Выращивание щенков породы Ши-Тцу после полутора месяцев

  • Вид работы:
    Доклад
  • Предмет:
    Биология
  • Язык:
    Русский
    ,
    Формат файла:
    MS Word
    5,32 kb
  • Опубликовано:
    2009-01-12
Вы можете узнать стоимость помощи в написании студенческой работы.
Помощь в написании работы, которую точно примут!

Выращивание щенков породы Ши-Тцу после полутора месяцев

Содержание

Введение

. Астеносфера (состав, строение, признаки выделения, условия формирования, роль в геологических процессах)

. Влияние астеносферы на явление изостазии

. Тектонические движения

. Астеносферные течения и силы, движущие литосферные плиты

. Влияние астеносферных течений на формирование окраинных морей

Заключение

Список использованной литературы

Введение

Земная кора и мантия это понятия геологические, вещественные; возникла, однако, необходимость выделения наряду с ними в верхней части твердой Земли, тектоносфере оболочек по их физическому, точнее реологическому состоянию. Такими оболочками являются литосфера и подстилающая ее астеносфера.

Литосфера, первоначально отождествлявшаяся с корой, на большей части Земли охватывает кору и верхнюю часть мантии. Она отличается упругими свойствами в верхней части и упруго-пластичными (вязкими) - в нижней. Это относительно хрупкая оболочка - в ней развиваются и сохраняются разрывы, к ней в основном приурочены очаги землетрясений. Но выделение литосферы имеет смысл лишь при ее противопоставлении астеносфере.

Астеносфера более пластичная, т. е. менее вязкая, оболочка Земли была первоначально выделена, вернее, предсказана, Дж. Баррелом (1916 г.) как оболочка, по отношению к которой осуществляется изостатическая компенсация. Понятие об изостазии, равновесном состоянии коры относительно мантии, возникло в середине XIX в., когда было обнаружено, что горные сооружения не создают, вопреки ожиданию, избыточного притяжения. Это заставило предположить (гипотеза Дж. Эри), что горы обладают корнями, погруженными в мантию. Денудация гор должна вести к поднятиям, возникновение дополнительной нагрузки на кору (ледники, вулканиты, осадки) - к прогибанию. Но этот процесс изостатического выравнивания осуществим лишь в том случае, если кора подстилается оболочкой, по своим свойствам близкой к жидкости, способной к перетеканию. Ею и могла быть астеносфера. Существование астеносферы было подтверждено лишь много позже, в 50-е годы (Б. Гутенберг), когда было обнаружено, что на некоторой глубине уже внутри мантии происходит либо замедление, либо даже снижение скорости прохождения сейсмических волн, вопреки нарастанию давления. Объясняется это влиянием еще более значительного нарастания температуры, благодаря которому некоторая часть вещества мантии (~1 %) переходит в расплавленное состояние (твердые зерна в жидкой пленке или капле жидкости).

В первое время после установления существования астеносферы представлялось, что ее свойства мало изменяются по латерали, а глубина залегания довольно постоянна - 50-60 км под океанами, 100-200 км под континентами. В дальнейшем оказалось, что действительная картина много сложнее. Выяснилось, что под рифтовыми зонами срединноокеанских хребтов кровля астеносферы местами залегает на глубине всего 2-3 км от поверхности дна, в частности под Восточно-Тихоокеанским поднятием. На периферии океанов глубина залегания астеносферы возрастает до 80-100 км, а под континентами она залегает еще глубже и в их центральных частях, под платформами и особенно щитами, она не «прощупывается» до глубин 150-200 км (рис. 1). Кроме сейсмологического метода обнаружения астеносферы - по уменьшению или хотя бы прекращению увеличения скорости распространения сейсмических колебаний с глубиной, стал использоваться предложенный А.Н. Тихоновым метод магнитотеллурического зондирования, в котором показателем существования астеносферы служит возрастание электропроводности, также связанное, очевидно, с переходом части мантийного материала в расплавленное состояние. Более косвенным сейсмологическим показателем достижения астеносферы служит предельная глубина распространения очагов землетрясения. Установлено, что в пределах сводовых частей молодых горных сооружений кровля астеносферы поднимается до глубин 20-25 км от поверхности. Это означает, что здесь, как и в осевых зонах срединноокеанских хребтов, кровля астеносферы пересекает границу кора - мантия и, таким образом, в этих высокоподвижных зонах объем литосферы оказывается меньше объема земной коры, в то время как в спокойных районах, занимающих преобладающую часть земной поверхности, литосфера охватывает не только кору, но и существенную часть мантии. Зоны резкого уменьшения мощности литосферы за счет подъема поверхности астеносферы совпадают с зонами антиизостатических восходящих движений, т. е. движений, направленных на дальнейшее нарушение, а не восстановление изостатического равновесия.

