Отряд китообразные
Содержание
Закон эквивалентных отношений
Дайте понятие и приведите примеры гомогенной и гетерогенной реакций
Перечислите факторы влияющие на химическое равновесие. Применяя
принцип Ле-Шателье, на примере обратимой химической реакции
Дайте определение понятию «молярная концентрация эквивалента"
В каких единицах она выражается? Напишите формулы для определения молярной
концентрации эквивалента (в сокращенном и развернутом виде). Поясните значение
каждой величины. В каких единицах она выражается?
Приведите математическое выражение второго закона Рауля. Объясните
физический смысл криоскопической и эбуллиоскопической констант
Какая существует взаимосвязь между константой и степенью
диссоциации? На примере уксусной кислоты выведите формулу закона разбавления
Оствальда
Напишите уравнение диссоциации воды. Выразите константу диссоциации
воды
Какие факторы влияют на степень гидролиза? Привести 3 примера
полного необратимого гидролиза солей
Закон
эквивалентных отношений
Задача: Для растворения 8,4 г металла потребовалось 7,35 г
серной кислоты. Найти молярную массу эквивалента металла.
Решение:
По закону эквивалентов
(Me) /Мэ (Ме) = m (H2SO4) /Мэ (H2SO4)
отсюда
Мэ (Ме) = m (Me) ×Мэ (H2SO4) /m (H2SO4)
= 8,4 ×49/7,35 = 56
Молярная масса эквивалента металла 56. По таблице Менделеева
можно определить, что наиболее вероятен металл - кадмий (56×2= 112; 2 - фактор эквивалентности).
Какие процессы сопровождаются увеличением энтропии?
Второй закон термодинамики: в изолированной системе самопроизвольно
протекающие процессы увеличивают энтропию системы.
Задача: При образовании 40 г жидкого серного ангидрида из
сернистого газа и кислорода выделилось 85,5 кДж тепла. Составьте
термохимическое уравнение этого процесса. Определите энтальпию образования
жидкого серного ангидрида. Решение:
SO2 (г) + O2 (г) → 2SO3 (ж)
= 85,5 кДж, ∆H = - 85,5 кДж (энтропия всегда
противоположна по знаку теплоте)
Найдем количество серного ангидрида:
=m (SO3) /Mr (SO3)(SO3) = 80 г/моль= 40/2×80 = 0.25 моль
∆H = - 85,5/0,25 = - 342 кДж
SO2 (г) + O2 (г) → 2SO3 (ж) + 342 кДж
Дайте понятие
и приведите примеры гомогенной и гетерогенной реакций
Гомогенной называется система, состоящая из одной фазы,
гетерогенной - система, состоящая из нескольких фаз.
Фазой называется часть системы, отделенная от других ее частей
поверхностью раздела, при переходе через которую свойства изменяются скачком.
Примером гомогенной системы может служить любая газовая смесь
(все газы при не очень высоких давлениях неограниченно растворяются друг в
друге). Другим примером гомогенной системы может служить раствор нескольких
веществ в одном растворителе. В каждом из этих двух случаев система состоит
только из одной фазы: из газовой фазы в первом примере и из водного раствора во
втором.
(г) + 3 H2 (г) ↔ 2 NH3 (г):
В качестве примеров гетерогенных систем можно привести
следующие системы: вода со льдом, насыщенный раствор с осадком, уголь и сера в
атмосфере воздуха. В последнем случае система состоит из трех фаз: двух твердых
и одной газовой.
С (т) + О2 (г) ↔ CO2 (г), 2SO2 (г) + O2 (г) → 2SO3
(ж)
Задача:
Как изменится скорость реакции
Fe₍тв ₎+3Cl₂₍ г₎ ↔ 2FeCl₃₍тв ₎, если одновременно увеличили давление в 7 раз, а температуру
уменьшили на 40⁰С (температурный
коэффициент γ =3)
Решение:
Fe₍тв ₎+3Cl₂₍ г₎ ↔ 2FeCl₃₍тв ₎
Изменение давление никак не влияет на скорость химической
реакции
В первом приближении влияние температуры на скорость реакций
определяется правилом Вант-Гоффа (сформулировано Я.Х. Вант-Гоффом на основании
экспериментального изучения множества реакций):
В интервале температур от 0оС до 100оС при
повышении температуры на каждые 10 градусов скорость химической реакции
возрастает в 2-4 раза:
где γ - температурный
коэффициент, принимающий значения от 2 до 4.
