Особенности регионарного кровообращения
Реферат
на тему: «Детонационные
наноалмазы. Синтез, свойства и применение»
СОДЕРЖАНИЕ
ВВЕДЕНИЕ
. ВЗРЫВ И ДЕТОНАЦИЯ
. МЕХАНИЗМ И ОСОБЕННОСТИ
ДЕТОНАЦИОННОГО СИНТЕЗА НАНОАЛМАЗОВ
. СВОЙСТВА И ПРИМЕНЕНИЕ
ВЫВОДЫ
СПИСОК ИСПОЛЬЗОВАННОЙ ЛИТЕРАТУРЫ
ВВЕДЕНИЕ
Ультрадисперсный алмаз, или наноалмаз, - это
углеродная структура, имеющая кристаллическую решетку типа алмаза и размеры от
1-10 нм. Наноалмазы были впервые получены в 1963 году, и менее чем за полвека
нашли применение в технологии и промышленности.
Природный алмаз известен не только как один из
самых дорогих драгоценных камней. Благодаря своим уникальным свойствам, таким
как исключительная твердость, износостойкость, высокая теплопроводность и
прочность, он широко применяется для изготовления различных инструментов и
оборудования, используется в технике и радиоэлектронике. Алмаз разрезает любые
материалы, выдерживает высокие нагрузки температуры и давления. Уже после
второй мировой войны спрос на технический алмаз значительно превысил возможности
добычи, появилась необходимость производства синтетических алмазов.
В естественных условиях алмаз образуется в
земных недрах на больших глубинах, где на углерод воздействуют высокие давления
и температуры, что обусловливает высокую упаковку атомов в структуре алмаза.
Метод воздействия на углеродное сырье такими условиями, при которых стабильной
является алмазная фаза, получил название статического.
В динамическом синтезе графит или иной
углеродосодержащий материал подвергается кратковременному ударному воздействию.
Одним из видов динамического метода является детонационный, когда взрывчатое
вещество вместе с реакционной смесью помещается во взрывную камеру. Причем
оказалось, что наличие графитсодержащей смеси необязательно - алмаз
синтезировался из углерода продуктов детонации.
В процессе производства алмазов взрывным
способом образовывались алмазные частицы размером менее 100 нм. Они содержались
в углеродной пыли, оседавшей на стенках камер. Открытие этих частиц принадлежит
советским ученым ВНИИТФ города Снежинска В. Даниленко, В. Елину, К. Волкову.
Независимые разработки по синтезу ультрадисперсных алмазов велись в США, а в 84
году началось опытно-промышленное производство наноалмазов в Бийске. Были
получены агрегаты размером от 10 до 100 нм, обладающие различными свойствами,
развивались области их применения. В последние годы заметно вырос интерес к
изучению путей и возможностей использования наноалмазных частиц в биологии и
медицине. Наноалмазы применяются в гальванике, значительно меняя свойства
покрытий. Широкими возможностями использования детонационного наноалмаза в
различных областях современных технологий обусловлена актуальность данной темы.
1. ВЗРЫВ И ДЕТОНАЦИЯ
Взрыв - физический или химический
быстропротекающий процесс с выделением значительной энергии в небольшом объёме,
приводящий к ударным, вибрационным и тепловым воздействиям на окружающую среду.
При взрыве содержащаяся в веществе потенциальная энергия (химическая, атомная,
термоядерная, тепловая) быстро превращается в механическую работу, совершаемую
образовавшимися сжатыми и нагретыми газами.
