Моделирование как основной метод управления экономикой
КУРСОВАЯ
РАБОТА
Моделирование
как основной метод управления экономикой
ПЛАН:
1.
Сущность моделирования. Основные принципы моделирования
.
Типовые модели макроэкономики
.
Условия реализации модели макроэкономики
1. СУЩНОСТЬ МОДЕЛИРОВАНИЯ. ОСНОВНЫЕ ПРИНЦИПЫ
МОДЕЛИРОВАНИЯ
В силу многозначности понятия «модель» в науке и
технике не существует единой классификации видов моделирования: классификацию
можно проводить по характеру моделей, по характеру моделируемых объектов, по
сферам приложения моделирования (в технике, физических науках, кибернетике и т.
д.). Например, можно выделить следующие виды моделирования:
Информационное моделирование
Компьютерное моделирование
Математическое моделирование
Математико-картографическое моделирование
Молекулярное моделирование
Цифровое моделирование
Логическое моделирование
Педагогическое моделирование
Психологическое моделирование
Статистическое моделирование
Структурное моделирование
Физическое моделирование
Экономико-математическое моделирование
Имитационное моделирование
Эволюционное моделирование
Графическое и геометрическое моделирование и т.
д.
Процесс моделирования включает три элемента:
субъект (исследователь),
объект исследования,
модель, определяющую (отражающую) отношения
познающего субъекта и познаваемого объекта.
Первый этап построения модели предполагает
наличие некоторых знаний об объекте-оригинале. Познавательные возможности
модели обусловливаются тем, что модель отображает (воспроизводит, имитирует)
какие-либо существенные черты объекта-оригинала. Вопрос о необходимой и
достаточной мере сходства оригинала и модели требует конкретного анализа.
Очевидно, модель утрачивает свой смысл как в случае тождества с оригиналом
(тогда она перестает быть моделью), так и в случае чрезмерного во всех существенных
отношениях отличия от оригинала. Таким образом, изучение одних сторон
моделируемого объекта осуществляется ценой отказа от исследования других
сторон. Поэтому любая модель замещает оригинал лишь в строго ограниченном
смысле. Из этого следует, что для одного объекта может быть построено несколько
«специализированных» моделей, концентрирующих внимание на определенных сторонах
исследуемого объекта или же характеризующих объект с разной степенью
детализации.
На втором этапе модель выступает как самостоятельный
объект исследования. Одной из форм такого исследования является проведение
«модельных» экспериментов, при которых сознательно изменяются условия
функционирования модели и систематизируются данные о ее «поведении». Конечным
результатом этого этапа является множество (совокупность) знаний о модели.
На третьем этапе осуществляется перенос знаний с
модели на оригинал - формирование множества знаний. Одновременно происходит
переход с «языка» модели на «язык» оригинала. Процесс переноса знаний
проводится по определенным правилам. Знания о модели должны быть
скорректированы с учетом тех свойств объекта-оригинала, которые не нашли
отражения или были изменены при построении модели.
Четвертый этап - практическая проверка
получаемых с помощью моделей знаний и их использование для построения
обобщающей теории объекта, его преобразования или управления им.
Моделирование - циклический процесс. Это
означает, что за первым четырехэтапным циклом может последовать второй, третий
и т. д. При этом знания об исследуемом объекте расширяются и уточняются, а
исходная модель постепенно совершенствуется. Недостатки, обнаруженные после
первого цикла моделирования, обусловленные малым знанием объекта или ошибками в
построении модели, можно исправить в последующих циклах.
Сейчас трудно указать область человеческой
деятельности, где не применялось бы моделирование. Разработаны, например,
модели производства автомобилей, выращивания пшеницы, функционирования
отдельных органов человека, жизнедеятельности Азовского моря, последствий атомной
войны. В перспективе для каждой системы могут быть созданы свои модели, перед
реализацией каждого технического или организационного проекта должно
проводиться моделирование.
Модель в общем смысле (обобщенная модель) есть
создаваемый с целью получения и (или) хранения информации специфический объект
(в форме мысленного образа, описания знаковыми средствами либо материальной
системы), отражающий свойства, характеристики и связи объекта-оригинала
произвольной природы, существенные для задачи, решаемой субъектом.
Модели объектов являются более простыми
системами, с четкой; структурой, точно определенными взаимосвязями между
составными частями, позволяющими более детально проанализировать свойства
реальных объектов и их поведение в различных ситуациях. Таким образом,
моделирование представляет собой инструмент анализа сложных систем и объектов.
К моделям выдвигается ряд обязательных
требований. Во-первых, модель должна быть адекватной объекту, т. е. как можно
более полно соответствовать ему с точки зрения выбранных для изучения свойств.
Во-вторых, модель должна быть полной. Это
означает, что она должна давать возможность с помощью соответствующих способов
и методов изучения модели исследовать и сам объект, т. е. получить некоторые
утверждения относительно его свойств, принципов работы, поведения в заданных
условиях.
