застосуванням американської спецтехніки, але ми не знаємо
за якою математичною моделлю описується процес ПГРП, тому розрахунок
технологічних і технічних параметрів процесу були проведені нами за методикою
по якій розраховуються параметри звичайного ГРП. В дійсності ж після проведення
процесу ПГРП ефективність його проведення дещо вища ніж нами розрахована.
При застосуванні даних параметрів під час проведення ПГРП
розвивається значно коротша, але ширша тріщина, краще запакована закріплювачем.
Внаслідок чого провідність тріщини, яка є добутком її ширини на проникність,
зростає в десятки разів. Тому ріст продуктивності після ПГРП по деяких
свердловинах досягає 4150 % (після звичайних ГРП - 130-180 %), тобто нова
технологія є значно ефективнішою.
1.5
Організація і послідовність виконання ремонтних робіт на конкретній
свердловині, пов'язаних із запроектованим потужним гідравлічним розривом
пласта, технологія і техніка цих робіт. План проведення робіт
Запроектований нами процес гідравлічного розриву пласта
проводимо в такій послідовності:
. Закриваємо центральну засувку на гирловому обладнанні і
проводимо опресовку всієї системи обв'язки обладнання на півторакратний робочий
тиск.
. Випробовуємо свердловину на приймальність при різних
швидкостях насосних агрегатів і при їх послідовному включенні. Встановлюємо
можливість утворення тріщин в пласті шляхом побудови індикаторної діаграми, або
порівняння коефіцієнтів приймальності. Одночасно при випробуванні визначаємо
герметичність розділення між трубного простору від вибою свердловини з
застосуванням пакера.
. При тому ж темпі закачки з застосуванням одного з насосних
агрегатів та піскозмішувача в свердловину закачуємо заданий об'єм. Таким чином
пісок з бункера піскозмішувального агрегату через змішувальний бачок з
допомогою допоміжного агрегату подаємо в один з агрегатів високого тиску і
направляємо в свердловину по НКТ. При цьому одночасно працюють і інші агрегати.
Зокрема концентрацію піску в потоці регулюємо з пульту керування
піскозмішувального агрегату з врахуванням подачі всіх одночасно працюючих
насосних агрегатів.
. Після того як закачаємо заданий об'єм піску в свердловину,
не зменшуючи темпу, закачуємо продавочну рідину з ємності. Зокрема об'єм продавочної
рідини повинен бути рівним ємності НКТ, так як при закачці надлишкової
кількості продавочної рідини не може відбутись витіснення піску в глибину
свердловини (пласта). Це може призвести до того, що після зняття тиску тріщини
близькі від стінки свердловин знову зімкнуться.
Таким чином для запобігання осідання піску на вибої і
утворення піщаної пробки не можна знижувати темп, або зупиняти закачку піску в
свердловину, тому при веденні даного процесу в схемі слід мати не менше одного
запасного агрегату.
Після зупинки процес продавки спостерігаємо за зниженням
тиску на гирлі свердловини. Процес вилучення піску з свердловини, а також
відновлення циркуляції в свердловині після зриву пакера необхідно проводити при
досягненні початкового тиску на гирлі свердловини.
Таким чином якщо після ГРП не відбувається зниження тиску, то
його знімають дуже плавно з тим, щоб введені в пласт пісок разом з відтоком
рідини при великій швидкості не вийшов назад в свердловину.
. На гирлі встановлюємо арматуру для подальшої експлуатації
свердловини і пускають її в роботу.
. Через 10-115 днів випробувальної експлуатації свердловини
проводять комплекс гідродинамічних досліджень свердловини на приплив і ці дані
порівнюють з даними отриманими перед проведенням ГРП. Число тріщин і їх
орієнтацію визначають дослідженням профілів приймальності або продуктивності
свердловин з використанням витратомірів і дебітомірів.
Роботи по вилученню пакера з свердловини слід провести після
того як буде відомий результат ефективності проведеного процесу ГРП.
