Анализ и прогнозирование безработицы в современной России
Содержание
Введение
Глава I. Теоретические аспекты безработицы
1.1 Показатели уровня безработицы и ее виды
1.2 Подходы к анализу рынка труда и причин безработицы, а также ее
возможных последствий
Глава II. Анализ динамики безработицы в современной России
2.1 Анализ особенности рынка труда в России
2.2 Динамика безработицы в современной России
Глава III. Разработка прогноза уровня безработицы в России
3.1 Разработка прогноза методом наименьших квадратов
3.2 Прогнозирование экспертным методом
Заключение
Библиографический список
Введение
Безработица оказывает негативное воздействие на все стороны
жизни общества - экономику, политику, социальные отношения. Она влечет за собой
расточение в огромных масштабах главной производительной силы общества -
рабочей силы, нереализованные созидательные потенции многомиллионной армии
безработных, существенное сокращение потенциального валового внутреннего
продукта и национального дохода страны, значительные непроизводительные расходы
государства (или, точнее, средств налогоплательщиков) на выплату пособий по
безработице, переквалификацию безработных и их трудоустройство, колоссальные
экономические потери лиц наемного труда, ставших безработными (утрата
заработка), и в связи с этим - резкое ухудшение материального положения семей
безработных, рост заболеваемости и преступности, обострение социальной
напряженности в обществе. В силу этого проблема безработицы в России в условиях
перехода к рыночной экономике и в условиях экономического кризиса приобретает
исключительную актуальность и требует самого пристального внимания российской
экономической науки, равно как и других обществоведческих наук.
Объектом данной курсовой работы был выбран такой
макроэкономический показатель как безработица. Предметом исследования является
анализ и прогнозирование безработицы в России.
Целью данной курсовой работы является разработка комплекса
мероприятий, направленных на повышение результативности деятельности объекта.
Для достижения этой цели необходимо решить
следующие задачи:
· Рассмотреть показатели уровня безработицы
и ее виды;
· Рассмотреть подходы к анализу рынка труда
и причин безработицы, а также ее возможных последствий;
· Проанализировать особенности рынка труда в
России;
· Провести анализ динамика безработицы в
современной России;
· Разработка прогноза методом наименьших
квадратов;
· Разработка прогноза методом экспертных
оценок.
Глава
I. Теоретические аспекты безработицы
1.1
Показатели уровня безработицы и ее виды
Безработицей принято считать такую ситуацию в экономике,
когда часть экономически активного населения не может применить свою рабочую
силу. При этом под численностью экономически активного населения понимается
сумма занятых в экономике и безработных [10].
Cогласно Закону "О занятости населения Российской
Федерации" безработными признаются: "трудоспособные граждане, которые
не имеют работы и заработка, зарегистрированы в органах службы занятости в
целях поиска подходящей работы, ищут работу и готовы приступить к ней. При этом
в качестве заработка не учитываются выплаты выходного пособия и сохраняемого
среднего заработка гражданам, уволенным из организаций (с военной службы)
независимо от их организационно-правовой формы и формы собственности (далее -
организации) в связи с ликвидацией организации либо сокращением численности или
штата работников организации" [6]
В соответствии со стандартами Международной Организации Труда
(МОТ) к безработным относятся лица в возрасте, установленном для
измерения экономической активности населения, которые в рассматриваемый период
удовлетворяли одновременно следующим критериям:
а) не имели работы;
б) были готовы начать работать;
в) активно искали работу.
Изучая вопрос безработицы необходимо определить понятие
занятых в экономике. Занятые в экономике - лица, которые в рассматриваемый
период:
безработица прогнозирование российская уровень
а) выполняли оплачиваемую работу по найму, а также приносящую
доход работу не по найму как с привлечением, так и без привлечения наемных
работников;
б) временно отсутствовали на работе из-за болезни или травмы,
ухода за больными; ежегодного отпуска или выходных дней; обучения вне своего
рабочего места; отпуска без сохранения или с сохранением содержания по
инициативе администрации (продолжительностью менее 6 месяцев); забастовки;
других подобных причин;
в) выполняли работу в качестве помогающих на семейном
предприятии. Занятыми считаются также лица, занятые выполнением работ по
производству в домашнем хозяйстве продукции, предназначенной для реализации
(полностью или частично) [10].
В экономической теории используется два показателя, которые
могут охарактеризовать картину экономической нестабильности на рынке труда -
это уровень безработицы и средняя ее продолжительность.
Показатель уровня безработицы используется для
измерения масштабов безработицы и рассчитывается как отношение числа
безработных к совокупной рабочей силе:
(1.1)
Продолжительность безработицы характеризуется средним
периодом времени перерыва в работе.
Данные показатели позволяют анализировать состояние экономики
страны, вырабатывать рекомендации по снижению уровня безработицы и росту
экономического благосостояния.
Виды безработицы.
Исходя из причин возникновения безработицы принято выделять
следующую классификацию видов безработицы: структурная, фрикционная, циклическая,
скрытая, сезонная.
Структурная - безработица, вызываемая глобальными
изменениями в экономике, которые приводят к сворачиванию целых отраслей и
развитию новых. Данное обстоятельство вызывает резкое увеличение спроса на
специалистов новых отраслей, тогда как прежние специалисты не могут найти себе
работу. Структурная безработица носит затяжной характер. Для преодоления
данного вида безработицы необходима существенная переподготовка специалистов.
Структурная безработица неизбежно сопровождает технический прогресс и является
неизбежной и может сопровождаться территориальным перераспределением рабочей
силы.
Фрикционная (текущая) - безработица, вызываемая
постоянными изменениями в размещение ресурсов общества между видами и сферами
производства товаров и услуг. Эти изменения меняют требования к квалификации,
знаниям, навыкам. Фрикционная безработица носит краткосрочный характер и, как
правило, является добровольной. Наличие фрикционной безработицы дает
возможность поиска более высокооплачиваемой или более интересной работы.
Совокупность структурной и фрикционной безработицы принято
называть естественным уровнем безработицы или полной занятостью. При
естественной безработице достигаются эффективные конкурентные условия рынка
труда.
Циклическая - безработица, вызванная фазой спада
экономического цикла, которая приводит к снижению производственной активности,
закрытию отдельные предприятий, а, следовательно, росту безработицы.
Циклическая безработица отрицательно влияет на экономическое развитие. Ее
наличие показывает, что экономика функционирует на уровне неполной занятости, и
не достигается потенциальный уровень ВВП.
Сезонная - безработица, вызванная неодинаковыми
объемами производства, выполняемыми некоторыми отраслями в различные периоды
времени. К отраслям, для которых характерны сезонные колебания объемов
производства (а значит, и занятости), относится, прежде всего, сельское
хозяйство.
Скрытая - безработица, вызванная снижением спроса на
продукцию предприятия, когда части персонала, предоставляется возможность
вместо увольнения перейти на сокращенный режим рабочего времени (неполная
рабочая неделя или рабочий день), взять вынужденные неоплачиваемые отпуска.