ν2/ν1 = 3-40/10
ν2/ν1 = 3-4 = 0,012 (или 1/81)
Ответ: при понижении температуры на 40 С скорость
реакции понизится в 81 раз.
эквивалентное отношение реакция химическая
Перечислите
факторы влияющие на химическое равновесие. Применяя принцип Ле-Шателье, на
примере обратимой химической реакции
₅ ₍г₎↔ PCI₃ ₍г₎+ CI₂ ₍г₎ ∆H>O
рассмотрите влияние повышения давления в системе и понижения
концентрации PCI₅ и CI₂ на направление смещения равновесия. Выразите константу равновесия
для указанной обратимой реакции.
Принцип Ле-Шателье - внешнее воздействие на
систему, находящуюся в состоянии равновесия, приводит к смещению этого
равновесия в направлении, при котором эффект произведенного воздействия
ослабляется.
Увеличение давления смещает равновесие в сторону реакции,
ведущей к уменьшению объема. (в сторону обратной реакции)
Повышение температуры смещает равновесие в сторону
эндотермической реакции. (в прямом направлении)
Уменьшение концентрации исходных веществ и удаление продуктов
из сферы реакции смещают равновесие в сторону обратной реакции.
Катализаторы не влияют на положение равновесия.
Кробр = [PCI₃] [CI₂] / [PCI₅]
Задача: В закрытом сосуде при некоторой температуре
протекает обратимая реакция CO ₍г₎ + H₂O₍г₎ ↔ H₂₍г₎ + CO₂₍г₎. Исходные концентрации
(моль/л) CO и H₂O равны соответственно:
5,0 и 4,0, а равновесная концентрация H₂ - 3,0. Рассчитать
константу равновесия.
Решение:
Зависимость скорости химической реакции от концентрации
реагирующих веществ определяется законом действующих масс. Согласно этому
закону скорость реакции, протекающей в одну стадию, при постоянной температуре
прямо пропорциональна произведению молярных концентраций реагирующих веществ в
степенях, равных их стехиометрическим коэффициентам в уравнении реакции.
Следовательно, для реакции
₍г₎ + H₂O₍г₎ ↔ H₂₍г₎ + CO₂₍г₎.
Равновесные концентрации:
[CO] = 5 - 3 = 2 моль/л
[H2O] = 4 - 3 = 1 моль/л
[H2] = [CO2] = 3 моль/л Кр = [CO2]
× [H2] / ([CO] × [H2O]) = 3×3/ (2×1) = 4,5
Ответ: Кр = 4,5
Дайте
определение понятию «молярная концентрация эквивалента" В каких единицах
она выражается? Напишите формулы для определения молярной концентрации
эквивалента (в сокращенном и развернутом виде). Поясните значение каждой
величины. В каких единицах она выражается?
Молярная концентрация эквивалента СМэкв - произведение
молярной концентрации СМ на число эквивалентности f данного
вещества, т.е. СМэкв = СМ ×f.
Молярная концентрация эквивалента показывает количество
вещества эквивалентов, содержащееся в 1 л раствора.
Для многих используемых в химическом анализе растворов (KCl,
HCl, NaOH и др.) молярная концентрация эквивалентов веществ совпадает с их
молярной концентрацией.
Размерность молярной концентрации эквивалентов вещества
записывается в виде «моль/л экв. » («ммоль/л экв. »).
Задача: К 1 л 10% -ного раствора KOH (плотность 1,092
г/мл) прибавили 0,5 л 5% -ного раствора KOH (плотность 1,045 г/мл). Вычислите
молярную концентрацию полученного раствора, если объем смеси разбавили водой до
3л.
Решение:
Масса одного литра 10% -ного раствора КОН 1092 г. В этом
растворе содержится 1092×10/100=109,2 г КОН.
(p-pa) =1045×0,5=522,5 г.
Масса КОН в 500 мл 5% р-ра:
(KOH) = 522,5×5/100=26,125 г КОН.
В общем объеме полученного раствора (3 л) масса КОН
составляет
,2+26,125=135,325 г.
Молярность этого раствора См=135,325/3×56,1 М = 0,8 М, где 56,1 г/моль - мольная масса КОН.
