Стальник полевой
КУРСОВОЙ
ПРОЕКТ
по
дисциплине «Разработка нефтяных месторождений»
на тему:
«Определение прогнозных показателей разработки нефтяной залежи по фактическим
данным»
Оглавление
1 Раздел
1.1 Общие сведения
месторождения
1.2 Характеристика
геологического строения
1.2.1
Литолого-стратиграфическая характеристика разреза
1.2.2 Тектоническая
характеристика района
1.2.3 Геологическая
характеристика и нефтеносность разреза
1.2.4 Залежь нефти пласта
Т3
1.3 Состав и свойства
пластовых флюидов
1.3.1 Физико-химическая
характеристика нефти, газа и их компонентов
1.3.2 Гидрогеологическая
характеристика месторождения
1.3.3 Запасы нефти и
растворенного газа
2 Раздел
2.1 Основные этапы
проектирования разработки месторождения
2.2 Пласт Т3
3 Методика расчета
3.1 Исходные данные
3.2 Решение
3.2.1 Определение запасов
нефти и газа, числа скважин и темпа разработки
3.2.2 Расчет изменения
среднего пластового давления во времени
3.2.3 Расчет изменения
добычи нефти и воды во времени при заданном отборе жидкости из пласта
Литература
Раздел 1
1.1 Общие сведения месторождения
месторождение геологический нефть газ
В
административном отношении Горное месторождение расположено на территории
Красногвардейского района Оренбургской области в 70 км к востоку от г. Бузулук,
в 35 км, на северо-восток от г. Сорочинск и в 165 км. к северо-западу от г.
Оренбург (Рисунок 1.1).
Наиболее крупными населенными пунктами вблизи месторождения являются: с.
Плешаново, с. Кинзелка, с. Токское и с. Яшкино, пос. Подольск и Пролетарка,
связанные между собой шоссейными, грунтовыми и проселочными дорогами.
Передвижение по дорогам в осенне-весенний период и зимнее время года
затруднено. В 15 км к юго-западу от месторождения расположено одно из крупных
разрабатываемых месторождений - Сорочинско-Никольское, в 25 км на восток -
Родинское месторождение, в 5 км на север - Токское.
Добыча
нефти на Горном месторождении осуществляет НГДУ «Сорочинскнефть» ОАО
«Оренбургнефть». Нефть и газ с месторождения по отдельным трубопроводам
поступают соответственно в нефтепровод «Покровка - Кротовка» и газопровод
«Покровка - Красные пески» (Рисунок 1.2). Ближайшая железнодорожная станция
"Сорочинская" Южно-Уральской железной дороги находится на расстоянии
95 км. Основная материально-техническая база расположена в г. Бузулук.
В
орографическом отношении район работ представляет собой холмистый рельеф,
расчлененный, сильно изрезанный овражной системой. Часто поверхность осложнена
небольшими грядами, отдельными холмами и западинами. Абсолютные отметки
колеблются от +183,1 м до +300,1 м, в пределах пойм высота рельефа превышает
+103,3 м. Растительность представлена редкими смешанными лесами и лесостепью, с
преобладанием лиственных пород, произрастающими преимущественно в низменных
условиях.
В
физико-географическом отношении территория месторождения приурочена к
водоразделу рек Ток и М.Уран, протекающих в юго-западном направлении. На
территории Самарской области они впадают в р. Самару. Правый берег р. Ток,
протекающей в северной части площади, - крутой, левый - пологий. Пойменная часть
реки достигает ширины 1,5 км и имеет большое количество стариц и озер. Высота
пойменной террасы не превышает 3 м. Русло реки имеет ширину 10 - 45 м,
максимальная глубина - 2,5 м. На юге площади течет р. М.Уран, имеющая ширину
русла не более 23 м и глубину, не превышающую 1,5 м. В пределах поймы река
сильно меандрирует.
Климат района континентальный с колебаниями температур от минус 40 оС
(зимой) до плюс 40 оС (летом). Основным показателем
континентальности является большая амплитуда температуры воздуха между зимним и
летним периодами. Среднемноголетняя годовая температура воздуха составляет плюс
4 оС. Наиболее холодный месяц года - январь (-20 оС),
самый теплый - июль (+22 оС).
Рисунок
1.1 - Обзорная карта района работ (выкопировка из обзорной карты месторождений
УВ и фонда структур Оренбургской области по состоянию на 1.01.2003 г.)
Рисунок
1.2 - Обзорная карта нефтепромыслового обустройства района работ
По характеру выпадаемых атмосферных осадков описываемая территория
относится к зоне недостаточного увлажнения. Среднегодовое количество осадков
составляет 350 - 450 мм. Устойчивый снеговой покров появляется в декабре, а
сходит в первой половине апреля. Высота снежного покрова в среднем достигает
22-50 см. К неблагоприятным атмосферным явлениям, характерным для
рассматриваемой территории в зимнее время, относятся метели.
Источником хозпитьевого водоснабжения Горного месторождения являются 2
артезианские скважины. Подтоварная вода с УПСВ «Горное» и пресная вода с
Тоцкого водозабора являются источниками технического водоснабжения
месторождения. Месторождение обеспечено электроэнергией посредством линии
электропередач ВЛ - 35 кВ. Строительными материалами район обеспечен
недостаточно. Потребность района стройматериалами восполняется за счет завоза
их из смежных районов Оренбургской области.
1.2 Характеристика геологического строения
Горное месторождение расположено в Покровско-Сорочинской зоне поднятий,
контролирующей область сочленения северо-западного борта Бузулукской впадины и
юго-восточного склона Волго-Уральской антеклизы. Промышленные скопления нефти
приурочены к карбонатным отложениям окского надгоризонта (пласт О4)
и турнейского яруса (пласты Т1, Т21, Т22,
Т3).
1.2.1 Литолого-стратиграфическая
характеристика разреза
Стратиграфическое расчленение и описание разреза осадочного чехла
произведено согласно унифицированной схемы 1962 года с уточнениями,
утвержденными Межведомственным Стратиграфическим Комитетом в 1974 году, а также
с учетом унифицированной стратиграфической схемы Русской платформы, принятой
Межведомственным совещанием в 1988 г.
В разрезе месторождения выделяются два структурно-формационных этажа:
архейско-протерозойский кристаллический фундамент и палеозойский осадочный чехол.
Так как на Горном месторождении скважины пробурены лишь до фаменского яруса,
описание нижележащих толщ дается по скважинам 202 и 200 Родинского
месторождения.
Породы кристаллического фундамента архейско-протерозойского
возраста описаны по скважинам Пронькинского месторождения. Фундамент вскрыт
пятью поисково-разведочными скважинами (24Н, 26Н, 27Н, 28Н и 46Н) и представлен
гранитами, биотитами светло-серыми, красновато-серыми, темно-серыми,
трещиноватыми. Максимально вскрыта толщина пород фундамента в скважине 46Н и
составляет 34 м. На соседних, Новоселовской и Покровской площадях, среди пород
кристаллического фундамента преобладают зеленовато-серые и розовато-фиолетовые
гранито-гнейсы различного состава, прорванные интрузиями среднего и кислого
состава; плотные, крепкие, в верхней части в разной степени выветрелые.
В основании девонского комплекса лежит
карбонатно-терригенная пачка пород эмского (нижний отдел - D1), эйфельского и живетского
(средний отдел- D2ef и D2g соответственно) ярусов.
Песчано-алевролитовые породы развиты в койвенском горизонте, толщина горизонта
около 11 м. Бийский и Афонинский горизонты сложены известняками. Толщины
разрезов горизонтов 74 и 14 м соответственно.
