Татарник колючий
Введение
Целью выполнения данного проекта является оценка
состояния водных ресурсов малой реки, расположенной в зоне интенсивного
сельскохозяйственного освоения водосбора, и разработка сценария экологически
безопасной организации сельскохозяйственного производства на данной территории.
Для этого необходимо решить следующие задачи:
1. Изучить физико-географические условия на
водосборной территории и выделить стокоформирующие комплексы.
2. Определить влагозапасы всех типов почвогрунтов
за летние месяцы с учетом атмосферных осадков и максимально возможного
испарения.
. Вычислить годовой сток для каждого стокоформирующего
комплекса (СФК) и всего водосбора в целом для условий антропогенной нагрузки,
определенной заданием.
. Рассчитать вынос основных элементов-биогенов - азота
и фосфора (массу и концентрацию) с каждого СФК и всего водосбора, а также от
животноводческой отрасли, населения и разных видов сельскохозяйственных угодий.
Сравнить с ПДК.
. Определить естественный фон содержания биогенов в
воде, для чего полностью снять с водосбора антропогенную на грузку и,
сформировав заново СФК, выполнить расчеты годового стока и выноса биогенов.
. Разработать оптимальный сценарий ведения сельского
хозяйства на водосборной территории. Сформировать СФК и выполнить расчеты
годового стока и выноса биогенов для замыкающего створа. Сравнить с ПДК и
сделать выводы.
. В случае неудовлетворительного состояния водных
ресурсов даже в условиях минимально возможного хозяйственного освоения
водосбора, разработать мероприятия по регулированию стока, систему
противоэрозионных мер в бассейне реки, обосновать ограничения водопользования.
1. Описание бассейна реки Чулым
(Новосибирская область)
Основой для выполнения проекта служат картографические
материалы по заданному речному бассейну и антропогенная нагрузка на него в виде
численности сельского населения, объемов сельскохозяйственного производства. В
индивидуальном задании на курсовой проект задаются:
топографическая карта (или карта уклонов);
- карта землепользования на территории водосбора;
- карта почвогрунтовых условий на водосборе и
залегания уровня грунтовых вод (УГВ);
- сведения об антропогенной нагрузке речного бассейна:
-численность сельского населения 33750 человек;
численность городского населения 1270 человек;
поголовье крупнорогатого скота (КРС) - 41500, свиней -
51000;
- осадки годовые 545 мм/год;
максимально возможное испарение 683 мм/год;
глубина промерзания почвогрунтов 1,3 м;
максимальный запас воды в снеге 0,70 м;
Прежде всего, необходимо внимательно изучить исходные данные
- район расположения речного бассейна, картографический материал, виды и
масштабы антропогенной нагрузки, метеорологические данные, водно-физические
характеристики почвогрунтов и прочие сведения. Для бассейна нужно подобрать
недостающие параметры и характеристики, используя справочно-нормативную
литературу. Результаты анализа описываются в первом разделе пояснительной
записки. Различные характеристики лучше представлять в удобной для чтения
табличной форме или в виде круговых диаграмм.
Структура землепользования площади водосбора р. Чулым
приведена в таблице 1.1
Таблица 1.1 - Структура землепользования площади
водосбора р.Чулым
|
Вид угодья
|
Fi,км2
|
Fобщ,км2
|
доля %
|
|
пашня
|
191,31
|
1037,5
|
18,44
|
|
лес
|
776,81
|
|
74,87
|
|
болото
|
31,063
|
|
2,99
|
|
луг
|
38,313
|
|
3,69
|
Вывод: на территории водосбора преобладает лес.
В таблице 1.2 приведена структура почвогрунтов площади
водосбора.
Таблица 1.2 - Структура почвогрунтов площади водосбора
р. Чулым
|
Почвогрунт
|
Fi,км2
|
Fобщ,км2
|
доля %
|
|
Легкий суглинок
|
250,19
|
1037,5
|
24,11
|
|
Торф
|
272,5
|
|
26,27
|
|
Средний суглинок
|
343,13
|
|
33,07
|
|
Тяжелый суглинок
|
171,69
|
|
16,55
|
Вывод: на территории водосбора преобладает средний
суглинок.
1.1 Водно-физические характеристики
почвогрунтов
1) Распределение годовых осадков
Годовая величина осадков составляет KX = 545 мм/год
Распределение годовых осадков приведено в таблице 1.3
Таблица 1.3 - Распределение годовых осадков
|
Месяц
|
4
|
5
|
6
|
7
|
8
|
9
|
10
|
11
|
год
|
|
%
|
5,4
|
7,4
|
11,7
|
13
|
11,2
|
7,6
|
8,6
|
35,1
|
100
|
|
KX,мм
|
29,43
|
40,33
|
63,765
|
70,85
|
61,04
|
41,42
|
46,87
|
191,3
|
545
|
2) Расчет максимально возможного испарения
Максимально возможное испарение составляет Zм = 683 мм.
Распределение максимально возможного испарения
приведено в таблице 1.4
Таблица 1.4 - Распределение максимально возможного
испарения
|
Месяц4567891011год
|
|
|
|
|
|
|
|
|
|
|
%
|
6,8
|
18,2
|
20,5
|
19,4
|
14
|
10,8
|
5,2
|
5,1
|
100
|
|
Zm,%
|
37,06
|
99,19
|
111,73
|
105,73
|
76,3
|
58,86
|
28,34
|
27,795
|
683
|
) Запас воды в снеге в лесу
Запас
воды в снеге в лесу 
, м ,
вычисляется по формуле

(1.1)
где
А - коэффициент, зависящий от климатического района и принимаемый равным 2,0;
hпв -
максимальный запас воды в снегу в поле, м ;
в
- показатель степени в зависимости от климатической зоны принимается равным
0,8.

4) Максимальная гигроскопичность почвогрунтов
Максимальная гигроскопичность почвогрунтов G, мм, приведена в таблице 1.5
Таблица 1.5 - Максимальная гигроскопичность
почвогрунтов
|
Почвогрунт
|
G, мм
|
|
Торф
|
150
|
|
Легкий суглинок
|
60
|
|
Средний суглинок
|
85
|
|
Тяжелый суглинок
|
125
|
5) Полная влагоемкость
Полная
влагоемкость 
, мм ,
определяется по формуле

, (1.2)
6) Коэффициент фильтрации
Коэффициент фильтрации Кф , м/сут , определяется по
таблице 1.6 путем интерполяции в зависимости от максимальной гигроскопичности
почвогрунтов.
Таблица 1.6 - Связь коэффициента фильтрации с
максимальной гигроскопичностью
|
G, мм
|
20
|
50
|
100
|
150
|
200
|
10
|
|
Кф , м/сут
|
1,90
|
0,70
|
0,15
|
0,10
|
0,08
|
2,10
|
) Наименьшая влагоемкость активно слоя
Наименьшая
влагоемкость активно слоя 
, мм ,
определяется по формуле

, (1.3)
Водно-физические
характеристики почвогрунтов сведены в таблицу 1.7
Таблица
1.7 - Расчет водно - физических характеристик почвогрунтов
|
Грунты
|
G,мм
|
Wпв, мм
|
Wнв, мм
|
Kф, м/сут
|
hкк,м
|
|
легкий суглинок
|
60
|
424
|
212
|
0,20
|
2,5
|
|
средний суглинок
|
85
|
459
|
229,5
|
0,34
|
3,0
|
|
тяжелый суглинок
|
125
|
515
|
257,5
|
0,42
|
4,0
|
|
торф
|
150
|
550
|
275
|
0,10
|
0,7
|
2. Определение влагозапасов почвогрунтов водосбора
Расчет влажности почвы выполняется методом
гидрологических и климатических расчетов (ГКР) [1].
При глубоком залегании УГВ ( больше 1,5 м) влагозапасы
активного слоя почвы, Wc ,
мм , определяются по формуле

, (2.1)

(2.2)

