Организационно-управленческий анализ на примере МОУ ДОД СДЮШОР 'Локомотив' по дзюдо

  • Вид работы:
    Курсовая работа (т)
  • Предмет:
    Менеджмент
  • Язык:
    Русский
    ,
    Формат файла:
    MS Word
    346,48 Кб
  • Опубликовано:
    2012-08-21
Вы можете узнать стоимость помощи в написании студенческой работы.
Помощь в написании работы, которую точно примут!

Организационно-управленческий анализ на примере МОУ ДОД СДЮШОР 'Локомотив' по дзюдо











Курсовая работа

Организационно-управленческий анализ на примере МОУ ДОД СДЮШОР «Локомотив» по дзюдо


ОГЛАВЛЕНИЕ

Введение

ГЛАВА 1. ТЕОРЕТИЧЕСКИЕ АСПЕКТЫ ОРГАНИЗАЦИОННОГО ПРОЕКТИРОВАНИЯ И ЕГО ЭЛЕМЕНТЫ

.1 Основные понятия миссии организации, ее элементы и факторы, влияющие на ее формирование

.2 Формирование цели организации

.3 Формирование организационной структуры управления предприятия

.4 Формирование организационной культуры предприятия

ГЛАВА 2. ОРГАНИЗАЦИОННО-УПРАВЛЕНЧЕСКИЙ АНАЛИЗ НА ПРИМЕРЕ МОУ ДОД СДЮШОР «ЛОКОМОТИВ» ПО ДЗЮДО

.1 Общая характеристика МОУ ДОД СДЮШОР «ЛОКОМОТИВ» по дзюдо

.2 Анализ миссии и цели МОУ ДОД СДЮШОР «ЛОКОМОТИВ» по дзюдо

.3 Оценка организационной структуры управления МОУ ДОД СДЮШОР «ЛОКОМОТИВ» по дзюдо

.4 Оценка организационной культуры МОУ ДОД СДЮШОР «ЛОКОМОТИВ» по дзюдо

Глава 3. Выводы и предложения по совершенствованию организации управления МОУ ДОД СДЮШОР «ЛОКОМОТИВ» по дзюдо

Заключение

Список использованной литературы

Приложение

Введение

Под структурой управления понимается упорядоченная совокупность устойчиво взаимосвязанных элементов, обеспечивающих функционирование и развитие организации как единого целого. ОСУ определяется также как форма разделения и кооперации управленческой деятельности, в рамках которой осуществляется процесс управления по соответствующим функциям, направленным на решение поставленных задач и достижение намеченных целей. С этих позиций структура управления представляется в виде системы оптимального распределения функциональных обязанностей, прав и ответственности, порядка и форм взаимодействия между входящими в ее состав органами управления и работающими в них людьми.

Построение структуры управления организацией - это важная составная часть общей функции управления - организовывания, одной из центральных задач которой является создание необходимых условий для выполнения всей системы планов организации. Ее реализация может потребовать реструктуризации, как самой организации, так и ее управляющей системы, а также создания условий для формирования высокочувствительной к изменениям культуры организации. Культура как сложившаяся в организации система ценностей, убеждений, образцов и норм поведения отражает характер отношений между работающими, то есть прямо связана с организационной структурой. Между структурой управления и организационной структурой существует тесная связь: структура организации отражает принятое в ней разделение работ между подразделениями, группами и людьми, а структура управления создает механизмы координации, обеспечивающие эффективное достижение общих целей и задач организации. Как правило, мероприятия по проектированию или изменению состава самой организации (разукрупнение, объединение, слияние с другими организациями и др.) вызывают необходимость соответствующих перемен в структуре управления.

Целью курсовой работы является разработка рекомендаций по совершенствованию системы организационного управления предприятия.

Для решения поставленной цели в работе рассмотрены следующие задачи:

1.  Рассмотреть теоретические вопросы организационного проектирования предприятия.

2.      Изучить и проанализировать мисси и цели предприятия.

.        Проанализировать организационную структуру управления предприятия.

.        Рассмотреть вопросы организационной культуры на предприятии.

.        Сделать выводы и внести предложения на основании проведенной работы.

МОУ "Локомотив", спортивная школа олимпийского резерва по борьбе дзюдо на рынке города Челябинска с 1974 года.

Основные отрасли деятельности компании: Спортивные и оздоровительные центры

Организация расположена по адресу: 454000, г. Челябинск, ул. Свободы, 141. Телефон: 8 (351) 2684597.

В курсовой работе использованы литературные источники отечественных и зарубежных авторов, материалы периодической печати, данные нормативной документации, оперативные и статистические данные исследуемого предприятия.

 

ГЛАВА 1. ТЕОРЕТИЧЕСКИЕ АСПЕКТЫ ОРГАНИЗАЦИОННОГО ПРОЕКТИРОВАНИЯ И ЕГО ЭЛЕМЕНТЫ


1.1 Основные понятия миссии организации, ее элементы и факторы, влияющие на ее формирование


Никакая организация не может успешно выживать в конкурентной среде, если она не имеет четко определенных ориентиров, направлений, которые задают то, к чему она стремится, чего она хочет добиться в своей деятельности. Целевое начало в деятельности организации возникает отнюдь не только потому, что ей нужно иметь ориентиры, чтобы не погибнуть в изменяющемся окружении. В первую очередь целевое начало в деятельности организации возникает потому, что организация - это объединение людей, преследующих определенные цели.

Люди создают организации для того, чтобы с их помощью решать свои Когда идет речь о целевом начале в поведении организации и соответственно о целевом начале в управлении организацией, то обычно говорят о двух составляющих: миссии и целях. Установление того и другого, а также выработка стратегии поведения, обеспечивающей выполнение миссии и достижение организацией своих целей, является одной из основных задач высшего руководства и соответственно составляет очень важную часть стратегического управления.

Существуют широкое и узкое понимания миссии. В случае широкого понимания миссия рассматривается как констатация философии и предназначения, смысла существования организации. Философия организации определяет ценности, верования и принципы, в соответствии с которыми организация намеревается осуществлять свою деятельность. Предназначение определяет действия, которые организация намеревается осуществлять, и то, какого типа организацией она намеревается быть. Философия организации обычно редко меняется. Что касается второй части миссии, то она может меняться в зависимости от глубины изменений, которые могут проходить в организации и в среде ее функционирования.

В том случае, если имеется узкое понимание миссии, она рассматривается как сформулированное утверждение относительно того, для чего или по какой причине существует организация, т.е. миссия понимается как утверждение, раскрывающее смысл существования организации, в котором проявляется отличие данной организации от ей подобных. Правильно сформулированная миссия хотя и имеет всегда общий философский смысл, тем не менее обязательно несет в себе что-то, что делает ее уникальной в своем роде, характеризующей именно ту организацию, в которой она была выработана.

Целевое начало в деятельности организации возникает как отражение целей и интересов различных групп людей, так или иначе связанных с деятельностью организации и вовлеченных в процесс ее функционирования. Основными группами людей, чьи интересы оказывают влияние на деятельность организации, а следовательно, должны быть учтены при определении ее предназначения, являются [10]:

- собственники организации, создающие, приводящие в действие и развивающие организацию для того, чтобы за счет присвоения результатов деятельности организации решать свои жизненные проблемы;

-       сотрудники организации, своим трудом непосредственно обеспечивающие деятельность организации, создание и реализацию продукта и продвижение ресурсов извне, получающие от организации за свой труд компенсацию и решающие с помощью этой компенсации свои жизненные проблемы;

-       покупатели продукта организации, отдающие ей свои ресурсы (чаще всего деньги) в обмен на продукт, предлагаемый им организацией, и удовлетворяющие с помощью этого продукта свои потребности;

-       деловые партнеры организации, находящиеся с ней в формальных и неформальных деловых отношениях, оказывающие организации коммерческие и некоммерческие услуги и получающие аналогичные услуги со стороны организации;

-       местное сообщество, находящееся с организацией во взаимодействии, имеющем многогранное содержание, связанном в первую очередь с формированием социальной и экологической среды обитания организации;

-       общество в целом, в первую очередь в лице государственных институтов, взаимодействующее с организацией в политической, правовой, экономической и других сферах макроокружения, получающее от организации часть создаваемого ею богатства для обеспечения общественного благополучия и развития, плодами которого наряду с другими членами общества также пользуется и организация.