Формально таких работников нельзя признать безработными, однако фактически они
являются таковыми.
Данные виды безработицы тесно связаны между собой. Задачей
государственных органов является выявление каждого их данных видов безработицы,
а также минимизация, в первую очередь, циклической, сезонной и структурной
безработицы, которые не позволяют достичь полной занятости населения.
1.2
Подходы к анализу рынка труда и причин безработицы, а также ее возможных
последствий
Существует несколько основных концепций экономических учений,
каждое из которых имеет свой собственный подход к анализу рынка труда и
по-своему объясняет причины возникновения безработицы.
Классический подход.
Согласно данной концепции основным регулятором рынка труда
служит цена в данном случае рабочей силы (заработная плата), которая гибко
реагирует на потребности рынка, увеличиваясь или уменьшаясь в зависимости от
спроса и предложения. Таким образом, получается, что в состоянии равновесия на
рынке безработица отсутствует.
По мнению экономистов-классиков, полная занятость - это
естественное состояние на рынке труда при капиталистическом пути развития.
Согласно классической теории совокупное предложение на рынке труда постоянно, а
совокупный спрос стабилен, но если бы он упал, то цена бы быстро снизилась. В
результате временное превышение предложения устраняется и восстанавливается
полная занятость.
Превышение естественного уровня безработицы сторонники данной
концепции объясняют влиянием государства на рынок труда через установление
минимального уровня заработной платы и т.п.
Классическое объяснение причин возникновения
безработицы исходит из того, что предприятия (организации) могут нанять на
работу большое число работников при низкой заработной плате, а при росте уровня
заработной платы количество привлекаемой рабочей силы будет уменьшаться. Если
же заработная плата установится выше рыночного равновесного уровня, то это
приведет к тому, что спрос на труд будет значительно меньше предложения труда и
определенная часть работников окажется без работы.
Кейнсианская концепция.
Сторонники Кейнсианства рассматривают рынок труда как рынок,
находящийся в состоянии постоянного неравновесия. Кейнсианцы ставят под
сомнение положение об эластичности цен и заработной платы. Влияния профсоюзов,
монополий, законодательства о минимальной заработной плате не позволяют
говорить об эластичности заработной платы. Это означает, что при капитализме не
существует механизма, гарантирующего полную занятость, так как только цена
(заработная плата) не является регулятором рынка. Единственным регулятором
рынка труда и занятости населения выступает государство, которое, уменьшая или
увеличивая совокупный спрос, может ликвидировать возникающее неравновесие на
рынке. Например, рост производства и занятости можно осуществить через
стимулирование роста спроса и потребления посредством снижения уровня
налогообложения.
Согласно Кейнсианской концепции, уровень занятости - функция
эффективного спроса, включающего ожидаемые расходы на потребление плюс
инвестиции и определяющего, соответственно, экономическое поведение
предпринимателей.
Эти рассуждения можно выразить в виде
(1.2)
где занятость (
) зависит от совокупного спроса (
)), выраженного в единицах зарплаты (
).
В тоже время, в кейнсианской концепции равновесие рынка не
гарантирует полную занятость. Это объясняется тем, что по мере повышения
доходов у потребителя в силу психологических факторов склонность к сбережению
превышает стремление к инвестициям, что приводит к спаду производства и
безработице. Для повышения уровня занятости в обществе необходимо активное
вмешательство государства, поскольку рыночные силы не в состоянии поддержать
равновесие при полной занятости.
Монетаристская модель.
Монетаристский подход близок к кейнсианскому, так как в основе его
лежит невозможность только естественного ценового регулирования рынка труда
ввиду наличия установленного минимального уровня заработной платы, сильных
позиции профсоюзов, отсутствия всей необходимой информации о наличии вакансий и
кандидатов на вакансии. Для достижения полной занятости монетаристы предлагают
использовать инструменты денежно-кредитной политики (учетная ставка
центрального банка, размеры обязательных резервов коммерческих банков на счетах
центрального банка), что позволит, стимулировать инвестиционную и деловую
активность, а, следовательно, повысить занятость.
Марксистский подход.
Согласно марксистскому подходу рынок труда - рынок особого рода.
Марксисты считают, что только рабочая сила в процессе труда создает стоимость,
а все прочие виды ресурсов лишь переносятся на новую стоимость самим трудом
[1]. Рынок рабочей силы имеет характерные особенности, так как сама рабочая
сила может оказывать влияние на соотношение спроса и предложения.
Повышение производительности труда, согласно концепции Маркса,
вытесняет рабочих, если не происходит возрастания величины капитала. В
производстве одновременно рабочая сила выталкивается и притягивается. При
неизменной величине капитала повышение отношения "капитал - труд"
высвобождает рабочих, при неизменности этого отношения расширение объемов
производства сопровождается ростом занятости.
Причинами безработицы К. Маркс считал чрезмерный труд одной части
рабочего класса, который высвобождает другую его часть, переводя ее в ряды
безработных, а также циклический характер развития производства. В фазах
кризиса и депрессии безработица растет.
Современное представление.
Безработица является следствием деформации и инерционности рынка
труда. Безработные и свободные места всегда существуют, но требуется время,
чтобы между ними установилось требуемое соответствие. Следствием этого будет
наличие безработицы.
Таким образом, можно сделать вывод, что на уровень безработицы
влияет множество различных факторов, и, в тоже время, безработица является
естественным сопровождением экономического развития в условиях конкуренции.
Наличие безработицы является неизбежным, и, более того, необходимым для
эффективного развития экономики государства. Несмотря на множество причин ее
возникновения, ее неизбежность обуславливает наличие различных последствий,
которые будут рассмотрены далее.
Последствия безработицы.
Безработица оказывает непосредственное влияние на экономическую и
социальную жизнь общества.
Можно выделить следующие положительные, а также отрицательные факторы
воздействия:
+ Безработица выступает как условие роста
производства, появления новых предприятий.
+ Безработица повышает эффективность труда
(за счет создания конкуренции).
- Безработица приводит к недоиспользованию
экономического потенциала, прямым экономическим потерям, являющимся следствием
естественной и фактической безработицы (и соответственно занятости). Закон
Оукена (американского экономиста) гласит: если фактический уровень безработицы
выше естественного уровня безработицы на 1%, то отставание фактического ВВП от
потенциального составляет 2,5% [5].
- Безработица приводит к падению ранее
достигнутого уровня жизни. (Рост безработицы снижает покупательный и
инвестиционный спросы, сокращает объемы сбережений у населения).
- Безработица влечет за собой потерю
квалификации и практических навыков по причине отстранения от работы.
- Рост преступности имеет тесную взаимосвязь
с ростом безработицы.
Данные последствия безработицы показывают необходимость
изучения причин ее возникновения, значимость проведения анализа сложившейся
ситуации и поиска методов снижения безработицы, превышающей естественный
уровень. Данные вопросы будут рассмотрены на примере состояния безработицы в
Российской Федерации в следующей главе.
