Статистика добычи и экспорта нефти в Российской Федерации
Введение
Предметом исследования моей работы является
статистика добычи и экспорта нефти в Российской Федерации. Изменение средних
фактических экспортных цен Российской Федерации.
Сегодня доказанные мировые запасы нефти
составляют 1208,2 млрд баррелей. За последние 25 лет этот показатель
стремительно вырос, увеличившись почти на 500 мрлд баррелей. Потенциальные
запасы нефти по последним данным оцениваются в 2614 млрд баррелей.
Абсолютным лидером по доказанным запасам нефти
является Ближний Восток - на его долю приходится около 61,5% от общего объема.
При этом около 22% мировых запасов приходится на Саудовскую Аравию. Евразия
обладает 12% мировых запасов, из которых 6,6% приходится на Россию. Как
правило, основные запасы нефти находятся под контролем государственных нефтяных
компаний. Это объясняется тем, что нефтяная промышленность - самый важный
сектор экономики для стран, получающих основной доход от экспорта нефти. От
получаемых средств зависит наполнение бюджета и возможность развивать другие
отрасли экономики. Около 40% всемирной добычи и около половины экспорта нефти
приходится на страны ОПЕК. Сейчас лидерами в области экспорта «черного золота»
являются, соответственно, два лидера по добыче - Саудовская Аравия (на экспорт
нефти приходится 95% от общего экспорта страны) и Россия. С Ближнего Востока
нефть поступает прежде всего в Азиатско-Тихоокеанский регион, а также в
Северную Америку и Европу. Большая часть нефти экспортируется из России в
Европу, но благодаря новым восточным проектам и росту добычи нефти на Сахалине
ожидается, что 30% российского экспорта будет поставляться в динамично
развивающиеся страны Азиатско-Тихоокеанского региона.
Глава 1.Ряды динамики
1.1 Аналитические показатели рядов
динамики
|
Дата,
месяцы 2011 года.
|
Средняя
фактическая цена на конец периода в % к концу предыдущего года.
|
Абсолютный
прирост
|
Темп
роста
|
Темп
прироста, %
|
|
|
цепной
|
базис.
|
цепной
|
базис.
|
цепной
|
базис.
|
|
Янв.
|
105,9
|
____
|
____
|
____
|
____
|
____
|
____
|
|
Февр.
|
109,7
|
3,8
|
3,8
|
1,035883
|
1,035883
|
3,58
|
3,58
|
|
Март.
|
119,6
|
9,9
|
13,7
|
1,090246
|
1,129367
|
9,02
|
12,93
|
|
Апр.
|
129,6
|
10
|
23,7
|
1,083612
|
1,223796
|
8,36
|
22,37
|
|
Май.
|
130,9
|
1,3
|
21,2
|
1,010031
|
1,236072
|
1
|
23,6
|
|
Июнь.
|
128,7
|
-2,2
|
22,8
|
0,983193
|
1,215297
|
-1,69
|
21,52
|
|
Июль.
|
128,5
|
-0,2
|
22,6
|
0,998446
|
1,213409
|
-0,16
|
21,34
|
|
Авг.
|
127,6
|
-0,9
|
21,7
|
0,992996
|
1,20491
|
-0,71
|
20,49
|
|
Сент.
|
126,1
|
-1,5
|
20,2
|
0,988245
|
1,190746
|
-1,18
|
19,07
|
|
Окт.
|
125,6
|
-0,5
|
19,7
|
0,996035
|
1,186025
|
-0,4
|
18,6
|
|
Ноя.
|
125,3
|
-0,3
|
19,4
|
0,997611
|
1,183192
|
-0,24
|
18,31
|
|
Дек.
|
124,3
|
-1
|
18,4
|
0,992019
|
1,173749
|
-0,8
|
17,37
|
Ряд: - моментный;
- полный;
Ø Абсолютный прирост
Абсолютный прирост (базисный)
где yi - уровень сравниваемого периода; y0 -
уровень базисного периода. Абсолютный прирост с переменной базой (цепной),
который называют скоростью роста,
где yi - уровень сравниваемого периода; yi-1 -
уровень предшествующего периода.
