Строение и функции мозга
МИНИСТЕРСТВО
ОБРАЗОВАНИЯ РЕСПУБЛИКИ БЕЛАРУСЬ
БЕЛОРУССКИЙ
ГОСУДАРСТВЕННЫЙ УНИВЕРСИТЕТ
Химический
факультет
Кафедра
физической химии
Курсовая
работа
Уравнения
состояния жидкостей и кристаллов
Исполнитель:
Кравченко Ольга Владимировна
Научный
руководитель: Павлечко Евгений Владимирович
Минск 2010
Содержание
Введение
1. Уравнения состояния жидкостей
. Уравнение состояния твёрдых тел.
. Уравнение состояния Грюнайзера
. Уравнение состояния кристаллов инертных газов вблизи
металлизации
5. Уравнение Мурнагана-Берча
6. Уравнение состояния для фрактальной структуры твёрдого
тела
Заключение
Литература
Введение
Все окружающие нас вещества находятся в состоянии фазового равновесия или
стремятся к нему. Большинство технологических процессов проводится в условиях,
близких к равновесным, и если для каких-то процессов предусмотрен другой режим,
то все же в такой ситуации необходимо знать, к чему может привести наступление
равновесия. Для состояний термодинамического равновесия справедливы соотношения,
задаваемые уравнением состояния.
Уравнение состояния - уравнение, связывающее между собой
термодинамические (макроскопические) параметры системы, такие, как температура,
давление, объём, химический потенциал и другие. Уравнение состояния можно
написать всегда, когда можно применять термодинамическое описание явлений. При
этом реальные уравнения состояний реальных веществ могут быть крайне сложными.
Уравнение состояния системы не содержится в постулатах термодинамики и не
может быть выведено из неё. Оно должно быть взято со стороны (из опыта или из
модели, созданной в рамках статистической физики).
Уравнение состояния соответствующего вида может применяться для оценки
многих важных свойств чистых веществ и их смесей, например для оценки :
) плотности жидкой и паровой фаз
) давления пара
) критических свойств смесей
) равновесных отношений между паром и жидкостью
) отклонения энтальпии от идеального состояния
) отклонения энтропии от идеального состояния.
В настоящее время не существует такого уравнения состояния, которое было
бы в равной степени применимо для оценки всех этих свойств какой-либо обширной
группы веществ.
Следует отметить, что некоторые из уравнений представляют на сегодняшний
день только исторический интерес, однако большинство из них имеют как
теоретическую, так и практическую ценность.
уравнение состояние термодинамический равновесие
1. Уравнения состояния жидкостей
Механическое состояние вещества в отличие от термического или
термодинамического можно описать при наличии известных величин давления,
температуры и объема. Поскольку эти три параметра связаны между собой
посредством так называемого уравнения состояния f(P, V, Т) = 0, только два из них независимы.
Основные уравнения термодинамики также представляют собой соотношения
определенных трех параметров, например f (U, S, V) = 0, на основе которых
можно найти все прочие термодинамические свойства, включая соотношение PVT. И напротив, данные о соотношении PVT в сочетании с известной теплоемкостью
идеального газа как функцией температуры также составляют одно из основных
уравнений термодинамики.
На первоначальном этапе исследований было обнаружено, что закон идеальных
газов зачастую может дать лишь очень приблизительное описание реального газа.
Эти отклонения объяснялись тем, что молекулы имеют конечный объем, и влиянием
межмолекулярных сил отталкивания и притяжения. Ван-дер-Ваальс (1873) предложил
уравнение, в котором количественно учтены оба этих фактора, и впоследствии оно
было положено в основу целого ряда уравнений состояния, широко применяемых в
наши дни. Это уравнение количественно определяет условия одновременного
существования жидкой и паровой фаз и критическое состояние системы. В
этой же работе Ван-дер-Ваальс выдвинул очень важный принцип соответственных
состояний.
В результате исследования сил межмолекулярного взаимодействия Урселл
(1927) вывел, используя методы статистической механики, вириальное уравнение
состояния, фактически предложенное задолго до него Тизеном (1885), который
пришел к нему чисто эмпирическим путем, и развитое впоследствии Оннесом (1901).
Одним из преимуществ такого способа вывода уравнения является создание
теоретических основ для соотнесения поведения смеси с ее составом и свойствами
чистых компонентов. Позднее было разработано уравнение, связанное с вириальным
уравнением состояния; ряд модификаций первого уравнения широко используется в
настоящее время для легких углеводородов и неорганических газов, жидких и
паровых фаз, а также для смесей. Некоторые из вариантов вириального уравнения
состояния включают до тридцати констант, поэтому применять их, не располагая
ЭВМ, практически невозможно.