Ответ: 0,8 М
Приведите
математическое выражение второго закона Рауля. Объясните физический смысл
криоскопической и эбуллиоскопической констант
Второй закон Рауля. Понижение температуры
замерзания и повышение температуры кипения разбавленного раствора нелетучего
вещества прямо пропорционально моляльной концентрации (моляльная концентрация,
или моляльность, показывает число молей растворенного вещества, содержащихся в
1 кг растворителя моль/кг) раствора и не зависит от природы растворенного
вещества. Данный закон справедлив только для бесконечно разбавленных растворов
ΔT = KCm
Для температуры кристаллизации, К называют криоскопической
постоянной растворителя и обозначают Kкр
Для температуры кипения, К называют эбулиоскопической
постоянной растворителя и обозначают Kэб
Физический смысл криоскопической и эбулиоскопической
константы, заключается в понижении температуры кристаллизации и повышения
температуры кипения раствора с концентрацией 1 моль/кг.
Задача: При эндокардите коров вводят внутривенно 300 г 20%
-ного раствора глюкозы (C₆H₁₂O₆) При какой температуре
будет замерзать такой раствор? [K (H₂O) = 1,86⁰]
Рассчитаем массу глюкозы в 300 г 20% раствора:
= 100× m (С6Н12О6)
/ (m (С6Н12О6) + 300)(С6Н12О6)
= 7.5 г, Mr (С6Н12О6) = 180 г/моль= 7.5/180 =
0,04 моль/кг
Δt = 0,04×1,86 = 0,077°Сзам. = 0 - 0,077 = - 0,077°С
Ответ: раствор замерзнет при - 0,077°С
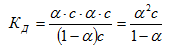
Какая
существует взаимосвязь между константой и степенью диссоциации? На примере
уксусной кислоты выведите формулу закона разбавления Оствальда
Константа диссоциации простым образом связана со степенью
диссоциации. Например, константа диссоциации уксусной кислоты
Пусть α - степень диссоциации
кислоты, а с - ее концентрация. Тогда концентрация каждого из ионов будет равна
αс, а концентрация недиссоциированных молекул будет (1-α) с. Подставляя эти величины в Кд получим:
Это уравнение носит название закон разбавления Оствальда и
справедливо для слабых электролитов, образованных ионами с одинаковыми
зарядами. Для слабых электролитов α<0,03, следовательно, можно
принять 1-α≈1. Тогда ур-ние примет вид
таким образом, при увеличении концентрации электролита степень
диссоциации уменьшается, при уменьшении - возрастает.
Задача: Степень диссоциации (α) уксусной кислоты (C =
0,01 моль/л) равна 3∙10-2. Определите константу диссоциации.
Решение:
Из закона разбавления Оствальда найдем константу диссоциации
уксусной кислоты:
д = α2× Сд = (3∙10-2) 2 × 0,01 = 9∙10-6
Ответ: 9×10-6
Напишите
уравнение диссоциации воды. Выразите константу диссоциации воды
Для реакции диссоциации воды
выражение константы будет:
, а не
Объясняется это тем, что концентрация воды во время реакций в
водных растворах изменяется очень незначительно. Поэтому принимается, что
концентрация [Н2О] остается постоянной и вводится в константу равновесия.
Константа воды
.
Эту константу для воды называют ионным произведением воды.
Ионное произведение воды зависит только от температуры; при повышении
температуры оно увеличивается.
При диссоциации воды на каждый ион Н+ образуется один ион
ОН-, следовательно, в чистой воде концентрации этих ионов должны быть
одинаковы: [H+] = [ОН-]. Используя значение ионного произведения воды, находим:
Такова концентрация ионов Н+ и ОН - в чистой воде.
Задача: K (H₂O) =1.8 ×∙10¯16. Определите число моль
воды в 1 л (ρ=1 г/мл). Чему равно ионное произведение
воды?
Решение:
υ1 = κ1 [H2O] (для диссоциации воды)
υ2 = κ2 [H+] [HO-] (для обратного процесса)
где υ - скорость реакции; κ - константа скорости реакции (зависящая от природы реагирующих
веществ и температуры); [H2O], [H+] и [HO-] -
концентрации (моль/л).
В состоянии равновесия υ1 = υ2, следовательно:
κ1 [H2O] = κ2 [H+] [HO-]
κ1/κ2 = [H+] [HO-] / [H2O]
κ1/κ2 = K
- константа равновесия, а в нашем случаи константа
диссоциации, которая зависит от температуры и природы веществ, и не зависящая
от концентраций. K для воды 1,810-16 при 25°C (справочная величина).
Вследствие очень малого количества продиссоциированных
молекул концентрацию [H2O] можно принять равной общей концентрации воды, а
общую концентрацию воды в разбавленных растворах как величину постоянную:
[H2O] =1000 (г/л) /18 (г/моль) =55,6 моль/л.
