Разработка перспективной товарной политики предприятия
Введение
В настоящее время отечественными предприятиями
реализуется переход к разработке перспективных планов предприятия с учетом
технико-экономического анализа номенклатуры выпускаемой продукции и развития ее
рыночной конъюнктуры. Современное планирование требует комплексного подхода к
товарной и ценовой политике предприятия, который с одной стороны аккумулирует и
преобразовывает информацию об уровне развития рынков сбыта продукции и
стратегию потенциальных конкурентов, а с другой постоянно соизмеряет свои
реальные возможности участия в конкурентной борьбе.
Россия вступила в период формирования рыночных
отношений. Рыночная экономика по своей сущности является средством,
стимулирующим рост производительности труда, всемерное повышение эффективности
производства. Однако, и в этих условиях важным является определение основных
направлений повышения эффективности производства, факторов его роста, методов
определения эффективности. Под эффективностью производства понимается уровень
использования материальных и трудовых ресурсов, который измеряется путем
сравнения результатов производства с затратами или применяемыми ресурсами. План
повышения эффективности производства - это комплексный план мероприятий по
развитию научно-технического прогресса на предприятии, совершенствованию
планирования и организации производства и управления им. Основной задачей
планирования роста эффективности производства является разработка мероприятий
по всемерному повышению эффективности производства и улучшению качества
продукции на основе достижений науки, техники и передового опыта.
Данная курсовая работа посвящена вопросам
разработки перспективного плана предприятия на основе выработки товарной и
ценовой политики на ближайшую перспективу. Основой разработки таких планов
служит технико-экономический анализ выпускаемой продукции.
Цель работы состоит в разработке перспективной
товарной политики предприятия на основе технико-экономического анализа
номенклатуры выпускаемой продукции за отчетный период, а также рыночной
конъюнктуры товаров и перспектив развития предприятия.
Объектом исследования и разработки товарной
политики является предприятие, выпускающее в базисном году три вида продукции
А, В, С с различными технико-экономическими показателями. Перспективное изделие
Д планируется к выпуску в ближайшей перспективе.
Исходные данные
Таблица 1
|
Группа
показателей
|
Изделия
|
Условные
обозн
|
Единицы
измерения
|
А
|
В
|
С
|
Д
|
|
Показатели
|
|
|
|
|
|
|
|
Объемные
|
1.1
Производственная мощность по выпуску изделия
|
N
max i
|
т.шт./год
|
50
|
100
|
200
|
250
|
|
1.2
Годовой объем реализации для внутреннего рынка
|
Ni
|
т.шт./год
|
30
|
85
|
120
|
-
|
|
1.3
Годовой объем реализации изделия по экспорту
|
Ni
экс
|
т.шт./год
|
-
|
10
|
-
|
-
|
|
Стоимостные
|
2.1
Средняя цена реализации изделия на внутреннем рынке
|
Ц
срi
|
руб.
|
800
|
420
|
140
|
100
|
|
2.2
Средняя цена реализации по экспорту
|
Ц
срi экс
|
$
|
-
|
150
|
-
|
-
|
|
2.3
Себестоимость изделия
|
Сi
|
руб.
|
700
|
380
|
120
|
68
|
|
2.4
Средняя прибыль на 1 изделие при реализации на внутр. рынке *
|
ПРi
|
руб.
|
100
|
40
|
20
|
32
|
|
2.5
Средняя прибыль i-го изделия при реализации на внешнем рынке
|
ПР
i экс
|
Руб.
|
-
|
4270
|
-
|
-
|
|
Организационно-технич.
|
3.1
Трудоемкость
|
Тi
|
Чел./час
|
100
|
50
|
40
|
32
|
|
3.2
Длительность производственного цикла
|
Тц
i
|
дни
|
15
|
10
|
8
|
6
|
|
3.3
Удельный вес материалов, п/ф, комплектующих в себестоимости
|
Ум
i
|
%
|
80
|
60
|
40
|
20
|
|
Качества
|
4.1
Наличие сертификата качества
|
|
+/-
|
-
|
-
|
+
|
-
|
|
4.2
Количество лет производства
|
|
лет
|
6
|
8
|
8
|
-
|
|
4.3
Процент брака
|
|
%
|
2
|
-
|
-
|
-
|
|
Эффективности
производства
|
5.1
Рентабельность производства при реализации на внутреннем рынке*
|
Ri
|
%
|
14,28
|
10.52
|
16.66
|
47.05
|
|
5.2
Рентабельность для внешнего рынка
|
Ri
экс
|
%
|
-
|
1123
|
-
|
-
|
|
5.3
Удельная прибыль трудоемкости собственного производства на внутреннем рынке*
|
Упрi
|
Руб./чел
|
1
|
0.8
|
0.5
|
1
|
|
5.4
Удельная прибыль трудоемкости собственного производства на внешнем рынке *
|
Упрi
экс
|
Руб./чел
|
-
|
85.4
|
-
|
-
|
|
Показатели
рыночной конъюнктуры
|
6.1
Общая емкость внутренних рынков в текущем периоде
|
Еi
тек
|
Т.шт./год
|
80
|
200
|
400
|
1000
|
|
6.2
Общая емкость внешних рынков в текущем периоде
|
Еi
тек экс
|
Т.шт./год
|
-
|
20
|
-
|
-
|
|
6.3
Перспективная емкость внутренних рынков
|
Еi
пер
|
Т.шт./год
|
100
|
600
|
800
|
4000
|
|
6.4
Перспективная емкость внешних рынков
|
Еi
пер экс
|
Т.шт./год
|
-
|
40
|
-
|
-
|
|
6.5
Количество рынков сбыта
|
|
|
2
|
2
|
2
|
1
|
|
6.6
Доля предприятия на внутреннем рынке*
|
Дi
|
%
|
37.5
|
42.5
|
30
|
-
|
|
6.7
Количество конкурентов на внутреннем рынке
|
|
|
3
|
4
|
1
|
2
|
|
6.8
Доля предприятия на внешнем рынке*
|
Дi
экс
|
%
|
-
|
50
|
-
|
-
|
|
6.9
Количество конкурентов на внешнем рынке
|
|
|
-
|
3
|
-
|
-
|
* - данные показатели будут рассчитаны ниже.
Таблица 2
|
показатели
|
А
|
В
|
С
|
Д
|
|
Всего
|
Р1
|
Р2
|
Р1
|
Рэкс
|
Всего
|
Р1
|
Р2
|
Р1
|
|
Емкость
внутренних рынков в текущем периоде (т.шт./год)
|
80
|
40
|
40
|
200
|
-
|
400
|
300
|
100
|
1000
|
|
Емкость
внешних рынков в текущем периоде (т.шт./год)
|
-
|
-
|
-
|
-
|
20
|
-
|
-
|
-
|
-
|
|
Перспективная
емкость внутренних рынков (т.шт./год)
|
100
|
60
|
40
|
600
|
-
|
800
|
500
|
300
|
4000
|
|
Перспективная
емкость внешних рынков (т.шт./год)
|
-
|
-
|
-
|
-
|
40
|
-
|
-
|
-
|
-
|
|
Объем
поставки предприятием (т.шт./год)
|
30
|
20
|
10
|
85
|
10
|
120
|
80
|
40
|
-
|
|
Доля
предприятия*
|
|
50
|
25
|
42.5
|
50
|
|
26.6
|
40
|
-
|
|
Цена
реализации изделия на внутреннем рынке* (руб.)
|
800
|
790
|
820
|
420
|
-
|
140
|
135
|
150
|
100
|
|
Цена
реализации на внешнем рынке ($)
|
-
|
-
|
-
|
-
|
150
|
-
|
-
|
-
|
-
|
|
Количество
конкурентов
|
3
|
1
|
2
|
2
|
3
|
1
|
1
|
-
|
2
|
|
Цена
реализации конкурентов (руб.)
|
|
1к-820
|
1к-840
2к-850
|
1к-480
2к-450
|
1к-160
2к-140 3к-150
|
|
1к-150
|
|
1к-80
2к-120
|
|
Доля
конкурентов
|
|
1к-40
|
1к-15
2к-15
|
1к-40
2к-17.5
|
1к-25
2к-15 3к-10
|
|
1к-20
|
-
|
1к-20
2к-10
|
|
Рекламная
деятельность на рынке +/-
|
|
-
|
+
|
-
|
-
|
|
+
|
-
|
-
|
Раздел 1. Технико-экономический
анализ номенклатуры выпускаемой продукции и ее перспективности для предприятия
Расчет показателей, приведенных в таблицах исходных
данных 1.1 и 1.2 и необходимых для проведения анализа.
Таблица 1.1
|
Показатель
|
Расчетная
формула
|
Ед.
изм.
|
|
2.4
|
Средняя
прибыль на 1 изделие при реализации на внутреннем рынке: ПРi=Цi - Сi ПРА= ЦА
- СА = 800-700=100 ПРВ= ЦВ - СВ = 420-380=40 ПРС= ЦС - СС = 140-120=20 ПРД=
ЦД - СД = 100-68=32
|
Руб.
|
|
2.5
|
Средняя
прибыль на 1 изделие при реализации на внешнем рынке: Прiэкс = Цiэкс * К$ -
Сi, где К$ = 31руб, ПРВэкс = ЦВэкс*К$ - СВ= 150*31-380= 4270
|
Руб.
|
|
5.1
|
Рентабельность
производства при реализации на внутреннем рынке: Ri = (ПРi/Сi)*100% RА =
(ПРА/СА)*100%=(100/700)*100%=14,28 RВ = (ПРВ/СВ)*100%=(40/380)*100%=10,52 RС
= (ПРС/СС)*100%=(20/120)*100%=16,66 RД = (ПРД/СД)*100%=(32/68)*100%=47,05
|
%
|
|
5.2
|
Рентабельность
производства при реализации на внешнем рынке: Ri экс= (Прi экс/Сi)*100% RВ
экс= (ПрВ экс/Сi)*100%= (4270/380)*100%= 1123
|
%
|
|
5.3
|
Уд.
прибыль трудоемкости собств.производства на внутреннем рынке: Упрi=(Прi/Тi) У
прА=(ПрА/ТА)=(100/100)=1 У прВ=(ПрВ/ТВ)=(40/50)=0,8 У
прС=(ПрС/ТС)=(20/40)=0,5 У прД=(ПрД/ТД)=(32/32)=1
|
|
5.4
|
Уд.
прибыль трудоемкости собств.производства на внешнем рынке: Упрi экс=(Прi
экс/Тi) У пр В экс=(Пр В экс/ТВ)=(4270/50)=85,4
|
Руб./чел./час
|
|
6.6
|
Текущая
доля на внешнем рынке: Дi экс= (Ni экс/ Ei экс тек)*100% Д В экс= (N В экс/ E
В экс тек)*100%=(10/20)*100%=50
|
%
|
|
6.7
|
Текущая
доля на внутреннем рынке: Дi = (Ni / Ei тек)*100% ДА = (NА / E А
тек)*100%=(30/80)*100%=37,5 ДВ = (NВ / E В тек)*100%=(85/200)*100%=42,5 ДС =
(NС / E С тек)*100% =(120/400)*100%=30
|
%
|
Таблица 1.2
|
Показатель
|
Расчетная
формула
|
Ед
изм
|
|
6
|
Доля
i-го товара на j-м рынке Дi-j = (Ni/Ei тек)*100% Д А-Р1 = (N А-Р1/E А-Р1
тек)*100%=(20/40)*100%=50 Д А-Р2 = (N А-Р2/E А-Р2 тек)*100%=(10/40)*100%=25 Д
В-Р1 = (N В-Р1/E В-Р1тек)*100%=(85/200)*100%=42,5 Д В-Рэкс = (N В-экс/E В-экс
тек)*100%=(10/20)*100%=50 Д С-Р1 = (N С-Р1/E С-Р1
тек)*100%=(80/300)*100%=26,6 Д С-Р2 = (N С-Р2/E С-Р2
тек)*100%=(40/100)*100%=40
|
%..
|
|
7
|
Средняя
цена i-го товара Цср=(∑ Цi-j*Ni-j)/( ∑ Ni) Для товара А на рынке
Р2: Цср А=(∑Ц А-Р2*N А-Р2)/(∑NА) 800=(790*20+x*10)/30 x=820 руб.