, (2.3)
где
Wc - влагозапасы активного слоя почвы, мм;
Vc, V1 , V2 -
средняя, начальная и конечная в расчетном периоде влажность активного слоя в
долях наименьшей влагоемкости;
Кx -
исправленные осадки, мм;
Zм - максимально
возможное испарение, мм;
WHB - наименьшая
влагоемкость активного слоя, мм;
r - параметр,
зависящий от вида почв.
Принятые
значения параметра r сведены в таблицу 2.1
Таблица
2.1 - Значения параметра r в зависимости от видов почв
|
Почвы
|
r
|
|
1
|
2
|
|
Торф
|
2,5
|
|
Легкий суглинок
|
1,5
|
|
Средний суглинок
|
1,7
|
|
Тяжелый суглинок
|
2,0
|
На конец снеготаяния принимается значение влажности
почвы равное наименьшей влагоемкости - WНВ ( V1 = 1
) и выполняется расчет по месяцам до
1
ноября. Зимние месяцы объединяются в один период, и в конце получается опять
влажность на конец снеготаяния. Если она отличается от единицы ( V1
1), то расчет повторяется с новым значением V1 до
требуемой точности. Для формирования весеннего стока определяющую роль играет
влажность последнего расчетного периода, характеризующая средние влагозапасы во
время снеготаяния. Это значение и используется в дальнейших расчетах стока,
которые сведены в таблицу 2.2
Вычисленные
влагозапасы периода снеготаяния относятся только к условиям открытых полевых
участков. Для болот, пойменных участков с минерализацией переувлажненных земель
с близким УГВ ( менее 1,5 м ) это значение Wc можно
откорректировать по методике В.М. Калинина [1]