Множество применяющихся моделей можно
классифицировать по следующим критериям:
· способ моделирования;
· характер моделируемой системы;
· масштаб моделирования.
По способу моделирования различают следующие
типы моделей:
· аналитические, когда поведение
объекта моделирования описывается в виде функциональных зависимостей и
логических условий;
· имитационные, в которых реальные
процессы описываются набором алгоритмов, реализуемых на ЭВМ.
По характеру моделируемой системы модели
делятся:
· на детерминированные, в которых все
элементы объекта моделирования постоянно четко определены;
· на стохастические, когда модели
включают в себя случайные элементы управления.
В зависимости от фактора времени модели делятся
на статические и динамические. Статические модели (схемы, графики, диаграммы
потоков данных) позволяют описывать структуру моделируемой системы, но не дают
информации о ее текущем состоянии, которое изменяется во времени. Динамические
модели позволяют описывать развитие во времени процессов, протекающих в
системе. В отличие от статических, динамические модели позволяют обновлять
значения переменных, сами модели, динамически вычислять различные параметры
процессов и результаты воздействий на систему.
Модели можно делить на следующие виды:
) Функциональные модели - выражают прямые
зависимости между эндогенными и экзогенными переменными.
) Модели, выраженные с помощью систем уравнений
относительно эндогенных величин. Выражают балансовые соотношения между различными
экономическими показателями (например, модель межотраслевого баланса).
) Модели оптимизационного типа. Основная часть
модели - система уравнений относительно эндогенных переменных. Но цель - найти
оптимальное решение для некоторого экономического показателя (например, найти
такие величины ставок налогов, чтобы обеспечить максимальный приток средств в
бюджет за заданный промежуток времени).
) Имитационные модели - весьма точное
отображение экономического явления. Имитационная модель позволяет отвечать на
вопрос: «Что будет, если…». Имитационная система - это совокупность моделей,
имитирующих протекание изучаемого процесса, объединенная со специальной
системой вспомогательных программ и информационной базой, позволяющих
достаточно просто и оперативно реализовать вариантные расчеты.
Математические уравнения при этом могут
содержать сложные, нелинейные, стохастические зависимости.
С другой стороны, модели можно делить на
управляемые и прогнозные. Управляемые модели отвечают на вопрос: «Что будет,
если ...?»; «Как достичь желаемого?», и содержат три группы переменных:
) переменные, характеризующие текущее состояние
объекта;
) управляющие воздействия - переменные, влияющие
на изменение этого состояния и поддающиеся целенаправленному выбору;
) исходные данные и внешние воздействия, т.е.
параметры, задаваемые извне, и начальные параметры.
В прогнозных моделях управление не выделено
явно. Они отвечают на вопросы: «Что будет, если все останется по-старому?».
Далее, модели можно делить по способу измерения времени на непрерывные и
дискретные. В любом случае, если в модели присутствует время, то модель
называется динамической. Чаще всего в моделях используется дискретное время,
т.к. информация поступает дискретно: отчеты, балансы и иные документы
составляются периодически. Но с формальной точки зрения непрерывная модель
может оказаться более простой для изучения. Отметим, что в физической науке
продолжается дискуссия о том, является ли реальное физическое время непрерывным
или дискретным.
Обычно в достаточно крупные
социально-экономические модели входят материальный, финансовый и социальный
разделы. Материальный раздел - балансы продуктов, производственных мощностей,
трудовых, природных ресурсов. Это раздел, описывающий основополагающие
процессы, это уровень, обычно слабо подвластный управлению, особенно быстрому,
поскольку весьма инерционен.
Финансовый раздел содержит балансы денежных
потоков, правила формирования и использования фондов, правила ценообразования
и.т.п. На этом уровне можно выделить много управляемых переменных. Они могут
быть регуляторами. Социальный раздел содержит сведения о поведении людей. Этот
раздел вносит в модели принятия решений много неопределенностей, поскольку
трудно точно правильно учесть такие факторы как трудоотдача, структура потребления,
мотивация и.т.п.
Популярные в настоящее время подходы к процессам
бизнес-реинжиниринга основаны на активном использовании математических и
информационных моделей.
При построении любой модели процесса управления
желательно придерживаться следующего плана действий:
1) Сформулировать цели изучения системы;
2) Выбрать те факторы, компоненты и
переменные, которые являются наиболее существенными для данной задачи;
) Учесть тем или иным способом
посторонние, не включенные в модель факторы;
) Осуществить оценку результатов,
проверку модели, оценку полноты модели.
Сам процесс моделирования может быть представлен
в виде цикла, в котором можно выделить пять этапов:
. Постановка проблемы и ее анализ - выделяются
важные чертыи свойства объекта, исследуются взаимосвязи элементов в структуре
объекта, формулируются гипотезы, объясняется поведение и развитие объекта.
. Подготовка исходной информации -
осуществляется сбор данных об объекте (на основании изучения модели). Затем
происходит их обработка с помощью методов теории вероятности, математической
статистики и экспертных процедур.