Миссия организации в большей или меньшей мере должна отражать интересы всех шести вышеназванных субъектов. Степень проявления в миссии интересов каждого из данных шести субъектов принципиально зависит от того, какие размеры имеет организация, в каком она состоит бизнесе, где расположена и т.п. Наиболее устойчивое, сильное и специфичное влияние на миссию организации независимо от того, что организация собой представляет, оказывают интересы собственников, сотрудников и покупателей. Поэтому миссия организации должна быть сформулирована таким образом, чтобы в ней обязательно находило проявление сочетание интересов этих трех групп людей [11].

Наряду с вышеперечисленными характеристиками организации при формировании миссии организации важным является отражение в содержании и форме изложения миссии имиджа, которым обладает организация. Миссия в большей или меньшей степени всегда отражает имидж организации. Однако при умелом подходе к формулированию миссии можно добиться того, что в ней будет очень ясно отражен тот имидж, которым обладает организация.

Таким образом, формирование миссии организации обусловлено следующими элементами [18]:

Во-первых, миссия дает субъектам внешней среды общее представление о том, что собой представляет организация, к чему она стремится, какие средства она готова использовать в своей деятельности, какова ее философия и т.п. Кроме этого, миссия способствует формированию или закреплению определенного имиджа организации в представлении субъектов внешней среды.

Во-вторых, миссия способствует формированию единения внутри организации и созданию корпоративного духа. Это проявляется в следующем [19]:

- миссия делает ясными для сотрудников общую цель, предназначение существования организации. В результате сотрудники организации, осознавая ее миссию, как бы ориентируют свои действия в едином направлении;

-       миссия способствует тому, что сотрудники могут легче установить идентификацию своей персоны с организацией. Для тех же сотрудников, которые идентифицируют себя с организацией, миссия выступает точкой концентрации их внимания при осуществлении своей деятельности;

-       миссия способствует установлению определенного климата в организации, так как через нее до людей доводятся философия организации, ценности и принципы, которые лежат в основе построения и осуществления деятельности организации.

В-третьих, миссия создает возможность для более действенного управления организацией в силу того, что она:

- является базой для установления целей организации, обеспечивает непротиворечивость набора целей, а также помогает выработке стратегии организации, устанавливая направленность и допустимые границы ее функционирования;

-       обеспечивает стандарты для распределения ресурсов организации и создает базу для оценки использования ресурсов в процессе функционирования организации;

-       расширяет для работника смысл и содержание его деятельности и тем самым позволяет применять более широкий набор приемов мотивирования.

Миссия не должна нести в себе конкретные указания относительно того, что, как и в какие сроки следует делать организации. Она задает основные направления движения организации, расположение организации к процессам и явлениям, протекающим внутри и вне ее.

Очень важно, чтобы миссия была сформулирована предельно ясно для того, чтобы она была легко понятна всем субъектам, взаимодействующим с организацией, в особенности всем членам организации. При этом миссия должна быть сформулирована таким образом, чтобы она исключала возможность разнотолков, но в то же время оставляла простор для творческого и гибкого развития организации.

1.2 Формирование цели организации


Если миссия задает общие ориентиры, направления функционирования организации, выражающие смысл ее существования, то конкретные конечные состояния, к которым стремится организация, фиксируются в виде ее целей, то есть говоря иначе, цели - это конкретное состояние отдельных характеристик организации, достижение которых является для нее желательным и на достижение которых направлена ее деятельность [2].

Невозможно переоценить значимость целей для организации. Они являются исходной точкой планирования; цели лежат в основе построения организационных отношений; на целях базируется система мотивирования, используемая в организации; наконец, цели являются точкой отсчета в процессе контроля и оценки результатов труда отдельных работников, подразделений и организации в целом.

Существует два типа целей с той точки зрения, какой период времени требуется для их достижения. Это долгосрочные и краткосрочные цели. В принципе, в основе разделения целей на эти два типа лежит временной период, связанный с продолжительностью производственного цикла. Цели, достижение которых предполагается к концу производственного цикла, - долгосрочные цели. Отсюда следует, что в различных отраслях должны быть различные временные промежутки для краткосрочных и долгосрочных целей. Однако на практике обычно краткосрочными считаются цели, которые достигаются в течение одного года, и соответственно долгосрочные цели достигаются через два-три года.

Разделение на долгосрочные и краткосрочные цели имеет принципиальное значение, так как эти цели существенно различаются по содержанию. Для краткосрочных целей характерна гораздо большая, чем для долгосрочных, конкретизация и детализация в таких вопросах, как кто, что и когда должен выполнять. Если возникает необходимость, между долгосрочными и краткосрочными целями устанавливаются еще и промежуточные цели, которые называются среднесрочными [22].

Одними из самых важных целей для стратегического управления являются цели роста организации. Данные цели отражают соотношение темпа изменения объема продаж и прибыли организации, темпа изменения объема продаж и прибыли по отрасли в целом. В зависимости от того, каково это соотношение, темп роста организации может быть быстрым, стабильным или может наблюдаться сокращение. Соответственно этим темпам роста могут устанавливаться цель быстрого роста, цель стабильного роста и цель сокращения.

Цель быстрого роста является очень привлекательной, однако и очень сложной для достижения. Организации, если у нее для достижения данной цели есть все необходимые предпосылки, следует отдавать предпочтение именно этой цели роста. Чтобы справиться с быстрым ростом, руководство организации должно обладать такими качествами, как глубокое понимание рынка, умение выбрать наиболее подходящую часть рынка и сконцентрировать свои усилия на этой части рынка, умение хорошо использовать имеющиеся у организации ресурсы, умение чутко ощущать ход времени и хорошо контролировать во времени протекающие в организации процессы. В случае быстрого роста организации, необходимо иметь опытных менеджеров, умеющих рисковать. Стратегия организации должна быть сформулирована очень ясно.

Цель стабильного роста предполагает, что при ее достижении организация развивается примерно таким же темпом, как и отрасль в целом. Данная цель не предполагает экспансии организации, а означает, что организация стремится сохранить неизменной свою долю рынка.

Цель сокращения ставится организацией тогда, когда по целому ряду причин она вынуждена развиваться более медленными темпами, чем отрасль в целом, либо даже в абсолютном выражении сокращать свое присутствие на рынке. Постановка такой цели отнюдь автоматически не означает, что у организации протекают кризисные явления. Например, после периода быстрого роста может возникнуть необходимость сокращения. Здесь проявляется одна из интересных особенностей трех данных целей роста. Являясь совершенно различными по своей направленности, они могут спокойно, последовательно совмещаться во времени, сменяя одна другую. При этом отсутствует какой-либо обязательный порядок в следовании этих целей одна за другой [13].

Цели совершенно необходимы для успешного функционирования и выживания организации в долгосрочной перспективе. Однако если цели неверно или плохо определены, это может привести к очень серьезным негативным последствиям для организации. Большой опыт человечества по установлению целей позволяет выделить несколько ключевых требований, которым должны удовлетворять правильно сформулированные цели.

Во-первых, цели должны быть достижимыми. Конечно, в целях должен быть заключен определенный вызов для сотрудников организации. Они не должны быть слишком легкими для достижения. Но они также не должны быть нереалистичными, выходящими за предельно допустимые возможности исполнителей. Нереальная для достижения цель приводит к демотивации работников и потере ими ориентира, что очень негативно сказывается на деятельности организации.