а) базисное:
∆yб февр.
=109,7 - 105,9 = 3,8
На конец февраля 2011 года по
сравнению с концом января 2011 года средняя фактическая цена на нефть в РФ
увеличилась на 3,8%.
∆yб март =
119,6 - 105,9 = 13,7
На конец марта 2011 года по
сравнению с концом января 2011 года средняя фактическая цена на нефть в РФ
увеличилась на 13,7%
∆yб апр.
=129,6- 105,9 = 23,7
На конец апреля 2011 года по сравнению
с концом января 2011 года средняя фактическая цена на нефть в РФ увеличилась на
23, 7%
∆yб
май =130,9- 105,9 =21,2
На конец мая 2011 года по сравнению с концом
января 2011 года средняя фактическая цена на нефть в РФ увеличилась на 21,2 %
∆yб
июнь =128,7- 105,9 =22,8
На конец июня 2011 года по сравнению с концом
января 2011 года средняя фактическая цена на нефть в РФ увеличилась на 22,8%
∆yб
июль =128,5- 105,9 =22,6
На конец июля 2011 года по сравнению с концом
января 2011 года средняя фактическая цена на нефть в РФ увеличилась на 22,6%
∆yб
авг. =127,6- 105,9 =21,7
На конец августа 2011 по сравнению с концом
января 2011 года средняя фактическая цена на нефть в РФ увеличилась на 21,7%
∆yб
сент. =126,1- 105,9 =20,2
На конец сентября 2011 по сравнению с концом
января 2011 года средняя фактическая цена на нефть в РФ увеличилась на 20,2 %
∆yб
окт. =125,6- 105,9 =19,7
На конец октября 2011 по сравнению с концом
января 2011 года средняя фактическая цена на нефть в РФ увеличилась на 19,7 %
∆yб
ноя. =125,3- 105,9 =19,4
На конец ноября 2011 по сравнению с концом
января 2011 года средняя фактическая цена на нефть в РФ увеличилась на 19,4 %
∆yб
дек. =124,3- 105,9 =18,4
На конец декабря 2011 по сравнению с концом
января 2011 года средняя фактическая цена на нефть в РФ увеличилась на 18,4 %
б) цепное:
∆yц февр.
=109,7 - 105,9 = 3,8
На конец февраля 2011 года по
сравнению с концом января 2011 года средняя фактическая цена на нефть в РФ
увеличилась на 3,8%.
∆yц март
=119,6 -109,7 = 9,9
На конец марта 2011 года по
сравнению с концом февраля 2011 года средняя фактическая цена на нефть в РФ
увеличилась на 9,9 %
∆yц
апр. = 129,6 -119,6 =10
На конец апреля 2011 года по сравнению с концом
марта 2011 года средняя фактическая цена на нефть в РФ увеличилась на 10%
∆yц
май = 130,9 -129,6 =1,3
На конец мая 2011 года по сравнению с концом
апреля 2011 года средняя фактическая цена на нефть в РФ увеличилась на 1,3 %
∆yц
июнь =128,7 - 130,9 = - 2,2
На конец июня 2011 года по сравнению с концом
мая 2011 года средняя фактическая цена на нефть в РФ уменьшилась на 2,2 %
∆yц
июль = 128,5- 128,7 = - 0,2
На конец июля 2011 года по сравнению с концом
июня 2011 года средняя фактическая цена на нефть в РФ уменьшилась на 0,2 %
∆yц
авг. = 127,6- 128,5 = - 0,9
На конец августа 2011 года по сравнению с концом
июля 2011 года средняя фактическая цена на нефть в РФ уменьшилась на 0,9%
∆yц
сент. =126,1- 127,6 = - 1,5
На конец сентября 2011 года по сравнению с
концом августа 2011 года средняя фактическая цена на нефть уменьшилась на 1,5 %
∆yц
окт. = 125,6- 126,1 = -0,5
На конец октября 2011 года по сравнению с концом
сентября 2011 года средняя фактическая цена на нефть уменьшилась на 0,5 %
∆yц
ноя. =125,3 - 125,6= - 0,3
На конец ноября 2011 года по сравнению с концом
октября 2011 года средняя фактическая цена на нефть уменьшилась на 0,3%
∆yц
дек. =124,3 - 125,3= -1
На конец декабря 2011 года по сравнению с концом
ноября 2011 года средняя фактическая цена на нефть уменьшилась на 1%
