Формирование рынка и экономический рост
Задание 1
Письменно изложите материал по теме:
Рынок:
условия возникновения, роль и функции
Рынок - это система экономических отношений, возникающих на основе
устойчивых экономических отношений производителей товаров и услуг и
потребителей.
Чтобы рынок был конкурентоспособным, должно быть более одного покупателя
или продавца. Было высказано предположение, что два человека могут торговать,
но чтобы был рынок должно быть не менее трёх человек, поскольку одним из
главных критериев рынка является конкуренция.
Конкурентные рынки опираются на значительно большее число как
покупателей, так и продавцов. Рынок с одним продавцом и несколькими
покупателями - есть монополия. Рынок одного покупателя и нескольких продавцов -
есть монопсония. Это крайности несовершенной конкуренции.
Условия возникновения рынка
Формирование рынка - длительный исторический процесс. Главными условиями,
сделавшими рынок объективно необходимым, являются следующие два:
. Общественное разделение труда. Оно возникло еще в глубокой древности. Истории
известны три крупные ступени (виды) общественного разделения труда. Первая
ступень - отделение скотоводства от земледелия, вторая - отделение ремесла от
земледелия и, наконец, третья ступень - возникновение купечества. В дальнейшем
стали дробиться отдельные отрасли, углублялась специализация производства на
основе обособления все новых видов трудовой деятельности, что способствовало
значительному росту производительности труда.
Именно благодаря этим трем крупным ступеням общественного разделения труда,
и были созданы материальные предпосылки для регулярного обмена, возникновения
частной собственности и разделения общества на классы. Прогресс в общественном
разделении труда характеризует уровень развития производительных сил общества.
Процесс этот по своей сути бесконечен, как бесконечно развитие производительных
сил и совершенствования орудий труда.
. Экономическая обособленность производителей. Товарный обмен, вызванный
к жизни общественным разделением труда, обязательно предполагает стремление к
эквивалентности. Ни один из участников обмена не хочет проиграть, поэтому все
они стремятся получить взамен своего товара равноценное количество другого
товара. Впервые экономическое обособление производителей исторически возникло
на базе частной собственности на средства производства.
Таким образом, появление рынка есть результат длительной экономической
эволюции человеческого общества. «Сотворение» рынка произошло вследствие поиска
людьми решения извечной экономической дилеммы: с одной стороны, редкие, ограниченные
ресурсы, а с другой - неограниченные потребности человека в разнообразных
благах. Отдельный человек любых наклонностей и способностей может что-либо
эффективно производить только в одной какой-нибудь области. Вместе с тем его
потребности исчисляются сейчас миллионами наименований потребительских благ.
Рыночная организация экономической жизни не является результатом
достижений разума или чьей-либо мудрости. Она возникла, благодаря процессу
обмена продуктами труда людей, способных производить их в ограниченном
количестве, но нуждающиеся во многих потребительских благах, производимых
другими людьми.
Участники рыночного обмена при этом не ставят своей целью содействовать
общественной пользе. Они даже не сознают, что вообще способны ей содействовать.
Обменивая продукты труда, они имеют в виду лишь свой собственный,
индивидуальный интерес, преследуют лишь собственную выгоду.
Подводя итог, можно сказать, что рынок возникает одновременно с товарным
производством, т.е. внутренний рынок появляется, когда появляется товарное
хозяйство. Он создается развитием этого товарного хозяйства, и степень
дробности общественного разделения труда определяет уровень его развития
(прямая зависимость). Рынок показывает производителям, что необходимо
производить и в каком количестве. Через рынок покупатели воздействуют на
производство. В этом смысле рынок есть саморегулирующаяся система
воспроизводства. Все ее звенья находятся под постоянным воздействием спроса и
предложения. Поэтому рынок выступает как определенный способ функционирования
хозяйственной жизни общества, основанный на товарном производстве и товарном
обмене.
Роль рынка
Свободный рынок характеризуется тремя важнейшими признаками: 1)
нерегулируемым предложением (производители самостоятельно решают, какие товары
и в каком количестве произвести); 2) нерегулируемым спросом (покупатель в
зависимости от наличия у него денежных средств самостоятельно определяет, что и
сколько приобрести); 3) нерегулируемой ценой, уравновешивающей спрос и
предложение (подумайте, почему цена их уравновешивает). При наличии всех этих
признаков происходит рыночная самонастройка, или рыночное регулирование
хозяйственной деятельности. В рыночном механизме особое значение имеет
соотношение спроса и предложения. Оно определяет соотношение денежных и
товарных потоков, образующихся на рынке. Колебания цен влияют на деятельность
товаропроизводителей. Выше цена (при определенных неизбежных издержках
производства) - большая прибыль; ниже цена - прибыль уменьшается. Если,
например, цена на овощи растет, их производить выгодно: это побуждает к
расширению производства. Однако поступление большого количества овощей на рынок
означает увеличение предложения, и если спрос соответственно не растет, то цена
снижается, т. е. спрос и предложение уравновесятся на более низком ценовом
уровне и производство овощей может стать невыгодным. Товаропроизводители будут
искать возможности производства более выгодного продукта.