Среди многочисленных модификаций уравнения Ван-дер-Ваальса наиболее
точными являются уравнение Редлиха и Квонга:
и более современные модификации, предложенные Соавом, а также Пенгом и
Робинсоном:
Это кубические уравнения, в которые входят в основном параметры,
характеризующие критическое состояние, но существуют и такие их модификации, в
которые входят температура и такие параметры, как, например, критическая сжимаемость
или ацентрический коэффициент.
Количественных данных, характеризующих поведение жидкостей, получено
гораздо меньше, чем для газов, хотя в этом направлении в настоящее время
ведутся обширные исследования как теоретического, так и коррелятивного характера.
Многие уравнения состояния, как сложные, например уравнение Бенедикта - Уэбба -
Рубина:
Где:- давление, Па;- абсолютная температура, К;
R-
универсальная газовая постоянная, Дж/(моль·К);
ρm - мольная плотность, моль/м³;
- восемь волюметрических констант конкретного вещества.
Так и более простые, например уравнение Пенга - Робинсона:
Здесь
R - универсальная газовая постоянная.
- объем
одного моля вещества.
- универсальная функция, зависящая от двух
индивидуальных параметров, характеризующих свойства той или иной конкретной
жидкости: критической температуры (
) и, так
называемого, ацентрического фактора (
). Из
приведенных формул видно, что отличие этого уравнения от уравнения ван-дер-Ваальса
связано с членом, описывающим притяжение молекул друг к другу. При переходе от
уравнения ван-дер-Ваальса к уравнению Пенга-Робинсона константа
в члене
заменена
на вполне определенную функцию температуры, а величина
в знаменателе ван-дер-Ваальсовского члена - на
специального вида квадратный трехчлен.
Основное
достижение уравнения Пенга-Робинсона состоит в очень эффективном,
непринужденном, описании термодинамических свойств смесей.
Также уравнение Харменса - Кнаппа, которое позволяет наиболее точно
рассчитать давление насыщения и объем насыщенной жидкости, разработаны
специально для представления плотностей жидкостей.
Также существует уравнение состояния Тейта, которое описывает влияние
давления на физические свойства веществ. Непосредственным результатом действия
давления является сжатие вещества, то есть изменение его объема вследствие
изменения межатомных (межмолекулярных) расстояний. Способность вещества
изменять свой объем под действием давление характеризуется сжимаемостью. С
увеличением давления, плотность газов растет и при давлении порядка сотен МПа
приближается к плотности жидкостей. При 1 ГПа плотность большинства жидкостей
возрастает на 20-30% по сравнению с плотностью при нормальном давлении. Для
многих металлов при 10 ГПа плотность возрастает на 6-15%, для других твердых
тел - на 15-25%. Именно такое изменение объема жидкости или сильно сжатого газа
в интервале давления от некоторого начального р0 до значения р может
быть описано уравнением Тейта:
где V0 и V- объем вещества при давлении р0 и р
соответственно, С и В - эмпирически постоянные.
Температуры плавления tпл подавляющего большинства веществ
повышаются с увеличением давления. Исключения - вода, Bi, Ga, Ge и некоторые
другие вещества, плотность которых в твердой фазе ниже, чем в жидкой. Однако и
у этих веществ по достижении давления перехода твердой фазы с низкой плотностью
в другую кристаллическую модификацию с плотностью большей, чем у жидкости,
начинается рост tпл с давлением. Для описания зависимости tпл
от давления широко используют уравнение состояния Саймона:
(p - pтр)/a = (tпл / tтр)с -1
где ртр и tтр-давление и температура тройной точки
вещества, а и с - эмпирические постоянные.
При наличии термического и калорического уравнений состояния можно,
используя термодинамические соотношения, вычислить любой термодинамический
параметр системы. По этой причине одной из фундаментальных задач термодинамики
и статистической физики всегда был поиск уравнения состояния вещества. Было
найдено ещё одно двухпараметрическое калорическое уравнение состояния жидкости,
полученное из решения соответствующего дифференциального уравнения состояния, и
рассматривается способ расчета такого важного для теории жидкостей
термодинамического параметра, как внутреннее давление.
