Факторы, вызывающие мутацию
ВВЕДЕНИЕ
Одним из фундаментальных понятий современной
математики являются вектор и его обобщение - тензор. Эволюция понятия вектора
осуществлялась благодаря широкому использованию этого понятия в различных
областях математики, механики, а так же в технике.
Конец прошлого и начало текущего столетия
ознаменовались широким развитием векторного исчисления и его приложений. Были
созданы векторная алгебра и векторный анализ, общая теория векторного
пространства. Эти теории были использованы при построении специальной и общей
теории относительности, которые играют исключительно важную роль в современной
физике.
В соответствии с требованиями новой программы по
математике понятие вектора стало одним из ведущих понятий школьного курса
математики.
Использование скалярного произведения крайне
широко, как в элементарных, так и в весьма абстрактных областях математики,
физики и прикладных наук.
Широко известны следующие применения:
любые геометрические вычисления (как собственно
в математике, так и в приложениях), связанные с длинами, углами,
проецированием, ортогональностью;
широчайшее применение в физике (как
элементарной, так и в современной общей и теоретической физике);
разложение векторов по базису и переход к новому
базису, являющееся основой многих разделов математики и ключевым приемом
эффективного решения практических геометрических задач или практических задач,
формулируемых на языке линейной алгебры (относящихся, например, к статистике);
разложение по базису в бесконечномерном случае:
ряды Фурье <#"55968.files/image001.gif">
) с началом А и концом В).
Начало вектора часто называется его точкой приложения.
Рис. 1
Таким образом, определение вектора таково:
Вектор - это направленный отрезок, соединяющий
две точки в пространстве или в плоскости.
Расстояние между началом и концом вектора
называется его длиной. Для обозначения длины вектора (его абсолютной величины)
пользуют символ модуля. Так 
и 
обозначают длины
соответствующих векторов.
Вектор единичной длины называют единичным
вектором.
Единичный вектор, имеющий одинаковое направление
с данным вектором
называется ортом вектора 
и обозначается символом 
.
К векторам относится и так называемый нулевой
вектор, у которого начало и конец совпадают. Считается, что нулевой вектор не
имеет определенного направления и имеет длину равную нулю. Это позволяет
обозначать нулевой вектор вещественным числом 0 (нуль).
Векторы расположенные либо на одной прямой, либо
на параллельных прямых называются коллинеарными. Нулевой вектор считается
коллинеарным любому вектору. Среди коллинеарных векторов различают одинаково
направленные (сонаправленные) и противоположно направленные векторы.
Векторы называются компланарными, если они
лежат, либо на одной плоскости, либо на прямых, параллельных одной и той же
плоскости.
Определение: Два вектора называются равными,
если они: 1) коллинеарны; 2) равны по длине; 3) одинаково направлены.
Следствие 1. Для любого вектора
и для любой точки А,
существует, и притом единственная, точка B такая, что 
.
Следствие 2. Из равенства 
следует 
(симметричность).
Следствие 3. Из того, что 
и 
, следует 
(транзитивность).
1.2 Операции над векторами
Сложение векторов и умножение вектора на число
называются линейными операциями над векторами.
Определение: Суммой 
двух векторов и называется
вектор, имеющий начало в начале вектора 
, а конец - в конце вектора 
, при условии, что вектор 
приложен к концу вектора 
.
Рис. 2
В соответствии с определением слагаемые
и 
и их сумма 
образуют треугольник (рис.2).
Поэтому данное правило сложения двух векторов называют «правилом треугольника».
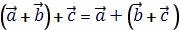
Операция сложения векторов обладает свойствами:

(коммутативность);

(ассоциативность);

