Глазные поражения при герпесвирусной инфекции кошек
Федеральное
агентство по образованию и науке
Пензенский
Государственный Университет
Кафедра
Высшей и Прикладной математики
Курсовой
проект
по
дисциплине
«Теория
приближения функций»
на
тему
«Теорема
Котельникова и поперечники в среднем»
Теоретическая часть
В настоящее время все радиоэлектронные системы,
включая системы телефонии, радиовещания и телевидения, переходят на цифровой
режим работы. Поэтому преобразование различных аналоговых сигналов для их
обработки в цифровой форме (проблема дискретизации) требует фундаментального
математического обоснования для всевозможных классов детерминированных и
случайных сигналов с тем, чтобы разработчики таких систем могли уверенно
пользоваться цифровыми сигналами и их преобразованиями в различных радиоэлектронных
устройствах и компонентах.
Теорема отсчетов для цифровой обработки
случайных сигналов
Дискретизация детерминированных сигналов с
ограниченной энергией в соответствии с теоремой Котельникова-Шеннона получила в
1960-х годах твердую теоретическую базу, а также многочисленные обобщения на
основе математической теории гильбертовых пространств с воспроизводящими
ядрами. Однако дискретизация случайных сигналов, например, речевых и
телевизионных, до сих пор не нашла удовлетворительного для прикладных целей
математического обоснования, что приводит на практике к неправомерному
применению теоремы отсчетов и некорректным ее интерпретациям при цифровой
обработке сигналов.
Теорема отсчетов Котельникова-Шеннона и ее
обобщения
Прикладная проблема дискретизации сигналов
развивалась значительно позднее, чем математическая проблема интерполяции
функций. В результате решения последней получены интерполяционные формулы
Ньютона, Стирлинга, Лагранжа, Гаусса, Бесселя, Эверетта, Стеффенсена и др. О.
Коши в 1841 г. и Э. Борель в 1897 г. рассматривали интерполяционные ряды вида:
(1)
Однако первым, кто осознал важность
представления (1) для прикладной математики и провел достаточно подробные
исследования свойств ряда (1), был шотландский математик Эдмунд Уиттекер.
Он показал, что если некоторая
неизвестная функция f(t) задана своими эквидистантными отсчетами fn = f (a+nΔt) в
бесконечной совокупности точек (…, a-Δt, a, a+Δt, …), то
среди бесконечного множества функций, которые можно провести через совокупность
отсчетов (…, f-1, f0, f1, …), существует функция, не имеющая разрывов второго
рода (сингулярностей) и быстрых осцилляций между отсчетными точками. Такую
функцию C(t) Уиттекер назвал основной, или кардинальной функцией (cardinal function):
(2)
где sinc x =
(sin x)/x.
Например, если a = 0 и fn = (-1)n,
то
(3)
При этом формулу (3) нельзя
рассматривать как применение теоремы отсчетов Котельникова-Шеннона к функции
cos(2πFt) при F =
1/(2Δt),
поскольку при a = Δt/2: fn = cos[π (a+nΔt)/Δt] = cos[π(n+1/2)] = 0
для любого значения n, и ряд (2) тождественно равен нулю. Дальнейшие свойства
кардинальных функций исследовал в 1925-1927 гг. ученик Уиттекера - У. Феррер.
Он обнаружил у кардинальных функций
замечательное свойство «самосогласованности».
Теорема Котельникова-Шеннона
Пусть сигнал s(t) обладает
ограниченным по частоте (финитным) спектром:
при
Тогда сигнал s(t) может быть
однозначно представлен в виде ряда Э. Уиттекера:
(4)
где sn = s(a+nΔt)- отсчет
функции s(t) в точке tn = a+nΔt; a - произвольное действительное
число; Δt = 1/Fд -
интервал дискретизации (Fд ≥ 2Fm). Функция sinc x = (sin x)/x в
теории сигналов называется функцией отсчетов, а ряд (6) в каждой точке t
сходится среднеквадратически.
При этом
где Ωm
≡ 2πFm, Δt
≤ 1/(2Fm). Поскольку величину Δtн
= 1/(2Fm) назвали интервалом Найквиста, то в теореме Котельникова-Шеннона
интервал дискретизации Δt должен
удовлетворять неравенству Δt
≤
Δtн.
Шеннон в фундаментальной статье приводит пример
«белого шума» с финитной спектральной плотностью мощности (Wξ(ω)
= N0 ≤ 2πFm), имеющего в
качестве своих реализаций функции вида
где случайные коэффициенты an
распределены по закону Гаусса и независимо друг от друга со средним a-n = 0 и с
дисперсией σn2 = N0.