Во-вторых, цели должны быть гибкими. Цели следует устанавливать таким образом, чтобы они оставляли возможность для их корректировки в соответствии с теми изменениями, которые могут произойти в окружении. Менеджеры должны помнить об этом и быть готовыми внести модификации в установленные цели с учетом новых требований, выдвигаемых к организации со стороны окружения, либо же новых возможностей, появившихся у организации.

В-третьих, цели должны быть измеримыми. Это означает, что цели должны быть сформулированы таким образом, чтобы их можно было количественно измерить, или можно было каким-то другим объективным способом оценить, была ли цель достигнута. Если цели неизмеримы, то они порождают разнотолки, затрудняют процесс оценки результатов деятельности и вызывают конфликты.

В-четвертых, цели должны быть конкретными, обладающими необходимой специфичностью, помогающей однозначно определить, в каком направлении должно осуществляться функционирование организации. Цель должна четко фиксировать, что необходимо получить в результате деятельности, в какие сроки следует ее достичь и кто должен достигать цель. Чем более конкретна цель, тем легче выразить стратегию ее достижения. Если цель сформулирована конкретно, то это позволяет добиться того, что все или подавляющее большинство сотрудников организации будут легко понимать ее, а следовательно, знать, что их ожидает впереди.

В-шестых, цели должны быть приемлемыми для основных субъектов влияния, определяющих деятельность организации, и в первую очередь для тех, кому придется их достигать. При формулировании целей очень важно учитывать то, какие желания и потребности имеют работники. Учитывая интересы собственников, занимающих ведущую роль среди субъектов влияния на организацию и заинтересованных в получении прибыли, менеджер тем не менее должен стараться избегать при выработке целей ориентации на получение большой краткосрочной прибыли.

1.3 Формирование организационной структуры управления предприятия


Организационная структура управления - одно из ключевых понятий менеджмента, тесно связанное с целями, функциями, распределением полномочий между менеджерами. В рамках организационной структуры управления протекает весь управленческий процесс (движение потоков информации, ресурсов, идей, принятие управленческих решений), в котором участвуют менеджеры всех уровней. В литературе по менеджменту приводится множество трактовок ОСУ, которые отражают сложность и многозначность этой категории.

Организационная структура управления (ОСУ) - это упорядоченная совокупность устойчиво взаимосвязанных элементов, обеспечивающих функционирование и развитие организации как единого целого [8].

Понятие организационной структуры тесно связано с такими понятиями, как соотношение ответственности и полномочий, централизация и децентрализация, ответственность и контроль, нормы управляемости, организационная политика фирмы, модели и проектирование организационных структур. Организационная структура управления опирается на основные принципы управления:

- принцип иерархичности уровней управления - каждый нижестоящий уровень контролируется вышестоящим и подчиняется ему;

-       принцип целеполагания - ОСУ должна прежде всего отражать цели и задачи организации, а следовательно, быть подчиненной производству товаров или услуг;

-       принцип соответствия - в ОСУ должен реализовываться принцип соответствия полномочий и ответственности работников, с одной стороны, и квалификации и уровня культуры - с другой (именно с помощью ОСУ реализуется система ответственности и полномочий);

-       принцип разделения труда - ОСУ должна обеспечить оптималь-ное разделение труда между органами управления и объемом их полномочий;

-       принцип ограничения полномочий - полномочия руководителей ограничиваются миссией и целями организации, факторами внешней среды, уровнем культуры, традициями и нормами;

-       принцип адаптации - ОСУ должна быть достаточно гибкой и реагировать на внешние и внутренние изменения; ОСУ должна быть адекватна социально-культурной среде организации.

Итак, с помощью ОСУ решаются наиболее значимые задачи управления: ОСУ обеспечивает координацию всех функций менеджмента; ОСУ определяет права и обязанности исполнителей; качество ОСУ предопределяет ее способность к выживанию и процветанию; ОСУ определяет поведение сотрудников и стиль управления.

В структуре управления организации различаются линейные и функ-циональные связи. Первые - связи отношения по поводу принятия и реализации управленческих решений, а также движение информации между линейными руководителями, то есть между лицами или структурными подразделениями, отвечающими за деятельность организации. Функциональные связи сопряжены с теми или иными функциями менеджмента: планирование, финансирование, производство, маркетинг и др [25].

Не может быть двух одинаковых структур, так как совокупность внешних и внутренних факторов организации всегда уникальна. Поэтому попытки слепо копировать структуры управления успешно функционирующих организаций не дают желаемого результата.

Современный тип иерархической структуры управления имеет много разновидностей.

Линейная структура управления (рис. 1) является наиболее прием-лемой лишь для простых форм организаций. Отличительная черта: прямое воздействие на все элементы организации и сосредоточение в одних руках всех функций руководства. Структура хорошо работает в небольших организациях при высоком профессионализме и авторитете руководителя.

Рисунок 1 - Линейная структура управления [10]

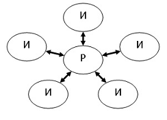
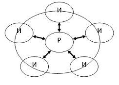
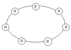
В небольших организациях с четким распределением функциональных обязанностей получили также распространение структуры в виде кольца, звезды и колеса (рис. 2, 3, 4).

Рисунок 2 - Линейная структура управления: кольцо [10]

Р - руководитель;

И - исполнитель

Рисунок 3 - Линейная структура управления: звезда [10]

Р - руководитель; И - исполнитель

Рисунок 4 - Линейная структура управления: колесо [10]

Р - руководитель; И - исполнитель

Рисунок 5 - Линейно-функциональная структура управления [10]

Линейно-функциональная структура управления (рис. 5) основана на так называемом «шахтном» принципе построения и специализации управленческого процесса в зависимости от обязанностей, возложенных на заместителей руководителя - функциональных руководителей. К их числу относятся: коммерческий директор, заместители директора по кадрам, по производству, руководители информационного отдела, отдела маркетинга и т.д

Линейно-штабная структура управления (рис. 6) представляет собой комбинированную структуру, сочетающую свойства линейных и линейно-функциональных структур. Она предусматривает создание специальных подразделений (штабов) в помощь линейным руководителям для решения тех или иных задач. Эти штабы готовят руководителю проекты решений по соответствующим вопросам. Штабы не наделяются исполнительной властью. Руководитель сам принимает решение и доводит его до всех подразделений. Штабная схема наиболее целесообразна, если необходимо осуществлять линейное управление (единоначалие) по ключевым позициям организации.

Матричная структура управления (рис. 7) представляет собой ре-шетчатую организацию, построенную на принципе двойного подчинения исполнителей: с одной стороны, непосредственному руководителю функциональной службы, которая предоставляет персонал и техническую помощь руководителю проекта, с другой - руководителю проекта (целевой программы), который наделен необходимыми полномочиями для осуществления процесса управления в соответствии с запланированными сроками, ресурсами и качеством.

Рисунок 6 - Линейно-штабная структура управления [10]

Матричная схема применяется при сложном, наукоемком производстве товаров, информации, услуг, знаний.

Рисунок 7 - Матричная структура управления [10]

Программно-целевая структура управления предусматривает создание специальных органов управления краткосрочными и долгосрочными программами. Она ориентирована на обеспечение всей полноты линейных полномочий в рамках реализуемых программ.

Таким образом, организационную структуру управления можно выбирать и понять только при широком, комплексном подходе к изменениям предприятия и его окружающей среды.

