Цикорий обыкновенный
«Методологические
основания применения геофизических способов для изучения угольных пластов »
Содержание
Введение
Глава 1. Общие методологические
основания исследования
Глава 2. Основы методологии шахтной
сейсморазведки
Глава 3. Анализ методов сейсмических
исследований в угольных шахтах
Заключение
Список литературы
Введение
Как известно, процесс угледобычи является одним
из наиболее сложных в разработке полезных ископаемых. В угледобывающей
промышленности эффективность и безопасность труда очень сильно зависят от
геологических условий разрабатываемых месторождений. Также все более возрастает
роль механизации и автоматизации производственных процессов при добыче угля,
что предъявляет повышенные требования к полноте и достоверности исходных геологических
материалов. В связи с этим опережающий прогноз горно-геологических условий
отработки угольных пластов в настоящее время приобретает особую актуальность.
К настоящему времени накоплен значительный опыт
в области шахтных геофизических исследований во всем мире. За последние годы
получены новые научные и практические результаты, значительно расширена область
их применения. Большой вклад в изучение структуры и особенностей залегания
угольных пластов внесли и российские ученые, такие как: А.П. Аверин, Н.Я.
Азаров, М.С. Анциферов, Л.М. Бреховских, С.А. Вартанов, В.Н. Захаров, И.И.
Гурвич, А.Л. Левшин, Д.В. Яковлев и др. Несмотря на перспективность и высокую
разрешающую способность методов сейсморазведки, применение их в основном в
пределах оконтуренного выемочного столба с использованием аналоговой аппаратуры
и ручной обработки данных значительно ограничивает их возможности и круг
решаемых горно-геологических задач.
При освоении месторождений твердых полезных
ископаемых, в том числе и угольных, необходимо постоянное и своевременное
пополнение банка горно-геологической информации на всех стадиях его разработки.
Достижение максимальной оперативности решения данной задачи возможно только за
счёт привлечения геофизических методов. Выбор методов обуславливается
конкретными геологическими особенностями объекта изучения.
Сейсмические методы характеризуются большей
разрешающей способностью и независимостью извлекаемой информации от влияния
шахтного электрооборудования и влажности.
Применяемые в настоящее время шахтные
сейсмические исследования основаны на различных методах: преломленных волн
(МПВ), отраженных волн (MOB), сейсмического просвечивания (МСП). Используемый в
данном исследовании сейсмический метод исследования угольных пластов на
проходящих волнах дает возможность оценить параметры, выявить основные типы
нарушений угольного пласта и углевмещающих пород с высоким уровнем
достоверности, что позволяет снизить издержки и исключить катастрофические
последствия при внезапном обнаружении продуктивного пласта, не вскрытого
подготовительными выработками.
Для достижения цели сформулированы следующие
задачи:
· провести подробный анализ литературы
о специальных сейсмических работах в угольных шахтах для изучения особенностей
шахтного волнового поля;
· освоить методику и обработать
первичные сейсмические материалы, полученные с автономной сейсмической станции
РОСА-А при работе в угольных шахтах;
· провести анализ наблюдаемого
волнового поля, полученного способом сейсмопросвечивания угольных пластов, с
последующей корреляцией и построением годографов однотипных волн,
распространяющихся в углевмещающих породах и угольном пласте;
· провести предварительное
моделирование на синтетических моделях;
· проиллюстрировать возможности
сейсмотомографической обработки материалов, полученных способом
сейсмопросвечивания (на проходящих волнах), для детального восстановления
особенностей скоростного строения угольного пласта и углевмещающих пород.
С точки зрения философии, чтобы полученные
данные являлись научными, в первую очередь необходимо изучить
теоретико-методологические основания предстоящего исследования. Возрастающая
роль науки в общественной жизни породила особый статус философии в современной
культуре и новые аспекты ее взаимодействия с различными слоями общественного
сознания. В этой связи остро ставится проблема особенностей научного познания и
его соотношения с другими формами познавательной деятельности (искусством,
обыденным сознанием и т. д.). Эта проблема, будучи философской по своему
характеру, в то же время имеет большую практическую значимость. Осмысление
специфики науки является необходимой предпосылкой внедрения научных методов в
управление культурными процессами. Оно необходимо и для построения теории
управления самой наукой в условиях ускоренного научно-технического прогресса,
поскольку выяснение закономерностей научного познания требует анализа его
социальной обусловленности и его взаимодействия с различными феноменами
духовной и материальной культуры. При характеристике природы научного познания
можно выделить систему отличительных признаков науки, среди которых главными
являются: а) предметность и объективность научного знания; б) выход науки за
рамки обыденного опыта и изучение ею объектов относительно независимо от
сегодняшних возможностей их практического освоения. Все остальные необходимые
признаки, отличающие науку от других форм познавательной деятельности, являются
производными от указанных главных характеристик и обусловлены ими.