Для товара С на рынке Р2: Цср С=(∑ Ц С-Р2*N С-Р2)/(∑NС)
140=(135*80+х*40)/120 х=150 руб.
|
Руб.
|
1.1 Комплексный анализ выпускаемой
продукции за отчетный период
Средняя прибыль на единицу продукции (ПРi). На
внутреннем рынке наибольшее значение Прi составляет 100 рублей и принадлежит
изделию А. Это объясняется достаточно большой разницей между ценой за единицу и
себестоимостью единицы товара А. По изделию С прибыль за единицу товара
наименьшая, составляет всего 20 руб/шт. Если учитывать среднюю прибыль от
реализации 1 штуки на внешнем рынке, то данная величина превосходит все
значения внутренней реализации. Товар В, реализуемый на внешнем рынке, приносит
предприятию прибыль Прi=4270 руб/шт. Данное значение получено за счет того, что
все цены внешнего рынка в у.е., а курс $ составляет 31 рубль за 1$.
Рентабельность производства товаров (Ri).
Наиболее высокая рентабельность производства на внутреннем рынке у товара Д,
т.е. наиболее высокий удельный вес окупаемости производства данного товара.
RД=47,05%. Если брать во внимание внешний рынок, то Rэкс у товара В составляет
1123%, это объясняется большой разницей между значением прибыли и себестоимости
за единицу товара. Прибыль составляет достаточно большую величину из-за большого
курса доллара.
Сертификат качества имеет только товар С. Данный
документ подтверждает в какой-то степени качество продукции и дает некоторое
преимущество перед конкурентами.
Удельная прибыль на единицу трудоемкости (Упрi),
т.е.какую часть прибыли работник создает за единицу времени. Наибольшее
значение Упрi имеют товары А и Д: УпрА=УпрД=1 руб/чел/час. На внешнем рынке
уд.прибыль на единицу трудоемкости составляет 85,4 руб./чел/час. Данная
величина является наибольшей по рынкам в целом.
Длительность производственного цикла (Тцi).
Наибольший производственный цикл - у товара А - составляет 15 дней, это может
объясняться тем, что товар А является наиболее материалоемким. А товар Д
наименее материалоемкий, и длительность производственного цикла у него наименьшая
- всего 6 дней.
Удельный вес материалов, полуфабрикатов и
комплектующих изделий. Наиболее материалоемкое изделие А, как отмечалось выше,
этим и объясняется его высокая себестоимость (700 руб). Товар Д меньше всех
зависит от рынка сырья (уд.вес материалов, п/ф и комплект.составляет всего
20%).
Уровень перспективности рынка сбыта товара.
У пер i= Еi пер/Еi тек
У пер А= Е А пер/Е А тек = 100/80 =1,25
У пер В= Е В пер/Е В тек = 600/200 =3
У пер Вэкс= Е В экс пер/Е Вэкс тек = 40/20 =2
У пер С= Е С пер/Е С тек = 800/400 =2
У пер Д= Е Д пер/Е Д тек = 4000/1000 =4
Наиболее перспективен товар Д, У пер Д =4. Товар
Д только разрабатывается, его планируется выпустить в ближайшей перспективе.
Наименее перспективен товар А, У пер А = 1,25.
Далее заполняем таблицу 1, где ранжируем
выпускаемые предприятием товары в зависимости от величин выбранных критериев
приоритетности. Одним из возможных способов проведения такого ранжирования
является процедура экспертной бальной оценки. Показатели, по которым
максимальное (прибыль на единицу продукции) или минимальное (трудоемкость)
значение предпочтительнее, имеют максимальное значение баллов.
Таблица 1.3 - Комплексный анализ продукции по
технико-экономическим показателям (таблица приоритетов)
|
№
п/п
|
Критерии
приоритетности
|
Максим.кол.балл
|
А
|
В
|
С
|
Д
|
|
|
|
З
|
Б
|
З
|
Б
|
З
|
Б
|
З
|
Б
|
|
1.
|
Прибыль
на ед.продукции
|
10
|
100
|
10
|
40
|
4
|
20
|
2
|
32
|
3,2
|
|
2.
|
Рентабельность
произ-ва
|
10
|
14,28
|
3
|
10,52
|
2,2
|
16,66
|
3,5
|
47,05
|
10
|
|
3.
|
Удельная
прибыль на ед.продукции
|
10
|
1
|
10
|
0,8
|
8
|
0,5
|
5
|
1
|
10
|
|
4.
|
Уровень
перспективности рынка
|
8
|
1,25
|
2,5
|
3
|
6
|
2
|
4
|
4
|
8
|
|
5.
|
Себестоимость
изделия
|
8
|
700
|
0,77
|
380
|
1,43
|
120
|
4,5
|
68
|
8
|
|
6.
|
Годовой
объем реализации
|
7
|
30
|
1,75
|
85
|
4,9
|
120
|
7
|
-
|
-
|
|
7.
|
Длительность
производственного цикла
|
7
|
15
|
2,8
|
10
|
4,2
|
8
|
5,25
|
6
|
7
|
|
8.
|
Трудоемкость
|
7
|
100
|
2,24
|
50
|
4,48
|
40
|
5,6
|
32
|
7
|
|
9.
|
Удельный
вес п/ф, материалов
|
6
|
80
|
1,5
|
60
|
2
|
40
|
3
|
20
|
6
|
|
10
|
Наличие
сертификата качества
|
5
|
-
|
0
|
-
|
0
|
+
|
5
|
-
|
0
|
|
11
|
Процент
брака
|
5
|
2
|
0
|
-
|
5
|
-
|
5
|
-
|
5
|
|
12
|
Общая
емкость рынков
|
4
|
80
|
0,32
|
200
|
0,8
|
400
|
1,6
|
1000
|
4
|
|
13
|
Кол-во
рынков сбыта
|
3
|
2
|
3
|
2
|
3
|
2
|
3
|
1
|
1,5
|
|
14
|
Доля
предприятия
|
2
|
37,5
|
1,7
|
42,5
|
2
|
30
|
1,4
|
-
|
-
|
|
15
|
Кол-во
конкурентов
|
1
|
3
|
0,3
|
4
|
0,25
|
1
|
1
|
2
|
0,5
|
|
ИТОГО
|
|
|
39,88
|
|
48,26
|
|
56,85
|
|
70,2
|
В данной таблице приоритетов подсчитаны баллы и
занесены данные только по внутреннему рынку. Считаю, что с учетом внешнего рынка
по товару В результаты будут необъективными, т.к. слишком большой курс валюты
не даст точной и достоверной картины.
Наибольшее количество баллов набрал товар Д
(70,2 баллов). Товар Д потенциально является перспективным. Значения таких
важных показателей как рентабельность производства, удельная прибыль
трудоемкости, перспективность рынка, общая емкость рынков и т.д. по изделию Д
являются наилучшими. На 2-м месте находится товар С (56,85 баллов), значения
показателей немного ниже, чем у товара Д, но общая картина вполне нормальна.
3-е место занимает товар В (48,26 баллов), реализация которого на внутреннем
рынке приносит меньшую прибыль,чем на внешнем. Это можно объяснить довольно
большой потребностью данного товара в других странах. Последнее место занимает
товар А, который не является в принципе перспективным. Рекомендуется снять
товар А с производства.
1.2 Комплексный анализ рыночной
конъюнктуры выпускаемых товаров за отчетный период и перспектив ее развития
Анализ рыночной конъюнктуры товаров за отчетный
период осуществляется на основе таблицы №2. Исходные данные для проводимого
анализа приведены в таблице №П.2.
Для начала рассчитаем дополнительно необходимые
показатели.
экономическая выгодность предприятия от работы
на рынке:
Прi-j=(Цi-j - Сi)*Ni-j (т.р.)
Пр А-Р1=(Ц А-Р1 - С А)*N А-Р1 =(790-700)*20=1800
т.р.
Пр А-Р2=(Ц А-Р2 - С А)*N А-Р2 =(820-700)*10=1200
т.р.
Пр В-Р1=(Ц В-Р1 - С В)*N В-Р1 =
(420-380)*85=3400 т.р.
Пр В-Рэкс=(Ц В-Рэкс - С В)*N
В-Рэкс=(150*31-380)*10=4270 т.р.
Пр С-Р1=(Ц С-Р1 - С С)*N С-Р1 =(135-120)*80=1200
т.р.
Пр С-Р2=(Ц С-Р2 - С С)*N С-Р2 =(150-120)*40=1200
т.р.
Анализируя приведенные выше расчеты, можно
отметить, что на внутреннем рынке экономически наиболее выгоден товар В,
причиной тому является достаточно большой объем реализации (N=85 т.шт./год). На
внешнем рынке балансовая прибыль по товару В является наибольшей среди всех
товаров на внутреннем рынке, что достигается за счет большой курсовой разницы.
уровень перспективности рынка для каждого товара
(У пер i):
У перi-j = Е i-j пер/Е i-j тек
У пер А-Р1 = Е А-Р1 пер/Е А-Р1 тек =60/40 = 1,5
У пер А-Р2 = Е А-Р2 пер/Е А-Р2 тек = 40/40=1
У пер В-Р1 = Е В-Р1 пер/Е В-Р1 тек = 600/200=3
У пер В-Рэкс = Е В-Рэкс пер/Е В-Рэкс тек =
40/20=2
У пер С-Р1 = Е С-Р1 пер/Е С-Р1 тек = 500/300=1,6
У пер С-Р2 = Е С-Р2 пер/Е С-Р2 тек = 300/100=3
У пер Д-Р1 = Е Д-Р1 пер/Е Д-Р1 тек = 4000/1000=4
Наиболее перспективным является товар Д. Данная
перспективность объясняется очень большой перспективной и текущей емкостью. На
рынке Р1 у товара Д большие шансы реализоваться и получить хорошую прибыль.
Чуть меньшую перспективность имеют товары В и С. Данные товары на рынке
существуют 6-8 лет, они проверены, занимают стабильное положение среди
конкурентов. Цель предприятия - усовершенствовать стратегическую политику,
выявить недостатки и максимально качественно спланировать товарную политику для
каждого товара.
доля предприятия на рынке (Дi-j) (см.таблицу
П.2). Если рассматривать внутренний рынок, то наибольшую долю занимает товар А
на рынке Р1 (Д А-Р1 = 50%). Товар В более эффективно реализуется на внешнем
рынке, его доля рынка Д В-Рэкс = 50%. Товар С большую часть имеет на рынке Р2,
его доля рынка ДС-Р2 = 40%.
экономическая «ниша» (Нэ), которая характеризует
возможность расширения деятельности предприятия на рынке:
Нэ = 100 - Дi-j - å
Дj-k (%), где
Дi-j - доля, занимаемая предприятием по i-му
товару на j-м рынке (%);
Дj-k - доля к-го конкурента на j-м рынке (%).