Таким образом, рынок регулирует производство, "сигнализирует"
через цены производителю, что производить, какого качества и в каких
количествах. Поясним на примере. Швейная фабрика выпустила партию костюмов. На
производство этого товара были затрачены средства, которые называются
издержками производства. В них вошли зарплата, выплаченная работникам фабрики,
затраты на покупку сырья: тканей, ниток, пуговиц и всего необходимого при
пошиве, оплата затраченной электроэнергии, стоимость амортизации оборудования,
т. е. его износа в процессе работы. Чтобы произвести новую партию костюмов,
владельцу фабрики нужно продать первую партию и на вырученные деньги закупить
новые ткани, другие материалы, отремонтировать при необходимости машины, а
также выплатить зарплату работникам. Например, сумма, вырученная в результате
продажи, составляет 200 млн рублей, из которых 100 млн было затрачено на
использованное сырье, материалы, 50 млн - на зарплату рабочим, еще 50 млн
составили прибыль предприятия. Если спрос на рынке будет выше предложения, то
цена возрастет и выручка будет выше. Так, например, если партия костюмов будет
продана за 250 млн, прибыль в этом случае составит 100 млн. Когда спрос
окажется низким, цена на костюмы упадет. Если партию костюмов, например,
удалось продать за 150 млн, то прибыли не будет. Вырученные средства лишь
покроют издержки производства. Можно ли получить прибыль иным путем? Да. Можно
сократить расход материалов, например, за счет более рационального раскроя
ткани. Если при этом затраты сократятся, скажем, на 20 млн, то на эту сумму
увеличится прибыль. Можно также повысить производительность труда по сравнению
с другими предприятиями за счет применения более совершенной техники (например,
использовать более совершенные швейные машины). Предположим, за то же время
удалось сшить в два раза больше костюмов и продать их по средней рыночной цене.
Следовательно, выручка составит 400 млн, из которых 200 млн пойдут на покрытие
производственных затрат, 50 млн - на зарплату, а 150 млн составят прибыль.
Таким образом, рынок может побуждать к снижению производственных затрат, а
также к совершенствованию техники, повышению производительности труда.
Напротив, неэкономное ведение дела, низкая производительность труда
делают производство невыгодным (низкая прибыль), а возможно, и убыточным. В
таком случае грозит разорение. Итак, экономические законы стимулируют тех производителей,
у которых индивидуальные издержки производства ниже общественно необходимых, т.
е. средних, в данной отрасли. Они поощряют повышение производительности труда,
совершенствование техники и технологии, регулируют распределение ресурсов для
производства тех или иных товаров, а в результате делают выгодным производство
тех товаров, которых недостает и, следовательно, спрос на которые превышает
предложение. Это и есть рыночный механизм регулирования пропорций производства.
Вместе с тем происходит дифференциация товаропроизводителей: одни обогащаются,
другие беднеют или терпят банкротство. Мы охарактеризовали рынок товаров и
услуг. Но в рыночной экономике действуют еще рынки рабочей силы (труда),
средств производства, ценных бумаг и валюты, информации и др. Рынок труда имеет
те же три признака, что и рынок товаров: спрос, предложение, цена. Что же здесь
продается и покупается? Тот особый товар, о котором говорилось ранее,- рабочая
сила. Действует тот же механизм спроса и предложения. Если на рынке труда много
специалистов определенной профессии, а потребность в них невелика, то зарплата
им предлагается невысокая, а часть их остается без работы. Напротив, когда
большой спрос на работников какой-то специальности, а на рынке труда желающих
получить эту работу мало, предприятия соглашаются на более выгодные для
работника условия. Рынок ценных бумаг и валюты, как и два рассмотренных типа
рынков, означает предложение и спрос, но в качестве товара здесь выступают
ценные бумаги (акции, облигации), валюта.
Так, акции, о которых уже говорилось (это документы, подтверждающие права
совладельца предприятия), продаются и покупаются, кстати, вовсе не обязательно
только теми, кто работает на предприятии, выпустившем их. Если дела предприятия
идут хорошо и прибыль его велика, то акции пользуются спросом и продаются по
цене, выше их номинальной цены; например, тысячедолларовая акция продается за
1300 долларов. И наоборот, если акционерная компания несет убытки и держатели
акций стремятся избавиться от них, то цена на них падает ниже номинальной. В
зависимости от состояния экономики какой-либо страны ее валюта (доллары, марки,
франки и т. д.) обменивается на другие валюты в той или иной пропорции.