Цель работы - проанализировать методологические
основания применения сейсмических способов для изучения угольных пластов.
Задачи:
1. Охарактеризовать методологические
основания исследования.
. Описать методологию применения
сейсмических исследований в угольных шахтах.
. Провести анализ применяемых в настоящее
время сейсмических методов изучения угольных пластов.
Объект исследования - угольные пласты. В работе
приведены результаты обработки данных, полученных в угольных шахтах Кузбасса
(шахты имени Ленина, Байкаимская, Ульяновская).
Предмет исследования - методология шахтной
сейсморазведки.
Глава 1. Общие методологические основания
исследования
Знание - объективная реальность, данная в
сознании человека, который в своей деятельности отражает, идеально
воспроизводит объективные закономерные связи реального мира.
Познание - обусловленный прежде всего
общественно-исторической практикой процесс приобретения и развития знания, его
постоянное углубление, расширение, совершенствование и вопроизводство. Это
такое взаимодействие объекта и субъекта, результатом которого является новое
знание о мире.
Метод - способ достижения какой-либо цели,
решения конкретной задачи; совокупность приемов или операций практической или
теоретической деятельности.
Метод познания - это творческая лаборатория
субъекта познания, ориентированная на способы самодвижения и саморазвития
объекта познания.
Особый раздел философии, который непосредственно
рассматривает методы познания, их специфику, называется методологией.
Методология - учение о методах и средствах, о структуре, логической организации
деятельности. Под методологией понимают также систему определенных способов,
приемов и операций, применяемых в той или иной сфере деятельности.
Основные особенности (критерии) научного
познания:
1. Ориентация исследования главным образом
на общие, существенные свойства предмета, его необходимые характеристики и их
выражение в системе абстракции, в форме идеализированных объектов.
2. Нацеленность науки на изучение не только
объектов, преобразуемых в сегодняшней практике, но и тех, которые могут стать
предметом практического освоения в будущем
. Объективность, устранение не присущих
предмету исследования субъективистских моментов для реализации «чистоты» его
рассмотрения. При этом активность субъекта - важнейшее условие и предпосылка
научного познания.
. Системность, то есть совокупность
знаний, приведенных в порядок на основании определенных теоретических
принципов, которые и объединяют отдельные знания в целостную органическую
систему.
. Постоянная методологическая рефлексия.
То есть в науке изучение объектов, выявление их специфики, свойств и связей
всегда сопровождается осознанием методов и приемов, посредством которых
исследуются данные объекта.
. Строгая доказательность, обоснованность
полученных результатов, достоверность выводов.
. Производство и воспроизводство новых
знаний, образующих целостную и развивающуюся систему понятий, теорий, гипотез,
законов и других идеальных форм, закрепленных в языке (естественном или
искусственном: математическая символика, химические формулы и т. п.).
. Знание, претендующее на статус научного,
должно допускать принципиальную возможность эмпирической проверки. Утверждения
и концепции, которые не могут быть подвергнуты процедурам верификации и
фальсификации, как правило, не считаются научными.
. Примененеие специфических материальных
средств (приборы, инструменты и другое научное оборудование). Кроме того, для
науки характерно использование идеальных (духовных) средств и методов:
современная формальная логика, математические методы, диалектика и другие
общенаучные приемы и методы.
. Требуется особая подготовка познающего
субъекта, в коде которой он осваивает сложившийся запас знаний, средства и
методы его получения, систему ценностных ориентаций и целевых установок,
специфичных для научного познания, его этические принципы.
Научное познание имеет системный характер и
сложную структуру. Структуру научного познания можно представить в разных
срезах и с выделением разных элементов. Элементами научного познания могут
выступать: субъект познания, его объект (предмет), методы и средства. В
структуре научного познания принято также выделять эмпирический и теоретический
уровни познания. Они различаются по гносеологической направленности,
познавательным задачам, по характеру научных результатов, по методам получения
знаний.
Эмпирический и теоретический уровни познания
взаимосвязаны, граница между ними условна и подвижна. Эмпирическое исследование
предоставляет новые данные, которые требуют теоретического осмысления.
Теоретическое познание со своей стороны ориентирует эмпирические исследования
на поиск новых фактов, способствует развитию методов и средств эмпирического
исследования. Для научного познания характерная тенденция к постоянному
развитию. Наука не претендует на абсолютную истину, но стремится приближаться к
истине. Этим она отличается от мифологии, религии, эзотерики.
Основными методами эмпирического познания
являются наблюдение и эксперимент.