Схема обв'язки обладнання під час ПГРП показана на плакаті. В
комплект входить: три насосні агрегати моделі РС-22151; блок маніфольда моделі
ІС-3120; змішувач моделі МС-610; станція контролю і управління процесом моделі
РС-3210. Деякі технічні характеристики обладнання:
Насосний агрегат РС-22151, обладнаний двигуном фірми
"Детройт дизель" номінальною потужністю 22150 к. с. при 20150 об/хв.
Насос ТУ8-2000. максимальний робочий тиск - 105 МПа. Максимальна подача насоса
при різних тисках така: 80 МПа - 1,03 м3/хв; 70 МПа - 1,25 м3/хв; 60 МПа - 1.6
м3/хв.
Блок маніфольда моделі ІС-320 дозволяє приєднувати шість
насосних агрегатів, до маніфольда низького та високого тиску.
Змішувач (блендер) моделі УС-60 дозволяє проводити змішування
компонентів робочої рідини з продуктивністю до 2,145 м3/хв і підтримувати
необхідний тиск на вході насосних агрегатів. Змішувач оснащений системою
автоматичного контролю і управління за витратою і загальним об'ємом рідини,
дозуванням хімічних добавок і питомою вагою пульпи а також, підтримання рівня
рідини в змішувальній ємності.
Станція контролю і управління процесом моделі ЕС-122АСО
призначена для запису даних і управління обладнанням. Укомплектована
контрольними вимірювальними приладами, двома комп'ютерами з сучасним програмним
забезпеченням для обробки даних МініГРП, проектування ПГРП та контролю за
процесом.
Реєструється в часі (через кожні 3 секунди) до восьми
параметрів: тиск в наагнітальному трубопроводі і заколонному просторі; витрата
рідини (пульпи); загальний об'єм; густина (концентрацію) та інші.
План-робіт по свердловині № 116 на
проведення гідравлічного розриву пласта.
Дані по свердловині:
. Направлення 324 мм - З10 м зацементовано до устя.
. Кондуктор 245 мм - 300 м зацементовано до устя.
. Експлуатаційна колона 168 мм - 1278 м зацементовано до устя
Ропр=15,3 МПа
. Штучний вибій - 11826 м.
. Інтервал перфорації 1725 - 1732 м, 1745 - 1750 м, 1757 -
1763 м. ПКС - 80 по 18 отв. /І п. м.
. У свердловині РІ-І 1-32-1520 НКТ 21/2” Глибина - 1520 м.
. Дебіт - 3,0 тонни нафти при обводненості - 10 %.
. Пластовий тиск - 10,34 МГІа, пластова температура - 645 С°.
Поправка на стіл ротора - 4,05 м.
З метою збільшення продуктивності свердловини передбачається
зробити потужний ГРП з введенням у щілини 7,0 тон пропанту.
Таблиця 1.3 - Порядок проведення робіт при здійсненні ПГРП
|
№
|
Об'єм роботи:
|
Відповід.
|
|
1
|
2
|
3
|
|
1
|
Опресувати ліфт НКТ Р = 40 атм. Заглушити
свердловину пластовою водою питомої ваги 1,1 г/см2. V = 23 м3.
Мати запас, пластової води V = 10 м.
|
|
|
2
|
Встановити підйомник і обладнання.
|
майстер
|
|
3
|
Підняти ШСН
|
геолог
|
|
4
|
Спустити "перо" на НКТ 21/2"
марки "Д"+ "Н-80” і промити свердловину до глибини 1826 м. до
чистої води. Підняти "перо" на НКТ.
|
майстер
|
|
5
|
Провести термометрію по стовбуру свердловини.
|
геолог
|
|
6
|
Спустити шаблон діаметром 118 мм. Довжиною 2,5
м. на НКТ 21/2" до глибини 1750 м. Підняти шаблон на НКТ 21/2".
|
майстер
|
|
7
|
Спустити в свердловину заглушку на НКТ
21/2" В марки "Р-110" (нові) з опресовкою Р-50,0 МПа через 300
м до глибини 17040 м, вибракувати негерметичні НКТ. Підняти НКТ з заглушкою.