Как показывает опыт, процесс внесения коррективов в организационную структуру управления должен предусматривать:

Систематический анализ функционирования организации и её среды с целью выявления проблемных зон. Анализ может базироваться на сравнении конкурирующих или родственных организаций, представ-ляющих иные сферы экономической деятельности;

Разработку генерального плана совершенствования организационной структуры;

Гарантию того, что программа нововведений содержит максимально

простые и конкретные предложения по изменению;

Последовательную реализацию планируемых перемен. Введение незначительных изменений имеет большие шансы на успех, чем изменения крупного характера;

Поощрение повышения уровня информированности сотрудников, что позволит им лучше оценить свою причастность и, следовательно, усилит их ответственность за намеченные перемен

1.4 Формирование организационной культуры предприятия


В современной литературе существует довольно много определений понятия организационная культура. Как и многие другие понятия организационно-управленческих дисциплин, концепция организационной культуры не имеет универсального определения. Возможны лишь разнообразные функциональные описания культурной области, которые всякий раз формулируются в зависимости от конкретных целей исследования, но целостного определения культуры, получившего общепризнанное распространение, нет.

Термин «культура» у всех на слуху, однако эта известность слова очень обманчива. Безусловно, дать грамотное краткое определение любому широкому понятию (даже давно устоявшемуся) очень трудно. Такие определения и характеристики легко даются «со стороны», т.е. теми, кто не является профессионалами в соответствующей сфере. Специалисты же всегда дискутируют, спорят между собой. Вместе с тем трудности определения для них обусловлены, конечно, не ограниченностью их взглядов, а хорошо осознаваемой сложностью понятия, исторической эволюцией его содержания, пересечением с другими концепциями и т.д.

Организационная культура - это набор наиболее важных предположений, принимаемых членами организации и получающих выражение в заявляемых организацией ценностях, задающих людям ориентиры их поведения и действий. Эти ценностные ориентации передаются индивидом через «символические» средства духовного и материального внутриорганизационного окружения [30].

Формирование организационной культуры. Внешняя среда оказывает значительное влияние на организацию, что, естественно, сказывается на ее культуре. Однако, как свидетельствует практика, две организации, функционирующие в одном и том же окружении, могут иметь очень разные культуры. Это происходит потому, что через свой совместный опыт члены организации по-разному решают две очень важные проблемы. Первая - это внешняя адаптация: что должно быть сделано организацией и как это должно быть сделано. Вторая - это внутренняя интеграция: как работники организации решают свои ежедневные, связанные с их работой и жизнью в организации проблемы (табл. 1).

структура управление спортивный школа

Таблица 1

Проблемы внешней и внутренней интеграции (по Э. Шайну) [31]

ПРОБЛЕМЫ ВНЕШНЕЙ АДАПТАЦИИ И ВЫЖИВАНИЯ

• МИССИЯ И СТРАТЕГИЯ. Определение миссии организации и ее главных задач; выбор стратегии во исполнение этой миссии • ЦЕЛИ. Установление специфических целей; достижение согласия по целям • СРЕДСТВА. Методы, используемые для достижения целей; достижение согласия по используемым методам; решения по организационной структуре, системам стимулирования и подчиненности • КОНТРОЛЬ. Установление критериев измерения достигнутых индивидом и группами результатов; создание информационной системы • КОРРЕКЦИЯ. Типы действий, требуемые в отношении индивидов и групп, не выполнивших задания

ПРОБЛЕМЫ ВНУТРЕННЕЙ ИНТЕГРАЦИИ

• ОБЩИЙ ЯЗЫК И КОНЦЕПТУАЛЬНЫЕ КАТЕГОРИИ • Выбор методов коммуникации; определение значения используемого языка и концепций • ГРАНИЦЫ ГРУПП И КРИТЕРИИ ВХОЖДЕНИЯ И ВЫХОДА ИЗ ГРУПП. Установление критериев членства в организации и ее группах • ВЛАСТЬ И СТАТУС. Установление правил по приобретению, поддержанию и потере власти; определение и распределение статусов в организации • ЛИЧНОСТНЫЕ ОТНОШЕНИЯ. Установление правил об уровне и характере социальных отношений в организации между полами, возрастами и т.п.; определение допустимого уровня открытости на работе • НАГРАЖДЕНИЯ И НАКАЗАНИЯ. Определение желательного и нежелательно поведения • ИДЕОЛОГИЯ И РЕЛИГИЯ. Определение значения вещей, не поддающихся объяснению и неподвластных контролю со стороны организации; вера как снятие стресса


Процесс внешней адаптации и выживания связан с поиском и нахождением организацией своей ниши на рынке и ее приспособлением к постоянно меняющемуся внешнему окружению. Это процесс Достижения организацией своих целей и взаимодействия с представителями внешней среды. В данном процессе решаются вопросы,имеющие отношение к выполняемым задачам, методам их решения, реакции на успехи и неудачи и т.п.

В любой организации ее работники склонны участвовать в следующих процессах:

- выделять из внешнего окружения важное и неважное для организации;

-       разрабатывать пути и способы измерения достигнутых результатов;

-       находить объяснения успеху и неудаче в достижении целей.

Отмечено, что работники нуждаются в развитии приемлемых способов доведения до представителей внешней среды информации о своих реальных возможностях, преимуществах и успехах. Некоторые компании организуют для этих целей поездки своих сотрудников и на предприятия заказчиков, и на предприятия поставщиков.

Важно также, чтобы в организации знали о том, когда можно допустить неудачу.

На всех стадиях развития организации управленческая культура ее лидера (его личная вера, ценности и стиль) во многом может определять культуру организации (табл. 2). В очень большой степени влияние лидера или основателя компании на формирование культуры проявляется, если он является сильной (ярко выраженная управленческая культура) личностью, а организация только создается.

Таблица 2

Два подхода к формированию лидерами организационной культуры [30]

Административная

Организационные переменные

Предпринимательская культура

Система контроля

Изнутри

Собственник процесса

Отношения собственности

Собственник имущества

Ждет момента

Отношение к возможностям

Ведет поиск

Рационально-логическое

Преимущественное решение проблем

Интуитивное

Централизация

Делегирование полномочий

Децентрализация

Иерархическая

Организационная структура

Сетевая

«Взрослый» - «ребенок»

Отношения субординации

«Взрослый» - «взрослый»

На организацию

Организационный фокус

На человека

Снижение стоимости

Производственная стратегия

Дифференциация производства

Производительность

Главные цели

Эффективность

Системный

Подход к управлению

Ситуационный

Интеграции

Работа проектируется с позиций

Автономии

По правилам

Выполнение работы

Творческое

Модификация

Проводимые изменения

Радикальные

Делать дело правильно

Основополагающий курс действий

Делать правильное дело

С течением времени и под воздействием обстоятельств культура может претерпевать изменения. Поэтому важно знать, как проводить изменения такого рода. Методы изменения культуры организации созвучны рассмотренным выше методам поддержания культуры. Это:

- изменение объектов и предметов внимания со стороны менеджера;

-       изменение стиля управления кризисом или конфликтом;

-       перепроектирование ролей и изменение фокуса в программах обучения;

-       изменение критерия стимулирования.

Таким образом, Развитие и совершенствование предприятия базируется на тщательном и глубоком знании деятельности организации, что требует проведения исследования систем управления. Система управления организацией является сложной системой, созданной для сбора, анализа и переработки информации с целью получения максимального конечного результата при определённых ограничениях.

 


ГЛАВА 2. ОРГАНИЗАЦИОННО-УПРАВЛЕНЧЕСКИЙ АНАЛИЗ НА ПРИМЕРЕ МОУ ДОД СДЮШОР «ЛОКОМОТИВ» ПО ДЗЮДО


2.1 Общая характеристика МОУ ДОД СДЮШОР «ЛОКОМОТИВ» по дзюдо


МОУ "Локомотив", спортивная школа олимпийского резерва по борьбе дзюдо на рынке города Челябинска с 1974 года.