для любого вектора 
(особая роль нулевого вектора);
для каждого вектора 
существует противоположный ему
вектор 
такой, что
(для получения 
достаточно поменять местами
начало и конец вектора
).
Вектор противоположный вектору
обозначают 
Определение: Разностью
векторов 
и 
называется сумма вектора 
и вектора противоположного
вектору
, т.е. 
Рис. 3
Замечание: Существует еще одно правило сложения
векторов, называемое «правилом параллелограмма»: векторы 
и 
направляются из общего начала
, и на них строится
параллелограмм (рис. 4). Суммой 
будет вектор 
, расположенный на диагонали
параллелограмма. Разностью 
здесь будет вектор 
, расположенный на второй
диагонали.
Рис. 4
В векторной алгебре вещественные числа обычно
называют скалярными величинами или скалярами.
Определение: Произведением
вектора
на вещественное число
(скаляр) называется вектор
, такой, что 1) 
; 2) вектор 
коллинеарен вектору 
;3) векторы 
и
имеют одинаковое
(противоположное) направление при 
(
).
Замечание: В случае, когда 
или 
произведение 
является нулевым вектором.
Операция умножения вектора на число обладает
следующими свойствами:

(ассоциативное свойство
сомножителей);

Действительно, заметим, что векторы, стоящие
обеих частях равенства, имеют одну и ту же длину
.
Кроме того, они коллинеарны и одинаково направлены, так как их направление
совпадает с направлением
, если λ
и
μ
одного
знака, и противоположно направлению
,
если λ
и
μ
имеют
разные знаки. Если же λ или μ
равны
нулю, то обе части равенства равны нулю. Свойство доказано.
Построим треугольник OAB где
и
.
Построим далее треугольник SPQ, где
и
.
Так как стороны SP, PQ треугольника SPQ параллельны и пропорциональны сторонам
OA, AB треугольника OAB, то эти треугольники подобны. Поэтому сторона SQ также
параллельна стороне OB и отношение их длин также равно |λ|.
Ясно,
далее, что
и
одинаково
направлены, если λ > 0. Отсюда
следует, что
. Но
и
,
а отсюда вытекает первое свойство дистрибутивности.
Очевидно, что векторы, стоящие в обеих частях
второго свойства дистрибутивности коллинеарные. Допустим сначала, что знаки λ
и
μ
одинаковы.
Тогда векторы
и
направлены
одинаково и длина их суммы равна сумме их длин, т.е.
.
Но
и
следовательно, в этом случае векторы
и
равны
по длине. Направление их совпадает с направлением вектора
,
если общий знак λ и μ
положителен,
и противоположно ему, если отрицателен. Допустим теперь, что знаки λ
и
μ
различны,
и для определенности будем считать |λ| > |μ|. В
этом случае длина суммы равна разности длин, точнее
.
Но
.
Следовательно, и в этом случае длина вектора
равна
длине вектора
. Очевидно, что оба эти вектора
направлены так же, как
. Если же |λ|
= |μ| и знаки λ и
μ
противоположны,
то обе части равенства равны нулю. То же обстоятельство имеет место, если равен
нулю вектор
или оба скаляра одновременно.
Теорема: Если вектор 
коллинеарен ненулевому вектору
, то существует вещественное
число 
такое, что 
1.3 Базис
Свойства вектора в данном базисе.
Определение: Базисом на плоскости (в
пространстве) называется любая упорядоченная пара неколлинеарных (тройка
некомпланарных) векторов
Базис на плоскости (в пространстве) позволяет
однозначно сопоставить каждому вектору упорядоченную пару (тройку) чисел -
коэффициенты представления этого вектора в виде линейной комбинации векторов
базиса. Наоборот, каждой упорядоченной паре (тройке) чисел 
при помощи базиса 
можно сопоставить вектор
с помощью линейной комбинации
Числа 
- называются компонентами (или
координатами) вектора
в данном базисе
В заданном базисе вектор
возможно задавать с помощью координат:
Теорема: При сложении двух векторов их
координаты складываются. При умножении вектора на число все координаты вектора
умножаются на это число.
1.4 Проекция вектора
Действительно, если
и
,
то
.
Под углом между векторами понимается угол между
векторами равными данным и имеющими общее начало. Если направление отсчета угла
не указано, то углом между векторами считается тот из углов, который не
превосходит π. Если один из
векторов нулевой, то угол считается равным нулю. Если угол между векторами
прямой, то векторы называются ортогональными.
Определение: Ортогональной проекцией
вектора
на направление вектора
называется скалярная величина
φ - угол между
векторами (рис. 5).