Воробъевский горизонт представлен алевролитами глинистыми, переходящими в
глину; выше прослой известняка (толщиной 7 м), известный в геологической
литературе как репер «фонарик». Остальная часть разреза представлена
переслаиванием алевролитов и аргиллитов. Общая толщина горизонта составляет
около 36 м. Ардатовский горизонт представлен песчано-алевролитовыми породами,
перекрытыми аргиллитами. Верхняя часть разреза сложена карбонатными и
карбонатноглинистыми породами, представленными известняками и мергелями (в виде
отдельных прослоев). К средней части горизонта приурочен репер «средний
известняк». Толщина разреза горизонта составляет до 61 м. В пределах Мулинского
горизонта залегают известняки темно-серые до черных (репер «черный известняк»),
глинистые. Известняки перекрываются переслаиванием алевролитов и глин. Толщина
разреза горизонта 18 м.
Верхний отдел (D3) представлен франским
и фаменскими ярусами. Пашийский горизонт (D3рs) представлен
переслаиванием глин и алевролитов, содержащих в нижней части разреза тонкие
прослои мелко- и тонкозернистого песчаника (пласт Д3ps) без признаков нефти. Толщина
отложений 26-33 м. Тиманский и Саргаевский и Доманиковский горизонты сложены
известняками. Толщина отложений 24-29, 5-13 и 42 м. Верхний подъярус
представлен мендымским+воронежским+евлановским+ ливенским горизонтами и
характеризуется битуминозными известняками, с прослоями доломитов; в
подошвенной части горизонтов отмечаются глинистые известняки, мергели и
известковые глины. Общая толщина верхнего подъяруса 140-180м. Выше по разрезу
развита однообразная толща карбонатных отложений фаменского яруса, общая
толщина составляет 521-580м.
Каменноугольная система представлена в полном объеме и включает нижний отдел
в составе турнейского, визейского и серпуховского ярусов, средний
- в составе башкирского, московского и верхний касимовский+гжельский
ярусы. Каменноугольные отложения характеризуются значительным
литологическим разнообразием пород (известняками, доломитами, мергелями,
ангидритами, песчаниками, глинами и алевролитами), свидетельствующим о
многообразии фациальных условий формирования осадков.
Отложения турнейского и визейского ярусов нижнего отдела промышленно
нефтеносны. В верхней и средней частях турнейского яруса
выделяются продуктивные пласты Т1, Т21,
Т22 и Т3 в которых коллекторами
являются кавернозно-пористые разности известняков. Известняки
органогенно-детритовые, пелитоморфные, неравномерно нефтенасыщенные. По данным
скважин, вскрывших отложения турнейского яруса, общая толщина указанных
отложений составляет 88-99 метров.
В визейском ярусе выделяются бобриковский горизонт и окский
надгоризонт. Выше лежащие пласты окского надгоризонта представлены толщей
известняков и доломитов, участками пористых, с прослоями ангидритов. К пористым
и проницаемым известнякам окского надгоризонта в пределах Горного месторождения
приурочен нефтеносный пласт О4. Толщина разреза надгоризонта
259-324 м.
Пермские отложения в нижней части разреза характеризуются развитием
карбонатных пород (ассeльский, сакмарский и артинский ярусы), ангидритами и соленосными
образованиями (кунгурский ярус), а преимущественно терригенными
породами с подчиненными прослоями и пачками солей, ангидритов и карбонатов в
верхней части разреза (уфимский, казанский и татарский
ярусы).
Четвертичные отложения континентального генезиса несогласно, с размывом,
перекрывают нижезалегающие пермские образования и сложены аллювиальными,
песчано-глинистыми несцементированными осадками, иногда суглинками с
включениями щебенки и гальки. Толщина до десяти метров.
Таким образом, промышленная нефтеносность Горного
месторождения связана с карбонатными отложениями турнейского яруса (пласты Т1,
Т21, Т22 и Т3)
и окского надгоризонта (О4) визейского яруса нижнего карбона.
1.2.2 Тектоническая характеристика района
В
региональном структурно-тектоническом отношении месторождение приурочено к
Покровско-Сорочинской зоне поднятий, контролирующей область сочленения
северо-западного борта Бузулукской впадины и юго-восточного склона
Волго-Уральской антеклизы (Рисунок 1.3). Тектоническое строение Горного
месторождения глубоким бурением изучено по всем маркирующим горизонтам нижнего
и среднего карбона, а так же по пермским отложениям, так как большинство
разведочных и эксплуатационных скважин пробурено только со вскрытием отложений
турнейского яруса и лишь 12 скважин вскрыли карбонатные породы фаменского
яруса. Глубинное же строение площади по поверхности кристаллического фундамента
и кровле терригенного девона известно лишь по материалам сейсморазведки МОВ и
ОГТ, проведенной в 70-х и 80-х годах с учетом данных переинтерпретации этих
материалов в 1982 г. и по данным сейсмических работ МОГТ 3D,
проведенных в 2005-2006 гг.
Согласно
структурным построениям по кровле продуктивных турнейских отложений,
выполненных по данным бурения в сопоставлении с материалами сейсморазведки 3D по
отражающей границе «Т» (кровля турнейского яруса С1t),
Горное поднятие рисуется в виде линейной, валообразной складки меридионального
генерального простирания с тремя вершинами: южная (р-н скв.98), центральная
(р-н скв.57) и северная (р-н скв. 91 и 104). Горная структура оконтуривается
изогипсой -2245 м с размерами 8,1х2,6 км и амплитудами в северной части - 18 м,
в центральной - 28 м, а в южной - 39 м.
По
вышерасположенным маркирующим горизонтам каменноугольной и пермской систем
отмечается в целом соответствие структурных планов с незначительным (на 14 м)
уменьшением амплитуды вверх по разрезу.
Наибольшее
несоответствие структурных планов отмечается между среднедевонскими и
турнейскими отложениями. В основном это связано с инверсионным характером
тектонического развития рассматриваемой территории на рубеже нижнего и среднего
девона. По фундаменту, среднему и низам верхнего (пашийский горизонт) девона
рассматриваемый участок располагался в восточной краевой части погребенного
Жигулевско-Оренбургского свода. Начиная с кыновского времени, в целом по
Оренбургскому региону знак тектонических движений поменялся на обратный. В
частности, район выше названного свода древнего заложения был вовлечен в
интенсивное прогибание, обусловившее формирование на его месте
некомпенсированной Бузулукской впадины. Кроме того, кардинально изменились
региональный источник и генеральное направление сноса обломочного материала:
если в среднем девоне осадки преимущественно сносились с запада (Русской
платформы) на восток, то в позднем девоне основным источником пород служил
растущий каледонский Урал и снос осуществлялся с востока на запад.
Рисунок 1.3 - Выкопировка из схемы тектонического районирования
месторождений Оренбургской области.
Наряду с региональными тектоническими особенностями локальная структурная
контрастность, по всей видимости, обусловлена не только тектоническими
процессами, но и литолого-седиментогенным фактором, следствием которого
является формирование отдельных куполов поднятий за счет дифференцированности
степени уплотнения карбонатных осадков рифового генезиса - биостромов и
глинистых разностей.
1.2.3 Геологическая характеристика и
нефтеносность разреза
Горное нефтяное месторождение открыто в 1976 г. Месторождение
многопластовое и многокупольное, расположенное области сочленения
северо-западного борта Бузулукской впадины и юго-восточного склона
Волго-Уральской антеклизы. Промышленная нефтеносность установлена в отложениях
турнейского и визейского ярусов нижнего карбона. В пределах месторождения
выявлено 11 залежей нефти в пластах: О4, Т1, Т21,
Т22 и Т3 .
Продуктивный пласт О4 выделен лишь на основании данных ГИС,
керна и данным опробования. В процессе бурения скважин, возможно, продуктивные
пласты опробовались пластоиспытателем. Так, в скважине 3 производилось испытание
следующих пластов: О1+О2, О4, О5, О6
и Б0. Однако из всех перечисленных объектов, кроме пласта О4,
притока получено не было, что свидетельствует о преобладании в их разрезе
плотных разностей пород и об отсутствии активного пластового флюида. В последующем
при бурении скважин опробовались, в основном, известняки турнейского яруса
(пласты Т1 , Т21, Т22
и Т3) и окского надгоризонта (пласт О4), в которых были
установлены признаки нефтенасыщения.