Работоспособность взрывчатого вещества
определяется величиной потенциальной энергии на единицу массы, которая
освобождается при взрыве. Для различных химических взрывчатых веществ она
составляет от 2500 до 6700 кДж/кг. Эта энергия невелика, например, в сравнении
с имеющейся у бензина(46090 кДж/кг), но работоспособность определяется и
скоростью выделения энергии. Другим фактором силы взрыва является объем газов
или пара, образующихся при взрыве одного кг взрывчатого вещества. Эта величина
может принимать значения в пределах 600-1100 л при нормальном атмосферном
давлении, причем образовавшиеся газы имеют температуры до 3000-4000 К, что и
определяет их способность совершать работу при расширении. Процесс превращения
взрывчатых веществ в газообразные продукты происходит за счет окисления
углерода кислородом, содержащимся в этом взрывчатом веществе, то есть без
притока кислорода извне. Быстрота выделения и огромное давление сжатых газов
при их расширении создают в окружающей среде ударные волны, а граница
взрывчатое вещество - среда двигается с большой скоростью, уплотняя и разрушая
среду. Максимальная скорость распространения газообразных продуктов при
беспрепятственном расширении (в вакууме) оценивается зависимостью:
,
где Q - теплота взрывчатого
превращения, k - средний показатель адиабаты расширения газов.
Для типичных взрывчатых веществ (ρ = 1,6 г/см³) эта скорость
может достигать 15 км/с.
Продукты взрыва расширяются в 800-1600
раз, следовательно, радиус предельного объема будет в 10-12 раз больше радиуса
заряда. Зная предельный объем, можно оценить энергию продуктов после их
расширения.
Начальная энергия взрыва заряда
где m - масса заряда. Следовательно,
в среду, в виде ударной волны, переходит энергия:
При k = 7/5 отношение энергии
ударной волны к начальной энергии взрыва будет равно 97%, а при k = 5/4 - 91%.
Таким образом, подавляющая часть энергии перейдет в среду.
Работу расширения продуктов взрыва
можно оценить, учитывая уравнения адиабатического процесса и уравнение
состояния идеального газа:
Следовательно,
Как видно, соотношение A/Q тем
больше, чем больше коэффициент k, зависящий от состава продуктов взрыва.
При расширении в продуктах взрыва
остается тепло q = Q - A, которое зависит от степени расширения, то есть от
остаточного давления, или от среды. При полном расширении газов до р = 1 атм.
получим полную работу взрыва. Отнесенная к единице массы полная работа взрыва
называется работоспособностью. Она может измеряться в виде так называемого
тротилового эквивалента, то есть отношения работоспособности взрывчатого
вещества к работоспособности тротиловой взрывчатки.
Все взрывные процессы могут
проходить в двух различных формах - горение и собственно взрыв. Горение зависит
от внешних условий, определяется теплопроводностью и может протекать с
переменной скоростью. Взрыв от внешних условий почти не зависит, в передаче
взрыва определяющую роль играет ударная волна, при этом наблюдается очень
большое местное повышение давления.
Скорость горения всегда меньше
скорости звука в исходном взрывчатом веществе, а скорость взрыва - всегда
больше. Горение может скачкообразно переходить во взрыв, а взрыв может
протекать в форме детонации.
Детонация - процесс химического
превращения взрывчатого вещества, происходящий в очень тонком слое и
распространяющийся со сверхзвуковой скоростью. Детонация представляет собой
комплекс мощной ударной волны и следующей за ее фронтом зоны химического
превращения вещества (детонационная волна). Фронт ударной волны - это
поверхность, на которой претерпевают разрыв ряд параметров, характеризующих
состояние и движение среды. Скорость фронта направлена по нормали к
поверхности.
Если по заряду распространяется
ударная волна и интенсивность этой волны достаточно велика, то за ее фронтом
создается зона протекания интенсивных химических реакций. Глубина этой зоны
может составлять от долей миллиметра до нескольких сантиметров и более. В
стационарном детонационном режиме эта зона исполняет роль поршня, вдвигающегося
в исходное взрывчатое вещество (рисунок 1).
Рисунок 1
Детонация протекает с постоянной и максимально
возможной для данного заряда взрывчатого вещества скоростью. Явление детонации
было открыто в 1881 г. независимо друг от друга Бертло и Вьелем, а также
Малляром и Ле-Шателье при исследовании горения газов в трубах. В 1883 году
появилась теория взрывной волны Бертло, согласно которой реакция
распространяется от слоя к слою за счет трех различных явлений: механических
(сжатие), термических (разогрев) и химических (реакция).
