Классификация приемов и методов в экономическом анализе

  • Вид работы:
    Курсовая работа (т)
  • Предмет:
    Эктеория
  • Язык:
    Русский
    ,
    Формат файла:
    MS Word
    571,47 Кб
  • Опубликовано:
    2012-05-15
Вы можете узнать стоимость помощи в написании студенческой работы.
Помощь в написании работы, которую точно примут!

Классификация приемов и методов в экономическом анализе

Министерство образования и науки РФ

ГОСУДАРСТВЕННОЕ ОБРАЗОВАТЕЛЬНОЕ УЧРЕЖДЕНИЕ ВЫСШЕГО ПРОФЕССИОНАЛЬНОГО ОБРАЗОВАНИЯ «НИЖЕГОРОДСКИЙ ГОСУДАРСТВЕННЫЙ АРХИТЕКТУРНО-СТРОИТЕЛЬНЫЙ УНИВЕРСИТЕТ» (ННГАСУ)

ИНСТИТУТ ЭКОНОМИКИ, УПРАВЛЕНИЯ И ПРАВА

Кафедра бухгалтерского учета и аудита

Курсовая работа

по дисциплине «Теория экономического анализа»

на тему: «Классификация приемов и методов в экономическом анализе»


Выполнил: студент 3 курса

Балыбердина Ю.Д.

группа БУ-15

Проверил:

Анисимова В.И.

Нижний Новгород

г.

Содержание

экономический анализ детерминированный стохастический

Введение

. Метод экономического анализа и его сущность. Традиционная классификация приемов и методов экономического анализа

. Краткая характеристика традиционных способов обработки информации

3. Способы детерминированного факторного анализа

. Способы измерения влияния факторов в стохастическом анализе

Практическая часть

Заключение

Список литературы

Приложение

Введение

Анализом хозяйственной деятельности называется научно разработанная система методов и приемов, посредством которых изучается экономика предприятия, выявляются резервы производства на основе учетных и отчетных данных, разрабатываются пути их наиболее эффективного использования. Анализ финансового состояния имеет свои источники, свою цель и свою методику. Источниками информации являются формы квартальных и годовых отчетов, включая приложения к ним, а также сведения, привлекаемые из самого учета, когда такой анализ проводится внутри самого предприятия. Цель анализа финансового состояния - дать руководству предприятия картину его действительного состояния, а лицам, непосредственно не работающим на данном предприятие, но заинтересованных в его финансовом состоянии, - сведения, необходимые для беспристрастного суждения, например, о рациональности использования вложенных в предприятия дополнительных инвестиций и тому подобное. Оценка финансового положения предприятия - это совокупность методов, позволяющих определить состояние дел предприятия в результате анализа его деятельности на конечном интервале времени.

Характерными особенностями метода экономического анализа являются: использование системы показателей, изучение причин ( факторов ) изменения этих показателей, выявление и измерение взаимосвязи между ними в целях повышения эффективности.

Также необходимо изучение причин, вызвавших изменение тех или иных хозяйственных показателей. Поскольку экономические явления обусловлены причинной связью и причинной зависимостью, то задача анализа - раскрытие и изучение этих причин. На хозяйственную деятельность организации, даже на отдельно взятый показатель, могут влиять многочисленные и разнообразные причины. Выявить и изучить действие абсолютно всех причин весьма затруднительно, к тому же не всегда это практически целесообразно.

В процессе экономического анализа, аналитической обработки экономической информации применяется ряд специфических способов и приемов. В них в большей мере, чем в определении, раскрывается специфичность метода экономического анализа, отражается его системность, комплексный характер. Системность в экономическом анализе обуславливается тем, что хозяйственные процессы рассматриваются как многообразные, внутренне сложные единства, состоящие из взаимосвязанных сторон и элементов. В ходе такого анализа выявляются и изучаются связи между сторонами и элементами, устанавливается, каким образом эти связи в результате взаимодействия приводят к единству изучаемого процесса в его целостности. Системность экономического анализа проявляется и в объединении, в совокупности всех специфических приемов на основе собственных достижений и достижений ряда смежных наук.

Данная работа является актуальной, поскольку  только комплексный анализ деятельности организации, учет всех взаимосвязанных факторов с помощью приемов и методов экономического анализа, делает возможным успешное функционирование любого предприятия в современных условиях.

Цель данной работы - изучить существующие приемы и методы экономического анализа.

Задачи:

. Рассмотреть классификацию приемов и способов экономического анализа.

.Подробно рассмотреть логические способы, способы детерминированного факторного анализа и способы стохастического анализа.

1.      Метод экономического анализа и его сущность. Традиционная классификация приемов и методов экономического анализа

 

Экономический анализ - это научный способ познания сущности экономических явлений и процессов, основанный на расчленении их на составные части и изучении во всем многообразии связей и зависимостей.

Объектом его исследования выступают результаты хозяйственной деятельности предприятия.

Предметом его изучения являются причинно-следственные связи и зависимости экономических явлений и процессов, формирующих результаты деятельности субъекта хозяйствования[4].

Метод экономического анализа представляет собой способ подхода к изучению хозяйственных процессов в их плавном развитии.

Характерными особенностями метода экономического анализа являются:

·        определение системы показателей, всесторонне характеризующих хозяйственную деятельность организаций;

·        установление соподчиненности показателей с выделением совокупных результативных факторов и факторов (основных и второстепенных), на них влияющих;

·        выявление формы взаимосвязи между факторами;

·        выбор приемов и способов для изучения взаимосвязи;

·        количественное измерение влияния факторов на совокупный показатель.

Совокупность приемов и способов, которые применяются при изучении хозяйственных процессов, составляет методику экономического анализа.

В качестве важнейшего элемента методики выступают технические приемы и способы анализа (рис. 1).

Рис. 1 Способы анализа хозяйственной деятельности предприятия

Классификацию методов экономического анализа можно построить, сформировав из них три группы:

.        Традиционные логические  способы обработки информации:

а)      сравнение;

б)      расчет относительных и средних величин;

в)      графический;

г)       группировки;

д)      балансовый.

.        Способы детерминированного факторного анализа:

а)      цепные подстановки;

б)      индексный метод;

в)      абсолютные разницы;

г)       относительные разницы;

д)      интегральный способ;

е)       пропорциональное деление;

ж)      логарифмирование.

.        Способы стохастического факторного анализа:

а)      корреляционный;

б)      дисперсионный;

в)      компонентный;

г)       многомерный факторный.

Применение тех или иных способов зависит от цели и глубины анализа, объекта исследования, технических возможностей выполнения расчетов и т.д. [4]

2.      Краткая характеристика традиционных способов обработки информации

Традиционные логические способы широко применяются и в других дисциплинах для обработки и изучения информации.