Заменяя κ1/κ2 на K и используя
величину [H2O], определяем чему равно произведение концентраций [H+] и [HO-],
которое называется - ионное произведение воды:
= [H+] [HO-] /55,6 моль/л
,810-16 55,6 моль/л = [H+] [HO-]
-14= [H+] [HO-]
Какие факторы
влияют на степень гидролиза? Привести 3 примера полного необратимого гидролиза
солей
Гидролиз солей - это химическое взаимодействие ионов соли с
ионами воды, приводящее к образованию слабого электролита.
Гидролиз не возможен
Соль, образованная сильным основанием и сильной кислотой
(KBr, NaCl, NaNO3), гидролизу подвергаться не будет, так как в этом
случае слабый электролит не образуется.
рН таких растворов = 7. Реакция среды остается нейтральной.
Гидролиз по катиону (в реакцию с водой
вступает только катион)
В соли, образованной слабым основанием и сильной кислотой
(FeCl2, NH4Cl, Al2 (SO4) 3,
MgSO4) гидролизу подвергается катион:
FeCl2 + HOH ↔ Fe (OH) Cl + HCl2+
+ 2Cl - + H+ + OH - ↔ FeOH+ +
2Cl - + Н+
В результате гидролиза образуется слабый электролит, ион H+
и другие ионы. рН раствора < 7 (раствор приобретает кислую реакцию).
Гидролиз по аниону (в реакцию с водой
вступает только анион)
Соль, образованная сильным основанием и слабой кислотой
(КClO, K2SiO3, Na2CO3, CH3COONa)
подвергается гидролизу по аниону, в результате чего образуется слабый
электролит, гидроксид-ион ОН - и другие ионы.
2SiO3 + НОH ↔ KHSiO3 +
KОН
K+ +SiO32 - + Н+
+ ОH - ↔ НSiO3 - + 2K+ + ОН-
рН таких растворов > 7 (раствор приобретает щелочную
реакцию).
Соль, образованная слабым основанием и слабой кислотой (СН3СООNН4,
(NН4) 2СО3, Al2S3),
гидролизуется и по катиону, и по аниону. В результате образуются
малодиссоциирующие основание и кислота. рН растворов таких солей зависит от
относительной силы кислоты и основания. Мерой силы кислоты и основания является
константа диссоциации соответствующего реактива.
Реакция среды этих растворов может быть нейтральной,
слабокислой или слабощелочной:
Аl2S3 + 6HOH →2Аl (ОН) 3 +
3Н2S
Al3+ + 3S2 - + 6H+
+ 6OH - →2Аl (ОН) 3 + 6Н+ + S2-
рН =7
Степень гидролиза соли зависит:
) от природы соли;
) от концентрации соли (с ростом Ссоли h уменьшается);
) от температуры (с ростом температуры h увеличивается).
Задача: Рассчитать степень гидролиза в растворе ацетата
аммония с Cx=0,1 моль/л (Кдис. CH₃COOH = 1.8∙10¯⁵, Кдис. NH₄OH = 1,8∙10¯⁵)
СH3COONH4 + HOH ↔ CH3COOH + NH4OH
Гидролиз соли, образованной слабым основанием и слабой
кислотой:
Кг = Кв/Кк×Косн
Кг = 10-14 /1.8×10-5 × 1.8×10-5 = 3×10-5
Соль образована слабой кислотой и слабым основанием (степень
гидролиза соли не зависит от ее концентрации):
=
√3×10-5
= 0.55 ×10-2
Какие Вы знаете буферные растворы? Напишите формулы. Какие из них
поддерживают постоянство pH в кислой среде?
Буферные растворы - растворы с определённой устойчивой
концентрацией водородных ионов; смесь слабой кислоты и её соли (напр., СН3СООН
и CH3COONa) или слабого основания и его соли (напр., NH3 и NH4CI). Величина рН
буферного раствора мало изменяется при добавлении небольших количеств свободной
сильной кислоты или щелочи, при разбавлении или концентрировании. Буферные
растворы широко используют в различных химических исследованиях.
Классификация кислотно-основных буферных систем.
Буферные системы могут быть следующих типов:
Слабая кислота и ее анион А - /НА:
ацетатная буферная система СН3СОО-/СН3СООН в
растворе СН3СООNa и СН3СООН, область действия рН 3, 8 - 5, 8.
Водород-карбонатная система НСО3-/Н2СО3
в растворе NaНСО3 и Н2СО3, область её
действия - рН 5, 4 - 7, 4.
Слабое основание и его катион В/ВН+:
аммиачная буферная система NH3/NH4+ в
растворе NH3 и NH4Cl,
область ее действия - рН 8, 2 - 10, 2.