Однако обобщения теоремы отсчетов на случайные процессы ξ(t) Шеннон
не приводит.
Классификация сигналов
Непрерывные сигналы описываются непрерывными
функциями времени. Мгновенные значения таких сигналов изменяются во времени
плавно, без резких скачков (разрывов). Пример временной диаграммы непрерывного
сигнала приведен на рис.5.2а. Сигналы, временные диаграммы которых изображены
на рис.5.1, не являются непрерывными, поскольку их мгновенные значения в
некоторые моменты времени изменяются скачками. Многие реальные сигналы являются
непрерывными. К таковым можно отнести, например, электрические сигналы при
передаче речи, музыки, многих изображений.
Рис. 5.1 График реализации телеграфного сигнала
а)
б)
в)
г)
Рис. 5.2 Дискретизация, квантование непрерывного
сигнала: а - непрерывный сигнал; б - дискретный по времени (импульсный) сигнал;
в - дискретный по времени и по значениям (цифровой) сигнал; г - ошибка
квантования.
Сигналы с дискретным временем. Их можно получить
из непрерывных, выполняя над последними специальное преобразование, называемое
дискретизацией по времени. Смысл этих преобразований проиллюстрируем с помощью
временных диаграмм, приведенных на рис.5.2. Будем считать, что можно измерить
мгновенные значения сигнала u(t) в моменты времени Δt,
2Δt, 3Δt…; Δt называют интервалом
дискретизации по времени. Измеряемые значения u(Δt),
u(2Δt), u(3Δt) отмечены на рис.5.2а точками. По
этим значениям можно сформировать последовательность коротких прямоугольных
импульсов, длительность которых одинакова и меньше интервала дискретизации Δt,
а
амплитуды равны измеренным значениям сигнала u(t). Последовательность таких
прямоугольных импульсов изображена на рис.5.2б и часто называется импульсным
сигналом или сигналом с дискретным временем. Такой сигнал будет обозначен
символом uΔ(t). Отметим, что шаг
дискретизации по времени здесь постоянен и равен Dt, а амплитуда каждого
импульса равна мгновенному значению сигнала u(t) в соответствующий момент
времени. Поскольку непрерывный сигнал u(t) в выделенные моменты времени может
принимать любые значения, то и амплитуды импульсов импульсного сигнала,
полученного из непрерывного путем дискретизации по времени, также могут
принимать любые значения: На рис.5.2б значения амплитуд импульсов указаны с
точностью лишь до одного десятичного знака после запятой. Для точного указания
значения амплитуд импульсов может потребоваться неограниченное число десятичных
знаков после запятой, т.е., значения амплитуд импульсов заполняют непрерывно
некоторый интервал. Поэтому амплитуды импульсов сигнала uΔ(t)
иногда
называют непрерывными величинами.
Цифровые сигналы. Как будет показано в
дальнейшем, при передаче импульсных сигналов в электросвязи часто применяют
специальное преобразование, состоящее в следующем. Предположим, что при
передаче каждый импульс может иметь амплитуду лишь с разрешенным значением.
Число разрешенных значений амплитуд импульсов конечно и задано.
Например, на рис.5.2 в разрешенные значения
амплитуд пронумерованы цифрами 1, 2, 3, …; величина Δu
равна
разности между любыми двумя соседними разрешенными значениями амплитуд. Если
истинное значение амплитуды импульса сигнала uΔ(t), подлежащее
передаче, попадает между разрешенными значениями, то амплитуду передаваемого
импульса принимают равной разрешенному значению, являющемуся ближайшим к
истинному. Такое преобразование называют квантованием, совокупность разрешенных
значений амплитуд передаваемых импульсов называют шкалой квантования, а
интервал Δu между соседними
разрешенными значениями - шагом квантования. Например, на рис. 2в разрешенные
значения амплитуд импульсов приняты равными целым числам 0; 1; 2; 3 и образуют
равномерную шкалу квантования, которая может быть продолжена и на область
отрицательных значений сигнала u(t); при этом шаг квантования Δu=1.
Последовательность импульсов, полученная в
результате квантования импульсов сигнала uΔ(t), также
является импульсным сигналом, для которого введем обозначения uΔ(t).
Особенность этого сигнала состоит в том, что амплитуды импульсов теперь имеют только
разрешенные значения и могут быть представлены десятичными цифрами с конечным
числом разрядов. Такие сигналы называют дискретными или цифровыми. Квантование
приводит к ошибке квантования e(t) = uΔ(t) - uΔ(t).