Достаточно часто в экономическом анализе используется способ сравнения, который представляет собой оценку и анализ исследуемого явления, процесса через аналогичные явления, процессы, поскольку цифровые значения показателей обретают особый смысл только при их сопоставлении с другими показателями. Обязательным условием сравнительного анализа является сопоставимость сравниваемых показателей, предполагающая единство объемных, стоимостных, качественных, структурных показателей; единство периодов времени, за которые производится сравнение; сопоставимость условий производства; сопоставимость методики исчисления показателей.

В качестве базы для сравнения могут использоваться:

·        плановые показатели - для контроля и анализа выполнения предприятием планов;

·        нормативные показатели - для изучения и выявления возможностей экономического и социального развития предприятия;

·        фактические данные за прошлые периоды деятельности - для анализа динамики закономерностей и темпов развития предприятия;

·        среднеотраслевые показатели - для определения места предприятия в отрасли;

·        показатели деятельности ведущих предприятий - для выявления возможностей и резервов улучшения хозяйственной деятельности;

·        показатели деятельности конкурентов - для оценки уровня конкурентоспособности предприятия.

Различают горизонтальный сравнительный анализ, который применяется для определения абсолютных и относительных отклонений фактического уровня исследуемых показателей от базового; вертикальный сравнительный анализ, используемый для изучения структуры экономических явлений; трендовый анализ, применяемый при изучении относительных темпов роста и прироста показателей за ряд лет к уровню базисного года, т.е. при исследовании рядов динамики.

Особая роль сравнений в экономическом анализе определяется тем, что этот способ анализа позволяет достичь ряда важных целевых установок, таких как оценка результатов текущего и перспективного планирования, выбор оптимальных вариантов управленческих решений и т.п[3]

Использование относительных и средних величин в анализе деятельности предприятия. Экономический анализ тех или иных явлений, процессов, ситуаций начинается с абсолютных величин, без которых обойтись невозможно, но используются они, как правило, в качестве базы для исчисления средних и относительных величин (показателей).

Относительные показатели показывают соотношение величины изучаемого явления с величиной какого-либо другого явления или с величиной этого явления, но взятой за другой период или по другому объекту. Их получают в результате деления одной величины на другую, которая принимается за базу сравнения. Это могут быть данные плана, базисного года, другого предприятия, среднеотраслевые и т.д. Проценты применяются при изучении степени выполнения плановых заданий, динамики хозяйствования, уровней доходности, рентабельности и т.п. Коэффициенты определяются отношением двух взаимосвязанных показателей, один из которых принимается за единицу.

В процессе осуществления экономического анализа могут использоваться разные относительные величины.

Относительная величина пространственного сравнения определяется сопоставлением уровней показателей, относящихся к различным объектам, взятым за один и тот же период или на один момент времени.

Относительная величина планового задания представляет собой отношение планового уровня показателя текущего года к фактическому его уровню в прошлом году или к среднему его уровню за три-пять предыдущих лет.

Относительная величина выполнения плана - отношение между фактическим и плановым уровнем показателя отчетного периода, выраженное в процентах.

Для характеристики изменения показателей за какой-либо промежуток времени используют относительные величины динамики. Их определяют путем деления величины показателя текущего периода на его уровень в предыдущем периоде (месяце, квартале, году). Называются они темпами роста (прироста) и выражаются обычно в процентах или коэффициентах.

Относительные величины динамики могут быть базисными и цепными. В первом случае каждый следующий уровень динамического ряда сравнивается с базисным периодом, а в другом - уровень показателя следующего периода относится к предыдущему.

Показатель структуры - это относительная доля (удельный вес) части в общем, выраженная в процентах или коэффициентах.

Относительные величины координации представляют собой соотношение частей целого между собой, например, активной и пассивной части основных производственных фондов, собственного и заемного капитала, основных и оборотных средств т.д.

Относительными величинами интенсивности называются те, которые характеризуют степень распространенности, развития какого-либо явления в определенной среде, например, степень заболеваемости населения, процент рабочих высшей квалификации и т.д.

Относительные величины эффективности - это соотношение эффекта с ресурсами или затратами, например, прибыль на рубль затрат, на рубль выручки, на одного рабочего и др. [4]

Средние показатели определяются на основе массовых, качественно однородных данных и служат для обобщения соответствующей совокупности типичных, однородных показателей, явлений, процессов, позволяя определить общие тенденции и закономерности в развитии экономических процессов. В аналитических расчетах в ходе экономического анализа применяются по необходимости различные виды средних показателей:

·        средняя арифметическая (простая и взвешенная);

·        средняя гармоническая;

·        средняя хронологическая;

·        средняя геометрическая;

·        мода;

·        медиана.

Способы табличного представления аналитических данных. Изложение результатов анализа в виде таблиц наиболее рациональная и удобная для восприятия форма представления аналитической информации. Табличный материал дает возможность охватить аналитические данные в целом как единую систему. Также в анализе применяется графический способ отображения информации. Графики являются масштабным изображением показателей и их зависимости с помощью геометрических фигур. Графический способ не имеет в анализе самостоятельного значения, а используется для иллюстрации измерений. Основные формы графиков, используемые в анализе, - диаграммы. Они по своей форме бывают столбиковые, полосовые, круговые, квадратные, линейные, фигурные. По содержанию различают диаграммы сравнения, структурные, динамические, графики связи, графики контроля и т.д. [3]

Широкое применение в экономическом анализе находит группировка информации - деление массы изучаемой совокупности объектов на количественно однородные группы по соответствующим признакам.

Чаще всего в ходе экономического анализа используются следующие виды группировки:

·        типологическая - для выявления характерных и типичных взаимосвязей изучаемых процессов и явлений;

·        структурная - для анализа и оценки состава и структуры  того или иного показателя;

·        аналитическая - для изучения взаимосвязи, взаимозависимости и взаимодействия факторных и результативных показателей.

С помощью простых группировок изучается взаимосвязь между явлениями, сгруппированными по какому-либо одному признаку, в комбинированных группировках изучаемая совокупность делится сначала по одному признаку, потом внутри каждой группы - по другому признаку и т.д. В результате могут быть построены двух- или трехуровневые группировки, которые позволяют изучать разнообразные и сложные взаимосвязи показателей. Аналитические группировки более наглядно отражают взаимосвязь между изучаемыми явлениями, поскольку индивидуальные величины показателей заменяются среднегрупповыми. В результате этого взаимно погашаются разного рода случайные отклонения, вызванные неявным воздействием других факторов, поэтому взаимосвязь проявляется более четко. Но следует отметить, что с помощью метода группировок нельзя количественно измерить влияние отдельных факторов на изучаемый результативный показатель.

Одним из традиционных способов экономического анализа является балансовый метод, который основан на существующей между многими показателями хозяйственной деятельности предприятия балансовой зависимости и взаимной обусловленности.

Он широко используется при анализе обеспеченности предприятия трудовыми, финансовыми ресурсами, сырьем, топливом, материалами, основными средствами производства и т.д., а также при анализе полноты их использования. При анализе использования трудовых ресурсов сравнивают возможный фонд рабочего времени с фактическим количеством отработанных часов, определяют причины сверхплановых потерь рабочего времени.