Таблица
1.1 - Характеристика нефтяных залежей Горного месторождения
|
Купол
|
Пласт
|
Размеры залежи
|
Абс. отм. ВНК, м
|
Пределы изменения толщин, м
|
Средне-взвешен-ная толщина,
м
|
Тип залежи
|
|
|
длина, км
|
ширина, км
|
высота, м
|
|
|
|
|
|
Окский надгоризонт
|
|
Северный
|
О4
|
4.9
|
2.5
|
18.2
|
1988
|
2,3-10,0
|
5.6
|
пл.сводовый
|
|
Южный
|
О4
|
2.5
|
2.25
|
25.8
|
1988
|
4,8-9,4
|
6.2
|
пл.сводовый
|
|
Турнейский ярус
|
|
Северный
|
Т1
|
4.9
|
2.5
|
30
|
2245
|
2,6-25,6
|
7.8
|
массивный
|
|
Южный
|
Т1
|
3
|
2.25
|
26.9
|
2240
|
1,9-22,1
|
10.1
|
массивный
|
|
Северный
|
Т21
|
4.75
|
2.1
|
25
|
2270
|
0,9-3,8
|
2.2
|
пл.сводовый
|
|
Южный
|
Т21
|
2
|
1.9
|
20.3
|
2270
|
2,0-3,4
|
2.7
|
пл.сводовый
|
|
Северный (р-н 100)
|
Т22
|
1.5
|
1.25
|
18.3
|
2272
|
1,0-8,0
|
3.4
|
пл.сводовый
|
|
Северный (р-н 62)
|
Т22
|
1.65
|
1.1
|
11.6
|
2270
|
1,6-8,4
|
3.8
|
пл.сводовый
|
|
Северный (р-н 59)
|
Т22
|
1.4
|
1.3
|
20
|
2280
|
1,9-8,7
|
5.3
|
пл.сводовый
|
|
Южный
|
Т22
|
2.4
|
1.9
|
21.1
|
2275
|
3,7-14,9
|
7.8
|
пл.сводовый
|
|
Южный
|
Т3
|
2.6
|
1.9
|
11.3
|
2291.2
|
1,6-17,8
|
5.5
|
массивный
|
1.2.4 Залежь нефти пласта Т3
Пласт Т3 выделяется в подошве турнейского яруса. Литологически
пласт представлен пористыми карбонатными породами. Покрышкой для залежи служит
пачка уплотненных глинистых карбонатов турнейского яруса толщиной до 5 м. Тип
залежи массивный.
В
пределах Южного купола пласт Т3 вскрыт тринадцатью скважинами. По
данным глубокого бурения структура представляется в виде куполовидного поднятия
с размерами 2,6х1,9 км, высотой 11,3 м. Эффективная нефтенасыщенная толщина
пласта Т3 изменяется от 1,6 до 17,8 м (Таблица 1.1).
Средневзвешенные значения пористости и нефтенасыщенности приняты по ГИС - 12 %
и 89 % соответственно. Водонефтяной контакт по ГИС прослеживается в скважинах
64 (-2290,3), 95 (-2291,2), 102 (-2289,3), 105 (-2290,2), 106 (-2290,2). В
скважине 65 кровля пласта Т3 вскрыта на абсолютной отметке -2290,8,
по ГИС пласт в этой скважине водонасыщен. ВНК по залежи принят на а.о. -2291,2
м. В промышленной эксплуатации находятся скважины 64-II ствол, 95,
98, 102, 105, 106. При опробовании пласта (скважина 95) в колонне из интервала
перфорации 2516,0-2521,0 м (а.о. -2276,1- 2581,1 м) получен фонтанный приток
нефти дебитом 39 м3/сут. Скважины 95, 98, 105 и 106 работают
совместно с пластами Т1 и Т2.
1.3 Состав и свойства пластовых флюидов
.3.1 Физико-химическая характеристика нефти, газа и их
компонентов
В целом, по Горному месторождению физико-химические свойства нефти и
растворенного газа исследованы по 6 пробам из 6 скважин.
В период разведки месторождения отобраны глубинные и поверхностные пробы
из пласта Т1 в скважинах 3, 4 и 13. К настоящему времени в
отложениях турнейского яруса на Южном куполе отобраны две глубинные пробы: одна
в скважине 60 из пласта Т2 и одна в скважине 95 из пласта Т3.
На Северном куполе в скважине 81 отобрана рекомбинированная проба из пласта Т1.
Таким образом, учитывая многопластовость месторождения, на каждый из
продуктивных пластов приходится единичное количество исследований пластовой
нефти:
- пласт Т1 - 1 глубинная
проба (Южный купол), 2 глубинные и 1 рекомбинированная пробы (Северный купол);
- пласт Т2 - 1 глубинная
проба (Южный купол);
- пласт Т3 - 1 глубинная
проба (Южный купол);
- пласт О4 - пробы не
отбирались.
Исследования кондиционных проб пластовых флюидов позволили
охарактеризовать свойства нефтей турнейского яруса, вскрытого в разрезе
месторождения.
Таблица 1.2 - Результаты исследований
проб нефти продуктивных пластов
|
Пласт
|
№ скв.
|
Дата отбора пробы
|
Интервал перфорации, м
|
Пластовое давление, Мпа
|
Пластовая температура, 0С
|
В пластовых условиях
|
Давление насыщения, Мпа
|
При однократном
разгазировании в стандартных условиях
|
|
|
|
|
|
|
плотность нефти, г/см3
|
вязкость нефти, мПа*с
|
|
газосодержание, м3/т
|
плотность нефти, г/см3
|
объемный коэффициент
|
|
Т1
|
3
|
13.10.74
|
2465-2467
|
28,7
|
43
|
0,8566
|
5,62
|
5,85
|
31,6
|
0,874
|
1,0677
|
|
Т1
|
4
|
04.08.75
|
2499-2515
|
25,9
|
43
|
0,8432
|
4,47
|
6,25
|
38,3
|
0,8733
|
1,0972
|
|
Т1
|
13
|
28.01.77
|
2490-2498
|
26,2
|
43
|
0,8382
|
5,45
|
6,2
|
33,4
|
0,8695
|
1,0892
|
|
Т1
|
81
|
27.10.06
|
2506-2512
|
8,04
|
43
|
0,8208
|
3,6
|
5,88
|
45,4
|
0,8823
|
1,16
|
|
Т2
|
60
|
04.12.04
|
2525-2537
|
24,78
|
45,7
|
0,8369
|
5,3
|
5,0
|
37,48
|
0,8684
|
1,10
|
|
Т3
|
95
|
08.05.04
|
2516-2521
|
24,67
|
43
|
0,8375
|
5,1
|
6,59
|
27,76
|
0,8615
|
1,08
|
Исследование свойств нефти пласта Т3 проводилось по
пробам, отобранным из скважины на Южном куполе (скважина 95). По результатам
исследований и расчетов в среднем по пласту получены следующие значения:
давление насыщения - 6,59 Мпа, газосодержание - 27,76 м3/т, объемный
коэффициент - 1,08, динамическая вязкость пластовой нефти составляет 5,1 мПа*с.
Плотность пластовой нефти - 0,8375 г/см3, сепарированной - 0,8615
г/см3. Кинематическая вязкость дегазированной нефти при 20 0С
составляет 10,1 мм2/с. По товарной характеристике нефть средней
плотности, высокосернистая (массовое содержание серы 2,28 %), смолистая (6,18
%), парафинистая (5,5 %).
По результатам исследований и расчётов плотность пластовой нефти
составляет 879 кг/см3, давление насыщения нефти газом при пластовой
температуре 6,08 МПа, газосодержание при однократном разгазировании нефти 34,6
м3/т, динамическая вязкость пластовой нефти 11,20 мПа×с. После дифференциального
разгазирования в рабочих условиях плотность нефти 886 кг/см3, газосодержание
30,2 м3/т, объёмный коэффициент 1,037, динамическая вязкость
разгазированной нефти 33,20 мПа×с. По товарной характеристике нефть тяжелая, высокосернистая
(массовое содержание серы 2,48 %), смолистая (15,78 %), высокопарафинистая
(6,22 %).
