Динамическая модель управления с бесконечным горизонтом в односекторной экономической системе
МИНИСТЕРСТВО ОБЩЕГО И ПРОФЕССИОНАЛЬНОГО ОБРАЗОВАНИЯ РФ
Московский Государственный Институт Электроники и Математики
(Технический Университет)
КУРСОВАЯ
РАБОТА
По курсу
«Методы оптимизации и их приложения»
На тему
«Динамическая
модель управления с бесконечным горизонтом в односекторной экономической
системе»
Вариант №20
Выполнила
студентка
группы ЭМ-81:
Филатова
Е.С..
Руководитель:
Шнурков П.В.
Москва 2011
г.
Начальное условие
Начальным условием является набор данных
Для дальнейшего выполнения курсовой работы рассмотрим общие теоретические
понятия.
Экономические
системы. Общая характеристика
Системой называется совокупность составляющих ее элементов и взаимосвязей
между ними.
Экономическая система (в рамках национальной экономики) - совокупность
национальных хозяйственных единиц (предприятий и организаций), находящихся в
производственно-технологических и организационно-хозяйственных связях.
Рассмотрим систему с точки зрения функционирования и управления:
Экономические системы можно разделить на статические и динамические.
Статические системы - те, в которых входной параметр перерабатывается
(преобразуется) в выходной без зависимости от времени по заданному закону или
правилу.
Пример
статической модели - производственная функция:
K - объем
основных фондов (капитал);
L - объем
трудовых ресурсов;
- объем
производства.
Классический
пример - функция Кобба-Дугласа.
Динамические
модели - те, в которых основные параметры модели явно зависят от времени.
Динамические
системы. Модель Солоу.
Дискретное время. Основные параметры модели:
Y -
объем произведенного продукта (валовой внутренний продукт)
K -
объем основных производственных фондов (капитал)
L -
число занятых в системе (трудовой ресурс)
I -
объем инвестиций
C -
величина фондов потребления
Модель Солоу с дискретным временем описывается следующими соотношениями
при
t = 0 задаются начальные значения
.
- объем
производства;
F -
производственная функция;
- инвестиции;
Ct - потребление;
- объем
выбывших фондов;
-
коэффициент выбытия;
It-1 -
инвестиции в момент (t-1), включающиеся в основные фонды в момент t;
- объем
прироста трудовых ресурсов;
В
классической модели
>0.
Модель
Солоу с непрерывным временем
Рассмотрим
моменты времени, кратные
, общее число моментов
.
-
некоторый фиксированный момент.
Соотношения
(1)-(4):
-
фиксированы в интервале
.
Перейдем
к пределу при
:
Начальные
условия: K(0) = K0; L(0) = L0.
- объем
выбытия из каждой единицы продукции в единицу времени;
Предположим,
что It - кусочно-постоянная.
Переходные
процессы в модели Солоу
Пусть
X - общий
валовой продукт,
Y - валовой
внутренний продукт,
Y = (1-a)X - -
внутренний валовой продукт;
aX - объем
продукта, используемого в процессе производства;
a - коэффициент
прямых затрат (объем продукта, необходимого для производства единицы данного
продукта);
Y = X - aX -
чистый произведенный продукт, который можно делить на инвестиции и потребление;
- норма
накопления (доля продукта используемого на инвестиции);
-
коэффициент выбытия основных фондов;
-
коэффициент (темп) прироста трудовых ресурсов.
Система
соотношений между введенными параметрами:
Или
- зависимость от времени.
Переход
к относительным (удельным) показателям:
-
фондовооруженность (удельный капитал);
-
производительность (объем произведенного продукта на одного занятого);
Предположение
на функцию F(K, L):
.
В
частности, если
-
функция Кобба-Дугласа
-
удельный объем инвестиций;
-
удельное потребление.
В
дальнейшем будем предполагать, что
удовлетворяет
условиям:
( f(k)
возрастает);
( f(k)
выпукла вверх);
Преобразуем
Заметим,
что
:
;
Подставим
в (16) и поделим на L:
Обозначим
:
λ = µ + ν
Тогда:
-
основное уравнение для
(динамическое соотношение для
, k(0)=
).
Начальное
условие
Исследование
соотношения (19):
стационарное
решение уравнения (19) - постоянная функция
.
Тогда
;
;
.
Если
, то из (19) получим:
-
уравнение относительно стационарного значения
.
- корень
уравнения (20).
По
предположению
обладает свойствами:
-
характер функции не изменяется;
Обозначим:
-
линейная функция;
-
функция, аналогичная f(k).
Уравнение
(20) перепишем в виде:
Рис.1
Условия пересечения (существования и единственности стационарного
решения):
То
есть, если
, то существует единственное стационарное решение.