(2.4)
где
Wh - влагозапасы расчетного слоя почвы при влиянии УГВ,
мм;
Wc - влагозапасы
при отсутствии влияния УГВ, мм;
hm - мощность
расчетного слоя, принимаемая равной 1 м;
h - уровень
грунтовых вод, м;
hv - глубина
грунтовых вод, при которой прекращается их заметное влияние на влажность почвы,
м.
hv= hKK
(2-Vc)1,5 (2.5)
где
hKK - высота капиллярной каймы, принимаемая для торфа,
среднего суглинка, легкого суглинка и тяжелого суглинка, соответственно,
0,7;3,0;2,5;4,0 м.
Таблица 2.2 - Расчет влагозапасов почвогрунтов при УГВ > 1,5 м
(суходольные территории)
|
мес
|
IV
|
V
|
VI
|
VII
|
VIII
|
IX
|
X
|
XI-III
|
год
|
|
первое приближение(легкий
суглинок)
|
|
V1
|
1
|
0,969
|
0,794
|
0,745
|
0,754
|
0,794
|
0,793
|
0,906
|
|
|
Zm
|
37,06
|
99,19
|
111,72
|
105,73
|
76,3
|
58,86
|
28,34
|
27,795
|
|
|
KX
|
29,43
|
40,33
|
63,765
|
70,85
|
61,04
|
41,42
|
46,87
|
191,29
|
|
|
Vc
|
0,979
|
0,849
|
0,761
|
0,751
|
0,781
|
0,793
|
0,867
|
1,328
|
|
|
V2
|
0,969
|
0,794
|
0,745
|
0,754
|
0,794
|
0,793
|
0,906
|
1,608
|
|
|
Wc
|
207,6
|
179,88
|
161,30
|
159,25
|
165,49
|
168,22
|
183,79
|
281,59
|
|
|
второе приближение(легкий
суглинок)
|
|
V1
|
1,608
|
1,430
|
1,039
|
0,872
|
0,823
|
0,837
|
0,823
|
0,932
|
|
|
Zm
|
37,06
|
99,19
|
111,72
|
105,73
|
76,3
|
58,86
|
28,34
|
27,795
|
|
|
KX
|
29,43
|
40,33
|
63,765
|
70,85
|
61,04
|
41,42
|
46,87
|
191,29
|
|
|
Vc
|
1,487
|
1,156
|
0,924
|
0,839
|
0,832
|
0,828
|
0,894
|
1,352
|
|
|
V2
|
1,430
|
0,872
|
0,823
|
0,837
|
0,823
|
0,932
|
1,628
|
|
|
Wc
|
315,23
|
244,98
|
195,90
|
177,79
|
176,46
|
175,54
|
189,53
|
286,51
|
|
|
третье приближение(легкий
суглинок)
|
|
V1
|
1,628
|
1,445
|
1,046
|
0,875
|
0,825
|
0,839
|
0,824
|
0,932
|
|
|
Zm
|
37,06
|
99,19
|
111,72
|
105,73
|
76,3
|
58,86
|
28,34
|
27,795
|
|
|
KX
|
29,43
|
40,33
|
63,765
|
70,85
|
61,04
|
41,42
|
46,87
|
191,29
|
|
|
Vc
|
1,503
|
1,165
|
0,929
|
0,841
|
0,834
|
0,829
|
0,895
|
1,352
|
|
|
V2
|
1,445
|
1,046
|
0,875
|
0,825
|
0,839
|
0,824
|
0,932
|
1,628
|
|
|
Wc
|
318,68
|
247,00
|
196,93
|
178,33
|
176,78
|
175,75
|
189,70
|
286,66
|
221,233
|
|
|
|
|
|
|
|
|
|
|
|
|
|
|
|
|
|
|
|
|
|
месяц
|
IV
|
V
|
VI
|
VII
|
VIII
|
IX
|
X
|
XI-III
|
год
|
|
первое приближение
|
|
V1
|
1
|
0,974
|
0,822
|
0,789
|
0,804
|
0,840
|
0,840
|
0,935
|
|
|
Zm
|
37,06
|
99,19
|
111,72
|
105,73
|
76,3
|
58,86
|
28,34
|
27,795
|
|
|
KX
|
29,43
|
40,33
|
63,765
|
70,85
|
61,04
|
41,42
|
46,87
|
191,29
|
|
|
Vc
|
0,987
|
0,895
|
0,805
|
0,796
|
0,822
|
0,840
|
0,886
|
1,194
|
|
|
V2
|
0,974
|
0,822
|
0,789
|
0,804
|
0,840
|
0,840
|
0,935
|
1,524
|
|
|
Wc
|
254,14
|
230,45
|
207,34
|
204,97
|
211,61
|
216,35
|
228,26
|
307,51
|
|
|
второе приближение(тяжелый
суглинок)
|
|
V1
|
1,524
|
1,344
|
0,989
|
0,865
|
0,841
|
0,863
|
0,855
|
0,948
|
|
|
Zm
|
37,06
|
99,19
|
111,73
|
105,73
|
76,3
|
58,86
|
28,34
|
27,795
|
|
|
KX
|
29,43
|
40,33
|
63,765
|
70,85
|
61,04
|
41,42
|
46,87
|
191,29
|
|
|
Vc
|
1,431
|
1,153
|
0,925
|
0,853
|
0,852
|
0,859
|
0,901
|
1,206
|
|
|
V2
|
1,344
|
0,989
|
0,865
|
0,841
|
0,863
|
0,855
|
0,948
|
1,534
|
|
|
Wc
|
368,57
|
296,82
|
238,16
|
219,71
|
219,46
|
221,26
|
231,88
|
310,54
|
|
|
третье приближение(тяжелый
суглинок)
|
|
V1
|
1,534
|
1,350
|
0,991
|
0,866
|
0,842
|
0,864
|
0,856
|
0,948
|
|
|
Zm
|
37,06
|
99,19
|
111,73
|
105,73
|
76,3
|
58,86
|
28,34
|
27,795
|
|
|
KX
|
29,43
|
40,33
|
63,765
|
70,85
|
61,04
|
41,42
|
46,87
|
191,29
|
|
|
Vc
|
1,439
|
1,157
|
0,927
|
0,854
|
0,853
|
0,860
|
0,901
|
1,206
|
|
|
V2
|
1,350
|
0,991
|
0,866
|
0,842
|
0,864
|
0,856
|
0,948
|
1,534
|
|
|
Wc
|
370,58
|
297,90
|
238,62
|
219,91
|
219,56
|
221,33
|
231,93
|
310,581
|
263,805
|
|
месяц
|
IV
|
V
|
VI
|
VII
|
VIII
|
IX
|
X
|
XI-III
|
год
|
|
первое приближение(средний
суглинок)
|
|
V1
|
1
|
0,971
|
0,806
|
0,764
|
0,776
|
0,815
|
0,815
|
0,920
|
|
|
Zm
|
37,06
|
99,19
|
111,73
|
105,73
|
76,3
|
58,86
|
28,34
|
27,795
|
|
|
KX
|
29,43
|
40,33
|
63,765
|
70,85
|
61,04
|
41,42
|
46,87
|
191,3
|
|
|
Vc
|
0,983
|
0,870
|
0,781
|
0,771
|
0,799
|
0,815
|
0,875
|
1,262
|
|
|
V2
|
0,971
|
0,806
|
0,764
|
0,776
|
0,815
|
0,815
|
0,920
|
1,574
|
|
|
Wc
|
225,61
|
199,73
|
179,22
|
177,00
|
183,39
|
187,03
|
200,89
|
289,64
|
|
|
второе приближение(средний
суглинок)
|
|
V1
|
1,574
|
1,393
|
1,015
|
0,867
|
0,830
|
0,848
|
0,939
|
|
|
Zm
|
37,06
|
99,19
|
111,72
|
105,73
|
76,3
|
58,86
|
28,34
|
27,795
|
|
|
KX
|
29,43
|
40,33
|
63,765
|
70,85
|
61,04
|
41,42
|
46,87
|
191,3
|
|
|
Vc
|
1,465
|
1,157
|
0,925
|
0,845
|
0,841
|
0,842
|
0,896
|
1,279
|
|
|
V2
|
1,393
|
1,015
|
0,867
|
0,830
|
0,848
|
0,837
|
0,939
|
1,589
|
|
|
Wc
|
336,23
|
265,46
|
212,32
|
193,87
|
192,89
|
193,19
|
205,58
|
293,62
|
|
|
третье приближение(средний
суглинок)
|
|
V1
|
1,589
|
1,403
|
1,020
|
0,869
|
0,831
|
0,849
|
0,838
|
0,940
|
|
|
Zm
|
37,06
|
99,19
|
111,72
|
105,73
|
76,3
|
58,86
|
28,34
|
27,795
|
|
|
KX
|
29,43
|
40,33
|
63,765
|
70,85
|
61,04
|
41,42
|
46,87
|
191,3
|
|
|
Vc
|
1,477
|
1,163
|
0,928
|
0,846
|
0,841
|
0,842
|
0,896
|
1,280
|
|
|
V2
|
1,403
|
1,020
|
0,869
|
0,831
|
0,849
|
0,838
|
0,940
|
1,589
|
|
|
Wc
|
338,95
|
266,99
|
213,05
|
194,23
|
193,10
|
193,32
|
205,68
|
293,703
|
237,378
|
|
месяцIVVVIVIIVIIIIXXXI-IIIгод
|
|
|
|
|
|
|
|
|
|
|
первое приближение(торф)
|
|
V1
|
1
|
0,976
|
0,833
|
0,813
|
0,835
|
0,873
|
0,871
|
0,961
|
|
|
Zm
|
37,06
|
99,19
|
111,72
|
105,73
|
76,3
|
58,86
|
28,34
|
27,795
|
|
|
KX
|
29,43
|
40,33
|
63,765
|
70,85
|
61,04
|
41,42
|
46,87
|
191,3
|
|
|
Vc
|
0,990
|
0,916
|
0,825
|
0,822
|
0,850
|
0,872
|
0,906
|
1,152
|
|
|
V2
|
0,976
|
0,833
|
0,813
|
0,835
|
0,873
|
0,871
|
0,961
|
1,513
|
|
|
Wc
|
272,29
|
251,82
|
226,88
|
226,11
|
233,78
|
239,80
|
249,18
|
316,87
|
|
|
второе приближение(торф)
|
|
V1
|
1,513
|
1,295
|
0,941
|
0,856
|
0,854
|
0,882
|
0,877
|
0,966
|
|
|
Zm
|
37,06
|
99,19
|
111,72
|
105,73
|
76,3
|
58,86
|
28,34
|
27,795
|
|
|
KX
|
29,43
|
40,33
|
63,765
|
70,85
|
61,04
|
41,42
|
46,87
|
191,3
|
|
|
Vc
|
1,422
|
1,140
|
0,906
|
0,855
|
0,865
|
0,880
|
0,912
|
1,157
|
|
|
V2
|
1,295
|
0,941
|
0,856
|
0,854
|
0,882
|
0,877
|
0,966
|
1,516
|
|
|
Wc
|
390,92
|
313,46
|
249,17
|
235,08
|
237,88
|
242,12
|
250,75
|
318,14
|
|
|
третье приближение(торф)
|
|
V1
|
1,516
|
1,297
|
0,942
|
0,856
|
0,854
|
0,882
|
0,877
|
0,966
|
|
|
Zm
|
37,06
|
99,19
|
111,72
|
105,73
|
76,3
|
58,86
|
28,34
|
27,795
|
|
|
KX
|
29,43
|
40,33
|
63,765
|
70,85
|
61,04
|
41,42
|
46,87
|
191,3
|
|
|
Vc
|
1,424
|
1,141
|
0,906
|
0,855
|
0,865
|
0,880
|
0,912
|
1,157
|
|
|
V2
|
1,297
|
0,942
|
0,856
|
0,854
|
0,882
|
0,877
|
0,966
|
1,516
|
|
|
Wc
|
391,68
|
313,81
|
249,28
|
235,12
|
237,89
|
242,13
|
250,76
|
318,145
|
279,851
|
Расчет влагозапасов почвогрунтов на заболоченных
территориях (УГВ ≤ 1,5 м) приведен в таблице 2.2
Таблица 2.2 - Расчет влагозапасов почвогрунтов при УГВ
≤ 1,5 м (заболоченные территории)
|
месяц
|
IV
|
V
|
VI
|
VII
|
VIII
|
IX
|
X
|
XI-III
|
год
|
|
Тяжелый суглинок
|
|
Vc
|
1,439
|
1,157
|
0,927
|
0,854
|
0,853
|
0,860
|
0,901
|
1,206
|
|
|
Wc
|
370,59
|
297,90
|
238,62
|
219,92
|
219,57
|
221,33
|
231,93
|
310,58
|
263,805
|
|
hv
|
1,680
|
3,097
|
4,448
|
4,907
|
4,916
|
4,872
|
4,610
|
2,829
|
|
|
Wh,при УГВ=1,5
|
542,23
|
532,21
|
527,26
|
526,10
|
526,08
|
526,19
|
526,83
|
533,61
|
530,063
|
|
|
|
|
|
|
|
|
530,063
|
|
Легкий суглинок
|
|
Vc
|
1,503
|
1,165
|
0,929
|
0,841
|
0,834
|
0,829
|
0,895
|
1,352
|
|
|
Wc
|
318,68
|
247,00
|
196,94
|
178,34
|
176,79
|
175,76
|
189,70
|
286,66
|
221,233
|
|
hv
|
0,875
|
1,907
|
2,771
|
3,118
|
3,148
|
3,168
|
2,905
|
1,304
|
|
|
Wh,при УГВ=1,5
|
465,09
|
452,91
|
445,68
|
443,56
|
443,39
|
443,28
|
444,82
|
460,07
|
449,849
|
|
Wh,при УГВ=1,0
|
501,95
|
493,92
|
476,44
|
471,08
|
470,66
|
470,39
|
474,27
|
505,57
|
483,035
|
|
Wh ср
|
|
|
|
|
|
|
|
|
466,442
|
|
Средний суглинок
|
|
Vc
|
1,477
|
1,163
|
0,928
|
0,846
|
0,841
|
0,842
|
0,896
|
1,280
|
|
|
Wc
|
338,94
|
266,99
|
213,05
|
194,23
|
193,10
|
193,32
|
205,68
|
293,70
|
237,378
|
|
hv
|
1,135
|
2,296
|
3,328
|
3,717
|
3,741
|
3,737
|
3,479
|
1,834
|
|
|
Wh,при УГВ=1,5
|
495,20
|
483,01
|
476,57
|
474,86
|
474,76
|
474,78
|
475,87
|
487,19
|
480,279
|
|
Wh,при УГВ=1,0
|
535,74
|
516,66
|
500,81
|
496,56
|
496,32
|
496,37
|
499,07
|
526,06
|
508,450
|
|
Wh ср
|
|
|
|
|
|
|
|
|
494,364
|
|
Торф
|
|
Vc
|
1,424
|
1,141
|
0,906
|
0,855
|
0,865
|
0,880
|
0,912
|
1,157
|
|
|
Wc
|
391,68
|
313,81
|
249,28
|
235,12
|
237,89
|
242,13
|
250,76
|
318,14
|
279,851
|
|
hv
|
0,306
|
0,557
|
0,800
|
0,858
|
0,846
|
0,829
|
0,795
|
0,542
|
|
|
Wh,при УГВ=1,0
|
697,30
|
796,03
|
873,80
|
887,20
|
884,73
|
880,81
|
872,29
|
790,34
|
835,313
|
|
Wh,при УГВ=0,8
|
700,92
|
815,54
|
937,87
|
967,43
|
961,59
|
952,72
|
934,81
|
808,21
|
884,886
|
|
Wh ср
|
|
|
|
|
|
|
|
|
860,0997
|
3. Выделение стокоформирующих комплексов речного бассейна
Суть географо-гидрологического метода состоит в том,
что каждый речной бассейн представляется рядом элементарных водосборов, имеющих
примерно одинаковые природные условия [1]. Такие элементарные водосборы
называются стокоформирующими комплексами (СФК) и для них характерна
однородность параметров гидрологического цикла
Выделение стокоформирующих комплексов является сложной
задачей, которая решается методом итераций.
В курсовом проекте рекомендуется вначале провести
генерализацию землепользования, почвогрунтов, гидрогеологической обстановки, с
тем, чтобы избежать чрезмерной мелкоконтурности угодий. Затем, руководствуясь,
прежде всего видом землепользования, видом почвогрунтов и уклонами поверхности,
наметить границы СФК, учитывая насколько это возможно и положение УГВ.
Характеристики сформированных СФК представлены в виде таблицы 3.1.
Таблица 3.1 - Характеристики СФК
|
№ СФК
|
Вид уг.
|
Почвы
|
Fi, км2
|
I, %o
|
G, мм
|
Кф, м/сут
|
Wпв, мм
|
Wнв, мм
|
УГВ,м
|
|
1
|
лес
|
торф
|
151,625
|
10
|
150
|
0,1
|
550
|
275
|
1
|
|
2
|
лес
|
торф
|
58,75
|
5
|
150
|
0,1
|
550
|
275
|
1
|
|
3
|
лес
|
легк.сугл
|
54,375
|
10
|
60
|
0,2
|
424
|
212
|
1
|
|
4
|
лес
|
легк.сугл
|
92,5
|
10
|
60
|
0,2
|
424
|
212
|
1,5
|
|
5
|
лес
|
легк.сугл
|
42,5
|
15
|
60
|
0,2
|
424
|
212
|
2
|
|
6
|
лес
|
тяжел.сугл
|
18,75
|
20
|
125
|
0,42
|
515
|
257,5
|
1,5
|
|
7
|
лес
|
тяжел.сугл
|
48,0625
|
10
|
125
|
0,42
|
515
|
257,5
|
1,5
|
|
8
|
лес
|
тяжел.сугл
|
43
|
5
|
125
|
0,42
|
515
|
257,5
|
1,5
|
|
9
|
лес
|
тяжел.сугл
|
30,3125
|
10
|
125
|
0,42
|
515
|
257,5
|
1
|
|
10
|
лес
|
сред.сугл
|
135,625
|
15
|
85
|
0,34
|
459
|
229,5
|
2
|
|
11
|
лес
|
сред.сугл
|
73,6875
|
5
|
85
|
0,34
|
459
|
229,5
|
1,5
|
|
12
|
лес
|
сред.сугл
|
29,25
|
5
|
85
|
0,34
|
459
|
229,5
|
1
|
|
13
|
болото
|
торф
|
7,6875
|
5
|
150
|
0,1
|
550
|
275
|
0,8
|
|
14
|
болото
|
торф
|
13,0625
|
10
|
150
|
0,1
|
550
|
275
|
0,8
|
|
15
|
болото
|
легк.сугл
|
10
|
60
|
0,2
|
424
|
212
|
1
|
|
16
|
болото
|
тяжел.сугл
|
0,625
|
10
|
125
|
0,42
|
515
|
257,5
|
1
|
|
17
|
болото
|
тяжел.сугл
|
4,3125
|
15
|
125
|
0,42
|
515
|
257,5
|
1,5
|
|
№ СФК
|
Вид уг.
|
Почвы
|
Fi, км2
|
I, %o
|
G, мм
|
Кф, м/сут
|
Wпв, мм
|
Wнв, мм
|
УГВ,м
|
|
18
|
болото
|
тяжел.сугл
|
1,75
|
10
|
125
|
0,42
|
515
|
257,5
|
1
|
|
19
|
пашня
|
торф
|
10,875
|
5
|
150
|
0,1
|
550
|
275
|
1
|
|
20
|
пашня
|
легк.сугл
|
47
|
10
|
60
|
0,2
|
424
|
212
|
1,5
|
|
21
|
пашня
|
легк.сугл
|
2,75
|
5
|
60
|
0,2
|
424
|
212
|
1
|
|
22
|
пашня
|
тяжел.сугл
|
18,125
|
15
|
125
|
0,42
|
515
|
257,5
|
1,5
|
|
23
|
пашня
|
тяжел.сугл
|
16,875
|
5
|
125
|
0,42
|
515
|
257,5
|
1,5
|
|
24
|
пашня
|
тяжел.сугл
|
2,5
|
10
|
125
|
0,42
|
515
|
257,5
|
1
|
|
25
|
пашня
|
сред.сугл
|
16,875
|
5
|
125
|
0,42
|
515
|
257,5
|
1,5
|
|
24
|
пашня
|
сред.сугл
|
54,125
|
15
|
85
|
0,34
|
459
|
229,5
|
2
|
|
25
|
пашня
|
сред.сугл
|
12,375
|
5
|
85
|
0,34
|
459
|
229,5
|
1,5
|
|
26
|
пашня
|
сред.сугл
|
2,9375
|
10
|
85
|
0,34
|
459
|
229,5
|
1
|
|
27
|
луг
|
торф
|
0,89
|
10
|
150
|
0,1
|
550
|
275
|
1
|
|
28
|
луг
|
легк.сугл
|
5,875
|
10
|
60
|
0,2
|
424
|
212
|
1,5
|
|
29
|
луг
|
легк.сугл
|
7,3125
|
5
|
60
|
0,2
|
424
|
212
|
1
|
|
30
|
луг
|
тяжел.сугл
|
4,375
|
15
|
125
|
0,42
|
515
|
257,5
|
1,5
|
|
31
|
луг
|
тяжел.сугл
|
0,6875
|
10
|
125
|
0,42
|
515
|
257,5
|
1
|
|
32
|
луг
|
сред.сугл
|
12,5
|
15
|
85
|
0,34
|
459
|
229,5
|
1,5
|
|
33
|
луг
|
сред.сугл
|
2,375
|
5
|
85
|
0,34
|
459
|
229,5
|
1,5
|
|
34
|
луг
|
сред.сугл
|
3,125
|
10
|
85
|
0,34
|
459
|
229,5
|
1
|
|
∑
|
|
|
1037,5
|
|
|
|
|
|
|
4. Расчет годового стока
.1 Расчет
стока в реальных условиях (при антропогенном воздействии)
Для
СФК с глубоким залеганием грунтовых вод (больше 1,5 м) коэффициент стока 
определяется
по формуле

