Влияние перекисных условий на показатели функциональной активности нейтрофилов перифирической крови человека

  • Вид работы:
    Дипломная (ВКР)
  • Предмет:
    Медицина, физкультура, здравоохранение
  • Язык:
    Русский
    ,
    Формат файла:
    MS Word
    4 Мб
  • Опубликовано:
    2012-04-24
Вы можете узнать стоимость помощи в написании студенческой работы.
Помощь в написании работы, которую точно примут!

Влияние перекисных условий на показатели функциональной активности нейтрофилов перифирической крови человека

Обозначения и сокращения

CD - кластер дифференцировки

FcR - Fc-рецептор

ICAM - intracellular cell adhesion molecule (молекула клеточной адгезии)

Ig - иммуноглобулин

LAMP1,2 - Lysosomal-associated membrane protein 1,2 - гликопротеин лизосомальной мембраныkB - нуклеарный фактор-kB

PАМР - патоген-ассоциированные молекулярные паттерны

TLR - Toll подобные рецепторы

АФК - активные формы кислорода

АТФ - аденозинтрифосфат

ДНК - дезоксирибонуклеиновая кислота

ИЛ - интерлейкин

ЛПС - липополисахарид

МСЛ - маннозо(маннан)связывающий лектин

НАДФ - никотинамидадениндинуклеотидфосфат

НСТ - нитросиний тетразолий

ПНЖК - полиненасыщенные жирные кислоты

ПОЛ - перекисное окисление липидов

РНК - рибонуклеиновая кислота

ФНО - фактор некроза опухолей

ФП - фагоцитарный показатель

ФЧ - фагоцитарное число

цАМФ - циклический аденозинмонофосфат

Введение

Представления о повреждающем действии свободнорадикальных или радикалообразующих продуктов одноэлектронного восстановления кислорода в биологических системах являются доминирующими в течение последних трех десятилетий. Основное внимание привлекают такие формы активированного кислорода, как супероксидный радикал, перекись водорода Н2О2, синглетный кислород О., гидроксильный радикал ОН., а также липидные радикалы, образующиеся в жидкой фазе при распаде гидроперекисей липидов ROOH. [1,2]

В многочисленных исследованиях было убедительно показано, что окислительные деструктивные процессы, вызываемые повышенными уровнями активированных форм кислорода в конденсированной водной фазе, а также липидными радикалами и гидроперекисями, могут лежать в основе клеточной патологии и сопряженных с нею заболеваний. В целом, результаты этих исследований можно рассматривать как развитие проблемы свободнорадикальной патологии и перекисного окисления в биологических структурах. [3] С этих позиций в настоящее время интерпретируются механизмы сердечно-сосудистой патологии и атеросклероза [4], дегенеративных заболеваний нервной системы [5], аутоиммунных и хронических воспалительных заболеваний [6], старения, злокачественного роста [7] и др.

Не менее важными, но значительно менее изученными, являются представления о биологической роли кислородных радикалов и процессов перекисного окисления в условиях физиологической нормы. Между тем, накапливается все больше фактов, указывающих на важную роль этих активных продуктов и процессов в нормальной жизнедеятельности.

Регуляторное участие активированных форм кислорода в жизнедеятельности клетки в норме установлено в процессах клеточного деления [8], экспрессии генов и апоптоза [9], a также в реакциях неферментативной регуляции окислительного стресса, обновлении состава и изменении функциональных свойств биомембран, участии в энергетических процессах, синтезе биологически активных веществ.

Основным механизмом образования эндогенной перекиси водорода в организме является реакция дисмутации, осуществляемая путем восстановления супероксиддисмутазами супероксидного анионрадикала. Источниками супероксидных анионрадикалов являются различные оксидазные системы, среди которых особое место занимает НАДФН-оксидазная реакция, лежащая в основе «респираторного» взрыва, реализующегося в процессе фагоцитарной реакции. Генерация активных форм кислорода является одной из основных цитотоксических функций нейтрофилов. Известно, что недостаточная продукция перекиси водорода нейтрофилами в процессе фагоцитоза при хроническом гранулематозе влечет за собой нарушение противовоспалительных механизмов.[10]

По данным литературы перекись водорода эндогенного происхождения стимулирует накопление в клетке цAMФ и цГМФ, вызывает накопление ионов Са2+ в цитозоле и активацию основных протеинкиназ сигнальных путей и ингибирование протеинфосфатаз; что приводит к активации транскрипционного фактора NF-kB, а это, в свою очередь, вызывает секрецию провоспалительных цитокинов и индуцирует иммунный ответ, а также способствует синтезу и секреции белков острой фазы.