Научно-техническая революция неизмеримо увеличила ценность знаний. Предполагается,
что скоро в стоимости товара 95% будет составлять стоимость интеллектуального
труда. Поэтому становится выгодным продавать и покупать информацию, знания о
способах деятельности, новых технологиях и т. п. На этой основе развивается
рынок информации. Большую роль в функционировании рынка играют специальные
учреждения - биржи. Товарная биржа - это форма рынка товаров, продаваемых
большими партиями, как правило, по образцам. Фондовая биржа дает возможность
покупать и продавать ценные бумаги, валютная биржа - иностранную валюту. Биржа
труда осуществляет посредничество на рынке труда, регистрирует безработных,
способствует их трудоустройству. Особую роль в рыночной экономике играют банки.
Банком называют финансовое предприятие, которое сосредоточивает временно
свободные денежные средства (вклады) и предоставляет их во временное
пользование в виде кредитов (займов, ссуд). Банк также выступает посредником во
взаимных платежах и расчетах своих клиентов. Прибыль банка формируется из
процентов, получаемых за кредит.
Функции рынка
Функции рынка определяются стоящими перед ним задачами. Рыночный механизм
призван найти ответы на три ключевые вопроса: что, как и для кого производить?
Для этого рынок выполняет ряд функций:
Регулирующая функция. Она связана с воздействием рынка на все сферы
хозяйственной деятельности, прежде всего на производство. Постоянные колебания
цен не только информируют о состоянии дел, но и регулируют хозяйственную
деятельность. Растет цена - сигнал к расширению производства: падает цена -
сигнал к его сокращению. Информация, предоставляемая рынком, заставляет
производителей снижать затраты, улучшать качество продукции.
В то же время, являясь регулятором хозяйственной жизни, рынок
неоднократно демонстрировал, что не все процессы макроэкономического
регулирования ему подвластны. Это проявляем в периодических спадах, инфляции,
безработице.
Информационная функция. Цена, складывающаяся на каждом из рынков,
содержит богатую информацию, необходимую всем участникам экономической
деятельности. Постоянно изменяющиеся цены на продукты и ресурсы дают
объективную информацию о потребном количестве, ассортименте, качестве благ,
поставляемых на трынки. Высокие цены свидетельствуют о недостаточном
предложении, низкие цены - об избытке благ по сравнению с платежеспособным
спросом.
Стихийно протекающие операции превращают рынок в гигантский компьютер,
собирающий и перерабатывающий колоссальные объемы точечной информации, выдающий
обобщенные данные по всему хозяйственному пространству, которое он охватывает.
Концентрируемая рынком информация позволяет каждому участнику хозяйственной
деятельности сверять собственное положение с рыночной конъюнктурой,
приспосабливая к запросам рынка свои расчеты и действия.
Ценообразующая функция. В результате взаимодействия производителей и
потребителей, предложения и спроса на товары и услуги на рынке формируется
цена. Она отражает полезность товара и издержки на его производство.
В отличие от административно-командной системы в рыночной экономике эта
оценка происходит не до обмена, а в ходе его. Рыночная цена представляет собой
своего рода итог, баланс сопоставления затрат производителей и полезности
данного блага для потребителей. Таким образом, в процессе рыночного обмена цена
устанавливается путем сопоставления затрат и полезности обмениваемых благ.
Посредническая функция. Рынок выступает посредником между производителями
и потребителями, позволяя им найти наиболее выгодный вариант купли-продажи. В
условиях развитой рыночной экономики потребитель имеет возможность выбора
оптимального поставщика. Продавец со своих позиций стремится найти и заключить
сделку наиболее устраивающим его покупателем.
Санирующая функция. Рыночный механизм - это достаточно жесткая, в
известной мере жестокая система. Он постоянно проводит "естественный
отбор" среди участников хозяйственной деятельности. Используя инструмент
конкуренции, рынок очищает экономику от неэффективных предприятий. И напротив,
дает зеленый свет более предприимчивым и активным. В результате селекционной
работы рынка, повышается средний уровень эффективности, поднимается
устойчивость национального хозяйства в целом.
Как свидетельствует опыт, средний цикл малого бизнеса не превышает пяти
лет. В конкурентной борьбе нередко гибнут и крупные фирмы. Разумеется, в
условиях концентрации производства и капитала монополизация деформирует
санирующий механизм рынка. И все же монополизация нигде не подавляет
конкуренцию настолько, чтобы "естественный отбор" прекратился.
В России общее количество малых предприятий в последние годы
стабилизировалось. Число прекращающих существование и вновь создаваемых
предприятий сравнялось. Одна часть предприятий разорилась в результате
банкротства банков, другая - ушла в среду теневого бизнеса: многие не
выдерживают конкуренции.