Результатом развития этих представлений явилась
современная гидродинамическая теория детонации. В соответствии с ней, детонация
взрывчатого вещества обусловлена идущей по нему ударной волной, которая
возбуждает экзотермическую реакцию.
Энергия реакции идет на поддержание постоянства
параметров детонации. Существует максимальная стационарная скорость детонации,
которая не зависит от условий инициирования и определяется только теплотой
взрыва Q и свойствами продуктов взрыва.
Детонационная волна включает в себя ударную
волну, зону химической реакции постоянной ширины (химпик) и нестационарную
область расширяющихся продуктов взрыва.
Поверхность, которая разделяет зону реакции и
продуктов взрыва, называется поверхностью Чепмена-Жуге, а параметры продуктов
детонации на этой поверхности называются параметрами детонации или параметрами
в точке Жуге.
Гидродинамическая теория детонации позволяет
рассчитать значение ее скорости и распределение давления, плотности и
температуры в детонационной волне на основе законов сохранения массы, импульса
и энергии, уравнения состояния вещества, а также требования равенства скорости
детонационной волны относительно продуктов реакции и скорости звука в них.
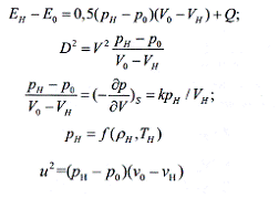
Таким образом, зная начальные давление, объем,
плотность заряда и теплоту взрыва, можно определить параметры точке Жуге. Их
определяют, решая пять уравнений:
Где D - скорость детонации, u -
скорость потока продуктов реакции за фронтом волны.
В таблице 1 приведены расчетные параметры
детонации для некоторых взрывчатых веществ
Ряд экспериментальных фактов несовместим с
изначальной теорией детонации. Существует несколько модифицированных моделей,
опирающихся как на физическую теорию, так и на результаты точных, с высоким
разрешением экспериментов.
Таблица 1
|
Название
вещества
|
ρ,
г/см³
|
D,
м/с
|
р,
кбар
|
Т,
К
|
|
Гексоген
|
1,8
|
8754
|
347
|
2587-4027
|
|
Октоген
|
1,9
|
9100
|
393
|
2364-3871
|
|
Тротил
|
6950
|
190
|
2829-3662
|
|
Тетрил
|
1,7
|
7560
|
251
|
2917-4018
|
|
Нитроглицерин
|
1,59
|
7580
|
246
|
3216-4593
|
|
Окись
азота
|
1,3
|
5620
|
103
|
1854-2635
|
|
ТГ
50/50 (пентолин)
|
1,65
|
7465
|
247
|
3239-4363
|
|
Гексанитробензол
|
1,973
|
9300
|
355
|
3269-4893
|
|
ТГ
77/23 (циклотол)
|
1,743
|
8250
|
313
|
2711-3988
|
. МЕХАНИЗМ И ОСОБЕННОСТИ ДЕТОНАЦИОННОГО СИНТЕЗА
НАНОАЛМАЗОВ
детонационный синтез взрывной
наноалмаз
Экспериментально показано, что для прямого
перехода графита в алмазную фазу требуются давление не ниже 11 ГПа и
температура не менее 2000 К, при статическом методе такие условия должны
сохраняться длительное время. Чтобы снизить эти показатели, необходимо
использовать активаторы, наиболее эффективными из которых являются
расплавленные металлы VIII группы Периодической системы: Fe, Ni, Co, Pt, Pa, а
также Mn и Cr. При этом температура и давление являются независимыми
параметрами, процесс статического синтеза может протекать от нескольких минут
до десятков часов.
Ударно-волновой синтез имеет ряд неоспоримых
преимуществ перед статическим. Прежде всего, нет необходимости в
металлах-катализаторах, примеси которых снижают прочность и термостойкость
алмаза. Кроме того, параметры взрывного процесса, такие как давление, скорости
нагружения, температуры сжатия и остаточные температуры, можно регулировать
способом сжатия, подбором взрывчатого вещества с определенными свойствами,
предварительным нагревом или охлаждением. В результате синтеза в
сильнонеравновесных условиях получаются уникальные нанокристаллические
структуры, каждая частица алмаза имеет множество режущих кромок.
