Фасоль обыкновенная
Оглавление
Введение
Глава
1. Основы метода
.1
Электромагнитные волны в земле
.2
Отражение и дифракция электромагнитных волн
.3
Глубинность, разрешающая способность и детальность георадарных исследований
Глава
2. Методика и аппаратура
.1
Методика
.2
Аппаратура
Глава
3. Обработка и интерпретация
.1
Обработка данных
.2
Интерпретация георадарных данных
Заключение
Список
литературы
Введение
Метод георадиолокационного подповерхностного
зондирования (метод георадар) основан на изучении распространения электромагнитных
волн в среде.
Идея метода заключается в излучении импульсов
электромагнитных волн и регистрации сигналов, отраженных от границ раздела
слоев зондируемой среды, имеющих различные электрофизические свойства. Такими
границами раздела в исследуемых средах являются, например, контакт между сухими
и влагонасыщенными грунтами (уровень грунтовых вод), контакты между породами
различного литологического состава, между породой и материалом искусственного
сооружения, между мерзлыми и талыми грунтами, между коренными и рыхлыми
породами.
Все задачи, решаемые с помощью георадара, могут
быть разделены на две большие группы с характерными для каждой группы
методиками исследований, способами обработки, типами отображения объектов
исследования в поле электромагнитных волн и представления результатов. Первая
группа включает в себя геологические, гидрогеологические и
инженерно-геологические задачи:
картирование геологических структур -
поверхности коренных пород под рыхлыми осадками, уровня грунтовых вод, границ
между слоями с различной степенью водонасыщения;
определение мощности водного слоя и картирование
поддонных отложений.
определение мощности слоя сезонного
промерзания/оттаивания, оконтуривание областей вечной мерзлоты, таликов
Вторая группа задач включает в себя поиск
локальных объектов, обследование инженерных сооружений, нарушение штатной
ситуации, например:
картирование коммуникаций (трубопроводов и
кабелей);
исследование участков разреза с нарушенным
естественным залеганием грунта - рекультивированных земель, засыпанных выемок.
Таким образом, в настоящее время георадар широко
применяется в исследованиях при относительно небольшой глубине залегания
целевых объектов (0.5 - 10 метров) за исключением изучения ледников и мерзлых
пород, в которых глубинность повышается благодаря высоким сопротивлениям.
Глава 1. Основы метода
.1 Электромагнитные волны в земле
Для однородной изотропной среды распространение
электрического поля удовлетворяет телеграфному уравнению:
Если пренебречь второй производной
электрического поля, то это уравнение превратится в уравнение диффузии, а если
пренебречь первой производной - мы получим волновое уравнение. Для того, чтобы
определить, при каких условиях мы можем рассматривать только волновую часть поля,
запишем телеграфное уравнение в частотной области:
где k - волновое число:
При условии, что
т.е. при низких проводимостях и высоких частотах,
мы можем пренебречь индукцией и рассматривать только волновую часть
электромагнитного поля.
Скорость распространения электромагнитной волны
зависит от и электрической и магнитной проницаемостей среды. Значения
диэлектрической и магнитной проницаемости представляются в виде ε=εоεотн
и μ=
μоμотн,
где
магнитная и диэлектрическая проницаемости в
вакууме.
Для большинства горных пород значение магнитной
проницаемости μотн близко к
единице и не зависит от частоты поля. С учетом этого, скорость распространения
электромагнитной волны
где с - скорость распространения
электромагнитных волн в вакууме
Скорость электромагнитных волн - наиболее важный
для радарных исследований параметр среды, поскольку отраженные волны, которые
мы регистрируем, возникают на границах сред с разными скоростями. С другой
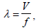
стороны, разрешающая способность волновых методов определяется длиной волны (λ),
которая равна
где f - это частота.
Диэлектрическая проницаемость, а следовательно,
и скорость распространения электромагнитных волн незначительно зависят от
частоты и типа грунтов, а определяется, главным образом, их влагонасыщенностью.
В таблице 1 представлены значения диэлектрической проницаемости, скорости и
длины волны (на частоте 100МГц) для некоторых сред.
В сейсморазведке скорости определяют по
годографам отраженных волн. В радиолокации таким способом определить скорости
очень трудно. Электромагнитные волны быстро затухают, и регистрировать сигналы
на большом расстоянии между источником и приемником практически невозможно.