Итак, безработица представляет собой сложное
социально-экономическое явление, при котором часть экономически активного
населения не занята в общественном производстве товаров и услуг и не может
реализовать свои способности при помощи рынка труда.
Безработица является естественным сопровождением экономического
развития в условиях конкуренции. Наличие различных видов безработицы требует
минимизации в первую очередь, циклической, сезонной и структурной безработицы
для поддержания полной занятости населения и достижения высокого уровня
экономического развития.
Несмотря на разные причины возникновения, безработица
является естественным сопровождением экономического развития в условиях
конкуренции. Наличие безработицы является неизбежным, и, более того,
необходимым для эффективного развития экономики государства. Безработица влечет
за собой ряд положительных и негативных последствий, выступая и как фактор
повышения эффективности труда, и, как фактор снижения уровня жизни населения.
Показатель безработицы является одним из ключевых показателей для определения
общего состояния экономики, уровня жизни населения, а также для оценки
эффективности экономической деятельности государства. При неполном
использовании имеющихся ресурсов рабочей силы экономическая система работает,
не достигая границ своих производственных возможностей.
Глава
II. Анализ динамики безработицы в современной России
2.1
Анализ особенности рынка труда в России
Современный российский рынок труда, как и любой другой рынок
подвержен воздействию различных факторов. Объем рынка труда определяется в
первую очередь демографическими факторами: уровнем рождаемости, темпами роста
численности трудоспособного населения, его половозрастной структурой.
Помимо демографического важным фактором динамики российского
рынка труда является уровень экономической активности различных демографических
групп трудоспособного населения. Так, в России экономически активными являются
83,3% мужчин и 78,9% женщин трудоспособного возраста, что считается высоким
уровнем [7].
Характерной особенностью российского рынка труда является
высокий уровень скрытой безработицы, когда по социальным или иным причинам
сотрудники предприятий и организаций не могут быть уволены, и их переводят на
режим неполной рабочей недели либо неполного рабочего дня, или же отправляют в
отпуска по решению руководства организации. Только в 2009 году число таких
работников составляло 4,0 млн. человек, или 11,2% численности занятых [7].
Особенностью российского рынка труда является также высокая доля работников,
совмещающих работу в двух и более местах.
Серьезное влияние на динамику рабочей силы оказывают процессы
миграции рабочей силы. Миграция представлена как утечкой
высококвалифицированных специалистов из России (в основном в сфере наукой
области), так и въездом на территорию России рабочих из стран СНГ, Турции и
других соседних государств (их доля особенно значительна в строительной
индустрии и в сфере услуг). Часть притока иностранной рабочей силы носит
сезонный характер. Увеличение числа иностранной рабочей силы приводит к росту
уровня безработицы [12].
Сегментация рынка труда.
На данный момент российскому рынку труда свойственна
сегментация по причине существования нескольких рынков рабочей силы, не
конкурирующих друг с другом.
Анализ рынка труда позволяет выделить следующие 4 сегмента
[1] рынка труда:
· Рынок специалистов с высшим образованием,
администраторов высшего звена и управляющих. Данный сегмент рынка
характеризуется высоким уровнем квалификации работников, значительной
конкуренцией за рабочие места, высоким уровнем оплаты труда, большими возможностями
для профессионального роста.
· Рынок высококвалифицированных рабочих.
Данный сегмент рынка характеризуется высокой степенью надежности, высоким
уровнем оплаты труда, низкой степенью текучести персонала.
· Рынок труда, включающий
административно-вспомогательный персонал, техников, и работников средней
квалификации. Этот сегменту свойственен высокий уровень безработицы и слабые
карьерные перспективы.
· Рынок труда, охватывающий рабочие места,
не требующие специальной подготовки и значительной квалификации. Их занимают
работники обслуживания, неквалифицированные рабочие, низшие категории служащих.
Преобразования рынка труда, вызвавшие структурную
безработицу.
Переход к капиталистическому пути развития потребовал
преобразования структуры экономики страны, и, как следствие, изменил требования
к квалификации персонала.
Переход к индустриализации и информатизации общества привел к
увеличению числа персонала, обслуживающего данные технологии. Рост числа
занятых в данной сфере и минимизация числа занятых в сельском хозяйстве
являются основными тенденциями формирования рынка труда развитых стран. Данная
тенденция прослеживается и в России. Структурные преобразования рынка труда по
отраслевому признаку с 2000 по 2008 года представлены на рис.2.1.
Рис 2.1 Прирост численности занятых по отраслям [11]
Согласно приведенным данным на графике 2.1 невостребованными
оказались специалисты следующих отраслей: культура и искусство, промышленность,
сельское хозяйство, строительство, транспорт. Развитие сферы услуг требовало
специалистов другого профиля: финансы, управление, оптовая и розничная
торговля. За время перестройки структуры рынка труда произошел резкое
возрастание уровня безработицы. Специалисты вынуждены были перепрофилироваться
либо наниматься на работу в новую для себя сферу деятельности без
соответствующего опыта и знаний. Это обстоятельство привело не только к
затянувшемуся процессу переподготовки, но и к тому, что в отраслях, набирающих высокие
темпы роста, не хватало специалистов необходимого профиля. Новые кадры не имели
должного образования и им приходилось непосредственно на рабочем месте
постигать всю специфику новой профессии с нуля.
Под влиянием масштабных изменений отраслевая структура российской
занятости стала качественно иной, преодолев пик структурной безработицы. Хотя
самой крупной отраслью экономики, как и прежде, остается промышленность, по
сравнению с дореформенным периодом ее вклад в совокупную занятость резко
уменьшился. Обратный процесс наблюдался в торговле, вклад которой в совокупную
занятость, напротив, увеличился. Это позволило ей переместиться на второе место
в списке отраслей по численности работников, так что сегодня она аккумулирует
значительно большую долю рабочей силы, чем сельское хозяйство, строительство
или транспорт и связь. Заметно возросла также доля занятых в государственном
управлении. Но, говоря о России, необходимо учитывать географический фактор,
который определяет высокую дифференциацию в уровне развития регионов, а,
следовательно, в структурах рынков труда различных регионов. Наравне с крупными
городами, где большая часть населения занята в сфере услуг, существуют регионы,
в которых основным источником занятости является сельское хозяйство или добывающая
промышленность. Обобщая данные по России, можно сказать, что с точки зрения
распределения рабочей силы, доминирующим сектором российской экономики все же
выступает сектор услуг, где сосредоточено почти 2/3 всех занятых [11].
Заметна позитивная динамика и в профессионально-квалификационном
составе рабочей силы, которая представлена на рис.2.2.
Динамика численности различных профессиональных групп неразрывно
связана с преобразованием рынка труда по отраслевому признаку.
Рис.2.2 Динамика численности различных профессиональных групп с
2000 по 2008 гг. [11]
Рис 2.2 Подтверждает резкий спад спроса на рынке труда на
квалифицированных и неквалифицированных рабочих промышленности и рост спроса на
работников сферы обслуживания.