На
рис.5.2г приведен пример временной диаграммы ошибки е(t). Передача цифрового
сигнала uΔ(t) вместо сигнала
uΔ(t)
фактически
эквивалентна передаче импульсного сигнала uΔ(t) с
предварительно наложенным на него сигналом ошибки е(t), который в этом случае
может рассматриваться как помеха. Поэтому е(t) часто называют помехой
квантования или шумом квантования.
Теорема Котельникова. Поскольку дискретные
сигналы широко используют в настоящее время при передаче сообщений, а многие
реальные сигналы являются непрерывными, то важно знать: можно ли непрерывные
сигналы представлять с помощью дискретных; можно ли указать условия, при
которых такое представление оказывается точным.
Ответы на эти вопросы дает доказанная в 1933 г.
советским ученым В.А. Котельниковым теорема, являющаяся одним из
фундаментальных результатов теоретической радиотехники. Эта теорема
формулируется следующим образом: если непрерывный сигнал u(t) имеет
ограниченный спектр и наивысшая частота в спектре меньше, чем fв герц, то
сигнал u(t) полностью определяется последовательностью своих мгновенных
значений в дискретные моменты времени, отстоящие друг от друга не более чем на
1/(2fв) секунд.
Смысл теоремы Котельникова поясним с помощью
временных диаграмм, приведенных на рис.5.2а. Пусть это будет часть временной
диаграммы сигнала u(t) с ограниченным спектром и с верхней граничной частотой
fв. Если интервал дискретизации Δt<2 fв,
то в теореме утверждается, что по значениям u(Δt),
u(2Δt), u(3Δt),… можно определить точное
значение сигнала u(t) для любого заданного момента времени t, находящегося между
моментами отсчета. В соответствии с этой теоремой сигнал с ограниченным
спектром и верхней частотой wв<=wΔ/2 можно
представить рядом
(2)
где u(nΔt), n=…-1, 0,
+1,… - отсчеты
мгновенных значений сигнала и(t), wΔ = 2¶fΔ ,
fΔ=ЅΔt
- частота
дискретизации по времени.
Ряд 2 имеет бесконечное число слагаемых, так что
для вычисления значения сигнала u(t) в момент времени t необходимо знать
значения всех отсчетов и(nΔt), n=…-1, 0, +1, … как
до, так и после указанного момента t. Точное равенство в (2) достигается,
только когда учитываются все слагаемые; если ограничиться конечным числом
слагаемых в правой части (2), то их сумма даст лишь приближенное значение
сигнала u(t).
Представление сигнала u(t) рядом (2)
иллюстрируется с помощью рис.5.3, на котором изображены временные диаграммы
сигнала u(t) и трех слагаемых ряда (2).
Рис.5.3 Представление сигнала с ограниченным
спектром рядом Котельникова
Таким образом, теорема Котельникова указывает
условия, при которых непрерывный сигнал может быть точно восстановлен по
соответствующему ему сигналу с дискретным временем. Реальные непрерывные
сигналы, подлежащие передаче, как правило, имеют спектры хотя и довольно быстро
стремящиеся к нулю с ростом частоты, но все же неограниченные. Такие сигналы
могут быть восстановлены по своим дискретным отсчетам лишь приближенно. Однако,
выбирая шаг дискретизации Δt достаточно
малый, можно обеспечить пренебрежимо малое значение ошибки восстановления
непрерывного сигнала по его переданным отсчетам в дискретные моменты времени.
Например, при передаче телефонного сигнала, спектр которого неограничен, обычно
принимают, что условная верхняя граничная частота fв = 3,4 кГц. В этом случае
получаем, что частота дискретизации должна удовлетворять неравенству fΔ
<6,8
кГц, т.е. в одну секунду должно передаваться 6,8 тысяч отсчетов. Качество
передачи речи при этом оказывается вполне удовлетворительным.
Увеличение частоты дискретизации сверх
указанного значения допустимо и приводит к незначительному повышению точности
восстановления телефонного сигнала. Если же принять fΔ<6,8
кГц,
то точность восстановления телефонного сигнала заметно падает.
Дискретизация непрерывной функции
При дискретизации непрерывной функции возникает
вопрос, как выбрать интервал дискретизации, чтобы не происходила потеря
информации, т.е. чтобы по дискретизованной версии можно было бы восстановить
исходную непрерывную функцию. Для функций, имеющих фурье-образ, отличный от
нуля только на ограниченном интервале, ответ на этот вопрос дает теорема
Котельникова, называемая также теоремой отсчетов.
