Сравнительный анализ изменений и дополнений, внесенных Декретом Президента Республики Беларусь от 27 июня 2011 г. №5 в Декрет Президента Республики Беларусь от 16 января 2009 г. №1
Сравнительный анализ изменений и
дополнений, внесенных Декретом Президента Республики Беларусь от 27 июня 2011
г. №5 в Декрет Президента Республики Беларусь от 16 января 2009 г. №1
президент беларусь регистрация
предприниматель
В Республике Беларусь с 1 сентября 2011 г. будет
действовать электронная регистрация субъектов хозяйствования. Возможность
электронной государственной регистрации юридических лиц и индивидуальных
предпринимателей, а также создание веб-портала Единого государственного
регистра юридических лиц и индивидуальных предпринимателей (ЕГР) предусмотрены
Директивой Президента Республики Беларусь от 31 декабря 2010 г. N 4 "О
развитии предпринимательской инициативы и стимулировании деловой активности в
Республике Беларусь".
июня 2011 г. подписан Декрет Президента
Республики Беларусь N 5 "О внесении изменений и дополнений в Декрет
Президента Республики Беларусь от 16 января 2009 г. N 1", который вступит
в силу с 1 сентября 2011 г. (далее соответственно - Декрет N 1, Декрет N 5).
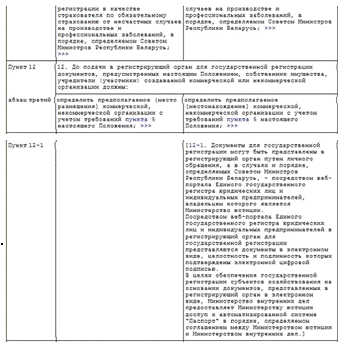
Декретом N 5 Положение о
государственной регистрации субъектов хозяйствования, утвержденное Декретом N
1, дополнено пунктом 12-1, в соответствии с которым вводится электронная
регистрация субъектов хозяйствования, что является основным новшеством Декрета
N 1. Благодаря принятым нормам заявители могут подать документы для
государственной регистрации не только путем личного обращения, но и в
электронном виде через веб-портал Единого государственного регистра юридических
лиц и индивидуальных предпринимателей, который будет вести Министерство юстиции
Республики Беларусь. В целях обеспечения государственной регистрации субъектов
хозяйствования на основании документов, представленных в регистрирующий орган в
электронном виде, Министерство внутренних дел Республики Беларусь предоставит
Министерству юстиции Республики Беларусь доступ к автоматизированной системе
"Паспорт" в порядке, определяемом соглашением между данными
министерствами.
Электронная регистрация субъектов
хозяйствования - это регистрация юридических лиц и индивидуальных предпринимателей
на основе поданных через веб-портал заявлений и других документов в электронном
виде, целостность и подлинность которых подтверждены электронной цифровой
подписью заявителя. При этом подача документов для регистрации в электронном
виде является альтернативным способом представления документов.
С учетом правоприменительной
практики откорректированы нормы положений, касающихся как регистрации, так и
ликвидации (прекращения деятельности) юридических лиц и индивидуальных
предпринимателей, утвержденных Декретом N 1. Так, в Положение о государственной
регистрации субъектов хозяйствования внесены изменения и дополнения, а
Положение о ликвидации (прекращении деятельности) субъектов хозяйствования
изложено в новой редакции.
Изменения, внесенные Декретом N 5 в
пункт 27 Положения о государственной регистрации субъектов хозяйствования,
снимают запрет на осуществление предпринимательской деятельности индивидуальным
предпринимателем независимо от срока, истекшего со дня принятия решения об
аннулировании его государственной регистрации. Теперь гражданин,
государственная регистрация которого в качестве индивидуального предпринимателя
была аннулирована, сможет вновь зарегистрироваться по истечении 3 лет.
Декретом N 5 внесена норма, которой
не допускается повторная государственная регистрация гражданина в качестве
индивидуального предпринимателя в случае, если индивидуальный предприниматель
не исключен из ЕГР.
Юридические лица обязаны будут
уведомить регистрирующий орган о назначении (замене) руководителя юридического
лица в течение 10 рабочих дней со дня такого назначения (замены). Теперь данное
уведомление следует производить по установленной Министерством юстиции
Республики Беларусь форме. Данная обязанность лиц будет способствовать более
полному информированию юридических и физических лиц о своих контрагентах и
позволит избежать негативных последствий от действий неуполномоченных лиц.
Подобная практика ведения реестров (регистров) юридических лиц и
предпринимателей принята во многих зарубежных странах.
В случае изменения местонахождения
организации такая организация в течение 10 рабочих дней со дня изменения
местонахождения обязана также направить в регистрирующий орган уведомление по
форме, установленной Министерством юстиции Республики Беларусь.
Данные уведомления также могут быть
представлены в регистрирующий орган в электронном виде посредством веб-портала
ЕГР в порядке, определяемом Советом Министров Республики Беларусь.
В случае же изменения фамилии,
собственного имени, отчества индивидуального предпринимателя, его
местожительства индивидуальный предприниматель в месячный срок обязан
обратиться в регистрирующий орган для внесения соответствующих изменений в
свидетельство о государственной регистрации индивидуального предпринимателя.
В связи с принятием Указа Президента
Республики Беларусь от 27 июня 2011 г. N 276 "О внесении изменений и
дополнения в некоторые указы Президента Республики Беларусь по вопросу отмены
домовых книг" из Декрета N 1 исключены положения, касающиеся домовой книги
как источника подтверждения постоянного проживания в жилом помещении
собственника.