Таким образом, опережающие темпы роста демонстрировали
наиболее квалифицированные профессиональные группы (а также работники сферы
обслуживания), тогда как численность наименее квалифицированных групп либо
сокращалась, либо оставалась неизменной.
В России постепенно растет доля занятых преимущественно
нефизическим трудом.
К данной группе относятся руководители всех звеньев,
специалисты высшего и среднего уровня квалификации, служащие, занятые
подготовкой информации и оформлением документации и учетом, служащие сферы
обслуживания, работники сферы индивидуальных услуг и защиты граждан и
собственности, продавцы.
Другой характерной чертой качественной эволюции рабочей силы
является рост ее образовательного уровня. По этому показателю Россия находится
на одном из ведущих мест в мире.
2.2
Динамика безработицы в современной России
Рассматривая вопрос динамики безработицы в России, следует
обратить внимание на характерные причины ее возникновения, особенности
социально-экономических условий, влияющих на ее формирования. Если обратиться
ко времени построения социалистического государства (ведь говоря об эпохе
"перестройки" следует помнить, что экономически активное население
было воспитано в духе построения социализма), стоит отметить, что в данный
период практически отсутствовала проблема трудоустройства. На этапе перехода к
капиталистическому развитию оказалось, что экономически активное население
привыкло длительное время работать на одном предприятии в рамках одной профессии,
не стремясь к повышению квалификации.
Рыночной экономике требовались активные работники, желающие
развиваться, самостоятельно разрешать возникающие проблемные ситуации,
обучаться. Что предполагает наличие людей с другими установками. Следовательно,
возникла задача формирования самостоятельного агента рыночной экономики, к чему
не было приспособлено экономически активное население того времени. Отсутствие
инициативы и негативное отношение к малому предпринимательству препятствовали
формированию новых рабочих мест, способствуя безработице.
При переходе к капиталистическому развитию многие
промышленные предприятия потерпели крах, оказавшись неконкурентоспособными.
Проблемы с законодательным регулированием экономики, приток иностранных товаров
привели к закрытию многих организаций, сформировав огромное число безработных.
В последние годы на количество численности безработных
непосредственно повлиял мировой экономический кризис. На начальных этапах
мировой финансовый кризис породил острую нехватку наличности, что начало
тормозить производство. Это обстоятельство, в свою очередь, создало
благоприятствующие условия утечке капиталов из регионов с низким или переходным
уровнем экономического развития, куда они прежде в массовом порядке притекали,
привлечённые дешевизной рабочей силы. Так, в 2009 году чистый отток капитала
составит рекордную цифру - 90 млрд. долларов [13].
Вследствие массового оттока капитала из страны происходит
свёртывание реального производства. Свёртывание производства, в конце концов,
приводит к массовым увольнениям и безработице.
Кризис также обуславливает падение спроса на многие товары
(определённые виды сельскохозяйственной продукции, металлургическое и
химическое сырье и полуфабрикаты, углеводородное топливо и т.д.). Это влечёт за
собой как сокращение закупок соответствующей продукции, так и заметное снижение
цен на неё. Всё это негативно сказывается на объёмах производства, на бюджетах,
а, следовательно, на уровне занятости [8].
Кризис существенно сократил потребность в рабочей силе. Oн стал барьером на пути
иммигрантов - гораздо более эффективный, чем все прежние законодательные и
административные меры. К примеру, единственным источником выживания большинства
семей в Таджикистане являются денежные переводы от мигрантов, которые работают в
России. В условиях кризиса Россия заявила о сокращении рабочих мест для
иностранцев. Таким образом, и Таджикистан испытывает на себе последствия
кризиса эпохи глобализации. По мнение некоторых политологов, если кризис
затянется, в Таджикистан вернётся около половины находящихся в трудовой
миграции в России граждан страны. Это грозит серьёзными социальными,
экономическими и политическими проблемами для Таджикистана.
Вернёмся в Россию. В первую очередь российская экономика
испытывает острый дефицит ликвидности. Спрос на товары (пока преимущественно
длительного пользования) падает. Некоторые жизненно важные отрасли
промышленного производства ощутили болезненные последствия трудностей со
сбытом. С нарастающими проблемами сталкивается сфера услуг. Широкое распространение
получило сокращение заработной платы. На первых порах наибольшие потери нес так
называемый средний класс, прежде всего банковские и конторские служащие. Но,
затем всю тяжесть кризисного развития почувствовали на себе и "синие
воротнички" - многочисленный индустриальный пролетариат.
Безработных становится все больше и больше. Ежедневно на
биржу труда обращается больше 5 тыс. человек [7]. Но еще больше людей
подыскивает работу самостоятельно. Рост количества безработных набирает обороты
каждый день, а не волнами, как прогнозировали эксперты.
Конечно, есть и те отрасли рыночной экономики, которые менее
всего пострадали от кризиса, это в первую очередь, производители товаров
народного потребления первой необходимости и фармацевтика. То есть производители
товаров, без которых люди просто не смогут существовать.
Ещё необходимо отметить, один факт, что в период кризиса
российские работодатели с лёгкостью расстаются со своими сотрудниками. Западные
же делают всё для того, чтобы минимизировать увольнения, - переучивают и
занимаются их трудоустройством в другие организации. Кадровое агентство
"Анкор" провело исследование рынка труда, и результаты: 31% компаний,
работающих в России, сокращают численность персонала, а 18% уменьшают
заработные платы своим сотрудникам, 13% компаний планируют сократить расходы на
персонал путём сокращения рабочего времени [11].
В зарубежных компаниях увольнение сотрудников - крайне
непопулярная мера сокращения издержек, и прибегают к ней только тогда, когда
положение уже крайне тяжёлое. В российских компаниях сотрудников увольняют
легко. Для иностранных компаний увольнение своих сотрудников - недешёвое
удовольствие: необходимо оплатить выходное пособие. Увольнение персонала для
зарубежных компаний ещё и удар по имиджу, а имидж они ценят очень высоко.
Европейцы и американцы понимают, что люди - это основной их актив. И у них в
первую очередь сокращаются расходы на маркетинг, аренду и ИТ.
Для рассмотрения состояния и структуры безработицы в России в
настоящее время обратимся к обследованию населения, проведенного в феврале и
марте 2010г. По итогам обследования населения по проблемам занятости
численность экономически активного населения к концу февраля 2010 года
составила 74,5 млн. человек, что составляет более 52 процентов от общей численности
населения [10].
За февраль 2010 г. численность занятых выросла на 0,3 млн.
человек и на конец месяца составила 68,0 млн. человек [10].
Рис 2.3 Общая и регистрируемая безработица в 2009 и 2010 гг., млн.
чел.
Из рис.2.3 видно, что после резкого увеличения в январе 2010 года
численность безработных, определяемая по методологии МОТ, в феврале снизилась
на 396 тыс. человек и на конец февраля текущего года составила 6,4 млн. человек
(8,6 % экономически активного населения).