Рис. 1. Мощность Литосферы (в км). По А.В. Балли (1979 г.)

То обстоятельство, что в центральных частях континентальных платформ астеносфера не обнаруживается до глубины 200-250 км, породило сомнение в непрерывности ее распространения, т. е. в том, что она может рассматриваться как сплошная оболочка Земли. Некоторые геофизики считают, что правильнее говорить не об астеносфере, а об отдельных астенолинзах, выклинивающихся по простиранию. Этот вывод имел бы большое значение (негативное) по отношению к возможности крупных горизонтальных смещений континентальных блоков литосферы по поверхности астеносферы. Однако он вызывает серьезные сомнения. Астеносфера должна существовать везде, где осуществляется изостатическое равновесие, т. е. отсутствуют изостатические аномалии, в особенности под континентальными и океанскими платформами, включая, естественно, кристаллические щиты. Подтверждением этого служит факт изостатической уравновешенности ледниковых щитов Антарктиды и Гренландии благодаря прогибанию земной коры под ними, а также быстрого подъема (всплывания) Балтийского и Канадского щитов после снятия ледовой нагрузки. Причина кажущегося отсутствия астеносферы под щитами заключается, очевидно, во-первых, в ее залегании местами глубже 200-250 км и, во-вторых, в увеличении здесь ее вязкости против характерной для океанов и орогенов и, следовательно, большей трудности обнаружения существующими методами. Как считает Е. В. Артюшков, вязкость астеносферы может изменяться в пределах 1016-1019 Па·с, т. е. на целых три порядка.

Вязкость, глубина залегания и мощность астеносферы это в основном функция величины теплового потока. Чем больше глубина залегания астеносферы, тем больше мощность литосферы (см. рис. 1). На участках, где геофизическими методами установлено особенно высокое залегание астеносферы, в действительности, возможно, имеет место появление над ее основной поверхностью отдельных астенолинз. Существование таких астенолинз доказано в коре ряда горных сооружений по присутствию волноводов, наиболее частому в подошве гранитно-гнейсового слоя коры.

Подошва астеносферы, возможно состоящей из отдельных слоев, может опускаться до глубин порядка 400 км, т. е. до границы собственно верхней мантии и слоя Голицына, иногда называемого мезосферой.

астеносфера геологический земной кора тектонический

1. Астеносфера (состав, строение, признаки выделения, условия

формирования, роль в геологических процессах)

В соответствии с моделью строения мантии предложенной Ю.М. Пущаровским, в ней, как уже указывалось, выделяется не три, а шесть подразделений: верхняя мантия, состоящая из верхней и нижней частей, зона раздела 1, средняя мантия, зона раздела II и нижняя мантия. Меняются и границы, определяющие кровлю и подошву выделенных оболочек (рис. 2). Дальнейшее рассмотрение строения и состава мантии будет проводиться в соответствии с моделью Ю.М. Пущаровского.

Рис. 2. Сопоставление моделей внутреннего строения Земли традиционной (1) и новой (11) (по Ю.М Пущаровскому).

- зона раздела 1; 2 - зона раздела 11

Верхняя мантия расположена между подошвой земной коры (поверхность М) и границей раздела на глубине 670 км. На глубине 410 км верхняя мантия, согласно представлениям Ю.М. Пущаровского, разделена на верхнюю и нижнюю части. Верхняя часть в традиционных моделях мантии соответствует всему объему верхней мантии. В свою очередь она состоит из двух основных слоев. Верхний слой (субстрат по Е. Люстиху) совместно с земной корой образует литосферу. Эта жесткая оболочка, характеризующаяся высокой прочностью и упругими свойствами, залегает на ослабленном, пластичном астеносферном слое. Надастеносферный слой мантии имеет преимущественно перидотит-эклогитовый состав, плотность до 3,3 г/м3и скорости распространения сейсмических волн 7,9 - 8,4 км/с. В связи с этим его иногда называют перидотитовым слоем (рис. 3).