Наблюдение - это целенаправленное восприятие
явлений действительности, в ходе которого фиксируются данные об их свойствах и
отношениях. Научное наблюдение является специальной деятельностью, в которую
включены наблюдатель, объект наблюдения и средства наблюдения.
Эксперимент - это активное, целенаправленное
изучение явлений в точно фиксированных условиях их протекания, которые могут
воссоздаваться и контролироваться самим исследователем. Со становлением
экспериментального метода ученый превращается из наблюдателя природы в
естествоиспытателя. С помощью этого метода ученый обретает возможность
«задавать вопросы природе».
На теоретическом уровне выделяются следующие
подуровни: 1) частные теоретические модели и законы, 2) развитая теория. В
развитой теории все частные теоретические модели и законы обобщаются таким
образом, что они выступают как следствия фундаментальных принципов и законов
теории.
Теория - наиболее развитая форма научного
знания, дающая целостное отображение закономерных и существенных связей
определенной области действительности. Любая теория - это целостная
развивающаяся система истинного знания (включающая и элементы заблуждения),
которая имеет сложную структуру и выполняет ряд функций.
В современной методологии науки выделяют
следующие основные элементы теории:
. Исходные основания - фундаментальные понятия,
принципы, законы, уравнения, аксиомы и т.п.
. Идеализированный объект - абстрактная модель существенных
свойств и связей изучаемых предметов (например, "абсолютно черное
тело", "идеальный газ", "абсолютно твердое тело" и
т.п.).
. Логика теории - формальная, нацеленная на
прояснение структуры готового знания, на описание его формальных связей и элементов,
и диалектика - направленная на исследование взаимосвязи и развития категорий,
законов, принципов и других форм теоретического знания.
. Совокупность законов и утверждений, выведенных
из основоположений данной теории в соответствии с определенными принципами.
. Философские установки, ценностные,
социокультурные основания.
В современной науке достаточно успешно
"работает" многоуровневая концепция методологического знания. В этом
плане все методы научного познания по степени общности и сфере действия могут
быть разделены на следующие основные группы:
1. Философские методы, среди которых важную
роль играет диалектика, метафизика, феноменология, герменевтика и др.
2. Общенаучные подходы и методы
исследования. Они выступают в качестве своеобразной промежуточной методологии
между философией и фундаментальными теоретико-методологическими положениями
специальных наук.
Характерными чертами общенаучных понятий
являются, во-первых, сплавленность в их содержании отдельных свойств,
признаков, понятий ряда частных наук и философских категорий. Во-вторых,
возможность (в отличие от последних) их формализации, уточнения средствами
математической теории.
В данном диссертационном исследовании
используются такие общенаучные методы как эксперимент, наблюдение, сравнение, описание,
измерение, формализация, анализ, абстрагирование, обобщение, синтез, индукция,
аналогия, моделирование, системный подход, интерпретация.
Глава 2. Основы методологии шахтной
сейсморазведки
сейсморазведка шахтный угольный
волна
Физические основы шахтной сейсморазведки
Для описания процесса распространения
сейсмических колебаний в угленосной толще необходимо обратиться к теории
упругости. При этом в качестве модели углевмещающей толщи можно рассматривать
упругое твердое тело (в физическом понимании), состоящее из набора изотропных
слоев, соответствующих угольному пласту и вмещающим породам. Возникающие в
процессе возбуждения и распространения сейсмических волн напряжения не
превышают пределов упругости сред, слагающих толщу; смещения составляют сотые
доли процентов от характерных размерностей модели. С физической точки зрения
такие возмущения рассматриваются как обратимые и малые.
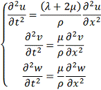
Уравнения распространения колебаний в упругих
средах. Как известно из положений теории упругости, уравнения движения в перемещениях
для твердых тел, удовлетворяющих закону Гука, в случае малых деформаций


- компоненты тензора деформаций;

- компоненты вектора перемещения;

- коэффициенты Ламе,
носят название уравнений Ламе и
имеют следующий вид:
где 
- вектор объемных сил;

- вектор ускорений;

- плотность.
Решения некоторых простейших
уравнений Ламе и содержат в себе основные типы волн, используемых в шахтной
сейсморазведке.
Классы и типы упругих волн,
наблюдаемых в угольных шахтах
Прямые волны. Для случая
неограниченной изотропной среды система уравнений Ламе принимает вид:
где через 
обозначены компоненты вектора перемещений.
Это обычные волновые уравнения, если
рассматривать величины 
и 
как скорости распространения возмущений, а
решение системы можно рассматривать как две независимо распространяющиеся
волны. Волновые пакеты, движущиеся с соответствующими скоростями, присутствуют
на любых реальных сейсмограммах, в том числе полученных на угольных пластах в
любых горно-геологических условиях. Эти скорости широко используются на
практике.