Улучшению ситуации на рынке труда во многом способствовало
восстановление спроса на рабочую силу со стороны предприятий после длительных
новогодних каникул. Вместе с тем, уровень безработицы продолжает оставаться
высоким.
Регистрируемая безработица в феврале 2010 года, напротив,
увеличилась на 93 тыс. человек и составила 2,3 млн. человек или 3,1%
экономически активного населения (рис.2.3) [7].
Следует отметить, что обращение потерявших работу граждан в органы
службы занятости носит отложенный характер, что объясняет разнонаправленную
динамику общей и регистрируемой безработицы. Вторая причина таких отклонений -
это методологические различия в части охвата категорий населения. Так, в
составе общей численности безработных, классифицируемых в соответствии с
критериями МОТ, в феврале 2010г. около 0,6 млн. человек, или 10% составляли
граждане, которые не могут быть признаны безработными в органах службы
занятости населения. Среди них 42% составляли лица старше или моложе
трудоспособного возраста, 39% - студенты и учащиеся в трудоспособном возрасте
очных образовательных учреждений и 19% - лица в трудоспособном возрасте,
получающие пенсии за выслугу лет или на льготных условиях. Все эти категории в
обследуемый период не имели работы, занимались поиском работы и были готовы
приступить к ней, т.е. отвечали критериям для отнесения их к безработным по
методологии МОТ. Кроме различий методологического характера, которые влияют на
сравнимость размеров безработицы по данным обследований населения по проблемам
занятости и данным административного учета службы занятости населения, имеются
причины скорее субъективного характера, связанные с предпочтениями незанятого
населения в выборе способов поиска работы представленные на рис.2.4.
Рис.2.4 Способы поиска работы безработными (в % к общей
численности безработных)
По графику можно сделать вывод о том, что около 60% безработных
ищут работу самостоятельно без содействия служб занятости. Так же можно
добавить, что мужчины реже обращаются в службы занятости в поисках работы, чем
женщины. Среди безработных мужчин доля ищущих работу с помощью служб занятости
в феврале 2010г. составила 38%, среди безработных женщин - 44% [8]. Наиболее
предпочтительным является обращение при поиске работы к помощи друзей,
родственников и знакомых - его используют более половины безработных.
Если попытаться проанализировать динамику уровня безработных по
полу и месту проживания, то доля женщин в марте 2010г. составила 44,8%, доля
городских жителей среди безработных - 63,6% [10]. Далее рассмотрим и
проанализируем уровень безработицы по полу и месту проживания. Данные
представлены в табл.2.1.
Таблица 2.1
Уровень безработицы по полу и месту проживания, в %
|
Всего
|
Мужчины
|
Женщины
|
Городское
население
|
Сельское
|
|
|
|
|
|
население
|
|
2009г.
|
|
|
|
|
|
|
Февраль
|
9,4
|
10,2
|
8,6
|
8,2
|
13,1
|
|
Май
|
8,5
|
9,2
|
7,9
|
7,7
|
10,9
|
|
Август
|
7,8
|
8,3
|
7,4
|
6,9
|
10,7
|
|
Сентябрь
|
7,6
|
8,1
|
7
|
6,7
|
10,2
|
|
Октябрь
|
7,7
|
8,2
|
7,3
|
6,7
|
10,7
|
|
Ноябрь
|
8,2
|
8,4
|
7,9
|
7,4
|
10,5
|
|
Декабрь
|
8,2
|
8,8
|
7,6
|
7,1
|
11,5
|
|
2010г.
|
|
|
|
|
|
|
Январь
|
9,2
|
9,9
|
8,4
|
7,8
|
13,4
|
|
Февраль
|
8,6
|
9,5
|
7,8
|
7,5
|
12
|
|
Март
|
8,6
|
9,3
|
7,9
|
7,2
|
12,8
|
Из таблицы следует, что безработица городского и сельского
населения характеризуется превышением уровня безработицы среди сельских жителей
по сравнению с уровнем безработицы среди городских жителей. В марте 2010г. это
превышение составило 1,8 раза. Это объясняется напряженностью на сельском рынке
труда, т.к. свободных рабочих мест здесь практически нет. В основном сельская
безработица наблюдается в регионах с высоким естественным приростом и в
северных несельскохозяйственных регионах.
Уровень безработицы по России на период осени 2009 года
представлен на рис.2.5
Рис.2.5 Уровень безработицы населения в возрасте от 15-72
года, в %
Анализируя данные рис.2.5 можно сделать вывод о том, что в
Санкт-Петербурге и Москве уровень безработицы в целом ниже, чем по стране.
Наиболее тяжелое положение наблюдается в Чеченской республике и Ингушетии.
В заключении главы остается отметить, что огромное влияние на
уровень безработицы в России оказал недавний мировой финансовый кризис. В целом
последствия кризиса таковы: увольнения, сокращения рабочей недели, задержки
зарплаты, обесценение доходов и социальных выплат вследствие инфляции и
ползучей девальвации рубля.
Прогнозирование в сфере безработицы является одной из главных
задач правительства, поскольку от уровня безработицы зависит благосостояние и
развитие государства в целом.
Глава
III. Разработка прогноза уровня безработицы в России
3.1
Разработка прогноза методом наименьших квадратов
Для того, чтобы представить модель, выражающую общую
тенденцию изменений уровней динамического ряда во времени, используют
аналитическое выравнивание ряда динамики.
В этом случае, фактические уровни заменяются уровнями,
вычисленными на основе определенной кривой.
Предполагается, что она отражает общую тенденцию изменения во
времени изучаемого показателя. При аналитическом выравнивание ряда динамики
закономерно изменяющийся уровень изучаемого показателя оценивается, как функция
от времени.

,
где 
- уровни динамического ряда, вычисленные по соответствующему
аналитическому уровню на момент времени t.
Можно выбрать различные виды трендовых моделей. Основанием для
выбора кривой может служить содержательный анализ сущности развития данного
явления. Поэтому целесообразно использовать графическое изображение сглаженных
уровней. (рис.3.1) Исходя из рисунка, на взгляд автора, наиболее правильно
рассмотреть аналитическое выравнивание с помощью параболы второго порядка, т.е.
аналитическое уравнение вида
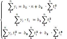
Система нормальных уравнений для нахождения параметров. Будет
иметь вид:
Итак, используя данные уровня безработицы с января 2009 по март
2010, представленные в табл.3.1 проведем центрирование скользящей средней.
Табл.3.1
Уровень безработицы в России, в %
|
Месяц, год
|
Уровень
безработицы, в %
|
|
Январь 2009
|
8,1
|
|
Февраль 2009
|
9,4
|
|
Март 2009
|
10
|
|
Апрель 2009
|
10,2
|
|
Май 2009
|
8,5
|
|
Июнь 2009
|
8,3
|
|
Июль 2009
|
8,3
|
|
Август 2009
|
7,8
|
|
Сентябрь 2009
|
7,6
|
|
Октябрь 2009
|
7,7
|
|
Ноябрь 2009
|
8,2
|
|
Декабрь 2009
|
8,2
|
|
Январь 2010
|
9,2
|
|
Февраль 2010
|
8,6
|
|
Март 2010
|
8,6
|

9,4 + 10/ 3 = 9,166667
Рисунок 3.1 Фактические и расчетные значения величины уровня
безработицы, в %
Далее воспользуемся методом наименьших квадратов. Для начала
рассчитаем параметры уравнения.