Реальные скорости можно определить либо используя априорную информацию о
строении разреза, либо по дифрагированным волнам, возникающим на
неоднородностях разреза.
Таблица 1
1.2 Отражение и дифракция
электромагнитных волн
Распространение электромагнитных волн в первом
приближении подчиняется законам геометрической оптики (рис.1. 1, рис. 1.2).
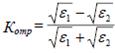
Отражение электромагнитных волн. Коэффициент
отражения при нормальном падении волны на границу двух сред 1 и 2 с различной
диэлектрической проницаемостью ε будет:
.
Дифракция электромагнитных волн. Это явление
возникает в том случае, когда электромагнитными волнами облучается объект,
размеры которого сравнимы с преобладающей длиной волны.
Это чрезвычайно важное для георадиолокационных
следований явление, которое позволяет определить глубину залегания объекта и
скорость распространения электромагнитных волн в среде над объектом.
Дифрагированная волна на радарограмме выражается в виде гиперболы (годографа
дифрагированной волны), которая описывается следующим уравнением:
,
Рис. 1 - Схема образования отраженной волны от
наклонной границы раздела слоев с разными диэлектрическими проницаемостями (А -
глубинный разрез вдоль линии наблюдения; Б -временной разрез)
Рис. 2 - Схема образования дифрагированной
электромагнитной волны от трубы (А - глубинный разрез вдоль линии наблюдения; Б
- временной разрез)
где L - путь, пройденный волной, V - скорость, h
- глубина залегания объекта.
Глубинность, разрешающая способность и
детальность георадарных исследований.
Глубинностью исследований называется
максимальная глубина отражающего объекта, который проявляется на радарограмме.
Глубинность исследований тем больше, чем ниже центральная частота возбуждаемых
электромагнитных колебаний и выше удельное сопротивление разреза, так как
поглощение электромагнитного поля пропорционально корню из произведения частоты
и проводимости.
Разрешающей способностью по глубине называют
минимальное расстояние по глубине, на котором могут быть различимы два
отражающих объекта или их детали. Она определяется длиной волны, которая прямо
пропорциональна скорости и обратно пропорциональна частоте электромагнитных волн
в среде.
Разрешающая способность по горизонтали
определяется размером первой зоны Френеля. Размеры первой зоны Френеля зависят
от глубины объекта и центральной частоты зондирующего импульса. Чем меньше
глубина и выше частота, тем меньше размер 1ой зоны Френеля и, следовательно,
выше разрешающая способность по горизонтали.
При понижении частоты падает разрешающая
способность, но увеличивается глубинность исследований. Например, при
сопротивлениях 150 -300 Ом·м и частоте 50 - 100 МГц глубинность составляет в среднем
10 - 15 метров, а разрешающая способность при этом составит 0.5 - 1 м.
Детальность или интервал наблюдений (расстояние
между трассами) по профилю зависит от свойств аппаратуры и способа наблюдений.
Она определяется двумя характеристиками - количеством сигналов, возбуждаемых и
принимаемых в единицу времени и скоростью перемещения по профилю при работе в
движении. Рекомендуемое расстояние между трассами 4 - 5 см.
На рис.3 показаны результаты физического
моделирования полей дифракции над различными неоднородностями, закопанными в
грунт.

Тестовые объекты: A) полистироловый диск,
диаметр 60 см, толщина 30 см, глубина до верхней кромки около 100 см; B)
полистироловый диск, диаметр 60 см, толщина 15 см, глубина до верхней кромки
около 60 см; C) бетонная труба, диаметр 60 см, глубина до центра около 100 см;
D) полихлорвиниловая (PVC) труба, диаметр 20 см, глубина до центра около 60 см;
E) железная труба, диаметр 6.35 см, глубина до центра около 60 см; F) железная
труба, диаметр 6.35 см, глубина до центра около 30 см; G) деревянный диск,
диаметр 60 см, толщина 4 см, глубина до верхней кромки около 60 см; H) железный
диск, диаметр 60 см, толщина 4 см, глубина до верхней кромки около 60 см.
Глава 2. Методика и аппаратура
.1 Методика
Георадарные работы - это аналог метода t₀ в
сейсморазведке. Работы ведутся на постоянном малом расстоянии между источником
и приемником. Регистрируются времена прихода отраженных волн, и по этому
времени, зная скорость электромагнитной волны, мы можем определить глубину
залегания объекта.