Совершенствуется механизм
опубликования сведений о ликвидации (прекращении деятельности) субъектов
хозяйствования. Данные сведения будут публиковаться в приложении к журналу
"Юстиция Беларуси" в порядке, определяемом Правительством Республики
Беларусь, и размещаться на сайте Министерства юстиции Республики Беларусь.
Представлять копию публикации о ликвидации (прекращении деятельности) в
регистрирующий орган теперь не потребуется. По мнению экспертов, данное
упрощение механизма опубликования позволит сократить сроки опубликования и
удешевит данную процедуру.
В целях реализации контролирующих
функций государства за финансово-хозяйственной деятельностью субъектов
хозяйствования регламентированы особенности ликвидации и исключения из Единого
государственного регистра юридических лиц и индивидуальных предпринимателей
субъектов хозяйствования, включенных в координационный план контрольной
(надзорной) деятельности.
Декрет N 5 направлен на активизацию
предпринимательской инициативы, стимулирование деловой активности и дальнейшее
развитие заявительного принципа государственной регистрации субъектов
хозяйствования.
Электронная регистрация субъектов
хозяйствования внедрена в большинстве стран. Введение в Республике Беларусь
электронной регистрации юридических лиц и индивидуальных предпринимателей
позволит исключить ряд бюрократических преград в процессе регистрации и
сэкономить время юридическим лицам и индивидуальным предпринимателям на
хождение по инстанциям.
Процедура электронной регистрации
субъектов хозяйствования предусматривает осуществление регистрации на основании
документов, представленных в регистрирующие органы в электронной форме через
портал и заверенных электронной цифровой подписью субъекта. Она удобна и
доступна лицам с минимальными навыками работы на компьютере.
Документы, подаваемые через
веб-портал, должны быть подписаны электронной цифровой подписью заявителя.
Правовые основы применения электронных документов, определение основных
требований, предъявляемых к электронным документам, а также правовых условий
использования электронной цифровой подписи в электронных документах, при
соблюдении которых электронная цифровая подпись в электронном документе
является равнозначной собственноручной подписи в документе на бумажном
носителе, установлены Законом Республики Беларусь от 28 декабря 2009 г. N 113-З
"Об электронном документе и электронной цифровой подписи".
Для получения электронной цифровой
подписи (ЭЦП) юридические и физические лица должны будут обратиться в
организацию, осуществляющую распространение носителей ключевой информации, и
зарегистрироваться в качестве ее абонентов.
Так, например, для подачи заявления
о государственной регистрации частного унитарного предприятия и иных документов
в электронном виде заявитель должен со своего компьютера зайти на веб-портал,
на котором в интерактивном режиме заполнить соответствующие формы заявлений.
Далее подписать его ЭЦП, прикрепить к заявлению устав в электронном виде,
подписанный ЭЦП, и направить документы в регистрирующий орган через веб-портал.
Государственную пошлину за
регистрацию также можно будет перевести электронным платежом. В заявлении о
государственной регистрации в автоматическом режиме будут отображены
необходимые реквизиты данного платежного документа. Государственная пошлина
может быть также оплачена обычным способом до подачи документов через
веб-портал (через кассы, банкоматы, инфокиоски). В этом случае при заполнении
заявления на веб-портале необходимо указать реквизиты платежного документа. При
поступлении документов в регистрирующий орган уполномоченный сотрудник будет
рассматривать их состав и содержание заявления о государственной регистрации,
запрашивать информацию о подтверждении факта уплаты государственной пошлины. В
день поступления документов сотрудник регистрирующего органа будет вносить
сведения о государственной регистрации в ЕГР, формировать уведомление о
государственной регистрации, а также уведомлять о получении документов и о
результатах совершения процедуры регистрации, подписывать его ЭЦП и направлять
на электронный адрес заявителя.
В случае если заявитель желает
подать документы в электронном виде, но провести платеж обычным способом, через
кассу либо посредством банкомата, оплата государственной пошлины должна быть
произведена заранее, до передачи документов в регистрирующий орган.
По информации Национального
правового Интернет-портала Республики Беларусь www.pravo.by, работа по созданию
веб-портала уже проведена. В настоящее время Министерство юстиции Республики
Беларусь разрабатывает соответствующую нормативную правовую базу.
Изменения и дополнения, внесенные
Декретом N 5 в Декрет N 1, для наглядности приведены в таблице.
КонсультантПлюс: примечание.
В связи с невозможностью по
техническим причинам отображения текста, выделенного курсивом, выделенный в
оригинале курсивом текст заключен в фигурные скобки {...}. В связи с
невозможностью по техническим причинам отображения текста, выделенного жирным
шрифтом, выделенный жирным шрифтом в оригинале текст заключен в квадратные
скобки [...]. В связи с невозможностью по техническим причинам отображения
зачеркнутого текста зачеркнутый в оригинале текст заключен в угловые скобки
<...>.
Таблица 1


--------------------------------
<*> Запись вносится в базу данных
(территориальную часть) Единого государственного регистра юридических лиц и
индивидуальных предпринимателей, которая формируется регистрирующим органом в
соответствии с его компетенцией и в автоматизированном режиме включается в
Единый государственный регистр юридических лиц и индивидуальных
предпринимателей.
<**> Для целей настоящего Положения под
предоставлением заведомо ложных сведений понимается сообщение не
соответствующих действительности сведений (информации), представление подложных
документов о фактах, имеющих существенное значение для принятия решения о
государственной регистрации. К заведомо ложным сведениям не относятся описки в
словах, пропуск слов, букв, цифр, ошибки в арифметических расчетах и подобные
ошибки.
<***> Под регистрирующими органами для
целей настоящего Положения понимаются государственные органы и организации,
перечисленные в пункте 9 Положения о государственной регистрации субъектов
хозяйствования, утвержденного Декретом, утвердившим настоящее Положение.