Таблица 3.2. Расчет параметров уравнения
|
Годы
|
|
|
|
|
|
|
|
|
|
1
|
2
|
3
|
4
|
5
|
6
|
7
|
8
|
9
|
|
Январь 2009
|
8,1
|
-7
|
49
|
-56,7
|
396,9
|
2401
|
8,681176
|
-0,58
|
|
Февраль 2009
|
9,4
|
-6
|
36
|
-56,4
|
338,4
|
1296
|
8,522815
|
0,88
|
|
Март 2009
|
10
|
-5
|
25
|
-50
|
250
|
625
|
8,397663
|
1,60
|
|
Апрель 2009
|
10,2
|
-4
|
16
|
-40,8
|
163,2
|
256
|
8,305721
|
1,89
|
|
Май 2009
|
8,5
|
-3
|
9
|
-25,5
|
76,5
|
81
|
8,246988
|
0,25
|
|
Июнь 2009
|
8,3
|
-2
|
4
|
-16,6
|
33,2
|
16
|
8,221464
|
0,08
|
|
Июль 2009
|
8,3
|
-1
|
1
|
-8,3
|
8,3
|
1
|
8,22915
|
0,07
|
|
Август 2009
|
7,8
|
0
|
0
|
0
|
0
|
0
|
8,270045
|
|
Сентябрь
2009
|
7,6
|
1
|
1
|
7,6
|
7,6
|
1
|
8,34415
|
-0,74
|
|
Октябрь 2009
|
7,7
|
2
|
4
|
15,4
|
30,8
|
16
|
8,451464
|
-0,75
|
|
Ноябрь 2009
|
8,2
|
3
|
9
|
24,6
|
73,8
|
81
|
8,591988
|
-0,39
|
|
Декабрь 2009
|
8,2
|
4
|
16
|
32,8
|
131,2
|
256
|
8,765721
|
-0,57
|
|
Январь 2010
|
9,2
|
5
|
25
|
46
|
230
|
625
|
8,972663
|
0,23
|
|
Февраль 2010
|
8,6
|
6
|
36
|
51,6
|
309,6
|
1296
|
9,212815
|
-0,61
|
|
Март 2010
|
8,6
|
7
|
49
|
60,2
|
421,4
|
2401
|
9,486176
|
-0,89
|
|
Сумма
|
128,7
|
0
|
280
|
-16,1
|
2470,9
|
9352
|
128,7
|
0,00
|
Подставляя итоги гр.2,4,5 и 7 таблицы, получаем следующую
систему уравнений для данного временного ряда:
Решая систему уравнений, определим значение параметров параболы
второго порядка:
; 
; 
Отсюда уравнение параболы второго порядка, характеризующего
уровень безработицы, будет записано так:
Подставляя значения 
, определим выровненные уровни динамики:

8,305721

8,246988

8,221464

8,22915

8,270045
Как показывает полученный прогноз с апреля 2010 господствует
тенденция увеличения уровня безработицы. Руководствуясь прогнозом, можно
заключить, что в апреле 2010 уровень безработицы составит 9,7%, а в мае 2010
года - 10,1%. Однако, по мнению автора, стоит отметить, что разработка прогноза
методом наименьших квадратов не учитывает множества факторов, которые на прямую
и косвенно влияют на уровень безработицы в России.
3.2
Прогнозирование экспертным методом
Объектом прогнозирования выступает безработица. Для
осуществления прогноза экспертным методом необходимо: сформировать список
экспертов, путем их взаимооценки создать матрицу оценки компетентности и
рассчитать коэффициенты компетентности каждого эксперта.
Первым этапом проведения прогнозирования экспертным методом
будет формирование списка экспертов:
1. Эксперт 1;
2. Эксперт 2;
. Эксперт 3;
. Эксперт 4;
. Эксперт 5;
. Эксперт 6;
. Эксперт 7;
. Эксперт 8.
Далее нам требуется составить матрицу оценки компетентности
экспертов путем взаимной оценки, которая представлена в табл.3.3.
Таблица 3.3
Матрица оценки компетентности экспертов путем взаимной
оценки.
|
Номер
оценивающего (i)
|
Номер
оцениваемого (j)
|
|
|
|
1
|
2
|
3
|
4
|
5
|
6
|
7
|
8
|
|
1
|
1
|
0
|
0
|
1
|
0
|
0
|
0
|
0
|
|
2
|
0
|
0
|
1
|
1
|
1
|
1
|
1
|
0
|
|
3
|
0
|
1
|
0
|
1
|
1
|
0
|
1
|
1
|
|
4
|
0
|
0
|
0
|
0
|
1
|
1
|
0
|
1
|
|
5
|
0
|
1
|
1
|
1
|
1
|
1
|
0
|
0
|
|
6
|
1
|
1
|
0
|
1
|
0
|
1
|
1
|
1
|
|
7
|
1
|
0
|
0
|
1
|
1
|
0
|
1
|
1
|
|
8
|
0
|
0
|
0
|
1
|
1
|
0
|
0
|
1
|
Затем по формуле 3.1 необходимо рассчитать коэффициент
компетентности каждого эксперта.
(3.1)
Производим расчет:
|
Коэф. эксперта
1 = 0.375
|
Коэф. эксперта
5 = 0.75
|
|
Коэф. эксперта
2 = 0.375
|
Коэф. эксперта
6 = 0.5
|
|
Коэф. эксперта
3 = 0.25 Коэф. эксперта 4 = 0.875
|
Коэф. эксперта
7 = 0.5 Коэф. эксперта 8 = 0.625
|
Выберем трех наиболее компетентных экспертов для проведения
прогноза.
Эти эксперты:
. Эксперт 4 (в роли эксперта 4 выступает Владимир Гимпельсон
- Высшая школа экономики, директор центра трудовых исследований);
2. Эксперт 5 (в роли эксперта 5 выступает Екатерина Шохина, обозреватель "Эксперт Online");
. Эксперт 8 (в роли эксперта 8 выступает Михаил Шмаков
председатель Федерации независимых профсоюзов России (ФНПР)
Ниже представлены точки зрения экспертов.
Эксперт 4:
"За последнее время, начиная с осени 2009 г., безработица
заметно подросла. Но российскому рынку труда свойственна сильная сезонность.
Безработица может быть относительно невысокой, но стабильной во
времени, не рассасывающейся и после того, как острота кризиса миновала. Однако
взятый сам по себе уровень безработицы не дает полного диагноза ситуации. Нужны
дополнительные измерители - занятость и заработная плата, про которые как раз
часто забывают.