(4.1)
где

-
параметр, характеризующий поверхностную емкость водосбора;
Wcр - средняя за
расчетный период влажность активного слоя почвы, принимаемая из таблицы 2.1,2.2
для, соответственно, суходольных и заболоченных территорий, мм;
WПВ - полная
влагоемкость активного слоя почвы, мм;
G - максимальная
гигроскопичность активного слоя, мм;
m,b -
параметры, зависящие от глубины промерзания почвы.
Для
заболоченных СФК коэффициент стока 
определяется
по формуле

(4.2)
где
h - средний УГВ за период весеннего снеготаяния, м;
hкр -
критическая глубина залегания грунтовых вод (УГВ), когда прекращается их
заметное влияние на влагозапасы активного слоя почвы, или другими словами,
глубина УГВ, при которой коэффициент стока с болот равен коэффициенту стока при
отсутствии влияния грунтовых вод.

(4.3)

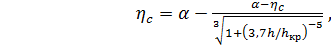
, (4.4)

(4.5)

(4.6)

(4.7)

(4.8)

(4.9)
где
i - уклон СФК , %;
F- площадь СФК,
км2;
Кф
- средний коэффициент фильтрации активного слоя, м/сут;
hnp - глубина
промерзания, м.
Параметры
bm и f для болот и суходолов определяется по разным формулам
формулам.
Для
суходольных СФК

(4.10)

(4.11)
Для
заболоченных СФК

(4.12)

(4.13)
Для
Западной Сибири глубину промерзания hпр , м, можно принять по
рекомендациям [1]. Глубина промерзания в лесу hпр(л), м,
рассчитывается по следующей формуле
hпр(л)=0,6hпр(п)
- 0,07, (4.14)
где
hпр(п) - глубина промерзания почвогрунтов, равная 1,5
м.
hпр(л)=0,6. 1,3
- 0,07=0,71 м.
Глубина
промерзания для болота hпр(б) принимается равной 0,5 м.
Глубина
промерзания для луга hпр(луг) , м, рассчитывается по формуле
hпр(луг)=0,72hпр(п)
- 0,07, (4.15)
hпр(луг)=0,72.
1,3 - 0,07=0,866 м.
Большую
роль в формировании стока играет водопроницаемость почв. Она изменяется в
широких пределах, что связано не только с механическим составом почвогрунтов,
но и наличием растительности, ее видов, антропогенным воздействием и т.п.
Например, в лесу фильтрующая способность почвы выше по сравнению с полевыми
участками при совершенно одинаковых по механическому составу и генетическому
типу почвах. Поэтому рекомендуется сначала определить (примерно) пределы
коэффициента фильтрации для СФК водосбора, а затем в процессе расчета уточнить
их значения. Для этого нужно иметь за расчетный период среднюю величину
весеннего стока в замыкающем створе (либо из наблюдений, либо снять с карт
изолиний).
По
вышеприведенным формулам для верхнего и нижнего пределов коэффициентов
фильтрации рассчитывается сток и сравнивается с фактическим стоком
(наблюденным). В случае расхождения (обычно 
0,1 мм)
вычисления повторяются для средних значений коэффициента фильтрации. При
отсутствии данных коэффициент фильтрации можно принять в зависимости от G
(максимальной гигроскопичности) или содержания глинистых частиц в почве
(таблица 1.6).
Сток
со всего водосбора h, м, определится как средневзвешенная величина

(4.16)
где
yi - сток с i-го СФК, м;
fi - площадь i-го СФК,
км2;
F - полная
площадь водосбора, км2.