Для определения платежеспособности предприятия используется платежный баланс, в котором соотносятся платежные средства с платежными обязательствами. [1]

Как вспомогательное средство балансовый метод используется в анализе для проверки правильности определения влияния различных факторов на прирост величины результативного показателя. В детерминированном анализе алгебраическая сумма величины влияния отдельных факторов должна соответствовать величине общего прироста результативного показателя:


Если такое равенство отсутствует, то это свидетельствует либо о неполном учете факторов, либо о допущенных ошибках в расчетах.

Иногда балансовый способ применяют для определения величины влияния отдельных факторов на прирост результативного показателя. Например, когда из трех факторов известно влияние двух, то влияние третьего можно определить, вычтя из общего прироста результативного показателя результат влияния первых двух факторов:

Эвристические методы в анализе хозяйственной деятельности. Они используются в основном для прогнозирования состояния объекта в условиях частичной или полной неопределенности, когда основным источником получения необходимых сведений служит научная интуиция ученых и специалистов, работающих в определенных сферах науки и бизнеса. Наиболее распространенным из них является метод экспертных оценок. Сущность его заключается в организованном сборе суждений и предложений специалистов по исследуемой проблеме с последующей обработкой полученных ответов. [4]

3.      Способы детерминированного факторного анализа

Определение величины влияния отдельных факторов на прирост результативных показателей является одним из методологических вопросов в экономическом анализе. В детерминированном анализе для этого используются способы цепной подстановки, абсолютных разниц, относительных разниц, пропорционального деления, интегральный, индексный, логарифмирования.

Наиболее универсальным является способ цепной подстановки. Он используется для расчета влияния факторов во всех типах факторных моделей: аддитивных, мультипликативных, кратных и смешанных. Этот способ позволяет определить влияние отдельных факторов на изменение величины результативного показателя путем постепенной замены базисной величины каждого факторного показателя в объеме результативного показателя на фактическую в отчетном периоде. С этой целью определяют ряд условных величин результативного показателя, которые учитывают изменение одного, затем двух, трех и последующих факторов, допуская, что остальные не меняются. Сравнение величины результативного показателя до и после изменения уровня того или другого фактора позволяет элиминировать влияние всех факторов, кроме одного, и определить воздействие последнего на прирост результативного показателя.

Система расчетов в общем виде:

y0 = f (a0b0c0d0..) - базисное значение обобщающего показателя;

ya = f (a1b0c0d0..) - промежуточное значение;

yb = f (a1b1c0d0..) - промежуточное значение;

yc = f (a1b1c1d0..) - промежуточное значение;

y1 = f (a1b1c1d1..) - фактическое значение;

Общее абсолютное отклонение обобщающего показателя:

∆y = y1 - y0 = f (a1b1c1d1..) - f (a0b0c0d0..)

Общее отклонение обобщающего показателя раскладывается на факторы:

∆ ya = ya - y0 = f (a1b0c0d0..) - f (a0b0c0d0..)  - за счет изменения фактора а.

∆ yb = yb- ya = f (a1b1c0d0..) - f (a1b0c0d0..) - за счет изменения фактора b.

и т.д.

При использовании этого метода важно обеспечить строгую последовательность подстановки, так как ее произвольное изменение может привести к неправильным результатам. Как правило, в первую очередь выявляется влияние количественных показателей, а затем - качественных. Если же имеется несколько количественных и несколько качественных показателей, то сначала следует изменить величину факторов первого уровня подчинения, а потом более низкого. Следовательно, применение метода цепной подстановки требует знания взаимосвязи факторов, их соподчиненности, умения правильно их классифицировать и систематизировать. [1]

Способ абсолютных разниц применяется для расчета влияния факторов на прирост результативного показателя в детерминированном анализе, но только в мультипликативных моделях и моделях мультипликативно-аддитивного типа. При его использовании величина влияния факторов рассчитывается умножением абсолютного прироста исследуемого фактора на базовую величину факторов, которые находятся справа от него и на фактическую величину факторов расположенных слева от него в модели.


Необходимо чтобы алгебраическая сумма прироста результативного показателя за счет отдельных факторов равнялась его общему приросту.

Способ относительных разниц применяется для измерения влияния факторов на прирост результативного показателя в мультипликативных моделях. Здесь используются относительные приросты факторных показателей, выраженные в виде коэффициентов или процентов.

Рассмотрим трехфакторную мультипликативную модель. Изменение результативного показателя определяется следующим образом:


Способ относительных разниц удобно применять в тех случаях, когда требуется рассчитывать влияние большого комплекса факторов (8-10 и более). В отличие от предыдущих способов здесь значительно сокращается число вычислительных процедур, что обусловливает его преимущество.

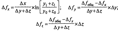
Способ пропорционального деления используется в тех случаях, когда имеют дело с аддитивными моделями  и моделями кратно-аддитивного типа:


В одноуровневой модели типа  расчет производится следующим образом:


В моделях кратно-аддитивного типа сначала необходимо способом цепной подстановки определить, насколько изменился результативный показатель за счет числителя и знаменателя, а затем способом пропорционального деления произвести расчет влияния факторов второго порядка по приведенным выше алгоритмам. [4]

Интегральный метод применяется для измерения влияния факторов в мультипликативных, кратных и кратно-аддитивных моделях. Использование этого способа позволяет получать более точные результаты расчета влияния факторов по сравнению со способами цепной подстановки, абсолютных и относительных разниц, поскольку дополнительный прирост результативного показателя от взаимодействия факторов присоединяется не к последнему фактору, а делится поровну между ними.

Рассмотрим алгоритмы расчетов влияния факторов для разных моделей.

1.     

2.     


Для расчета влияния факторов в кратных и смешанных моделях используются следующие алгоритмы:

.        Вид факторной модели


2.      Вид факторной модели


Если в знаменателе больше двух факторов, то процедура продолжается.

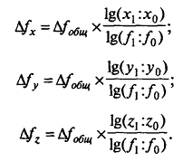
Также широко используется индексный метод, который позволяет выявить влияние на изучаемый результативный показатель различных факторов и основывается на относительных показателях, выражающих отношение уровня изучаемого явления к уровню его в прошлом периоде или к уровню аналогичного явления, принятому в качестве базы. Индекс определяется сопоставлением соизмеряемой величины с базисной. Применяется в мультипликативных и кратных моделях.

Способ логарифмирования применяется для измерения влияния факторов в мультипликативных моделях. Как и при интегрировании, здесь также результат расчета не зависит от месторасположения факторов в модели и по сравнению с интегральным методом обеспечивается более высокая точность расчетов. С помощью логарифмирования результат совместного действия факторов распределяется пропорционально доле изолированного влияния каждого фактора на уровень результативного показателя. В этом его преимущество, а недостаток- в ограниченности сферы его применения.

Рассмотрим трехфакторную мультипликативную модель. Влияние факторов определяется следующим образом:

4. Способы измерения влияния факторов в стохастическом анализе

Приемы корреляционного анализа используются для измерения влияния факторов в стохастическом анализе, когда взаимосвязь между показателями неполная, вероятностная.