Ø Темп роста
а) базисный:
ТрБфев. =109,7 / 105,9 =1,035883
На конец февраля 2011 года по
сравнению с концом января 2011 года средняя фактическая цена на нефть в РФ
выросла в 1,03 раза
ТрБмарт. =119,6 / 105,9 =1,129367
На конец марта 2011 года по
сравнению с концом января 2011 года средняя фактическая цена на нефть в РФ
выросла в 1,129 раза
ТрБапр. =130,9/ 105,9 =1,223796
На конец апреля 2011 года по
сравнению с концом января 2011 года средняя фактическая цена на нефть в РФ выросла
в 1,223 раза
ТрБмай=130,9/ 105,9 =1,236072
На конец мая 2011 года по сравнению
с концом января 2011 года средняя фактическая цена на нефть в РФ выросла в
1,236 раза
ТрБиюнь =128,7/ 105,9 =1,215297
На конец июля 2011 года по сравнению
с концом января 2011 года средняя фактическая цена на нефть в РФ выросла в
1,236 раза
ТрБиюль =128,5/ 105,9 =1,213409
На конец июля 2011 года по сравнению
с концом января 2011 года средняя фактическая цена на нефть в РФ выросла в
1,213 раза
ТрБавг. =127,6/ 105,9 =1,20491
На конец августа 2011 года по
сравнению с концом января 2011 года средняя фактическая цена на нефть в РФ
выросла в 1,204 раза
ТрБсент. =126,1/ 105,9 =1,190746
На конец сентября 2011 года по
сравнению с концом января 2011 года средняя фактическая цена на нефть в РФ
выросла в 1,19 раза
ТрБокт. =125,6/ 105,9 =1,186025
На конец октября 2011 года по
сравнению с концом января 2011 года средняя фактическая цена на нефть в РФ
выросла в 1,18 раза
ТрБнояб. =125,3/ 105,9 = 1,183192
На конец ноября 2011 года по
сравнению с концом января 2011 года средняя фактическая цена на нефть в РФ
выросла в 1,183 раза
ТрБдек. =124,3/ 105,9 =1,173749
б) цепной:
ТрЦфевр. =. =109,7/ 105,9 =1,035883
На конец февраля 2011 года по
сравнению с концом января 2011 года средняя фактическая цена на нефть в РФ
выросла в 1,03 раза
ТрЦмарт =119,6 /109,7 =1,090246
На конец марта 2011 года по
сравнению с концом февраля 2011 года средняя цена на нефть в РФ выросла в 1,09
раза
ТрЦапр. =129,6 /119,6 =1,083612
На конец апреля 2011 года по
сравнению с концом марта 2011 года средняя фактическая цена на нефть в РФ
выросла в 1,08 раза
ТрЦмай. =130,9 /129,6 =1,010031
На конец мая 2011 года по сравнению
с концом апреля 2011 года средняя фактическая цена на нефть в Рф выросла в 1,01
раза
ТрЦиюнь. =128,7 / 130,9 =0,983193
На конец июня 2011 года по сравнению
с концом мая 2011 года средняя фактическая цена на нефть в РФ выросла в 0,98
раза
ТрЦиюль =128,5/ 128,7 =0,998446
На конец июля 2011 года по сравнению
с концом июня 2011 года средняя фактическая цена на нефть в РФ выросла в 0,998
раза
ТрЦавг. =127,6/ 128,5 = 0,992996
На конец августа 2011 года по
сравнению с концом июля 2011 года средняя фактическая цена на нефть в РФ
выросла в 0,992 раза
ТрЦсент. =126,1/ 127,6 =0,988245
На конец сентября 2011 года по
сравнению с концом августа 2011 года средняя фактическая цена на нефть в РФ
выросла в 0,998 раза
ТрЦокт. =125,6 / 126,1 = 0,996035
На конец октября 2011 года по
сравнению с концом сентября 2011 года средняя фактическая цена на нефть в РФ
выросла в 0,996
ТрЦноя. =125,3 /125,6=0,997611
На конец ноября 2011 года по
сравнению с концом октября 2011 года средняя фактическая цена на нефть в РФ
выросла в 0,997 раза
ТрЦдек. =124,3 / 125,3=0,992019
На конец декабря 2011 года по
сравнению с концом ноября 2011 года средняя фактическая цена на нефть в РФ
выросла в 0,997 раза.