. Проведение расчетов и анализ результатов
эксперимента - производится оценка достоверности результатов.
. Применение результатов на практике - работа с
моделируемым объектом с учетом его предполагаемых свойств, полученных при
изучении моделей. При этом полагается, что эти свойства с достаточным уровнем
вероятности действительно присущи данному объекту. Последнее положение должно
основываться на результатах предыдущего этапа.
Если полученные на пятом этапе результаты
недостаточны, изменился сам объект или его окружающая среда, то происходит
возврат к первому этапу и новое прохождение цикла моделирования.
Основные принципы моделирования:
В настоящее время в экономических исследованиях
широко используется метод моделирования.
Моделирование - это метод создания и
исследования моделей. Изучение модели позволяет получить новое знание, новую
целостную информацию об объекте.
Существенными признаками модели являются:
наглядность, абстракция, элемент научной фантазии и воображения, использование
аналогии как логического метода построения, элемент гипотетичности. Иными
словами, модель представляет собой гипотезу, выраженную в наглядной форме.
Важным свойством модели является наличие в ней
творческой фантазии. Формами моделирования, скажем, воспитательного процесса
могут стать концепции, парадигмы, различные сценарии, деловые и познавательные
игры и т.д.
Процесс создания модели достаточно трудоемкий,
исследователь как бы проходит через несколько этапов.
Первый - тщательное изучение опыта, связанного с
интересующим исследователя явлением, анализ и обобщение этого опыта и создание
гипотезы, лежащей в основе будущей модели.
Второй - составление программы исследования,
организация практической деятельности в соответствии с разработанной
программой, внесение в неё коррективов, подсказанных практикой, уточнение
первоначальной гипотезы исследования, взятой в основу модели.
Третий - создание окончательного варианта
модели. Если на втором этапе исследователь как бы предлагает различные варианты
конструируемого явления, то на третьем этапе он на основе этих вариантов
создает окончательный образец того процесса (или проекта), который собирается воплотить.
В педагогике моделирование успешно применяется
для решения важных дидактических задач. Например, педагог-исследователь может
разработать модели: оптимизации структуры учебного процесса, активизации
познавательной самостоятельности учащихся, личностно-ориентированного подхода к
учащимся в учебном процессе.
В настоящее время при анализе и
синтезе сложных (больших) систем получил развитие системный подход, который
отличается от классического (или индуктивного) подхода. Последний рассматривает
систему путем перехода от частного к общему и синтезирует (конструирует)
систему путем слияния ее компонент, разрабатываемых раздельно. В отличие от
этого системный подход предполагает последовательный переход от общего к
частному, когда в основе рассмотрения лежит цель, причем исследуемый объект
выделяется из окружающей среды.
Специалисты по проектированию и
эксплуатации сложных систем имеют дело с системами управления различных
уровней, обладающими общим свойством - стремлением достичь некоторой цели. Эту
особенность учтем в следующих определениях системы. Система S
- целенаправленное множество! взаимосвязанных элементов любой природы. Внешняя
среда Е- множество существующих вне системы элементов любой природы,
оказывающих влияние на систему или находящихся под ее воздействием. '
В зависимости от цели
исследования могут рассматриваться разные соотношения между самим объектом S
и внешней средой Е. Таким образом, в зависимости от уровня, на котором
находится наблюдатель, объект исследования может выделяться по-разному и могут
иметь место различные взаимодействия этого объекта с внешней средой.
С развитием науки и техники сам
объект непрерывно усложняется, и уже сейчас говорят об объекте исследования как
о некоторой сложной системе, которая состоит из различных компонент,
взаимосвязанных друг с другом. Поэтому, рассматривая системный подход как
основу для построения больших систем и как базу создания методики их анализа и
синтеза, прежде всего, необходимо определить само понятие системного подхода.
Системный подход - это элемент
учения об общих законах развития природы и одно из выражений диалектического
учения. Можно привести разные определения системного подхода, но наиболее
правильно то, которое позволяет оценить познавательную сущность этого подхода
при таком методе исследования систем, как моделирование. Поэтому весьма важны
выделение самой системы S
и внешней среды Е из объективно существующей реальности и описание системы
исходя из общесистемных позиций.
При системном подходе к
моделированию систем необходимо, прежде всего, четко определить цель
моделирования. Поскольку невозможно полностью смоделировать реально
функционирующую систему (систему-оригинал, или первую систему), создается
модель (система-модель, или вторая система) под поставленную проблему. Таким образом,
применительно к вопросам моделирования цель возникает из требуемых задач
моделирования, что позволяет подойти к выбору критерия и оценить, какие
элементы войдут в создаваемую модель М. Поэтому необходимо иметь критерий
отбора отдельных элементов в создаваемую модель.
Важным для системного подхода
является определение структуры системы - совокупности связей между элементами
системы, отражающих их взаимодействие. Структура системы может изучаться извне
с точки зрения состава отдельных подсистем и отношений между ними, а также
изнутри, когда анализируются отдельные свойства, позволяющие системе достигать
заданной цели, т. е. когда изучаются функции системы. В соответствии с этим
наметился ряд подходов к исследованию структуры системы с ее свойствами, к которым
следует, прежде всего, отнести структурный и функциональный.