Рис. 4 - Форма зондирующего импульса
Длительность записи одной трассы (развертка)
должна превышать двойное время пробега до самого глубокого объекта
исследований. Основанием для выбора развертки служат сведения о глубинах и
предполагаемые или заранее известные значения скоростей распространения
электромагнитных волн в среде. При этом шаг дискретизации по времени должен
быть достаточным для детального описания сигнала (10-20 точек на период
центральной частоты).
Выбор усиления регистрируемого сигнала -
постоянного коэффициента и автоматической регулировки усиления осуществляется
непосредственно в начале полевых наблюдений. Оптимально подобранные параметры
усиления должны обеспечить запись без зашкалов по амплитуде и сравнимые
интенсивности сигналов в начале и в конце интервала регистрации.
.2 Аппаратура
В последнее время в России широкое
распространение получили георадары компании «ЛОГИС» ОКО-2.
Комплектующие ОКО-2:
Блок управления
Блок управления (БУ) обеспечивает управление
всеми режимами работы георадара, производит первичную обработку полученных
данных и преобразует сигналы, полученные от антенного блока, в стандартные
сигналы для ноутбука (Ethernet, USB). В БУ встроен преобразователь напряжения,
предназначенный для питания ноутбука, который обеспечивает выходное напряжение
в диапазоне 15..22 В. Мощность преобразователя 60 Вт. К БУ предусмотрено
подключение внешней управляющей клавиатуры в качестве дополнительной опции. БУ
размещается на подвеске вместе с ноутбуком.
Блок управления и обработки
Микропроцессорный блок управления и обработки
(БУО) предназначен для управления всеми режимами работы георадара, вывода
георадиолокационных профилей на экран, записи их на Flash-диск, первичной
обработки полученного материала и обмена данными с компьютером по интерфейсу
Ethernet. БУО работаетс антенными блоками напрямую, ноутбук и блок управления
при этом не требуются.
БУО создан специально для работы в
неблагоприятных условиях (дождь, мороз) и выпускаются во всеклиматическом
исполнении (работоспособность гарантируется в диапазоне температур
-20...+50°С).
Вывод данных производится на цветной
ЖК-индикатор повышенной контрастности размером 6,5" с разрешением 640х480
точек. Полученные данные записываются на встроенный на Flash-диск емкостью 256
Мб.
Управление БУО максимально упрощено и осуществляется
с помощью влагозащищенных кнопок, расположенных на лицевой панели.
Питание БУО производится от внешнего никель
металлогидридного аккумулятора. Во время полевых работ прибор размещаются в
защитном кофре. Потребляемая мощность - менее 8 Вт. 2.2.3. Блоки питания
Блок питания БП 9/12 с никель-металлогидридной
аккумуляторной батареей, напряжением 12 В и емкостью 9 Ач служит для питания БУ
и ноутбука (или блока обработки) георадара.
Блоки питания БП 2/12 и БП 3,8/12 предназначены
для питания антенных блоков.
Блок питания БП 4,5/12 напряжением 12 В и
емкостью 4,5 Ач служит для питания БУО.
Батареи рассчитаны не менее чем на 500 циклов
разрядки/зарядки. Степень разряженности аккумуляторных батарей георадара
контролируется с помощью световой и звуковой индикации.
Конструкция блоков питания в
пыле-влагозащищенном исполнении обеспечивает безопасную эффективную работу
георадара в любом положении
Антенные блоки.
Неэкранированные.
Антенные блоки (АБ) георадара "ОКО-2"
сменные, состоят из приемного и передающего блоков. Антенные блоки делятся на
два класса - с оптической развязкой по сигнальным и информационным цепям, и без
оптической развязки. В антенных блоках с оптической развязкой приемный и
передающий блоки питаются от отдельных блоков питания, а для передачи сигнала
ИЗП от приемного блока к передающему используется оптический кабель. В антенных
блоках без оптической развязки питание подается по интерфейсному кабелю от
блока управления. Все антенные блоки выпускаются в пылевлагозащищённом
исполнении. Потребляемая мощность - около 7-8 Вт.
Экранированные.