Нэ А-Р1 = 100-50-40 = 10%
Нэ А-Р2 = 100-25-15*2=45%
Нэ В-Р1 = 100-42,5-40-17,5 = 0%
Нэ В-Рэкс = 100-50-25-15-10 = 0%
Нэ С-Р1 = 100-26,6-20 = 53,4%
Нэ С-Р2 = 100-40 = 60%
После расчетов можно сделать вывод, что для
товара А рынок Р2 представляется более выгодным чем рынок Р1, т.к. существует
больше шансов для расширения. Оба рынка для товара В являются невыгодными, т.к.
«ниши» вообще нет. Да, товар В на внешнем рынке более эффективнее реализуется,
данный факт отмечался выше, но без дальнейшего расширения предприятие вынуждено
разрабатывать экономическую политику для вытеснения конкурентов ценовыми, а по
возможности и неценовыми методами. На такие меры предприятие вынуждено пойти,
т.к. других рынков нет. Наиболее выгодное положение у товара С. Два рынка Р1 и
Р2 имеют большие «ниши», что говорит о возможной перспективе расширения и
укоренения на данных рынках при эффективной ценовой политике.
уровень конкуренции на рынке, определяется
количеством конкурентов на рынках. На рынке Р1 по товару А существует 1
конкурент, доля которого составляет 40%. На рынке Р2 - 2 конкурента с суммарной
долей 30%. Рынок Р2 является более привлекательным для предприятия. По товару В
«ниши» на рынках Р1 и Р-экс равна нулю, т.е. конкуренты вместе с предприятием
заняли рынки целиком. Предприятию необходимы продуманные меры в области
товарной и ценовой политики для вытеснения конкурентов. Товар С имеет и
преимущества в области доли конкурентов на своих рынках. На рынке Р1 всего 1
конкурент с долей рынка в 20%. На рынке Р2 конкурентов нет. Т.е.предприятие
имеет достаточно шансов не только расшириться на данных рынках, но и занять
лидирующее положение на них.
Ценовые преимущества предприятия (∆Ц):
∆Ц = Ц i-j - Ц j-k
∆Ц А-Р1= Ц А-Р1 - Ц Р1-k = 790-820 = -30
руб.
Для нескольких конкурентов:
Цк ср = ( ∑ Ц j-k*Д j-k)/ ∑ Д j-k
∆Ц = Ц i-j - Цк ср
Цк срА-Р2 = (∑ Ц Р2-k*Д Р2-k)/ ∑ Д Р2-k
= (840*15 + 850*15)/30= 845 руб.
∆Ц А-Р2= Ц А-Р2 - Цк срА-Р2 = 820-845 =
-25 руб.
Цк срВ-Р1 = ( ∑ Ц Р1-k*Д Р1-k)/ ∑ Д
Р1-k = (480*40 + 450*17,5)/70 = 386 руб.
Ц В-Р1= Ц В-Р1 - Цк срВ-Р1 = 420-386 = 34 руб.
Цк срВ-Рэкс = (∑ Ц Рэкс-k*Д Рэкс-k)/ ∑Д
Рэкс-k = (160*25 + 140*15 + 150*10)/50 = 152 руб.
∆Ц В-Рэкс= Ц В-Рэкс - Цк срВ-Рэкс =
150-152 = -2 руб.
∆ Ц С-Р1= Ц С-Р1 - Ц Р1-k = 135-150 = -15
руб.
Судя по расчетам ценовые преимущества есть у
предприятия при реализации товара А как на рынке Р1, так и на рынке Р2. Товар В
не обладает ценовыми преимуществами ни на рынке Р1, ни на экспортном рынке. У
товара С есть небольшие ценовые преимущества на рынке Р1.
рекламная деятельность проводится на рынке Р2 по
товару А и на рынке Р1 по товару С. Наличие рекламы повышает себестоимость
товара в связи с дополнительными расходами и затратами. Я не считаю рекламу
причиной снижения экономической привлекательности рынков. Использование
рекламной деятельности повышает себестоимость товара на 5%, когда результат,
полученный предприятием, скорее всего, окупит себя в несколько раз.
После того, как получены все необходимые данные,
заполняем таблицу№2, где осуществляем ранжирование рынков для всех товаров. В
данной таблице определяем общую сумму баллов, набранную каждым рынком.
Таблица 1.4
|
№
п/п
|
Критерии
приорит.
|
Макс.кол.бал.
|
А
|
В
|
С
|
Д
|
|
|
|
Р1
|
Р2
|
Р1
|
Рэкс
|
Р1
|
Р2
|
Р1
|
|
|
|
З
|
Б
|
З
|
Б
|
З
|
Б
|
З
|
Б
|
З
|
Б
|
З
|
Б
|
З
|
Б
|
|
1
|
Экономическая
выгодность п/п
|
10
|
1800
|
4,2
|
1200
|
2,8
|
3400
|
7,9
|
4270
|
10
|
1200
|
2,8
|
1200
|
2,8
|
-
|
-
|
|
2
|
Уровень
персп.рынка
|
10
|
1,5
|
3,75
|
1
|
2,5
|
3
|
7,5
|
2
|
5
|
1,6
|
4
|
3
|
7,5
|
4
|
10
|
|
3
|
Доля
п/п на рынке
|
9
|
50
|
9
|
25
|
4,5
|
42,5
|
7,6
|
50
|
9
|
26,6
|
4,7
|
7,2
|
-
|
-
|
|
4
|
Экономическая
«ниша»
|
8
|
10
|
1,3
|
45
|
6
|
0
|
0
|
0
|
0
|
53
|
7
|
60
|
8
|
-
|
-
|
|
5
|
Уровень
конкуренции
|
7
|
1
|
4,67
|
2
|
2,34
|
2
|
2,34
|
3
|
0,01
|
1
|
4,67
|
0
|
7
|
2
|
2,34
|
|
6
|
Ценовые
преимущества
|
7
|
-30
|
7
|
-25
|
5,8
|
+34
|
-7,9
|
-2
|
0,46
|
-15
|
3,5
|
-
|
-
|
+7
|
-1,6
|
|
7
|
Необходимость
рекл.деят-ти
|
6
|
-
|
6
|
+
|
0
|
-
|
6
|
-
|
6
|
+
|
0
|
-
|
6
|
-
|
6
|
|
8
|
Емкость
внутр.рынков
|
5
|
40
|
0,2
|
40
|
0,2
|
200
|
1
|
20
|
0,1
|
300
|
1,5
|
100
|
0,5
|
1000
|
5
|
|
9
|
Перспект.емкость
рын-в
|
5
|
60
|
0,075
|
40
|
0,05
|
600
|
0,75
|
40
|
0,05
|
500
|
0,62
|
300
|
0,37
|
4000
|
5
|
|
10
|
Объем
поставки п/п
|
4
|
20
|
0,9
|
10
|
0,47
|
85
|
4
|
10
|
0,47
|
80
|
3,7
|
40
|
1,8
|
-
|
-
|
|
Итого:
|
|
|
37,095
|
|
24,66
|
|
29,19
|
|
31,09
|
|
32,49
|
|
41,17
|
|
26,74
|
Анализ таблицы №2.
Сравнивая суммарные баллы по результатам
деятельности предприятия на рынках, можно отметить, что изделие А эффективнее
реализуется на рынке Р1, чем на рынке Р2. На рынке Р1 ценовые преимущества
составляют 30 руб., доля предприятия на рынке составляет 50%, рынок Р1 является
для предприятия более перспективным, чем рынок Р2. На рынке Р2 маленькая экономическая
выгодность, небольшой уровень перспективности рынка, используется реклама,
которая не приносит заметных успехов. Текущая и перспективная емкости рынка
одинаковы, т.е. увеличения емкости рынка нет, объем поставки небольшой.
Рекомендуется сократить объем продаж на данном рынке Р2 по изделию А, а все
производственные мощности использовать для производства и реализации товара А
на рынке Р1. Рынки по товару В приносят почти одинаковую пользу, но на рынке Р1
ценовых преимуществ нет, это следует учесть при разработке экономической
политики в дальнейшем. Экспортный рынок является выгодным для предприятия,
т.к.приносит большую прибыль от реализации товара В вследствие большой курсовой
разницы. Но тем не менее рынки Р1 и Р-экс для предприятия являются ограниченно
перспективными, т.к. экономическая «ниша» равна нулю, перспектив для расширения
нет. Предприятие вынуждено оставаться на данных рынках, т.к. других рынков пока
нет. Рынки Р1 и Р2 для товара С являются различными по степени эффективности.
Рынок Р2 более перспективен, конкурентов на нем нет, предприятие занимает 40%,
существуют большие возможности для расширения. На рынке Р1 предприятие занимает
долю в 26,6%, хотя экономическая «ниша» составляет 53%. На рынке ведется
рекламная кампания. Ценовые преимущества на рынке Р1 составляют 15 руб. У
предприятия есть шанс завоевать большую долю на рынке и увеличить объем
прибыли. Товар Д является перспективным. Его реализация планируется в ближайшем
будущем, поэтому некоторых показателей в таблице нет. Тем не менее уровень
перспективности рынка самый высокий (У пер Д = 4). Ценовых преимуществ у товара
Д на рынке нет. Поэтому перед предприятием должна встать задача разработки
эффективной ценовой политики, реализация которой привела бы к снижению цены и
увеличению совокупных преимуществ перед конкурентами. Рекомендуется также
эффективная маркетинговая политика.
Анализ производственной мощности предприятия по
выпуску товаров (без дополнительных капиталовложений).
В процессе технико-экономического анализа
выпускаемой продукции, а также рыночной конъюнктуры товаров, может сложиться
ситуация, когда производство и реализацию одних товаров необходимо заменить
другими технологически подобными (по условию А и В, С и Д) для повышения
эффективности производства и наиболее полного использования производственной
мощности предприятия. Для этого строятся кривые производственных возможностей
предприятия по технологически подобным изделиям.
Определение суммарной трудоемкости производства
изделий А и В, исходя из производственных возможностей предприятия:
Т А+В = Т А*N max А + Т В* N max В, где
Т А, Т В - трудоемкость изготовления изделий А и
В на предприятии.maxА, N maxВ - производственная мощность предприятия по
выпуску изделий А и В
Т А+В = 100*50 + 50*100 = 10000 чел/час.
Т С+Д = Т С*N max С + Т Д* N max Д = 40*200 +
32*250 = 16000 чел/час.
Построение функциональной зависимости объемов
выпуска изделия А от объемов выпуска изделия В (объемов выпуска изделия С от
объемов выпуска изделия Д) :
max A = (Т А+В - Т В*N max B)/Т А
N max A = (10000 - 50*0)/100 = 100 т.шт/год
N max В = (Т А+В - Т А*N max А)/Т Вmax В =
(10000 - 100*0)/50 = 200 т.шт/годmax С = (Т С+Д - Т Д*N max Д)/Т Сmax С =
(16000 - 32*0)/40 = 400 т.шт./годmax Д = (Т С+Д - Т С*N max С)/Т Дmax Д =
(16000 - 40*0)/32 = 500 т.шт./год
Расчет и анализ основных результатов
хозяйственной деятельности предприятия за отчетный период.
На основе исходных данных таблиц №П.1, П.2
проводится расчет основных технико-экономических показателей работы предприятия
за отчетный (базисный) период, результаты которого заносятся в таблицу №3.