Найдем
точку k1* , в которой
.
-
убывающая, т.к.
.
При
этом
при
.
Точка
k1* существует, причем 0 < k1* < k(0).
Исследуем
нестационарное решение уравнения (19):
Заметим,
что если
, то
, k(t) -
возрастающая.
Если
, то
, k(t) -
убывающая.
Итак,
если
, то
при
некотором t > 0, k(t) -
возрастающая.
Если
, то
при
некотором t > 0, k(t) - убывающая.
Пересечения
k(t) и
нет.
Рис.2
Исследуем более подробно поведение k(t).
Продифференцируем (19) второй раз по t
Заметим,
что если
, то
;
При
:
, таким
образом, при
справедливо
.
Иначе:
, или при k1*. Таким образом, при 0 < k1*
< k(0)
k(t)
выпукла (вниз).
Если
, то
Если
и
, то
.
Таким
образом, выполнено условие (22)
При
k1* < k < k(0) получаем
выполнение условия (22);
k(t) выпукла вверх.
Аналогично
можно показать, что при
Окончательные соотношения для второй производной
При
выполняется
,
, тогда
.
При
k1* < k < k(0) выполняется
,
, тогда
.
При
k(0) > k выполняется
,
, тогда
.
На основании этого анализа получаем общую картину интегральных кривых:
Рис.3
Предположим,
что в исходной модели
(функция Кобба-Дугласа).
Тогда
.
Условие
в нуле:
Основное
уравнение:
.
Задача
Коши:
Решение
уравнения
Заменим
k на
. Тогда
;
Любая
траектория в пределе приближается к стационарному решению.
Задача
оптимального управления в неоклассической модели экономического роста
Основные параметры и характеристики модели
- объем
произведенного продукта;
- объем
основных производственных фондов (капитал);
- объем
фонда потребления;
- объем
инвестиций;
- объем
рабочей силы.
Удельные
(относительные) параметры:
-
фондовооруженность (капиталовооруженность);
-
удельные инвестиции;
-
удельное потребление;
-
фондовооруженность (удельный капитал).
Основные
соотношения
-
динамическое соотношение в модели Солоу;
,
;
;
;
;
;
.
Тогда
основное уравнение:
Постановка задачи оптимального
управления
Одномерная задача;
k = k(t) - состояние (аналог параметра x=x(t));
с = с(t) - управление (аналог параметра u=u(t)).
1) Функционал:
Задача с бесконечным горизонтом времени;
-
коэффициент пересчета стоимости потребительских благ (дисконтирование).
Иногда
рассматривается функционал
1) Основное соотношение
(дифференциальная связь)
Общее
соотношение в теории
1) Граничные условия - закрепленный
левый конец;
1) Ограничение на управление:
-
область допустимых управлений.
Математическая
постановка задачи оптимального управления
(25)
Применим
для решения задачи принцип максимума Понтрягина.
Множители
Лагранжа
, p(t) - сопряженная переменная.
В
данной задаче
(
).
Функция
Понтрягина:
.
В
данной задаче
.
Сопряженное
уравнение (общий вид):
.
экономический
рост система солоу
В данной задаче
;
-
интегрант.
;
Замена
переменной
,
.
,
.
Подставим
соотношение для
,
(сопряженное
уравнение)
Общее
решение уравнения
Условие
максимума функции Понтрягина:
Общий
вывод
Если
,
, то
максимум достигается при
.
Если
,
, то
максимум достигается при
.
Если
,
, то
функция Понтрягина явно не зависит от
, можно
выбрать любое значении
из допустимой области.
Из
условия максимума
c - произвольное
допустимое значение управления,
с

Сопряженное
уравнение (после преобразования)
,
(неизвестное)
Основное
динамическое соотношение ( дифференциальная связь)
Стационарный
режим в системе: основные параметры не зависят от времени t
,
,
.
Обязательное
условие:
Соотношение
для стационарных значений:
если
, то
, q=q(t)>0
(общий вид решения),
то
из (9) следует:
-
решение уравнения для стационарного значения
.
Подставляем
:
Отметим,
что за стационарное значение
удобней
выбрать
,
удовлетворяет (31), если
,
.
Рассмотрим
вариант
.
(
минимально допустимый уровень потребления),
Из
(32) (уравнение для
) получаем:
Исследуем
решения уравнения (35), то есть поведение
.
Рассмотрим
стационарные решения уравнения (35).
Уравнение
для
:
Условия
на
: 
,
.
Рис.4
,
- известная функция
Тогда
уравнение (36) имеет не более двух решений.
Обозначим:
- стационарные решения уравнения (35).