В экранированных антенных блоках широкополосные
антенны сверху закрыты проводящим экраном. Цель такой конструкции - подавление
излучения в верхнее полупространство и подавление отражений от объектов,
находящихся в верхнем полупространстве.
Рупорные.
Рупорные антенны имеют обуженную диаграмму
направленности и могут работать с отрывом от поверхности до 20 см и более.
Применение рупорных антенн улучшает обнаружение объектов и границ, причем как
контрастных по диэлектрической проницаемости, так и малоконтрастных. Особенно
актуально это в приповерхностной части разреза. Работа с отрывом от поверхности
позволяет исключить маскирование объектов, находящихся в приповерхностной части
разреза, поскольку "мешающий" сигнал от передатчика (так называемая
прямая волна) смещается в воздушную область.
РМ-2. Радиомодем РМ-2.
Для дистанционного управления георадаром
предусмотрен комплект с радиомодемом РМ-2. При работе с радиомодемом оператор с
ноутбуком может находиться в защищенном от внешних климатических условий месте,
а другой оператор при этом перемещает антенный блок по профилю. В комплект
входит: радиомодем, блок питания БП-3,8/12, преобразователь напряжения для
ноутбука и комплект кабелей. Максимальная удаленность на открытой площадке до
100 м.
Датчик перемещения ДП-32.
Служит для точной привязки результатов
георадиолокации к местности. Датчик перемещения с колесом (ДП-32) используется
при перемещении антенного блока по твердой поверхности. Конструкция ДП-32
позволяет эксплуатировать прибор в неблагоприятных погодных условиях. Питание
осуществляется с помощью двух элементов АА по 1,5 В. Передача информации
осуществляется через оптический кабель.
Измеритель пути с катушкой (ИП).
Используется при работе на пересеченной местности
или при работе на небольших водоемах. Конец нити крепится к неподвижному
объекту в начале профиля. При движении антенного блока производится измерение
пути за счет разматывающейся нити. Подключение осуществляется с помощью
оптического кабеля. Питание осуществляется от одного элемента АА 1,5В.
Датчик перемещения автомобильный (ДПА).
Используется при работах на автомобиле. Датчик
подключается непосредственно к одометру транспортного средства.
Глава 3. Обработка и интерпретация
данных
.1 Обработка данных
Сущность обработки георадиолокационных данных
состоит, прежде всего, в выделении полезного сигнала на фоне помех и шума
(воздушных, кратных и неполнократных). С помощью разнообразных приемов
преобразования сигналов, волны-помехи стараются удалить с записи, ослабить или
хотя бы опознать их на записи и не принимать за полезные волны.
Ниже приведены краткие характеристики основных
операций графа обработки георадарных данных. Георадарные данные очень похожи на
сейсмические (поскольку и в том и в другом методе волны отражаются,
преломляются и дифрагируются по законам геометрической оптики), поэтому граф
обработки георадарных данных целиком позаимствован у малоглубинной
сейсморазведки.
Исключением является процедура вычитания средней
трассы. Эта особенность георадара вызвана работой на малых временах задержки.
По-этому в регистрируемом сигнале присутствует интенсивная составляющая,
связанная с приходом прямой волны и явлением реверберации (многократного
отражения волны от приемной и передающей антенн). Эти волны распространяются по
воздуху и поэтому почти не зависят от положения установки на профиле. Таким
образом, средняя трасса будет содержать, главным образом, волны-помехи. В
результате вычитания средней трассы (горизонтальной составляющей) из всех трасс
мы избавляемся от волн-помех и одновременно теряем информацию о горизонтальных
границах.
Рис. 5 - Схема образования кратных отражений и
образования неполнократных от двух границ: 1 - однократная волна; отражений в
водном слое (1 и 2) и в слое (3), 2 - двукратная волна, 3 - трехкратная волна
Ввод статических поправок. Цель процедуры
состоит в удалении задержки сигнала при записи, т.е. в приведении времени
первого вступления прямой волны к нулю.
Фильтрация. Эта процедура производится в тех
случаях, когда частотный спектр помехи или шума занимают на оси частот
интервал, отличный или лишь частично перекрывающийся с частотным диапазоном
полезного сигнала. В этом случае частотная фильтрация позволяет ослабить помеху
практически без ослабления и искажения сигнала. При отсутствии помех эту
процедуру применять не рекомендуется.