Основные отрасли деятельности компании: Спортивные и оздоровительные центры

Организация расположена по адресу: 454000, г. Челябинск, ул. Свободы, 141. Телефон: 8 (351) 2684597.

За 38 лет МОУ ДОД СДЮШОР «ЛОКОМОТИВ» по дзюдо прошла типичный путь развития, характерный для внешкольного учреждения. Основными направлениями деятельности являлись:

·   организация свободного времени детей - многопрофильная секционная работа при школах г. Челябинска;

·   организация и проведение районных школьных мероприятий и соревнований;

·   участие в областных и российских соревнованиях.

В настоящее время спортивная школа дает дополнительное образование и воспитание в 10 районах г. Челябинска. Занятия детей способствуют формированию у них углубленного интереса к различным отраслям знаний, формированию разнообразных двигательных навыков и умений.

За последние годы учащиеся МОУ ДОД СДЮШОР «ЛОКОМОТИВ» по дзюдо достигли значительных спортивных результатов.

В новых экономических условиях деятельность ДЮСШ потеряла привычную стабильность. Продолжая успешно реализовывать досуговые программы и проводить массовые мероприятия, являющиеся составной частью образовательной программы, педагогический коллектив должен постоянно искать новые формы и направления работы, самостоятельно думать о своём развитии и перспективах существования.

2.2 Анализ миссии и цели МОУ ДОД СДЮШОР «ЛОКОМОТИВ» по дзюдо


Сегодня спорту принадлежит значительная роль в воспитании молодого поколения страны. Спорт является важным социальным фактором в деле формирования человека. Заметна роль детско-юношеского спорта в решении образовательных, воспитательных и оздоровительных задач. Спортивные занятия с детьми и подростками служат составной частью их всестороннего развития. Спортивная деятельность во внеучебное время в значительной степени дополняет обязательные занятия на уроках физической культуры в образовательных учреждениях. В жизнедеятельности современных детей и подростков спорт занимает определённое место в структуре досуга. В процессе занятий физкультурой и спортом происходит восстановление утраченных сил ребёнка, тем самым реализуется рекреационная функция досуга.

МОУ ДОД СДЮШОР «ЛОКОМОТИВ» по дзюдо, как учреждение дополнительного образования детей призвана решать следующие задачи:

- Способствовать самосовершенствованию, познанию и творчеству занимающихся;

-       Формировать здоровый образ жизни;

-       Способствовать развитию физических, интеллектуальных и нравственных способностей учащихся, достижению ими уровня спортивных успехов, соответствующих их способностям.

Спортивная школа осуществляет физкультурно-оздоровительную и воспитательную работу среди детей и подростков, направленную на укрепление их здоровья и всестороннее физическое развитие. Важно, что МОУ ДОД СДЮШОР «ЛОКОМОТИВ» по дзюдо привлекает учащихся к систематическим занятиям физической культурой и спортом, оказывает всестороннюю помощь образовательным учреждениям в организации методической и массовой физкультурно-оздоровительной и спортивной работы. В процессе систематических занятий МОУ ДОД СДЮШОР «ЛОКОМОТИВ» по дзюдо выявляет способных детей и подростков для привлечения их к специализированным занятиям спортом.

Принимая во внимание всё выше сказанное, МОУ ДОД СДЮШОР «ЛОКОМОТИВ» по дзюдо определила главное направление работы, как обеспечение системного подхода к развитию и саморазвитию личности в процессе образовательно-воспитательной деятельности учреждения дополнительного образования детей.

Педагогический коллектив ставит своей целью реализацию системного подхода к образовательно-воспитательной деятельности и её переориентацию на развитие творческих способностей ребёнка, формирование у него потребности в саморазвитии, освоение им практических навыков самосовершенствования в процессе собственной жизнедеятельности.

Для реализации поставленной цели необходимо решение следующих задач:

1.  Построение образовательного взаимодействия в МОУ ДОД СДЮШОР «ЛОКОМОТИВ» по дзюдо на основе принципа диалогичности, охватывающего отношения всех участников образовательно-воспитательного процесса - педагогов, родителей, учащихся.

2.      Предоставление педагогам более широких возможностей для осуществления свободной творческой деятельности на основе их профессиональных интересов.

.        Разработка системы стимулирования и поощрения инновационной деятельности педагогов, способствующей повышению эффективности образования и воспитания в системе дополнительного образования детей.

Сегодняшняя ситуация в образовании требует систематизированного, научного и профессионального подхода в ведении методической работы в любом образовательном учреждении. Всё это диктует необходимость совершенствования и реконструкции методической службы.

На основе анализа деятельности МОУ ДОД СДЮШОР «ЛОКОМОТИВ» по дзюдо можно отметить следующие положительные стороны в методической работе:

. Разработаны подходы к созданию системы обеспечения профессионального роста педагогических кадров, а именно: обмен опытом тренеров-преподавателей, обучение через семинары, лекции, практическую работу с педагогами, тренерские советы.

1.      Образовательный процесс обеспечен программными материалами, разработаны программы для разного возраста и уровня подготовленности учащихся; содержание программ соответствует приоритетным идеям дополнительного образования.

В то же время методическая работа МОУ ДОД СДЮШОР «ЛОКОМОТИВ» по дзюдо не свободна от недостатков:

1. Недостаточный уровень базовой методической подготовки педагогов.

2. Низкий уровень оперативного информирования педагогов по вопросам инноваций в сфере методической деятельности и педагогического анализа.

3. Слабая разработанность методического обеспечения воспитательной деятельности.

4. Отсутствие системы отслеживания влияния методической деятельности на состояние и результативность образовательного процесса. Недостаточный уровень разработки и оформления отдельных программ.

Подобное состояние дел обусловлено практическим отсутствием в МОУ ДОД СДЮШОР «ЛОКОМОТИВ» по дзюдо развитой методической службы, непомерно большим объёмом работы, которую выполняет заместитель директора по учебной работе.

- Таким образом, современная ситуация в образовании: перестройка экономических основ деятельности учреждений дополнительного образования, изменение их статуса и задач, новые требования к ним со стороны государства, детей и родителей - придает особую актуальность реорганизации методической деятельности МОУ ДОД СДЮШОР «ЛОКОМОТИВ» по дзюдо.

В спортивной школе создан коллектив единомышленников, что обеспечивает ответственность каждого за решение поставленных перед учреждением задач.

Управление Школой осуществляется на основе сотрудничества,

соуправления с опорой на инициативу и творчество всего педагогического коллектива.

Перевод МОУ ДОД СДЮШОР «ЛОКОМОТИВ» по дзюдо в режим развития обеспечивается созданием банка информации, который постоянно обновляется. С учётом этого строится анализ, планирование, контроль и регулирование деятельности коллектива.

Таким образом, внутреннее управление представляет собой целенаправленное взаимодействие, сотрудничество всех участников педагогического процесса по достижению поставленных перед коллективом целей.

Высшим органом управления МОУ ДОД СДЮШОР «ЛОКОМОТИВ» по дзюдо является педагогический совет, который проводится 1 раз в квартал, принимая важнейшие решения по основным направлениям деятельности спортивной школы.

Рисунок - Организационная структура управления ДЮСШ.

В настоящее время возникла необходимость создания такой организационной структуры и системы управления, которые бы учитывали инновационный характер деятельности учреждения дополнительного образования и позволили бы включить в управление и самоуправление участников, задействованных в учебно-воспитательном процессе Школы. Это связано с увеличением объёмов работ и изменениями в содержании деятельности учреждения.

2.4 Оценка организационной культуры МОУ ДОД СДЮШОР «ЛОКОМОТИВ» по дзюдо


Организационная культура МОУ ДОД СДЮШОР «ЛОКОМОТИВ» по дзюдо состоит из следующих элементов:

. Формирование единых норм поведения сотрудников. Для того, чтобы сотрудники МОУ ДОД СДЮШОР «ЛОКОМОТИВ» по дзюдо представляли собой сплоченную команду профессионалов, с хорошо организованной системой взаимной поддержки и взаимовыручки, в организации произведено присоединение всех работников к единым нормам деловой этики и корпоративного поведения.