Тогда
рассмотрим соотношение между
. Если
, то
удовлетворяет
неравенству:
Характер
при различных соотношениях параметров:
1)
Если
.
Для
этого
2)
Если
, k(t) убывает.
Для
этого
должно удовлетворять неравенству
либо
Общая
картина интегральных кривых уравнения
Рис.5
Исследование
решений сопряженного уравнения.
Заметим,
что по свойству функции 
,
.
Таким
образом,
- неотрицательная, убывающая, (монотонная)
В
некоторой точке достигается равенство
=
.
-
стационарное значение:
)
при
и тогда
,
убывает.
)
при
и тогда
возрастает.
Таким
образом, получаем общий рисунок интегральных кривых для случая
:
Рис.11
Решение
данного уравнения:
)
Тогда
k(t) сохраняет значение
, при
этом q(t) убывает и остается меньше 1.
Рис.12
)
Тогда
k(t) сохраняет значение
, при
этом
возрастает и может достигает уровня 1. Согласно
принципу максимума
В
точке
(стационарное
значение)
В
точке
возможен переход на стационарный режим:
Численное
моделирование переходных процессов
Вычислим
стационарные значения
.
Из
уравнения (33) найдем
.
Из
уравнения (34) найдем
.
Отметим,
что за стационарное значение
удобней
выбрать
.
Получим
значения:
=0,8421
=0,6733
=1
Найдем
стационарные решения уравнения (35):
Анализ
основного параметра
:
)
Пусть
В
нашем случае k0 < 0,35
Рассмотрим
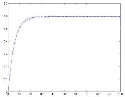
k0 = 0,2:
Рассмотрим
k0 = 0,1:
Рассмотрим
k0 = 0,05:
Отметим,
что полученные результаты подтверждают теоретическое поведение, отображенное на
рисунке 11.
Выведем
численное решение:
|
t
|
k
|
t
|
k
|
t
|
k
|
t
|
k
|
|
0
|
0.1000
|
0.26
|
0.0290
|
0.51
|
-0.0889
|
0.76
|
-0.1889
|
|
0.01
|
0.0978
|
0.27
|
0.0254
|
0.52
|
-0.0935
|
0.77
|
-0.1921
|
|
0.02
|
0.0956
|
0.28
|
0.0217
|
0.53
|
-0.0981
|
0.78
|
-0.1953
|
|
0.03
|
0.0933
|
0.29
|
0.0179
|
0.54
|
-0.1027
|
0.79
|
-0.1985
|
|
0.04
|
0.0910
|
0.3
|
0.0140
|
0.55
|
-0.1072
|
0.8
|
-0.2016
|
|
0.05
|
0.0887
|
0.31
|
0.0099
|
0.56
|
-0.1116
|
0.81
|
-0.2046
|
|
0.06
|
0.0863
|
0.32
|
0.0056
|
0.57
|
-0.1160
|
0.82
|
-0.2076
|
|
0.07
|
0.0839
|
0.33
|
0.0010
|
0.58
|
-0.1203
|
0.83
|
-0.2105
|
|
0.08
|
0.0815
|
0.34
|
-0.0040
|
0.59
|
-0.1246
|
0.84
|
-0.2133
|
|
0.09
|
0.0790
|
0.35
|
-0.0092
|
0.6
|
-0.1288
|
0.85
|
-0.2161
|
|
0.1
|
0.0765
|
0.36
|
-0.0143
|
0.61
|
-0.1330
|
0.86
|
-0.2189
|
|
0.11
|
0.0739
|
0.37
|
-0.0195
|
0.62
|
-0.1371
|
0.87
|
-0.2215
|
|
0.12
|
0.0713
|
0.38
|
-0.0246
|
0.63
|
-0.1412
|
0.88
|
-0.2242
|
|
0.13
|
0.0686
|
0.39
|
-0.0298
|
0.64
|
-0.1452
|
0.89
|
-0.2267
|
|
0.14
|
0.0659
|
0.4
|
-0.0349
|
0.65
|
-0.1492
|
0.9
|
-0.2292
|
|
0.15
|
0.0632
|
0.41
|
-0.0400
|
0.66
|
-0.1531
|
0.91
|
-0.2317
|
|
0.16
|
0.0604
|
0.42
|
-0.0450
|
0.67
|
-0.1569
|
0.92
|
-0.2341
|
|
0.17
|
0.0576
|
0.43
|
-0.0501
|
0.68
|
-0.1607
|
0.93
|
-0.2364
|
|
0.18
|
0.0546
|
0.44
|
-0.0551
|
0.69
|
-0.1644
|
0.94
|
-0.2387
|
|
0.19
|
0.0517
|
0.45
|
-0.0600
|
0.7
|
-0.1681
|
0.95
|
-0.2409
|
|
0.2
|
0.0487
|
0.46
|
-0.0649
|
0.71
|
-0.1717
|
0.96
|
-0.2431
|
|
0.21
|
0.0456
|
0.47
|
-0.0698
|
0.72
|
-0.1752
|
0.97
|
-0.2452
|
|
0.22
|
0.0424
|
0.48
|
-0.0746
|
0.73
|
-0.1787
|
0.98
|
-0.2472
|
|
0.23
|
0.0392
|
0.49
|
-0.0794
|
0.74
|
-0.1822
|
0.99
|
-0.2492
|
|
0.24
|
0.0359
|
0.5
|
-0.0842
|
0.75
|
-0.1855
|
1
|
-0.2512
|
|
0.25
|
0.0325
|
|
|
|
|
|
|
2)
Пусть
В
нашем случае 0,35 < k0 < 0,842
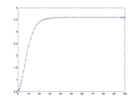
Рассмотрим
k0 = 0,38:
Рассмотрим
k0 = 0,5:
Рассмотрим
k0 = 0,7:
Отметим,
что полученные результаты подтверждают теоретическое поведение, отображенное на
рисунке 11.