В качестве основных технико-экономических
показателей рассчитываются:
Годовой объем реализованной продукции (Qp):
= ∑(Цср i*Ni + Цср i экс*Ni) (т.руб.)
= (800*30+420*85+140*120+150*31*10) =
24000+35700+16800+46500 = 123000 т.руб.
. Общая трудоемкость годовой производственной
программы (Т ):
Т ∑ = ∑( Тi*Ni + Ti*Ni экс)
Т ∑ = 100*30+50*85+10*50+40*120 =
3000+4750+4800=12550 н/час
. Численность рабочих (Чр):
Чр = Т ∑ /Фпл*Квн (чел), где Фпл = 1911
чел, Квн=1.1.
Чр = 12550/1911*1.1 = 7223 чел.
Численность промышленно-производственного
персонала (Чппп):
Чппп = 1.5*Чр
Чппп = 1.5 * 7223= 10834 чел.
. Выработка на 1 рабочего (производительность
труда) (В 1р):
В 1р=Qр / Чр (руб./чел)
В 1р = 123000000/7223 = 17028 руб./чел
Выработка на 1 работающего (В 1ппп):
В 1ппп = Qp/Чппп (руб./чел)
В 1ппп = 123000000/10834= 11353 руб./чел
. Основной капитал (Косн):
Косн = Qр/Фотд (тыс.руб.), где Фотд = 2,2
Косн = 123000/2,2 = 55909 т.руб.
. Фондоотдача (Фотд):
Фотд = Qр/Косн (р/р)
Фотд = 123000/55909 = 2.2 р/р
. Фондовооруженность 1 работающего (Фвоор 1ппп):
Фвоор 1ппп = Косн / Чппп (т.руб./чел)
Фвоор 1ппп=55909/10834 = 5.160 т.руб./чел
Фондовооруженность 1 рабочего (Фвоор 1р):
Фвоор 1р = Косн / Чр (т.руб./чел)
Фвоор 1р = 55909/7223 = 7.740 т.руб./чел
Нормируемые оборотные средства (Ноб):
Ноб = ∑(Умi*Сi*(Ni + Ni экс)*1.4) (т.руб.)
Ноб = 0.8*700*30*1.4 + 0.6*380* (85+10)*1.4 +
0.4*120 * 120*1.4 = 61908 т.руб.
Коэффициент оборота оборотных средств (Коб):
Коб = Qр/Ноб (р/р)
Коб = 123000/61908 = 1.9 р/р
Период оборота оборотных средств (Тоб):
Тоб = 360/Коб (дни)
Тоб = 360/1.9 = 189 дней
Прибыль балансовая (ПРб):
ПРб = ∑ (Прi*Ni + Прi*Ni экс ) (т.руб.)
Прб = 100*30+40*85+4270*10+20*120=51500 тыс.руб.
Прибыль чистая (ПРч):
ПРч= 50%*ПРб
ПРч = 0.5* 51500 = 25750 тыс.руб.
Рентабельность общая (Rобщ):общ = ПРб/(Косн +
Ноб)*100% общ = 51500/(55909+61908) * 100% = 51500/117817*100%=43.71%
Рентабельность расчетная (R рас):
рас = ПРч / (Косн+Ноб)*100%
рас = 25750/(55909 + 61908)*100% = 21.85%
Рентабельность оборота (R об):
Rоб = ПРб/Qр * 100%
об = 51500/123000*100% = 41.86%
Рентабельность производственной деятельности (R
пр):
пр = ПРб/Ср*100%, где
Ср =∑ Сi*Ni
Ср = 700*30+380*95+120*120=21000+36100+14400=
71500 т.руб.пр = 51500/71500*100%=72.02%
Рентабельность основного капитала (R осн):
осн = ПРб/К осн*100%
осн = 51500/55909*100%=92%
Число оборотов капитала (Коб.к.):
Коб.к. = Qр / (Косн + Ноб)
Коб.к.= 123000/ (55909+61908) = 1.04 раза
Годовой амортизационный фонд (А год):
А год = На / 100* Косн
А год = 11/100*55909 =6149.9 т.руб.
Коэффициент использования производственной
мощности п/п (К исп):
К исп =∑ Тi*Ni/ ∑ Ti*Ni max
К исп = (100*30 + 50*85 +50*10 +
40*120)/(100*50+50*100+40*200)=0.69
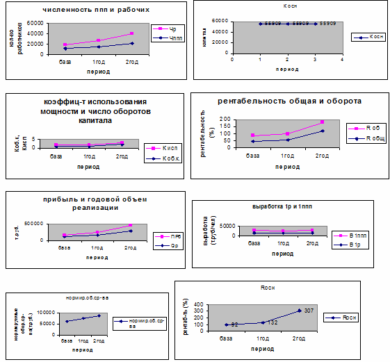
Анализ полученных результатов:
Проблема повышения эффективности использования
основных фондов и производственных мощностей предприятий занимает центральное
место в период перехода России к рыночным отношениям. От решения этой проблемы
зависит место предприятия в промышленном производстве, его финансовое
состояние, конкурентоспособность на рынке. Объем основных производственных
фондов, и степень их использования определяют величину производственной
мощности предприятия. Производственная мощность предприятия - это максимально
возможный выпуск продукции за единицу времени в натуральном выражении в
установленных планом номенклатуре и ассортименте, при полном использовании
производственного оборудования и площадей, с учетом применения передовой
технологии, улучшения организации производства и труда, обеспечения высокого
качества продукции. Обобщающим показателем эффективности использования основных
фондов является фондоотдача, т.е. производство продукции в расчете на 1 руб.
среднегодовой стоимости основных производственных фондов. В базовом периоде
Фотд составила 2.2 р/р. наряду с показателем фондоотдачи для характеристики
эффективности использования основных фондов используется обратная величина -
показатель фондоемкости. Фондоемкость выражается стоимостью основных фондов,
приходящихся на 1 руб. продукции. Рентабельность основного капитала
характеризует эффективность использования основных средств. В базовом периоде R
осн = 92%. Эффективность использования оборотного капитала отражается такими
показателями как коэффициент оборота оборотных средств, период оборота,
рентабельность оборота. Коэффициент оборачиваемости показывает объем
реализованной продукции, приходящийся на 1руб. оборотных средств. В базе Коб =
1.9 р/р. Период оборота оборотных средств в базе составил Тоб = 189 дней, т.е.
за 189 дней совершается оборот оборотных средств. Рентабельность оборота
характеризует уровень эффективности производственной коммерческой деятельности
предприятия, в базе Rоб = 41.86%. Общая рентабельность характеризует уровень
эффективности использования всего капитала предприятия. В базовом периоде Rобщ
= 43.71%. Число оборотов капитала характеризует, сколько раз в год
оборачивается общий капитал предприятия, в базе Коб.к.=1.04 раза.
Рентабельность производственной деятельности характеризует общий уровень
эффективности производства продукции на предприятии, Rпр = 72.02%. Коэффициент
использования производственной мощности определяет степень загрузки основных
фондов. В базе Кисп=0.69.
В стратегическом периоде необходимо улучшить
следующие показатели:
Увеличить коэффициент использования
производственной мощности (Кисп), т.е. максимально задействовать имеющиеся
мощности предприятия.
Повысить рентабельность производства, т.е.
увеличить эффективность использования производственных мощностей.
Уменьшить период оборота оборотных средств, т.е.
чем меньше Тоб, тем меньше требуется оборотных средств, и чем быстрее оборотные
средства совершают кругооборот, тем эффективнее они используются.
По возможности увеличить остальные показатели
эффективности (общую рентабельность, рентабельность основных и оборотных
средств и т.п.)
Раздел 2. Разработка и обоснование
товарной политики предприятия без увеличения производственных мощностей
На основе анализа деятельности предприятия в
базисном периоде необходимо разработать стратегический план на два последующих
года. Разработка этого плана имеет три этапа:
выработка общей концепции стратегического
развития предприятия;
разработка подробного плана по годам (по
изделиям, рынкам и т.д.);
расчет и анализ основных результатов
хозяйственной деятельности предприятия по годам стратегического периода.
2.1 Выработка общей концепции
стратегического развития предприятия
Стратегический период для разработки товарной
политики в рамках курсовой работы составляет два года.
В качестве глобальной цели следует взять
увеличение общей рентабельности в 2.5 раза. Предприятие должно достичь данного
показателя в конце второго года.
Общие направления концепции развития
предприятия:
По рынкам: предприятию следует сохранить только
перспективные рынки, которые были определены в первом разделе.
По товарам: номенклатура предприятия остается
неизменной.
По эффективности производства : предприятию
следует увеличить общую рентабельность за счет увеличения эффективности
использования основных и оборотных средств, т.е. увеличения и уменьшения
соответствующих показателей, которые были отмечены выше.
Локальные цели:
По годам: в первом году предприятие должно
увеличить общую рентабельность в 1.2 раза, при этом обеспечить увеличение
рентабельности основного капитала на 40%, рентабельности оборотного капитала в
1.1 раза, а период оборота оборотных средств уменьшить на 10%. Во втором году
предприятие должно увеличить общую рентабельность в 2.5 раза, рентабельность
основного капитала на 90%, рентабельность оборотного капитала на 40%, а период
оборота оборотных средств уменьшить на 30%.
По рынкам, товарам и эффективности производства:
В первый год (учитывается текущая емкость
рынков):
на рынке Р1 по товару А - Ц=790руб./ед., С =
700руб./ед., Нэ = 10%, Д = 50%, N maxА=50 т.шт./год, NА = 30 т.шт./год, Етек.=
40 т.шт./год. Следует повысить цены на 10 руб., при этом увеличить объем
выпуска на 4 т.шт./год, цены в любом случае будут ниже цен конкурентов, а
предприятие на рынке Р1 занимает 50%, т.е. является лидером. Это позволит
увеличить использование мощности предприятия (NА*), но т.к. мы отказались от
рынка Р2 по изделию А, следовательно останутся незадействованными 16 т.шт./год:
maxА своб.= N maxА - NА* = 50- (30+4)= 16 т.шт./год
Ц*=800 руб./ед.,С*=700 руб./ед., NА = 34
т.шт./год
на рынке Р1 по товару В - Ц = 420 руб./ед., С =
380 руб./ед., Нэ = 0, Д = 42.5%, N max В =100 т.шт./год, N В = 85 т.шт./год,
Етек = 200 т.шт./год. Вводим рекламу, следовательно, увеличивается
себестоимость на 5%: С*=380 + 0.05*380 = 399 руб./ед. Увеличиваем цену для
повышения престижа: Ц*=425 руб./ед. в любом случае ниже цен конкурентов,
поэтому можно увеличить объем выпуска до 94 т.шт./год. Введение рекламы
поднимет престиж нашего изделия, увеличит спрос и несколько вытеснит
конкурентов.
на рынке Рэкс по товару В - Ц =150у.е. = 150*31
= 4650 руб./ед., С = 380 руб./ед., Нэ = 0, Д = 50%, Nmax В = 100 т.шт./год, NВ
= 10 т.шт./год, Етек = 20 т.шт./год. Перебрасываем свободные мощности с товара
А на товар В. Вычисляем максимальный объем выпуска товара В при использовании
этих свободных мощностей:
N max A = (T A+B - N max B*TB) / TA
34 = (10000 - 50* N max B)/100
max B = 132 т.шт./годmax Bэкс = N max B - N B-Р1
= 132 - 94 = 38 т.шт./год
Понижаем цены до 140 у.е., увеличиваем объем
выпуска до 15 т.шт./год, отсюда свободные мощности по товарам А и В составляют
N max = 38 - 15 = 23 т.шт./год.