Модуль этой скалярной величины равен длине
отрезка ОА.
Если угол φ острый
проекция является положительной величиной, если угол φ
тупой
- проекция отрицательна, если угол φ прямой
- проекция равна нулю.
Проекции векторов обладают следующими
свойствами:

(проекция суммы равна сумме
проекций);

проекция произведения вектора
на число равна произведению проекции вектора на число).
Проекции векторов играют особую роль в
ортогональных (ортонормированных базисах).
Базис называется ортогональным, если его векторы
попарно ортогональны.
Ортогональный базис называется ортонормированным,
если его векторы по длине равны единице. Для ортонормированного базиса в
пространстве часто используют обозначения
.
Теорема: В ортонормированном базисе координаты
векторов есть соответствующие ортогональные проекции этого вектора на
направления координатных векторов.
Пример: Пусть вектор 
единичной длины 
образует с вектором 
ортонормированного базиса
на плоскости угол φ
(рис.
6), тогда
Рис. 6
Пример: Пусть вектор вектор
единичной длины 
образует с векторами 
, 
, 
ортонормированного базиса
ортонормированного базиса в
пространстве углы α, β, γ, соответственно
(рис.7), тогда
Рис. 7
Причем
Величины 
называются направляющими
косинусами вектора
Проекции вектора на координатные оси называются
также его (декартовыми) координатами.
Если даны две точки 
и 
, являющиеся соответственно
началом и концом вектора
, то его координаты x,y,z
определяются по формулам
В этом случае модуль вектора равен:
С использованием направляющих косинусов
координаты вектора можно записать в виде:
С использованием проекций легко записать
операции сложения (вычитания) векторов, а также умножения вектора на число:
В частности, если
Если 
, то для любого числа 
Векторы, лежащие на одной прямой или на
параллельных прямых, называются коллинеарными. Признаком коллинеарности двух
векторов
является пропорциональность их координат:
Приведем еще раз определение координатного
базиса (с использованием проекций).
Тройка векторов
называется координатным
базисом, если эти векторы удовлетворяют следующим условиям:
). Вектор 
ежит на оси Ох, вектор 
- на оси Оу, вектор
- на оси Oz;
). Каждый из векторов 
направлен по своей оси в
положительную сторону;
). Векторы 
единичные, то есть 
Каким бы ни был вектор 
, он всегда может быть разложен
по базису
, то есть может быть
представлен в виде
коэффициенты этого разложения являются
координатами вектора 
(то есть x, y, z есть проекции
вектора 
на координатные оси).
2. СКАЛЯРНОЕ ПРОИЗВЕДЕНИЕ ВЕКТОРОВ
Определение: Скалярным произведением двух
векторов называется число, равное произведению длин этих векторов на косинус
угла между ними. Если один из векторов нулевой скалярное произведение считается
равным нулю.
Скалярное произведение векторов 
и 
обозначается через
Если φ - угол
между векторами 
и 
, то
Скалярное произведение векторов 
и 
можно выразить также формулой
Из формулы (1) следует, что 
, если 
(острый угол), 
, если 
(тупой угол); 
в том и только в том случае,
когда векторы 
и 
перпендикулярны.
Скалярное произведение 
называется скалярным квадратом
вектора и обозначается символом 
. Из формулы (1) следует, что
скалярный квадрат вектора равен квадрату его модуля:
2.1 Свойства скалярного произведения
Скалярное произведение обладает следующими
свойствами (часть этих свойств приведена ранее. Здесь они приведены для
полноты):

(коммутативность).