Выведем
численное решение:
|
t
|
k
|
t
|
k
|
t
|
k
|
t
|
k
|
|
0
|
0.5
|
2.6000
|
0.80871
|
5.1000
|
1.31640
|
7.6000
|
1.90030
|
|
0.1000
|
0.50752
|
2.7000
|
0.82554
|
5.2000
|
1.33940
|
7.7000
|
1.923
|
|
0.2000
|
0.51534
|
2.8000
|
0.84271
|
5.3000
|
1.36250
|
7.8000
|
1.94560
|
|
0.3000
|
0.52348
|
2.9000
|
0.86023
|
5.4000
|
1.38580
|
7.9000
|
1.96810
|
|
0.4000
|
0.53195
|
3.0000
|
0.87809
|
5.5000
|
1.40910
|
8.0000
|
1.99040
|
|
0.5000
|
0.54074
|
3.1000
|
0.89629
|
5.6000
|
1.43250
|
8.1000
|
2.0126
|
|
0.6000
|
0.54986
|
3.2000
|
0.91481
|
5.7000
|
1.45590
|
8.2000
|
2.0346
|
|
0.7000
|
0.55933
|
3.3000
|
0.93364
|
5.8000
|
1.47940
|
8.3000
|
2.0565
|
|
0.8000
|
0.56915
|
3.4000
|
0.95279
|
5.9000
|
1.503
|
8.4000
|
2.0783
|
|
0.9000
|
0.57931
|
3.5000
|
0.97224
|
6.0000
|
1.52650
|
8.5000
|
2.0999
|
|
1.0000
|
0.58984
|
3.6000
|
0.99199
|
6.1000
|
1.55010
|
8.6000
|
2.1213
|
|
1.1000
|
0.60072
|
3.7000
|
1.012
|
6.2000
|
1.57370
|
8.7000
|
2.1425
|
|
1.2000
|
0.61197
|
3.8000
|
1.0323
|
6.3000
|
1.59740
|
8.8000
|
2.1636
|
|
1.3000
|
0.62359
|
3.9000
|
1.0529
|
6.4000
|
1.621
|
8.9000
|
2.1845
|
0.63558
|
4.0000
|
1.0737
|
6.5000
|
1.64460
|
9.0000
|
2.20530
|
|
1.5000
|
0.64795
|
4.1000
|
1.0948
|
6.6000
|
1.66810
|
9.1000
|
2.22580
|
|
1.6000
|
0.66069
|
4.2000
|
1.1161
|
6.7000
|
1.69160
|
9.2000
|
2.24620
|
|
1.7000
|
0.6738
|
4.3000
|
1.1376
|
6.8000
|
1.71510
|
9.3000
|
2.26640
|
|
1.8000
|
0.6873
|
4.4000
|
1.1593
|
6.9000
|
1.73850
|
9.4000
|
2.28640
|
|
1.9000
|
0.70117
|
4.5000
|
1.1812
|
7.0000
|
1.76190
|
9.5000
|
2.30620
|
|
2.0000
|
0.71541
|
4.6000
|
1.20340
|
7.1000
|
1.78520
|
9.6000
|
2.32580
|
|
2.1000
|
0.73004
|
4.7000
|
1.22570
|
7.2000
|
1.80840
|
9.7000
|
2.34520
|
|
2.2000
|
0.74504
|
4.8000
|
1.24810
|
7.3000
|
1.83150
|
9.8000
|
2.36440
|
|
2.3000
|
0.76041
|
4.9000
|
1.27070
|
7.4000
|
1.85460
|
9.9000
|
2.38340
|
|
2.4000
|
0.77614
|
5.0000
|
1.29350
|
7.5000
|
1.87750
|
10.0000
|
2.40220
|
|
2.5000
|
0.79225
|
|
|
|
|
|
|
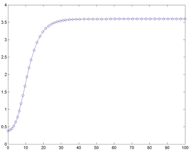
3)
Пусть
В
нашем случае 0,84 < k0 < 3,56
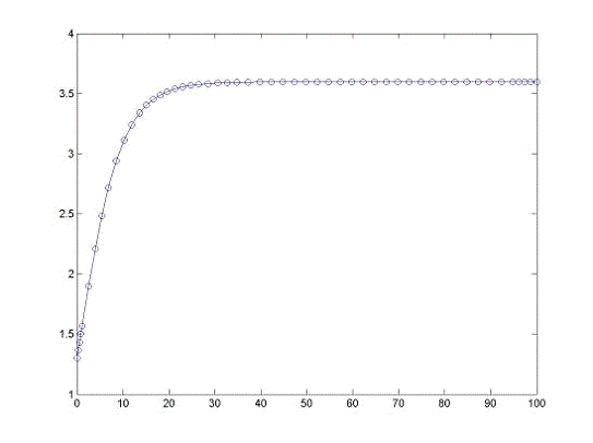
Рассмотрим
k0 = 1,3:
Рассмотрим
k0 = 2:
Рассмотрим
k0 = 3:
Отметим,
что полученные результаты подтверждают теоретическое поведение, отображенное на