Главной особенностью данного метода является
возможность получать наноалмаз непосредственно из содержащегося во взрывчатом
веществе углерода. Для этого необходимо использовать составы с отрицательным
кислородным балансом (количество кислорода меньше количества окисляемых
компонентов), тогда свободный углерод конденсируется в наноалмазной фазе.
Полученный продукт называется алмазной шихтой (смесь алмаза с неалмазными
формами углерода).
К взрывчатым веществам с отрицательным
кислородным балансом относятся гексоген, тротил (ТНТ) и др.
При детонационном синтезе процесс проводят в
специальных взрывных камерах (рисунок 2).
Образование наночастиц алмаза происходит за
0,2-0,5 мкс, температура продуктов взрыва достигает 2000-4000
ºС,
а графитизация алмаза начинается уже при 1000ºС.
Поэтому камеры заполняют инертным или углекислым газом, который предотвращает
окисление образовавшихся алмазных частиц и их превращение в графит. Также чтобы
понизить остаточные температуры, подрыв осуществляют в водной среде или в
ледяной бронировке заряда - продукты детонации совершают работу по сжатию и
разгону окружающей среды.
Рисунок 2
Механизм синтеза УДА в детонационной волне можно
представить следующим образом. В распространяющейся по твердому заряду
детонационной волне происходит разрушение бензольных колец, находящихся в
составе молекул взрывчатого вещества, на отдельные связки из атомов углерода. В
результате последующих многократных взаимодействий из них образуются углеродные
соединения, в частности циклогексан. Эти молекулы несут в себе элементы
структуры кристаллической решетки алмаза, поэтому их можно рассматривать как
зародыши алмазной фазы углерода. Их объединение в подвижной среде продуктов
взрыва приводит к образованию малых частиц - алмазных кластеров. В результате
последующих столкновений и колебательных взаимодействий частиц, приводящих к
сцеплению их кристаллических решеток, за фронтом вырастают более крупные
частицы (до 40-90 нм). Эти оценки соответствуют результатам известных экспериментов
После взрыва конденсированные продукты синтеза
собирают и подвергают химической обработке для удаления сажи и других примесей.
Полученные агрегаты имеют сложную, разветвленную форму, поэтому могут быть
«сцеплены» друг с другом механически и под действием сил Ван-дер-Ваальса.
Продукт подвергают диспергированию ультразвуком, затем разделяют на фракции с
помощью центрифуг.
Детонационный метод имеет ряд недостатков, среди
которых противоречие необходимости быстрого понижения остаточной температуры и
максимально долгого сохранения повышенного давления, чтобы повысить
стабильность алмазной фазы. Для устранения этой проблемы используют камеры
больших размеров (до 5 м³ на 1 кг
взрываемого заряда). Помимо этого, для синтеза алмаза обычно требуются дорогие
и мощные взрывчатые вещества (гексоген, сплав ТГ40), которые изготавливаются
только на оборонных предприятиях. Эту проблему отчасти решает необходимость
экологически чистой утилизации различных боеприпасов, заряды из которых
являются сырьем для синтеза наноалмазов.
. СВОЙСТВА И ПРИМЕНЕНИЕ
Для всех ультрадисперсных порошков характерна
большая удельная поверхность. Так, при среднем размере первичной наноалмазной
частицы 4 нм она состоит примерно из 12000 атомов углерода, из которых около
3000 - поверхностные. Поэтому поверхность частицы сильно влияет на ее свойства.
Несмотря на малые размеры частиц,
ультрадисперсные алмазы сохраняют основные свойства алмаза: кристаллическую
решетку и химическую инертность, позволяющую выделять их из шихты с помощью
обработки кислотами. При этом показатель преломления наноалмаза выше, чем у
алмаза, и составляет примерно 2,55.
Порошок ультрадисперсных алмазов состоит из
сферических частиц с удельной поверхностью от 200 до 400 м³/г,
в зависимости от взрывчатого вещества, используемого при синтезе.