Если безработица растет, то это либо за счет уменьшения
численности занятых, либо за счет притока из неактивного населения.
Если занятость не сокращается сообразно падению выпуска, то черное
дело адаптации приходится делать заработной плате. Гибкость зарплаты в нашей
стране проявляется прежде всего в снижении ее номинального значения. Затем - в
снижении ее реальной величины. Замедление роста номинальной зарплаты было
замечено уже в сентябре 2009 г., а ее реальная ценность начала снижаться с
октября. Учитывая продолжение спада и давление на работодателей с целью
остановить массовые увольнения, можно ожидать дальнейшего снижения зарплаты.
Обычно для прогнозирования безработицы опираются на оценки
эластичности занятости от выпуска. При сильной и положительной эластичности
увеличение выпуска стимулирует занятость, а его сокращение ведет к пропорциональному
сжатию занятости и соответствующему росту безработицы. Однако в нашем случае
такой подход малоприменим, поскольку эластичность занятости в прошлых периодах
была крайне низкой, а в 2000-2008 гг. в корпоративном секторе - даже
отрицательной. Подобный эффект - низкая эластичность во многом определялся
действовавшими институтами - жесткими законами, защищавшими рабочие места, и их
избирательным соблюдением, позволявшим эти правила смягчать. В итоге занятость
крайне вяло реагировала и на спад, и на рост, уступив право отклика заработной
плате.
Возможные сценарии дальнейшего развития зависят не только от
начальных условий, но и от проводимой властями политики. Если бы
институциональная среда (низкие величины МРОТ и пособий по безработице,
избирательно-обязательный характер исполнения законов) не менялась на
протяжении последнего полугодия, то можно было бы ожидать сохранения умеренных
уровней безработицы даже при значительном спаде производства. Правда, на другой
чаше весов мы бы имели быстрое накопление долгов по заработной плате, массовые
отпуска и сокращение рабочего времени по инициативе администрации. Однако этого
"если" уже частично нет. Сами правила стали строже, а контроль за их
соблюдением - жестче (по крайней мере, так кажется со стороны). Другими
словами, сохранять занятость любой ценой стало сложнее, а следовательно,
склонность предприятий к численной адаптации ("оптимизации")
занятости может возрасти.
Хотя условия для прогноза очень зыбкие, думаем, что безработица в
ее классическом виде вряд ли достигнет исторического пика, покоренного в начале
1999 г. Тогда она достигла 14%. Однако полной ясности с перспективами кризиса
ни у кого нет, а высокая безработица может быть как результатом глубокого
спада, так и итогом ошибочной политики. Как известно, нет такой ситуации, из
которой нельзя было бы выйти с позором." [4]
Эксперт 5
"Уровень безработицы в России в январе 2010 года подскочил
сразу на 1 процентный пункт - до 9,2% с 8,2% в декабре 2009 года. Об этом
сегодня сообщил Росстат. Армию безработных пополнили 670 тыс. человек, теперь
их 6,8 млн, что соответствует уровню безработицы в разгар кризиса - марте 2009
года. Хуже было только в феврале прошлого года, когда без работы находилось
более 7 млн человек.
Представители бизнеса и рекрутинговых агентств призывают не делать
пессимистичных выводов из январской статистики. По их мнению, в январе просто
завершилась волна увольнений 2009 года, и в феврале на рынке труда ожидается
стабилизация.
Мы ожидали пик увольнений в январе, поскольку многие работодатели давали
своим подчиненным доработать до конца года, зачастую с уже уменьшенными
зарплатами. Собственно, это завершение увольнений прошлого года, дальше
увольнять уже некого. Весь ненужный персонал уже не работает в большинстве
компаний, остались только самые необходимые и незаменимые люди. Мы ждем в этом
году стабилизацию на рынке труда.
Как сообщил "Эксперту Online" директор по управлению персоналом сети
"Эльдорадо" Руслан Ильясов, в январе увольнения в компании проходили,
но они были плановые, в рамках постоянного процесса реструктуризации. "Это
наши внутренние дела, с экономической ситуацией в стране и с кризисом никак не
связанные", - рассказал Ильясов.
В России главная проблема - не в безработице, а в плохой
занятости. На рынке труда у нас главенствует не политика занятости, а политика
искусственного сдерживания безработицы. Плюс сохраняется чрезвычайно низкая
производительность труда.
Безработица не пугала бы так, если бы была связана с внедрением
инновационных технологий на производствах. Но пока об этом, к сожалению,
говорить рано.
В то же время рынок труда уже начал оживать. Вакансий коммерческих
компаний становится все больше. Согласно исследованиям кадровых агентств, новых
сотрудников собираются набрать более трети работодателей.
Напомним, что президент России Дмитрий Медведев все чаще
предупреждает, что безработица останется для нас самой сложной проблемой 2010
года". [15]
Эксперт 8:
"Понятие достойного труда, прежде всего, включает в себя
такие составные части, как грамотная организация трудового процесса,
обеспечение его безопасности, эффективность и, конечно, высокая
производительность труда. Кроме того, каждый работающий человек должен иметь
возможность повышать свою квалификацию и развиваться в профессиональной
деятельности. Но, пожалуй, самое главное - это соответствующий нынешним
жизненным реалиям уровень заработной платы. Это, безусловно, неотъемлемый и
основополагающий элемент достойного труда. К сожалению, в настоящий момент
заработная плата в России значительно отстает от остальных показателей. Труд не
получает адекватного вознаграждения: его стоимость явно занижена по сравнению с
ценами на все прочие товары и услуги.
К нам в страну в массовом порядке прибывает в основном
малоквалифицированная и дешевая (что, к сожалению, очень устраивает нанимателей)
рабочая сила. Зато за границу от нас уезжают ценные специалисты, которые
"вымываются" из российской экономики, нанося этим непоправимый ущерб
человеческому капиталу нашей страны.
О каком инновационном развитии страны, о каком повсеместном
внедрении нанотехнологий можно говорить при столь катастрофическом уровне
"утечки мозгов"? Этот процесс жизненно необходимо повернуть вспять!
Еще одно незыблемое условие достойного труда, за создание которого
профсоюзы активно борются, - это стабильная занятость. Конечно, обеспечение
стабильной занятости отнюдь не подразумевает, что человек всю жизнь должен
работать на одном и том же рабочем месте. Но каждый работник должен чувствовать
себя защищенным и быть уверенным в том, что при повышении его квалификации или переобучении
на другую профессию его труд всегда будет востребован. Это, безусловно, цель
любого социального государства, а наша страна согласно Конституции таковым
является. И российские профсоюзы, объединенные в семью ФНПР, со своей стороны
будут всячески стремиться к ее достижению и делать все от нас зависящее.