Рис. 3. Принципиальная схема строения верхней мантии Земли. 1 - астеносфера; 2 - субстрат (перидотитовый слой); 3 - земная кора.

Подошва литосферы определяется положением температурной поверхности солидуса мантийного вещества (порядка 1300 ºС). Под материками подошва литосферы залегает на глубинах от 150-200 км под молодыми платформами, до 250-350 км под щитами древних платформ, тогда как под океанами от 7-10 км под гребнями срединно-океанических хребтов до 30-90 км под абиссальными участками дна.

Такое существенное различие в мощностях континентальной и океанической литосферы объясняется более древним возрастом первой. Литосфера расположена на астеносфере - важнейшей оболочке верхней мантии. На существование последней было указано американским геологом Дж. Баррелом - еще в 1914 г. В 1926 г. Б. Гутенберг отметил первые ее геофизические признаки в виде снижения скорости распространения упругих волн. Судя по скорости восстановления изостатического равновесия Скандинавского полуострова, нарушенного образованием покровного ледника в четвертичный ледниковый период, вязкость вещества астеносферы составляет порядка 1020-5·1020 П (пуаз), что на 2-3 порядка ниже, чем в выше- и нижележащих областях мантии (для сравнения, вязкость воды составляет 10-2 П, асфальта - 1010-1012 П, стекла - 1013 П, стали - 1018-1020 П).

Положение кровли и подошвы астеносферы будет определяться пересечением кривой изменений температуры мантии с кривой изменения температуры солидуса мантийнoгo вещества (рис.4). В пределах астеносферы происходит частичное (от 1 до 10 %, по А. Рингвуду) плавление базальтовых составляющих. Базальтовые жидкости заполняют межгранулярные пространства между более тугоплавкими кристаллами перидотита, образующими упругий каркас ослабленного слоя. О частичном расплавлении вещества астеносферы свидетельствует резкое возрастание в ее пределах электропроводности, получаемое по данным магнитотеллурического зондирования.

Рис. 4. Схема, иллюстрирующая температурные режимы существования литосферы и астеносферы.

Тм - температура мантии; Tad - адиабатическая температура мантии; Ts - температура солидуса мантийного вещества.

Экспериментальные исследования показывают, что при частичном плавлении ультраосновных пород при давлении 103 МПа первые порции базальтового расплава возникают в местах тройных сочленений зерен породы и образуют взаимосвязанную систему каналов при сохранении скелета (матрицы) породы. На этом основании А.В. Каракин и Л.И. Лобковский выдвигают и расчетами обосновывают положение о слоистой структуре астеносферы. По их данным, мощность двухфазового слоя с сообщающимися порами не может превышать некоторой предельной величины, при достижении которой у кровли слоя происходит гидроразрыв скелета породы поровым давлением каверн, заполненных расплавом. Выше поверхности гидроразрыва могут существовать лишь изолированные магматические камеры в однофазной среде. Еще выше может вновь появиться слой двухфазной среды с сообщающимися порами и т.д. Таким образом, астеносфера может иметь слоистое строение с чередованием двухфазных и квазиоднофазных слоев. В двухфазных слоях может происходить вертикальная фильтрация магмы. В кровле слоев расплав локализуется в каверны, соединяющиеся в систему горизонтальных каналов. Допускается существенно горизонтальная миграция магмы. При этом она может скапливаться в зонах глубинных разломов, в случае если они проникают в астеносферу и создают в ее пределах области пониженного давления. Таким механизмом можно объяснить, в частности, образование вулканических очагов, питающихся из астеносферы.

Идея слоистого строения астеносферы находит подтверждение в сейсмических материалах. Так, в переходной зоне Азиатского материка к Тихому океану, по данным Р.З. Тараканова и Н.В. Левого, выделяются четыре обособленных астеносферных слоя на глубинах 65-90, 120-160, 230-300 и 370-430 км.