Экономический
рост: сущность, факторы и модели
Экономический рост - это количественное увеличение и качественное
совершенствование общественного продукта и факторов его производства. Говоря
иначе, под экономическим ростом понимают движение и развитие национального
хозяйства, которое характеризуется динамикой изменения таких макроэкономических
показателей как ВОП, ВНД, НД.
Экономический рост занимает центральное место в воспроизводственном
процессе и это связано со следующими обстоятельствами:
экономический рост определяет уровень экономического развития страны
экономический рост определяет место данной страны среди других стран, ее
конкурентоспособность и возможности влияния на мировое, экономическое и
политическое развитие
экономический рост определяет перспективы развития страны.
Оптимальной величиной темпов экономического роста является величины,
составляющая 2-3% в год.
В экономической теории выделяют 2 типа экономического роста:
экстенсивный
интенсивный
Экстенсивный. При экстенсивном типе экономический рост достигается путем
количественного увеличения применяемых факторов производства на неизменной
технологической основе.
Это достигается путем строительства новых предприятий, дополнительного
привлечения рабочей силы.
Наблюдается рост производства, но при этом изменяется производительность
труда и эффективность производства.
При интенсивном типе экономический рост достигается путем качественного
совершенствования факторов производства. К этим факторам производства относятся
следующие:
повышение качества используемых ресурсов.
улучшение способов использования ресурсов за счет совершенствования
технологий, за счет улучшения организации и управления производством.
Интенсивный тип экономического роста имеет место в условиях НТП.
На практике имеют место одновременно и экстенсивный и интенсивный тип
экономического роста.
Факторы экономического роста
Факторы экономического роста - это причины, порождающие экономический
рост.
Под факторами экономического роста в экономической теории понимаются те
явления и процессы, которые определяют возможности
увеличения реального объема производства, повышения эффективности и
качества роста.
Они оказывают как прямое, так и косвенное воздействие на экономический
рост, поэтому по способу воздействия на экономический рост различают прямые и
косвенные факторы.
Прямыми называются те, которые непосредственно определяют физическую
способность к экономическому росту. К ним относятся:
) увеличение численности и повышение качества трудовых ресурсов;
) рост объема и улучшение качественного состава основного капитала;
) совершенствование технологии и организации производства;
) повышение количества и качества вовлекаемых в хозяйственный оборот
природных ресурсов;
) рост предпринимательских способностей в обществе.
Косвенные факторы влияют на возможность превращения этой
способности в действительность. Они могут способствовать реализации
потенциала, заложенного в прямых факторах, или ограничивать его. Главными из
них можно считать:
) снижение степени монополизации рынков;
) уменьшение цен на производственные ресурсы;
) снижение налогов на прибыль;
) расширение возможности получения кредитов.
Если изменения косвенных факторов происходят в обратном направлении
(увеличивается степень монополизации рынков, растут налоги и пр.), то
экономический рост будет сдерживаться. Так, резкое удорожание производственных
ресурсов после либерализации цен в нашей стране явилось одной из причин,
стимулирующих промышленные предприятия к снижению реальных объемов производства
и занятости.
Любая классификация носит условный характер. Известны следующие факторы
экономического роста:
экстенсивные и интенсивные
структурные, организационные и управленческие
экономические, политические и социальные
объективные и субъективные
научные, технические, ресурсные, общие (долговременные) и особенные
(кратковременные), международные, государственные и отраслевые, материальные и
нематериальные и др. Такое многообразие классификаций факторов объясняется
различными взглядами на проблемы и изучение роста различными исследователями.
Производительность труда является наиболее важным фактором,
обеспечивающим рост реального продукта и дохода. Увеличение трудозатрат
определяет 1/3 прироста реального дохода, и 2/3 прироста обеспечивается
повышением производительности труда.
Рассмотрим некоторые факторы более подробно.
Природные ресурсы в качестве условий производства ограничены запасами в
природе, их количество и доступность постепенно снижаются. Общество должно учитывать
это обстоятельство. Растущие масштабы вовлечения природных ресурсов в
производство и несовершенство их переработки и использования порождают
проблемы, приобретающие глобальное значение. Их можно разделить на две группы.
Первая связана с иссякаемостью природных запасов. Пока общественное
производство не столь активно развивалось, человек брал все. Со временем
проблема исчерпаемости ресурсов приобретала местный характер, затем
региональный, национальный. Сегодня она выходит на мировой уровень.
Вторая группа проблем связана с последствиями использования ресурсов.
Последние полтора века прогресс в производительных силах привел к настоящему
экологическому кризису. Экологи оценивают сложившуюся ситуацию как критическую.