Общий вывод о существовании двух
видов волн принадлежит Пуассону (1831г.). Их называют продольными и поперечными
соответственно. Характер таких колебаний впервые был определен Стоксом (1883
г.). Волны таких типов присутствуют в решениях для сред любой сложности, а
скорости их распространения определяют значения скоростей волн иных типов.
Разделение упругой волны на две независимо распространяющиеся составляющие
можно провести и в случае произвольной волны, распространяющейся в безграничном
пространстве.
Поверхностные волны. Для
ограниченной среды среди решений волнового уравнения важное место играют
поверхностные волны, описанные Рэлеем (1900 г.) и представляющие собой волну,
распространяющуюся вдоль границы среды и экспоненциально затухающую при
удалении от нее. Поверхностные волны являются интерференционными, т.е
представляют собой сумму элементарных волн. Часто они отмечаются в виде
протяженных цугов колебаний, обладающих достаточно широким спектром. Как
правило, используется два типа поверхностых волн, различающихся по ориентации
плоскости поляризации: волны Рэлея и Лява.
В ограниченной изотропной среде, в
качестве которой можно рассматривать как угольный, так и любой из породных
пластов, необходим учет граничных условий. Теория поверхностных волн подробно
описана Л.М. Бреховских. Хотя глубина их проникновения внутрь угольного пласта
(или вмещающей породы) составляет доли длины волны, благодаря тому, что
«рабочие» длины волн шахтной сейсморазведки превышают мощности исследуемых
пластов, интерференция волн Релея формирует достаточно мощные волновые пакеты.
Скорость распространения поверхностных волн зависит только от скоростей
поперечных и продольных волн в породах и теоретически лежит в пределах от 0,874
до 0,955 от величины Vs. Поэтому их иногда называют «замедленными» волнами. В
наземной сейсморазведке эти волны достаточно широко известны и находят широкое
применение.
Каналовые волны. В практике сейсмического
просвечивания довольно часто встречается случай тонкого (по сравнению с длиной
волны) слоя с пониженной скоростью распространения упругих колебаний, который
является волноводом, т.е. средой канализирующей энергию волны. В нем
распространяются так называемые каналовые волны, возникшие в результате
интерференции многократно отраженных от границ слоя волн. Как правило, в
шахтной сейсморазведке угольный пласт и является таким волноводом.
Каналовые волны разделяются на нормальные моды
(образованные в результате интерференции отраженных от границ слоя за
критическим углом) и просачивающиеся моды (интерферирующие волны, отраженные в
докритической области). По типу волн и особенностям их поляризации выделяют
волны типа лява (L), которые образуются при интерференции плоских SH волн
(волны данного типа поляризованы в плоскости параллельной к плоскости волновода
в направлении перпендикулярном к линии источник - приемник), а также волны типа
рэлея (R), образующиеся в результате интерференции плоских продольных Р - и
поперечных SV - волн, поляризованных в плоскости перпендикулярной к плоскости
волновода и проходящей через линию источник - приемник.
Для каналовых волн в волноводе характерна
зависимость скорости от частоты. Групповые и фазовые скорости каналовых волн с
увеличением частоты стремятся к скорости VS в волноводе, а с уменьшением
частоты - к скорости поперечных волн в окружающей среде. По этим признакам
каналовые волны достаточно уверенно выделяются на сейсмограммах при
исследованиях методом сеймического просвечивания (МСП).
В практике шахтной сейсморазведки особое место
занимают два типа волн. Первый - так называемые каналовые волны или, по
терминологии принятой в физике слоистых сред - нормальные. Каналовые волны
заняли прочное место инструмента шахтной сейсморазведки, так как
распространяются непосредственно по угольному пласту и несут в себе основную
информацию о его структуре.
Боковые волны. Наряду с каналовыми особое место
в шахтной сейсморазведке занимают боковые (или головные) волны. Главная часть
пути таких волн проходит вдоль границы раздела двух слоев, их времена пробега
зависят от физических свойств горных пород и элементов залегания пластов. В
шахтной сейсморазведке головные волны несут информацию о составе и структуре
среды, вмещающей угольный пласт. Схема распространения головных волн представлена
на рисунке 1.
Рисунок 1. Лучевая схема
распространения боковой волны (OSDP)
Методика начальной обработки сейсмических
записей (preprocessing)
Целевой задачей первичной обработки полевых
сейсмических материалов, зарегистрированных автономной станцией РОСА-А (глава
3), является формирование сейсмограмм общего пункта возбуждения (ОПВ) при
использовании невзрывного источника упругих колебаний ударного типа (кувалда).