. Определение основных целей и ценностей МОУ ДОД СДЮШОР «ЛОКОМОТИВ» по дзюдо. Перед сотрудниками МОУ ДОД СДЮШОР «ЛОКОМОТИВ» по дзюдо часто встают вопросы противоречивого характера, в которых интересы получения прибыли сталкиваются с препятствиями этического характера. Моральные ценности и общественное благо для сотрудников МОУ ДОД СДЮШОР «ЛОКОМОТИВ» по дзюдо не пустой звук, следовательно способы зарабатывания денег ограничиваются только такими, которые не вызывают угрызений совести и общественного порицания.

. Формирование уникального имиджа и улучшение репутации. В условиях обострения конкуренции между СДЮШОР, другими спортивными учреждениями, персонификация и отграничение от прочих участников рынка имеет повышенное значение. Создание уникального, ни на кого не похожего имиджа, приобретает характер важнейшего конкурентного преимущества, которое является необходимой предпосылкой успешного бизнеса. Так, в МОУ ДОД СДЮШОР «ЛОКОМОТИ.В» по дзюдо разработана своя форма для каждого тренера и индивидуальный подход к каждому обучающемуся ребенку

Таким образом, по итогам произведенного исследования были сделаны следующие выводы об органно-управленческой деятельности предприятия:

1.  Практическая реализация цели и задач предполагает существенную реорганизацию всех основных направлений деятельности МОУ ДОД СДЮШОР «ЛОКОМОТИВ» по дзюдо: образовательно-досуговой работы, методического обеспечения, кадровой и финансовой политики, управленческой деятельности.

2.      Недостаточный уровень базовой методической подготовки педагогов.

.        Низкий уровень оперативного информирования педагогов по вопросам инноваций в сфере методической деятельности и педагогического анализа.

.        Слабая разработанность методического обеспечения воспитательной деятельности.

.        Отсутствие системы отслеживания влияния методической деятельности на состояние и результативность образовательного процесса. Недостаточный уровень разработки и оформления отдельных программ.

.        В настоящее время возникла необходимость создания такой организационной структуры и системы управления, которые бы учитывали инновационный характер деятельности учреждения дополнительного образования и позволили бы включить в управление и самоуправление участников, задействованных в учебно-воспитательном процессе Школы. Это связано с увеличением объёмов работ и изменениями в содержании деятельности учреждения.

Глава 3. Выводы и предложения по совершенствованию организации управления МОУ ДОД СДЮШОР «ЛОКОМОТИВ» по дзюдо


Обновление образовательной деятельности ДЮСШ в соответствии с намеченными целью и задачами предполагает осуществление следующего комплекса практических мероприятий:

1. Проведение плановой учёбы педагогов ДЮСШ, основным направлением которой должно стать личностно-ориентированное образование в спортивной школе,

Учёба может быть организована в виде цикла теоретических и практических занятий, в результате которых педагоги осознанно выберут определённую технологию развивающего обучения (или её элементы), освоят её и смогут реализовывать на практике.

2. Совершенствование организации образовательного процесса.

Обновление содержания образования в ДЮСШ должно быть дополнено его реорганизацией со стороны формы. Выражением такой реорганизации станут:

·   Освоение педагогами инновационных технологий, соответствующих концепции развивающего образования и реализующих идею развития и саморазвития ребёнка. В этой связи необходимо осуществить следующую работу:

·   провести диагностику реальных возможностей учащихся ДЮСШ;

·   ввести повсеместный дифференцированный подход к обучению и воспитанию детей в ДЮСШ, учёт их индивидуальных особенностей и интересов, корректировку темпов, методов, форм обучения и воспитания в зависимости от уровня физического, умственного, эмоционального развития ребёнка, а также его природных возможностей;

·   высшим уровнем реализации дифференцированного подхода должна стать в перспективе разработка индивидуального маршрута развития каждого учащегося ДЮСШ;

·   внедрить в практику работы ДЮСШ постоянное отслеживание личностных изменений учащихся;

·   Совершенствование форм и методов педагогического взаимодействия педагогов и воспитанников:

·   широкое использование организационных форм, основанных на равноправном общении, диалоге педагога с учащимися;

1. Обновление предметно-пространственной среды ДЮСШ.

Для развития личности ребёнка имеет огромное значение окружающая предметно-пространственная среда. Наряду с изменением содержания образования остро встаёт проблема эстетизации облика образовательных учреждений. Предметно-пространственная среда, наряду с человеческим ресурсом, является одной из важнейших составных частей образовательного пространства учреждения.

Это понятие включает в себя следующие элементы:

·   Наличие специализированных залов для проведения занятий соответствующего профиля;

·   Систему технического оснащения и дидактического оформления помещений;

·   Санитарно-гигиеническое состояние помещений и учреждения в целом;

·   Наличие зон отдыха и специализированных помещений для релаксации учащихся и педагогов;

·   Элементы интерьера (цветовая гамма, освещение, оформление холла и др.) и экстерьера здания (внешний вид учреждения, вывеска, оформление двора).

В целях обновления предметно-пространственой среды программой предусмотрено:

·   материально-техническое переоснащение спортивного зала и кабинетов ДЮСШ;

·   открытие комнаты психологической разгрузки для детей и взрослых;

·   художественное оформление холла и кабинетов;

·   ремонт отдельных помещений и фасада здания;

·   оборудование тренажёрного зала и лыжной базы.

Внесение изменений в методическую работу ДЮСШ обусловлено как необходимостью реформирования учреждений дополнительного образования в соответствии с законом РФ «Об образовании», так и задачами реорганизации образовательной системы ДЮСШ.

Методическая деятельность должна быть нацелена на:

·   Рациональное и оперативное использование новых технологий, методик, приёмов и форм обучения, обобщение опыта в решении образовательных и воспитательных проблем;

·   Более активное участие педагогов в совершенствовании образовательного процесса, создание образовательных программ нового поколения, ведение воспитательной работы в учебной и досуговой деятельности.

В настоящее время методическая работа в ДЮСШ ведётся зам. директора по учебной работе и тренерами-преподавателями. Такое положение не может быть признано удовлетворительным для учреждения, переходящего в режим инновационного развития. Обновить методическую работу означает поднять её на принципиально иной уровень. Речь в данном случае идёт о том, чтобы создать развитую методическую службу, отвечающую современным требованиям.

С этой целью нужно провести следующую работу:

1. Ввести ставку методиста;

2. В содержательном плане методическую работу целесообразно усовершенствовать в следующих аспектах:

·   Ввести аналитико-диагностическое обеспечение образовательно-воспитательного процесса в ДЮСШ, для чего необходимо:

·   организовать постоянный социально-психологический мониторинг образования и воспитания детей с дифференциацией по возрастам;

·   наладить постоянное отслеживание проблем и затруднений, с которыми сталкиваются педагоги в процессе реализации новой модели образования.

·   Обеспечить обновление содержания и методов дополнительного образования в соответствии с перспективной моделью ДЮСШ:

·   организовать постоянно действующую систему индивидуальных консультаций педагогов по вопросам создания и модернизации образовательных программ, использования новых приёмов и методик;

·   разработать систему оперативного информирования педагогов по вопросам инноваций и передового опыта в сфере дополнительного образования детей;

·   Создать условия для постоянного повышения профессионального мастерства педагогов:

·   сформировать банк данных инновационного опыта педагогов ДЮСШ, развивающих основные идеи программы развития ДЮСШ;

·   разработать действенную систему распространения передового опыта педагогов в объединениях ДЮСШ (мастер-классы, стажёрские площадки, конкурсы педагогического мастерства и др.);

·   организовать службу методической помощи педагогам по подготовке их публикаций в периодической печати, а также выступлений на конференциях, совещаниях по проблемам дополнительного образования.