В последние годы были получены дополнительные доказательства слоистого строения астеносферы. Изучение сейсмических явлений при подземных ядерных взрывах, проведенных в российском Центре ГЕОН, показало, что в верхней мантии территории России (районы Западной и Центральной Сибири) фиксируется, по крайней мере, три слоя с пониженной скоростью сейсмических волн на глубинах 75-115 км, 140-170 км и 200-260 км (рис. 5). Ученые Центра (А.В. Егоркин и др.) объясняют это явление химической зональностью верхней мантии. По их мнению, слои с пониженной скоростью сложены пиролитом (т.е. исходным веществом мантии), а слои с повышенной скоростью - тугоплавкими компонентами (дунит, перидотит), которые выделялись в результате частичного плавления пиролита. В первом случае Vр = 8,02-8,23 км/с, во втором - 8,34-8,60 км/с.

Рис. 5. Скорости продольных волн в верхней мантии для районов Западной и Центральной Сибири (А.В. Егоркин, 2002).

Доказательная картина наличия латеральных неоднородностей и внутренней расслоенности верхней мантии быта получена глубинным сейсмическим зондированием на сверхдлинных геотраверсах через Северную Европу (рис. 6). На приводимом рисунке четко выделяются три астеносферных слоя с пониженной скоростью сейсмических волн. Принципиально сходная картина установлена также в верхних 150 км мантии на северо-западе Тихого океана.

Приведенные факты позволяют считать реальностью идею слоистого строения астеносферы, хотя причины этого явления окончательно еще не понятны.

Рис.6. Скоростная структура верхней мантии в пределах Балтийского щита и каледонид Норвегии по данным ГСЗ на сверхдлинном профиле FENNOLORA.

- земная кора, 2 - мантийные астенослои, 3 - глубинные границы, 4 - скорости продольных волн.

Наиболее отчетливо астеносферный слой выделяется в горноскладчатых областях и в районах островных дуг; на платформах, в особенности под щитами, он выделяется нечетко.

По мнению И.П. Косминской, четкость сейсмического проявления астеносферы определяется ее насыщенностью областями пониженных скоростей, которые не представляют собой непрерывных слоев, а образуют линзовидные прерывистые тела.

2. Влияние астеносферы на явление изостазии

Все крупные поверхностные структуры Земли (горные сооружения, океанские впадины и т.п.) почти идеально изостатически скомпенсированы. Если бы это условие не выполнялось, то, во-первых, реальная фигура Земли (геоид) существенно отличалась бы от теоретической модели (референц-эллипсоида), и, во-вторых, на поверхности Земли наблюдались бы интенсивные региональные гравитационные аномалии, отражающие избыток или дефицит масс поверхностных структур.

Строго говоря, почти идеальная изостатическая компенсация крупных структур земной поверхности означает, что они в незначительной степени все же отклоняются от состояния полного архимедова равновесия, но стремятся к нему. Это стремление проявляется прежде всего как реакция на внешнюю (поверхностную) нагрузку. Крупные участки земной поверхности погружаются, если их вес увеличивается (например, за счет накопления осадков), и воздымаются, если их вес уменьшается (например, за счет таяния ледников). Восстановление изостатического равновесия происходит по геологическим меркам чрезвычайно быстро - за первые десятки тысяч лет. Поэтому для каждого интервала геологической истории (в том числе для современного) характерна почти идеальная изостатическая компенсация крупных поверхностных структур глубинными плотностными неоднородностями.

Феномен изостазии был бы невозможен, если бы в глубинах Земли не существовал глобально выраженный ослабленный слой (точнее, сферическая оболочка), ведущий себя в геологических масштабах времени как вязкая жидкость. Отсюда вытекает представление о наличии в верхней мантии Земли реологической границы, отделяющей вышележащую литосферу от подстилающей астеносферы.

С существованием астеносферы связывают явление изостазии, которое выражается в стремлении литосферы к равновесному состоянию. Существует два способа осуществления изостазии (рис. 7). Первый состоит в том, что горы обладают корнями, погруженными в мантию, и изостазия обеспечивается вариациями мощности земной коры (модель Дж. Эри). В этом случае нижняя поверхность коры обладает обратным рельефом по отношению к земной поверхности. Возникают так называемые «корни гор».

Рис. 7. Схемы изостатического равновесия земной коры (а - по Дж. Эри, б - по Дж. Пратту). Цифрами указана плотность.