|
майстер
|
Продовження Таблиця 1.3
|
8
|
Спустити в свердловину пакер на рівно-міцних
НКТ 21/2" В марки "Р-110" до глибини 14700 м.
|
майстер
|
|
2
|
Обладнати гирло свердловини арматурою для ГРП
фірми Стюарті Стівенсон. Опресувати фонтанну арматуру на гирлі свердловини до
70.0 МПа.
|
майстер
|
|
10
|
Розпакерувати пакер і опресувати його пластовою
водою при тиску до 252 МПа. Випробувати свердловину на приймальність
пластовою водою на Р = 25,40; 20,0; 15,0 МПа. Записати темп зниження тиску в
часі.
|
майстер
|
|
11
|
Забезпечити наявність на свердловині: а)
комплекту спецтехніки для ГРП фірми Стюарт і Стівенсон (насосних агрегатів РС
- 2251 (Зшт.), змішувач (Віешіег, МС-60), блоку маніфольда, станції
управління), а також 7,0 т пропанту. б) реагентів для приготування 100
м" полімерно-емульсійного розчину: нафти безводної 30м'; прісної води 65
м'; поліакриламід товарної концентрації 8% -7000 кг; жиринокс - 700 л. в)
пластової води 5 0м3; г) автоцистерн - 3 шт; д) агрегат ЦА-320 - 1 шт; є)
автобуса - 1 шт; ж) пожежна машина - 1шт.
|
ДТУ майстер
|
|
12
|
Підготовити при свердловинний майданчик для
розташування 10 одиниць спецтехніки.
|
майстер
|
|
13
|
Встановити чисті ємності загальним об'ємом на
100 м для технологічної рідини і на 50 м - для пластової води, обладнані
згідно СТП 320.001.35320.023-22.
|
майстер
|
|
14
|
За день до ГРП приготувати 100 м' 0,7 % розчину
ПАА з 0,8 % жириноксу. Технологія приготування розчину приведена в додатку до
плану робіт.
|
майстер
|
|
15
|
В день проведення ПГРП приготувати 100 м'
полімерно- емульсійного розчину. Технологія приготування розчину приведена в
додатку до плану робіт.
|
майстер бр. КРС
|
|
16
|
Обв'язати агрегати згідно схеми для ПГРП.
Випробувати трубопроводи тиском 75,0 МПа. До затрубного простору під'єднати
агрегат ЦА-320 і опресувати нагнітальну лінію тиском 25 МПа.
|
ДТУ
|
|
17
|
Забезпечити контроль під час ПГРП засобами
станції контролю і керування. Виставити на пульті станції керування величину
максимально допустимого тиску 53,0 МПа для автоматичної зупинки агрегатів.
|
ДТУ Предст. ЦНДЛ
|
|
18
|
Провести процес ПГРП при тиску на усті до 50,0
МПа згідно передбачуваної технології, наведеної в додатку. Після досягнення
тиску в НКТ 35,0 МПа створити в затрубному просторі тиск 10,0 МПа. У випадку
появи циркуляції негайно припинити ПГРП, промити свердловину до чистої води.
|
ДТУ
|
|
12
|
Записати темп зниження тиску на усті після ПГРП
і проаналізувати технологію його проведення.
|
ДТУ
|
|
20
|
Закрити свердловину для стабілізації тиску
|
майстер бр. КРС
|
|
21
|
Підняти НКТ з пакером
|
майстер
|
|
22
|
Провести термометрію по стовбуру свердловини
|
геолог
|
|
23
|
Спустити "перо" на НКТ 21/2"
марки Д + "Н-80" до глибини 1826 м. промити свердловину до чистої
води. Підняти "перо".
|
майстер
|
|
24
|
Спустити РН 1-322-1520 на НКТ 21/2" гл. ±
в до гл.1520 м. З контрольним заміром. КОМПАНОВКА: патрубок - ШГН - 1НКТ
21/2" гл. - збивний клапан - НКТ 21/2" марки "Н-80" до
гирла.