Очевидно, что роль эндогенной перекиси водорода в иммунной системе шире, чем предполагалось ранее и имеет значение не только для процессов фагоцитоза, но для запуска других иммунных процессов. [11, 12]. Известно, что активация нейтрофилов периферической крови происходит на фоне "праймированного" состояния. Праймирующий стимул вызывает метаболическую перестройку, не приводящую к активации клетки, следствием его влияния является усиление ответа на последующую активацию. Представление о механизме праймирования фагоцитарной реакции и респираторного взрыва нейтрофилов в настоящее время находится в стадии формирования. Предполагается, что праймирование реализуется в результате перекрестного взаимодействии сигнальных путей, задействованных в первичной сборке и активации NADPH оксидазы. [10, 11]

Ввиду сложности регуляции функций нейтрофилов возникает большой интерес к выяснению причин возникновения патологических процессов, связанных с дисфункцией процессов дегрануляции и усиленной генерации АФК полиморфноядерными гранулоцитами.

Изучение эффектов физиологических медиаторов на функционирование нейтрофилов, в частности, перекиси водорода эндогенного или экзогенного происхождения представляется актуальным для выработки в дальнейшем целенаправленного подхода к терапевтической коррекции нарушений их функциональной активности.

Целью данной работы было изучение влияния окислительных уловий на функциональную активность полиморфноядерных гранулоцитов периферической крови человека in vitro.

Для реализации данной цели были поставлены следующие задачи:

. Изучить влияние моделированных окислительных условий на динамику изменения поглотительной способности и фагоцитарной активности нейтрофилов на различных стадиях протекания фагоцитарной реакции.

. Изучить влияние моделированных окислительных условий на кинетику ферментативных реакций внутриклеточного кислород-зависимого киллинга нейтрофилов в тестах спонтанного и индуцированного восстановления нитросинего тетразолия.

. Изучить влияние моделированных окислительных условий на ферментативную активность миелопероксидазы нейтрофилов в тестах спонтанного и индуцированного окисления ортофенилендиамина.

. Изучить влияние моделированных окислительных условий на способность нейтрофилов к спонтанной и индуцированной адгезии.

1. Обзор литературы

 

.1 Молекулярные механизмы и физиологическая роль фагоцитарной реакции, осуществляемой нейтрофилами


Фагоцитоз - явление поглощения и переваривания нейтрофилами <#"556592.files/image001.gif">

Рисунок 1 - Механизм фагоцитарного процесса

Первая стадия - хемотаксис (рисунок 2). В качестве хемоаттрактантов выступают продукты, выделяемые микроорганизмами и активированными клетками в очаге воспаления (цитокины, лейкотриен В4, гистамин), а также продукты расщепления компонентов комплемента (С3а, С5а), протеолитические фрагменты факторов свертывания крови и фибринолиза (тромбин, фибрин), нейропептиды, фрагменты иммуноглобулинов и др. Однако, "профессиональными" хемотаксинами служат хемокины. Основным хемокином, управляющим миграцией нейтрофильных лейкоцитов, служит интерлейкин-8 (ИЛ-8). В очаге воспаления основными продуцентами ИЛ-8 являются макрофаги и клетки эндотелия. Сигналом для вывода циркулирующих лейкоцитов из кровеносного русла в ткань при воспалении является их взаимодействие с ИЛ-8, экспонированным на поверхности микроваскулярного эндотелия. Хемотаксис инициируется низкой концентрацией (10-8 - 10-10 М) веществ, в то время как их большие концентрации (10-6 10-7 М) вызывают прекращение хемотаксиса и активацию секреторных процессов, сопровождающуюся переходящим повышением в 10-50 раз содержания внутриклеточного Са2+.