Намеченная реорганизация методической деятельности ДЮСШ позволит добиться высокого качества образовательного процесса, основанного на новых педагогических технологиях.

Для практической реализации разработанной модели развития необходимо охарактеризовать главные виды ресурсов, способных её обеспечить.

Одним из важнейших ресурсов ДЮСШ является его кадровый потенциал.

В воспитывающее педагогическое сообщество ДЮСШ включаются следующие участники образовательного взаимодействия: представители администрации, тренеры-преподаватели, технический персонал.

Ведущая роль в организации жизнедеятельности ДЮСШ как целостной системы отводится педагогическому коллективу, объединяющего непосредственных субъектов общения с детьми.

Движение педагогического коллектива к высокому уровню зрелости предполагает, с одной стороны, максимальное сохранение индивидуальности каждого педагога, с другой стороны - формирование сплочённой общности профессионалов-единомышленников, способной сообща решать проблемы обновления содержания и организации образовательно-воспитательной деятельности ДЮСШ

Для выполнения задачи становления педагогического коллектива, способного работать в пространстве гуманистической образовательной идеологии, необходимо ориентироваться на соответствующую модель педагога. Желательно, чтобы педагог, работающий в учреждении дополнительного образования детей с гуманистической ориентацией обладал:

·   гуманистическим мировоззрением, признающим в качестве главной ценности личность ребёнка;

·   высоким уровнем профессиональных и психолого-педагогических знаний;

·   основами педагогической техники (коммуникативными, творческими, прогностическими способностями, умением управлять собственным эмоциональным состоянием, ораторским искусством);

·   способностью к высокому уровню эмпатии и самоанализу.

Кроме того, педагог, работающий в учреждении инновационного типа, должен полностью разделять ценностную ориентацию и стратегическую линию деятельности своего учреждения, сохраняя при этом право на отстаивание своей позиции при обсуждении проблем жизнедеятельности ДЮСШ и самостоятельность в выборе технологий и методик образования на уровне своего объединения.

Показателем зрелости педколлектива является здоровый социально-психологический климат в нём.

Важным вопросом кадрового обеспечения деятельности ДЮСШ является проблема сохранности и подбора новых педагогических кадров. В этой связи целесообразно организовать целевую подготовку к педагогической деятельности выпускников ДЮСШ, которые хорошо знают её традиции и смогут легко влиться в коллектив.

В целях обеспечения стабильности педколлектива целесообразно доработать систему поощрения педагогов и их лучших воспитанников за достижения определённых результатов, за непрерывный стаж работы в ДЮСШ, за особые успехи в работе с родителями, за личный вклад в дело развития учреждения и т.п.

Управление образовательным учреждением - это целенаправленная деятельность, в которой её субъекты посредством планирования, организации, руководства и контроля обеспечивают стабильное функционирование и развитие учреждения, организованность совместной деятельности педагогов, детей, родителей, её ориентированность на достижение перспективных целей образования и воспитания учащихся.

С переходом в режим развития управления учреждением должно сочетать в себе две тенденции: во-первых, открытость и способность к поддержанию упорядоченности. Иными словами, система управления образовательного учреждения, работающего в инновационном режиме, представляет собой целостную совокупность вариативного и инвариативного компонентов.

Инвариативный компонент управления представляет собой обязательную, характерную для любого учреждения дополнительного образования детей, неизменяемую часть целостной системы управления. Он связан с регулированием учебного процесса и всего того, что его обеспечивает (материально-технические, кадровые, финансовые и другие ресурсы) с целью сохранения достигнутого уровня.

Вариативный компонент связан с управлением ходом инновационного процесса и всем тем, что обеспечивает его осуществление, наращивание, эффективное использование. Этот аспект управления должен обеспечивать адекватное понимание всеми субъектами инновационной деятельности целей и задач развития учреждения, способов их достижения, заинтересованность педагогического коллектива в прогнозируемых результатах, надёжный контроль за ходом инновационной деятельности.

Таким образом, управление образовательным учреждением, вошедшим в инновационный режим, это, по существу, управление поиском и реализацией индивидуально выбранного им пути развития. Данное понимание управления является содержательной основой обновления системы управления ДЮСШ.

Для реализации программы развития в повседневную практику деятельности ДЮСШ необходимо внедрение таких современных методов управления, которые бы позволяли сочетать разработанные приёмы и методики с принципом системной целостности.

Методологическую основу управления учреждением нового типа составят методы: комплексно-целевого планирования, ситуационного управления, организации принятия решений и его информационного обеспечения, что повысит обоснованность принятия управленческих решений.

Достижение цели образовательного процесса предусматривает гибкое управление составом, содержанием, организацией реализации учебных программ в соответствии с динамикой контингента учащихся, изменениями его характеристик.

Изменения в управлении ДЮСШ связаны с формированием инновационной среды, увеличением субъектов административного управления, появлением новых объектов управленческой деятельности.

Схема реконструированной системы управления ДЮСШ будет выглядеть следующим образом (рис).

Рисунок - Модернизация организационной структуры управления

Проведённый анализ управленческих отношений ДЮСШ показывает, что в этой сфере задачи обновления состоят в следующем:

- Следует добиться большей чёткости управленческой структуры, для чего необходимо осуществить определённое перераспределение функций, делегировать часть полномочий педагогическому коллективу, увеличив тем самым масштабы его участия в управлении;

-       Обеспечить взаимосвязь вертикальных и горизонтальных связей в управлении;

-       Расширить количество непосредственных субъектов управленческой деятельности;

-       Увеличить коллегиальность принятия управленческих решений;

-       Внести коррективы в стиль руководства администрации в сторону его демократизации.

Практическое осуществление намеченных преобразований по основным направлениям деятельности ДЮСШ приведёт к постепенному формированию комплексного образовательного пространства, организованного как системная целостность и ориентированного на развитие и саморазвитие личности учащихся.

 

Заключение


Организация является объектом управления со стороны управляющей системы (управленческого персонала). При создании организации определяются ее основные параметры: цели, виды и масштабы деятельности, формы собственности, размер и виды организации; осуществляется также деятельность по обеспечении организации всеми необходимыми финансовыми, материальными и трудовыми ресурсами: подбор и наем персонала, закупка сырья, материалов, оборудования, его установка, аренда, строительство или покупка производственных помещений и т.д

Философия компании - удовлетворение потребностей и вкусов потребителей. Создание и продвижение новых товаров, то есть расширение ассортимента продукции. Лидерство на рынке измеряется не объемами, а эффективностью марки. Компания стремится прежде всего быть эффективной, то есть постоянно обнаруживать новые источники удовлетворения нужд потребителей.

«Структура управления организацией» или «организационная структура управления» - одна из ключевых понятий менеджмента, тесно связанное с целями, функциями, процессом управления, работой менеджеров и распределение между ними полномочий. В рамках этой структуры протекает управленческий процесс (движение потоков информации и принятие управленческих решений), в котором участвуют менеджеры всех уровней, категорий и профессиональной специализации. Структуру можно сравнить с каркасом здания управленческой системы, построенным для того, чтобы все протекающие в ней процессы осуществлялись своевременно и качественно. Отсюда то внимание, которое руководители организаций уделяют принципам и методам построения структур управления, выборы их типов и видов, изучению тенденций изменения и оценка соответствия задачам организаций.

В данной работе был проведен анализ организационной структуры управления в организации МОУ ДОД СДЮШОР «ЛОКОМОТИВ» по дзюдо, в процессе которого были выявлены следующие недостатки в работе предприятия:

1.          Недостаточный уровень базовой методической подготовки педагогов.