(4.17)

=7,9 мм.
Объем
годового стока W, млн.м3, рассчитывается по формуле

( 4.18)
где
y - суммарный сток СФК, м.
Расчет приведен в таблице 4.1.(приложение Б, таблица Б1 )
4.2 Расчет стока в естественных условиях (при отсутствии
антропогенного воздействия)
Расчет ведется аналогично п. 4.1 и приведен в таблице
4.2 (приложение Б,таблица Б2). Но для оценки влияния хозяйственного освоения
водосброса на среднегодовой сток выполняется расчет для естественного фона, и
сравниваются полученные значения первого и второго варианта. Пашня заменяется
лугом, на территории нет населенных пунктов и нет выпаса скота.
Таким образом, слой стока при отсутствии антропогенного воздействия
увеличился на 2,3 мм, а общий объем СФК увеличился на 24,1 млн.м3 по сравнению
со стоком в реальных условиях(при антропогенном воздействии).
5. Расчет загрязнения реки биогенными элементами
Источниками биогенных элементов служат:
сельскохозяйственные территории;
фермы (крупные и мелкие подворья);
коммунально-бытовые отходы из населенных пунктов;
Наибольшее загрязнение территорий идет с
сельскохозяйственных территорий: азота в среднем поступает в 3 раза больше, а
фосфора в 10 раз больше, чем с городских территорий.
5.1 Вынос биогенных элементов с сельскохозяйственных угодий с
поверхностным и твердым стоком
Основными биогенными элементами (биогенами),
способствующими евтрофированию водоемов, являются азот и фосфор. Они поступают
в воду в виде нитратов, нитритов, аммония и фосфатов. Для оценки количества
биогенов, выносимых с сельскохозяйственных угодий используется методика [2], в
соответствии с которой, концентрация биогенных веществ рассчитывается по
формуле
C = Cy + Cm , (5.1)
где С - концентрация биогенов, мг/л;
Су - концентрация водно-растворимых форм, мг/л;
Ст - концентрация абсорбированных форм, выносимых
твердых
стоком, мг/л.

, (5.2)

(5.3)
где
a - параметр растворимости, для азота а = 0,144 кг/л,
для фосфора
а
= 0,002 кг/л;
Dn - содержание
подвижных форм в почве, для фосфора для южной подтайга принимается Dn =
50 мг/кг; для азота при типе почв подзолистые
Dn = 18 мг/кг;
b - параметр
перехода удобрений в сток, зависит от сроков и способов внесения удобрений.
Осенью по мерзлой почве (поверх.) величина b равна для
азота и фосфора, соответственно, 0,216; 0,510 мг
га/л
кг;
Dy - доза удобрений, принимаемая равной для азота и фосфора,
соответственно, 80;60 кг/га ;
Ка - эмпирический коэффициент (константа). Для озимых
зерновых эта величина принимается 0,7;1,1 для азота и фосфора соответственно.
Wф - вынос фосфора с пашни, кг/га;
F - площадь СФК, км2;
Wгод - среднегодовой объем стока в замыкающем створе, млн.м3.
С твердым стоком в основном выносится фосфор. Вынос
азота незначителен, поэтому расчет выноса с твердым стоком выполняется обычно
только для фосфора. Рекомендуется следующая эмпирическая зависимость:

, (5.4)
где
Gm - модуль смыва почвы весенним стоком (т/га), зависит
от годового слоя стока и от грунта почв.
Годовой
слой стока hв, мм, рассчитывается по формуле

(5.5)
где
yi - годовой слой стока i - СФК, мм;
D,B -
эмпирические коэффициенты, равные соответственно 7,5;1,4.
Почвы
- черноземы, для них величина Gm равна 0,05 т/га;
Твердый
фосфор выносится только с пашни.
Масса
выносимого фосфора Мф, кг, определяется по формуле

(5.6)
Расчет
приведен в таблице 5.1.
Таблица
5.1 - Расчет концентрации фосфора, выносимого твердым стоком
|
№ СФК
|
Fi, га
|
yi, мм
|
hв, мм
|
Gт, т/га
|
Wф, т/га
|
Мф, т
|
Wi, млн. м3
|
Ст, мг/л
|
|
1
|
2
|
3
|
4
|
5
|
6
|
7
|
8
|
9
|
|
19
|
10,875
|
0,051
|
0,092
|
0,75
|
0,017
|
0,1841
|
0,556
|
0,330819
|
|
20
|
47
|
0,087
|
0,75
|
0,017
|
0,7955
|
2,265
|
0,351257
|
|
21
|
2,75
|
0,056
|
0,100
|
0,75
|
0,017
|
0,0465
|
0,153
|
0,304631
|
|
22
|
18,125
|
0,011
|
0,020
|
0,75
|
0,017
|
0,3068
|
0,200
|
1,536466
|
|
23
|
16,875
|
0,010
|
0,018
|
0,75
|
0,017
|
0,2856
|
0,173
|
1,653728
|
|
24
|
2,5
|
0,018
|
0,032
|
0,75
|
0,017
|
0,0423
|
0,045
|
0,944194
|
|
25
|
70,975
|
0,005
|
0,009
|
0,75
|
0,017
|
1,2014
|
0,346
|
3,469767
|
|
26
|
15,3375
|
0,029
|
0,053
|
0,75
|
0,017
|
0,2596
|
0,448
|
0,579734
|
|
∑
|
184,438
|
|
|
|
|
3,1219
|
4,185
|
0,745909
|
Далее считается вынос биогенных элементов с угодий.
Для расчета принимаются следующие величины:
Луг пойменный: а = 0,144кг/л; Ка = 0,7;Dy = 0 (удобрение не вносятся);
Dп = 49 мг/кг (фосфор); Dп = 20 мг/кг (азот). Величина Су определяется по формуле 5.2.
Лес: Cy =
0,4 мг/л для азота; Cy = 0,015 мг/л
для фосфора.
Болото: Cy =
1,58 мг/л для азота; Cy =
0,04 мг/л для фосфора.
Общий вынос биогенных элементов рассчитывается в
таблице 5.2
Таблица 5.2 - Вынос биогенных элементов с угодий
|
Угодье
|
Fi, га
|
Wi, млн. м3
|
Азот
|
Фосфор (ж.)
|
Фосфор (тв.)
|
Фосфор (общ.)
|
|
|
|
СN, мг/л
|
МN, т
|
СP, мг/л
|
МP, т
|
СP, мг/л
|
МP, т
|
МP, т
|
СP, мг/л
|
|
1
|
2
|
3
|
4
|
5
|
6
|
7
|
8
|
9
|
10
|
11
|
|
пашня
|
18443,8
|
4,185
|
19,872
|
83,17
|
30,7
|
128,48
|
0,746
|
3,12
|
31,446
|
0,385
|
|
лес
|
77843,8
|
74,280
|
0,4
|
29,71
|
0,015
|
1,114
|
-
|
-
|
1,114
|
0,014
|
|
луг пойм
|
3714
|
1,230
|
2,016
|
2,479
|
0,16
|
0,197
|
-
|
-
|
0,197
|
0,002
|
|
болото
|
3750
|
2,026
|
1,58
|
3,201
|
0,04
|
0,081
|
-
|
-
|
0,081
|
0,001
|
|
∑
|
103751,5
|
81,721
|
1,4508
|
118,5
|
1,5893
|
129,88
|
0,038
|
3,12
|
133,00
|
1,628
|
Из расчета видно, что большее количество биогенных элементов выносится с
пашни.
Далее рассчитывается вынос биогенных элементов с угодий в естественных
условиях, то есть без антропогенного влияния (таблица 5.3).
Таблица 5.3 - Вынос биогенных элементов с угодий в естественных условиях
|
Угодье
|
Fi, га
|
Wi, млн. м3
|
Азот
|
Фосфор
|
|
|
|
СN, мг/л
|
МN, т
|
СP, мг/л
|
МP, т
|
|
1
|
2
|
3
|
4
|
5
|
6
|
7
|
|
лес
|
96287,5
|
102,573
|
0,4
|
41,029
|
0,015
|
1,539
|
|
луг пойм
|
3625
|
1,230
|
2,016
|
2,479
|
0,16
|
0,197
|
|
болото
|
3750
|
2,026
|
1,58
|
3,201
|
0,04
|
0,081
|
|
∑
|
103662,5
|
105,829
|
0,44137
|
46,7092
|
0,017164
|
1,8164
|
Средняя концентрация С, мг/л, вычисляется по формуле