Необходимые условия применения корреляционного анализа:

. Наличие достаточно большого количества наблюдений о величине исследуемых факторных и результативных показателей (в динамике или за текущий год по совокупности однородных объектов).

. Исследуемые факторы должны иметь количественное измерение и отражение в тех или иных источниках информации.

Корреляционный анализ состоит из нескольких этапов.

На первом этапе определяются факторы, которые оказывают воздействие на изучаемый показатель и отбираются наиболее существенные. Факторы должны находиться в причинно-следственной связи с результативным показателем, оказывать решительное воздействие на него, иметь единицу измерения. Также не рекомендуется включать в корреляционную модель взаимосвязанные факторы и факторы, связь которых с результативным показателем носит функциональный характер.

На втором этапе собирается исходная информация по каждому факторному и результативному показателю. Она должна быть проверена на точность,  однородность и соответствие закону нормального распределения.

Критериями однородности информации служат среднеквадратическое отклонение и коэффициент вариации, которые рассчитываются по каждому факторному и результативному показателю.

Среднеквадратическое отклонение - абсолютное отклонение индивидуальных значений от среднеарифметического.


Коэффициент вариации - показывает относительную меру отклонения отдельных значений от среднеарифметической. Чем больше коэффициент вариации, тем относительно больший разброс и меньшая выравненность изучаемых объектов.


Следующее требование к исходной информации - подчинение ее законам нормального распределения:

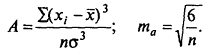
1.  показатель асимметрии (А) и его ошибка (та):


. показатель эксцесса (Е) и его ошибка (me):


В симметричном распределении А = 0 показатель эксцесса Е - 0. Если Е > 0, то данные густо сгруппированы около средней, образуя островершинность. Если Е < 0, то кривая распределения будет плосковершинной.

Третий этап: изучается характер и моделируется связь между факторами и результативным показателем, т. е. подбирается и обосновывается математическое уравнение, которое наиболее точно выражает сущность исследуемой зависимости. Зависимость результативного показателя от определяющих его факторов можно выразить уравнением парной и множественной регрессии.

При прямолинейной форме они имеют следующий вид:

·   уравнение парной регрессии: Yx = a + bx;

·   уравнение множественной регрессии:

Yx = а + b1х1 + Ь2х2 + ...+ bпхп

где:

а - свободный член уравнения при х = 0;

х12...хп- факторы, определяющие уровень изучаемого результативного показателя;

b1,b2,bn - коэффициенты регрессии при факторных показателях, характеризующие уровень влияния каждого фактора на результативный показатель в абсолютном выражении.

Если связь между результативным и факторным показателями носит криволинейный характер, то могут быть использованы степенная, логарифмическая, параболическая, гиперболическая и другие функции.

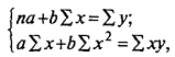
На четвертом этапе проводится расчет основных показателей связи корреляционного анализа: уравнение связи, коэффициенты корреляции, детерминации, эластичности.

Расчет уравнения связи (Yx = a + bx) сводится к определению параметров a  и b. Их находят из следующей системы уравнений:


Пятый этап: статистическая оценка и практическое использование результатов корреляционного анализа.

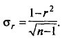
Для того чтобы убедиться в надежности показателей связи и правомерности их использования для практической цели, необходимо дать им статистическую оценку. Для этого используются: критерий Стьюдента (t);  критерий Фишера (F-отношение); средняя ошибка аппроксимации (e); коэффициенты множественной корреляции (r) и детерминации (D).

Надежность коэффициентов корреляции, которая зависит от объемов исследуемой выборки данных, проверяется по критерию Стьюдента:

, где .

Надежность уравнения связи оценивается с помощью критерия Фишера (F-отношение), расчетная величина которого сравнивается с табличным значением.

Если Fрасч>Fmaбл, то гипотеза об отсутствии связи между исследуемыми показателями отвергается. Для оценки точности уравнения связи рассчитывается средняя ошибка аппроксимации. Чем меньше теоретическая линия регрессии (рассчитанная по уравнению) отклоняется от фактической (эмпирической), тем меньше ее величина, что свидетельствует о правильности подбора формы уравнения связи. О полноте уравнения связи можно судить по коэффициентам множественной корреляции и детерминации. Если их значения близки к 1, значит, в корреляционную модель удалось включить наиболее существенные факторы, на долю которых приходится основная вариация результативного показателя. [1]

Практическая часть

Характеристика ОАО « МРСК Центра и Приволжья»

Полное название организации - Открытое акционерное общество «Межрегиональная распределительная сетевая компания Центра и Приволжья». ОАО «МРСК Центра и Приволжья» создано 17 декабря 2004 года. Дата государственной регистрации 28 июня 2007 года. В компании трудятся около 9000 высококвалифицированных рабочих.

В соответствии с Уставом ОАО «МРСК Центра и Приволжья», основными видами деятельности общества являются:

оказание услуг по передаче электрической энергии;

осуществление эффективного и надёжного функционирования объектов распределительного электросетевого комплекса;

обеспечение надёжного и качественного энергоснабжения потребителей ( в части поставки и передачи электроэнергии);

деятельность по эксплуатации электрических сетей;

осуществление производственного контроля за состоянием промышленной безопасности производственных объектов и др.

Отраслевая принадлежность - электроэнергетическая промышленность.

Отдел, занимающийся выполнением аналитических функций в организации отсутствует. Данную работу выполняет бухгалтерская служба. В ее обязанности входит анализ и обработка аналитической информации.

Таблица 1 Основные экономические показатели ОАО МРСК «Центра и Приволжья», тыс.руб.

№ п/п

Показатели

Годы

Абсолютное изменение гр. 2-: -гр.1

Темп роста, % гр. 2 : гр.1 • 100



2010

2011



1

2

3

4

5

6

А

Б

1

2

3

4

1.

Выручка от продажи товаров

31686190

47191290

15505100

148,9

2.

Объём производства

47190243

70281988

23091745

148,9

1

2

3

4

5

6







3.

Стоимость основных средств

40684310

44407783

3723473

109,2

4.

Фондоотдача стр. 2 : стр. 3

1,16

1,58

0,42

136,2

5.

Затраты  на  производство  и реализацию продукции

28464422

44010213

15545791

154,6

6.

Среднесписочная численность работников

8000

9000

1000

112,5

7.

Производительность труда стр. 2 : стр. 6

5899

7809

1910

132,4

8.

Фонд оплаты труда

3958777

6226260

2267483

157,3

9.

Средняя заработная плата работника стр.8 : стр. 6

495

692

197

139,8

10.

Прибыль от продаж стр. 1 - стр. 5

3221768

3181077

-40691

98,7

11.

Чистая прибыль

1428560

426239

-1001621

29,9

12.

Стоимость капитала

59240233

61520650

2280417

103,9

13.