Калорическое уравнение состояния показывает, как внутренняя энергия
выражается через давление, объем и температуру. Для системы с постоянным числом
частиц оно выглядит так:
или, учитывая, что давление можно выразить из термического уравнения:
Таким образом мы имеем выраженную из термического уравнения полную энергию
системы:
U(V,T) = -ζ (T)V(1-θ)+ 
RT
m- масса
жидкости, находящейся в объёме V

-
молекулярная масса жидкости
i - число
степеней свободы молекул гипотетического идеального газа с теми же температурой
и объёмом, что и реальная жидкость.
ζ (Т) и θ (Т) - параметрические функции уравнения.
2. Уравнение состояния твёрдых тел
Для твёрдых тел термическое уравнение состояния определяет зависимость
модулей упругости от температуры и давления. Оно может быть получено на
основании теории теплового движения в кристаллах, рассматривающей фононы (квант
колебательного движения атомов кристалла) и их взаимодействие, но пока общего
уравнения состояния для твёрдых тел не найдено.
Равновесное состояние твердого тела при абсолютном нуле температуры и
нулевом давлении характеризуется взаимной компенсацией между атомными силами
притяжения и отталкивания, а также минимумом потенциальной упругой энергии. При
абсолютном нуле температуры атомы совершают так называемые нулевые колебания, с
которыми связана энергия hω/2, приходящаяся на одно нормальное
колебание частоты ω.
Холодные составляющие не зависят от температуры и характеризуют только
упругое взаимодействие атомов материала. Тепловые составляющие - реакция
материала на нагревание. Если температура не слишком велика, то атомы твердого
тела в основном совершают колебания вокруг своих положений равновесия.
Перемещение атомов в пространстве путем перескока в межузлие или другие
вакантные узлы требует преодоления потенциальных барьеров. При сжатии,
вследствие возрастания сил отталкивания, высоты потенциальных барьеров также
резко возрастают. Свободные перемещения частиц при этом еще больше
затрудняются, и их движение остается ограниченным пространством своих ячеек. В
этих условиях оно сохраняет свойство гармонических колебаний в широком
температурном интервале, включающем и состояния, возникающие при ударном сжатии
«сплошных» образцов. Именно по этим причинам описать состояния твёрдых тел
становится весьма трудно.
3. Уравнение состояния Грюнайзера
Но было выведена простая калорическая модель уравнения состояния для
описания термодинамических свойств твердых материалов без учета фазовых
переходов с минимальным числом параметров в качестве начальных данных:
Это уравнение было выведено при использовании уравнений Грюнайзера:
Где:
-- экспериментальное значение электронной теплоёмкости при нормальных
условиях.
-- связь упругого давления с потенциальной энергией, механический смысл:
приращение энергии равно работе сжатия и может рассматриваться как уравнение
изотермы или адиабаты холодного сжатия.
γ- электронный аналог коэффициента
Грюнайзена, выражающий отношение теплового давления электронов к плотности их
тепловой энергии.
Выведенное уравнение удовлетворяет уравнению Грюнайзера и коэффициент Грюнайзера
зависит в нём как от объёма, так и от температуры.
4. Уравнение Мурнагана-Берча
Существует ещё одно уравнение для твёрдых тел: уравнение состояния
Мурнагана-Берча. Мурнаган использовал макроскопический подход при исследовании
свойст твёрдых систем.
При T (или S ) = const
он дает зависимость давления от объема типа :
где величины с индексом 0 относятся к P = 0 и произвольной температуре, =
V/V0 = r0/r и модули K0 ≡ KT0, K0 = ( KT/ P)T0,... - материальные параметры.
Большинство данных по этим параметрам получено при комнатной температуре.
Используя различные методы вычислений, Мурнаган получил следующее
уравнение:
5. Уравнение состояния кристаллов инертных газов вблизи металлизации
В настоящее время большое внимание уделяется уравнению состояния
кристаллов инертных газов вблизи металлизации.
Такой переход под давлением происходит при сжатии, когда щель между
занятыми и пустыми зонными состояниями обращается в нуль. Величина давления
металлизации, характер обращения в нуль запрещённой щели и свойства вещества в
этих условиях представляют несомненный интерес.
В общем случае при конечной температуре T уравнение состояния можно представить в виде:
Давление pstat -
давление, создаваемое в покоящейся решётке.
Следует отметить, что при больших сжатиях определяющий вклад вносит
статическая решётка при T=0.