(5.7)

мг/л -
средняя концентрация азота;

мг/л -
средняя концентрация фосфора.
5.2 Расчет выноса биогенных элементов с животноводческими
стоками
В случае промышленного животноводства для периода
стойлового содержания крупнорогатого скота (КРС) количество выносимых в водоемы
биогенов определяется по формуле

(5.8)
река сток качество вода биогенный
где Wж -
вынос биогенных веществ, кг;
-
содержание биогенных веществ в отходах на 1 голову скота , принимается для КРС
по азоту 0,16 и по фосфору 0,066 кг/сут;
z - коэффициент,
учитывающий долю биогенного вещества, оставшегося после отстаивания или механического
разделения (таблица 5.4).
р
- эффективность очистки сточных вод.
Для
первой ступени очистки: для азота р = 0,75, для фосфора р = 0,95.
t - расчетный
период, равный для свиней и КРС, соответственно, 365;215 сут.
Расчет
приведен в таблице 5.5.
n - число голов
КРС и свиней, принимаемое для промышленного животноводства равным 80% от общего
количества голов.
Для
периода выгульного содержания скота (КРС) количество биогенов,

, кг,
поступающих в водоемы с загонов, пастбищ откормочных площадок, определяется по
формуле

(5.9)
где S -
коэффициент, принимаемый 0,2 для азота и 0,05 для фосфора.
Таблица 5.4 - Таблица для определения коэффициента,
учитывающего долю биогенного вещества
|
Способ обработки
|
z
|
|
азот
|
фосфор
|
|
Отстаивание
|
0,50
|
0,65
|
|
Механическое разделение
|
0,87
|
0,75
|
Таблица 5.5 - Вынос биогенных элементов с
животноводческими промышленного животноводства и в частном секторе
|
Вид скота
|
n, голов
|
t, сут
|
Азот
|
Фосфор
|
|
|
|
ω,
кг/сут
|
p
|
z
|
Wж, кг
|
ω,
кг/сут
|
p
|
z
|
Wж, кг
|
|
1
|
2
|
3
|
4
|
5
|
6
|
7
|
8
|
9
|
10
|
11
|
|
|
промышленное животноводство
|
|
КРСст
|
29050
|
215
|
0,16
|
0,75
|
0,5
|
124915
|
0,066
|
0,95
|
0,65
|
13397,1
|
|
КРСв
|
29050
|
150
|
0,16
|
0,75
|
0,5
|
139440
|
0,066
|
0,95
|
0,65
|
14379,8
|
|
Свиньи
|
35700
|
365
|
0,034
|
0,75
|
0,5
|
55379,6
|
0,012
|
0,95
|
0,65
|
5081,9
|
|
итого
|
|
|
|
|
|
319735
|
|
|
|
32858,8
|
|
|
частный сектор
|
|
КРСст
|
12450
|
215
|
0,16
|
|
|
727080
|
0,066
|
|
|
299920,5
|
|
КРСв
|
12450
|
215
|
0,16
|
|
|
85656
|
0,066
|
|
|
8833,3
|
|
Свиньи
|
15300
|
365
|
0,034
|
|
|
189873
|
0,012
|
|
|
67014,0
|
|
итого
|
|
|
|
|
|
1002609
|
|
|
308753,8
|
В
случае содержания скота на частных подворьях, как правило, располагающихся в
непосредственной близости от реки, никакой очистки стоков не производится.
Весной происходит смыв отходов поверхностным стоком, в том числе и речным.
Вынос биогенов 
, кг, в
этих условиях можно оценить по формуле

(5.10)
n - число голов
КРС и свиней, принимаемое для частных подворьев равным 20% от общего количества
голов.
Расчеты
выноса биогенных элементов с частных подворьев и промышленного животноводства
сводятся в таблицу 5.8
Таблица
5.8 - Вынос биогенных элементов c животноводческими стоками
|
Вид скота
|
n, голов
|
Азот
|
Фосфор
|
|
|
Wж, т
|
Сж, мг/л
|
Wж, т
|
Сж, мг/л
|
|
КРС(ст)круп.фермы
|
29050
|
125
|
1,529
|
13,40
|
0,164
|
|
Свиньи(ст)круп.фермы
|
35700
|
55,38
|
0,678
|
5,08
|
0,062
|
|
КРС(выгул)круп.фермы
|
29050
|
139,44
|
1,706
|
14,38
|
0,176
|
|
КРС(ст)мелк.фермы
|
12450
|
727,08
|
8,897
|
299,92
|
3,670
|
|
Свиньи(ст)мелк.фермы
|
15300
|
189,87
|
2,323
|
67,01
|
0,820
|
|
КРС(выгул)мелк.фермы
|
12450
|
85,66
|
1,048
|
8,83
|
0,108
|
|
∑
|
|
1322
|
16,181
|
408,63
|
5,000
|
Средняя концентрация по азоту и фосфору для всего
животноводческого хозяйства составит:

мг/л;

мг/л;
5.3 Вынос биогенных элементов с урбанизированных территорий
Площадь
застройки сельских и городских территорий 
, га,
определяется по формуле

(5.11)
где
Fтер - площадь застройки, га;
N - число
жителей, тыс. чел;
m - параметр,
принимаемый для малоэтажной застройки равным 0,88;


Поступление
биогенов с территории 
т,
определяется по формуле

(5.12)
где

- норма
смыва на одного человека, принимаемая для азота и фосфора, соответственно,
5;1,2 кг/чел .га.
Поступление
биогенных элементов в результате жизнидеятельности населения 
, т,
определяются по формуле

(5.13)
где

норма
смыва от населенных пунктов, для городских принимаемая равной для азота и
фосфора, соответственно, 8,0;3,3 г/чел.сут;для сельских-соответственно ,4,8;0,7.
Общее
поступление биогенов с территории и населения 
,

(5.14)
Расчеты сведены в таблицу 5.9
Таблица 5.9 - Вынос биогенных элементов с
урбанизированных территорий
|
Территория
|
N, тыс чел
|
Азот
|
Фосфор
|
|
|
Wурб, т
|
С, мг/л
|
Wурб, т
|
С, мг/л
|
|
1
|
2
|
4
|
5
|
7
|
8
|
|
Сельская
|
33,75
|
70,19
|
0,859
|
11,28
|
0,138
|
|
Городскя
|
1,27
|
4,30
|
0,053
|
1,67
|
0,020
|
|
итого
|
|
74,49
|
0,912
|
12,95
|
0,158
|
Вынос биогенных элементов гораздо больше с территорий
сельских населённых пунктов, чем от городского населения.
Общий вынос биогенных элементов с территории водосбора
сводится в таблицу 5.10
Таблица 5.10 - Вынос биогенных элементов с территории
водосбора
|
Пользователи
|
Реальные условия
|
Естественные условия
|
|
Азот
|
Фосфор
|
Азот
|
Фосфор
|
|
М, т
|
С, мг/л
|
М, т
|
С, мг/л
|
М, т
|
С, мг/л
|
М, т
|
С, мг/л
|
|
1
|
2
|
3
|
4
|
5
|
6
|
7
|
8
|
9
|
|
пашня
|
83,17
|
19,87
|
31,45
|
0,38
|
-
|
-
|
-
|
-
|
|
лес
|
29,71
|
0,40
|
1,11
|
0,01
|
41,03
|
0,40
|
1,54
|
0,015
|
|
луг (пойм)
|
2,48
|
2,02
|
0,20
|
0,00
|
2,48
|
2,02
|
0,20
|
0,16
|
|
болото
|
3,20
|
1,58
|
0,08
|
0,00
|
3,20
|
1,58
|
0,08
|
0,04
|
|
жив-во
|
1322,34
|
16,18
|
408,63
|
5,00
|
-
|
-
|
-
|
-
|
|
население
|
74,49
|
0,91
|
12,95
|
0,16
|
-
|
-
|
-
|
-
|
|
∑
|
1515,40
|
18,54
|
454,41
|
5,56
|
46,71
|
0,44
|
1,82
|
0,02
|
Рассчитываются средние концентрации.
) Реальные условия:

18,54
мг/л;

5,56
мг/л;
2)
Естественные условия:

0,44 мг/л;

,02 мг/л.
Расчеты
показали, что в естественных условиях, то есть без антропогенного воздействия,
средние концентрации биогенных элементов значительно меньше, чем в реальных
условиях. Концентрация по азоту в реальных условиях составляет 18,54 мг/л, что
примерно в 42,1 раза больше концентрации в естественных условиях. По фосфору
наблюдаются различия концентрации биогенных элементов в 278 раза больше, чем в
естественных условиях.
6. Оценка качества воды с учетом
процесса самоочищения реки
Сточные воды в русле реки подвергаются самоочищению, в
результате которого, концентрации биогенов в замыкающем створе существенно
снижаются. Наиболее простая модель процесса самоочищения описывается
зависимостью

, (6.1)
где
Cх - концентрация биогенного вещества в замыкающем
створе, мг/л;
Со
- концентрация биогенного вещества в сточных водах, мг/л;
- время
добегания, сут;

-
коэффициент самоочищения, принимаемый для азота и фосфора, соответственно,
0,92;1,1.
Коэффициент
самоочищения 
зависит
от конкретных природных условий.
Величина
Со может быть принята по результатам расчета выноса биогенов по выше
приведенным формулам. Время добегания

(6.2)
где

-
расчетная длина реки до рассматриваемого створа, км;

-
средневзвешенная (за год) скорость течения, принимаемая для малых рек 0,3 - 0,5
м/с.
Так
как от истока биогенам необходимо пройти всю длину реки 
, а ближе
к замыкающему створу - незначительные расстояния, величину 
для
рассредоточенных источников сточных вод рекомендуется принимать 0,5
.
Концентрация
биогенного вещества в сточных водах берется по данным таблицы 5.10
1) Реальные условия:

18,54
мг/л;

5,56 мг/л;
2) Естественные условия:

мг/л;


,02 мг/л.
Длина
реки со всеми ее притоками составляет 105,0 км, а средневзвешенная скорость за
год течения реки 
принимается
равной 0,4 м/с или 34,56 км/сут.

сут.
Для
ориентировочных расчетов в курсовом проекте можно принять следующие величины,
характерные для малых рек Западно - Сибирского региона: для азота 
=
0,80-0,96; для фосфора 
=1,43-0,83.
Вычисленные по формуле 6.1 значения концентраций фосфора и азота в замыкающем
створе сравниваются с допустимыми по [2], приложение 3. По экологическим
нормативам концентрация азота не должна превышать 0,3 - 0,5 мг/л, фосфора -
0,03 - 0,1 мг/л.

мг/л;

мг/л;
В
естественных условиях концентрации биогенных веществ в замыкающем створе будут
равны

мг/л;

мг/л;
В
естественных условиях не наблюдается превышение концентрации по азоту, а в
реальных условиях наблюдается превышение в 2,4 раза. Превышение по фосфору в
реальных условиях в 1,45 раза, в естественных условиях концентрация
удовлетворяет требованиям экологических нормативов, и даже меньше ПДК (С=0,1).
Пересчитывается
коэффициент самоочищения по следующей формуле для реальных условий

, (6.3)

= 0,29;

= 0,123.
Вывод:
необходимо разработать мероприятия по снижению объема поступающих биогенных
веществ и созданию условий на водосборе и в русле реки, способствующих
повышению ее способности к самоочищению. Для этого необходимо, чтобы
концентрации биогенных веществ в реальных условиях не превышали аналогичных
величин в естественных условиях.
7. Мероприятия по улучшению состояния реки
Предварительно полезно оценить требуемую степень
самоочищения реки, подставив в формулу (6.3) вместо Сх значение ПДК
соответствующего загрязняющего вещества (см. п.6). Большие значения
вычисленного коэффициента самоочищения ( К > 1,5-2,0 ) свидетельствуют о
том, что ресурсы самой реки к самоочищению близки к исчерпанию и требуется
серьезная перестройка хозяйствования на водосборе, включая изменение структуры
землепользования.
Для этого нужно, прежде всего, выявить главные
источники загрязнения. Затем следует попытаться снизить объемы поступающих
биогенов за счет изменения технологии очистки животноводческих стоков,
технологии содержания скота, структуры его поголовья, изменения дозы
минеральных и органических удобрений, агротехники. Если принятых мер окажется
недостаточно, то необходимо предусмотреть мероприятия по регулированию стока на
водосборе с помощью лесополос различного назначения, устройство биопрудов ,
регулирование стока прудами и водохранилищами. Коэффициенты самоочищения равны

= 0,29;