Модель Дж. Пратта дает другое объяснение изостазии: участки повышенного рельефа должны быть сложены менее плотными породами, а районы с пониженным рельефом - более плотными. Подошва земной коры должна иметь горизонтальный характер.

На самом деле уравновешенность континентов и океанов достигается сочетанием обоих механизмов. Гравиметрические исследования показывают, что в целом поверхность нашей планеты находится в состоянии, близком к равновесному. Астеносфера и является тем пластичным слоем, который выравнивает давления разновысотных и разноплотностных блоков литосферы. Примерно на глубине 100 км давление литосферы оказывается одинаковым вне зависимости от рельефа местности. Однако, по данным М.Е. Артемьева, имеется отклонение от этого правила. В частности, существенными изостатическими аномалиями обладают подвижные пояса земного шара, прежде всего, островные дуги и сопряженные с ними глубоководные желоба.

. Тектонические движения

Во второй половине прошлого столетия делаются попытки выработать генетическую классификацию тектонических движений, положив в основу уровни их зарождения (классификации Н.И. Николаева, В.Е. Хаина). С учетом этих взглядов в основу современных классификаций тектонических движений целесообразно положить их деление на вертикальные и горизонтальные с последующим подразделением по уровню их зарождения. При определении этого уровня предлагается исходить из особенностей внутреннего строения планеты, памятуя, что в недрах Земли находятся два пластичных и чрезвычайно важных в тектоническом отношении слоя - астеносфера и слой D".

Логично допустить, что именно эти два слоя, в силу специфического состояния слагающего их вещества, являются базовыми при возникновении тектонических движений. Тогда можно предложить выделять следующие типы тектонических движений (как вертикальных, так и горизонтальных): поверхностные, глубинные, сверхглубинные и планетарные (?).

Поверхностные движения проявляются в осадочном слое литосферы. В его составе широко развиты пластичные породы: глины, каменная соль, гипс, способные под действием горного давления перемещаться в пространстве, приводя к изменению геологической структуры вышезалегающих осадочных отложений. В пределах осадочного слоя протекают также процессы уплотнения осадков при литификации, или разбухания при гидратации, гравитационного соскальзывания, что также приводит к возникновению поверхностных движений. Среди них можно выделить как вертикальные, так и горизонтальные движения. Несмотря на различия в причинах возникновения и направленности действия, все поверхностные движения объединяет то, что они существуют в пределах одной области проявления, а именно, в пределах осадочного слоя литосферы. По своей природе это атектонические движения, обусловленные действием факторов, главным образом, внешней динамики Земли.

Глубинные движения проявляются в пределах астеносферы и литосферы (включая и ее осадочный слой). Их проявление индуцируется из астеносферы и может вызываться явлением изостазии, фазовыми переходами вещества, различными изменениями, происходящими в этом пластичном слое верхней мантии. Определенное влияние на возникновение и проявление глубинных движений могут оказывать и внешние, ротационные силы, возникающие при изменении угловой скорости вращения Земли. В результате проявления вертикальных глубинных движений происходит дифференциация континентов и океанов, платформ и геосинклиналей на положительные и отрицательные структурные элементы различных порядков. Горизонтальные глубинные движения могут проявляться по границам различных слоев литосферы и приводить к образованию взбросов, надвигов, сдвигов, пластичных складчатых форм.

Сверхглубинные движения возникают в низах мантии, по-видимому, в слое D. Возможными причинами их возникновения можно считать процессы дифференциации мантии с выделением из нее тяжелых железосодержащих соединений, «стекающих» в ядро Земли. Планетарные движения охватывают планету в целом. Зарождение их происходит в земном ядре, а возможной причиной следует рассматривать изменение объема ядра.

. Астеносферные течения и силы, движущие литосферные плиты

Конвекционную ячейку в мантии следует рассматривать как структуру, состоящую из субвертикальных восходящих и нисходящих потоков и замыкающих их субгоризонтальных потоков, проходящих в слое D" и астеносфере (рис. 8).

Рис. 8. Качественная картина возможных течений под океанами и континентами («Геофизика океанов», 1979).