Ø Темп прироста
а) базисный:
ТпрБфевр. = (1,035883 *100%) - 100% =3,58%
На конец февраля 2011 года по
сравнению с концом января 2011 года средняя фактическая цена на нефть в РФ
выросла на 3,58 %
ТпрБмарт. = (1,129367 *100%) - 100%
=12,93%
На конец марта 2011 года по
сравнению с концом января 2011 года средняя фактическая цена на нефть в РФ
выросла на 12,93 %
ТпрБапр. = (1,223796 *100%) - 100%
=22,37%
На конец апреля 2011 года по
сравнению с концом января 2011 года средняя фактическая цена на нефть в РФ
выросла на 22,37%
ТпрБмай.= (1,236072 *100%) - 100%
=23,6%
На конец мая 2011 года по сравнению
с концом января 2011 года средняя фактическая цена на нефть в РФ выросла на
23,6%
ТпрБиюнь. = (1,215297 *100%) - 100%
=21,52%
На конец июня 2011 года по сравнению
с концом января 2011 года средняя фактическая цена на нефть в РФ выросла на
21,52 %
ТпрБиюль. = (1,213409 *100%) - 100%
=21,34%
На конец июля 2011 года по сравнению
с концом января 2011 года средняя фактическая цена на нефть в РФ выросла на
21,34 %
ТпрБавг. = (1,20491 *100%) - 100%
=20,49%
На конец августа 2011 года по сравнению
с концом января 2011 года средняя фактическая цена на нефть в РФ выросла на
20,49 %
ТпрБсент. = (1,190746 *100%) - 100%
=19,07%
На конец сентября 2011 года по
сравнению с концом января 2011 года средняя фактическая цена на нефть в РФ
выросла на 19,07 %
ТпрБокт. = (1,186025 *100%) - 100%
=18,6%
На конец октября 2011 года по
сравнению с концом января 2011 года средняя фактическая цена на нефть в РФ
выросла на 18,6 %
ТпрБноя. = (1,183192 *100%) - 100%
=18,31%
На конец ноября 2011 года по
сравнению с концом января 2011 года средняя фактическая цена на нефть в РФ
выросла на 18,31%
ТпрБдек. = (1,173749 * 100%) - 100%
=17,37%
На конец декабря 2011 года по
сравнению с концом января 2011 года средняя фактическая цена на нефть в РФ
выросла на 17,37%
б) цепной:
добыча нефть цена
динамика
ТпрЦфев. = (1,035883* 100%) - 100%
=3,58%
На конец февраля 2011 года по
сравнению с концом января 2011 года средняя фактическая цена на нефть в РФ
выросла на 3,58 %
ТпрЦмарт. = (1,090246* 100%) - 100%
=9,02%
На конец марта 2011 года по
сравнению с концом февраля 2011 года средняя цена на нефть в РФ выросла на 9,02
%
ТпрЦапр. = (1,083612* 100%) - 100%
=8,36%
На конец апреля 2011 года по
сравнению с концом марта 2011 года средняя фактическая цена на нефть в РФ
выросла на 8, 36 %
ТпрЦмай. = (1,010031* 100%) - 100%
=1%
На конец мая 2011 года по сравнению
с концом апреля 2011 года средняя фактическая цена на нефть в Рф выросла на 1 %
ТпрЦиюнь = (0,983193* 100%) - 100%
=-1,69%
На конец июня 2011 года по сравнению
с концом мая 2011 года средняя фактическая цена на нефть в РФ упала на 1,69 %
ТпрЦиюль =( 0,998446* 100%) - 100%
=-0,16%
На конец июля 2011 года по сравнению