С экономической точки зрения сохранение окружающей среды ведет к дополнительным
затратам на устранение отрицательных последствий использования ресурсов или их
предупреждение. Необходимость этих мер вступает в противоречие со стремлением
получить максимальную прибыль, достижение которой осуществляется путем снижения
издержек производства. Природные ресурсы являются источником роста с
количественной стороны, обеспечивая растущие объемы производства, а с
качественной стороны источником роста выступает весь комплекс прилагаемых мер
по оптимизации их использования. Сами по себе природные ресурсы нейтральны по
отношению к экономическому росту.
Рост населения и трудовых ресурсов традиционно рассматривается как
фактор, стимулирующий экономическое развитие. Для развивающихся стран с их
избытком рабочей силы быстрый рост населения не всегда является позитивным
явлением, эффект от роста населения зависит от способности экономической
системы создать рабочие места для новых работников. Эта способность часто
увязана с темпами накопления капитала и развитием таких факторов производства,
как предпринимательская инициатива.
Накопление капитала имеет место, когда часть текущего дохода сберегается
и инвестируется с целью увеличения будущих доходов. Новые фабрики, оборудование
и материалы - все это увеличивает запас физического капитала, которым
располагает страна. Помимо этих прямых инвестиций в производство существуют еще
вложения в социальную и экономическую инфраструктуру - дороги, энергетику,
коммунальное хозяйство и транспорт. Такие инвестиции сопутствуют производственным,
обеспечивая общие условия для хозяйственной деятельности.
Инвестиции в человеческий капитал повышают качество рабочей силы и часто
способны дать больший производственный эффект, чем рост числа занятых.
Эффективность всех форм образования, в свою очередь, возрастает при
соответствующих инвестициях в их материальную базу - оборудование, здания,
материалы (книги, персональные компьютеры, учебные и научные приборы и т.д.).
Качественная подготовка преподавателей и наличие хороших учебников по экономике
могут внести существенный вклад в повышение квалификации и производительности
работающих. Поэтому вложения в человеческий капи- тал аналогичны по своим
результатам повышению качества земельных ресурсов посредством осуществления
инвестиций.
Технический прогресс - третий базовый компонент роста - многие экономисты
считают самым важным. В своей простейшей форме он означает появление новых,
более эффективных способов производства товаров. Существует три основных
разновидности технического прогресса: нейтральный, трудосберегающий и
капиталосберегающий. Нейтральный технический прогресс имеет место, когда рост
производства достигается при тех же объеме и структуре затрат факторов.
Примером этого может служить такая простейшая инновация в производстве, как разделение
труда (оно увеличивает производительность и возможности потребления, почти не
требуя каких-то дополнительных затрат). В отличие от нейтрального капитале- и
трудосберегающий технический прогресс позволит увеличить производство при
неизменных затратах какого-то одного фактора - капитала либо труда. Компьютеры,
автоматические ткацкие станки, электродрели, тракторы, механические плуги - все
эти и многие другие виды современных машин можно назвать трудосберегающими
формами технического прогресса. Капиталосберегающий технический прогресс -
менее распространенное явление. Но это лишь потому, что почти все научные
исследования ведутся в развитых странах, где задача экономии труда стоит на
первом месте. Наиболее эффективны здесь (с точки зрения издержек) различные
трудоемкие методы производства типа ручной прополки и обмолота
сельскохозяйственных культур, механических распылителей для небольших хозяйств.
Взаимодействие факторов экономического роста зависит часто от внешнего
влияния на их поведение, в первую очередь, со стороны государственного
управления, которое можно выделить в качестве надстроечного фактора.
Государственные программы экономического развития включают цели обеспечения
экономического роста. Государство как минимум обеспечивает правовую основу экономических
отношений. А это по-разному может влиять на протекание экономических процессов.
В данном случае речь идет о степени влияния государства на экономические
процессы, о формах и методах госрегулирования.
Выделяются также единичные факторы экономического роста. К ним можно
отнести, например, энтузиазм населения, совершившего чудо подъема послевоенной
экономики СССР в рекордные сроки.
Те или иные явления в экономике одних стран могут повлечь изменения в
экономическом росте других стран. Так, появление в странах третьего мира
филиалов ведущих иностранных фирм привело к значительному экономическому росту
таких стран, как Тайвань, Сингапур и т.д.
Модели экономического роста
Сегодня существуют две теории, претендующие на объяснение экономического
роста: неоклассическая и неокейнсианская.
Представители неоклассического направления строят свою концепцию
экономического роста применительно к
абстрактным условиям полной занятости ресурсов. Предложение, считают они,
само создает спрос: то, что произведено, будет куплено. Это положение выдвинул
еще французский экономист Жан Батист Сей (1767-1832). Цена, утверждал он, будет
стремиться к такому уровню, при котором спрос уравновесит предложение при
полной занятости ресурсов. Если на определенном этапе возникает безработица, то
лишь в силу того, что уровень заработной платы слишком высок. Рынок должен
снизить заработную плату до такого уровня, при котором все могущие и желающие
работать найдут работу. Поэтому сокращение совокупного спроса, приводит лишь к
снижению цен и доходов.