При структурном подходе
выявляются состав выделенных элементов системы S
и связи между ними. Совокупность элементов и связей между ними позволяет судить
о структуре системы. Последняя в зависимости от цели исследования может быть
описана на разных уровнях рассмотрения. Наиболее общее описание структуры - это
топологическое описание, позволяющее определить в самых общих понятиях
составные части системы и хорошо формализуемое на базе теории графов.
Менее общим является
функциональное описание, когда рассматриваются отдельные функции, т. е.
алгоритмы поведения системы, и реализуется функциональный подход, оценивающий
функции, которые выполняет система, причем под функцией понимается свойство, приводящее
к достижению цели. Поскольку функция отображает свойство, а свойство отображает
взаимодействие системы S
с внешней средой Е, то свойства могут быть выражены в виде либо некоторых
характеристик элементов SiV)
и подсистем Si системы,
либо системы S
в
целом.
При наличии некоторого эталона
сравнения можно ввести количественные и качественные характеристики систем. Для
количественной характеристики вводятся числа, выражающие отношения между данной
характеристикой и эталоном. Качественные характеристики системы находятся,
например, с помощью метода экспертных оценок.
Проявление функций системы во
времени S(t),
т. е. функционирование системы, означает переход системы из одного состояния в
другое, т. е. движение в пространстве состояний Z.
При эксплуатации системы S
весьма важно качество ее функционирования, определяемое показателем
эффективности и являющееся значением критерия оценки эффективности. Существуют
различные подходы к выбору критериев оценки эффективности. Система S
может оцениваться либо совокупностью частных критериев, либо некоторым общим
интегральным критерием.
Следует отметить, что
создаваемая модель М с точки зрения системного подхода также является системой,
т. е. S'=S'(M),
и может рассматриваться по отношению к внешней среде Е. Наиболее просты по
представлению модели, в которых сохраняется прямая аналогия явления. Применяют
также модели, в которых нет прямой аналогии, а сохраняются лишь законы и общие
закономерности поведения элементов системы S.
Правильное понимание взаимосвязей как внутри самой модели М, так и
взаимодействия ее с внешней средой Е в значительной степени определяется тем,
на каком уровне находится наблюдатель.
Простой подход к изучению
взаимосвязей между отдельными частями модели предусматривает рассмотрение их
как отражение связей между отдельными подсистемами объекта. Такой классический
подход может быть использован при создании достаточно простых моделей. Процесс
синтеза модели М на основе классического (индуктивного) подхода представлен на
рис. 1.1, а. Реальный объект, подлежащий моделированию, разбивается на
отдельные подсистемы, т. е. выбираются исходные данные Д для моделирования и
ставятся цели Ц, отображающие отдельные стороны процесса моделирования. По
отдельной совокупности исходных данных Д ставится цель моделирования отдельной
стороны функционирования системы, на базе этой цели формируется некоторая
компонента К будущей модели. Совокупность компонент объединяется в модель М.
Таким образом, разработка
модели М на базе классического подхода означает суммирование отдельных
компонент в единую модель, причем каждая из компонент решает свои собственные
задачи и изолирована от других частей модели. Поэтому классический подход может
быть использован для реализации сравнительно простых моделей, в которых
возможно разделение и взаимно независимое рассмотрение отдельных сторон
функционирования реального объекта. Для модели сложного объекта такая
разобщенность решаемых задач недопустима, так как приводит к значительным
затратам ресурсов при реализации модели на базе конкретных программно-технических
средств. Можно отметить две отличительные стороны классического подхода:
наблюдается движение от частного к общему, создаваемая модель (система)
образуется путем суммирования отдельных ее компонент и не учитывается
возникновение нового системного эффекта.
С усложнением объектов моделирования возникла
необходимость наблюдения их с более высокого уровня. В этом случае наблюдатель
(разработчик) рассматривает данную систему S
как некоторую подсистему какой-то метасистемы, т. е. системы более высокого
ранга, и вынужден перейти на позиции нового системного подхода, который
позволит ему построить не только исследуемую систему, решающую совокупность
задач, но и создавать систему, являющуюся составной частью метасистемы.
Системный подход получил
применение в системотехнике в связи с необходимостью исследования больших
реальных систем, когда сказалась недостаточность, а иногда ошибочность принятия
каких-либо частных решений. На возникновение системного подхода повлияли
увеличивающееся количество исходных данных при разработке, необходимость учета
сложных стохастических связей в системе и воздействий внешней среды Е. Все это
заставило исследователей изучать сложный объект не изолированно, а во
взаимодействии с внешней средой, а также в совокупности с другими системами
некоторой метасистемы.