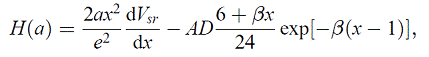
Для кубического кристалла уравнение состояния примет вид:
Где :
х= a/ a0, a - постоянная решётки сжатого кристалла,
H (a) - первая производная по постоянной
решётки от потенциалов короткодействия Vsr и части потенциала, оставшейся после
выделения из него потенциала Ван-дер-Ваальса.
Коэффициент 0,301123 - величина медленно сходящейся решёточной суммы.
6. Уравнение состояния для фрактальной структуры твёрдого
тела
Однако твёрдые тела образуются различными способами. В зависимости от
способа образования, они имеют различную структуру.
Известно, что конденсированное состояние вещества может существовать не
только в форме плотной сплошной среды, но и в виде сильно разрыхленных пористых
структур. Такого рода структуры образуются, как правило, в результате
конденсации в сложных неравновесных условиях, например при слипании движущихся
по определенному закону твердых частиц или в результате взаимодействия
дислокаций при пластической деформации металлов. Подобного рода структуры
получили название фрактальных агрегатов. Они в большинстве своем являются
неупорядоченными, сложными для исследования, и их макроскопические свойства
практически не изучены.
Однако такие структуры могут описываться различными уравнениями
состояния.
Фрактальной структурой обладают многие твердые материалы. К ним причисляются
полимеры, углеродные наноматериалы и нанокомпозиты, пористый кремний,
гранулированные металлы, керамики и др.
Исследование их теплофизических свойств представляет значительный
теоретический и практический интерес. В широком диапазоне давлений и температур
вещества с фрактальной структурой характеризуются разнообразными свойствами,
которые тесно связаны с элементарными возбуждениями (фононами, плазмонами,
магнонами и др.).
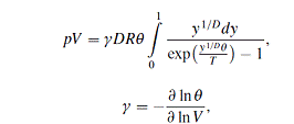
Именно для таких систем получено следующее уравнение состояния:
Где:
γ- параметр Грюнайзена
D -
спектральная фрактальная размерность. (
, где N - число фононов, А и В - некоторые постоянные, зависящие от
физических свойств твёрдого тела, λ и ω - длина волны и частота фононов)
- характеристическая температура.
Это уравнение остаётся приемлемым для однородных твердотелых фрактальных
структур, если не учитывать изменение поляризации фононов.
Заключение
Для жидкостей из-за сложности учёта всех особенностей взаимодействия
молекул пока не удалось теоретически получить общее уравнение состояния.
Уравнение Ван-дер-Ваальса хотя и применяют для качественной оценки поведения
жидкостей, но оно по существу неприменимо ниже критической точки, когда
возможно сосуществование жидкой и газообразной фаз. Уравнение состояния, хорошо
описывающее свойства ряда простых жидкостей, можно получить из приближённых
теорий жидкого состояния типа теории свободного объёма или дырочной теории.
Знание распределения вероятности взаимного расположения молекул (парной
корреляционной функции) принципиально позволяет вычислить уравнение состояния
жидкости, но эта задача очень сложна и полностью ещё не решена даже с помощью
вычислительных машин.
Для твёрдых тел так же весьма не велик список уравнений состояния.
Существует целый раздел химии, изучающий разные аспекты твердофазных веществ. И
в современной науке ведут исследования особенностей данного состояния вещества.
В данной работе были рассмотрены фрактальная структура и уравнение, описывающее
данное состояние, а так же уравнение состояния кристаллов инертных газов.
Сейчас ведутся исследования в данных направлениях и эти темы вызывают
неподдельный интерес в мире науки.
Литература
1. Уэйлес С. Фазовые равновесия в химической технологии: В
2-х частях. Часть 2, Пер. с англ. - Часть 1, 2 - М.: Мир,1989. - 360 с
2. Жарков В.Н., Калинин В.А. Уравнения состояния твердых
тел при высоких давлениях и температурах. М.: Наука, 1968. 311 с.
. Бушман А.В., Фортов В.Е. // УФН. 1983. Т. 140. В. 2.
С. 177-232.
. Зельдович Я. Б., Райзер Ю. П. Физика ударных волн
высокотемпературных гидродинамических явлений. M.: Наука, 1966. 688 с.
. Альтшулер Л. В., Кормер С. Б., Баканова А. А. и др.
Уравнения состояния алюминия, меди и свинца для области высоких давлений //
ЖЭТФ. 1960. Т. 38, № 3. С. 790-798.
6. Кузнецов Н.М. Уравнение состояния и теплоемкость воды
в широком диапазоне термодинамических параметров// ПМТФ.с 1961. N 1. С.
112-120.