Рисунок 2 - Хемотаксис нейтрофилов

Ранее других клеток в очаг воспаления мигрируют нейтрофилы, существенно позже поступают макрофаги. [15]

Адгезия обусловлена наличием на поверхности фагоцитов рецепторов для молекул, представленных на поверхности объекта (собственных или связавшихся с ним). При фагоцитозе бактерий или старых клеток организма хозяина происходит распознавание концевых углеводных групп - глюкозы, галактозы, фукозы, маннозы и др. Распознавание осуществляется лектиновыми рецепторами соответствующей специфичности, в первую очередь маннозосвязывающим белком и селектинами (рисунок 3).

Рисунок 3 - Пространственная организация лектиновых рецепторов

Специфическое распознавание подлежащего фагоцитозу объекта осуществляется при помощи рецепторов к опсонинам. Важная роль принадлежит Fc- рецепторам. Fc-рецепторы 1, 2А, 3А типов обеспечивают положительную регуляцию фагоцитоза. Fc- рецептор 2В типа обеспечивает негативную регуляцию фагоцитоза. Fc-рецептор 3В типа способен запускать Са- сигнальный путь и вызывать полимеризацию актина, но до конца его роль не изучена. Кроме этого активирующую функцию выполняют рецепторы к компонентам комплемента (CR1, 3, 4). [16]

Нейтрофил способен распознавать бактерии без предварительной их опсонизации, через TLR (Toll-Like Receptors) (рисунок 4).

Рисунок 4 - Пространственная организация Toll-like рецепторов

Интегрины нейтрофила Mac-1 (CD11b/CD18) и p150 (CD11c/CD18) также участвуют в прямом распознавании и связывании ряда микроорганизмов (рисунок 5).

Рисунок 5 - Рецепторы клеточной адгезии

Следующий этап - активация мембраны и образование фагосомы.

На этой стадии осуществляется подготовка объекта к погружению. Происходит активация протеинкиназы С, выход ионов кальция из внутриклеточных депо. Большое значение играют переходы золь-гель в системе клеточных коллоидов и актино-миозиновые перестройки. Вначале в месте контакта возникает участок плотного геля. Далее из-за увеличения концентрации Са2+ гель под влиянием гельзолина превращается в более жидкий золь. Это обуславливает «проваливание» объекта внутрь фагоцита.

Происходит обволакивание объекта вследствие изменения состояния цитоскелета и физико-химической структуры цитоплазмы. Низкомолекулярный G-актин превращается в полимеризованный F-актин в ходе последовательной активации ферментативного каскада. F-актин входит в состав цитофиламентов, которыми богата псевдоподия, формируемая фагоцитом при контакте с объектом. Псевдоподия вытягивается в направлении объекта и прилипает к нему. Вследствие сокращения актиновых волокон и изменения вязкости цитоплазмы объект полностью охватывается мембраной фагоцита, которая впоследствие замыканется по механизму «молнии». [18]

В цитозоле фагосомы сливаются с первичными лизосомами, образуя фаголизосомы. Первичные лизосомы, образованные аппаратом Гольджи, содержат ряд гидролаз, способных разрушать органические молекулы в кислой среде: протеиназы, фосфатазы, эстеразы, ДНК-азы, РНК-азы. Низкое значение рН внутри фагосом оказывает бактерицидное действие и создаёт оптимальную среду для активации лизосомальных гидролаз. В результате действия этих ферментов разрушаются полимерные молекулы и образуются аминокислоты, моносахариды, нуклеотиды, которые поступают в цитозоль и могут использоваться клеткой. Большая часть мембранных компонентов и непереваренные субстраты локализуются в остаточных тельцах, которые путём экзоцитоза возвращаются на поверхность плазматической мембраны фагоцитов, при этом значительная часть мембранных компонентов может утилизироваться и в самой мембране. [16]

Выделяют 2 основных механизма киллинга: кислородозависимый и кислородонезависимый. [10]

Кислородзависимый механизм. Важным компонентом является фермент НАДФH+-оксидаза. НАДФH+-оксидаза является частью биохимического пути, регулирующего поток электронов к различным субстратам. Фермент состоит из 5 белковых субъединиц, образующих комплекс НАДФH+-оксидазы и регуляторного белка Rac-2. В состав НАДФ-оксидазного комплекса входят: гликопротеины gp91 (91 кД, ген gp91phox) и p22 (22 кД, ген p22phox) - мембранные компоненты комплекса; цитоплазматические компоненты - белки p47 (47 кД, ген p47phox), p67 (67 кД, ген p67phox) и p40 (рисунок 6).