Рентабельность капитала стр. 11 : стр. 12

0,024

0,007

-0,017

29,2


Из таблицы 1 видно, что темп роста по каждому показателю увеличивается, что оказывает положительное влияние на деятельность организации. Абсолютное изменение так же увеличивается, но за исключением трёх показателей: прибыли от продаж, чистой прибыли и рентабельности капитала. В данном случае, необходимо снизить затраты на производство и реализацию продукции.

Таблица 2 Исходные данные для проведения анализа в ОАО МРСК «Центра и Приволжья»

№ п/п

Показатели

Ед. изм.

Период

Отклонение




2010 

2011

абс.

отн., %

1

Продукция в сопоставимых ценах, без НДС

руб.

31686190

47191290

15505100

48,9

2

Среднесписочная численность промышленно-производственного персонала

чел.

4000

5000

1000

25

3

Фонд оплаты труда

руб.

3958777

2267483

57,3

4

Материальные затраты

руб.

14314194

20311523

5997329

41,9

5

Среднегодовая стоимость основных средств

руб.

40684310

44407783

3723473

9,2

6

Амортизация

руб.

2419677

3184296

764619

31,6

7

Среднегодовая стоимость оборотных средств

руб.

13092245

11969168

-1123077

-8,6


Анализ интенсификации и эффективности производства

Рассчитаем абсолютную и относительную экономию (перерасход) по каждому виду ресурсов, а также в целом по организации.

Расчет абсолютной экономии (перерасхода) ресурсов проводится по формуле (1).

        (1)

Фонд оплаты труда:

Э(П) = 6226260-3958777= 2267483 тыс.руб.

Материальные затраты:

Э(П) = 20311523-14314194= 5997329 тыс. руб.

Основные средства:

Э(П) = 44407783-40684310= 3723473 тыс. руб.

Оборотные средства:

Э(П) = 11969168-13092245= - 1123077 тыс.руб.

При расчете относительной экономии (перерасхода) ресурсов показатель отчетного периода сравнивается с показателем базисного периода, скорректированным на индекс роста товарной продукции. В нашем случае, индекс роста товарной продукции равен 1,5. Результаты расчёта запишем в таблицу 3. (формула (2)):

  (2)

Фонд оплаты труда:

Э(П)= 6226260-(3958777*1,5) =288095 тыс.руб.

Материальные затраты:

Э(П) = 20311523-(14314194*1,5) = - 1159768 тыс. руб.

Основные средства:

Э(П) = 44407783-(40684310*1,5) = - 16618682 тыс. руб.

Оборотные средства:

Э(П) = 11969168-(13092245*1,5) = - 18442200 тыс. руб.

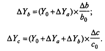
Определим соотношение прироста каждого вида ресурса в расчете на 1% прироста объема производства по формуле (3).Результаты расчета запишем в таблицу 3.

                                                 (3)

Фонд оплаты труда:

Материальные затраты:

Основные средства:

Оборотные средства:

Расчет соотношения прироста ресурса на 1% прироста объема производства позволяет определить: каким должен быть темп изменения ресурса, чтобы вызвать увеличение объема продукции на 1%.

Теперь рассчитаем долю влияния интенсивности на прирост объема производства продукции по каждому виду ресурсов. Примем за 100 % прирост ресурса на 1% прироста продукции. Тогда доля интенсивности составит: фонд оплаты труда -17%, материальные затраты +14%, основные средства +81% и оборотные средства +118%. Полученные данные запишем в таблицу 3.

Таблица 3 Сводный анализ показателей интенсификации

Вид ресурса

Абс. экономия (перерасход) ресурса, тыс. руб.

Отн. экономия (перерасход) ресурса, тыс. руб.

Прирост ресурса на 1% прироста продукции, %

Доля влияния на 100% прироста продукции





экстенсивность

интенсивность

Фонд оплаты труда

2267483

288095

1,17

117

-17

Материальные затраты

5997329

-1159768

0,86

86

14

Основные средства

3723473

-16618682

0,19

19

81

Оборотные средства

-1123077

-18442200

-0,18

-18

118

Комплексная оценка всесторонней интенсификации

-

-

-

126

196


Вывод:

.        Использование товарной продукции и фонда оплаты труда является полностью экстенсивным.

.        Использование товарной продукции и материально- потребительских ресурсов является преимущественно экстенсивным.

.        Использование товарной продукции и основных средств является преимущественно интенсивным.

.        Использование товарной продукции и оборотных средств является полностью интенсивным.

В организации присутствует и  экстенсивность и интенсивность. Тип развития организации преимущественно интенсивный, за исключением показателей фонда оплаты труда и материальных затрат.

Проведём факторный анализ использования всех видов ресурсов по прямым и обратным показателям:

-       анализ эффективности использования трудовых ресурсов (производительность труда - трудоемкость);

-       анализ эффективности использования фонда оплаты труда (зарплатоотдача - зарплатоемкость);

-       анализ эффективности использования основных производственных фондов (фондоотдача - фондоемкость);

-       анализ эффективности использования материальных ресурсов (материалоотдача - материалоемкость);

-       анализ эффективности использования оборотных средств (оборачиваемость оборотных средств - коэффициент закрепления оборотных средств).

Факторный анализ будем проводить в следующей последовательности:

На основе исходных данных (табл. 3), составим таблицу расчетных показателей для оценки эффективности использования отдельных видов ресурсов (табл. 5).

Расчетные показатели для оценки эффективности использования производственных ресурсов

Таблица 4

№ п/п

Показатели

Ед. изм.

Базис. период

Отчет. период

Отклонение






абс.

отн., %

1

Производительность труда

Руб.

7921,5

9438,3

1516,8

19,1

2

Средняя заработная плата

Руб.

208,36

311,31

102,95

49,41

3

Зарплатоотдача

Руб.

8

7,58

-0,42

5,25

4

Материалоотдача

Руб.

2,21

2,32

0,11

4,98

5

Фондоотдача

Руб.

0,78

1,06

0,28

35,9

6

Фондовооруженность

Руб.

5085,5

4934,2

-151,3

-3

7

Амортизациоотдача

Руб.

13,1

14,8

1,7

13

8

Оборачиваемость оборотныхсредств

Руб.

2,42

3,94

1,52

62,8

9

Трудоемкость

Руб.

0,000126

0,00015

-0,000021

-16,6

10

Зарплатоемкость

Руб.

0,12

0,13

0,01

8,3

11

Материалоемкость

Руб.

0,45

0,43

-0,02

-4,44

12

Фондоемкость

Руб.

1,28

0,94

-0,34

-26,56

13

Амортизациоемкость

Руб.

0,076

0,067

-0,009

-11,8

14

Коэффициент закрепления оборотных средств

Руб.

0,41

0,25

-0,16

-39,02


Для наглядности и удобства проведения факторного анализа составим вспомогательные таблицы (табл. 5-9).

Анализ эффективности использования трудовых ресурсов

Таблица 5

№ п/п

Показатели

Ед. изм.

Базис. период

Отчет. период

Отклонение






Абс.