Автономной сейсмостанцией РОСА-А по заданному (программируемому)
расписанию в каждом пункте приема (ПП) были получены сейсмические записи
длительностью около часа. Во время регистрации этих часовых сеансов проводилось
возбуждение упругих колебаний путем нескольких (до 12) ударов кувалдой на
заданных пунктах возбуждения (ПВ). В результате было записано соответствующее
волновое поле (в виде последовательности отсчетов в формате PCA).
Для определения отметок моментов времени
возбуждений, на кувалде был закреплен пьезодатчик, сигнал с которого
записывался в канал регистрации автономного регистратора РОСА-А (далее -
«отметчик»). Исходный материал с отметчика представляет собой такие же
длительные записи (запрограммированные с тем же расписанием), содержащие
зарегистрированные отметки моментов в виде записи специальной формы,
облегчающей последующий автоматический поиск (рисунок 2). На рисунке 2
представлен вид записи с сейсмоприемников.
Начальная обработка полевых записей включала
следующие действия:
1. Определение списка отметок моментов
времен возбуждения для каждого сеанса записи «отметчика». В результате
формируется список отметок моментов времен возбуждения в виде текстового файла
*.nav (рисунок 3), содержащего точное время отметок моментов (год, месяц, день,
час, минута, секунда, миллисекунды, микросекунды) и служебную информацию.
Рисунок 2. а - форма записи с отметчика; б -
форма записи с приемника
Рисунок 3. Вид текстового файла в формате *.nav,
формируемого в программе Murcalc
2. Формирование первичной (грубой) разбивки
времени регистрации сеанса записи данных на интервалы, можно с перекрытиями.
Результат: текстовый файл привязки времен *_gr.nav в заданном формате с
описанием этих времен (рисунок 4).
Рисунок 4. Вид текстового файла привязки времен.
Грубая разбивка.
3. Формирование файла параметров разбивки
(например, *_16s.txt) в текстовом виде в специальном формате.
4. Первичная разбивка длинных записей
регистраторов РОСА-А (*.PCA) на фрагменты. Результат: сейсмограммы по 4 трассы
в формате SEG-Y, по 16 секунд.
. Объединение 16-ти секундных фрагментов
записей всех регистраторов, соответствующих одному и тому же временному
интервалу, с помощью программы TraceOperation (разработка ФГУП «СНИИГГиМС»).
Выполняется для всех 16-ти секундных интервалов для всех часовых сеансов
регистрации. Результат - сейсмограммы в формате SEG-Y, содержащие сейсмические
трассы со всей расстановки, длительностью 16 секунд. На рисунке 5 показана
сейсмограмма для первой расстановки из 5 регистраторов (20 трасс),
длительностью 16 секунд, с началом записи UTC 04:13:30, содержащая серию
откликов на удары в пункте возбуждения 26 (по схеме - шпур 12 в демонтажной
камере).
. Первичный просмотр сейсмограмм,
полученных в п. 5. Проверка корреляции откликов сигнала с временами возбуждения
с отметчика (п. 1) и рапортом оператора. Выделение тех отметок моментов
возбуждений, которым соответствует отклик сигнала на записях. Выбраковывание
ложных отметок моментов возбуждений, которым нет соответствующего отклика, а
также тех отметок времени, к которым отклик на записи есть, но с явным
смещением относительно ожидаемого времени (сбой записи отметки момента), либо с
сильными помехами (например, отскок кувалды, хождение по профилю во время записи
отклика).
. Привязка выбранных отметок моментов
времен возбуждения проводится с указанием соответствующих им ПВ, порядковая
нумерация ударов для одного ПВ (для последующего накопления). Составление
файлов привязки времен возбуждений *_pv.nav на основе nav-файлов из п. 1 в
текстовом виде в специальном формате (рисунок 6).
. Редактирование файла параметров
разбивки *_16s.txt из п. 3 с указанием новых файлов привязки времен ПВ *_pv.nav
из п. 7 и необходимой длительности трасс в готовых сейсмограммах ОПВ.
Рисунок 5. Объединенная сейсмограмма,
соответствующая записи пяти регистраторов на первой расстановке. Длительность
16 секунд, открытый канал
Рисунок 6. Вид текстового файла привязки времен
возбуждений
9. Аналогично п. 4, проводится разбивка
длинных записей регистраторов РОСА-А в соответствии со сформированными в п. 7
файлами привязки времен возбуждений *_pv.nav и редактированным в п. 8 файлом
параметров разбивки *_1s.txt. Результат - сейсмограммы по 4 трассы в формате
SEG-Y, каждая содержит 1 секундную запись одного возбуждения, с началом записи
в момент возбуждения (рисунок 7а).