Анионы кислой и средней соли или двух кислых солей:
карбонатная буферная система СО32 - /НСО3
- в растворе Na2CO3 и NaHCO3, область ее
действия рН 9, 3 - 11, 3.
фосфатная буферная система НРО42-/Н2РО4
- в растворе Nа2НРО4 и NаН2РО4,
область ее действия рН 6, 2 - 8, 2.
Кислотность буферных растворов почти не изменяется при их
разбавлении или при добавлении к ним некоторых количеств кислот или оснований.
Примером буферной системы служит смесь растворов уксусной кислоты
CH3COOH и её натриевой соли CH3COONa. Эта соль как сильный электролит
диссоциирует практически нацело, т.е. даёт много ионов CH3COO-. При добавлении
к буферной системе сильной кислоты, дающей много ионов Н+, эти ионы связываются
ионами CH3COO - и образуют слабую (то есть мало диссоциирующую) уксусную
кислоту:
Наоборот, при подщелачивании буферной системы, то есть при
добавлении сильного основания (например, NaOH), ионы OH - связываются
Н+-ионами, имеющимися в Б. с. благодаря диссоциации уксусной кислоты; при этом
образуется очень слабый электролит - вода:
По мере расходования Н+-ионов на связывание ионов OH-диссоциируют всё
новые и новые молекулы CH3COOH, так что равновесие смещается влево. В
результате, как в случае добавления Н+-ионов, так и в случае добавления
ОН--ионов, эти ионы связываются и потому кислотность раствора практически не
меняется.
Кислотность растворов принято выражать так называемым водородным
показателем pH (для нейтральных растворов pH=7, для кислых - pH меньше, а для
щелочных - больше 7).
Приливание к 1 л чистой воды 100 мл 0,01 молярного раствора HCl
(0,01 М) изменяет pH от 7 до 3. Приливание того же раствора к 1 л буферной
системы CH3COOH + CH3COONa (0,1 М) изменит pH от 4,7 до 4,65, то есть всего на
0,05.
В присутствии 100 мл 0,01 М раствора NaOH в чистой воде pH
изменится от 7 до 11, а в указанной буферной системе лишь от 4,7 до 4,8. Кроме
рассмотренного, имеются многочисленные другие буферные системы. Кислотность (и,
следовательно, pH) Б. с. зависит от природы компонентов, их концентрации, а для
некоторых буферных систем и от температуры.
Задача: На сколько понизится или повысится pH карбонатной смеси,
состоящей из растворов H₂CO₃ (0,01 моль/л) и NaHCO₃ (0,1 моль/л) при увеличении концентрации
H₂CO₃ в 10 раз? K
Решение:
Рассчитаем начальное значение рН
рН1 = 6,35 + lg (0.1/0.01) = 7.35
Рассчитаем рН при увеличении концентрации H₂CO₃ в 10 раз
рН2=6,35 + lg (0.1/0.1) = 6.35
.35 - 6.35 = 1
Ответ: При
увеличении концентрации H₂CO₃ в 10 раз pH данного раствора увеличится
на 1
Дайте определение понятию «степень окисления». Определите степень
окисления азота в следующих соединениях: KNO₃, KNO₂, NH₃, N₂O₃, (NH₄) ₂S, N₂O₅
Степень окисления (окислительное число, формальный заряд) -
вспомогательная условная величина для записи процессов окисления,
восстановления и окислительно-восстановительных реакций, численная величина
электрического заряда, приписываемого атому в молекуле в предположении, что
электронные пары, осуществляющие связь, полностью смещены в сторону более
электроотрицательных атомов.
₃ +5₂ +3₃ - 3₂O₃+3
(NH₄) ₂S - 3₂O₅ +5
Задача: Рассчитайте массу 12% -ного раствора дихромата калия,
необходимого для окисления 6,72 л (н. у.) оксида серы (IV) в присутствии серной
кислоты. Вычислите молярную массу эквивалента окислителя.