|
майстер
|
|
25
|
Освоїти свердловину пуском ШГН в роботу з
простеженням за рівнем і здати н/п №3. В разі необхідності проводити прокачку
свердловини Пластовою водою до повного змиву нафтопродуктів. При ремонті
дотримуватись необхідних заходів по ТБ згідно діючих правил та інструкцій.
|
майстер
|
2. Розрахунок
техніко-економічної ефективності проведення ПГРП
2.1
Організація робіт при проведенні ПГРП
З метою обґрунтованого вибору об'єктів для ПГРП виконано
моделювання продуктивності видобувних свердловин. Моделювання продуктивності
здійснено за власною прогамою "Clearwoter", яка дозволяє за відомими
значеннями параметрів продуктивних пластів, характеристиками пластових флюїдів,
а також за величинами дебіту, пластового і вибійного тисків в початковий і
поточний період експлуатації, визначати проникність і гідропровідність кожного
з пластів і для свердловини в цілому, а також коефіцієнт продуктивності і
значення скін-ефекту на різних етапах експлуатації свердловин.
Суть ПГРП полягає у створенні нових або розширенні існуючих
тріщин у пласті шляхом закачки рідини в свердловину під високим тиском і
подальшому закріпленні їх розклинюючим високопроникним матеріалом. Різниця між
простим гідро розривом пласта і потужним гідро розривом пласта полягає в тому,
що при ПГРП використовується не ньютонівська рідина та розклинюючий матеріал
вищої міцності.
Технологія проведення ПГРП не відрізняється від технології
проведення звичайного ГРП і коротко вона складається з наступних операцій:
промивка свердловини; спуск у свердловину високоміцні НКТ з пакером і якорем на
нижньому кінці; обв'язка гирла свердловини, що виконується за встановленою
схемою (див. графічний матеріал); проводиться опресовка всього обладнання, що
працює під тиском на півторакратний робочий режим; визначають приймальність
свердловини шляхом закачування рідини; закачують по НКТ у пласт рідину-розриву,
рідину-пісконосій і протискуючу рідину (власне здійснення самого гідророзриву);
демонтаж обладнання; пуск свердловини в роботу.
Слід зазначити, що необхідно завчасно замовити спецтехніку в
Долинському тампонажному управлінні та дати замовлення на іншу техніку
необхідну при проведенні ПГРП; перелік техніки та її кількість приведена в
таблиці 1.1 п.6.6 даного дипломного проекту.
Порядок робіт при ПГРП наступний.
1) В підготовленій і облаштованій свердловині проводять
перфорацію (якщо це передбачено планом робіт); вивільнюють пакер, проводять
повторну посадку пакера.
) В труби закачують нафту (при обробці нафтової свердловини)
або воду і створюють максимально можливий тиск. При відсутності переливу рідини
через затрубний простір роблять висновок про герметичність пакера.
) При максимальному числі підключених насосних агрегатів в
свердловину закачують рідину розриву і розривають пласт. Про розрив пласта
судять по різкому збільшенні приємистості свердловини. Відсутність різкого
спаду тиску в насосах показує про високу проникність пласта або існування в
пласті природних тріщин, ширина яких поступово збільшується по мірі збільшення
тиску.
) Закачують в пласт пісок з рідиною. Остання порція піску в
кількості 100-150 кг повинна вміщувати радіоактивні речовини, щоб в подальшому
можна було при допомозі гамма-каротажу перевірити зони поглинання піску.
Роботи по проведенню процесу ПГРП проводяться за участю
бригади цеху ПіКРС, склад бригади при проведенні капітального ремонту
наступний: бурильник 6-го розряду, помічник бурильника 4-го розряду, помічник
бурильника 5-го розряду, машиніст підіймача 6-го розряду.
.2 Кошторис
проведення потужного гідравлічного розриву пласта
Згідно з планом на проведення потужного гідророзриву пласта
(ПГРП) на свердловині № 16 Прилуцького нафтового родовища складаємо наступний
кошторис (таблиця 2.1), за допомогою якого визначаємо доход від впровадження
технологій ПГРП.