Системный подход позволяет
решить проблему построения сложной системы с учетом всех факторов и
возможностей, пропорци-1 овальных их значимости, на всех этапах исследования
системы 5" и построения модели М'. Системный подход означает, что каждая
система S является
интегрированным целым даже тогда, когда она состоит из отдельных разобщенных
подсистем. Таким образом, в основе системного подхода лежит рассмотрение
системы как интегрированного целого, причем это рассмотрение при разработке
начинается с главного - формулировки цели функционирования. На основе исходных
данных Д, которые известны из анализа внешней системы, тех ограничений, которые
накладываются на систему сверху либо исходя из возможностей ее
реализации, и на основе цели функционирования формулируются исходные требования
Т к модели системы S. На базе
этих требований формируются ориентировочно некоторые подсистемы П, элементы Э и
осуществляется наиболее сложный этап синтеза - вы-< бор В составляющих
системы, для чего используются специальные критерии выбора КВ.
При моделировании необходимо
обеспечить максимальную эффективность модели системы, которая определяется как
некоторая разность между какими-то показателями результатов, полученных в итоге
эксплуатации модели, и теми затратами, которые были вложены в ее разработку и
создание.
На базе системного подхода
может быть предложена и некоторая последовательность разработки моделей, когда
выделяют две основные стадии проектирования: макропроектирование и микропроектирование.
На стадии макропроектирования
на основе данных о реальной системе S
и внешней среде Е строится модель внешней среды, выявляются ресурсы и
ограничения для построения модели системы, выбирается модель системы и
критерии, позволяющие оценить адекватность модели М реальной системы S.
Построив модель системы и модель внешней среды, на основе критерия
эффективности функционирования системы в процессе моделирования выбирают
оптимальную стратегию управления, что позволяет реализовать возможности модели
по воспроизведению отдельных сторон функционирования реальной системы S.
Стадия микропроектирования в
значительной степени зависит от конкретного типа выбранной модели. В случае
имитационной модели необходимо обеспечить создание информационного, математического,
технического и программного обеспечении системы моделирования. На этой стадии
можно установить основные характеристики созданной модели, оценить время работы
с ней и затраты ресурсов для получения заданного качества соответствия модели
процессу функционирования системы S.
Независимо от типа используемой
модели М при ее построении необходимо руководствоваться рядом принципов
системного подхода:
)
пропорционально-последовательное продвижение по этапам и направлениям создания
модели;
) согласование информационных,
ресурсных, надежностных и других характеристик;
) правильное соотношение
отдельных уровней иерархии в системе моделирования;
) целостность отдельных
обособленных стадий построения модели.
Модель М должна отвечать
заданной цели ее создания, поэтому отдельные части должны компоноваться
взаимно, исходя из единой системной задачи. Цель может быть сформулирована
качественно, тогда она будет обладать большей содержательностью и длительное
время может отображать объективные возможности данной системы моделирования.
При количественной формулировке цели возникает целевая функция, которая точно
отображает наиболее существенные факторы, влияющие на достижение цели.
Построение модели относится к
числу системных задач, при решении которых синтезируют решения на базе
огромного числа исходных данных, на основе предложений больших коллективов
специалистов. Использование системного подхода в этих условиях позволяет не
только построить модель реального объекта, но и на базе этой модели выбрать
необходимое количество управляющей информации в реальной системе, оценить
показатели ее функционирования и тем самым на базе моделирования найти наиболее
эффективный вариант построения и выгодный режим функционирования реальной
системы S.
. ТИПОВЫЕ МОДЕЛИ МАКРОЭКОНОМИКИ
Модель межотраслевого баланса (модель В.
Леонтьева). Каждая из n отраслей производит свой (обобщенный) продукт. Выпуск
распределяется в заданной пропорции между конечным потреблением, другими
отраслями и внутренними потребностями отрасли. Кроме того, описывается прирост
производственных мощностей. Модель описывается уравнениями:
где - поток выпуска продукта i в момент времени
t (единица измерения = единица продукта / единица времени);
- мощность i- го
производства или максимальный выпуск;
- поток конечного
(непроизводственного) потребления;
- коэффициенты
прямых сырьевых затрат (количество продукта i, необходимое для производства
продукта j);
- количество
фондообразующего продукта i , идущее на единичный прирост мощности в отрасли j;
- продолжительность
строительства мощности в отрасли j .
Таким образом, выпуск
расходуется
на покрытие сырьевых и фондообразующих затрат и конечное потребление.
Эконометрические модели народного хозяйства
(типа Брукингской и Уортоновской). В основе этих моделей лежат: 1) балансовые
соотношения; 2) функциональные зависимости - производственная функция и функция
потребительского спроса.
Производственная функция F задает зависимость
национального дохода Y от стоимости основных фондов (капитала) K и от используемых
трудовых ресурсов L:
Функция спроса P=S(c,q) задает зависимость
вектора Р конечного потребления, т.е. набора потребляемых товаров, от вектора с
цен на эти товары и дохода q.
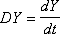
Паутинообразные модели имеют дело с динамикой
спроса и предложения. Пусть D - спрос, S - предложение, P - цена, P* -
равновесная цена, X - объем производства, X* - равновесный объем производства.