Сигнальные события на клеточной поверхности приводят к связыванию ГТФ с Rac-2 в цитоплазме. Rac-2 затем связывает и стабилизирует цитоплазматический белок p67, который фосфорилируется протеинкиназой C. Фосфорилирование p47 ведёт к его взаимодействию с цитоскелетом и транслокации в мембрану. [14]

В активированном нейтрофиле мембранные белки gp91phox и p22phox взаимодействуют с цитоплазматическими компонентами комплекса - 47 кД (p47phox) и 67 кД (p67phox). Глюкозо-6-фосфатдегидрогеназа (G6PD) конвертирует глюкозо-6-фосфат в 6-фосфоглюконолактон, генерируя НАДФH и H+ из НАДФ+.

Рисунок 6 - Функционирование НАДФ оксидазного комплекса

Ферментный комплекс мембраны фагосом - NADPH-оксидаза восстанавливает О2, образуя супероксидный анион:

2 О2 + NADPH → 2 O2- + NADP+ + H+

Супероксидный анион спонтанно или при участии фермента супероксиддисмутазы превращается в пероксид водорода:

О2- + О2- + 2Н+ → Н2О2 + О2

Второй кислородзависимый механизм разрушения микроорганизмов осуществляется при участии миелопероксидазы, которая катализирует развитие токсического воздействия на различные микроорганизмы; перекиси водорода; супероксидного аниона; синглетного кислорода и гидроксильных радикалов, атомарного хлора (Сl). [39] Под действием миелопероксидазы, проникающей в фагосому при её слиянии с лизосомой, из пероксидов в присутствии галогенов (йодидов и хлоридов) образуются дополнительные токсичные окислители - гипойодид и гипохлорид.


В целом кислородзависимый механизм представлен на рисунке 7.

Рисунок 7 - Кислородзависимый механизм киллинга при фагоцитозе

Резкое увеличение потребления кислорода фагоцитирующей клеткой называется "респираторным взрывом". Активные формы кислорода инициируют свободнорадикальные реакции, разрушающие липиды клеточных мембран поглощённых фагоцитами бактерий. Некоторые устойчивые микроорганизмы остаются жизнеспособными внутри фагоцитов, и их антигены вызывают в месте скопления фагоцитов клеточный иммунный ответ и формирование гранулём. [14]

Бактерицидное действие в нейтрофилах оказывает и оксид азота (NO). Оксид азота в этих клетках образуется под действием фермента NO- синтазы из аргинина (рисунок 8). [17]

Супероксид-анион образует с NO соединения, обладающие большими бактерицидными свойствами, чем сам NO:

NO + О2- → ONOO- → ОН* + NO2

Пероксинитрил (ONOO-), оксид азота, диоксид азота, радикал гидроксила вызывают окислительное повреждение белков, нуклеиновых кислот и липидов бактериальных клеток. Оксид азота может непосредственно взаимодействовать с железосерными белками ЦПЭ, ингибируя дыхание и синтез АТФ в бактериях. При взаимодействии NO с О2 образуются нитриты, которые превращаются в нитраты, также обладающие токсическим действием.

Рисунок 8 - Работа NO- синтазы

Вспышка метаболической активности нейтрофила заканчивается его гибелью.

1.2 Активные формы кислорода: физиологические и биологические функции


В настоящее время известно, что в норме АМК (перекись водорода, гипохлорит ион, кислородные радикалы - супероксидный и гидроксильный) играют важную роль во многих жизненно важных процессах в организме. Влияние АМК проявляется в обновлении состава и обеспечении функциональных свойств биомембран, участии в энергетических процессах, клеточном делении, синтезе биологически активных веществ.