Отн., %

1

Товарная продукция

Тыс.руб.

31686190

47191290

15505100

48,9

2

Среднесписочная численность промышленно-производственного персонала

Чел.

4000

5000

1000

25

3

Производительность труда (стр.1:стр.2)

Руб.

7921,5

9438,3

1516,8

19,1

4

Трудоемкость (стр.2:стр.1)

Руб.

0,000126

0,000105

-0,000021

-16,6


Факторный анализ будем проводить методом цепных подстановок. Используя данный метод, рассмотрим базисные и отчетные показатели производительности труда (ПТ):

- кратная модель

ТП=ПТ * ППП - мультипликативная модель

ТПб =31686120

ТПот =47191170

ТП = ТПот - ТПб = 47191170 - 31686120 =15505050

птТП = ТПот - ПТб =9438,3 - 7921,5 = 1516,8

тпПТ = ПТ - ПТб = 8341,6 - 7921,5 =420,1

пппПТот - ПТ = 9438,3 - 8341,6 = 1096,7

Сумма влияния всех факторов составит 1516,8 тыс. руб.

Из расчёта следует, что за счёт влияния изменения величины товарной продукции, производительность труда увеличилась на 420,1 тыс.руб., а за счёт влияния изменения промышленно-производственного персонала на 1096,7 тыс.руб. Сумма влияния всех факторов составила 1516,8тыс.руб.

Рассмотрим показатель трудоёмкости (ТЕ):

 - кратная модель

4000/31686190 = 0,00012

 = 5000/31686190 = 0,00015

 = 5000/47191290 = 0,0001

ТЕ = ТЕот  - ТЕб = 0,0001 - 0,0002 = - 0,0001

пппТЕ = ТЕ - Теб = 0,00003

тпТЕ = ТЕот - ТЕ = -0,00015

Сумма влияния всех факторов составит  -0,00012 тыс. руб.

Из расчёта следует, что за счёт влияния изменения величины товарной продукции, трудоёмкость снизилась  на 0,00015 тыс.руб., а за счёт влияния изменения промышленно-производственного персонала, наоборот, увеличилась на 0,00003 тыс.руб. Сумма влияния всех факторов составила -0,00012 тыс.руб.

Анализ эффективности использования фонда оплаты труда

Таблица 6

№ п/п

Показатели

Ед. изм.

Базис. период

Отчет. период

Отклонение






Абс.

Отн., %

1

Товарная продукция

Тыс.руб.

31686190

47191290

15505100

48,93

2

Фонд оплаты труда

Тыс.руб.

3958777

6226260

2267483

57,28

3

Зарплатоотдача (стр.1:стр.2)

Тыс.руб.

8

7,58

-0,42

5,25

4

Зарплатоемкость (стр.2:стр.1)

Тыс.руб.

0,12

0,13

0,01

8,3


Используя метод цепных подстановок, рассмотрим базисные и отчётные показатели зарплатоотдачи (ЗО):

 - кратная модель

 = 8,004

 = 11,921

 = 7,579

общЗО = ЗОот - Зоб = - 0,425

тпЗО = ЗО - Зоб = 3,917

пппЗО = ЗОот - ЗО = -4,342

Сумма влияния всех факторов составит -0,425 тыс.руб.

Из расчёта следует, что за счёт влияния изменения величины товарной продукции, зарплатаотдача увеличилась на 3,917 тыс.руб., а за счёт влияния изменения промышленно-производственного персонала уменьшилась на 4,342 тыс.руб. Сумма влияния всех факторов составила - 0,425 тыс.руб.

Рассмотрим показатели зарплатоёмкости (ЗЕ):

 - кратная модель

 = 0,125

 = 0,196

 = 0,132

ЗЕ = ЗЕот - Зеб = 0,007

ЗЕ = ЗЕ - Зеб = 0,071

ЗЕ = ЗЕот - ЗЕ = -0,064

Сумма влияния всех факторов составит 0,007 тыс.руб.

Из расчёта следует, что за счёт влияния изменения величины товарной продукции, зарплатаемкость уменьшилась на 0,064 тыс.руб., а за счёт влияния изменения фонда оплаты труда увеличилась на 0,071 тыс.руб. Сумма влияния всех факторов составила 0,007тыс.руб.

Анализ эффективности использования основных средств

Таблица 7

№ п/п

Показатели

Ед. изм.

Базис. период

Отчет. период

Отклонение

Отн., %

1

Товарная продукция

Тыс.руб.

31686190

47191290

15505100

48,93

2

Стоимость основных средств

Тыс.руб.

40684310

44407783

3723473

9,15

3

Фондоотдача (стр.1:стр.2)

Тыс.руб

0,78

1,06

0,28

35,9

4

Фондоемкость (стр.2:стр.1)

Тыс.руб

1,28

0,94

-0,34

-26,56

 

Используя метод цепных подстановок, рассмотрим базисные и отчётные показатели фондоотдачи (ФО):

 - кратная модель

 = 0,779

 = 1,16

 = 1,063

ФО = ФОот - Фоб = 0,284

тпФО = ФО - ФОб = 0,381

пппФО = ФОот - ФО = -,0097

Сумма влияния всех факторов составит 0,248 тыс.руб.

Из расчёта следует, что за счёт влияния изменения величины товарной продукции, фондоотдача увеличилась на 0,381 тыс.руб., а за счёт влияния изменения промышленно-производственного персонала уменьшилась на 0,097 тыс.руб. Сумма влияния всех факторов составила 0,248 тыс.руб.

Рассмотрим показатели фондоёмкости (ФЕ):

 - кратная модель

 = 1,284

 = 1,401

 = 0,941

ФЕ = ФЕот - ФЕб = - 0,343

осФЕ = ФЕ - Феб = 0,117

тпФЕ = ФЕот - ФЕ = -0,46

Сумма влияния всех факторов составила - 0,343 тыс.руб.

Из расчёта следует, что за счёт влияния изменения величины товарной продукции, фондоёмкость уменьшилась на 0,46 тыс.руб., а за счёт влияния изменения основных средств увеличилась  на 0,117 тыс.руб. Сумма влияния всех факторов составила - 0,343тыс.руб.

Анализ эффективности использования материальных ресурсов

Таблица 8

№ п/п

Показатели

Ед. изм.

Базис. период

Отчет. период

Отклонение






Абс.

Отн., %

1

Товарная продукция

Тыс.руб.

31686190

47191290

15505100

48,93

2

Материальные затраты

Тыс.руб.

14314194

20311523

5997329

41,90

3

Материалоотдача (стр.1:стр.2)

Тыс.руб.

2,21

2,32

0,11

4,98

4

Материалоемкость (стр.2:стр.1)

Тыс.руб.

0,45

0,43

-0,02

-4,44


Используя метод цепных подстановок, рассмотрим базисные и отчетные показатели материалоотдачи (МО):

 - кратная модель

 = 2,214

 = 3,297

 = 2,323

общМО = МОот - МОб = 0,109

тпМО = МО = МОб = 1,083

мзМО = МОот - МО = -0,974

Сумма влияния всех факторов составит 0,109 тыс.руб.