Таблиця 2.1 - Визначення доходу від впровадження технологій
ПГРП
|
п/п
|
Показники
|
Один,
|
Варіант
|
|
|
|
До впровадж.
|
Після впровад.
|
|
1
|
Обсяг товарної нафти
|
т
|
380563,2
|
380664
|
|
2
|
Обсяг товарного газу
|
м3
|
28802,6
|
28817
|
|
3
|
Додаткові експлуатаційні витрати в т. ч. по
нафті:
|
грн.
|
|
640,253
|
|
а) витрати, що пов'язані з видобутком нафти б)
одноразові витрати по газу: А) витрати, що пов'язані з видобутком газу
|
грн.
|
|
7,253 632,3 0,3755
|
|
4
|
Експлуатаційні витрати на товарну нафту
|
грн.
|
75825,747
|
76466
|
|
5
|
Собівартість 1 т нафти
|
грн.
|
7167
|
7178,2
|
|
6
|
Експлуатаційні витрати на товарний газ
|
грн
|
5157,6245
|
5158
|
|
7
|
Собівартість 1 000 мЗ газу
|
грн.
|
600
|
625,4
|
Витрати на проведення гідро розриву пласта Вгрп визначаються,
як сума витрат на матеріали та експлуатацію вище приведеної техніки для
проведення безпосередньо гідропіскоструменевої перфорації свердловини Вг,
витрат на заробітну плату робітників складу виробничої бригади з соціальними
нарахуваннями Вз і витрат на експлуатацію техніки під час проведення
гідропіскоструминної перфорації Вт, тобто:
Вгрп = Вг + Вз + Вт
Вартість ПГРП разом з витратами на всі види ресурсів для
проведення процесу обчислюють:
Таблиця 2.2 Кількість та ціна реагентів
|
Реагент
|
Одиниці виміру,
|
Кількість,
|
Вартість одиниці, грн
|
Сума, грн.
|
|
Пропант
|
т
|
7
|
801,74
|
5612,18
|
|
Прісна вода
|
м3
|
65
|
4,4
|
286
|
|
Кварцевий пісок
|
т
|
10
|
380
|
3800
|
|
Водний розчин ПАР 0,2%
|
м3
|
67
|
10,1
|
676,7
|
|
Всього
|
10374,88
|
Тому вартість матеріалів для проведення ПГРП буде складати:
Вг =5612,18+286+3800+676,7= 10374,88 грн.
Проведемо розрахунок витрат на експлуатацію техніки і оплату
праці робітникам.
Дані для визначення витрат на використання технічних засобів
і оплати праці ремонтній бригаді зводимо в таблиці 2.3 та 2.4
Таблиця 2.3-Витрати на експлуатацію техніки при проведенні
ПГРП
|
Вид техніки
|
Кількіс- ть, штук
|
Вартість 1 години роботи, грн.
|
Тривалість роботи, год
|
Всього, грн
|
|
Установка парова автомобільна УПА
|
1
|
58
|
4,3
|
242,4
|
|
Насосний агрегат 4 - АН-700
|
3
|
1200
|
4,3
|
2451
|
|
Блок маніфолда 1БМ - 70
|
3
|
45
|
4,3
|
580,5
|
|
Автоцистерна АЦ-10
|
1
|
54
|
4,3
|
232,2
|
|
Станція контролю
|
1
|
28
|
4,3
|
120,4
|
|
Всього
|
3633,5
|
|
|
|
|
|
|
Сумарні витрати на експлуатацію техніки складуть:
Ве =242,4+2451+580,5+232,2+120,4= 3633,5 грн
В тому числі враховуються витрати на транспортування даної
техніки до свердловини:
|
Вид техніки
|
Кількіс- т ь, штук
|
Вартість 1 км. пробігу, грн
|
Відстань, км
|
Всього, грн
|
|
Компресор УСК-60
|
1
|
6,6
|
45
|
227
|
|
Насосний агрегат 4 - АН-700
|
3
|
6,1
|
45
|
274,5
|
|
Агрегат АзІНМАШ-30
|
1
|
6,2
|
45
|
272
|
|
Піскозмішувач 4ПА
|
1
|
6,6
|
45
|
227
|
|
Автобус
|
1
|
5,5
|
45
|
247,5
|
|
Всього
|
1325
|
|
|
|
|
|
|
Сумарні витрати на експлуатацію техніки з врахуванням її
транспортування до свердловини складуть:
Вт=227+274,5+272+227+247,5= 1325 грн.