Таблица 1.3 - Параметры нефти и газа
|
Пласты
|
При дифференциальном
разгазировании пластовой нефти в рабочих условиях
|
Массовое содержание серы в
нефти, %
|
|
плотность нефти, г/см3
|
газовый фактор, м3/т
|
объемный коэффициент
|
пересчетный коэффициент
|
Объемное содержание целевых
компонентов в газе, %
|
|
|
|
|
|
|
гелия
|
этана
|
пропана
|
бутана
|
|
|
Т1 (Северный
купол)
|
0,8747
|
33,60
|
1,081
|
0,9251
|
0,0227
|
20,93
|
28,05
|
9,24
|
2,60
|
|
Т1 (Южный купол)
|
0,8760
|
32,30
|
1,097
|
0,9112
|
0,0276
|
20,76
|
29,51
|
11,07
|
2,10
|
|
Т2
|
0,8663
|
35,95
|
1,088
|
0,9191
|
0,0187
|
16,07
|
19,06
|
9,95
|
2,20
|
|
Т3
|
0,8588
|
25,86
|
1,063
|
0,9407
|
0,0321
|
19,62
|
19,09
|
9,31
|
2,28
|
|
О4
|
0,8860
|
30,20
|
1,054
|
0,9490
|
0,0280
|
9,90
|
9,14
|
3,53
|
2,40
|
1.3.2 Гидрогеологическая характеристика
месторождения
В гидрогеологическом отношении промышленно нефтеносные пласты турнейского
яруса Т1, Т2 и Т3 приурочены к средней зоне
затрудненного водообмена. Воды находятся в состоянии крайне медленного движения.
По своим физико-химическим свойствам воды турнейского яруса представлены
рассолами хлоридно-натриевого и хлоридно-натриево-кальциевого состава. Они
характеризуются плотностью 1,127 г/см3, минерализацией 177,14 г/л.
Вязкость при пластовой температуре составляет 1,05 МПа·с, объемный коэффициент
- 1,004.
Газ, растворенный в водах турнейского яруса, в районе рассматриваемого
месторождения не изучался. Регионально он характеризуется азотно-углеводородным
составом. Газонасыщенность вод франско-турнейского карбонатного комплекса на
месторождениях Оренбургской области низкая, обычно не превышает 300 см3/л,
упругость газов - 4,0÷5,0 МПа. Азот преобладает над
углеводородом, газы содержат сероводород.
1.3.3 Запасы нефти и растворенного газа
Впервые запасы нефти Горного месторождения были подсчитаны в 1976 году
геологической службой объединения «Оренбургнефть» в оперативном порядке по
пласту Т1.
В 1978 году подсчитаны запасы нефти и газа по продуктивным пластам Т1
(турнейский ярус) и О4 (визейский ярус) Горного месторождения в
составе Подольской группы месторождений и утверждены ГКЗ СССР (протокол № 8167
от 17 ноября 1978г.).
В 1984 году эксплутационной скважиной 64 выявлена залежь нефти пласта Т21.
ПО «Оренбургнефть» по этой залежи произведен оперативный подсчет запасов,
которые были приняты на баланс предприятия.
В 1990 г. выполнен пересчет запасов нефти и газа по продуктивным пластам
Т1 и Т21. Запасы утверждены ГКЗ РФ в 1992
году (протокол № 57дсп от 11.06.1992 г.).
С 2001 по 2007 год были выполнены оперативные пересчеты по пластам Т1
и Т21 и оперативные подсчеты по новым промышленным
объектам Т22 и Т3.
В 2008 г. выполнен новый «Пересчет запасов нефти и газа и ТЭО КИН Горного
месторождения Оренбургской области». Отчет выполнен в лаборатории промысловой
геологии отдела РИТ и МПС института «ТатНИПИнефть» ОАО «Татнефть». В его основу
легли все данные, вновь полученные в результате: сейсморазведки, бурения и
опробования новых скважин, анализа керна и исследования проб нефти, комплекс
проведенных геофизических и гидродинамических исследований скважин. Было
уточнено положение границ ранее выявленных залежей нефти.
Построена 3D геологическая и гидродинамическая модели месторождения.
Перечет запасов нефти Горного нефтяного месторождения (в отличие от ранее
выполненных) проводился по модели, что дает больше информации о геологическом
строении залежей, необходимой для решения практических задач по разработке
месторождения.
По объему извлекаемых запасов нефти Горное многопластовое месторождение
относится к категории средних.
По степени геолого-геофизической изученности подсчитанные запасы УВ
отнесены к категориям В, С1 и С2. Общая оценка начальных
геологических / извлекаемых запасов нефти горного месторождения составила:
категория В - 16373 / 9776 тыс.т;
категория С1 - 545 / 324 тыс.т;
Следует отметить, что запасы нефти и газа окского надгоризонта целиком
находятся за пределами лицензионного участка. В пределах лицензионного участка
начальные геологические / извлекаемые запасы нефти составили:
категория В - 15112 / 9022 тыс.т;
категория С1 - 545 / 324 тыс.т.,
категория С2 - 761 / 455 тыс.т.
Незначительная доля запасов нефти и газа турнейского яруса попала за
пределы Горного ЛУ - 1261 тыс.т категории В по всем пластам Южного купола, или
7 % от общих геологических запасов турнейского яруса.
Начальные запасы растворенного газа по месторождению - 841 млн.м3,
при небольшом газосодержании 26 - 36 м3/т.
В целом, после уточнения модели месторождения, по геологическим запасам
Горное месторождение характеризуется следующими особенностями:
запасы нефти утверждены по 1 пласту окского надгоризонта и 4 пластам
турнейского яруса;
основной объем геологических запасов - 68 % содержится в карбонатных
коллекторах турнейского яруса, 32 % запасов приходится на карбонатный пласт О4;
большая часть НГЗ (41 %) сосредоточена в коллекторах пласта Т1,
на пласт О4 приходится 32 %, на пласт Т22 -14
%, по остальным пластам запасы распределены равномерно ~ 6 %;
залежи нефти приурочены к 2 куполам - Северному и Южному;
геологические/извлекаемые запасы нефти категорий В+С1+С2
по поднятиям распределены почти равномерно - Северная залежь содержит 52 %
запасов месторождения, Южная - 48 %;
на водонефтяные зоны месторождения приходится основной объем НГЗ - 67 %;
продуктивный разрез месторождения сильно расчленен, запасы распределены
по проницаемым пропласткам средней толщиной 1,8 м (интервал изменения от 0,4 -
11,3 м);
разведанность геологических запасов нефти месторождения высокая, на
турнейском ярусе категорией С2 оценивается незначительная доля
запасов - 4 %; залежи окского надгоризонта малоизученны - 100 % запасов оценены
категорией С2. В целом по месторождению категорией С2
оцениваются 35 % запасов;
средняя плотность запасов нефти, в целом, небольшая - 5,2 тыс.т/га.
Коэффициенты извлечения нефти по подсчетным объектам обоснованы в ТЭО КИН
(2008 г.). Для карбонатных отложений турнейского яруса принят коэффициент
нефтеизвлечения 0,597 д.ед. Для карбонатных отложений окского надгоризонта КИН
принят на уровне 0,434 д. ед.
2. раздел
.1 Основные этапы проектирования разработки месторождения
Горное нефтяное месторождение открыто в 1970 году в результате
поисково-разведочных работ на Подольской площади, изученной в 1969 - 1970 гг.
сейсморазведкой МОВ и введенной в поисково-разведочное бурение в 1974 г. В 1976
г. нефтеносность месторождения подтверждена бурением поисковой скважины 3.