Из расчёта следует, что за счёт влияния изменения величины товарной продукции, материалоотдача увеличилась на 1,083 тыс.руб., а за счёт влияния изменения материальных затрат уменьшилась на 0,974 тыс.руб. Сумма влияния всех факторов составила 0,109 тыс.руб.

Рассмотрим показатели материалоёмкости (МЕ):

 - кратная модель

 = 0,452

 = 0,641

 = 0,43

общМЕ = МЕот - МЕб = - 0,022

мзМЕ = МЕ - МЕб = 0,189

тпМЕ = МЕот - МЕ = - 0,211

Сумма влияния всех факторов составит - 0,022 тыс.руб.

Из расчёта следует, что за счёт влияния изменения величины товарной продукции, материалоёмкость уменьшилась  на 0,211 тыс.руб., а за счёт влияния изменения материальных затрат увеличилась на 0,109 тыс.руб. Сумма влияния всех факторов составила - 0,022 тыс.руб.

Анализ эффективности использования оборотных средств

Таблица 9

№ п/п

Показатели

Ед. изм.

Базис. период

Отчет. период

Отклонение






Абс.

Отн., %

1

Товарная продукция

Тыс.руб

31686190

47191290

15505100

48,93

2

Оборотные средства

Тыс.руб

13092245

11969168

-1123077

-8,58

3

Оборачиваемость оборотные средств (стр.1:стр.2)

Тыс.руб

2,42

3,94

1,52

62,8

4

Коэффициент закрепления оборотных средств (стр.2:стр.1)

Тыс.руб

0,41

0,25

-0,16

-39,02


Используя метод цепных подстановок, рассмотрим базисные и отчётные показатели оборачиваемости оборотных средств (ООбС):

 - кратная модель

 = 2,42

 = 3,604

 = 3,943

общООбС = ООбСот - ОобСб = 1,523

тпООбС = ООбСот - ОобСб = 1,184

обООбС = ООбСот - ОобС = 0,339

Сумма влияния всех факторов составит 1,523 тыс.руб.

Из расчёта следует, что за счёт влияния изменения величины товарной продукции, оборачиваемость оборотных средств увеличилась на 1,184 тыс.руб., а за счёт влияния изменения оборотных средств на 0,399 тыс.руб. Сумма влияния всех факторов составила 1,523 тыс.руб.

Рассмотрим показатели коэффициента закрепления оборотных средств (К):

 - кратная модель

 = 0,413

 = 0,378

 = 0,254

общК = Кот - Кб = - 0,159

обсК = К - Кб = - 0,035

тпК = Кот - К = - 0,124

Сумма влияния всех факторов составит - 0,159 тыс.руб.

Из расчёта следует, что за счёт влияния изменения величины товарной продукции, коэффициент закрепления оборотных средств уменьшился  на 0,124 тыс.руб., а за счёт влияния изменения оборотных средств на 0,035 тыс.руб. Сумма влияния всех факторов составила -0,159 тыс.руб.

Анализ затрат на производство продукции

Таблица 10 Анализ структуры затрат на производство продукции

№ п/п

Показатели

Базис. период

Отчет. период

Отклонение





абс., тыс. руб.

уд. вес %



тыс. руб.

уд. вес, %

тыс. руб.

уд. вес, %



1

Фонд оплаты труда

3958777

0,22

6226260

23

2267483

27

2

Материальные затраты

14314194

78

20311523

77

5997329

73

3

Амортизация стр.1:стр.2)

0,28

0

0,3

0

0,02

0

4

Итого: затраты на производство продукции (стр.1+стр.2+стр.3)

18272971

100,0

26537783

100,0

8264812

100


Вывод: Показатели свидетельствуют от том, что значительную долю в отчётном году занимали материальные и трудовые затраты. Материальные затраты увеличились на 599732 тыс.руб., а их доля в общей сумме затрат увеличилась на 73%. Расходы на оплату труда рабочих увеличились на 2267483 тыс.руб. и их удельный вес увеличился на 27%. Доля амортизации практически не изменилась. Из вышесказанного следует, что важнейшими резервами снижения себестоимости продукции является сокращение материальных и трудовых затрат.

Проанализируем динамику затрат на 1 руб. товарной продукции, используя таблицу 11.

Таблица 11 Анализ затрат на 1 руб. товарной продукции

№ п/п

Показатели

Ед. изм.

Базис. период

Отчет. период

Отклонение






Абс.

Отн., %

1

Себестоимость отгруженной продукции (1.1+1.2+1.3)

руб.

95982226

107328045

11345819

103,14

1.1

Фонд оплаты труда

руб.

3958777

6226260

2267483

57,28

1.2

Материальные затраты (стр.1:стр.2)

руб.

14314194

20311523

5997329

41,9

1.3

Амортизация (стр.2:стр.1)

руб.

2419677

3184296

764619

31,6

2

Товарная продукция в сопоставимых ценах

руб.

37389704

55685722

18296018

48,9

3

Затраты на 1 руб. товарной продукции

коп.

0,932

0,898

-0,034

96,35


Вывод: Себестоимость отгруженной продукции повысилась, а затраты на 1 рубль товарной продукции, наоборот, понизились - темп роста себестоимости больше темпа роста товарной продукции, что является отрицательной тенденцией для деятельности предприятия.

Используя метод цепных подстановок, проведём факторный анализ затрат на 1 рубль товарной продукции.

 - кратная модель

 =  = 3,029

 =  = 3,387

 =  = 2,274

общЗ = Зот - Зб = 2,274 - 3,029 = - 0,755

с/сЗ = З - Зб = 3,387 - 3,029 = 0,358

тпЗ = Зот - З = 2,274 - 3,387 = - 1,113

Теперь проанализируем динамику затрат на 1 рубль товарной продукции, используя для расчёта систему обратных показателей: зарплатаёмкость, материалоёмкость, амортизациоёмкость, на основе таблицы 12.

Таблица 12 Анализ затрат на 1 руб. товарной продукции

№ п/п

Показатели

Ед. изм.

Базис. период

Отчет. период

Отклонение






Абс.

Отн., %

1

Зарплатоемкость

руб.

0,12

0,13

0,01

8,3

2

Материалоемкость

руб.

0,45

0,43

-0,02

-4,44

3

Амортизациоемкость

руб.

0,076

0,067

-0,009

-11,8

4

Затраты на 1 руб. товарной продукции

коп.

0,932

0,898

-0,034

96,35

Анализ показателей прибыли и рентабельности продаж

Таблица 13 Анализ прибыли и рентабельности продаж

№ п/п

Показатели

Ед. изм.

Базис. период

Отчет. период

Отклонение






Абс.

Отн., %

1

Выручка (ТП)

руб.

31686190

47191290

15505100

48,9

2

Себестоимость

руб.

28464422

44010213

15545791

54,6

3

Прибыль от продаж

руб.