2.      Низкий уровень оперативного информирования педагогов по вопросам инноваций в сфере методической деятельности и педагогического анализа.

.        Слабая разработанность методического обеспечения воспитательной деятельности.

.        Отсутствие системы отслеживания влияния методической деятельности на состояние и результативность образовательного процесса. Недостаточный уровень разработки и оформления отдельных программ.

Практическая реализация цели и задач предполагает существенную реорганизацию всех основных направлений деятельности МОУ ДОД СДЮШОР «ЛОКОМОТИВ» по дзюдо: образовательно-досуговой работы, методического обеспечения, кадровой и финансовой политики, управленческой деятельности.

В настоящее время возникла необходимость создания такой организационной структуры и системы управления, которые бы учитывали инновационный характер деятельности учреждения дополнительного образования и позволили бы включить в управление и самоуправление участников, задействованных в учебно-воспитательном процессе Школы. Это связано с увеличением объёмов работ и изменениями в содержании деятельности учреждения.

Список использованной литературы


1.   Гражданский кодекс РФ. Часть первая.

2.      Асмолов А.Г. Дополнительное образование детей как зона ближайшего развития. Доклад на межрегиональном совещании - семинаре "Повышение уровня управления развитием дополнительного образования детей". М., 2000 - 431 с.

.        Балабанов И.Т. Основы финансового менеджмента. - М.: Финансы и статистика, 2001- 378 с.

.        Бойдел Т. Как улучшить управление организацией: Пособие для руководителя. - М.: АО Ассиана, 2001 - с. 156.

.        Бруднов А.К. - Актуальные проблемы развития системы дополнительного образования детей. Выступление на Межрегиональном совещании в г. Петрозаводске - Петрозаводск, 2001 - с. 267.

.        Валуев С.А., Игнатьева А.В. Организационный менеджмент. - М.: Машиностроение, 2001 - с. 421

.        Веснин В.Р. Основы менеджмента. - М.: Триада, Лтд, 2003. - с. 432

.        Галькович Р.С., Набоков В.И. Основы менеджмента. - М.: ИНФРА-М, 2001 - с. 376.

.        Дункан Д.У. Основополагающие идеи в менеджменте: пер. с англ. - М.: Дело, 2000 - с. 234

.        Егоршин А.П. Управление персоналом. - Н. Новгород: НИМБ, 2000. - с. 327

.        Игнатьева А.В. Основы менеджмента. - М.: Экон. образование, 2001. - с. 456

.        Каменщикова Л.А. - Управление как механизм перевода учреждения в режим развития. Региональная научно-практическая конференция - Новосибирск, 2003. - с. 321

.        Конаржевский Ю.А. - Формирование педагогического коллектива. - М., 2003. - с. 145

.        Кохно П.А., Микрюков В.А., Комаров М.А. Менеджмент. - М.: финансы и статистика, 2001 - с. 421.

.        Лэнд П.Э. Менеджмент - искусство управлять: Пер. с англ. - М.: ИНФРА-М, 2000.- с. 236

.        Менеджмент организации/Под ред. З.П. Румянцевой и Н.А. Соломатина. -М.:ИНФРА-М, 2001. - с. 348

.        Менеджмент. учебник для вузов / Под ред. М.М. Максимцова, А.В. Игнатьевой. - М.: Банки и биржи, ЮНИТИ, 2001. - с. 321

.        Мескон М., Альберт М., Хедоури Ф. Основы менеджмента: Пер. с анапгл. - М.: Дело, 2001. - с. 732

.        Основы менеджмента / Под, ред. А.А. Радугина - М.: Центр, 2000. - с. 341

.        Основы управления персоналом / Под, ред. Б.М. Генкина. - М.: Высшая школа, 2001. - с. 478

.        Полбенникова И.И. Организация внутришкольного контроля. - Чебоксары, 2004.- с. 38

.        Поташник М.М. Управление развитием школы. - М., Новая школа, 2001. - с. 341.

.        Русинов Ф.М., Никулин Л.Ф., Фаткин Л.В. Менеджмент и самоменеджмент в системе рыночных отношений, - М.: ИНФРА-М, 2000. - с. 317.

.        Третьяков П.И. Практика управления современной школой. - М., 2003. - с. 134.

.        Третьяков П.И. Управление школой по результатам (практика педагогического менеджмента) - М., Новая школа, 2001. - с. 156

.        Фатхутдинов Р.А. Производственный менеджмент. Учебник для вузов. - М.: Банки и биржи, 2001.- с. 589

.        Фомина А.Б. Основы управления учреждением дополнительного образования детей. - М., 2003. - с. 114

.        Ховард К., Короткое Э. Принципы менеджмента: Управление в системе цивилизованного предпринимательства. - М.: ИНФРА-М, 2000. - с. 251

.        Экономика предприятия / Под ред. В.Я. Горфинкеля и В.А. Швандара. - М.: Банки и биржи, 2001. - с. 342

.        Ямбург Е.А. Школа для всех. - М., Новая школа, 2001. - с. 321.

.        Общая экономическая теория. Курс лекций под ред. Проф. Г.П.Журавлевой. - М.: РЭА им. Г.В.Плеханова, 2003.- 310с.

.        Павлова Л.Н. Финансы предприятий: учебник для вузов. - М.: Финансы-ЮНИТИ, 2001. - 639 с.

 

Приложение


План действий по реализации Программы развития ДЮСШ

Содержание мероприятий

Сроки выполнения

Ответственные

1. 2.  3.  4.         5.              6.      7. 8.  9.  10.

Плановая учёба тренеров-преподавателей Совершенствование образовательных программ, разработка авторских программ. План поэтапного обновления системы деятельности ДЮСШ. Совершенствование организации образовательного процесса: освоение педагогами инновационных технологий реализующих идею развития и саморазвития ребёнка; проведение диагностики реальных возможностей учащихся ДЮСШ; Разработка педагогами индивидуального маршрута развития и достижений каждого учащегося спортивной школы. Обновление методической работы. 5.1 Организация методической службы ДЮСШ: введение ставки методиста; введение должности старшего тренера-преподавателя по видам спорта, которые будут являться руководителями структурных подразделений (отделений); 5.2 Совершенствование методической работы: внедрение аналитико-диагностического обеспечения образовательного процесса (организация мониторинга); создание условий для постоянного повышения профессионального мастерства педагогов; организация системы консультаций и разработка методических рекомендаций по технологии реализации образовательных программ, воспитательной работы. Обновление предметно-пространственной среды : техническое оснащение и дидактическое оформление помещений и кабинетов; создание зон отдыха для учащихся и педагогов; косметический ремонт здания ДЮСШ, освещения оборудование тренажёрного зала и лыжной базы. Разработка программы финансово-экономического обеспечения инновационнных процессов учреждения. Обновление системы управления спортивной школой. Подготовка аналитического отчёта по реализации данной программы. Подготовка к печати материалов, освещающих опыт инновационного развития спортивной школы.

2012 г.-2016г. 2013-2016г.г.  2012г.  2013-2015г.г.         2012-2014г.г. 2012г.     2013-2014г.г.        2013-2015г.г. (по мере поступления финансовых средств)  2012г. 2012-2013г.г. 2016г.  2016г. (в течение года)

Методист Тренеры-преподаватели Руководство ДЮСШ Зам. директора по УВР        Руководство ДЮСШ     Зам. директора по УВР, методист       Руководство ДЮСШ, тренеры-преподаватели    Директор Руководство ДЮСШ   Зам. директора по УВР

Похожие работы на - Организационно-управленческий анализ на примере МОУ ДОД СДЮШОР 'Локомотив' по дзюдо

 

Не нашли материал для своей работы?
Поможем написать уникальную работу
Без плагиата!
Без нейросетей!