рисунке 11.
Выведем
численное решение:
|
t
|
k
|
t
|
k
|
t
|
k
|
t
|
k
|
|
0
|
2
|
2.6000
|
2.51830
|
5.1000
|
2.88890
|
7.6000
|
3.1445
|
|
0.1000
|
2.0221
|
2.7000
|
2.53560
|
5.2000
|
2.90120
|
7.7000
|
3.1527
|
|
0.2000
|
2.0441
|
2.8000
|
2.55260
|
5.3000
|
2.91330
|
7.8000
|
3.1608
|
|
0.3000
|
2.0659
|
2.9000
|
2.56950
|
5.4000
|
2.92520
|
7.9000
|
3.1687
|
|
0.4000
|
2.0876
|
3.0000
|
2.58620
|
5.5000
|
2.93690
|
8.0000
|
3.1765
|
|
0.5000
|
2.1091
|
3.1000
|
2.60260
|
5.6000
|
2.94850
|
8.1000
|
3.1842
|
|
0.6000
|
2.1305
|
3.2000
|
2.61880
|
5.7000
|
2.95980
|
8.2000
|
3.19170
|
|
0.7000
|
2.1517
|
3.3000
|
2.63490
|
5.8000
|
2.971
|
8.3000
|
3.19910
|
|
0.8000
|
2.1727
|
3.4000
|
2.65070
|
5.9000
|
2.982
|
8.4000
|
3.20640
|
|
0.9000
|
2.19350
|
3.5000
|
2.66630
|
6.0000
|
2.99290
|
8.5000
|
3.21360
|
|
1.0000
|
2.21420
|
3.6000
|
2.68170
|
6.1000
|
3.0036
|
8.6000
|
3.22060
|
|
1.1000
|
2.23460
|
3.7000
|
2.69690
|
6.2000
|
3.0141
|
8.7000
|
3.22750
|
|
1.2000
|
2.25490
|
3.8000
|
2.712
|
6.3000
|
3.0244
|
8.8000
|
3.23430
|
|
1.3000
|
2.275
|
3.9000
|
2.72680
|
6.4000
|
3.0346
|
8.9000
|
3.241
|
|
1.4000
|
2.29490
|
4.0000
|
2.74140
|
6.5000
|
3.0446
|
9.0000
|
3.24760
|
|
1.5000
|
2.31470
|
4.1000
|
2.75580
|
6.6000
|
3.0544
|
9.1000
|
3.254
|
|
1.6000
|
2.33420
|
4.2000
|
2.19770
|
6.7000
|
3.0641
|
9.2000
|
3.26030
|
|
1.7000
|
2.35350
|
4.3000
|
2.78390
|
6.8000
|
3.0737
|
9.3000
|
3.26660
|
|
1.8000
|
2.37260
|
4.4000
|
2.79780
|
6.9000
|
3.083
|
9.4000
|
3.27270
|
|
1.9000
|
2.39150
|
4.5000
|
2.81140
|
7.0000
|
3.0923
|
9.5000
|
3.27870
|
|
2.0000
|
2.41030
|
4.6000
|
2.82480
|
7.1000
|
3.1013
|
9.6000
|
3.28460
|
|
2.1000
|
2.42880
|
4.7000
|
2.838
|
7.2000
|
3.1103
|
9.7000
|
3.29040
|
|
2.2000
|
2.44710
|
4.8000
|
2.851
|
7.3000
|
3.119
|
9.8000
|
3.29610
|
|
2.3000
|
2.46520
|
4.9000
|
2.86380
|
7.4000
|
3.1277
|
9.9000
|
3.30170
|
|
2.4000
|
2.48310
|
5.0000
|
2.87650
|
7.5000
|
3.1362
|
10.0000
|
3.30720
|
|
2.5000
|
2.50080
|
|
|
|
|
|
|
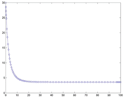
4)
Пусть
В
нашем случае k0 > 3,56
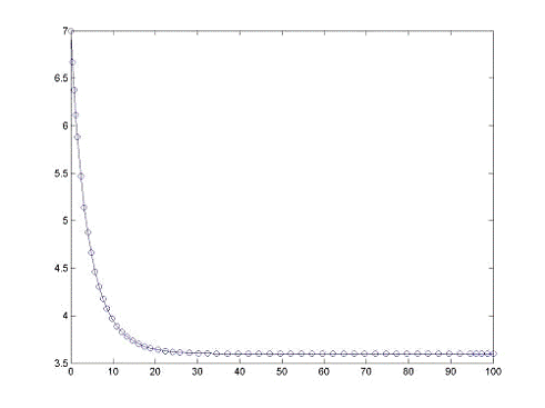
Рассмотрим
k0 = 3,6:
Рассмотрим
k0 = 7:
Рассмотрим
k0 =
30:
Отметим,
что полученные результаты подтверждают теоретическое поведение, отображенное на