. Визуализация и анализ полученных в п. 9
данных (от одиночных ударов) в подробном масштабе (SeiSee), выбраковывание
неудачных записей, пропущенных в п. 6.
. Накопление (суммирование) записей
одиночных возбуждений проводится с помощью программы TraceOperation, затем,
аналогично п. 5, производится объединение 1-секундных записей всех регистраторов,
соответствующих одному и тому же ПВ, в сейсмограммы ОПВ (рисунок 7б).
Выполняется для всех ПВ.
. Визуализация и анализ суммированных
сейсмограмм ОПВ, редакция сейсмограмм, в том числе удаление, перестановка,
инверсия отдельных каналов при необходимости (TraceOperation).
Рисунок 7. а) Типичная сейсмозапись одного удара
на открытом канале, б) итоговая (суммированная) сейсмограмма ОТВ, содержащая
записи всех ПП
В случае видимого временного сдвига в записи
регистратора, вызванного потерей (пропуском) при записи блоков отсчетов (кратно
256 отсчетов) на флэш-память регистратора, этот сдвиг определяется при
первичном просмотре данных в п. 6 и далее учитывается при составлении файлов
привязки времен возбуждений, введением временных поправок, для каждого
регистратора и каждой сессии записи отдельно.
Методика сейсмотомографичейской обработки
Следующий этап после первичной обработки -
анализ и интерпретация сейсмического волнового поля, которая заключается в
опознании и пикировке осей синфазности однотипных волн с использованием
программы «Seisviewer» (разработка ФГУП «СНИИГГиМС»). При анализе сейсмограмм,
полученных в результате первичной обработки, были выделены следующие однотипные
сейсмические волны: продольные PУВ, поперечные SУВ и каналовые F,
распространяющиеся в углевмещающих породах и угольном пласте. По всем
полученным сейсмограммам строятся системы годографов прослеженных однотипных
волн: tPУВ , tSУВ и tF, которые в совокупности с координатами всех точек приёма
и возбуждения сейсмических колебаний являются исходным материалом для получения
двухмерного изображения поля скоростей сейсмических волн.
Томографический анализ проводится с
использованием энергии волн, проходящих через изучаемый объект (томография на
проходящих волнах, или трансмиссионная томография). Томография на проходящих
волнах позволяет оценивать параметры локальных произвольно неоднородных
аномалий по интегральным характеристикам поля зондирующего сигнала. Входными
данными для трансмиссионной томографии могут быть как время распространения
сигнала от источника к приемнику вдоль луча, так и его амплитуда и поляризация.
Для построения томографических разрезов использовалась программа обработки
данных межскважинной томографии MIGRATOM (M.J. Jackson, D.R. Tweeton).
Анализ результатов сейсмопросвечивания должен
сопровождаться предварительным моделированием на синтетических моделях для
выбора оптимальной системы наблюдения, а также определения основных элементов
интерпретации полученных сейсмотомографических срезов.
Глава 3. Анализ методов сейсмических
исследований в угольных шахтах
Шахтная геофизика включает два основных
направления исследований: натурные измерения и камеральную обработку и
интерпретацию полученных данных. Но при этом шахтная геофизика характеризуется
целым комплексом специфических особенностей и условий проведения эксперимента,
что в значительной мере отличает её от других геофизических наук (наземной и
скважинной геофизики) и обосновывает необходимость и правомочность выделения её
по области применения в самостоятельную геофизическую науку. Главное отличие
шахтной геофизики - это исследование массива горных пород не вкрест простирания
слагающих его слоев, а по их простиранию. Специфичны условия проведения шахтных
исследований, которые определяются сочетанием горно-технических и
горно-геологических особенностей изучаемого участка (наличием горных выработок,
соотношением их расположения с геометрическими показателями исследуемых
геологических факторов и т.п.). Эти особенности определяют выбор модификаций
геофизических сейсморазведочных методов, наиболее оптимальных для постановки
экспериментальных работ.
Рисунок 8. Методы шахтной сейсморазведки: а)
сейсмического просвечивания; б) отраженных волн; в) локации впереди забоя. 1 -
сейсмоприемники; 2 - пункты возбуждения; 3 - тектонические нарушения; 4 -
размыв пласта.
Шахтные сейсморазведочные работы, направленные
на прогноз и исследование геологических нарушений угольного пласта, выполняются
с использованием трех основных методов: метода отраженных волн (МОВ), метода
сейсмического просвечивания (МСП) и метода сейсмической локации впереди забоя
(МСЛ) (рисунок 8). Сущность методов сейсморазведки в целом заключается в
возбуждении и регистрации упругих колебаний в пределах угольного пласта и
анализе динамических и кинематических параметров волн различных типов. Выбор
метода шахтных сейсморазведочных работ производится в каждом конкретном случае,
исходя из поставленных задач, горно-технических и горно-геологических условий.