с концом июня 2011 года средняя фактическая цена на нефть в РФ упала на 0,16 %
ТпрЦавг. = (0,992996* 100%) - 100%
=-0,71%
На конец августа 2011 года по
сравнению с концом июля 2011 года средняя фактическая цена на нефть в РФ упала
на 0,71 %
ТпрЦсент. = (0,988245* 100%) - 100%
=-1,18%
На конец сентября 2011 года по
сравнению с концом августа 2011 года средняя фактическая цена на нефть в РФ
упала на 1,18 %
ТпрЦокт. = (0,996035* 100%) - 100%
=-0,4%
На конец октября 2011 года по
сравнению с концом сентября 2011 года средняя фактическая цена на нефть в РФ
упала на 0,4 %
ТпрЦноя. = (0,997611* 100%) - 100%
=-0,24%
На конец ноября 2011 года по
сравнению с концом октября 2011 года средняя фактическая цена на нефть в РФ
упала 0,24 %
ТпрЦдек. = (0,992019* 100%) - 100%
=-0,8%
На конец декабря 2011 года по
сравнению с концом ноября 2011 года средняя фактическая цена на нефть в РФ
упала на 0,8 %
Ø Абсолютное значение одного процента
прироста
1 способ:
Афев. = 3,8/3,58% =1,061453
По состоянию на конец февраля 2011
года по сравнению с концом января 2011 года средняя фактическая цена на нефть в
РФ увеличилась на 1,06
Амарт =9,9 /9,02 =1,097561
По состоянию на конец марта 2011
года по сравнению с концом февраля 2011 года средняя фактическая цена на нефть
в РФ увеличилась на 1,09
Аапр. =10/8,36 =1,196172
По состоянию на конец апреля 2011
года по сравнению с концом марта 2011 года средняя фактическая цена на нефть в
РФ увеличилась на 1,19
Амай. =1,3/ 1 =1,3
По состоянию на конец мая 2011 года
по сравнению с концом апреля 2011 года средняя фактическая цена на нефть в РФ
увеличилась на 1,3
Аиюнь. =-2,2/-1,69 = -1,301775
По состоянию на конец июня 2011 года
по сравнению с концом мая 2011 года средняя фактическая цена на нефть
уменьшилась на 1,3
Аиюль. =-0,2/-0,16 = -1,25
По состоянию на конец июля 2011 года
по сравнению с концом июня 2011 года средняя фактическая цена на нефть в РФ
уменьшилась на 1,25
Аавг. =-0,9/-0,71 = -1,267606
По состоянию на конец августа 2011
года по сравнению с концом июля 2011 года средняя фактическая цена на нефть в
РФ уменьшилась на 1,26
Асент. =-1,5/-1,18 = -1,271186
По состоянию на конец сентября
2011года по сравнению с концом августа 2011 года средняя фактическая цена на
нефть в РФ уменьшилась на 1,27
Аокт. =-0,5/-0,4 = -1,25
По состоянию на конец октября 2011
года по сравнению с концом сентября 2011 года средняя фактическая цена на нефть
в РФ уменьшилась на 1,25
Аноя. =-0,3/-0,24 = -1,25
По состоянию на конец ноября 2011
года по сравнению с концом октября 2011 года средняя фактическая цена на нефть
в РФ уменьшилась на 1,25
Адек. =-1/-0,8 = -1,25
По состоянию на конец декабря 2011
года по сравнению с концом ноября 2011 года средняя фактическая цена на нефть в
РФ уменьшилась на 1,25
1.2 Средние показатели ряда динамики
Ø Рассчитать средний уровень ряда.