Розрахунок витрат на заробітну плату робітників бригади для
проведення ПГРП проводимо в таблиці 2.4.
Таблиця 2.4-Витрати на заробітню плату обслуговуючій бригаді
|
Посада
|
Розряд
|
Тарифна ставка
|
Кількість
|
Повна вартість
|
|
|
|
Годин
|
Чоловік
|
|
|
Майстер
|
VI
|
28,50
|
7
|
1
|
122,5
|
|
Робітник
|
V
|
15,62
|
7
|
4
|
437,36
|
|
Оператор компресора
|
IV
|
15,4
|
6
|
1
|
22,4
|
|
Водій
|
IV
|
15
|
7
|
2
|
210
|
|
Машиніст насосного агрегата
|
IV
|
16
|
6
|
1
|
26
|
|
Всього
|
1035,26
|
Сумарні витрати на заробітну плату бригади робітників
включають в себе нарахування на заробітну плату в единий соціальний податок Нн=37,13%
Вз = (122,5 + 437,36 + 22,4+ 210 + 26) ∙ 0,3713 =
384,32 грн
Отже, сумарні витрати на проведення гідро розриву пласта
будуть рівні:
Вгрп =10374,88+384,32+1325=12154,27грн.
2.3
Розрахунок річної економічної ефективності
Розрахунок економічної ефективності процесу ГРП проводимо з
умови збільшення дебіту свердловини. Даний процес підвищення продуктивності
свердловини було проведено лише на одній свердловині серпухівського горизонту
Прилуцького нафтового родовища.
Дебіт нафти після проведення ПГРП нами визначався в пункті
6.5 і становить 10,162 т/добу.
Тепер можемо визначити річний додатковий видобуток нафти
отриманий за рахунок проведення на даній свердловині процесу ПГРП за наступною
формулою:

(2.1)
де QГРП - дебіт свердловини після проведення процесу
ПГРП, т/добу;о - дебіт свердловини до проведення процесу ПГРП,
т/добу;
Т - кількість днів в році, що працювала свердловина,
Т - 365 днів;
кп - середньорічний коефіцієнт, що враховує з часом
падіння дебіту свердловини після здійснення процесу, приймаємо рівним кп
= 0,5.
Отже, річний додатковий видобуток нафти обрахований за формулою
(2.1) становить:
А= (10,162-3,0) ∙365∙0,5 = 1308,3425 т.
Визначимо економічну ефективність від проведеного нами ПГРП,
простіше кажучи - який дохід отримає підприємство:
Е = ДЗ∙Цн - В
де ДЗ - додатковий видобуток газу;
Цн - відпускна ціна нафти;
В - сумарні витрати на проведення ПГРП, витрата на підготовку
додаткового видобутку нафти:
Вп=Дд∙ (Пп+Ппід)
Пп - приведені витрати на підйом 1 т. нафти (4,6 грн)
Ппід - приведені витрати на підготовку 1 т. нафти (36
грн)
Вп = 1308,3425 ∙ (4,6+36) = 53188,7 грн.
Епр = (1308,3425 ∙ 7167) - 12154,27 -
53188,7=2311547,72 грн.
Отже, ми переконалися в тому, що в результаті проведення
гідророзриву пласту для обробки привибійної зони пласта для свердловини задля
підвищення її продуктивності, можна зробити висновок, що даний захід є
доцільний, так як забезпечує приріст дебіту нафти за рік в обсязі 1308,3425
тону/добу і його реалізація за ціною 7167 грн. /тону повністю покриє витрати на
проведення та очищення додаткового видобутку газу і забезпечить отримання
економічного ефекту Е=2311547,72 грн.