Кроме того, нами было отмечено, что рост безработицы, отмечаемый в
январе-феврале 2010 года, несколько затормозился, а в некоторых регионах даже
пошел вниз. По оценкам независимых экспертов, во многом это произошло благодаря
активной работе ФНПР по реализации антикризисных мер, направленных на
стабилизацию рынка труда. В частности, мы участвуем в осуществлении ряда
программ по организации общественных работ и курсов переобучения трудящихся. И
надо сказать, что это весьма благоприятно сказывается на сокращении уровня
безработицы. Однако пока она уменьшается очень медленными темпами. Но я уверен,
что активная позиция и четкие действия профсоюзов предадут данному процессу
необходимое ускорение.
Одно из последних заявлений работодателей, сделанных на Неделе
российского бизнеса, которое озвучил Михаил Прохоров, касается того, что якобы
необходимо менять трудовое законодательство РФ, чтобы сделать его "более
гибким". Речь идет об упрощении процедуры увольнения работников. Однако я
нахожу это заявление, мягко говоря, не совсем точным. Видимо, господин Прохоров
не сумел разобраться в ситуации, да и вообще сомневаюсь, что он в тонкостях
знаком с российским трудовым законодательством. Дело в том, что сегодня никаких
препятствий для цивилизованного расторжения трудового договора не существует.
Конечно, если работодатели хотят превратить своих работников в крепостных
крестьян, тогда это желание вполне понятно. Но это будет явно движение назад.
Трудовой кодекс РФ это не догма, а достаточно живой документ.
Разумеется, мы не возражаем против дискуссий на тему, как его совершенствовать
и какие положения следует изменить. Однако замечу, что сам по себе этот
документ является огромным достижением российского общества, поскольку был
создан на основе согласия всех трех заинтересованных сторон - правительства,
профсоюзов и работодателей." [16]
На основании мнения трех экспертов сформулируем основные прогнозы
и тенденции развития на ближайший период:
1. Безработица по прежнему будет самой серьезной
проблемой для государства.
2. Рост безработицы приостановится и в некоторых
регионах даже снизится, ожидается стабилизация ситуации.
. Необходима правовая поддержка государства и поправки
в Трудовом законодательстве РФ.
. Уровень безработицы будет зависеть от проводимой
властями политики.
. Прекращение роста уровня безработицы повлечет за
собой снижение уровня заработной платы.
. Новых сотрудников собираются набрать более трети
работодателей.
7. Сохранится низкая производительность труда.
Заключение
На основе проведенного исследования можно сделать следующие
выводы:
. Безработица является естественным сопровождением
экономического развития в условиях конкуренции. Наличие различных видов
безработицы требует минимизации в первую очередь, циклической, сезонной и
структурной безработицы для поддержания полной занятости населения и достижения
высокого уровня экономического развития.
2. Несмотря на значительное сокращение численности
безработных, ее уровень еще достаточно велик. Фактический уровень
безработицы сегодня существенно превышает ее естественный уровень.
3. Огромное влияние на уровень безработицы в России
оказал недавний мировой финансовый кризис. В целом последствия кризиса таковы:
увольнения, сокращения рабочей недели, задержки зарплаты, обесценение доходов и
социальных выплат вследствие инфляции и ползучей девальвации рубля.
. Прогнозирование в сфере безработицы является одной
из главных задач правительства, поскольку от уровня безработицы зависит
благосостояние и развитие государства в целом.
. Социально-экономическое будущее России таит в себе
постоянную угрозу увеличения безработицы. Это предопределено характером
рыночных процессов. Необходимо предпринять все меры, чтобы российская специфика
рыночных отношений не создавала предпосылок для открытых форм массовой
безработицы и, тем более, ее хронического характера.
В заключении остается подчеркнуть, что безработица 2010 года
- это не вторая волна экономического кризиса, как может сложиться мнение.
Повышение уровня безработицы в данном случае является этапом выхода из кризиса.
Этапом, когда при снижении издержек предприятиями (ради выхода на рациональный
уровень своего производства) и повышении производительности труда будет
высвобождаться рабочая сила.
Поэтому повышение уровня безработица в 2010 году - это
грядущая проблема, которая всецело ляжет на плечи нашего общества. Нас могут
ожидать такие негативные её последствия, как обострение криминогенной
обстановки, усиление социальной напряжённости, рост количества физических и
душевных заболеваний, расслоение общества, снижение трудовой активности. При
этом снизится уровень жизни, а работники могут потерять свою квалификацию.
Более всего безработица 2010 ударит по российской молодёжи,
уже сейчас около трети молодых людей не могут найти работу. Данная проблема в
России стоит очень остро и требует системных изменений, т.к., у нас практически
не налажен механизм адаптации молодёжи на рынке труда. У молодых людей слишком
завышены ожидания. А работодатели совершенно не спешат брать на работу человека
без опыта. Данная проблема, на фоне мирового кризиса с серьёзным дефицитом
рабочих мест, и таких проблем нашей молодёжи, как алкоголизм и наркомания, в
России мы можем иметь "эффект потерянного поколения".
Естественно все эти проблемы требуют решения. Причём
правильные шаги нужны, как со стороны государства и власти, так и со стороны
общества в целом и каждого его члена в отдельности.
Библиографический
список
1. Булатов
А.С. Экономика.4-е издание. М.: Экономист. 2006г.
2. Евменов
А.Д., Какосьян Э.К., Смирнов А.Ю., Пудовкина О.И. Прогнозирование развития
хозяйства. Методическое пособие. - СПб.: СПбГУКиТ 2003.
. Плакся
В.И. Безработица: теория и современная российская практика. - М. РАГС, 2005. -
384 с.
. Хейне
П., Боуттке П., Причитко Д. "Экономический образ мышления", 10-е
издание / пер. с англ. Гуреш Т.А. - М.: Изд. дом "Вильямс", 2005. -
544 с.
. Экономическая
теория: учебное пособие / В.М. Соколинский, В.Е. Корольков; под ред.А.Г.
Грязновой и В.М. Соколинского. - 2-е изд., перераб. и доп. - М.: КНОРУС, 2006.
- 464 с.
. Закон
РФ "О занятости населения в Российской Федерации" N 1032-1 от 19
апреля 1991 года
. Минздравсоцразвития
России http://www.minzdravsoc.ru/
. Мировое
и национальное хозяйство; Издание МГИМО (У) МИД России
http://www.mirec.ru/index. php? option=com_content&task=view&id=122
. Cальникова
В. Спрятанная безработица. "Трибуна", 03.08.2007 // www.demoscope.ru
10. Федеральная служба
государственной статистики // www.gks.ru <http://www.gks.ru>
. Экономический портал
http://institutiones.com/index. php
. http://www.trud.ru/article/25-05-2009/141200_uroven_bezrabotitsy_v_rossii_prevysil_psixologiche.html
. http://www.gzt.ru/topnews/economics/-bezrabotnyh-stanovitsya-boljshe-/286332.html
. Высшая школа
экономики http://www.hse.ru/news/6617830.html
. Журнал"Эксперт-Online"
http://www.expert.ru/articles/2010/02/18/problema_2010/
. Федерация
независимых профсоюзов России http://www.fnpr.org.ru/print/241/5703.html