Равновесные P* и X* находят из условия совпадения спроса и предложения.
Однако более реалистичной является гипотеза
запаздывания предложения. Например, пусть при цене в прошлый период
объем
предложения в данный период есть
.
Считаем, что цена
устанавливается на
рынке так, чтобы был куплен весь объем выпущенной продукции
.
Следовательно,
Пусть спрос и предложение достаточно точно описываются
линейными функциями от цены
;
Такое предположение вполне естественно, если в
модели рассматривается окрестность точки равновесия, а функции спроса и
предложения гладкие. Тогда
. (1)
Равновесие наступает, когда
. (2)
Вычитая (1) из (2), получаем, что
(3)
Обозначим
отклонения от равновесия. Из (3) получим
,
Откуда
Решение этого уравнения имеет вид
В зависимости от того, чему равно
,
получим либо затухающие колебания (
),
сходящиеся к 
и, либо колебания
c возрастающей амплитудой (
). В промежуточном
случае a = b амплитуда колебаний постоянна.
Тот же результат справедлив и в модели с
непрерывным временем. Будем считать, что спрос меняется не только в зависимости
от цены, но и в зависимости от ее динамики, т.е.
Тогда аналогом (1) является уравнение
,
решением которого является
В рассматриваемых моделях считалось, что
производители ожидают, что цена останется, как в предшествующий период (и
устанавливают объем изготавливаемого товара исходя из этих ожиданий). Модель
может быть усовершенствована. Для установления объема изготавливаемого товара
производителям более реалистично считать, что в момент времени t цена на товар
будет равна
,
где
,
т.е. цена изменится в направлении, обратном
тому, в котором она изменялась в прошлый период. Тогда
,
следовательно,
Дальнейшее развитие модели состоит во введении в
нее запасов. Ожидая повышения цен, продавцы создают запасы товара.
Запасы в момент времени t обозначим
.
Тогда изменение запасов за период времени от t-1 до t есть
В модели цену можно устанавливать различными
способами, например,
Или
,
где
-
запасы в точке равновесия. В первом случае получим
,
Где модель объект задача макроэкономика
,
а во втором
Модель экономического цикла. Сначала рассмотрим
простую модель без учета запаздывания, а также без учета экспорта-импорта,
налогов и государственных расходов.
, (4)
, (5)
, (6)
где
-
символ операции дифференцирования;- реальный чистый доход,- реальное
потребление,- объем основного капитала,
- положительные
константы.
Более точно, Y - сумма всех видов доходов,
полученных в народном хозяйстве, деленная на индекс инфляции (т.е. реальный
валовой национальный продукт за вычетом затрат на возмещение основного
капитала);- общие затраты на потребительские товары конечных покупателей в
народном хозяйстве, деленные на индекс инфляции;- объем основного капитала
всего народного хозяйства (в сопоставимых ценах).
Уравнение (4) вытекает из теории Кейнса, а
именно, из соотношения: потребление = национальный доход - сбережения +
автономное потребление. Значит, sY- часть дохода, идущая на сбережения, s -
предельная склонность к сбережениям, A - автономное потребление (та доля
потребления, которая не зависит от дохода, своеобразный прожиточный минимум).
Уравнение (5) допускает несколько интерпретаций.
Рассмотрим две из них.
. В первой интерпретации DK - это норма
капитальных вложений в основной капитал. Допустим, существует оптимальный объем
основного капитала и он равен некоторой доле от национального дохода -
,
где
-
оптимальное соотношение «капитал-выпуск». Тогда уравнение (5) означает, что
норма капитальных вложений в основной капитал пропорциональна превышению
оптимального объема основного капитала над действительным.
. Основное соотношение, описывающее капитальные
вложения, имеет вид:
где P - реальная прибыль, r - норма процента, c
- премия за риск. Из соотношения (7) легко получить (5).
В уравнении
(6)
рост производства (поскольку все производство =
всему доходу = Y). Рост производства зависит от избытка спроса. Потребление (С)
+ накопление (оно превращается в капитальные вложения DK) - чистый национальный
доход (Y) - это и есть избыток спроса (то, что потребляется и накопляется,
может быть не равно чистому доходу).
Для равновесной системы все производные по
времени равны 0. Равновесные значения Y, C и K таковы:
, (8)
. (9)
Этот результат не предназначен для
непосредственного практического использования, т.к. в модели не учитываются
ограничения на выпуск, накладываемые рабочей силой и объемом основного
капитала. Однако он нужен, чтобы найти отклонения от равновесия
решение системы (4)-(5)-(6)-(8)-(9), где зависят
от . В зависимости от и получим согласно теории линейных дифференциальных
уравнений следующие четыре варианта траекторий Y:
) незатухающие колебания (экономические циклы);
) затухающие колебания;
) взрывоподобные колебания;
) взрывоподобная, но не колебательная
траектория.
Обычно в экономике реально осуществляется
приближение к первому варианту - экономические циклы.