рисунке 11.
Выведем
численное решение:
|
tktktktk
|
|
|
|
|
|
|
|
|
0
|
7
|
2.6000
|
5.3739
|
5.1000
|
4.5996
|
7.6000
|
4.1807
|
|
0.1000
|
6.9114
|
2.7000
|
5.3323
|
5.2000
|
4.5777
|
7.7000
|
4.1685
|
|
0.2000
|
6.8255
|
2.8000
|
5.2918
|
5.3000
|
4.5563
|
7.8000
|
4.1565
|
|
0.3000
|
6.7422
|
2.9000
|
5.2523
|
5.4000
|
4.5353
|
4.1448
|
|
0.4000
|
6.6614
|
3.0000
|
5.2139
|
5.5000
|
4.5149
|
8.0000
|
4.1334
|
|
0.5000
|
6.5831
|
3.1000
|
5.1765
|
5.6000
|
4.495
|
8.1000
|
4.1222
|
|
0.6000
|
6.5072
|
3.2000
|
5.1401
|
5.7000
|
4.4755
|
8.2000
|
4.1113
|
|
0.7000
|
6.4335
|
3.3000
|
5.1046
|
5.8000
|
4.4565
|
8.3000
|
4.1006
|
|
0.8000
|
6.362
|
3.4000
|
5.0701
|
5.9000
|
4.438
|
8.4000
|
4.0901
|
|
0.9000
|
6.2926
|
3.5000
|
5.0364
|
6.0000
|
4.4199
|
8.5000
|
4.0799
|
|
1.0000
|
6.2252
|
3.6000
|
5.0036
|
6.1000
|
4.4022
|
8.6000
|
4.0699
|
|
1.1000
|
6.1598
|
3.7000
|
4.9716
|
6.2000
|
4.3849
|
8.7000
|
4.0601
|
|
1.2000
|
6.0963
|
3.8000
|
4.9405
|
6.3000
|
4.368
|
8.8000
|
4.0505
|
|
1.3000
|
6.0346
|
3.9000
|
4.9101
|
6.4000
|
4.3515
|
8.9000
|
4.0411
|
|
1.4000
|
5.9747
|
4.0000
|
4.8805
|
6.5000
|
4.3354
|
9.0000
|
4.032
|
|
1.5000
|
5.9165
|
4.1000
|
4.8517
|
6.6000
|
4.3197
|
9.1000
|
4.023
|
|
1.6000
|
5.1986
|
4.2000
|
4.8235
|
6.7000
|
4.3043
|
9.2000
|
4.0142
|
|
1.7000
|
5.805
|
4.3000
|
4.7961
|
6.8000
|
4.2893
|
9.3000
|
4.0057
|
|
1.8000
|
5.7516
|
4.4000
|
4.7694
|
6.9000
|
4.2746
|
9.4000
|
3.9973
|
|
1.9000
|
5.6996
|
4.5000
|
4.7433
|
7.0000
|
4.2602
|
9.5000
|
3.989
|
|
2.0000
|
5.6492
|
4.6000
|
4.7178
|
7.1000
|
4.2462
|
9.6000
|
3.981
|
|
2.1000
|
5.6001
|
4.7000
|
4.693
|
7.2000
|
4.2325
|
9.7000
|
3.9731
|
|
2.2000
|
5.5523
|
4.8000
|
4.6688
|
7.3000
|
4.2191
|
9.8000
|
3.9654
|
|
2.3000
|
5.5059
|
4.9000
|
4.6452
|
7.4000
|
4.206
|
9.9000
|
3.9579
|
|
2.4000
|
5.4607
|
5.0000
|
4.6221
|
7.5000
|
4.1932
|
10.0000
|
3.9505
|
|
2.5000
|
5.4167
|
|
|
|
|
|
|
В итоге получаем общую картину интегральных кривых для нашего уравнения
В большем масштабе
Все полученные результаты подтверждают рассмотренное нами ранее
теоретическое поведение, что свидетельствует о правильности проделанной работы,
а также о полнейшем согласии представленной в этой работе теории и реальной
практики.