Эти положения неоклассической школы поставил под сомнение в 30-е годы
нашего века английский экономист Джон Мейнард Кейнс. Цены факторов
производства, считал он, прежде всего заработная плата, утратили свою гибкость,
по крайней мере в сторону понижения. В результате, с падением совокупного
спроса равновесие достигается не столько за счет снижения цен на продукцию и
факторы производства, сколько за счет уменьшения объемов производства.
Сокращается реальный ВНП, высвобождаются ранее занятые ресурсы, и экономика
переходит в состояние равновесия при неполной занятости ресурсов. Напротив,
увеличение совокупного спроса приводит к росту производства и позволяет вывести
экономику из состояния неполной занятости ресурсов к состоянию полной
занятости.
Между обоими направлениями в экономической науке существует и другое
принципиальное разногласие. Неоклассики считают рынок идеальным хозяйственным
механизмом, способным решать современные проблемы. Отсюда их вывод о том, что
государственное вмешательство в экономику должно быть лишь косвенным (через
денежно-кредитную сферу) и минимальным. Кейнсианцы, напротив, утверждают, что
рыночный механизм действует крайне медленно и способен вывести экономику из
состояния неполной занятости лишь в очень отдаленной перспективе, когда, как
говорил Кейнс, «мы все уже умрем». Отсюда вывод о необходимости и прямого
государственного вмешательства.
В целом кейнсианцы рекомендуют стимулировать рост всех составляющих
совокупного спроса - и потребительских расходов домашних хозяйств, и инвестиций
предприятий, и государственных расходов. Так, невысокая инфляция заставит
домашние хозяйства увеличивать долю расходов на потребление сегодня и сокращать
долю сбережений. Снижение ставки банковского процента стимулирует
капиталовложения предприятий. Наконец, закупки государством товаров и услуг
также расширяют совокупный спрос.
Рекомендациям кейнсианцев следовали правительства многих стран мира в
послевоенный период вплоть до 80-х годов. Но по мере того как экономика
подходила к состоянию полной занятости, обнаруживались и отрицательные
последствия стимулирования совокупного спроса. Предложение было не в состоянии
угнаться за искусственно завышенным спросом, цены росли, и инфляция начала
приобретать угрожающие размеры. Поэтому в 80-е годы правительства большинства
стран стали внимательнее прислушиваться к рекомендациям неоклассиков.
Задание 2
экономический
рост спрос рынок
Даны тестовые
задания. Найдите среди вариантов ответов верный ответ, укажите и обоснуйте его.
Тест 1.
Установите, что выражает кривая производственных возможностей:
1. Взаимосвязь между факторами производства.
2. Максимальный объём производства двух продуктов при использовании
всех ресурсов.
. Соотношение между ценами товаров.
. Дополнительный выпуск продукции при увеличении ресурсов
. Соотношение между производственными мощностями и ценами
выпускаемой продукции.
Тест 2
Изменение объёма спроса на отдельный товар произойдёт:
1. Под воздействием потребительских вкусов
2. При улучшении качества товара.
. При изменении цены данного товара.
. При изменении цен на взаимодополняющие товары
Тест 3
Что означает кривая безразличия?
1. Линию равных затрат.
2. Линию равных возможностей.
. Линию равного продукта.
. Линию одинаковой общей полезности.
Тест 4
Какие затраты относятся к переменным?
1. Проценты за банковский кредит и затраты на сырьё.
2. Арендная плата и стоимость оборудования.
. Заработная плата, стоимость электроэнергии и расходуемых
материалов.
. Все производственные затраты, необходимые для выпуска продукции.
Тест 5
Что означает ценовая дискриминация третьей степени?
1. Ценовая политика, позволяющая монополисту присваивать себе всю
ренту покупателя.
2. Продажа продукции партиями по разным ценам.
. Установление особой цены на каждую единицу продукции.
. Сегментация рынка покупателя в соответствии с эластичностью
спроса.
Ответы
Тест 1 - ответ 2. Максимальный объём производства двух продуктов при
использовании всех ресурсов.
На данном графике расположена кривая производственных возможностей(КПВ).
Через оси Y и X выражены объёмы производства двух
продуктов.- все ресурсы направлены для производства продукта Y;- эффективное
производство, все ресурсы используются полностью;- эффективное производство,
все ресурсы используются полностью;- все ресурсы направлены для производства
продукта X;- не эффективное производство, не рациональное использование
ресурсов. Увеличение одного блага может происходить при увеличении другого,
производственные мощности экономической системы не загружены;- недосягаемая для
данной экономической системы.
Пути достижения до точки E: 1) интенсивный путь развития (НТП, повышение
производительности); 2) экстенсивный путь развития (вовлечение дополнительных
ресурсов).