Усложним модель, введем запаздывание. В модели
(4)-(6) предполагается мгновенная реакция потребления на изменение дохода. На
самом деле это неверно. Вместо уравнения (4) напишем
(10)
где
-
параметр, определяющий быстродействие системы.
Теперь добавим запасы. Вместо уравнения (6)
получим
, (11)
, (12)
(13)
где - оптимальный уровень запасов, равен
некоторой постоянной величине + часть потребления и капитальных вложений, S -
фактический уровень запасов. Уравнение (11) отражает тот факт, что рост
производства зависит от избытка спроса и от превышения оптимальных запасов над
фактическими. (Уравнения (10) и (11) аналогичны соответствующим соотношениям
для паутинообразных моделей.)
Добавим в систему экспорт-импорт, налоги и
государственные расходы. Теперь с учетом (11)-(13) получим модель в виде
системы уравнений

В уравнении (14) национальный доход, идущий на
потребление и накопление, уменьшился на сумму налогов, т.е. по сравнению с (10)
произошла замена
.
Далее заметим, что теперь C- общее потребление
товаров как отечественного, так и импортного производства, а DK теперь есть
рост основного капитала частного сектора. Накопление основного капитала
частного сектора входит в G.
Уравнение (16) отличается от (11) на величину
G+E-I, т.к. DY - рост производства зависит от избытка спроса, который теперь
равен тому, что общество расходует (т.е. потребляет (C) + вкладывает (DK) +
экспорт (E) + государственные расходы (G)) за вычетом того, что общество
получает (национальный доход (Y) + импорт (I)). Уравнение (17) предполагает,
что желаемый уровень запасов есть линейная функция валового сбыта, а валовой
сбыт это: 1) сбыт потребительских товаров отдельным потребителям C; 2) сбыт
капитальных благ фирмам (капитальные вложения) DK; 3) сбыт товаров в
государственном секторе G; 4) сбыт иностранным производителям E.
Уравнение (18) означает, что изменение запасов
равно всем товарам (Y+I) минус весь сбыт (C+DK+G+E). Уравнение (19)
предполагает, что импорт - это доля всего сбыта. Уравнение (20) предполагает,
что налоги - линейная функция доходов, тогда
- аналог
процентной ставки. То, что в уравнении имеется отрицательная константа B,
говорит о том, что
- возрастающая
функция, т.е. чем больше доход, тем больше налог.
При решении системы (14)-(20) выяснилось, в
частности, что введение налогов и импорта оказывает на экономику
стабилизирующее воздействие.
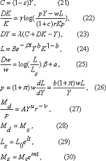
Модель экономического роста. В этой модели, в
отличие от модели экономического цикла, считается, что предложение денег
пропорционально
, и предложение
труда пропорционально
, т.е явно
учитываются процессы инфляции и изменение численности необходимой рабочей силы,
причем и в том, и в другом случае предполагается экспоненциальный рост.
Без учета бюджетной политики модель выглядит
так:
где L- численность используемой рабочей силы;
-
предложение труда;
p- уровень цен;ставка заработной платы;норма процента;
- спрос на
деньги;
- предложение денег;
m - темп роста предложения денег;склонность к
сбережениям.
Остальные переменные определены выше при
рассмотрении модели экономического цикла.
Уравнение (21) означает, что «доход = сбережение
+ потребление». Уравнение (22) - формула для нормы прироста основного капитала,
аналогичная (7). Уравнение (23) означает, что рост производства равен избытку
спроса. Уравнение (24) отражает тот факт, что количество рабочей силы,
требуемой для выпуска одного и того же количества продукции, все время убывает
благодаря НТР. Таким образом, уравнение учитывает технический прогресс.
Уравнение (25) описывает изменение цен на рынке труда. Уравнение (26)
утверждает, что уровень цен равен предельным издержкам (издержки на рабочую
силу wL, предельные издержки
) плюс некоторая
добавка. В уравнении (27)
- те активы,
которые население желает держать в денежной форме. Реальный спрос на деньги
тем
выше, чем выше доход Y и ниже норма процента r. Уравнение (28) означает, что
спрос на деньги равен предложению денег. Это возможно, если считать, что норма
процента все время подстраивается так, чтобы выполнялось это равенство. В уравнении
(29) зафиксировано, что предложение труда растет со временем. В уравнении (30)
предполагается, что предложение денег растет со временем.
При решении этой системы выяснилось, что, как и
раньше, чем больше s, тем стабильнее K и Y, но в отличие от модели
экономического цикла, равновесные K и Y теперь растут при увеличении m - темпа
роста и предложения денег.
Теперь отразим в модели экономическое
регулирование. Существование денежной политики можно выразить заменой уравнения
(30) на
где
-
положительные константы,
- оптимальная
траектория занятости,
- оптимальное
предложение денег при оптимальном уровне занятости.
Чтобы отразить существование государственных
расходов и налогов, изменим в системе уравнений (21)-(29), (31) значения
некоторых переменных:личное потребление и государственные расходы;сумма
государственного и частного основного капитала;сумма частных и государственных
сбережений.