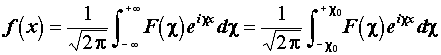
Теорема Котельникова. Если непрерывная,
ограниченная
на функция
имеет
фурье-образ
, отличный от нуля только на
интервале
, то она может быть точно
представлена по своим дискретным отсчётам, разделёнными интервалом
дискретизации
, в виде ряда
.
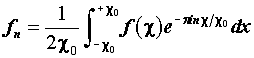
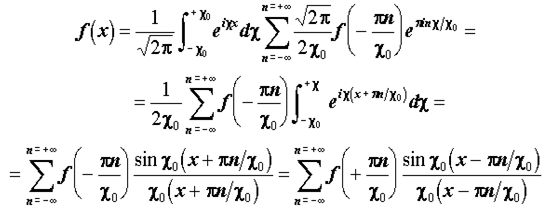
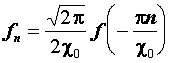
Приведем доказательство, принадлежащее самому
В.А.Котельникову.
Запишем
через
обратное преобразование Фурье

,
где
.
Сравнивая
и
,
находим
.
Следовательно,
что и составляет утверждение теоремы
Котельникова. Заметим, что вместо
можно
взять любое
.
Постановки задач теории приближения.
Основные характеристики наилучших приближений
Теория приближения - это ветвь математического
анализа, призванная исследовать способы преобразования в конечную той
бесконечной информации, которая заложена в понятие функции. Как самостоятельная
часть математики она ведет начало с мемуара П.Л.Чебышева 1854, хотя отдельные
вопросы, касающиеся приближения функций рассматривались ранее Эйлером, Гауссом,
Лежандром, Понселе и другими математиками XVIII-XIX
вв.
На первом этапе развития теории изучались
приближения конкретных функций при помощи фиксированного аппроксимирующего
множества, как правило, при помощи полиномов или рациональных дробей.
Задача о приближении индивидуального
элемента фиксированным аппроксимирующим множеством.
Пусть (
) -
метрическое пространство с расстоянием
, А - подмножество Х. Задача о приближении
элемента
множеством А
состоит в отыскании величины
Величину
часто
называют расстоянием от х до А.
Элемент
, для
которого
=
, называется
экстремальным элементом или элементом наилучшего приближения для х.
Пусть
есть некоторая совокупность аппроксимирующих
множеств А. Рассмотрим величину
Наиболее распространены два класса
аппроксимирующих множеств:
а ) класс
всех
линейных многообразий размерности
,
б ) класс
всех
точечных множеств, число элементов в которых не превосходит
.
Величину
обозначают
через
и называют N-поперечником
по Колмогорову.
Определение поперечников
Приближения класса функций
конкретным
способом аппроксимации не дает решения проблемы наилучшего приближения класса
функций n-мерным
аппаратом приближения. Естественно возникает задача построения для каждого
класса функций
наилучшего
способа аппроксимации.
Пусть В - банахово пространство, А и
- два
множества в пространстве В. Отклонением элемента
от множества
называется величина
Отклонением множества
от множества
называется
величина
Данное определение можно записать в
виде
Пусть В - банахово пространство,
,
- множество
-мерных
линейных подпространств пространства В. Пусть
, т.е. некоторое
-мерное линейное подпространство пространства В.
Пусть
,
- базис
подпространства
. Тогда
- точность
аппроксимации Х линейными комбинациями вида
, где
- вещественные или комплексные числа в
зависимости от вида пространства В. Нижняя грань чисел
, когда
пробегает
все множества
-мерных
линейных подпространств пространства В и определяет поперечник Колмогорова
Определение 1.1.
Пусть
- множество
-мерных линейных подпространств пространства В.
Выражение

где последний inf берется по
всем подпространствам
размерности
n, определяет
n-поперечник
Колмогорова.
Определение 1.2.
Пусть
. Выражение
где inf берется по
всем непрерывным отображениям П:
, определяет n-мерный
поперечник Бабенко.
Определение 1.3.
Урысоновский поперечник
определяется
равенством
,
где
Размерность компакта Х, согласно утверждению
Урысона, определяется равенством
Для всякого множества,
принадлежащего нормированному пространству Е, выполняется
Позднее, в 1933 году
П.С.Александровым были введены поперечники Александрова-Урысона
и
Александрова
.
Определение 1.4
Полиэдром
называется
объединение локально конечного семейства выпуклых многогранников в n-мерном
пространстве
. Под
выпуклым многогранником понимается пересечение конечного числа замкнутых
полупространств в случае, если это пересечение ограничено, а локальная
конечность семейства означает, что каждая точка
имеет окрестность, пересекающуюся лишь с конечным
числом многогранников.