Тест 2 - ответ 3. При изменении цены данного товара
Кривая спроса (D) показывает, какое количество товаров (Q) могут
приобрести потребители при различных уровнях цены. Кривая D демонстрирует
действие закона спроса: чем выше цена (P) на товар при прочих равных условиях,
тем меньше объем спроса (Q) и наоборот.
Таким образом мы видим, что при увеличении цены спрос на товар снижается,
а при снижении увеличивается, что графически выражается вдоль кривой спроса. В
результате снижения цены от P1 до P2 происходит увеличение количества товаров
Q1 до Q2 (от точки 1 до точки 2 по кривой D)
Тест 3 - ответ 4.Линию одинаковой общей полезности
Кривая безразличия показывает различные комбинации 2-х экономических
благ, имеющих одинаковую полезность для потребителя.
Любая кривая безразличия представляет одинаковую совокупную полезность
различных благ для потребителя. Кривая безразличия (U) состоит из точек,
символизирующих наборы товаров Х и Y. Совокупные полезности всех наборов,
представленные точками на этой кривой одинаковы, т. е. потребителю безразлично,
какую именно комбинацию товаров Х и Y он приобретет.
Тест 4 - ответ 3. Заработная плата, стоимость электроэнергии и
расходуемых материалов
Переменные затраты - виды расходов, величина которых изменяется
пропорционально изменению объемов продукции. Основным признаком, по которому
можно определить, являются ли затраты переменными, является их исчезновение при
остановке производства.
По вертикальной оси - размер затрат, по горизонтальной - объем выпуска.
Точка на графике характеризует ситуацию, при которой фирма достигает
оптимальных размеров производства и переменные издержки затрачиваются с меньшей
скоростью.
Тест 5 - ответ 2. Продажа продукции партиями по разным ценам
Ценовая дискриминация на сегментированных рынках (дискриминация третьей
степени) означает установление разных цен для разных категорий покупателей
(сегментов рынка). Предполагается, что эти категории могут быть легко
идентифицированы (наличие студенческого билета, пенсионного удостоверения и т.
п.). На практике такой подход осуществить гораздо легче, и в целом он
преобладает.
Ценовую дискриминацию третьего рода также можно представить схематически
на графике. Предположим для простоты, что фирма-продавец разделила своих
потребителей на два сегмента, т.е. на две группы, для каждой из которых
характерна своя платежеспособность, потребительские предпочтения и потому -
своя кривая спроса
Как видно из данного графика, оптимальные цены и объемы продаж таковы,
что предельные доходы от продажи товара разным группам потребителей равны и
совпадают с предельными издержками. В данном примере потребители первой группы,
спрос которых представлен кривойD1, платят цену P1, а потребители второй
группы, спрос которых более эластичен и представлен кривой D2, платят цену P2.
Предельные издержки зависят от совокупного объема производства QT.
Отметим, что объемы производства Q1 и Q2 по сегментам выбраны так, чтобы
предельные доходы от реализации продукции в этих сегментах совпадали с
предельными издержками MC, что необходимо для оптимизации выпуска (если
продукты выпускаются на одном предприятии в одном производственном процессе):
= MR2 = MC.
Поскольку категория цены прямо соотносится с категорией эластичности
спроса, а в данном случае сегментирование как раз и производится в связи с
разной эластичностью, то уместно выразить также и предельный доход через
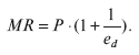
категорию эластичности. Как известно из теории микроэкономики, предельный доход
MR зависит от эластичности спроса ed следующим образом:

где e1 и e2 - эластичности спроса на продукцию фирмы в первом и втором
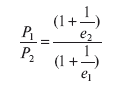
сегментах. Теперь, уравнивая предельный доход MR1 и MR2, получаем следующее
правило соотношения цен:
Задание 3
Решите
следующие задачи.
Задача 1
Фирма несет постоянные издержки в размере 45 долл. Данные о средних
переменных издержках в краткосрочном периоде приведены в таблице. Определите
общие и предельные издержки в краткосрочном периоде.
|
Объём производства
(шт./неделю)
|
Средние переменные издержки
|
|
1
|
17
|
|
2
|
15
|
|
3
|
14
|
|
4
|
15
|
|
5
|
19
|
|
6
|
29
|
Решение
Общие издержки(TC) =
постоянные издержки(FC) + переменные
издержки(VC)
Предельные издержки (MC)=
величина затрат при росте на 1 единицу продукции
|
Объём производства
(шт./неделю)
|
Средние переменные издержки
|
Постоянные издержки
|
Общие издержки
|
Предельные и издержки
|
|
1
|
17
|
45
|
62
|
0
|
|
2
|
15
|
45
|
60
|
-2
|
|
3
|
14
|
45
|
59
|
-1
|
|
4
|
15
|
45
|
60
|
1
|
|
5
|
19
|
45
|
64
|
4
|
|
6
|
29
|
45
|
74
|
10
|
Задача 2
В течение года в стране продано товаров на сумму 100 млрд. долл., из них
в кредит - 40 млрд. Сумма платежей за проданные в кредит товары, по которым наступил
срок уплаты, -30 млрд., взаимопогашающиеся платежи
15 млрд. Определите количество денег, необходимых для обращения, если
каждый доллар обслуживает в течение года пять товарных сделок.