Государственные сбережения - это налоги минус
государственные расходы, поэтому, чтобы отразить налоги, сделаем s переменной
величиной:
где
-
параметры бюджетной политики. В параметре s учитывается: 1) отношение личного
потребления к личному доходу; 2) отношение поступлений от налогов к доходу; 3)
отношение текущих государственных расходов к поступлениям от налогов. Все это
можно учесть с помощью параметров
,
которые являются управляющими.
Модель межотраслевых взаимодействий. Рассмотрим
типичную макроэкономическую модель открытого типа (незамкнутую) - модель
межотраслевых взаимодействий. Ее формируют две группы математических
зависимостей:
) система уравнений - баланс объема производства
каждого вида продукции и его распределение между потребителями (другими
производителями и конечными потребителями);
) система неравенств, которые описывают
зависимость между производственными возможностями каждой отрасли и
ограничивающими наличными ресурсами (основные фонды и живой труд).
В эту модель нужно ввести извне вектор Y -
конечный продукт и учесть его деление на потребление, накопление, экспорт,
государственные резервы, налоги. Далее, следует задать вектор F -
производственные фонды и вектор L - ресурсы живого труда. Это означает, что
“вокруг” модели межотраслевых взаимодействий необходимо построить модель
доходов и потребления населения - для определения Y, модель формирования национального
дохода - для определения F, модель “демография - трудовые ресурсы” для
определения L и.т.п., то есть создать т.н. макромодельный комплекс.
. УСЛОВИЯ РЕАЛИЗАЦИИ МОДЕЛИ МАКРОЭКОНОМИКИ
Как уже отмечалось, логистические системы
функционируют в условиях неопределенности окружающей среды. При управлении
материальными потоками должны учитываться факторы, многие из которых носят
случайностный характер. В этих условиях создание аналитической модели,
устанавливающей четкие количественные соотношения между различными
составляющими логистических процессов, может оказаться либо невозможным, либо
слишком дорогим.
При имитационном моделировании закономерности,
определяющие характер количественных отношений внутри логистических процессов,
остаются непознанными. В этом плане логистический процесс остается для
экспериментатора «черным ящиком».
Процесс работы с имитационной моделью, в первом
приближении, можно сравнить с настройкой телевизора рядовым телезрителем, не
имеющим представления о принципах работы этого аппарата. Телезритель просто
вращает разные ручки, добиваясь четкого изображения, не имея при этом
представления о том, что происходит внутри «черного ящика».
Точно так же экспериментатор «вращает ручки»
имитационной модели, меняя при этом условия протекания процесса и наблюдая
получаемый результат. Определение условий, при которых результат удовлетворяет
требованиям, является целью работы с имитационной моделью.
Имитационное моделирование включает в себя два
основных процесса: первый - конструирование модели реальной системы, второй -
постановка экспериментов на этой модели.
При этом могут преследоваться следующие цели:
а) понять поведение логистической системы;
б) выбрать стратегию, обеспечивающую наиболее
эффективное функционирование логистической системы.
Как правило, имитационное моделирование
осуществляется с помощью компьютеров. Основные условия, при которых
рекомендуется применять имитационное моделирование, следующие.
. Не существует законченной математической
постановки данной задачи, либо еще не разработаны аналитические методы решения
сформулированной математической модели.
. Аналитические модели имеются, но процедуры
столь сложны и трудоемки, что имитационное моделирование дает более простой
способ решения задачи.
. Аналитические решения существуют, но их
реализация не возможна вследствие недостаточной математической подготовки
имеющегося персонала.
Таким образом, основным достоинством
имитационного моделирования является то, что этим методом можно решать более
сложные задачи. Имитационные модели позволяют достаточно просто учитывать
случайные воздействия и другие факторы, которые создают трудности при
аналитическом исследовании.
При имитационном моделировании воспроизводится
процесс функционирования системы во времени. Причем имитируются элементарные
явления, составляющие процесс с сохранением их логической структуры и
последовательности протекания во времени. Модели не решают, а осуществляют
прогон программы с заданными параметрами, меняя параметры, осуществляя прогон
за прогоном.
Имитационное моделирование имеет ряд
существенных недостатков, которые также необходимо учитывать.
. Исследования с помощью этого метода обходятся
дорого.
Причины:
для построения модели и экспериментирования на
ней необходим высококвалифицированный специалист-программист;
необходимо большое количество машинного времени,
поскольку метод основывается на статистических испытаниях и требует
многочисленных прогонов программ;
модели разрабатываются для конкретных условий и,
как правило, не тиражируются.
. Велика возможность ложной имитации. Процессы в
логистических системах носят вероятностный характер и поддаются моделированию
только при введении определенного рода допущений. Поэтому разработка и
применение имитационных моделей в большей степени искусство, чем наука.
Следовательно, успех или неудача в большей степени зависит не от метода, а от
того, как он применяется.