Выбор формулы расчета зависит от двух факторов: 1) ряд моментный или
интервальный 2) ряд полный или неполный.
Взятый мною ряд является моментным полным и
рассчитывается по средней хронологической формуле:

=
n-число
уровней ряда
y= 0,5 *
105,9 + 109,7+ 119,6+ 129,6+ 130,9+ 128,7+ 128,5+ 127,6+ 126,1+ 125,6+ 125,3+
0,5* 124,3 /11 = 124,25
По состоянию на конец каждого месяца
2011 года средняя фактическая цена на нефть в РФ в среднем составляла 124,25 %
Ø Средний абсолютный прирост.
1)
∆y =
(3,8+9,9+10+1,3+(-2,2)+(-0,2)+(-0,9)+(-1,5)+(-0,5)+(-0,3)+(-1))/11 = 1,672727
2)
∆y = 18,4 / 11
= 1,672727
3)
∆y = (124,3 -
105,9) / 11 = 1,672727
По состоянию на конец каждого месяца
2011 года средняя фактическая цена на нефть в РФ увеличивалась в среднем на
1,672727 %
Ø Средний темп роста.
1)
Тр =12√ (1,035882908*
1,090246126* 1,08361204* 1,010030864* 0,983193277* 0,998445998* 0,992996109*
0,988244514* 0,996034893* 0,997611465* 0,992019154)= 11√1,17374882 ≈1,00003
2)
Тр =12√1,173749 ≈1,00003
)
Тр =12√124,3 /105,9 ≈1,00003
Ø Средний темп прироста
Тпр =100,003% - 100% = 0,003 %
По состоянию на конец каждого месяца
2011 года средний фактический уровень цены на нефть ежемесячно увеличивался на
0,003 %
Ø Прогнозирование развития явления
Положим, что темп роста средней фактической цены
на нефть в РФ не изменится. Определить средний уровень цены на нефть в РФ в
2021 году.
t = 10
y = 1,0000310
*124,3≈ 124,33
Если темп роста средней цены на
нефть сохранится, то через десять лет цена уменьшится примерно на 0,03 %
Графическое изображение.
Ø Аналитическое выравнивание ряда
динамики
1) вводим
условные показатели времени t
|
Янв.
|
Февр.
|
Март.
|
Апр.
|
Май.
|
Июнь.
|
Июль.
|
Авг.
|
Сент.
|
Окт.
|
Ноя.
|
Дек.
|
|
-6
|
-5
|
-4
|
-3
|
-2
|
-1
|
1
|
2
|
4
|
5
|
6
|
2)осуществим выравнивание по прямой

a0+a1t
a0=
= 1481,8 / 12 =123,48
a1 = ∑yt/ t2 =195,1/182
= 1,07
yt= 123,48 +
1,07t
1)абсолютная ошибка
σ = √∑(y
- yt)2/ n
- m
2)относительная ошибка
Вывод: На основе проделанной работы можно сделать
вывод, что с января по декабрь 2011 года цены на нефть в РФ в основном росли.
Хотя в динамике также наблюдается и небольшой спад, но в целом картина
положительна. И основываясь на своих вычислениях могу сказать что в будущем,
скорее всего, будет наблюдаться рост цен на нефть.