3221768

3181077

-40691

-1,3

4

Рентабельность продаж (стр.3: стр.1)

руб.

0,1

0,07

-0,03

-30


Темп роста себестоимости больше темпа роста выручки на 5,7 % и больше темпа роста прибыли на 55,9 %. Вывод: Тп < Тв < Тс . Это не оптимальное соотношение  основных темповых показателей.


Анализ рентабельности ОПФ

Таблица 14

№ п/п

Показатели

Ед. изм.

Базис. период

Отчет. период

Отклонение






Абс.

Отн., %

1

Выручка (ТП)

руб.

31686190

47191290

15505100

48,9

2

Прибыль от продаж

руб.

3221768

3181077

-40691

-1,26

3

Рентабельность продаж

руб.

0,1

0,07

-0,03

-30

4

Фондоемкость

руб.

1,28

0,94

-0,34

-26,56

5

Коэффициент закрепления оборотных средств

руб.

0,41

0,25

-0,16

-39,02

6

Рентабельность ОПФ

руб.

0,06

0,06

0

0

 

Примечание: рентабельность ОПФ рассчитывается по формуле (4):

,                                      (4)

где: RОПФ - рентабельность основных производственных фондов;

Rпр - рентабельность продаж;

ФЕ - фондоемкость;

КЗОбС - коэффициент закрепления оборотных средств.

Анализ оборотных средств

Таблица 15 Анализ эффективности использования оборотных средств

№ п/п

Показатели

Ед. изм.

Базис. период

Отчет. период

Отклонение






Абс.

Отн., %

1

Выручка (ТП)

руб.

31686190

47191290

15505100

48,9

2

Прибыль от продаж

руб.

3221768

3181077

-40691

-1,26

3

Оборотные средства

руб.

13092245

11969168

-1123077

-8,58

4

Рентабельность продаж

руб.

0,1

0,07

-0,03

-30

5

Оборачиваемость оборотных средств

руб.

2,42

3,94

1,52

62,8

6

Рентабельность оборотных средств

руб.

0,242

0,2758

0,0338

13,97

Примечание: рентабельность оборотных средств рассчитывается по формуле Дюпона (5):

                                       (5)

RОбС - рентабельность оборотных средств;

Rпр - рентабельность продаж;

OОбС - оборачиваемость оборотных средств.

Теперь нужно провести факторный анализ эффективности использования оборотных средств, используя табл. 16. Используя метод цепных подстановок, проведём факторный анализ эффективности изменения оборотных средств:

Робс = Рп * ООбС - мультипликативная модель (двухфакторная)

Робс(б) = Рп(б) * ООбСб = 0,1 * 2,42 = 0,242

Робс(п) = Рп(п) * ООбСп = 0,07 * 3,94 = 0,276

Р = Рот * ООбСб = 0,07 * 2,42 = 0,169

общР = Рот - Рб = 0,07 - 0,1 = - 0,03

рпР = Р - Рб = 0,169 - 0,1 = 0,069

ОбСР = Рот - Р = 0,07 - (- 0,03) = 0,07 = 0,03 = 0,1

Оборачиваемость оборотных средств ускорилась. Это оказывает положительное влияние на деятельность организации, т. к. чем выше оборачиваемость, тем больше за тот же промежуток времени будет выпущено продукции.

Оценка уровня деловой активности

Прежде чем формировать оценку уровня деловой активности организации, составим следующую сводную таблицу (табл. 16):

Таблица 16 Сравнительный анализ темпов изменения показателей

Показатели

Выручка

Прибыль

Себестоимость

Средняя заработная плата

Производительность труда

ОПФ

Материальные затраты

Оборотные средства

Темп изменения, %

48,9

98,7

54,6

139,8

132,4

100

41,9

-8,6


Темп роста себестоимости больше темпа роста выручки на 5,7% и меньше темпа роста прибыли на 44,1 % . В свою очередь, темп заработной платы больше темпа производительности труда на 7,4 %.

Вывод: Тп > Тв, Тв <Тс , Тпт < Тзп - это не оптимальное соотношение основных темповых показателей.

Для наглядности данного вывода рассчитаем коэффициент конкурентоспособности продукции:


Если коэффициент конкурентоспособности больше 1, то продукция считается конкурентоспособной.

В нашем случае продукция не конкурентоспособна.

Вывод: Качественный уровень использования ресурсов за 2010 -2011 гг. понизился. Предприятию необходимо предпринять срочные меры по улучшению своей деятельности. Так же на предприятии выявлена потребность в трудовых ресурсах.

Заключение

Экономический анализ представляет собой систему специальных знаний, связанных с исследованием экономических процессов, складывающихся под воздействием объективных экономических законов и фактов субъективного порядка. Главная целевая установка состоит в оценке и поиске путей наиболее эффективного использования ресурсов, обеспечивающих достижение максимального удовлетворения материальных потребностей человека и общества.

Комплексный анализ хозяйственной деятельности является научной базой принятия управленческих решений в бизнесе: с его помощью изучаются тенденции развития, глубоко и системно исследуются факторы изменения результатов деятельности, обосновываются бизнес-планы и управленческие решения, осуществляется контроль за их выполнением, выявляются резервы повышения эффективности производства, оцениваются результаты деятельности предприятия, вырабатывается экономическая стратегия его развития. Поэтому овладение методикой комплексного экономического анализа менеджерами всех уровней является составной частью их профессиональной подготовки.

Квалифицированные экономист, финансист, бухгалтер, аудитор и другие специалисты экономического профиля должны владеть современными методами экономических исследований, мастерством системного комплексного микроэкономического анализа. Благодаря, знанию техники и технологии анализа они смогут легко адаптироваться к изменениям рыночной ситуации и находить правильные решения и ответы. В силу этого освоение основ экономического анализа полезно каждому, кому приходится участвовать в принятии решений, либо давать рекомендации по их принятию, либо испытывать на себе их последствия.

В данной работе были рассмотрены основные приемы и методы экономического анализа, выявлены их особенности, преимущества и недостатки.

Список литературы

1.      Баканов М.И., Мельников М.В., Шеремет А.Д. Теория экономического анализа: учебник - 5-е издание, переработанное и дополненное - М.: Финансы и статистика, 2008 - 536 с.

.        Донцова Л.В. Никифорова Н.А. Анализ финансовой отчетности: Учебное пособие. - 2-е изд. - М.: Издательство «Дело и Сервис», 2004. - 336 с.

.        Савицкая Г. В. Экономический анализ: учеб./ Г. В. Савицкая. - 11-е изд., испр. и доп. - М.: Новое знание, 2005. - 651 с. - (Экономическое образование).

.        Скамай, Трубочкина. «Экономический анализ деятельности предприятия» - М.: ИНФРА - М, 2006. - 296 с. - (Высшее образование).

Похожие работы на - Классификация приемов и методов в экономическом анализе

 

Не нашли материал для своей работы?
Поможем написать уникальную работу
Без плагиата!
Без нейросетей!