Решение
Количество денег, необходимых в каждый данный момент для обращения, можно
определить по формуле:
где:
Д - количество денежных единиц, необходимых в данный период для
обращения;
Ц - сумма цен товаров, подлежащих реализации;
В - сумма цен товаров, платежи по которым выходят за рамки данного
периода;
П - сумма цен товаров, проданных в прошлые годы, сроки платежей по
которым наступили;
ВП - сумма взаимопогашенных платежей ;
С.о. - скорость оборота денежной единицы.
Д = (100 - 40 + 30 - 15) / 5 = 15
Задача 3
Спрос на товар при доходе 20 равен 5, а при доходе 30 он равен 8. Цена
товара неизменная. К какой категории принадлежит товар?
Решение
Существуют товары высшей категории (качественные товары) и товары низшей
категории (низкокачественные). Если доходы растут, то спрос на нормальные
товары повышается, а спрос на товары низшей категории падает. И наоборот, если
доходы падают, то спрос на товары низшей категории возрастает, а спрос на
качественные товары падает.
Эластичность спроса по доходу характеризует степень изменения спроса на
товар под влиянием изменения дохода (
).
,
где
- изменение дохода (в %);
- изменение спроса (в %).
Для товаров высшей категории
> 0; для товаров низшей категории
< 0.

= 5/8 :
20/30 = 0,9375
< 0.
Ответ:
товар принадлежит к низшей категории.
Задача 4
Функция предложения машинного масла описывается как Qs = 15P - 300, а спрос на него как Qd = 6000 - 5P.
Правительство устанавливает налог t = 20% к цене.
Определить: равновесную цену и равновесный объём продаж , после
установления налога, налоговые поступления.
Решение
. Приравниваем уравнение спроса и предложения
P -
300=6000 - 5P
P=6300
P=315
- это равновесная цена на данный товар до налогообложения
. Чтобы найти равновесный объём продаж подставляем равновесную цену в
любое уравнение
- 5 * 315 = 4425
. Находим налог на 1 единицу 315 * 20% = 63.
. Новая функция предложения Qs = 15(P-63) - 300 = 15P - 1245
5. Находим равновесную цену после введения налога
P -
1245 = 6000 - 5P
P =
7245
P =
362.25 - равновесная цена после налогообложения
. объём продаж после налогообложения
- 5 * 362.25 = 4189
. Налоговые поступления
Объём продаж умножить на налог
* 63 = 263907
Задача 5
Банк, располагаемый капиталом 800 денежных единиц (700 денежных единиц
были заемным капиталом, который он получил по депозитам), провел экономические
действия при следующих условиях:
он направил 70% денежных ресурсов на кредитование по ставке 30%;
от фондовых операций, на которые он выделил 140 ед., получил 20% доход
посреднические операции дали 80 ед. дохода;
административно-технические расходы составили 70 ед;
банк уплатил по депозитам процент в размере 12%;
банк уплатил в бюджет налог на прибыль по ставке 30%.
Определите норму банковской прибыли.
Решение
1. 800 * 70% = 560; 560 * 30% =168: Итог: +168
2. 140 * 20% = 28; Итог: +28
. Итог: +80
. Итог: -70
. 700 * 12% = 84; Итог: -84
. 800 - 700 + 168 + 28 + 80 - 70 - 84 = 222; 222 * 30% =
66,6(налог на прибыль); 222 - 66.6 = 155.4(чистая прибыль).
. Норма банковской прибыли - отношение чистой прибыли к
собственному капиталу банка, следовательно, 155.4 / 100 = 1.554
Ответ: 1.554- норма банковской прибыли.
Список литературы
1. Борисов
Е.Ф. Экономическая теория. Курс лекций для студентов высших учебных заведений.
- М., 2009
2. Гукасьян
Г.М. Экономическая теория: ключевые вопросы: Учебное пособие. - М., 2009.
. Курс
экономической теории. Учебник. / Под ред. Чепурина М.Н., Киселевой Е.А. -
Киров, 2010.
. Мочерный
С.В., Некрасов В.Н., Овчинников В.Н., Секретарюк В.В. Экономическая теория:
Учебник. - М., 2006.
. Носова
С.С. Экономическая теория: Учебник для вузов. - М., 2010.
. Общая
экономическая теория. Курс лекций / Под ред. Журавлевой Г.П.-М., 2010