Первый проектный документ - «Технологическая схема разработки
укрупненного Подольского месторождения» выполнен институтом «Гипровостокнефть»
в 1976 г. (на основании выполненного в том же году оперативного подсчета
запасов нефти пласта Т1 турнейского яруса), проект утвержден в ЦКР
(протокол № 466 от 5.03.76 г.). На основании этого документа Горное
месторождение было введено в пробную эксплуатацию.
В 1978 году на основании поисково-разведочного и эксплуатационного
бурения институтом «Гипровостокнефть» выполнен «Подсчет запасов нефти и газа
Подольской группы нефтяных месторождений Оренбургской области» (протокол ГКЗ
СССР № 8167 от 17.11.1978 г.). Данным подсчетом впервые на баланс поставлены
запасы пласта О4 окского надгоризонта и переоценены запасы пласта Т1
турнейского яруса.
В 1978 году на основании выполненного подсчета запасов институтом
«Гипровостокнефть» была составлена «Технологическая схема разработки Горного
месторождения».
В 1981 г. институтом «Гипровостокнефть» в рамках авторского надзора
выполнено «Дополнение к технологической схеме разработки Горного нефтяного
месторождения».
В 1984 году институтом «Гипровостокнефть» составлено «Дополнение к
технологической схеме разработки Горного нефтяного месторождения».
В том же 1984 году эксплутационной скважиной 64 выявлена залежь нефти
пласта Т21. Производственным объединением «Оренбургнефть»
по данной залежи составлен «Оперативный подсчет запасов пласта Т21
турнейского яруса», который впервые поставил на баланс предприятия запасы нефти
и газа по пласту Т21.
В следующем, 1985 году, с целью уточнения системы разработки пластов Т1
и Т21, а также перспектив добычи нефти до конца
разработки, институтом «Гипровостокнефть» составлена новая «Технологическая
схема разработки Горного месторождения Оренбургской области».
Таблица
2.1 - История проектирования разработки Горного месторождения
|
Год проект.
|
Организация
|
Вид документа
|
Рассматриваемые в
документах виды воздействия на пласт
|
Основные решения,
рекомендованный вариант, конечный КИН
|
|
1976
|
геологическая служба
объединения «Оренбургнефть»
|
Оперативный подсчет запасов
пласта Т1 турнейского яруса
|
|
Впервые подсчитаны запасы
по пласту Т1
|
|
1976
|
институт
«Гипровостокнефть»
|
Технологическая схема
разработки укрупненного Подольского месторождения (протокол № 466 от
5.03.76г.)
|
|
|
|
1978
|
институт
«Гипровостокнефть»
|
Подсчет запасов нефти и
газа Подольской группы нефтяных месторождений Оренбургской области (протокол
ГКЗ СССР № 8167 от 17 ноября 1978г.)
|
|
Переоценка запасов пласта Т1,
впервые подсчитаны запасы пласта О4
|
|
1978
|
институт
«Гипровостокнефть»
|
Технологическая схема разработки
по Горному нефтяному месторождению Оренбургской области
|
|
|
|
1981
|
институт
«Гипровостокнефть»
|
Дополнение к
технологической схеме разработки Горного нефтяного месторождения в рамках
авторского надзора
|
|
|
|
1984
|
институт
«Гипровостокнефть»
|
Дополнение к
технологической схеме разработки Горного нефтяного месторождения
|
|
|
|
1984
|
ПО
"Оренбургнефть"
|
Оперативный подсчет запасов
пласта Т2-1 турнейского яруса
|
|
Впервые подсчитаны запасы
по пласту Т21
|
|
1985
|
институт
«Гипровостокнефть»
|
Технологическая схема разработки
Горного нефтяного месторождения Оренбургской области
|
|
|
|
1990
|
институт
«Гипровостокнефть»
|
Пересчет запасов нефти и
газа Горного месторождения Оренбургской области (протокол ГКЗ РФ № 57дсп от
11.06.1992 г.)
|
|
Пересчитаны запасы нефти
пластов Т1 и Т21
|
|
1991
|
ЦНИЛ ПО «Оренбургнефть»
|
Технологическая схема
разработки Горного нефтяного месторождения (протокол № 11 от 6.11.1991г. ТЭС
ПО «Оренбургнефть»)
|
|
|
|
1999
|
ОАО
"Оренбургнефть"
|
Анализ разработки и прогноз
технологических показателей по месторождениям ОАО «Оренбургнефть» на период
действия лицензионных соглашений (протокол ЦКР № 2430 от 07.10.1999г.)
|
|
|
|
2001
|
-
|
Оперативный подсчет запасов
по Горному месторождению (протокол №360-2000 (М))
|
|
Переоценка запасов пластов
Т1 и Т21
|
|
2001
|
-
|
Оперативный подсчет запасов
по Горному месторождению (протокол №269-2001 (М))
|
|
Переоценка запасов пластов
Т1 и Т21
|
|
2005
|
-
|
Оперативный подсчет запасов
по Горному месторождению (протокол №467-2005 (М))
|
|
Запасы пластов Т1
и Т21 пересчитаны. Впервые подсчитаны запасы по пласту
Т3, принят КИН: Т3-0.495
|
|
2006
|
-
|
Оперативный подсчет запасов
по Горному месторождению (протокол №18/282-пр от 04.05.2006))
|
|
На основании экспл. бурения
и выполнения НВСП в скв.94 пересчитаны запасы пласта Т1, Впервые подсчитаны
запасы по пласту Т22, приняты КИН: Т1сев-0.486,
Т1юг-0.445, Т22юг-0.445
|
|
2007
|
-
|
Оперативный подсчет запасов
по Горному месторождению (протокол №18/971-пр от 29.11.2007)
|
|
Пересчитаны запасы пластов
Т1, Т21 и Т22. Приняты
КИНы: Т1-0.570, Т21-0.570, Т22-0.570
|
|
2007
|
-
|
Оперативный подсчет запасов
по Горному месторождению (протокол №18/503-пр от 04.07.2007)
|
|
переоценка состояния
запасов на основании 5 вновь пробуренных скважин Пересчитаны запасы по пласту
Т3, принят КИН: Т3-0.570
|
|
2006
|
институт
"ТатНИПИнефть"
|
Дополнение к
технологической схеме разработки Горного месторождения (протокол ТО
ЦКР Роснедра № 590 от 13.12.2006г.)
|
|
добыча: 2006 г. - 622,2
тыс. т нефти, 1167,0 тыс. т жидкости, 2007 .г - 673,1 тыс. т нефти, 1600,1
тыс. т жидкости, 2008 г. - 654,4 тыс. т нефти, 1927,5 тыс. т жидкости;
|
|
|
|
|
совместная разработки
продуктивных пластов турнейского яруса одной сеткой скважин;
|
|
|
|
|
сетка скважин 500х500 м;
|
|
|
|
|
фонд скважин за весь срок
разработки - 61
|
|
|
|
|
бурение пяти добывающих
скважин (две в 2006 г., три в 2007 г.) и одного БС (в 2008 г.);
|
|
2007
|
институт
"ТатНИПИнефть"
|
Авторский надзор за
реализацией «Дополнения к технологической схеме разработки Горного
месторождения» (протокол ЦКР Роснедра по РТ № 706 от 11.12.2007 г.)
|
|
добыча: 2007 г. - 498,1
тыс. т нефти, 1010,3 тыс. т жидкости, 2008 .г - 430,6 тыс. т нефти, 904,6
тыс. т жидкости, 2009 г. - 352,5 тыс. т нефти, 783,3 тыс. т жидкости
|
|
|
|
|
выделение одного объекта
разработки: турнейского яруса
|
|
|
|
|
бурение 4 добывающих
скважин в 2007 г. и одного БС в 2008 г.;
|
|
|
|
|
схема размещения проектных
скважин - треугольная, с расстоянием между скважинами 500х500 м;
|
|
|
|
|
общий фонд - 63 скважины,
из них 38 добывающих, 17 нагнетательных, восемь прочих;
|
|
|
|
|
выполнение геолого-технических
мероприятий по оптимизации отборов жидкости из добывающих скважин
|
|
|
|
|
продолжение работ по
повышению продуктивности скважин методами воздействия на призабойную зону
(НСКО, КНН) и по водоизоляции водопритока в скважинах (КОС).
|
|
2008
|
институт "ТатНИПИнефть"
|
Подсчет запасов нефти,
растворенного газа и ТЭО КИН Горного месторождения (протокол ГКЗ РФ №
1730-дсп от 26.09.2008 г.)
|
|
Переоценка запасов по
пластам Т1, Т21, Т22,
Т3 и О4, приняты КИНы: Т1-0.597, Т21-0.597,
Т22-0.597, Т3-0.597, О4-0.434
|
В 1990 г. выполнен пересчет запасов нефти и газа по продуктивным пластам
Т1 и Т21. Запасы утверждены ГКЗ РФ в 1992
году (протокол № 57дсп от 11.06.1992 г.).