на рынке Р1 по товару С - Ц = 135 руб./ед., С =
120 руб./ед., Нэ = 53.4%, Д = 26.6%, существует реклама, N max С = 200
т.шт./год, N С= 80 т.шт./год, Етек = 300 т.шт./год. На рынке существует 1
конкурент с долей рынка 20%, предприятию следует увеличить цены до 140
руб./ед., что ниже цены конкурента (Цк = 150 руб./ед), за счет рекламы объем
выпуска можно увеличить до 90 т.шт./год.
на рынке Р2 по товару С - Ц = 150 руб./ед., С =
120 руб., Нэ = 60%, Д = 40%, N max C = 200 т.шт./год, N С = 40 т.шт./год, Етек
= 100 т.шт./год, конкурентов нет. Предприятие является монополистом, для
увеличения объема выпуска рекомендуется снизить цену до 140 руб. Объем выпуска
увеличится до 80 т.шт./год.
на рынке Р1 по товару Д - Ц = 100 руб./ед., С =
68 руб./ед., Етек = 1000 т.шт./год, N max Д = 250 т.шт./год. На рынке
существуют два конкурента с долями рынка 10% и 20%. Товар Д является
перспективным, для начала поднимем цену до 120 руб./ед. Объем выпуска составит
100 т.шт./год.
Во второй год (с учетом перспективной емкости
рынков):
на рынке Р1 по товару А - Ц = 800 руб./ед., N =
34 т.шт./год, Епер = 60 т.шт./год. Предприятие увеличивает цену до 840
руб./ед., объем выпуска остается прежним.
на рынке Р1 по товару В - Ц = 425 руб./ед., N =
94 т.шт./год, Епер = 600 т.шт./год, предприятие в целях увеличения прибыли
вынуждено поднять цены до 450 руб./ед., объем выпуска остается прежним, но
себестоимость снижается за счет отказа от рекламы: С*=380 руб./ед.
на рынке Рэкс по товару В - Ц = 140 у.е., N = 15
т.шт./год, Епер = 40 т.шт./год. Предприятию следует ввести рекламу,
себестоимость увеличится до 399 руб./ед. Предполагается, что объем реализации
увеличится до 30 т.шт./год при неизменной цене.
на рынке Р1 по товару С - Ц=140 руб./ед., N = 90
т.шт./год, Епер = 500 т.шт./год. Цену нужно повысить до 150 руб./ед., объем
выпуска остается неизменным.
на рынке Р2 по товару С - Ц = 140 руб./ед., N=
80 т.шт./год, Епер = 300 т.шт./год. Цену понижаем на 1рубль, используется
психологическая политика. N = 110 т.шт./год.
на рынке Р1 по товару Д - Ц = 120 руб./ед., N =
100 т.шт./год, Епер = 4000 т.шт./год. Цену снижаем до 100 рублей, при этом N =
200 т.шт./год.
2.2 Разработка подробного плана по
годам (по изделиям, рынкам и т.п.)
На этом этапе на основе выбранной общей
концепции развития предприятия осуществляется разработка стратегического плана,
основные показатели которого заносятся в таблицу №4 и №5 соответственно на 1-ый
и 2-ой год стратегического периода. Но вначале необходимо обосновать кое-какие
аспекты.
Предприятие собирается производить и
реализовывать все изделия, которые рассматривались выше. Нет необходимости
отказываться от какого-либо товара, т.к. эти товары реализовываются на
нескольких рынках, и будет целесообразнее отказаться от какого-либо рынка, что
я и сделала.
Предприятие должно остаться на всех рынках, за
исключением рынка Р2 по товару А. Причины ухода с данного рынка будут указаны
дальше. Наиболее приоритетными считаются рынки Р1 и Р2 по товару С, а также
рынок Р1 по товару Д. Рынки товара С довольно емкие, на рынке Р1 у предприятия
всего 1 конкурент с долей в 20%, а на рынке Р2 конкурентов нет. Конечно, для
предприятия это выгодно и представляет перспективы для дальнейшего расширения
на данных рынках.
Масштабы реализации товаров зависят от
производственной мощности предприятия по данным изделиям, от емкости рынка и от
экономической ниши предприятия на данном рынке. Например, на рынке Р1 по товару
А экономическая ниша всего 10% и емкость всего 40 т.шт./год, поэтому несмотря
на достаточно большие мощности предприятие не может реализовывать больше, чем
может вместить рынок. У товара В положение тоже довольно плачевное.
Экономической ниши нет, и несмотря на то, что емкость вполне приличная, предприятие
не может поставлять больше, чем может позволить производственная мощность
предприятия, а она не особо большая. Товар Д имеет потенциальную возможность
для расширения на рынке: емкость большая, конкурентов немного, но товар
является новым, поэтому нужно выработать эффективную ценовую политику для
последовательного и планомерного внедрения на рынок, а также по возможности
увеличить мощности предприятия по товару Д.
Ценовая политика предприятия на выбранных
рынках.
Рынок Р1 по товару А. Экономическая ниша - 10%,
на рынке - 1 конкурент с долей рынка 40%, предприятие на рынке занимает 50%. В
течение стратегического периода рекомендуется планомерно поднимать цены, причем
в первый год ожидается увеличение объема выпуска продукции за счет
психологической политики, т.е. цены повышаются, в подсознании потребителей
товар становится престижным. Увеличивается спрос. Во второй год цены можно
поднять до цены конкурента. Объем производства не изменится.
Рынок Р1 по товару В. Экономической ниши нет.
Предприятие занимает на рынке 42.5%. На рынке существуют 2 конкурента, доли
которых 30% и 17.5%. Для вытеснения конкурентов с рынка в первом году вводим
рекламу, немного повышаем цены, которые остаются все равно ниже цен
конкурентов. Объем выпуска увеличивается за счет рекламной кампании и
относительно низких цен. Во втором году отказываемся от рекламы и повышаем цены
для увеличения прибыли.
Рынок Р-экс по товару В. Экономической ниши нет.
Предприятие занимает на рынке 50%. На рынке 3 конкурента с долями рынка 10%,
15% и 25%. Для вытеснения конкурентов понижаем цены до самой низкой цены
конкурентов. Объем выпуска соответственно увеличивается. Во втором году при
неизменных ценах вводим рекламу, объем выпуска увеличивается.
Рынок Р1 по товару С. Экономическая ниша 53.4%.
На рынке всего 1 конкурент с долей рынка 20%, доля предприятия на рынке 26.6%.
Проводится рекламная кампания. Для расширения на рынке в первом году немного
повышаем цены, которые все равно будут ниже цены конкурента, за счет рекламы
повышается спрос, следовательно, увеличивается объем продаж. Во втором году
прибыль предприятия увеличивается за счет повышения цен, объем продаж остается
неизменным.
Рынок Р2 по товару С. Экономическая ниша 60%,
конкурентов нет. Предприятие занимает 40%. Скорее всего на данном рынке
предприятие является монополистом. В первом году снижаем немного цены, за счет
чего увеличивается объем выпуска. Во втором году за счет небольшого снижения
цен увеличивается объем производства. В данном случае используется эффект
психологической политики - снижение цен на один рубль.
Рынок Р1 по товару Д. Данный рынок имеет большую
емкость, а товар Д потенциально довольно перспективен. На рынке у товара Д 2
конкурента с долями 20% и 10%. Для расширения на данном рынке и вытеснении
конкурентов в первом году предприятие устанавливает цены, равные ценам
конкурентов, а во втором году снижает цены, тем самым, увеличивая объем продаж.
Общая прибыльность предприятия при реализации товаров на данных рынках во
втором году должна увеличиться в большей степени, чем в первом. Это объясняется
последовательной и планомерной экономической политикой предприятия. Весомая
доля в балансовой прибыли принадлежит экспортному рынку по товару В. Причиной
тому служит слишком большая курсовая разница. Предприятие отказалось от реализации
товара А на рынке Р2. Данный рынок имеет наименьшую экономическую выгодность
среди всех рынков, у него наименьший уровень перспективности. Предприятие
занимает на данном рынке незначительную долю (всего 25%) и несмотря на ценовые
преимущества и проводимую рекламу по сумме баллов в таблице приоритетов данный
рынок набрал минимальное количество баллов. Предприятию будет выгоднее
отказаться от данного рынка и все имеющиеся мощности перебросить на
производство товара А на рынке Р1. В результате проведенного обоснования
осуществляется разработка стратегического плана предприятия на 1 и 2 год и
заполняются соответственно таблицы 2.1 и 2.2.
Таблица 2.1
|
Показатели
|
Цi
|
Ni
|
Qi
|
ПРб
i
|
Тi
|
Примечания
|
|
Изделия
|
Рынки
|
|
|
|
|
|
|
|
А
|
Р1
|
800
|
34
|
27200
|
3400
|
3400
|
Цены
увеличили, но они ниже цен конкурентов, психологическая политика престижа,
вырос объем продаж
|
|
Всего
по А
|
Х
|
34
|
27200
|
3400
|
3400
|
|
|
В
|
Р1
|
425
|
94
|
39950
|
2444
|
4700
|
Цены
увеличили, но ниже цен конкурентов, ввели рекламу, С = 399 руб./ед., объем
продаж вырос.
|
|
Р-экс
|
140у.е.
|
15
|
65100
|
59400
|
750
|
Понизили
цены, вырос объем продаж.
|
|
Всего
по В
|
Х
|
109
|
105050
|
61844
|
5450
|
|
|
С
|
Р1
|
140
|
90
|
12600
|
1800
|
3600
|
Цены
увеличили, но ниже цен конкурентов объем продаж вырос за счет психологической
ценовой политики
|
|
Р2
|
140
|
80
|
11200
|
1600
|
3200
|
Снижение
цен, увеличение объема реализации
|
|
Всего
по С
|
Х
|
170
|
23800
|
3400
|
6800
|
|
|
Д
|
Р1
|
120
|
100
|
12000
|
5200
|
3200
|
Установили
цены, равные наибольшим ценам конкурентов
|
|
Итого
по п/п
|
Х
|
Х
|
168050
|
73844
|
18850
|
|
Таблица 2.2
|
Показатели
|
Цi
|
Qi
|
ПРб
i
|
Тi
|
Примечания
|
|
Изделия
|
Рынки
|
|
|
|
|
|
|
|
А
|
Р1
|
820
|
34
|
27880
|
4080
|
3400
|
Для
увеличения прибыли повысили цены, объем продаж не изменился
|
|
Всего
по А
|
Х
|
34
|
27880
|
4080
|
3400
|
|
|
В
|
Р1
|
450
|
94
|
42300
|
6580
|
4700
|
Отказ
от рекламы, С = 380 руб./ед., повысили цены, объем продаж не изменился
|
|
Р-экс
|
140у.е.
|
38
|
164920
|
149758
|
1900
|
Цены
не изменились, объем продаж повысился за счет введения рекламы, С=399
руб./ед.
|
|
Всего
по В
|
Х
|
132
|
207220
|
156338
|
6600
|
|
|
С
|
Р1
|
150
|
90
|
13500
|
3240
|
3600
|
Повысили
цены, отказались от рекламы, С=114 руб./ед.
|
|
Р2
|
139
|
110
|
15290
|
2090
|
4400
|
Понизили
цены, психологическая политика, увеличился объем продаж.
|
|
Всего
по С
|
Х
|
200
|
28790
|
5330
|
8000
|
|
|
Д
|
Р1
|
100
|
200
|
20000
|
6400
|
6400
|
Понизили
цены, увеличился объем продаж.
|
|
Итого
по п/п
|
Х
|
Х
|
283890
|
172148
|
24400
|
|
Расчет и анализ основных результатов
хозяйственной деятельности предприятия по годам стратегического периода.