Глава 2. Ряд распределения
Добыча нефти в РФ, в миллионах тонн.
|
количество,
млн. тонн
|
стоимость,
млн. долл. США 25271,9 25271,9 25271,9
|
|
189,5
|
29113,1
|
|
228,0
|
39679,0
|
|
260,3
260,3
|
59044,8
|
|
252,5
|
83438,0
83438,0 83438,0
|
|
248,4
|
102282,9
|
|
258,6
|
121502,8
|
|
243,1
|
161147,0
|
|
247,5
|
100593,2
|
|
250,7
|
135799,3
|
|
244,5
|
181812,4
|
1)Характеристика группировки:
по цели - структурная;
по числу группировочных признаков - простая;
по исходной информационной базе - первичная;
по соподчиненности группировочных признаков -
фасетная;
|
количество,
млн. тонн
|
стоимость,
млн. долл. США , f
|
Середина
интервала, x
|
|
189,5-228,0
|
68792,1
|
303,5
|
|
260,3-252,5
|
142482,8
|
386,5
|
|
248,4-258,6
|
223785,7
|
377,7
|
|
243,1-247,5
|
261740,2
|
366,8
|
|
250,7-244,5
|
317611,7
|
372,9
|
Статистические данные взяты с сайта
<#"559354.files/image025.gif">
Гистограмма распределения средней
фактической цены на нефть за тонну.
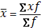
)Расчет средней арифметической
взвешенной по ряду распределения.
|
количество,
млн. тонн
|
стоимость,
млн. долл. США , f
|
Середина
интервала, x
|
xf
|
|
189,5-228,0
|
68792,1
|
303,5
|
20878402
|
|
260,3-252,5
|
142482,8
|
386,5
|
55069602
|
|
248,4-258,6
|
223785,7
|
377,7
|
84523859
|
|
243,1-247,5
|
261740,2
|
366,8
|
96006305
|
|
250,7-244,5
|
317611,7
|
372,9
|
118437403
|
|
1014413
|
|
374915572
|
Рассчитаем среднюю арифметическую взвешенную по
интервальному ряду респределения.
x = 374915572/ 1014413 = 369,5889
Вывод: В среднем в РФ в определенный период
ценна за тонну составляет 269,5889 долларов.
) Показатели вариации.
· Размах вариации
=244,5 - 189,5 = 55
· Среднее линейное отклонение
|
количество,
млн. тонн
|
стоимость,
млн. долл. США , f
|
Середина
интервала, x
|
|
|
|
189,5-228,0
|
68792,1
|
303,5
|
-66,0889
|
-4546392
|
|
260,3-252,5
|
142482,8
|
386,5
|
16,91113
|
2409545
|
|
248,4-258,6
|
223785,7
|
377,7
|
8,111128
|
1815154
|
|
243,1-247,5
|
261740,2
|
366,8
|
-2,78887
|
-729960
|
|
250,7-244,5
|
317611,7
|
372,9
|
3,311128
|
1051653
|
· Дисперсия
Способы расчета дисперсии:
. 
, где 
, 
. 
,

, 
.