Решение:
K2Cr2O7 + SO2+H2S04 → Cr2 (SO4) 3
+ K2SO4 + H2O2O72
- + 14H+ + 6e→2Cr3+ + 7H2O6| ×1 - окислитель, восстановление2
+ 2H2O - 2e →SO42 - + 4H+ 2| ×3 - восстановитель, окисление
Cr2O72 - +
14H+ + 3SO2 + 6H2O →3SO42
- + 12H++2Cr3+ + 7H2O2Cr2O7
+ 3SO2+H2S04 → Cr2 (SO4)
3 + K2SO4 + H2O
Найдем количество оксида серы (IV)
=6.72/22.4×3 = 0.1
моль
Количество вещества v (K2Cr2O7)
тоже равно 0.1 моль
Рассчитаем массу m (K2Cr2O7)
(K2Cr2O7) = 294 г/моль(K2Cr2O7)
= 0,1 × 294 =
29,4 г
Масса раствора K2Cr2O7:
m (p-pa) = m (K2Cr2O7)
×100%/w
m (p-pa) = 29.4 × 100% / 12 % = 245 г
Молярная масса эквивалента окислителя (хром):
/6 = 8,66
Какие принципы положены в основу всех современных теорий
химической связи? Что такое ионная связь? Какими свойствами она обладает?
Приведите примеры соединений с ионной связью.
По определению Лайнуса Полинга - между двумя атомами или группами
атомов имеется химическая связь в том случае, если силы, действующие между
ними, приводят к образованию агрегата, достаточно стабильного, чтобы химик мог
рассматривать его как независимое молекулярное образование.
В современных химических исследованиях благодаря распространению
мощных ЭВМ широко применяются неэмпирические квантовые расчеты, в которых из
экспериментальных данных используются только заряды ядер атомов. В
неэмпирической квантовой химии практически исчезло упоминание о типе
гибридизации или порядках связей.
Не используются и условные классификации (ионная, ковалентная,
донорно-акцепторная, металлическая связь).
Это притяжение ионов как разноименно заряженных тел. Примером
может служить соединение CsF, в котором «степень ионности» составляет 97 %.
Рассмотрим способ образования на примере хлорида натрия NaCl.
Электронную конфигурацию атомов натрия и хлора можно представить:
11 Na 1s2 2s2 2p 6 3s1;
Cl 1s2 2s2 2p6 Зs2 3р5
Атомы с незавершенными энергетическими уровнями.
Очевидно, для их завершения атому натрия легче отдать один
электрон, чем присоединить семь, а атому хлора легче присоединить один
электрон, чем отдать семь.
При химическом взаимодействии атом натрия полностью отдает один
электрон, а атом хлора принимает его.
Схематично это можно записать так:. - l е - > Na+ ион натрия,
устойчивая восьмиэлектронная 1s2 2s2 2p6 оболочка за счет второго энергетического
уровня.:+ 1е - ->. Cl - ион хлора, устойчивая восьмиэлектронная оболочка.
Между ионами Na+ и Cl - возникают силы электростатического
притяжения, в результате чего образуется соединение. Ионная связь - крайний случай
поляризации ковалентной полярной связи. Образуется между типичными металлом и
неметаллом. При этом электроны у металла полностью переходят к неметаллу.
Образуются ионы.
Составьте сравнительную характеристику элементов с порядковыми
номерами 17 и 25 на основании положения в ПЭС. Объясните причины сходства и
различия в свойствах этих элементов.
- хлор расположен в VII группе главной подгруппы 3 периода
периодической системы.
У хлора на внешнем энергетическом уровне 7 электронов,
следовательно, до завершения уровня он может принят один электрон, при этом
превращаясь в анион Cl-
У марганца на внешнем энергетическом уровне также 7 электронов.
хлор и марганец
У атома хлора энергетический электронный уровень с n = 3
состоит из трех подуровней: s, p и d. Один неспаренный электрон
невозбужденного атома хлора располагается на 3p-подуровне, и в таком состоянии
хлор, как и фтор, одновалентен (хлороводород НСl, хлорид натрия NaCl,
хлорид-ион Cl-, оксид хлора Cl2О, хлорноватистая кислота
HСlO, соли-гипохлориты, гипохлорит-ион).
Электроны с 3s - и 3p-подуровней атома хлора могут при достаточной
энергии возбуждения переходить, распариваясь, на 3d-подуровень.
В результате последовательно образуется: три неспаренных электрона
и соответственно проявляется трехвалентное состояние (хлористая кислота НСlO2,
соли-хлориты, хлорит-ион), пять неспаренных электронов и проявляется
пятивалентное состояние (хлорноватая кислота НСlO3, соли-хлораты,
хлорат-ион), семь неспаренных электронов и проявляется семивалентное состояние
хлора (оксид хлора Cl2O7, хлорная кислота НСlO4,
соли-перхлораты, перхлорат-ион).