- эпюры скоростей в астеносфере; 2 - то же, в мантии; 3 - направление течений в переходном слое ядро-мантия

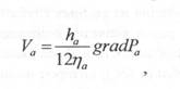
Такие структуры конвекционной ячейки определены тем, что слой D" и астеносфера обладают существенно более низкой вязкостью по сравнению с окружающей мантией. Это приводит к тому, что через тонкий астеносферный слой будет протекать большая часть вещества, принесённого восходящим мантийным потоком. Движение вещества происходит путём его фильтрации через перидотитовую матрицу астеносферы. Скорость фильтрации (Vа) можно оценить исходя из существования градиента избыточного давления Ра по вертикальному сечению астеносферы:


где hа - толщина,

При grad Ра ~ 10-1 дин/см3, hа ~ 100 км, Ƞа ~ 1020 П получим Vа ~ 10 см/год.

Астеносферное течение за счёт сил вязкого трения увлекает за собой литосферные плиты, которые стремятся переместиться из областей восходящих субвертикальных мантийных потоков к местам существования нисходящих потоков. Учитывая, что мощность астеносферы значительно возрастает под океанами и сокращается под континентами, можно утверждать, что под океаническими плитами астеносферные потоки будут более скоростными и, соответственно, увеличится скорость перемещения океанических плит по сравнению с континентальными или смешанными плитами.

Кроме сил вязкого трения со стороны астеносферных течений литосферные плиты испытывают динамические напряжения ещё по двум причинам: во-первых, под действием сил соскальзывания со склонов срединно-океанических хребтов и, во-вторых, под влиянием тянущей силы, погружающейся в мантию океанической плиты.

При соскальзывании океанической плиты со склонов срединноокеанических хребтов (с выступов горячей мантии над восходящим мантийным потоком) возникают давления сжатия. Последнее можно оценить по условию гидростатического равновесия, считая, что на подошве плиты отсутствует трение. В этом случае на торец соскальзывающей плиты будет давить тяжесть вышележащих участков. Избыточное давление сжатия (ΔP), действующее на сечение плиты, опущенное на глубину Δh по сравнению с уровнем гребня срединноокеанического хребта, можно определить как:

ΔР = Δh *Δpg ,

где g - ускорение силы тяжести,

Δp=pa-pв, а = 3,2 г/см3 - средняя плотность астеносферы,

рв = 1 г/см3 - плотность океанической воды.

Для плит возрастом более 108 лет и Δh = 3,5 - 4 км избыточное давление (ΔP) будет равно 800 - 900 кг/см2 и приближается к пределу прочности литосферы (~1 т/см2).

Ещё большее значение имеет тянущая сила, возникающая при погружении в мантию более холодной и более тяжёлой океанической плиты. Если океаническая литосфера в зоне поддвига погрузилась на глубину h, то за счёт большей плотности её холодных пород по сравнению с плотностью более горячего вещества мантии (Δр = 0,1 г/см3) возникнет отрицательная архимедова сила. Она создаёт в приповерхностном сечении литосферы избыточное напряжение (ΔР) порядка

ΔР = -hΔpg sin β ,

где β - угол падения зоны поддвига.

Если принять h примерно 600 км, то напряжение растяжения в океанической литосфере перед глубоководным желобом может достигать 3 - 6 т/см2.

Тянущая сила погружающейся литосферной плиты будет существенно возрастать при образовании «эклогитового наконечника» При повышении давления в верхней мантии и при относительно низких температурах базальт и его крупнокристаллическая разность габбро способны переходить в новую породу - эклогит. Плотность последнего составляет 3,3 - 3,5 г/см3, тогда как плотность верхней мантии не более 3,2 г/см3. Поэтому на погружающейся океанической литосферной плите создаются растягивающие усилия, достаточные для того, чтобы нарушить её целостность и образовать систему сбросов (рис. 9).

Рис. 9. Структуры растяжения (сбросы и грабены) на океанском борту Чилийско-Перуанского желоба у северных берегов Чили, 23ОI5' ю.ш. (по У. Швеллеру и Л. Кульму, 1978)

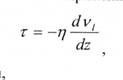
На погружающуюся плиту будут оказывать препятствующее действие силы трения и силы сопротивления мантийной материи. При этом возникает касательное напряжение торможения (τ):


где η - вязкость мантии, - скорость движения литосферной плиты, - координата оси, направленной перпендикулярно к поверхности мантии.