Метод сейсмического просвечивания. Метод
сейсмического просвечивания (МСП) заключается в возбуждении упругих колебаний,
распространении их через массив горных пород, регистрации в пределах
исследуемых слоев (угольного пласта и вмещающих пород) и в анализе динамических
и кинематических параметров волн различных типов. Область применения МСП:
выявление и картирование разрывных нарушений и оценка их амплитуды, а также зон
их влияния (повышенной трещиноватости угля и вмещающих пород); размывов
угольных пластов и их кровли; зон повышенной трещиноватости пород, связанных с
пликативными нарушениями; ослабленные участки горных пород, образовавшиеся в
результате различных карстово-суффозионных и других геологических процессов;
оценка метаноносности углей и локализация метаноугольных ловушек. Обязательным
условием возможности применения МСП является наличие, по крайней мере, двух
горных выработок по изучаемому угольному пласту (например, штрек и монтажная
камера; штрек и разрезная печь; вентиляционный и конвейерный штреки и т.п.).
Одна горная выработка служит для размещения сейсмоприемников, другая - для
возбуждения волн. Наиболее приемлемым для изучения структуры угольных пластов
является способ сейсмопросвечивания угольного пласта из параллельно
расположенных выемок (штреков). В качестве источников могут использоваться
взрывы шпуровых зарядов небольшой величины, а также ударные возбуждения типа
направленной силы.
Исследования МСП осуществляются в двух основных
направлениях: прослеживание и картирование нарушений, вскрытых горной
выработкой (более простая задача); поиск, выявление, картирование и определение
типа и параметров «скрытых», не выявленных горными работами нарушений (задача
более сложная). В качестве информативных параметров используются характеристики
волн боковых и каналовых волн.
В данном диссертационном исследовании
использовались данные, полученные именно методом МСП на угольных шахтах
Кузбасса. Работы проводились на нескольких шахтах, максимальная дальность
(глубинность) расстановок составила 650 м.
Метод отраженных волн. Метод отраженных волн
(МОВ) заключается в возбуждении и регистрации упругих колебаний в пределах
исследуемых слоев (угольного пласта и вмещающих пород) и выделении волн
различных типов, отраженных от неоднородностей строения массива горных пород.
Принципиальные возможности и основное назначение МОВ заключаются в выявлении из
одиночной горной выработки и трассировании тектонических разрывных нарушений и
картировании размывов угольного пласта (соответственно с амплитудой смещения
или с глубиной эрозионного среза более половины его мощности). Для работы по
МОВ в модификации метода общей глубинной точки (МОГТ) с многократным
перекрытием необходимо наличие горной выработки, обязательно пройденной по
изучаемому угольному пласту. Взаимное расположение этой выработки и
исследуемого нарушения должно быть таким, чтобы волна, отражаясь от него, могла
бы, соблюдая законы геометрической сейсмики, вернуться к установленным в
выработке сейсмоприемникам. Достигнутая по данной методике дальность прогноза нарушений
угольного пласта составляет около 250 м. Конкретные объемы работ МОВ,
протяженность продольного, вдоль одиночной горной выработки, профиля наблюдений
- определяются, при выполнении исследований этим методом, исходя из конкретной
горно-геологической ситуации.
Метод сейсмической локации (МСЛ). Метод
сейсмической локации впереди забоя выработки заключается в возбуждении и
регистрации упругих колебаний непосредственно на груди забоя и в выделении волн
различных типов, отраженных от неоднородностей строения массива горных пород.
Методология сейсмолокации предназначена для исследований из забоя
подготовительной пластовой горной выработки с целью оперативного получения
информации о нарушенности углевмещающего массива, обеспечивающей возможность
своевременной корректировки проведения горных работ, с учетом выявленных
нарушений впереди забоя.
Область применения МСЛ - определение впереди
забоя местоположений разрывных нарушений угольного пласта и участков его
размывов. Глубинность зондирования разрывных нарушений может составлять до 100
- 120 м по нормали к простиранию плоскости сместителя разрывного нарушения при
минимально возможном удалении нарушения от забоя горной выработки 10 - 20 м,
при этом простирание плоскости сместителя может составлять угол более ± 45° к
оси проходимой горной выработки. Надежность выявления методом сейсмической
локации впереди забоев (на глубину до 60 м) тектонических разрывных нарушений и
размывов угольных пластов (соответственно, с амплитудой смещения или глубиной
эрозионного среза на полную мощность пласта) составляет порядка 80 - 85 %.