(скалярный квадрат вектора
равен квадрату его длины).
Скалярное произведение равно нулю тогда и только
тогда, когда сомножители ортогональны или хотя бы один из них нулевой
вектор пространство скалярный
величина




Неравенство Коши - Буняковского
<#"55968.files/image005.gif">
и 
выполняется неравенство: 
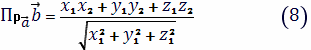
Теорема: В ортогональном базисе 
компоненты любого вектора
находятся по формулам:

Величины 
называются метрическими
коэффициентами данного базиса. Следовательно
Эти формулы принимают более простой (и
компактный вид) в ортонормированном базисе.
Действительно, пусть
,
причем каждое слагаемое коллинеарно-соответствующему базисному вектору. Из
теоремы второго раздела следует, что
,
где выбирается знак плюс или минус в зависимости от того, одинаково или
противоположно направлены векторы
,
и
.
Но,
,
где φ
- угол
между векторами
, и
.
Итак,
.
Аналогично вычисляются и остальные компоненты.
Теорема: В ортонормированном базисе
имеют место следующие равенства:
) для двух векторов: 
и 
имеем:
) для вектора: 
имеем:
) для векторов 
и 
проекция вектора 
на вектор 
равна:
) для векторов 
и 
угол между ними равен:
Из формулы (4) следует необходимое и достаточное
условие перпендикулярности двух векторов
Проекция произвольного вектора
на какую-нибудь ось U
определяется формулой
где 
- единичный вектор, направленный
по оси U.
Действительно, если даны углы 
которые ось U составляет с
координатными осями, то
и тогда имеет место формула:
3. ПРИМЕНЕНИЕ СКАЛЯРНОГО
ПРОИЗВЕДЕНИЯ
Использование скалярного произведения крайне
широко, как в элементарных, так и в весьма абстрактных областях математики,
физики и прикладных наук. Ниже приведены несколько примеров использования
скалярного произведения векторов.
Пример
Найти длину вектора 
, если 
Решение:
Пример 4.2Теорема косинусов
Рис. 8
В треугольнике квадрат стороны с равен сумме
квадратов других сторон минус удвоенное произведение длин этих сторон на
косинус угла между ними (см. рисунок 8)
Введем вектора, как показано на рисунке выше.
Тогда получим (с использованием формулы (3)):
Пример
Доказать, что диагонали четырехугольника,
заданного координатами вершин А(-4;-4;4), В(-3;2;2),C(2; 5;1), D(3;-2;2),
взаимно перпендикулярны.
Решение: Составим вектора АС и BD, лежащие на
диагоналях данного четырехугольника. Имеем:
Найдем скалярное произведение этих векторов:
Отсюда следует, что 
. Следовательно, диагонали
четырехугольника ABCD взаимно перпендикулярны.
Пример 4.4
Работа постоянной силы
Пусть материальная точка перемещается
прямолинейно из положения А в положение В под действием постоянной силы F,
образующей угол
с перемещением АВ= S (см.рис.
9).
Рис. 9
Из физики известно, что работа силы F при
перемещении S равна
Таким образом, работа постоянной силы при
прямолинейном перемещении ее точки приложения равна скалярному произведению
вектора силы на вектор перемещения.
Пример
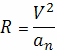
Радиус траектории движения материальной точки.
Тело бросили горизонтально (в поле сил тяжести) со скоростью 
. Найти радиус траектории
движения тела через t секунд
Рис. 10
Решение: При движении по криволинейной
траектории радиус равен:
где 
- модуль скорости тела, 
- «нормальное» ускорение -
компонента полного ускорения тела, перпендикулярная к полной скорости.
Так как тело движется в поле сил тяжести, то
через t секунд проекции скорости по осям х и у равны:
где 
- ускорение свободного
падения. Теперь получим:

Пример
В правильном тетраэдре DABC отрезок MN соединяет
середину ребра AD с центром граниBCD, а отрезок QP соединяет середину ребра CD
с центром грани ABC . Найти угол между отрезками MN и PQ (см. Рис. 11).
Рис. 11
Решение. Положим
. Из простых геометрических
соображений получим:
Обозначим 
- угол между векторами 
и 
. Из формулы (1) (определение
скалярного произведения) получим:
Очевидно, что:
Отсюда получим:
Так как
то имеем:
Подставив полученные выражения в (***), получим:
Ответ. Угол между отрезками MN и PQравен: 
Рассмотрим интересную задачу: «
»
Она предполагает разнообразные способы решения,
применение которых позволяет демонстрировать значение использования
внутрипредметных связей при установлении зависимостей между математическими
объектами.
Решение:
Первый способ.
Из условия вытекает, что
И нужно доказать, что
Следующая
цепочка верных неравенств приведет нас к желаемому результату:
Требуемое доказано.
Второй способ.
Ясно, что
В силу соотношения между средним геометрическим
и средним арифметическим двух неотрицательных чисел можно записать следующее:
Прибавим к обеим частям верного неравенства
выражение
Получаем:
Но
поэтому
Третий способ.
Опираясь на соотношение между средним
квадратичным и средним арифметическим двух положительных чисел, имеем:

Четвертый способ решения указывает на связь
алгебры и тригонометрии.
Согласно условию можно допустить: 
Решение
задачи свелось к доказательству истинности
неравенства
Очевидно, что


И требуемое очевидно истинно.
Решение пятым способомосновано на применении
известного свойства скалярного произведения ненулевых векторов. (То есть 
где
-
угол между векторами
и
Причем, ввиду того, что 
И равенство слева выполняется в случае, если
векторы
и
противонаправлены,
а справа - если векторы
и
сонаправлены.)
Рассмотрим векторы
и
Тогда 
и
а
И далее
то
есть
Решим задачу шестым способом.
Рассмотрим графическую интерпретацию задачи.
Для этого введем замену: 
Тогда уравнение и неравенство
будут выглядеть так:
и
Учитывая, что
построим их графики - отрезок с
концами на координатных осях Ох и Оу в точках
,
и
открытую область, ограниченную четвертью окружности
Рис. 12
и положительными координатными
полуосями.
Ясно, что эти графики касаются в точке
Все точки первого графика расположены в области, являющейся графиком
неравенства
Следовательно, требуемое доказано.
ЗАКЛЮЧЕНИЕ
Скалярное произведение широко используется в
математике и других естественных науках. Решение многих задач получается
элегантным и компактным способом с использованием векторов. Отметим, что
свойства векторных операций во многом похожи на свойства сложения и умножения
чисел. В этом состоит удобство векторных операций: вычисления с векторами
выполняются по хорошо знакомым правилам. В то же время вектор - геометрический
объект, и в определении векторных операций используются такие геометрические
понятия, как длина и угол. С этим связана польза векторов для геометрии (и ее
приложений к физике и другим областям знания).
Заметим также, что алгебраическая трактовка
векторов (свойства, базис, скалярное произведение, и т.д.) позволило обобщить
понятие вектора на другие математические объекты. Например, понятие вектора
естественным образом используется в геометрии (в пространстве Минковского).
Широко используется «векторы» в функциональном анализе. И во всех таких
областях использование скалярного произведения играет решающую роль.
В данной работе была продемонстрирована
внутрипредметная связь алгебры и геометрии и, как следствие, поиск
рационального решения математической задачи, а также было выработано умение
определять круг задач, для решения которых можно применять векторы.
Список
используемой литературы
1. Атанасян
Л.С., Базылев В.Т. Геометрия, том №1.
2. Александров
П.С. Лекции по аналитической геометрии. М, Наука, 1968, 912 с.
. Мусхелишили
Н.И. Курс аналитической геометрии. М, Высшая школа, 1967, 655 с.
. Беклемишев
Д.В. Курс аналитической геометрии и линейной алгебры. М, Наука, 1971, 328 с.
. Математический
журнал "Квант № 1" 1978 года выпуска.