Пусть
теперь
Получим
уравнение (38), решение которого имеет вид
.
1)
Пусть
Рассмотрим
0,25:
Рассмотрим
0,1:
Выведем
численное решение:
|
t
|
k
|
t
|
k
|
t
|
k
|
t
|
k
|
|
0
|
0.25
|
2.6000
|
0.040514
|
5.1000
|
0.0070402
|
7.6000
|
0.001224
|
|
0.1000
|
0.2331
|
2.7000
|
0.037774
|
5.2000
|
0.0065644
|
7.7000
|
0.0011412
|
|
0.2000
|
0.21734
|
2.8000
|
0.035218
|
5.3000
|
0.006121
|
7.8000
|
0.001064
|
|
0.3000
|
0.20265
|
2.9000
|
0.032835
|
5.4000
|
0.0057077
|
7.9000
|
0.00099202
|
|
0.4000
|
0.18895
|
3.0000
|
0.030614
|
5.5000
|
0.0053223
|
8.0000
|
0.00092491
|
|
0.5000
|
0.17617
|
3.1000
|
0.028544
|
5.6000
|
0.0049627
|
8.1000
|
0.00086236
|
|
0.6000
|
0.16426
|
3.2000
|
0.026615
|
5.7000
|
0.004627
|
8.2000
|
0.00080408
|
|
0.7000
|
0.15315
|
3.3000
|
0.024817
|
5.8000
|
0.004314
|
8.3000
|
0.00074977
|
|
0.8000
|
0.14279
|
3.4000
|
0.023141
|
5.9000
|
0.0040221
|
8.4000
|
0.00069914
|
|
0.9000
|
0.13313
|
3.5000
|
0.021579
|
6.0000
|
0.00375
|
8.5000
|
0.00065193
|
|
1.0000
|
0.12412
|
3.6000
|
0.020121
|
6.1000
|
0.0034964
|
8.6000
|
0.00060788
|
|
1.1000
|
0.11573
|
3.7000
|
0.01876
|
6.2000
|
0.0032601
|
8.7000
|
0.00056677
|
|
1.2000
|
0.10791
|
3.8000
|
0.017491
|
6.3000
|
0.0030399
|
8.8000
|
0.00052842
|
|
1.3000
|
0.10062
|
3.9000
|
0.016307
|
6.4000
|
0.0028346
|
8.9000
|
0.00049267
|
|
1.4000
|
0.093825
|
4.0000
|
0.015204
|
6.5000
|
0.0026432
|
9.0000
|
0.00045934
|
|
1.5000
|
0.087489
|
4.1000
|
0.014176
|
6.6000
|
0.0024646
|
9.1000
|
0.00042828
|
|
1.6000
|
0.081578
|
4.2000
|
0.013218
|
6.7000
|
0.0022979
|
9.2000
|
0.00039933
|
|
1.7000
|
0.076061
|
4.3000
|
0.012325
|
6.8000
|
0.0021425
|
9.3000
|
0.00037236
|
|
1.8000
|
0.070914
|
4.4000
|
0.011493
|
6.9000
|
0.0019975
|
9.4000
|
0.00034722
|
|
1.9000
|
0.066116
|
4.5000
|
0.010717
|
7.0000
|
0.0018624
|
0.00032377
|
|
2.0000
|
0.061643
|
4.6000
|
0.0099926
|
7.1000
|
0.0017364
|
9.6000
|
0.0003019
|
|
2.1000
|
0.057475
|
4.7000
|
0.0093168
|
7.2000
|
0.0016191
|
9.7000
|
0.00028149
|
|
2.2000
|
0.053591
|
4.8000
|
0.0086864
|
7.3000
|
0.0015097
|
9.8000
|
0.00026246
|
|
2.3000
|
0.049971
|
4.9000
|
0.0080986
|
7.4000
|
0.0014078
|
9.9000
|
0.00024471
|
|
2.4000
|
0.046597
|
5.0000
|
0.0075508
|
7.5000
|
0.0013127
|
10.0000
|
0.00022817
|
|
2.5000
|
0.04345
|
|
|
|
|
|
|
Пусть
Рассмотрим
2
Рассмотрим
10:
Выведем
численное решение:
|
t
|
k
|
t
|
k
|
t
|
k
|
t
|
k