Расчет показателей:
Численность рабочих (Чр):
Чр = Т∑ /Фпл*Квн (чел.),
где Квн в 1-м году = 1.2, Квн во 2-м году = 1.4,
Фпл = 1911 чел.
Чр1 = 18850/1911*1.2 = 11836 чел.
Чр2 = 24400/1911*1.4 = 17875 чел.
Численность ППП (Чппп):
Чппп 1= Чр1*1.25 = 11836*1.25 = 14795 чел.
Чппп 2= Чр2*1.2 = 17875*1.2 = 21450 чел.
Выработка на 1 рабочего (В 1р):
В 1р = Qр/Чр (т.р./чел.)
В 1р 1= 168050/11836 = 14198 руб./чел.
В 1р 2 = 283890/17850 = 15904 руб./чел.
Выработка на 1 работающего (В 1ппп):
В 1ппп = Qр / Чппп (т.р./чел.)
В 1ппп 1=168050/14795 = 11358 руб./чел.
В 1ппп 2 = 283890/21450= 13234 руб./чел.
Фондоотдача (Фотд):
Ф отд = Qр/Косн (р/р)
Ф отд 1 = 168050/55909 = 3 р/р
Ф отд 2 = 283890/55909 = 5 р/р
Фондовооруженность 1 рабочего (Ф воор 1р):
Ф воор 1р = Косн/Чр (т.р./чел.)
Ф воор 1р 1=55909/11836 = 4723 руб./чел.
Ф воор 1р 2 = 55909/17875 = 3127 руб./чел.
.Фондовооруженность 1 работающего (Ф воор 1ппп):
Ф воор 1ппп = Косн/Чппп (т.р./чел.)
Ф воор 1ппп 1= 55909/14795 = 3778 руб./чел.
Ф воор 1ппп 2 = 55909/21450 = 2606 руб./чел.
.Нормируемые оборотные средства (Н об):
Ноб = ∑(Умi*Сi * (Ni + Ni экс)*1.4) (т.р.)
Н об1= 0.8*700*34*1.4+0.6* (94*399+15*380)*
1.4+0.4*120*170*1.4 +0.2*68*100*1.4 = 26656 + 0.6* (37506+5700)*1.4+ 11424+1904
= 26656+36293+11424+1904=76277 т.р.
Ноб 2 = 0.8*700*34*1.4 +0.6*(94*380+38*399)*1.4
+0.4* (90*114+110*120) * 1.4 +0.2*68*200*1.4 = 26656+0.6* (35720+15162)*
1.4+0.4*(10260+13200)*1.4+3808=26656+42740+13137+3808=86341 т.р.
. Коэффициент оборота оборотных средств (Коб):
Коб = Qр/Ноб (р/р)
Коб 1 = 168050/76277 = 2.2 р/р
Коб 2 = 283890/86341 = 3.2 р/р
.Период оборота оборотных средств (Тоб):
Тоб = 360/Коб (дни)
Тоб 1 = 360/2.2 = 163 дня
Тоб 2 = 360/3.2 = 112 дней
.Рентабельность общая (R общ):
общ = ПРб / (Косн+Ноб)*100%
общ 1 = 73844/(55909+76277)*100%=55.86 %общ 2 =
172148/(55909+86341)*100%= 121 %
. Рентабельность расчетная (R рас):
рас= ПРч/(Косн+Ноб)*100%
рас 1 = 36922/(55909+76277)*100% = 27.9%рас 2=
86074/(55909+86341)*100%= 60%
. Рентабельность оборота (R об):
об = ПРб/Qр*100%
об 1 = 73844/168050*100%=43.9%об 2 =
172148/283890*100% = 60.6%
. Рентабельность производственной деятельности
(R пр):
пр= ПРб/Ср*100%, где
Ср = ∑Сi*Ni
Ср 1 = 700*34+94*399+15*380+120*170+68*100 =
23800+37506+5700+20400+6800 = 94206 т.р.
Ср 2 =
700*34+380*94+38*399+90*114+110*120+68*200= 23800+35720+15162+10260+13200+13600
= 111742 т.р.пр1 = 73844/94206*100% = 78.3%пр2 = 172148/111742*100% = 154%
. Рентабельность основного капитала (R осн):
осн =ПРб/Косн*100%
осн1 = 73844/55909 *100% = 132%осн2 =
172148/55909*100% = 307%
.Число оборотов капитала (Коб.к.):
Коб.к.= Qр/ (Косн+Ноб)
Коб.к.1= 168050/(55909+76277)= 1.2
Коб.к. = 283890/(55909+86341)= 2
. Коэффициент использования производственной
мощности (К исп):
К исп = (∑Тi*Ni)/(∑Ti*Nmax)
К исп1 = 18850/(100*34+50*132+200*40+250*32) =
0.725
К исп 2 = 24400/26000 = 0.94
Таблица 2.3 - Основные технико-экономические
показатели предприятия в базисном, 1 и 2 года стратегического периода (без
развития производственных мощностей)
|
Показатели
|
Усл.обозн.
|
Ед.изм.
|
Базовый
год
|
1-й
год
|
2-й
год
|
Темпы
роста
|
|
|
|
|
|
|
1/база(%)
|
2/1(%)
|
|
1.
Годовой объем реализов.продукции
|
Qр
|
Т.руб.
|
123000
|
168050
|
283890
|
136
|
169
|
|
2.
Общая трудоемкость
|
Т
|
Час
|
12550
|
18850
|
24400
|
150
|
129
|
|
3.
Численность рабочих
|
Чр
|
Чел
|
7223
|
11836
|
17875
|
163
|
151
|
|
4.
Численность ППП
|
Чппп
|
Чел
|
10834
|
14795
|
21450
|
136
|
144
|
|
5.
Выработка на 1 рабочего
|
В
1р
|
Руб/чел
|
17028
|
14198
|
15904
|
83
|
112
|
|
6.
Выработка на 1ппп
|
В
1ппп
|
Руб/чел
|
11353
|
11358
|
13234
|
100
|
116
|
|
7.
Основной капитал
|
Косн
|
Т.руб.
|
55909
|
55909
|
55909
|
-
|
-
|
|
8.
Фондоотдача
|
Фотд
|
р/р
|
2.2
|
3
|
5
|
136
|
166
|
|
9.
Фондовоор.на 1 рабочего
|
Фвоор
1р
|
Т.руб/чел
|
7740
|
4723
|
3127
|
61
|
66
|
|
10.
Фондовоор.на 1ппп
|
Фвоор
1ппп
|
Т.руб/чел
|
5160
|
3778
|
2606
|
73
|
69
|
|
11.
Нормируемые оборотные средства
|
Ноб
|
Т.руб.
|
61908
|
76277
|
86341
|
123
|
113
|
|
12.
Коэффициент оборота оборот.средств
|
Коб
|
р/р
|
1.9
|
2.2
|
3.2
|
115
|
145
|
|
13.
Период оборота оборотных средств
|
Тоб
|
Дни
|
189
|
163
|
112
|
86
|
69
|
|
14.
Прибыль балансовая
|
ПРб
|
Т.руб.
|
51500
|
73844
|
172148
|
143
|
233
|
|
15.
Прибыль чистая
|
ПРч
|
Т.руб.
|
25750
|
36922
|
86074
|
143
|
233
|
|
16.
Рентабельность общая
|
Rобщ
|
%
|
43.7
|
55
|
121
|
125
|
220
|
|
17.
Рентабельность расчетная
|
Rрас
|
%
|
21.8
|
27.9
|
60
|
127
|
215
|
|
18.
Рентабельность оборота
|
Rоб
|
%
|
41.8
|
43.9
|
60.6
|
105
|
138
|
|
19.
Рентабельность производ.деятельности
|
Rпр
|
%
|
72
|
78.3
|
154
|
109
|
196
|
|
20.
Рентабельность основного капитала
|
Rосн
|
%
|
92
|
132
|
307
|
143
|
232
|
|
21.
Число оборотов капитала
|
Коб.к.
|
|
1
|
1
|
2
|
100
|
200
|
|
22.
Годовой амортизационный фонд
|
Агод
|
Т.руб.
|
6149.9
|
6149.9
|
6149.9
|
-
|
-
|
|
23.
Коэффициент использования производственной мощности
|
Кисп
|
|
0.69
|
0.725
|
0.94
|
105
|
130
|
Динамика основных показателей.
Рис. 2.1
Рис. 2.2
2.3 Анализ результатов хозяйственной
деятельности
В процессе реализации стратегических планов
сроком на два года предприятию удалось достичь достаточно неплохих результатов.
Прежде всего, общая рентабельность была увеличена в 2.5 раза, что и являлось
глобальной целью планирования данной стратегии.
Что касается локальных целей, то благодаря
точным кратким постановкам задач предприятие смогло разработать эффективную товарную
политику, провести соответствующие мероприятия, обеспечить перелив общего
капитала между отраслями и тем самым достичь соответствующих результатов.
Предприятие достигло поставленных локальных целей.
Данная товарная политика обеспечит предприятию
более эффективное и рациональное использование основных и оборотных средств,
позволит наиболее пропорционально загружать производственные мощности, поможет
предприятию увеличивать свою прибыль в дальнейшем. Что касается исследования
рынка, то товарная политика предусматривает детальный анализ конъюнктуры рынка,
позволяет предприятию лавировать в жестких рыночных условиях, расширяться на
рынке или вытеснять конкурентов при помощи эффективной ценовой политики и
других неценовых методов.
Благодаря данной товарной политике
соответственно увеличился объем реализованной продукции, увеличилась прибыль и
повысилась рентабельность всего производства в целом. Диспропорции образовались
при расчетах выработки на 1 рабочего и на 1ппп. Этот факт объясняется общим
увеличением людей на предприятии в связи с увеличением объема реализации
продукции. Количество ППП увеличивается в меньшей степени, чем количество
рабочих, поэтому выработка на 1рабочего уменьшается, как и фондовооруженность
на 1 рабочего. Фондовооруженность на 1ппп тоже уменьшается. Выработка на 1ппп
хоть и медленно, но увеличивается.
Предприятие еще не до конца исчерпало
возможности повышения эффективности используемых ресурсов. Общая прибыль
увеличивается в течение двух лет, рентабельность тоже растет. Производственные
мощности загружены не полностью. Существует возможность дальнейшего увеличения
показателей эффективности производства.
Данная товарная политика достигла следующих
результатов:
Годовой объем реализованной продукции в течение
двух лет растет.
Показатели прибыли увеличиваются, растет
рентабельность.
Увеличивается эффективность использования
основных и оборотных средств.
Растет коэффициент использования
производственной мощности.
Недостатки товарной политики:
Снижается общая выработка.
Снижается фондовооруженность.
Непропорциональный рост численности работников.
Данная товарная политика без дополнительных мер
не может быть применена на будущий период. Комплекс подобных мер рассчитан на
краткосрочную перспективу.