способ расчета дисперсии:
|
количество,
млн. тонн
|
стоимость,
млн. долл. США , f
|
Середина
интервала, x
|
|
|
|
xf
|
|
189,5-228,0
|
68792,1
|
303,5
|
-66,0889
|
4367,739
|
300465939
|
20878402
|
|
260,3-252,5
|
142482,8
|
386,5
|
16,91113
|
285,9862
|
40748121
|
55069602
|
|
248,4-258,6
|
223785,7
|
377,7
|
8,111128
|
65,7904
|
14722950
|
84523859
|
|
243,1-247,5
|
261740,2
|
366,8
|
-2,78887
|
7,777808
|
2035764,9
|
96006305
|
|
250,7-244,5
|
317611,7
|
372,9
|
3,311128
|
10,96357
|
3482157,4
|
118437403
|
|
итого
|
1014413
|
|
|
|
361454932
|
374915572
|
σ2 =361454932
/1014413 = 356,3195
2 способ расчета дисперсии:

,

, 
|
количество,
млн. тонн
|
стоимость,
млн. долл. США , f
|
Середина
интервала, x
|
x2f
|
|
189,5-228,0
|
68792,1
|
303,5
|
6336595113
|
|
260,3-252,5
|
142482,8
|
386,5
|
21284401250
|
|
248,4-258,6
|
223785,7
|
377,7
|
31924661503
|
|
243,1-247,5
|
261740,2
|
366,8
|
35215112806
|
|
250,7-244,5
|
317611,7
|
372,9
|
44165307553
|
|
итого
|
1014413
|
|
1,38926E+11
|
σ2 =
(1,38926E+11/1014413) - (374915572 /1014413) = 356,3195
· Среднее квадратическое отклонение
σ = √356,3195 = ±
18,87642709
· Коэффициент осцигляции
КА =(55 / 369,5889 )* 100% = 14,88 %
· Относительное линейное отклонение
d = ((303,5 -
369,5889) + (386,5 - 369,5889) + (377,7 - 369,5889) + (366,8 - 369,5889) +
(372,9 - 369,5889) = -40,5444 *100% = -4054,44
Kd =4054,44/369,5889
* 100% = 1097
· Коэффициент вариации
= |σ|
/ x * 100 % = 18,9 /
369,6 * 100% = 5%
V <33% àряд
типичен.
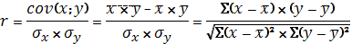
Глава 3. Корреляция
Связь между экспортной ценой на нефть в РФ в
долларах за тонну и ВВП в текущих ценах.

- результирующий показатель

- факторный показатель
Между данными показателями
существует корреляционная связь. Для ее определения рассчитаем коэффициент
линейной парной корреляции.
|
Время.
|
x
|
y
|
|
I
квартал
|
11
679,9
|
681,8
|
|
II
квартал
|
13
038,5
|
791,5
|
|
III
квартал
|
14
405,6
|
777,3
|
|
IV
квартал
|
15
461,7
|
763
|
Данные, представленные в таблице,
взяты с сайта
<#"559354.files/image046.gif">
|
|
|
|
|
|
|
753,4
|
13646,41
|
-1
966,6
|
3
867 338,1
|
-71,6
|
5126,56
|
140805,3293
|
|
|
|
-607,9
|
369
577,7
|
38,1
|
1451,61
|
-23162,0958
|
|
|
|
759,2
|
576
414,8
|
23,9
|
571,21
|
18145,35424
|
|
|
|
759,2
|
576
414,8
|
9,6
|
92,16
|
7288,510488
|
|
|
-1
056,0
|
5389745,3
|
0
|
7241,54
|
|

= - 1 056,0 * 0 = 0
√5389745,3 *7241,54
=62474,0397
r = 0/62474,0397
= 0
Вывод: Связь между экспортной ценой
на нефть в РФ в долларах за тонну и ВВП в текущих ценах отсутствует так как r = 0.
Заключение
По итогам проделанной работы можно сделать
вывод, что Российская Федерация обладает одними из самых крупных запасов нефти
и газа в мире. Более 34% запасов природного газа и около 13% мировых
разведанных запасов нефти находится на территории России. По итогам 2011 года
добыча нефтяного сырья в Российской Федерации составила 511,4 млн т, что выше
аналогичного показателя прошлого года на 6,3 млн т (+1,2%).
В соответствии с Энергетической
стратегией Российской Федерации, действия государственного регулятора
направлены на расширение ресурсной базы, освоение новых месторождений и
включение их в полноценный производственный цикл.
Одними из важных направлений
развития отрасли являются:
завершение крупномасштабных проектов
в области добычи, переработки и транспортировки углеводородов, направленных на
обеспечение внутреннего спроса и диверсификацию их экспорта;
совершенствование системы
налогообложения добычи нефти для стимулирования разработки новых месторождений
и полного использования потенциала уже разрабатываемых.