В 1990 г. ЦНИЛ ПО «Оренбургнефть», в связи с получением новых данных по
результатам бурения скважины 87, уточнивших представления о геологическом
строении залежей пластов Т1 т Т21, составлена
«Технологическая схема разработки Горного нефтяного месторождения» (утверждена
протоколом № 11 от 6.11.1991 г. ТЭС ПО «Оренбургнефть»). Основные положения
Технологической схемы:
- объединение пластов Т1 и Т21 в
один эксплуатационный объект;
бурение 30 скважин, в т.ч. 22 добывающих и 8 нагнетательных по
сетке 500х500 м;
бурение скважин на Южном куполе со вскрытием пласта Т21;
применение метода изменения направления фильтрационных потоков
(ИНФП);
перевод под нагнетание скв. 3 и 5; реперфорация пласта Т1
в скважинах 9, 14; в скважин 65 провести дострел до ВНК.
резервный фонд - 5 скважин;
С 1990 по 2007 год были выполнены оперативные пересчеты по пластам Т1
и Т21 и оперативные подсчеты по новым промышленным
объектам Т22 и Т3.
В 1999г. ОАО «Оренбургнефть» выполнен «Анализ разработки и прогноз
технологических показателей по месторождениям ОАО «Оренбургнефть» на период
действия лицензионных соглашений», по результатам которого существенно
скорректированы проектные технологические показатели (протокол ЦКР № 2430 от
07.10.1999г.).
Пласты Т3 и Т22 поставлены на баланс
согласно оперативных подсчетов запасов (протокола № 467-2005М от 28.03.2005г и
№18/282 от 04.05.2006 г. соответственно).
В 2006г. институтом «ТатНИПИнефть» выполнено «Дополнение к
технологической схеме разработки Горного месторождения» (протокол ТО ЦКР
Роснедра № 590 от 13.12.2006г.) в связи со значительным расхождением
фактических и проектных показателей на основании оперативных подсчетов запасов
нефти. К реализации в ДТСР был рекомендован четвертый вариант разработки со
следующими проектными положениями:
- добыча: 2006 г. - 622,2 тыс. т нефти, 1167,0 тыс. т жидкости, 2007
.г - 673,1 тыс. т нефти, 1600,1 тыс. т жидкости, 2008 г. - 654,4 тыс. т
нефти, 1927,5 тыс. т жидкости;
совместная разработка продуктивных пластов турнейского яруса одной
сеткой скважин;
сетка скважин 500х500 м;
фонд скважин за весь срок разработки - 61;
бурение пяти добывающих скважин (две в 2006 г., три в 2007 г.) и
одного БС (в 2008 г.);
В 2007 г. институтом «ТатНИПИнефть» был выполнен и утвержден ЦКР
«Авторский надзор за реализацией «Дополнения к технологической схеме разработки
Горного месторождения» (протокол ЦКР Роснедра по РТ № 706 от 11.12.2007 г.), в
котором были скорректированы прогнозные уровни добычи нефти по месторождению.
По этому документу в настоящее время ведется разработка месторождения.
Основные положения и технологические показатели на период 2007-2009 гг.:
- добыча: 2007 г. - 498,1 тыс. т нефти, 1010,3 тыс. т жидкости, 2008
.г - 430,6 тыс. т нефти, 904,6 тыс. т жидкости, 2009 г. - 352,5 тыс. т нефти,
783,3 тыс. т жидкости (допустимое отклонение фактических показателей разработки
от проектных ±20 %);
выделение одного объекта разработки - турнейского яруса;
бурение 4 добывающих скважин в 2007 г. и одного БС в 2008 г.;
схема размещения проектных скважин - треугольная, с расстоянием
между скважинами 500х500 м;
общий фонд - 63 скважины, из них 38 добывающих, 17 нагнетательных,
восемь прочих;
выполнение геолого-технических мероприятий по оптимизации отборов
жидкости из добывающих скважин;
продолжение работ по повышению продуктивности скважин методами
воздействия на призабойную зону (НСКО, КНН) и по водоизоляции водопритока в
скважинах (КОС).
За время разведки (1974-1977 г.г.) и эксплуатации (с 1976 г.)
промышленная продуктивность установлена в интервалах пластов Т1, Т21,
Т22 и Т3 турнейского возраста. В настоящее
время месторождение находится в стадии активной разработки.
По состоянию на 01.01.2009 года из продуктивных пластов Т1,
Т21, Т22 и Т3,суммарно
добыто: 5 773,4 тыс. т нефти, 189,5 млн. м3 растворенного газа.
В 2008 г. выполнен новый «Подсчет запасов нефти, растворенного газа и ТЭО
КИН Горного месторождения» (протокол № 1730-дсп от 26.09.2008 г.) [16]. Отчет
выполнен в лаборатории промысловой геологии отдела РИТ и МПС института
«ТатНИПИнефть» ОАО «Татнефть». В его основу легли все данные, вновь полученные
в результате: результаты сейсморазведки, бурения и опробования новых скважин,
анализа керна и исследования нефти, комплекс проведенных геофизических и
гидродинамических исследований скважин. Было уточнено положение границ ранее
выявленных залежей нефти.
2.2 Пласт Т3
Пласт
введен в разработку в мае 2004 года скважиной 95. По состоянию на 01.01.2009
г. накопленная добыча нефти составила 442,8 тыс. тонн, жидкости - 1081,4 тыс.
тонн. В октябре 2005 года организована закачка. Весовая обводненность продукции
составляет 77,8 %, текущий коэффициент нефтеизвлечения - 0,301 д. ед, отбор от
начальных извлекаемых запасов составил 50,5 % (Таблица 4.13, Рисунок 4.14, графическое
приложение 23). Добыча нефти за 2008 год по пласту составила 91,7 тыс. т.,
жидкости - 412,3 тыс. т.
По
состоянию на 01.01.2009 г. в эксплуатационном фонде числится 5 действующих
добывающих скважин - 95, 98, 102, 105, 110 (Южный купол); 3 нагнетательных
скважины - 64, 93, 106 (Южный купол).
Закачка
на пласте Т3 организована спустя год после введения пласта в
разработку - в октябре 2005 года. С целью ППД закачано пресной воды 234,9 тыс.м3.
Накопленная компенсация составила 21,7 %. Средняя приемистость одной
нагнетательной скважины - 97,2 м3/сут.
Разработка
пласта с 2004 по 2007 гг. включительно характеризуется ростом уровней добычи
нефти и жидкости, обусловленным вводом новых скважин, в 2008 г. снижение
уровней объясняется выбытием одной скважины. Обводненность добываемой продукции
резко возрастает с 6,8 % в 2005 г. до 77,8 % в 2008 г. Рост обводненности
обусловлен вскрытием в новых скважинах, разрабатывающих совместно пласты Т1,
Т21 и Т22, водонасыщенных или
расположенных близко в ВНК интервалов, а также наличие заколонных перетоков.
3. Методика расчета
Заводнение - это основной способ разработки нефтяных месторождений в
настоящее время и на ближайшую перспективу. Многообразны системы разработки с
закачкой воды в пласт. Применение каждой из них обусловлено определенными
геолого-физическими условиями на том или ином месторождении. Методика расчета
основных показателей разработки при заводнении определяется следующими
предпосылками: форма залежи (круг или полоса), характер вытеснения нефти водой
(поршневое или непоршневое) и расчетная модель пласта (однородный или
неоднородный).