Раздел 3. Разработка и обоснование
товарной политики предприятия с учетом развития его производственных мощностей
на основе самофинансирования
Для развития предприятия могут использоваться
собственные источники финансирования, такие как амортизационный фонд и чистая
прибыль предприятия. В данном разделе рассматриваются возможности увеличения
производственных мощностей предприятия относительно базисного периода с
соответствующим увеличением объема выпускаемой продукции.
Общий основной капитал предприятия разделяется
на технологически подобные группы товаров А+В, С+Д в соотношении 3:1.
Рис. 3.1
Общий алгоритм построения стратегического плана
предприятия с учетом развития производственных мощностей:
Определяется общая сумма прироста собственных средств
предприятия за базисный период (Ксоб б):
К соб б=А год б + ПР ч б
К соб б = 6149.9+25750 = 31899.9 т.руб.
Определение средств для развития производства:
Кразв = 40%*К соб б
К разв= 40%*31899.9 = 12760 т.руб.
В первом разделе отмечалось, что наиболее
перспективным товаром является товар Д. Поэтому делим Кразв соответственно 35%
(Кразв А+В) и 65% (Кразв С+Д).
К разв А+В = 35%*К разв = 35%*12760 = 4466
т.руб.
К разв С+Д = 65%*Кразв = 65%*12760 = 8294т.руб.
Определение общего прироста основного капитала
предприятия:
Косн = (Кразв/К осн б)*100%
К осн(А+В) = (4466/41931.75)*100% = 11%
К осн(С+Д) = (8294/13977.25)*100%= 60%
. Определение прироста общей трудоемкости
предприятия по выбранным товарам ∆Т∑ (А+В)
и ∆ Т∑ (С+Д):
∆Т ∑ (А+В) = 10%
∆Т ∑ (С+Д) = 80%
.Расчет кривой производственных возможностей
предприятия с учетом увеличения производственных мощностей.
Т ∑ (А+В) + ∆ Т∑ (А+В) = ТА
*NAmax1 + TB *NBmax1,где
Т ∑ (А+В) = 10000 чел./час, тогда
∆ Т ∑(А+В) = 10%* Т ∑(А+В) =
10%*10000 = 1000 чел./час
Т (А+В) = ТА *NAmax1 + TB *NBmax1
+1000 = ТА *NAmax1 + TB *NBmax1
= ТА * NAmax1 + TB *NBmax1= (11000 - TB *0)/ ТА=
11000 / 100= 110 т.ед./годВmax1 = (11000 - TА *0)/ ТВВmax1 = 11000/50
Вmax1 = 220 т.ед./год
Т ∑ (С+Д) + ∆ Т ∑ (С+Д) = ТС
*NСmax1 + TД *NДmax1,где
Т ∑ (С+Д) = 16000 чел./час, тогда
∆ Т ∑(С+Д) = 60%* Т ∑ (С+Д) =
60%*16000 = 9600 чел./час
Т (С+Д) = ТС *NСmax1 + TД *NДmax1
+9600 = ТС *NСmax1 + TД *NДmax1
= ТС * NСmax1 + TД *NДmax1Сmax1 = (26500 - TД
*0)/ ТССmax1 = 26500/40 Сmax1 = 640 т.ед./годДmax1 = (26500 - TС *0)/ ТДДmax1 =
26500/32 Дmax1 = 828 т.ед./год
Построение кривых производственных возможностей
предприятия с учетом увеличения производственных мощностей.
Разработка стратегического плана на два года с
учетом увеличения производственных мощностей.
Основной целью стратегического плана остается
повышение рентабельности. Локальные цели - увеличение основных показателей
эффективности производства.
План на 1-й год (при текущей емкости) с учетом
увеличения производственных мощностей.
На рынке Р1 по товару А - Ц = 800 руб./ед., С =
700 руб./ед, N = 34 т.шт./год, Етек = 40 т.шт./год, Нэ = 10%. В данной ситуации
ничего изменить нельзя, т.к. данный объем реализации учитывает возможность
предприятия максимально заполнить имеющуюся рыночную нишу.
На рынке Р1 по товару В - Ц = 425 руб./ед., С =
399 руб./ед (реклама), N = 94 т.шт./год. Ниши нет, Етек = 200 т.шт./год. За
счет рекламы при той же цене N = 137 т.шт./год.
На рынке Р-экс по товару В - Ц = 140 у.е., С =
380 руб./ед, N = 15 т.шт./год. Ниши нет. Етек = 20 т.шт./год. За счет
увеличения мощностей нельзя увеличить объем реализации, т.к. Етек маленькая.
На рынке Р1 по товару С - Ц = 140 руб./ед., С =
120 руб./ед., N = 90 т.шт./год. Нэ = 53.4%. Етек = 300 т.шт./год. За счет
рекламы на данном рынке при данной цене объем реализации N = 150 т.шт./год.
На рынке Р2 по товару С - Ц = 140 руб./ед., С =
120 руб./ед., N = 80 т.шт./год. Нэ = 60%. Конкурентов нет. Етек = 100
т.шт./год. К сожалению имеющиеся в достаточном количестве мощности предприятие
не может использовать, т.к. Етек слишком маленькая.
На рынке Р1 по товару Д - Ц = 120 руб./ед., С =
68 руб./ед., N = 100 т.шт./год, Етек = 1000 т.шт./год. Понизим цену до 110
руб., N = 200 т.шт./год.
План на 2-й год (при перспективной емкости) с
учетом увеличения производственных мощностей.
На рынке Р1 по товару А - Ц = 800 руб./ед., С =
700 руб./ед., N = 34 т.шт./год, Епер = 60т.шт./год, Нэ = 10%. Повышаем цену до
890 руб., N = 25 т.шт./год.
На рынке Р1 по товару В - Ц = 425 руб./ед., С =
380 руб./ед. (отказ от рекламы), N = 150 т.шт./год, Епер = 600 т.шт./год. Ниши
нет. Повышаем цену до 450 руб./ед., N = 140 т.шт./год.
На рынке Рэкс по товару В - Ц = 140 у.е./ед., С
= 380 руб./ед., N = 15 т.шт./год. Епер = 40 т.шт./год. Вводим рекламу. С* = 399
руб./ед. N = 30 т.шт./год.
На рынке Р1 по товару С - Ц = 140 руб./ед., С =
114 руб./ед. (отказ от рекламы), N = 150 т.шт./год, Епер = 500 т.шт.год. Nmax =
640 т.шт./год. Повышаем цену до 160 руб./ед., N = 150 т.шт./год.
На рынке Р2 по товару С - Ц = 140 руб./ед., С =
120 руб./ед., N = 80 т.шт./год. Епер = 300 т.шт./год. Нэ = 60%, конкурентов
нет. Снижаем цену до 135 руб./ед., N = 100 т.шт./год.
На рынке Р1 по товару Д - Ц = 110 руб./ед., С =
68 руб./ед., N = 200 т.шт./год. Епер =4000 т.шт./год. Nmax = 828 т.шт./год.
Понизим цену до 90 руб./ед., N = 515 т.шт./год.
Таблица 3.1 - Стратегический план предприятия на
1 год стратегического периода
|
Показатели
|
Цi
|
Ni
|
Qi
|
ПРб
i
|
Тi
|
Примечания
|
|
Изделия
|
Рынки
|
|
|
|
|
|
|
|
А
|
Р1
|
800
|
34
|
27200
|
3400
|
3400
|
За
счет маленькой ниши невозможно увеличить объем продаж
|
|
Всего
по А
|
Х
|
34
|
27200
|
3400
|
3400
|
|
|
В
|
Р1
|
425
|
137
|
58225
|
3562
|
6850
|
Цены
увеличили, но ниже цен конкурентов, ввели рекламу, С = 399 руб./ед., объем
продаж вырос.
|
|
Р-экс
|
140у.е.
|
15
|
65100
|
59400
|
750
|
За
счет маленькой емкости невозможно увеличить объем продаж
|
|
Всего
по В
|
Х
|
152
|
123325
|
62962
|
7600
|
|
|
С
|
Р1
|
140
|
150
|
21000
|
3000
|
6000
|
Цены
увеличили, но ниже цен конкурентов объем продаж вырос за счет психологической
ценовой политики
|
|
Р2
|
140
|
80
|
11200
|
1600
|
3200
|
За
счет маленькой емкости невозможно увеличить объем продаж
|
|
Всего
по С
|
Х
|
230
|
32200
|
4600
|
9200
|
|
|
Д
|
Р1
|
110
|
200
|
22000
|
8400
|
6400
|
Установили
цены, равные наибольшим ценам конкурентов
|
|
Итого
по п/п
|
Х
|
Х
|
204725
|
79362
|
26600
|
|
Таблица 3.2 - Стратегический план предприятия на
2 год стратегического периода
|
Показатели
|
Цi
|
Ni
|
Qi
|
ПРб
i
|
Тi
|
Примечания
|
|
Изделия
|
Рынки
|
|
|
|
|
|
|
|
А
|
Р1
|
890
|
25
|
22250
|
4750
|
2500
|
Объем
продаж уменьшился из-за высоких цен.
|
|
Всего
по А
|
Х
|
25
|
22250
|
4750
|
2500
|
|
|
В
|
Р1
|
450
|
140
|
63000
|
9800
|
7000
|
Цены
увеличили, отказ от рекламы, С = 380 руб./ед., объем продаж неизменный.
|
|
Р-экс
|
140у.е.
|
30
|
130200
|
118230
|
1500
|
Ввели
рекламу, при неизменной цене объем продаж вырос, С=399 руб./ед.
|
|
Всего
по В
|
Х
|
170
|
193200
|
128030
|
8500
|
|
|
С
|
Р1
|
160
|
150
|
24000
|
6000
|
6000
|
Цены
увеличили, объем продаж не изменился.
|
|
Р2
|
140
|
100
|
14000
|
2000
|
4000
|
Объем
продаж почти не изменился.
|
|
Всего
по С
|
Х
|
250
|
38000
|
8000
|
10000
|
|
|
Д
|
Р1
|
90
|
515
|
46350
|
11330
|
16480
|
Установили
средние цены.
|
|
Итого
по п/п
|
Х
|
Х
|
299800
|
152110
|
37480
|
|
Расчет показателей:
Численность рабочих (Чр):
Чр = Т∑ /Фпл*Квн (чел.),
где Квн в 1-м году = 1.2, Квн во 2-м году = 1.4,
Фпл = 1911 чел.
Чр1 = 26600/1911*1.2 = 16703 чел.
Чр2 = 37480/1911*1.4 = 27457 чел.
Численность ППП (Чппп):
Чппп 1= Чр1*1.25 = 16703*1.25 = 20878 чел.
Чппп 2= Чр2*1.2 = 27457*1.2 = 32948 чел.
Выработка на 1 рабочего (В 1р):
В 1р = Qр/Чр (т.р./чел.)
В 1р 1= 204725/16703= 12256 руб./чел.
В 1р 2 = 299800/27457 = 10918 руб./чел.
Выработка на 1 работающего (В 1ппп):
В 1ппп = Qр / Чппп (т.р./чел.)
В 1ппп 1=204725/20878 = 9805 руб./чел.
В 1ппп 2 = 299800/32948 = 9099 руб./чел.
Фондоотдача (Фотд):
Ф отд = Qр/Косн (р/р), где
Косн* = 55909+12760 = 68669 т.р.
Ф отд 1 = 204725/68669 = 3 р/р
Ф отд 2 = 299800/68669 = 4,3 р/р
Фондовооруженность 1 рабочего (Ф воор 1р):
Ф воор 1р = Косн/Чр (т.р./чел.)
Ф воор 1р 1=68669/16703 = 4111 руб./чел.