Шахтная сейсморазведочная аппаратура
Рисунок 9. Структурная схема автономного
регистратора РОСА-А
Возбуждение и прием сейсмических волн. Для
получения качественных сейсмозаписей, обеспечивающих возможность решения
поставленной геологической задачи, на каждом участке перед производственными
работами проводят опытные исследования, объем и содержание которых зависят от
сейсмогеологических условий и уровня априорных знаний о соотношении
сигнал/помеха, размеров зоны малых скоростей (ЗМС) в окрестности горной
выработки, условий возбуждения и приема сейсмических колебаний.
В настоящее время применяются следующие способы
возбуждения сейсмических волн:
) механические удары темпером (кувалдой) по
обнажению угольного пласта в горной выработке;
) механические удары темпером по металлической
штанге, установленной в шпуре (точка возбуждения переносится в массив горных
пород);
) механические удары по забою шпура с
использованием скважинного меха нического ударника (например, пружинного типа);
) взрыв одиночных или связок
капсюлей-детонаторов в шпурах;
) взрыв зарядов ВВ в шпурах, пробуренных на
заданную глубину (до 2 - 2,5 м).
Система наблюдений определяется технологической
схемой эксплуатации угольного месторождения: размерами выемочного столба и зоны
нарушения. Основное условие для выбора схемы расстановки источников и
приемников - это максимально равномерное просвечивание объекта.
Заключение
Данная работа основана на изучении
методологических оснований сейсмических исследований в шахтах с целью оценки
особенностей строения угольных пластов и углевмещающих пород. Данный вопрос представляет
практический интерес и затрагивает вопросы технологии и эффективности
разработки угольных пластов, а также вопросы безопасности труда.
Была освещена существующая теория формирования
волновых пакетов в угольных шахтах, проанализированы методы шахтной
сейсморазведки, используемые в настоящее время. Были освещены вопросы,
связанные с апробацией сейсмических наблюдений в шахтах Кузбасса на проходящих
волнах с использованием автономной станции РОСА-А, разработанной в СНИИГГиМС.
Детально рассмотрены и изучены особенности
методики сейсмических наблюдений на проходящих волнах в угольных шахтах,
включая специализированную обработку первичных записей (препроцессинг),
проанализированы возможности сейсмотомографии при восстановлении структуры
угольного пласта и углевмещающих пород.
Список литературы
1. Азаров
Н.Я., Яковлев Д.В. Сейсмоакустический метод прогноза горно-геологических
условий эксплуатации угольных месторождений. М.: Недра, 1988.
. Азаров
Н.Я., Анциферов А.В. Прогноз строения и состояния массива горных пород методами
шахтной и наземной сейсморазведки // Уголь Украины. 1993. № 12.
. Азаров
Н.Я., Анциферов А.В. Прогноз строения и состояния массива горных пород методами
шахтной и наземной геофизики // Тр. Междунар. конф. “Горная геофизика”.
Санкт-Петербург: ВНИМИ. 1998.
. Анциферов
А.В. Теория и практика шахтной сейсморазведки. - Донецк, 2003.
. Гурвич
И.И., Боганик Г.Н. Сейсмическая разведка. М.: Недра, 1980.
. Демидов
А.Б. Философия и методология науки. Курс лекций. Витебск. Издательство УО «ВГУ
им. П. М. Машерова»2006
. Кальной
И. И., Сандулов Ю.А. Философия для аспирантов. Учебник, 3-е изд., стер. - СПб.:
Издательство «Лань», 2003.
. Канке
В.А. Философия. Учебное пособие для студентов высших и средних специальных
учебных заведений. М.: Логос, 2001.
. Кохановский
В.П., Лешкевич Т.Г., Матяш Т.П., Фатхи Т.Б. Философия науки в вопросах и
ответах. Учебное пособие для аспирантов. Ростов н/Д: Феникс, 2006.
. Левшин
А.Л. Поверхностные и каналовые сейсмические волны. М.: Наука, 1973.
. Моссур
А.П. Волновая природа пространства и его многомерность. Науковий вісник НГУ,
2009, № 10.
. Франк
С.Л. Современная философия и наука: знание, рациональность, ценности в трудах
мыслителей Запада. М., 1996.
. Фролов
И. Т. Введение в философию: Учеб. пособие для вузов. 3-е изд., перераб. и доп.
М.: Республика, 2003.
. Шерифф
Р., Гелдарт Л. Сейсморазведка. История, теория и получение данных, 1987г.
. Шмыков
А.Н., Сагайдачная О.М., Сагайдачный А.В., Сальников А.С. Автономный регистратор
сейсмических сигналов и устройство автоматической настройки и коррекции
тактовой частоты автономного регистратора сейсмических сигналов.Патент №2366981
(RU) на изобретение, опубликовано 10.09.2009, Бюл. №25.