Каждая частица состоит из сверхтвердого
инертного ядра, покрытого пористыми оболочками, содержащими аморфный углерод и
различные функциональные группы примесей (рисунок 3). Благодаря этим
особенностям поверхности наноалмазы имеют высокую сорбционную емкость.
Рисунок 3
Также от способа синтеза и очистки зависит
плотность частиц, она колеблется в пределах 3-3,4 г/см³.
Величины диэлектрической проницаемости и
магнитной восприимчивости близки к идеальным для алмаза:
Еще одним важным свойством
поверхности наноалмаза является электрокинетический потенциал, или ζ-потенциал,
который также в значительной степени зависит от способов очистки, которые
влияют на состояние поверхности.
При взрывном синтезе без оболочки
получаются частицы со средним размером 4 нм, их сфероподобная форма определяет
антифрикционные свойства. При использовании водяной или ледяной оболочки
синтезируются частицы размером 5 - 12 нм, обладающие абразивными свойствами.
Уникальные качества и разнообразие
структур делает наноалмаз перспективным материалом в различных областях
современных технологий.
Так, например, благодаря высокой
сорбционной способности, обусловленной сверхвысокой поверхностной активностью
частиц, наноалмазы могут применяться в медицине, в частности, в борьбе против
рака.
Частицы, объединенные в агрегаты
размером 50-100 нм, могут быть использованы в качестве поставщиков лекарства к
здоровым клеткам или ядовитых препаратов к клеткам раковых опухолей. При этом
не наблюдается негативных последствий для здоровых клеток организма, как это
происходит при использовании современных способов доставки. Материалы,
используемые в настоящее время, могут вызывать воспаление, которое может
блокировать деятельность противораковых лекарств и даже ускорить рост опухоли,
чего не происходит при выпуске препарата агрегатами наноалмаза. В отличие от
современных средств доставки (липосомы и полимеросомы - полые сферические
полимерные образования, заполненные активным препаратом), кластеры наноалмазов
не убивают здоровые клетки, имеют размер приблизительно в 100 раз меньше, но
при этом могут нести на своей поверхности в несколько раз больше лекарственного
препарата. Наноалмазы могут свободно циркулировать по телу и легче проникают
через мембраны клеток внутрь.
В 2000 году водные суспензии
наноалмазов были впервые применены для осуществления помощи онкологически
больным - добровольцам с VI стадией рака, прошедшим курсы химио- и
радиотерапии. Больные принимали суспензию по столовой ложке три раза в день,
положительный эффект проявлялся в существенном уменьшении или полном
исчезновении ранее присутствующих сильных болей, улучшении показателей крови,
нормализации перистальтики кишечника, даже если его проходимость была полностью
заблокирована. Лежачие больные смогли вставать и передвигаться, наблюдался
усиленный вывод из организма различных токсинов, происходила заметная активация
иммунной системы. Таким образом, использование наноалмазов значительно
облегчило физическое состояние смертельно больных людей, срок их жизни
увеличился как минимум в три раза по сравнению с прогнозируемым.
Сверхмалые размеры частиц и наличие
на их поверхности функциональных групп, сосредоточенных в малом объеме,
определяют высокую активность влияния на окружающую среду. Наноалмаз является
своеобразным структурообразующим материалом, что определяет его популярность в
гальванотехнике. В процессе осаждения взвешенные частицы взаимодействуют с
поверхностью растущего покрытия благодаря гидродинамическим, электростатическим
и молекулярным силам. Малые размеры наноалмазов обеспечивают их равномерное
распределение в покрытии при очень малом содержании в электролите - десятые
доли процента. Частицы внедряются в осаждаемую металлическую пленку в виде
отдельных частиц и агломератов (рисунок 4).
Рисунок 4
Присутствие наноалмазных включений значительно
повышает качество покрытий. Так, например, введение ультрадисперсных алмазов в
электролит приводит к снижению пористости покрытия, наноалмазные частицы
останавливают рост кристаллитов металлов; таким образом, повышается плотность
покрытия. На рисунке 5 видно, как меняется размер зерен никелевого покрытия при
введении наноалмазов.