Ф воор 1р 2 = 68669/27457 = 2500 руб./чел.
Фондовооруженность 1 работающего (Ф воор 1ппп):
Ф воор 1ппп = Косн/Чппп (т.р./чел.)
Ф воор 1ппп 1= 68669/20878 = 3289 руб./чел.
Ф воор 1ппп 2 = 68669/32948 = 2084 руб./чел.
Нормируемые оборотные средства (Н об):
Ноб =∑ (Умi*Сi * (Ni + Ni экс)*1.4) (т.р.)
Н об1= 0.8*700*34*1.4 +0.6* (137*399+15*380)
*1.4+0.4*230*120*1.4 +0.2*68*200*1.4 = 26656+ 0,6*(54663+5700)*1,4 + 15456 +
3808 = 96624.92 т.руб.
Ноб 2 = 0.8*700*25*1.4 +0.6*(140*380+30*399)*1.4
+0.4* (150*114+100*120)*1.4 +0.2*68*515*1.4 = 19600+ 0,6*(53200+11970)*1,4
+0,4*(17100+12000)*1,4 + 9805,6 = 100444,4 т.р.
Коэффициент оборота оборотных средств (Коб):
Коб = Qр/Ноб (р/р)
Коб 1 = 204725/96624,92 = 2,1 р/р
Коб 2 = 299800/100444,4 = 3 р/р
Период оборота оборотных средств (Тоб):
Тоб = 360/Коб (дни)
Тоб 1 = 360/2,1 = 171 день
Тоб 2 = 360/3 = 120 дней
Рентабельность общая (R общ):
общ = ПРб / (Косн+Ноб)*100%
общ 1 = 79362/(68669+96624,9)*100%=48 %общ 2 =
152110/(68669+100444,4)*100%= 89 %
Рентабельность расчетная (R рас):
рас= ПРч/(Косн+Ноб)*100%
Rрас 1 = 39681/(68669+96624,92)*100% = 24%рас 2=
76055/(68669+100444,4)*100%= 45%
Рентабельность оборота (R об):
об = ПРб/Qр*100%
об 1 = 79362/204725 *100%=38,7%об 2 =
152110/299800 *100% = 50,7%
Рентабельность производственной деятельности (R
пр):пр= ПРб/Ср*100%, где
Ср = ∑Сi*Ni
Ср 1 = 700*34+137*399+15*380+120*230+68*200 =
125363 т.р.
Ср 2 =
700*25+380*140+30*399+150*114+100*120+68*515= 146790 т.р.пр1 =
79362/125363*100% = 63%пр2 = 152110/146790*100% = 103%
Рентабельность основного капитала (R осн):
осн =ПРб/Косн*100%
осн1 = 79362/68669 *100% = 115%осн2 =
152110/68669*100% = 221%
Число оборотов капитала (Коб.к.):
Коб.к.= Qр/ (Косн+Ноб)
Коб.к.1= 204725/(68669+96624,92)= 1,2
Коб.к. = 299800/(68669+100444.4)= 1,7
Коэффициент использования производственной
мощности (К исп):
К исп = (∑Тi*Ni)/( ∑Ti*Nmax)
К исп1 = 26600/(11000 + 26500) = 0.7
К исп 2 = 37480/37500 = 0.999
предприятие стратегический план
Таблица 3.3 - Расчет основных технико-экономических
показателей предприятия в базисном году, 1 и 2 года стратегического периода (с
учетом развития производственных мощностей)
|
Показатели
|
Усл.обозн.
|
Ед.изм.
|
Базовый
год
|
1-й
год (с учетом развития)
|
2-й
год (с учетом развития)
|
Темпы
роста
|
|
|
|
|
|
|
1/база(%)
|
2/1(%)
|
|
1.
Годовой объем реализов. продукции
|
Qр
|
Т.руб.
|
123000
|
204725
|
299800
|
166
|
146
|
|
2.
Общая трудоемкость
|
Т
|
Час
|
12550
|
26600
|
37480
|
212
|
140
|
|
3.
Численность рабочих
|
Чр
|
Чел
|
7223
|
16703
|
27457
|
231
|
164
|
|
4.
Численность ППП
|
Чппп
|
Чел
|
10834
|
20878
|
32948
|
192
|
157
|
|
5.
Выработка на 1 рабочего
|
В
1р
|
Руб/чел
|
17028
|
12256
|
10918
|
72
|
89
|
|
6.
Выработка на 1ппп
|
В
1ппп
|
Руб/чел
|
11353
|
9805
|
9099
|
86
|
93
|
|
7.
Основной капитал
|
Косн
|
Т.руб.
|
55909
|
68669
|
68669
|
-
|
|
8.
Фондоотдача
|
Фотд
|
р/р
|
2.2
|
3
|
4,3
|
136
|
143
|
|
9.
Фондовоор.на 1 рабочего
|
Фвоор
1р
|
Т.руб/чел
|
7740
|
4111
|
2500
|
53
|
60
|
|
10.
Фондовоор.на 1ппп
|
Фвоор
1ппп
|
Т.руб/чел
|
5160
|
3289
|
2084
|
63
|
63
|
|
11.
Нормируемые оборотные средства
|
Ноб
|
Т.руб.
|
61908
|
96624,92
|
100444,4
|
156
|
103
|
|
12.
Коэффициент оборота оборот.средств
|
Коб
|
р/р
|
1.9
|
2.1
|
3
|
110
|
142
|
|
13.
Период оборота оборотных средств
|
Тоб
|
дни
|
189
|
171
|
120
|
90
|
70
|
|
14.
Прибыль балансовая
|
ПРб
|
Т.руб.
|
51500
|
79362
|
152110
|
154
|
191
|
|
15.
Прибыль чистая
|
ПРч
|
Т.руб.
|
25750
|
39681
|
76055
|
154
|
191
|
|
16.
Рентабельность общая
|
Rобщ
|
%
|
43.7
|
48
|
89
|
109
|
185
|
|
17.
Рентабельность расчетная
|
Rрас
|
%
|
21.8
|
24
|
45
|
110
|
187
|
|
18.
Рентабельность оборота
|
Rоб
|
%
|
41.8
|
38,7
|
50,7
|
92
|
131
|
|
19.
Рентабельность производ.деятельности
|
Rпр
|
%
|
72
|
63
|
103
|
87
|
163
|
|
20.
Рентабельность основного капитала
|
Rосн
|
%
|
92
|
115
|
221
|
125
|
192
|
|
21.
Число оборотов капитала
|
Коб.к.
|
|
1
|
1
|
1
|
-
|
-
|
|
22.
Годовой амортизационный фонд
|
Агод
|
Т.руб.
|
6149.9
|
6149.9
|
6149.9
|
-
|
-
|
|
23.
Коэффициент использования производственной мощности
|
Кисп
|
|
0.69
|
0.7
|
0.999
|
101
|
142
|
Анализ результатов хозяйственной деятельности
предприятия с учетом развития производственных мощностей.
В результате расчета основных
технико-экономических показателей предприятия за два года после увеличения
производственных мощностей можно сделать следующие выводы.
Годовой объем реализованной продукции в течение
двух лет снижается по сравнению с объемом в стратегическом периоде без
увеличения мощностей. Это объясняется более эффективной загрузкой мощностей,
т.е. прибыль растет не за счет количества, а за счет качества.
Суммарная трудоемкость в первом году резко
увеличивается, во втором снижается. Причиной тому рост годового объема
реализованной продукции в первом году, и снижение во втором. Такой же динамике
подвержена и численность рабочих. Численность ППП снижается.
Выработка во втором году уменьшается в меньшей
степени, чем в первом. Происходит улучшение эффективности производства.
Нормируемые оборотные средства по сравнению со
стратегическим периодом без увеличения мощностей снижаются. Коэффициент оборота
оборотных средств увеличивается, т.е. оборотные средства в течение года быстрее
обращаются, следовательно, растет экономия оборотных средств.
Основные показатели эффективности, такие как все
виды рентабельности, прибыль и т.д., в данном стратегическом периоде растут, но
в меньшей степени, чем в первом стратегическом периоде. Во-первых, предприятие
в данном периоде получило меньше прибыли. Это может быть связано с
перенасыщенностью рынка определенными товарами. Во-вторых, рентабельность
производства, основного капитала, оборота и т.д., в данном периоде выросла, но
в меньшей степени. Это зависит от снижения прибыли, как балансовой, так и
чистой, а также сказывается одновременное увеличение основного капитала.
Коэффициент использования мощности в данном
стратегическом периоде увеличился до 0,999, что является максимальной
величиной. К сожалению, максимальная загрузка оборудования не привела к
существенному росту прибыли. Предприятие собирается загружать свои мощности до
конца, следовательно, ему придется несколько снизить цены, чтобы рынок принял
данный объем продукции.
Заключение
В условиях жесткой конкурентной борьбы «за место
под солнцем» предприятию необходима четко продуманная стратегия завоевания
определенной доли на рынке, расширения на рынке или освоения новых рынков
сбыта. Предприятие должно учесть все достоинства и недостатки разработанных
стратегических планов с учетом увеличения и без увеличения производственных
мощностей. В первую очередь все будет зависеть от поставленной глобальной цели.
Если такой целью является максимальное увеличение прибыли (что, по-моему, не
должно являться целью как таковой, т.к. любое предприятие должно ставить перед
собой экономически более эффективные цели, такие как завоевание определенной
доли рынка, обеспечение устойчивости и стабильности уже существующего положения
на рынке;цель должна быть долгосрочной), то предприятие должно отталкиваться и
рассчитывать свои шаги, исходя именно из этой цели. Тогда это, возможно, будет
повышение цен. Если предприятие ставит цель максимально загрузить имеющиеся
производственные мощности, то все его действия будут направлены на загрузку
оборудования. Т.е. предприятие будет всеми способами стремиться увеличить
годовой объем реализации продукции, это приведет к снижению цен, распродажам,
скидкам, рекламе и т.д. Если же предприятие ставит перед собой цель увеличить
общую рентабельность, т.е. увеличить эффективность использования основных и
оборотных средств, то и действия его будут в этом русле.
Что касается необходимости использования
собственных средств предприятия для увеличения масштабов выпускаемой продукции,
то в данной ситуации не вижу в этом особого смысла. Единственное, чего
предприятие смогло добиться, это максимальной загрузки оборудования. Прибыль
уменьшилась, рентабельность тоже. Я считаю, если предприятие увеличивает свои
мощности, то необходимо использовать их на максимуме. Поэтому, наверное, целью
стала максимальная загрузка оборудования, а не увеличение общей рентабельности.
Проблема еще и в том, что рынки в основном перенасыщены, или экономическая ниша
слишком мала. Поэтому прибыль снизилась из-за того, что предприятие, желая
использовать имеющиеся мощности, продавало свои изделия по низким ценам.
Если говорить о факторах повышения
рентабельности, необходимо отметить фактор роста балансовой прибыли. Прибыль
зависит от объемов реализации продукции, от цен на нее и от себестоимости.
Снижение себестоимости продукции - важнейший резерв повышения рентабельности
производства. Для снижения себестоимости необходимо периодически обновлять
основные производственные фонды, следить за развитием НТП. Наряду со снижением
себестоимости продукции и увеличением объема производства размер прибыли
предприятия во многом зависит от качества продукции. Экономическая
заинтересованность предприятия увеличивать производство высококачественной
продукции создается системой цен и надбавок к ценам, которые увеличивают
величину получаемой прибыли.