Висновок
У даному курсовому проекті надані пропозиції щодо підвищення
продуктивності свердловин по відобутку нафти, а також приведена характеристика
механізму здійснення звичайного гідравлічного розриву пласта (ГРП) та потужного
гідравлічного розриву пласта (ПГРП), також розглянуто які матеріали
використовуються при їх здійсненні. Потужний ГРП має значні переваги над
звичайним ГРП - в пласті створюються широкі тріщини (до 1,2 см) високої
провідності (0,4-1,2 мкм2) довжиною до 30-50 м; в якості
закріплювача використовується керамічний пропант, який володіє міцністю на
стиск 85 МПа, тобто вдвічі більшою міцністю ніж пісок; в якості рідини розриву
і рідини-пісконосія використовується ньютонівська рідина (гелі на водній і
вуглеводневій основі) вона володіє обливими фізичними властивостями і саме
завдяки їм з'явилась можливість розвивати в пласті широкі високопровідні
тріщини будь-якої довжини. Застосування ПГРП показало, що за техологічними
параметрами воно відрізняється в наступному: зменшення об'єму рідини-пісконосія
в 4-12 разів зміеншення гідравлічних втрат у два рази, збільшення щільності
закріплення тріщин. Процес ПГРП здійснюватиметься спецтехнікою фірми
"Stewart & Stevenson". Розрахунок технологічних і технічних
параметрів здійснення процесу я проводив за методикою Ю.П. Желтова, а
очікуваний ефект від здійснення процесу за формулою Г.К. Максимовича, це
пояснується тим, що нам не відомо якою моделлю описується процес в пласті, тому
ми не знаємо за якою методикою проводити розрахунки технічних і технологічних
параметрів здійснення процесу. Розрахунковий очікуваний ефект від впровадження
ГРП - 3,766, хоча в дійсності його значення має бути більшим.
Вцілому можна зробити ще такі окремі висновки
1. Приведена порівняльна характеристика
здійснення звичайного гідравлічного розриву пласта (ГРП) та потужного
гідравлічного розриву пласта (ПГРП) за новою технологією з якої ми
пересвідчились про значну більшу ефективність і доцільність проведення ПГРП.
2. Підрахована технологічна ефективність
проведених потужного гідравлічного розриву пласта на свердловині, яка склала
3,776 рази, тобто даний вид впливу на привибійну зону пласта на свердловинах
родовища доцільно проводити і в подальшому.
3. Після реалізації потужного гідравлічного
розриву пласта розраховано нові режимні параметри роботи свердловини за
методикою з побудовою кривих розподілу тиску у свердловині.
4. Річний ефект від проведеного процесу склав
майже 362 тисячі гривень.
5. Висвітлено заходи з охорони праці при
експлуатації свердловини та при здійсненні запроектованого технологічного
процесу, а також заходи з охорони навколишнього середовища при розробці
родовища. Виконано розрахунок по визначенню зони підвищеного акустичного навантаження
при роботі двох насосних агрегатів.
Література
1.
Р.М. Попадюков, В.Г. Боднарчук. Збірник задач. Розрахунок збору та підготовки
нафтопромислової продукції. ІФДТУНГ, 1976, 935 с.
.
О.І. Адарчук, О.О. Акульшинко, В.С. Бойков, В.М. Дорошенко, Ю.О. Зарубін.
Технологія видобування, зберігання і транспортування нафти і газу: Навчальний
посібник. Івано-Францівськ, "Факел", 2008, 434 с.
.
Молчанова Г.В., Молчанов А.Г. Машины и оборудование для добычи нефти и газа:
Учебник для вузов. - М.: Недра, 1984. - 464 с.
.А.С.
Кутошко. Сбор и подготовка нефти газа и воды, М., Недра 1989, 319с.
.
Г.А. Баригин, И.И. Дунюшкин. Сборник задач по сбору и подготовке нефти, газа и
воды на промыслах.М., Недра 1988, 663 с.
.Л.И.
Борщенко. Подготовка газа и конденсата к транспорту.М. Недра, 1998, 143 с.
.
А.Ф. Медведько. Сбор и подготовка нефти и воды.М. Недра 1998, 221 с.