Силы сопротивления по оценке Д. Тёркота и Дж. Шуберта примерно сопоставимы с величиной гравитационного соскальзывания плиты со срединно-океанического хребта. Поэтому большинство учёных считают, что тянущие силы погружающейся плиты являются определяющими в системе динамических напряжений, которые испытывают литосферные плиты и которые определяют их скорость движения. Существует эмпирическая зависимость скорости движения литосферных плит от доли периметра плиты, которая приходится на зоны субдукции. Максимальные скорости перемещения присущи четырём плитам Тихого океана, которые имеют наибольший процент субдукцирующей границы, а также для Индийской плиты, восточная граница которой имеет субдукционный характер и тяготеет к Тихоокеанскому субдукционному кольцу.

. Влияние астеносферных течений на формирование окраинных морей

Характерным геоморфологическим элементом конвергентных границ является окраинное (краевое) море, которое возникает между островной дугой и континентом. Примером их служат Охотское, Японское, Филиппинское, Восточно- и Южно-Китайское, Карибское и другие моря. Строение коры окраинных морей океаническое или субокеаническое, часто бывает существенно увеличина мощность первого (осадочного), а иногда и третьего (габбро-серпентинитового) слоев. Общая мощность коры до 35 км. В структуре окраинных морей выделяют два основных элемента: прогиб, расположенный сразу же за вулканической островной дугой (междуговой прогиб, по Д. Каригу), и подводные гряды (третья дуга, по Д. Каригу). Междуговой прогиб, шириной около 200 км, ограничен по краям сбросами. Мощность осадочного чехла не превышает первых сотен метров. Третья дуга сложена вулканическими породами, среди которых встречается много кислых разностей (андезиты, дациты). В остальной части окраинных морей мощность чехла существенно возрастает иногда до 15 - 20 км.

Различные окраинные моря развиваются либо в условиях растяжения (дуга отдаляется от континента), либо в условиях сжатия (дуга приближается к континенту). Геодинамические особенности формирования окраинных морей определяются главным образом способом их образования и размерами субдуцирующей литосферы.

На происхождение окраинных морей имеются различные точки зрения. Их возникновение объясняется расклинивающим действием мантийных диапиров, астеносферными течениями, наведенной задуговой конвекцией, процессами формирования новых островных дуг одна из наиболее популярных моделей возникновения окраинных морей является модель Карига (рис. 10). Раскрытие окраинных морей объясняется расклинивающим действием мантийных диапиров, поднимающихся в тылу островных дуг благодаря разогреву и тепловому разуплотнению мантийного вещества при трении литосферных плит в зоне ВЗБ.

Рис. 10. модель Карига (рис. выделения, условия формирования, роль в геологических процессах). Модель мантийного диaпира (1), на которой показано положение изотерм (2) и зоны Заварицкого-Беньофа (3) (по д. Каригу)

По модели Паккэма и Фалви, краевые моря образуются за счет Отодвигания зоны субдукции от континентальной окраины под влиянием давления, выходящих из-под неё астеносферных течений, на верхнюю часть опускающейся ветви пододвигаемой плиты. Обычно это происходит в тех случаях, когда взаимная скорость сближения смежных плит сравнительно невелика (менее 3 - 5 см/год), а пододвигаемая плита является достаточно древней и поэтому характеризуется средней плотностью, заметно превышающей плотность подстилающего плиты мантийного вещества. В этом случае из-за гравитационной неустойчивости океаническая плита в зоне субдукции под собственной тяжестью не только соскальзывает в мантию, но и как бы «проваливается» в нее, постепенно отступая от фронтальной островной дуги. Этому процессу могут способствовать также астеносферные течения, если они направлены из-под тылового бассейна и поэтому способствуют отодвиганию опускающейся плиты в сторону от островной дуги. Такое отжимание субдуцируемой плиты от тела островной дуги, естественно снижает давление действующее на фронтальную зону островной дуги, тогда как в её тылу гидростатическое давление сохраняется прежним. В результате, возникает довольно значительный перепад давлений (ΔР) между тыловыми и фронтальными участками островной дуги:

ΔP = h(pa - pw)g ,

где pа - плотность астеносферного вещества,

pw - плотность воды, - ускорение силы тяжести, - превышение уровня подъема астеносферы в задуговом бассейне над уровнем пластичного «излома» пододвигаемой плиты под островной дугой (h = 15 - 20 км)

В реальных условиях ΔP достигает значение порядка тонны на см2 - это то избыточное давление, которое и приводит к расколам литосферы в тылу островной дуги и к возникновению там явления задугового спрединга. Это заставляет тело островной дуги прижиматься к погружающейся в мантию океанической плиты и следом за ней перемещаться в сторону открытого океана.