= 0,123.
Ресурсы
самой реки к самоочищению близки к исчерпанию, следует предпринять мероприятия
по улучшению состояния реки.
Рекомендации
по улучшению состояния реки следующие:
1) Уменьшение площади пашни на 40 %;
) Уменьшение поголовья КРС и свиней на 30 %;
Расчеты выполняются аналогично п. 5.1-5.3 и сведены в
таблицах 7.1 - 7.5, приложении Б(таблица Б3).
Таблица 7.1 - Расчет концентрации фосфора с пашни, при проведении
мероприятий по улучшению состояния реки
|
№ СФК
|
Fi, га
|
yi, мм
|
hв, мм
|
Gт, т/га
|
Wф, т/га
|
Мф, т
|
Wi, млн. м3
|
Ст, мг/л
|
|
1
|
2
|
3
|
4
|
5
|
6
|
7
|
8
|
9
|
|
19
|
10,875
|
0,051
|
0,092
|
0,75
|
0,017
|
0,1841
|
0,556
|
0,330819
|
|
20
|
47
|
0,048
|
0,087
|
0,75
|
0,017
|
0,7955
|
2,265
|
0,351257
|
|
21
|
2,75
|
0,056
|
0,100
|
0,75
|
0,017
|
0,0465
|
0,153
|
0,304631
|
|
24
|
2,5
|
0,018
|
0,032
|
0,75
|
0,017
|
0,0423
|
0,045
|
0,944194
|
|
26
|
15,3375
|
0,029
|
0,053
|
0,75
|
0,017
|
0,2596
|
0,448
|
0,579734
|
|
∑
|
78,4625
|
|
|
|
|
1,3281
|
3,467
|
0,3831
|
Таблица 7.2 - Вынос биогенных элементов с угодий
|
Угодье
|
Fi, га
|
Wi, млн. м3
|
Азот
|
Фосфор (ж.)
|
Фосфор (тв.)
|
Фосфор (общ.)
|
|
|
|
СN, мг/л
|
МN, т
|
СP, мг/л
|
МP, т
|
СP, мг/л
|
МP, т
|
МP, т
|
СP, мг/л
|
|
1
|
2
|
3
|
4
|
5
|
6
|
7
|
8
|
9
|
11
|
|
пашня
|
7846,25
|
3,467
|
9,392
|
32,56
|
1,96
|
6,794
|
0,383
|
1,33
|
2,34
|
0,023
|
|
лес
|
88441,2
|
94,783
|
0,4
|
37,91
|
0,015
|
1,422
|
-
|
-
|
1,42
|
0,014
|
|
луг пойм
|
3714
|
1,230
|
2,016
|
2,479
|
0,11
|
0,135
|
-
|
-
|
0,13
|
0,001
|
|
болото
|
3750
|
2,026
|
1,58
|
3,201
|
0,04
|
0,081
|
-
|
-
|
0,08
|
0,001
|
|
∑
|
103751,5
|
101,505
|
0,75023
|
76,15
|
0,0831
|
8,4327
|
0,013
|
1,33
|
9,76
|
0,096
|
По-прежнему, вынос биогенных элементов с пашни преобладает, но содержание
фосфора снизилось в 16,7 раз, и азота - в 2,55 раза. Так же видно, что
содержание азота на территории луга не изменилось, а содержание фосфора
уменьшилось в 2 раза.
Таблица 7.3 - Вынос биогенных элементов с животноводческими
стоками в период стойлового и выгульного содержания(промышленное животноводство
и частный сектор)
|
Вид скота
|
n, голов
|
t, сут
|
Азот
|
Фосфор
|
|
|
|
ω,
кг/сут
|
p
|
z
|
Wж, кг
|
ω,
кг/сут
|
p
|
z
|
Wж, кг
|
|
|
промышленное животноводство
|
|
КРСст
|
24402
|
215
|
0,16
|
0,75
|
0,5
|
104929
|
0,066
|
0,95
|
0,65
|
11253,6
|
|
КРСв
|
24402
|
150
|
0,16
|
0,75
|
0,5
|
117130
|
0,066
|
0,95
|
0,65
|
12079,0
|
|
Свиньи
|
29988
|
365
|
0,034
|
0,75
|
0,5
|
46518,9
|
0,012
|
0,95
|
0,65
|
4268,8
|
|
итого
|
|
|
|
|
|
268577
|
|
|
|
27601,4
|
|
|
частный сектор
|
|
КРСст
|
10458
|
215
|
0,16
|
|
|
610747
|
0,066
|
|
|
251933,2
|
|
КРСв
|
10458
|
215
|
0,16
|
|
|
71951
|
0,066
|
|
|
7420,0
|
|
Свиньи
|
12852
|
365
|
0,034
|
|
|
159493
|
0,012
|
|
|
56291,8
|
|
итого
|
|
|
|
|
|
842192
|
|
|
|
259353,2
|
Таблица 7.4 - Вынос биогенных элементов
животноводческими стоками
|
Вид скота
|
n, голов
|
Азот
|
Фосфор
|
|
|
Wж, т
|
Сж, мг/л
|
Wж, т
|
Сж, мг/л
|
|
КРС(ст)круп.фермы
|
24402
|
105
|
1,034
|
11,25
|
0,111
|
|
Свиньи(ст)круп.фермы
|
29988
|
46,52
|
0,458
|
4,27
|
0,042
|
|
КРС(выгул)круп.фермы
|
24402
|
117,13
|
1,154
|
12,08
|
0,119
|
|
КРС(ст)мелк.фермы
|
10458
|
610,75
|
6,017
|
251,93
|
2,482
|
|
Свиньи(ст)мелк.фермы
|
12852
|
159,49
|
1,571
|
56,29
|
0,555
|
|
КРС(выгул)мелк.фермы
|
10458
|
71,95
|
0,709
|
7,42
|
0,073
|
|
∑
|
|
1111
|
10,943
|
343,25
|
3,382
|
В реальных условиях вынос биогенных элементов по азоту
Сж = 16,181 мг/л, по фосфору - Сж = 5,0 мг/л.
При проведении мероприятий по улучшению состояния
реки, вынос биогенов по азоту уменьшился в 1,47 раза (Сж = 10,943 мг/л); по
фосфору - так же в 1,47 раза (Сж = 3,382 мг/л).
Ниже представлена результирующая таблица 7.5 по выносу
биогенных элементов, в которой приведены 3 варианта:
вариант - реальные условия;
вариант - естественные условия;
вариант - с учетом проведения мероприятий.
Таблица 7.5 - Результирующая таблица по выносу
биогенных элементов
|
Пользов.
|
1 вариант
|
2 вариант
|
3 вариант
|
|
Азот
|
Фосфор
|
Азот
|
Фосфор
|
Азот
|
Фосфор
|
|
М, т
|
С, мг/л
|
М, т
|
С, мг/л
|
М, т
|
С, мг/л
|
М, т
|
С, мг/л
|
М, т
|
С, мг/л
|
М, т
|
С, мг/л
|
|
пашня
|
83,17
|
19,87
|
31,45
|
0,38
|
-
|
-
|
-
|
-
|
32,56
|
9,39
|
2,34
|
0,02
|
|
лес
|
29,71
|
0,40
|
1,11
|
0,01
|
41,0
|
0,40
|
1,5
|
0,015
|
37,91
|
0,40
|
1,42
|
0,01
|
|
луг (пойм)
|
2,48
|
2,02
|
0,20
|
0,00
|
2,48
|
2,02
|
0,2
|
0,16
|
2,48
|
2,02
|
0,14
|
0,001
|
|
болото
|
3,20
|
1,58
|
0,08
|
0,00
|
3,20
|
1,58
|
0,08
|
0,04
|
3,20
|
1,58
|
0,08
|
0,001
|
|
жив-во
|
1322,3
|
16,18
|
408,6
|
5,00
|
-
|
-
|
-
|
-
|
1110,8
|
10,94
|
343,2
|
3,38
|
|
население
|
74,49
|
0,91
|
12,95
|
0,16
|
-
|
-
|
-
|
-
|
72,64
|
0,72
|
12,95
|
0,13
|
|
∑
|
1515,4
|
18,54
|
454,4
|
5,56
|
46,7
|
0,44
|
1,82
|
0,02
|
1259,5
|
12,41
|
360,18
|
3,55
|
По результатам таблицы 7.5 строятся диаграммы для 1 и
3 вариантов, показывающие долю выноса биогенных элементов с угодий от общей
массы выноса (рисунок 7.1,7.2,7.3,7.4).
Рисунок 7.1 - Вынос азота с угодий для 1 варианта
Рисунок 7.2 - Вынос фосфора с угодий для 1 варианта
Рисунок 7.3 - Вынос азота с угодий для 3 варианта
Рисунок 7.4 - Вынос фосфора с угодий для 3 варианта
Далее вычисляются концентрации вещества по каждому
варианту, расчет производится по формуле (6.1).
вариант - реальные условия

мг/л;
(ПДК = 0,3 - 0,5 мг/л);

мг/л;
(ПДК = 0,03 - 0,1 мг/л);
2
вариант - естественные условия

мг/л;
(ПДК = 0,3 - 0,5 мг/л);

мг/л;
(ПДК = 0,03 - 0,1 мг/л);

мг/л;
(ПДК = 0,3 - 0,5 мг/л);

мг/л;
(ПДК = 0,03 - 0,1 мг/л);
В
естественных условиях процесс самоочищения эффективнее. В реальных условиях
показатели по фосфору и азоту не входят в нормативные значения. Следовательно,
необходимо, чтобы концентрации в реальных условиях были максимально близки к
концентрациям в естественных условиях. За счет мероприятий по снижению объема
поступающих биогенных веществ концентрации снизились, но все равно превысили
концентрации в естественных условиях. Поэтому рекомендуются лесопосадки вдоль
реки ольховником на расстоянии от реки 150 м и шириной 20 м. За счет этих
посадок концентрация азота уменьшится на 13%, фосфора на 14,5%, что составит

мг/л;
Концентрация
азота в реке после лесопосадок составит:

мг/л;

мг/л;

мг/л
Таким
образом, можно сделать вывод, что предложенные варианты по улучшению состояния
водоема оказались не эффективными и позволили снизить концентрацию биогенов до
величины меньшей, но не входящей в нормы ПДК.
Получается,
что концентрация азота превышает ПДК в 1,4 раза.
Заключение
Обобщающие результаты выноса биогенов и процесса
самоочищения с территории водосброса:
при реальных условиях:

мг/л;
(ПДК = 0,3 - 0,5 мг/л);

мг/л;
(ПДК = 0,03 - 0,1 мг/л);
при
естественных условиях:

мг/л;
(ПДК = 0,3 - 0,5 мг/л);

мг/л;
(ПДК = 0,03 - 0,1 мг/л);
с
учетом мероприятий:

мг/л;
(ПДК = 0,3 - 0,5 мг/л);

мг/л;
(ПДК = 0,03 - 0,1 мг/л).
По
приведенным данным и расчетам курсовой работы можно сделать вывод, что
наибольшее количество биогенного вещества выносится с животноводческими стоками
и с пашни. При проведении вышеизложенных мероприятий по улучшению состояния
реки удалось уменьшить концентрацию биогенов в реке по фосфору в 1,5 раза.
Концентрация по азоту при проведении мероприятий уменьшилась в 1,5 раза по
сравнению с реальными условиями, но не удовлетворила норм ПДК и не уменьшилась
до величины концентрации в естественных условиях.
В
данном курсовом проекте были предложены следующие мероприятия по улучшению
состояния реки Чулым:
1. Уменьшение площади пашни на 40%;
. Уменьшение поголовья скота на 30%;
. Лесопосадка ивняка и ольховника по берегам реки.
Список использованной литературы
1. Калинин В.М. Малые реки в условиях
антропогенного воздействия. На примере Восточного Зауралья / В.М. Калинин, СИ.
Ларин, И.М. Романова. - Тюмень: Изд-во Тюмен,. гос. унта, 1998.-220 с.
2. Воронков Г.В. Восстановление малой
реки: методические указания по курсовому проектированию/ Г.В Воронков.-Н.
:НГАСУ, 2003.- 28 с.