Геометрическую форму залежи нефти для выполнения расчетов технологических
показателей ее разработки определяют исходя из условий схематизации. Известно,
что большинство нефтяных месторождений имеют форму, близкую к эллипсу. При
соотношении малой и большой полуосей эллипса менее одной трети, реальная залежь
схематизируется полосой с двухсторонним питанием. Если это соотношение больше
одной трети, то залежь схематизируется либо кольцом, либо кругом при величине
этого соотношения, близкого к единице. Необходимо соблюдать критерии
схематизации, согласно которым реальная и схематизированные залежи должны
содержать одни и те же запасы нефти, равные параметры нефтеносности, одинаковое
число рядов и количество скважин как в целом, так и по рядам скважин.
Характер вытеснения нефти водой принимается в расчетах либо поршневым,
либо непоршневым. Расчеты по схеме поршневого вытеснения позволяют определить
добывные возможности месторождения. Они проводятся на стадии обоснования
вариантов системы разработки месторождения. Согласно этой схемы между нефтью и
вытесняющей ее водой условно существует вертикальная граница раздела. За
фронтом вытеснения нефтенасыщенность равна остаточной. Поэтому при подходе
фронта вытеснения к ряду добывающих скважин последний, согласно схеме,
мгновенно обводняется и подлежит отключению или переводу в разряд
нагнетательного ряда. Таким образом, весь процесс выработки запасов нефти
разбивается на несколько этапов, продолжительность которых определяется
временем перемещения водонефтяного контакт от предыдущего к последующему ряду
скважин.
Схема непоршневого вытеснения нефти водой построена из теории двухфазной
фильтрации Бакли-Леверетта. Величина функции Бакли-Леверетта характеризует долю
воды в продукции скважин. Схема учета непоршневого характера вытеснения нефти
водой в технологических расчетах балы предложена Ю.П. Борисовым на основе
обобщения выполненных Эфросом Д.А. и Оноприенко В. П. многочисленных
экспериментальных исследований относительных проницаемостей для нефти и воды.
Область применения этой схемы ограничивается соотношением вязкостей нефти и
воды в пределах от единицы до 10.
Согласно схеме непоршневого вытеснения за фронтом вытеснения еще остается
значительное количество нефти, фильтрующейся одновременно с водой. В результате
после мгновенного обводнения продукции скважин до некоторой величины
обводненности, определяемой скачком насыщенности на фронте, в последующем
обводненность закономерно возрастает. Эта схема дает результаты, более близкие
к реальным процессам обводнения продукции скважин. Применяется на стадии
составления технологических схем разработки.
Подтверждаемость прогнозируемых показателей во многом зависит от
принимаемой в расчетах модели объекта разработки. Степень сложности модель
обусловлена объемом учтенной геологической информации о залежи. Условно все
модели пластов подразделяют на детерминированные и вероятно-статистические.
Детерминированная модель - это близкая копия реального пласта. Она учитывает
различие физических свойств пласта по объему. Ее применение возможно только при
использовании ЭВМ. Вероятно-статистические модели не учитывают в полной мере
особенности строения пласта. В расчетах фигурирует некоторый гипотетический
пласт с такими же, как у реального, вероятностно-статистическими показателями.
Обычно используют следующие модели пласта:
) Модель однородного пласта,
) Модель зонально-неоднородного пласта,
) Модель слоисто-неоднородного пласта,
) Модель трещинного пласта,
) Модель трещинно-пористого пласта.
Известно, что однородных пластов в природе не существует. Поэтому замена
неоднородного пласта однородным является существенным упрощением реальности,
которое допустимо только с целью оценок добывных возможностей месторождения и
обоснования выбора систем разработки.
Модель слоистого пласта - это упорядоченная совокупность однородных, но
разных между собой по свойствам слоев. Модель зонально-неоднородного пласта
состоит из набора одинаковых участков пласта прямоугольной или квадратной
формы, отличающихся средней проницаемостью. Предполагается, что каждый участок
состоит из однородного пласта. Используется модель зонально и слоисто-неоднородного
пласта. В этом случае каждый выделенный участок содержит совокупность слоев
различной проницаемости, гидродинамически изолированных друг от друга.
Послойная и зональная неоднородности хорошо описываются законом
гамма-распределения и оцениваются количественно коэффициентом вариацию Такая
модель пласта составляет основу методики расчетов показателей разработки
нефтяных месторождений, разработанную В.Д. Лысенко и Э.Д. Мухарским. Модели
трещинного и трещино-пористого пласта достаточно сложны, и при курсовом
проектировании не используются.
3.1 Исходные данные
Таблица 3.1 - исходные данные.
|
Параметры
|
Пласт Т3
|
|
|
|
|
Площадь S, км2
|
4,94
|
|
Средняя толщина h, м
|
5,30
|
|
Пористость m, д.ед.
|
0,120
|
|
Нефтенасыщенность Sн0
|
0,890
|
|
Насыщенность пласта
связанной водой Sсв
|
0,110
|
|
Проницаемость k, м2*10-12
|
0,045
|
|
Начальное пластовое
давление p0, МПа
|
24,70
|
|
Вязкость нефти в
пласт. условиях µн, мПа*с
|
5,10
|
|
Плотность нефти в
пласт. условиях ρн, т/м3
|
0,838
|
|
Объемный коэффициент
нефти bн, д. ед
|
1,063
|
|
Давление насыщения
нефти газом pнас, МПа
|
6,59
|
|
Газосодержание нефти
Г0, т/м3
|
25,86
|
|
Вязкость воды в
пласт. условиях µв, мПа*с
|
1,05
|
|
Плотность воды в
пласт. условиях ρв, т/м3
|
1,127
|
|
Сжимаемость породы β, Па-1*10-10
|
4,05
|
Рисунок 3.1 - Схема.
Рисунок
3.2 - Зависимость текущей обводненности ν от относительного отбора нефти 
Внешний
и внутренний контуры нефтеносности имеют форму, близкую к окружностям (рисунок
3.1).
Требуется определить в условиях разработки при упругом режиме в
законтурной области пласта:
1)
изменение в процессе разработки за 10 лет (по годам) среднего пластового давления
в пределах нефтяной залежи;
)
изменение добычи нефти, воды, текущей нефтеотдачи и обводненности продукции при
заданной динамике добычи жидкости в течение 10 лет.
3.2 Решение
3.2.1 Определение запасов нефти и газа, числа скважин и темпа
разработки
Геологические запасы нефти определим объемным методом по формуле

Тогда
запасы нефти
или
в поверхностных условиях
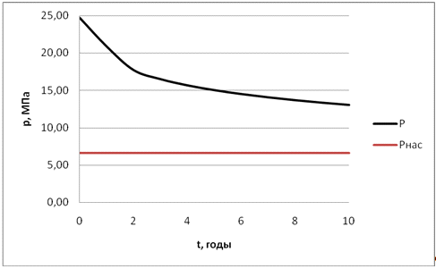
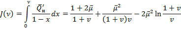
3.2.2 Расчет изменения среднего пластового давления во
времени
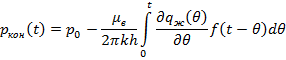
Для расчета давления на контуре нефтяной залежи pкон(t) необходимо
использовать интеграл Дюамеля, согласно которому
Введем безразмерное время τ в виде
В этом случае интеграл Дюамеля запишется следующим образом:
После преобразований, получим
Вычисляя интеграл, имеем
J(τ)=0,5τ-0,178[1-(1+τ)-2,81]+0,487[(1+τ)lg(1+τ)-τ]
Окончательно для расчета изменения среднего пластового давления в
нефтенасыщенной части месторождения Δp
(τ) получаем
формулу
Однако при τ > τ*,
Коэффициент пьезопроводности определяем по формуле
В итоге получим,
Таблица 3.2 - изменение среднего пластового давления.