Интересно отметить, что если со временем скорость сближения плит (VL) , будет меняться, то изменятся и режимы развития задуговых бассейнов: при VL < VО задуговой бассейн будет устойчиво расширяться, а при VL > УО наоборот, - закрываться с образованием структур торошения и надвигов офиолитовых покровов на тыловые части островной дуги или на противоположный борт задугового бассейна. По-видимому, многие из офиолитовых покровов горных областей планеты образовались именно таким путем. Модель наведенной задуговой конвекции для объяснения возникновения окраинных морей предлагается Л.И. Лобковским И О.Г. Сорохтиным. По их мнению, под островной дугой в астеносфере может возникнуть вторичная наведенная конвекция, которая возбуждается движениями через этот слой океанической плиты, вовлекающий в нисходящий поток и примыкающие к ней объемы астеносферного вещества (рис. 11). Наведенные астеносферы течения 6удут отклоняться в сторону от направления движения самой плиты. Отток вещества из пограничных с опускающейся плитой участков астеносферы на её подошве будет компенсироваться возникновением вторичных течений вблизи её кровли. В результате, в угловой зоне между подошвой надвигаемой плиты и наклонной поверхностью опускающейся плиты возникнут вторичные, наведенные конвекционные движения по замкнутым траекториям (см. рис. 11). Тепловое и динамическое воздействия наведенной конвекции на вышерасположенную литосферную плиту приводят к её проплавлению и разогреву с раскрытием линии рифтовой долины, вдоль которой начнется процесс спрединга (Филиппинское море).

Рис. 11. Модель строения зоны поддвига плит, иллюстрирующая возникновение вторичной локальной конвекции в слое астеносферы под окраинным бассейном в тылу островной дуги (Геофизика океана, 1979)

АА - зона сдвиговых пластических деформаций в области резкого излома пододвигаемой плиты;

ВВ - наклонный раскол в переднем крае надвигаемой плиты, по которому выводятся жидкие магмы на поверхность: заштрихована зона пластических (сдвиговых) деформаций и расколов литосферы окраинного бассейна, возникающих в условиях интенсивного сжатия.

Заключение.

Таким образом, астеносфера, с одной стороны, служит генератором тектонической активности литосферы, поскольку в ее пределах происходит движение магматических масс, с другой стороны, - это область затухания движений литосферы, своеобразный амортизатор, «смягчающий» проявление в литосфере активности глубинных недр Земли. Учитывая высокую тектоническую активность астеносферы, инициирующую роль в возникновении тектонических движений, землетрясений, магматизма, ее, совместно с литосферой, объединили в тектоносферу. Поскольку астеносфера с субстратом заполняли практически всю верхнюю мантию, то в традиционных моделях строения Земли под тектоносферой понимали земную кору с верхней мантией до глубины 410 км. Ю.М. Пущаровский считает, что понятие «тектоносфера» должно быть расширено. Оно должно относиться не только к земной коре и верхней мантии, но включать в себя мантию полностью, поскольку тектонические, структурообразующие движения присущи всем подразделениям мантии. Таким образом, тектоносфера в современном понимании - это земная кора и вся мантия в целом.

Список использованной литературы

1. Гаврилов В.П. Геотектоника: Учебник для вузов. - М.: ФГУП Изд-во «Нефть и газ» РГУ нефти и газа им. И.М. Губкина, 2005. - 368 стр.

. Гаврилов В.П. Геодинамика: Учебник для вузов. - М.: МАКС Пресс, 2007. - 346 с.

. Хаин В.Е., Михайлов А.Е. Общая геотектоника: Учебное пособие для вузов. - М.: Недра, 1985, 326 с.

. Конспект лекций по геодинамике. Гаврилов В.П.

. Конспект лекций по геотектонике. Гаврилов В.П.

Похожие работы на - Выращивание щенков породы Ши-Тцу после полутора месяцев

 

Не нашли материал для своей работы?
Поможем написать уникальную работу
Без плагиата!
Без нейросетей!