|
|
0
|
10
|
2.6000
|
1.6206
|
5.1000
|
0.28161
|
7.6000
|
0.04896
|
|
0.1000
|
9.3239
|
2.7000
|
1.511
|
5.2000
|
0.26258
|
7.7000
|
0.045649
|
|
0.2000
|
8.6936
|
2.8000
|
1.4087
|
5.3000
|
0.24484
|
7.8000
|
0.042561
|
|
0.3000
|
8.1058
|
2.9000
|
1.3134
|
5.4000
|
0.22831
|
7.9000
|
0.039681
|
|
0.4000
|
7.5578
|
3.0000
|
1.2246
|
5.5000
|
0.21289
|
8.0000
|
0.036996
|
|
0.5000
|
7.0469
|
3.1000
|
1.1418
|
5.6000
|
0.19851
|
8.1000
|
0.034495
|
|
0.6000
|
6.5705
|
3.2000
|
1.0646
|
5.7000
|
0.18508
|
8.2000
|
0.032163
|
|
0.7000
|
6.1261
|
3.3000
|
0.99268
|
5.8000
|
0.17256
|
8.3000
|
0.029991
|
|
0.8000
|
5.7116
|
3.4000
|
0.92565
|
5.9000
|
0.16088
|
8.4000
|
0.027966
|
|
0.9000
|
5.3251
|
3.5000
|
0.86315
|
6.0000
|
0.15
|
8.5000
|
0.026077
|
|
1.0000
|
4.9649
|
3.6000
|
0.80483
|
6.1000
|
0.13986
|
8.6000
|
0.024315
|
|
1.1000
|
4.6292
|
3.7000
|
0.7504
|
6.2000
|
0.1304
|
8.7000
|
0.022671
|
|
1.2000
|
4.3163
|
3.8000
|
0.69962
|
6.3000
|
0.1216
|
8.8000
|
0.021137
|
|
1.3000
|
4.0248
|
3.9000
|
0.65228
|
6.4000
|
0.11339
|
8.9000
|
0.019707
|
|
1.4000
|
3.753
|
4.0000
|
0.60816
|
6.5000
|
0.10573
|
9.0000
|
0.018374
|
|
1.5000
|
3.4996
|
4.1000
|
0.56703
|
6.6000
|
0.098585
|
9.1000
|
0.017131
|
|
1.6000
|
3.2631
|
4.2000
|
0.52871
|
6.7000
|
0.091917
|
9.2000
|
0.015973
|
|
1.7000
|
3.0424
|
4.3000
|
0.493
|
6.8000
|
0.085698
|
9.3000
|
0.014894
|
|
1.8000
|
2.8366
|
4.4000
|
0.45971
|
6.9000
|
0.079899
|
9.4000
|
0.013889
|
|
1.9000
|
2.6446
|
4.5000
|
0.42867
|
7.0000
|
0.074494
|
9.5000
|
0.012951
|
|
2.0000
|
2.4657
|
4.6000
|
0.3997
|
7.1000
|
0.069457
|
9.6000
|
0.012076
|
|
2.1000
|
2.299
|
4.7000
|
0.37267
|
7.2000
|
0.064763
|
9.7000
|
0.011259
|
|
2.2000
|
2.1436
|
4.8000
|
0.34746
|
7.3000
|
0.060388
|
9.8000
|
0.010498
|
|
2.3000
|
1.9988
|
4.9000
|
0.32395
|
7.4000
|
0.056311
|
9.9000
|
0.0097885
|
|
2.4000
|
1.8639
|
5.0000
|
0.30203
|
7.5000
|
0.052508
|
10.0000
|
0.0091267
|
|
2.5000
|
1.738
|
|
|
|
|
|
|
Полученные результаты подтверждают теоретическое поведение, отображенное
на рисунке 12.
Вывод
Мы подробно рассмотрели и проанализировали динамическую модель управления
с бесконечным горизонтом в односекторной экономической системе. В проделанной
работе нам удалось проверить правильность теоретических материалов на
построенной нами модели и рассмотреть её поведение при различных, изначально
заданных, параметрах.