|
Пласт Т3
|
|
qmax,*106
м3/год
|
0,30
|
|
χ
|
0,10
|
|
∆p*,
МПа
|
6,40
|
|
Годы t
|
τ
|
J(τ)
|
J(τ-τ*)
|
Понижение пластового
давления ∆p, МПа
|
Среднее пластовое
давление p, МПа
|
|
0
|
0,00
|
0,00
|
|
0,00
|
24,70
|
|
1
|
2,10
|
0,60
|
|
3,84
|
20,86
|
|
2
|
4,20
|
1,69
|
0,60
|
7,01
|
17,69
|
|
3
|
6,31
|
2,98
|
1,69
|
8,22
|
16,48
|
|
4
|
8,41
|
4,39
|
2,98
|
9,05
|
15,65
|
|
5
|
10,51
|
5,91
|
4,39
|
9,70
|
15,00
|
|
6
|
12,61
|
7,50
|
5,91
|
10,22
|
14,48
|
|
7
|
14,72
|
9,17
|
7,50
|
10,66
|
14,04
|
|
8
|
16,82
|
10,90
|
9,17
|
11,04
|
13,66
|
|
9
|
18,92
|
12,67
|
10,90
|
11,38
|
13,32
|
|
10
|
21,02
|
14,50
|
12,67
|
11,68
|
13,02
|
Рисунок 3.3 - Изменение среднего пластового давления.
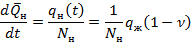
1.3.4 Расчет изменения добычи нефти и воды
во времени при заданном отборе жидкости из пласта
По условию задачи задана зависимость (рисунок 3.2) текущей обводненности ν продукции, получаемой из залежи, от
относительной суммарной добычи нефти или относительной выработки извлекаемых
запасов нефти Qн. Если, как указано в условии задачи, эта
зависимость не будет изменяться в процессе разработки нефтяного месторождения,
то можно использовать метод расчета показателей разработки, аналогичный
известному методу -«по характеристикам вытеснения нефти водой».
Относительная
суммарная добыча нефти 
есть частное от деления накопленной к моменту t времени
разработки добычи нефти на количество извлекаемых запасов, т. е.
Текущая
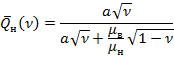
обводненность продукции скважин определяется следующим соотношением:
где
qв - дебит
воды, добываемой одновременно с нефтью из всех скважин; qн -
дебит нефти.
Поскольку
Получим
Имеем
Разделив
переменные и интегрируя обе части полученного уравнения в пределах изменения
обводненности от заданного значения и соответствующего времени разработки,
получим
Интегрально
соотношение позволяет получить искомую зависимость обводненности от времени
разработки. Это сделаем путем аппроксимации данных на рисунке 3.2 некоторой
функции.
В
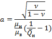
качестве аппроксимирующей функции используем выражение, полученное на основании
квадратичной аппроксимации функции Баклея-Леверетта:
Введем
где
a - некоторый постоянный коэффициент, зависящий от
свойств коллектора.
Представим
интеграл как
Используя
правило интегрирования по частям и выполняя необходимые вычисления, получим
После
решения интеграла и необходимых преобразований получим решение:
Введя
обозначение 
, решение
запишем в виде:
На
первой стадии в период возрастания добычи жидкости в процессе бурения скважин
получим
На
второй стадии в период постоянной добычи жидкости имеем
Результаты
расчетов приведены в таблице 3.3, на основании которой построены кривые
(рисунок 3.2) зависимости обводненности продукции скважин от времени
разработки.
С
помощью кривой изменения текущей обводненности от времени разработки (рисунок
3.4) определим дебиты нефти для различных моментов времени по формуле
Таблица
3.3
|
a
|
0,09
|
|
µ
|
2,38
|
|
|
u*
|
Qн
|
ν**
|
J(ν)
|
J(t)
|
t
|
|
0,01
|
99,00
|
0,04
|
23,69
|
0,04
|
0,04
|
0,14
|
|
0,05
|
19,00
|
0,09
|
10,38
|
0,09
|
0,09
|
0,31
|
|
0,10
|
9,00
|
0,12
|
7,14
|
0,13
|
0,13
|
0,44
|
|
0,20
|
4,00
|
0,17
|
4,76
|
0,19
|
0,19
|
0,65
|
|
0,30
|
2,33
|
0,22
|
3,64
|
0,24
|
0,24
|
0,85
|
|
0,40
|
1,50
|
0,26
|
2,92
|
0,30
|
0,30
|
1,06
|
|
0,50
|
1,00
|
0,30
|
2,38
|
0,38
|
0,38
|
1,32
|
|
0,60
|
0,67
|
0,34
|
1,94
|
0,48
|
0,48
|
1,66
|
|
0,70
|
0,43
|
0,39
|
1,56
|
0,62
|
0,62
|
2,18
|
|
0,80
|
0,25
|
0,46
|
1,19
|
0,89
|
0,89
|
3,11
|
|
0,90
|
0,11
|
0,56
|
0,79
|
1,62
|
1,62
|
5,64
|
|
0,95
|
0,05
|
0,65
|
0,55
|
2,89
|
2,89
|
10,09
|
|
0,98
|
0,02
|
0,75
|
0,34
|
6,10
|
6,10
|
21,26
|
|
0,99
|
0,01
|
0,81
|
0,24
|
10,43
|
10,43
|
36,36
|
В таблице 3.4 приведены основные показатели, характеризующие процесс
разработки месторождения в первые 10 лет.
Таблица 3.4 - Изменение параметров в процессе разработки.
|
Время t, годы
|
Добыча жидкости qж,
*103 м3/сут
|
Добыча нефти qн*
в поверхностных условиях, *103 т/сут
|
Добыча воды qв,
*103 м3/сут
|
Обводненность ν, %
|
Накопленная добыча
нефти Qн,*106 т
|
Текущая нефти отдача η
|
|
0
|
0,00
|
0,00
|
|
|
0,000
|
0,000
|
|
1
|
0,25
|
0,19
|
0,01
|
5
|
0,068
|
0,002
|
|
2
|
0,64
|
0,43
|
0,10
|
15
|
0,157
|
0,006
|
|
3
|
0,82
|
0,50
|
0,19
|
23
|
0,182
|
0,006
|
|
4
|
0,82
|
0,44
|
0,26
|
32
|
0,161
|
0,006
|
|
5
|
0,82
|
0,41
|
0,30
|
37
|
0,149
|
0,005
|
|
6
|
0,82
|
0,38
|
0,34
|
41
|
0,140
|
0,005
|
|
7
|
0,82
|
0,35
|
0,38
|
46
|
0,128
|
0,005
|
|
8
|
0,82
|
0,32
|
0,42
|
51
|
0,116
|
0,004
|
|
9
|
0,82
|
0,29
|
0,45
|
55
|
0,106
|
0,004
|
|
10
|
0,82
|
0,26
|
0,49
|
60
|
0,095
|
0,003
|
Рисунок 3.5 - Изменение добычи жидкости qж в процессе разработки.
Рисунок 3.6 - Изменение добычи нефти qн в процессе разработки.
Рисунок 3.7 - Изменение накопленной добычи нефти Qн.
Рисунок 3.8 - Изменение обводненности ν.
Литература
1. Желтов
Ю. П. Разработка нефтяных месторождений. - М.: Недра, 1986.
. Желтов
Ю. П., Стрижов И. Н., Золотухин А. Б., Зайцев В. М. Сборник задач по разработке
нефтяных месторождений. - М.: Недра, 1985.
3. Технологическая
схема разработки по Горному нефтяному месторождению Оренбургской области
[Текст]: отчет, тема 7-78, этап 2/ Гипровостокнефть; Б.Ф. Сазонов, А.М.
Губанов, Куйбышев, 1978.
4. Дополнение
к технологической схеме разработки Горного нефтяного месторождения
ТатНИПИнефть; г. Бугульма, 2006.