Определение 1.5
Пусть Х - компакт. Пусть
- класс
всех полиэдров размерности не выше n и
.
Тогда n-поперечник
Александрова-Урысона определяется формулой
где inf берется по
всевозможным парам
, состоящим
из полиэдра
размерности
не выше n и
непрерывного отображения
.
Определение 1.6
Пусть В - банахово пространство, Х -
компакт. Пусть
- класс
всех лежащих в В полиэдров размерности не выше n и
.
Александровский n-поперечник
определяется
формулой
где inf берется по
всевозможным парам
, состоящим
из лежащего в В полиэдра
, не
превосходящего степени n и непрерывного отображения
.
Определение 1.7
Коразмерностью подпространства А
называется величина
.
Определение 1.8
Пусть Х - выпуклое,
центрально-симметричное подмножество в нормированном пространстве Е. Величина
где
- подпространство в Е с
, называется
n-поперечником
множества Х по Гельфанду.
Пусть Е - нормированное пространство
с единичным шаром
m ,
- некоторое
выпуклое, центрально-симметричное подмножество Е. Пусть существует гильбертово
пространство Н, всюду плотное в Е и 
.
Фурье-n-поперечником
множества
называется
величина
где
- ортогональная проекция элемента х на
подпространство на
, а inf берется по
всем подпространствам Н размерности не выше n.
Листинг
программы
;(linalg):(plots)::=1;
амплитуда колебаний:=10; число отсчетов_sr:=N/2; частота среза_is:=0.4;
длительность импульса_max:=1/t_is; граничная частота спектра_t:=1/(2*f_max);
интервал между двумя отсчетными точками:=2*Pi*f_max; наивысшая частота
S:=t->sin(t);(S(i*Delta_t)*sin(omega*(t-i*Delta_t))/(omega*(t-i*Delta_t)),i=-N..N)::=unapply(%,t)::=abs(S(t)-s(t))::=unapply(%,t)::=plot(S(x),x=0..2,linestyle=4,color=red)::=plot(s(x),x=0..2,linestyle=4,color=green)::=plot(SSS(x),x=0..2,linestyle=1,color=black):(pic1,pic2);
display(pic3);
котельников шеннон приближение сигнал
Результаты работы программы
Синусоидальный сигнал (число отсчетов - 12,
длительность импульса - 0.6)
Погрешность
Синусоидальный сигнал (число отсчетов - 20,
длительность импульса - 0.2)
Погрешность
Синусоидальный сигнал (число отсчетов - 10,
длительность импульса - 0.4)
Погрешность
Синусоидальный сигнал (число отсчетов - 20,
длительность импульса - 0.4)
Погрешность
Синусоидальный сигнал (число отсчетов - 10,
длительность импульса - 0.6)
Погрешность
Синусоидальный сигнал (число отсчетов - 20,
длительность импульса - 0.6)
Погрешность
Прямоугольный сигнал (число отсчетов - 10,
длительность импульса - 0.6)
Погрешность
Прямоугольный сигнал (число отсчетов - 26,
длительность импульса - 0.2)
Погрешность
Пилообразный сигнал (число отсчетов - 10,
длительность импульса - 0.4)
Погрешность
Пилообразный сигнал (число отсчетов - 30,
длительность импульса - 0.15)
Погрешность
Вывод
В ходе данной курсовой работы была реализована
программа для восстановления сигнала по его дискретным значениям. Исходя из
результатов выполнения программы, можно сделать некоторые выводы. Реальные
непрерывные сигналы, подлежащие передаче, как правило, имеют спектры, хотя и
довольно быстро стремящиеся к нулю с ростом частоты, но все же неограниченные.
Такие сигналы могут быть восстановлены по своим дискретным отсчетам лишь
приближенно. Но, если выбрать шаг дискретизации достаточно малым, а количество
отсчетов большим, то можно обеспечить пренебрежимо малое значение ошибки
восстановления непрерывного сигнала по его переданным отсчетам в дискретные
моменты времени.
Список используемой литературы
1. Бойков
И.В. «Оптимальные методы приближения», с.39-41
2. Тихомиров
В.М. «Некоторые вопросы приближения функций »
. Худяков
Г. И. Теорема отсчетов теории сигналов и ее создатели Радиотехника и
электроника. 2008. Т. 53. № 9
. Шеннон
К. «Статистическая теория передачи электрических сигналов»