Благодаря этим изменениям существенно возрастает
износостойкость, микротвердость, эластичность и коррозийная стойкость покрытий.
При этом электрофизические свойства покрытий практически не меняются.
Также ультрадисперсные алмазы повышают прочность
и износостойкость различных полимерных композитов, в том числе резин. При
модифицировании каучуков наноалмазами возрастает сопротивление разрыву и
усталостная выносливость, при этом эластичность не уменьшается, повышается
морозостойкость.
Полировальные системы, содержащие
ультрадисперсные алмазы, позволяют получить совершенную зеркальную поверхность
любой геометрической формы, без дефектов, с высотой шероховатости рельефа всего
2 - 8 нм. Высокая полирующая способность суспензий с наноалмазами определяется,
в основном, чрезвычайно большим числом частиц в единичном объеме (10²º/см³)
и
их поверхностной активностью. Такие составы применяются в финишном полировании
материалов, используемых в радиотехнике, электронике, оптике, машиностроении,
медицине. Полировка наноалмазной суспензией различных ювелирных камней придает
им новый сильный блеск.
Использование наноалмазов для усиления
прочностных свойств абразивного инструмента приводит к одновременному повышению
как прочностных, так и эластичных качеств.
Строение наноалмазных частиц (теплоотводящее
диэлектрическое ядро и нагреваемая током оболочка) идеально подходит для
электронной полевой эмиссии в вакууме. При этом пороговая напряженность
электрического поля на четыре порядка ниже, чем для полевых эмиттеров,
выполненных из металла. Эмиссионные свойства наноалмазов определяют возможность
их применения для изготовления сверхминиатюрных источников рентгеновского
излучения, устройств для передачи и приема изображений с очень высокой
разрешающей способностью, плоских люминесцентных источников света.
Наноалмазная шихта добавляется в смазочные масла
и присадки для повышения их трибологических свойств. Для моторных и
трансмиссионных масел снижается коэффициент трения и темпы износа трущихся пар,
температура в зоне трения. Улучшение свойств технологических смазок объясняется
тем, что слои мелкодисперсного графита, содержащегося в шихте, ориентируются
параллельно поверхностям трения и легко скользят, а присутствие твердых частиц
наноалмазов обеспечивает возможность смазки легко проникать в очаги
поверхностной микродеформации и модифицировать поверхностный слой трущихся пар,
экранировать их адгезионное взаимодействие.
Смазочно-охлаждающие жидкости с наноалмазной
шихтой, используемые для резания труднообрабатываемых жаропрочных сталей,
показывают большую эффективность в сравнении с традиционно используемыми
жидкостями на основе вредной олеиновой кислоты.
ВЫВОДЫ
Наноалмазы детонационного синтеза обладают как
свойствами природного алмаза, так и набором уникальных качеств, которые сильно
зависят от особенностей синтеза и очистки, могут кардинально различаться.
Наноалмазы являются экологически чистым материалом, они безопасны для живого
организма, обладают невероятной биологической активностью; применение
наноалмазов существенно улучшает качество гальванических покрытий, мембран и
резин, смазочных материалов, абразивных инструментов и полировальных составов.
Широкий спектр применения делает детонационные наноалмазы перспективным
материалом. Способы синтеза и модификации совершенствуются, продолжаются
исследования физических и физико-химических свойств, появляются новые области
использования. Спрос на наноалмазные порошки и продукты растет, постепенно
налаживается промышленное производство наноалмазов в России и за рубежом.
СПИСОК ИСПОЛЬЗОВАННОЙ ЛИТЕРАТУРЫ
1. Долматов
В.Ю. Ультрадисперсные алмазы детонационного синтеза. - СПб.: СПбГПУ, 2003.
2. Даниленко
В.В. Синтез и спекание алмаза взрывом. - М.: Энергоатомиздат, 2003.
3. Верещагин
А.Л. Свойства детонационных наноалмазов. - Барнаул, 2005.
4. Даниленко
В.В. Взрыв: физика, техника, технология. - М.: Энергоатомиздат, 2010.