Кислородные кислоты хлора - хороший пример изменения кислотных и
окислительных свойств в зависимости от валентного состояния элемента. В ряду
кислот HСlO - НСlO2 - НСlO3 - НСlO4 четко
видно усиление кислотных свойств (хлорная кислота НСlO4 - самая
сильная неорганическая кислота), ослабление окислительной активности (кинетика)
в разбавленных водных растворах и усиление окислительных свойств
(термодинамика) в концентрированных водных растворах.
Почему марганец и хлор находятся в одной группе периодической
таблицы элементов Д.И. Менделеева?
Эти элементы расположены в разных подгруппах: хлор - в главной,
марганец - в побочной.
Марганец находится в 4-м периоде, и в атоме его четыре главных
энергетических уровня. Два спаренных электрона находятся на 4s-подуровне и пять
неспаренных - на 3d-подуровне. У марганца несколько валентностей, но наиболее
часто имеют дело с соединениями, в которых он двух - и семивалентен. Эти
валентности проявляются при распаривании 4s-электронов. К соединениям
двухвалентного марганца относятся MnO, MnCl2, MnSO4,
семивалентного - перманганат калия KMnO4 и перманганат-ион
.
Дайте определение понятию «константа нестойкости комплексного
иона».
Прочность комплексного иона характеризуется его константой
диссоциации, называемой константой нестойкости. Для записи константы
нестойкости К уравнение диссоциации составляется обычным способом (без участия
молекул воды):
Напишите выражения для констант нестойкости следующих комплексных
ионов: [Ag (CN) ₂] ¯; [Ag (NH₃) ₂] +; [Ag (SCN) ₂] ¯. Зная, что они соответственно равны 1,0∙10¯²¹, 6,8∙10¯⁸, 2,0∙10¯¹¹, укажите, в каком растворе, содержащем эти
ионы (при равной молярной концентрации), больше ионов Ag+.
[Ag (CN) ₂] ¯ ↔ Ag + + 2CN-
Кн = [Ag +] [CN-] 2/ [Ag (CN) ₂] ¯ = 1,0∙10¯²¹
[Ag (NH₃) ₂] + ↔ Ag + + 2NН30
= 6,8∙10¯⁸,
Кн = [Ag +] [NН3] 2/ [Ag (NH₃) ₂] + =
[Ag (SCN) ₂] ¯ ↔ Ag + + 2SCN-
Кн = [Ag +] [SCN-] 2/ [Ag (SCN) ₂] ¯ = 2,0∙10¯¹¹
Отсюда видно, что чем больше константа нестойкости, тем больше
ионов серебра в растворе - [Ag (NH₃) ₂] +
Напишите формулы комплексных соединений, содержащих эти
комплексные ионы, назовите эти соединения.
[Ag (NH₃) ₂] Сl - хлорид диамминсеребра (1);
К [Ag (CN) ₂] - калий
дицианоаргентат[Ag (SCN) ₂] -
дироданоаргентат натрия
Дайте краткую сравнительную характеристику металлов главной
подгруппы II группы периодической системы. Как изменяются атомный радиус,
энергия ионизации и сродства к электрону при увеличении порядкового номера
элемента?
Главную подгруппу II группы Периодической системы элементов
составляют бериллий Be, магний Mg, кальций Ca, стронций Sr, барий Ba и радий
Ra.
Атомы этих элементов имеют на внешнем электронном уровне два
s-электрона: ns2.
В хим. реакциях атомы элементов подгруппы легко отдают оба
электрона внешнего энергетического уровня и образуют соединения, в которых
степень окисления элемента равна +2.
Все элементы этой подгруппы относятся к металлам. Кальций,
стронций, барий и радий называются щелочноземельными металлами.
В свободном состоянии эти металлы в природе не встречаются. К
числу наиболее распространенных элементов относятся кальций и магний. Основными
кальцийсодержащими минералами являются кальцит CaCO3 (его разновидности -
известняк, мел, мрамор), ангидрит CaSO4, гипс CaSO4 2H2O, флюорит CaF2 и
фторапатит Ca5 (PO4) 3F. Магний входит в состав минералов магнезита MgCO3,
доломита MgCO3 CaCo3, карналлита KCl MgCl2 6H2O. Соединения магния в больших
количествах содержатся в морской воде.
Свойства. Бериллий, магний, кальций, барий и радий - металлы
серебристо-белого цвета. Стронций имеет золотистый цвет. Эти металлы легкие,
особенно низкие плотности имеют кальций, магний, бериллий.
Радий является радиоактивным химическим элементом.
Бериллий, магний и особенно щелочноземельные элементы - химически
активные металлы. Они являются сильными восстановителями. Из металлов этой
подгруппы несколько менее активен бериллий, что обусловлено образованием на
поверхности этого металла защитной оксидной пленки.