Определение скорости распространения волн. При
наличии на радарограмме гипербол дифрагированной волны можно определить средне
квадратическую скорость распространения волны в
вышележащей толще; глубину залегания объекта и место его проекции на профиль.
Для этого нужно совместить наблюденный годограф
с теоретическим.
.2 Интерпретация георадарных данных
Результатом георадиолокационной съемки являются
временные разрезы (радарограммы), на которых по горизонтали указано расстояние
в метрах, а по вертикали - напряженность электрического поля в зависимости от
времени и положения установки на профиле. Задачей обработки и интерпретации
радарограмм является выделение и прослеживание осей синфазности отраженных волн
от различных границ раздела (отражающих границ или горизонтов) волн и их
сопоставление с гидрогеологическими особенностями разреза. Признаки, по которым
объект распознается на радарограммах в процессе обработки, могут служить
различные характеристики волнового поля (участки с различными типами записи).
При геологической интерпретации используются
основные положения методики, разработанной в сейсморазведке для метода t₀, получившей
название сейсмостратиграфии.
При отсутствии геологических данных о разрезе
интерпретация радарограмм может проводиться только на качественном уровне.
Перед началом интерпретации необходимо убедится
в том, что отражающие горизонты на радарограмме являются однократными
отражениями. Основным признаком многократных отражений является кратное
увеличение времени прихода отраженной волны. В случае наклона отражающей
границы с номером кратности будет увеличиваться наклон многократных отражений.
При проведении георадарных исследований с
ненаправленными антеннами на радарограммах могут фиксироваться интенсивные
воздушные отражения (отражения от объектов, находящихся в воздухе - столбы,
деревья, дома). При наличии подозрений на воздушные отражения необходимо по
годографам дифрагированных волн оценить скорость, расстояние до объекта, и
исключить их из рассмотрения. Очевидно, что наличие кратных и воздушных
волн-помех проверяется по всей системе профилей.
Анализ волновой картины на радарограмме
заключается в расчленении разреза на ряд участков или областей, которые
отличаются друг от друга характером рисунка волновой картины, либо
поверхностями угловых несогласий, либо интенсивными отражающими горизонтами.
Окончательную интерпретацию георадарных данных должен проводить
квалифицированный геолог. На рис. 6 приведен георадарный профиль через реку
Угру между д. Малое Устье и Аксинино. В самой глубокой части глубина дна
составляет примерно 1.2 м. Разрез поддоных отложений четко разделяется на две
части (Комплекс 1, Комплекс 2). Сверху залегают стратифицированные осадки.
Внизу эта стратификация в целом теряется и быстрее напоминает косослоистую
толщу песков.
Рис. 6 - Результаты георадиолокационных работ
поперек р. Угра (данные получены во время студенческой практики в Александровке):
пример полевой записи (А), результаты обработки (Б) и интерпретации (В)
Заключение
георадарный электромагнитный волна
импульс
Георадар - это современный геофизический прибор,
предназначенный для обнаружения различных объектов, в том числе не металлических
в различных средах. Мобильность, сравнительная компактность и возможность
проводить неразрушающий мониторинг среды с высокой детальностью делают его
уникальным среди геофизического оборудования. Георадары используются для
решения инженерно-геологических, гидрогеологических и поисковых задач, таких
как:
Обследование автомобильных дорог, ж/д насыпей,
ВПП аэродромов;
Поиск погребенных локальных и протяженных
объектов;
Обследование инженерных сооружений;
Обследование строительных конструкций, в том
числе железо-бетонных и др.;
Картирование геологических структур;
Определение толщины ледяного покрова;
Обследование водоемов и картирование придонных
отложений;
Археологические задачи;
Специальные задачи.
Список литературы
1.
Е.Д. Алексанова, А.А. Бобачев, Д.К. Большаков, А.А. Горбунов, С.В. Иванова,
В.А. Куликов, И.Н. Модин, П.Ю. Пушкарев, В.К. Хмелевской, Н.Л. Шустов, А.Г.
Яковлев «Электроразведка: пособие по электроразведочной практике для студентов
геофизических специальностей» - М.: 2005.
2.
<http://www.logsys.ru/>
.
Ю.В. Якубовский «Электроразведка», «Недра» - М.: 1973.