Важнейшие характеристики атомов: размеры, энергия ионизации,
сродство к электрону, электроотрицательность.
Атомные радиусы - орбитальные радиусы атомов изменяются
периодически. В группах с ростом заряда ядер ОР атомов увеличиваются. В главных
подгруппах такое увеличение происходит в большей степени. Радиус бериллия
меньше радиуса радия. С увеличением порядкового номера радиус атома
увеличивается
Энергия ионизации - минимальная Е, которую требуется затратить на
то, чтобы удалить данный е с атомной орбитали невозбужденного атома на большее
расстояние от ядра без сообщения ему кинетической энергии. По сути энергия
ионизации характеризует металлические свойства. Во II подгруппе металлические
свойства от бериллия к радию уменьшаются, следовательно, энергия ионизации
уменьшается.
Сродство к электрону атома - энергия, которая выделяется (или затрачивается) при
присоединении в нейтральному атому е с образованием отрицательного иона. В
подгруппах сверху вниз уменьшается, но не всегда монотонно.
Как получаются соли аммония и каковы их свойства?
Соли аммония - соли, содержащие положительно заряженный ион
аммония по строению, цвету и другим свойствам они похожи на соответствующие
соли калия. Все соли аммония растворимы в воде, полностью диссоциируют в водном
растворе. Соли аммония проявляют общие свойства солей. При действии щелочи
выделяется газообразный аммиак. Все соли аммония при нагревании разлагаются.
Получают их при взаимодействии H с кислотами. NH3 или NH4O
Получение:
) реакцией соединения -
|
NH3
|
+
|
HCl
|
=
|
NH4Cl
|
|
Аммиак
|
|
Хлорид аммония
|
|
Хлористый
аммоний
|
) реакцией обмена (нейтрализации)
NH4OH + HCl = NH4Cl + H2O + Q
Химические свойства солей аммония:
NH4Cl NH3 + HCl NH4 Cl + Na OH = NH3+ NaCl + H2O
Задача: Сколько граммов бертолетовой соли можно получить из
11,2 л хлора (н. у.)?
Решение:
6KOH + 3Cl2 = KClO3 + 5KCl
+ 3H2O
(KClO3) = 122.5 г/ моль
Найдем количество хлора:
=11.2 /3×22.4 = 0.17 моль, m (KClO3)
= 0.17 × 122.5 = 20.42 г
Ответ: 20,42 г
Переходные элементы. Электронная конфигурация. Валентные
возможности.
Переходные элементы, переходные металлы, химические элементы
Iб - VIIIб подгрупп периодической системы Д.И. Менделеева.
Особенность строения атомов переходных элементов заключается в
незавершённости их внутренних электронных оболочек; соответственно различают
d-элементы, у которых происходит заполнение 3d-, 4d-, 5d - и 6d-подоболочек, и
f-элементы, у которых заполняется 4f-подоболочка (лантаноиды
<#"55860.files/image021.gif">
Для всех переходных элементов характерно образование комплексных
соединений.
К какому классу соединений относятся вещества, полученные при
действии избытка едкого натра на растворы хлоридов цинка, кадмия, ртути?
Составьте молекулярные и ионные уравнения соответствующих реакций.
+ 4NaOH (изб.) → Na2 [Zn (OH) 4] + 2NaCl Zn2+ + 2Cl - + 4Na+
+ 4OH - → 2Na+ + [Zn (OH) 4] 2 - + 2Na+ + 2Cl- Zn2+ + 4OH - → [Zn
(OH) 4] 2 - комплекс тетрагидроксоцинкат натрия CdCl2 + 2NaOH (изб.) →
Cd (OH) 2↓ + 2NaCl Cd2+ + 2Cl - + 2Na+ + 2OH - → Cd (OH) 2↓ +
2Na+ + 2Cl- Cd2+ + 2OH - → Cd (OH) 2↓ - гидроксид кадмия
Далее очень медленно будет растворяться осадок:
(OH) 2 + 2NaOH (изб.) → Na2 [Cd (OH) 4] ↓ Cd (OH) 2 +
2Na+ + 2OH - → Na2 [Cd (OH) 4] ↓ - тетрагидроксокадмиат натрий
HgCl2 + 2NaOH → HgO + 2NaCl + H2O Hg2+ + 2Cl - + 2Na+ + 2OH - → HgO
+ 2Na+ + 2Cl - + H2O Hg2+ + 2OH - → HgO + H2O оксид ртути