Перекись водорода ( Hydrogenii peroxidum) - неорганическое химическое соединение, молекулярный вес 34, 01. Молекула перекиси водорода не представляет собой линейную последовательность атомов водорода и кислорода. Связи между атомами водорода и кислорода расположены под прямым углом к связи между атомами кислорода, причем в нескольких вариантах (рисунок 9). [13]

Связь O-O непрочна, поэтому H2O2 - неустойчивое соединение, легко разлагается. Пероксид водорода проявляет слабые кислотные <#"556592.files/image009.gif">

Рисунок 9 - Пространственное строение молекулы перекиси водорода

Пероксид водорода обладает окислительными <#"556592.files/image011.gif">

Рисунок 10 - Образование АФК в организме

Кроме этого в процессе фагоцитоза супероксид-радикалы подвергаются действию супероксиддисмутазы, вследствие чего образуется перекись водорода. В норме фагоциты используют перекись водорода для синтеза гипохлорита под влиянием миелопероксидазы. Гипохлорит разрушает стенку бактериальной клетки и тем самым убивает бактерии. Перекись водорода диффундирует в клетки, но там разрушается в результате активности ферментов каталазы и глутатионпероксидазы . [24, 29]

В присутствии ионов двухвалентного железа перекись водорода разлагается с образованием гидроксильного радикала. Радикал гидроксила чрезвычайно активен химически и разрушает почти любую встретившуюся ему молекулу. Действуя на SH-группы, гистидиновые и другие аминокислотные остатки белков, он вызывает денатурацию последних и инактивирует ферменты. В нуклеиновых кислотах гидроксил радикал разрушает углеводные мостики между нуклеотидами и, таким образом, разрывает цепи ДНК и РНК, в результате чего происходят мутации и гибель клеток. Внедряясь в липидный слой клеточных мембран, радикал гидроксила запускает (инициирует) реакции цепного окисления липидов, что приводит к повреждению мембран, нарушению их функций и гибели клеток. [24, 31]

Перекись водорода образуется в реакциях с участием флавожелезопротеидов, медьсодержащих оксидаз, ферментов, содержащих молибден (ксантиндегидрогеназа, ксантиноксидаза, альдегидоксидаза). К дегидрогеназам, которые с помощью флавопротеидов переносят водород на молекулярный кислород с образованием H2O2, относятся моноамино-, диамино, глицин-, гликольоксидазы. Действие ферментов группы монооксигеназ (гидроксилаз), в частности флавопротеидных, включает последовательные стадии, в которых восстановитель переводит флавин в дигидроформу, восстанавливающую O2 до H2O2, затем фермент-флавин-пероксидный комплекс гидроксилирует субстрат. Образование H2O2 происходит при самопроизвольном окислении гемоглобина, ферредоксинов, восстановленных цитохромом b5 гидрохинонов, тетрагидроптеридинов, адреналина.

Ферменты, участвующие в метаболизме H2O2, в значительном количестве содержатся в таких клеточных органеллах, как пероксисомы.

В них H2O2 образует простые самоокисляющиеся флавопротеиды - ферменты уратоксидаза, оксидаза D-аминокислот, оксидаза a-оксикислот, а каталаза разрушает ее. Каталаза использует H2O2, образованную другими ферментами в пероксисоме, для окисления множества субстратов - например, фенолов, мурвьиной кислоты, формальдегида и спирта - с помощью окислительной реакции:

O2 + R.H2 --> R.+ 2H2O

 

.2.2 Влияние АФК на мембраны

В настоящее время полагают, что перекись водорода в физиологических (микромолярных) концентрациях оказывает на клетки стимулирующее действие. Влияние перекиси проявляется в обновлении состава и обеспечении функциональных свойств биомембран, участии в энергетических процессах, клеточном делении, синтезе биологически активных веществ.

Свободные радикалы, в том числе и перекись водорода могут инициировать перекисное окисление полиненасыщенных жирных кислот (ПНЖК), играющее существенную роль во многих реакциях обмена, формировании структуры клетки и, в частности, мембран. Возникающие перекиси липидов лучше растворяются в воде, чем ПНЖК, из которых они образуются, и поэтому легче вымываются из мембран, способствуя самообновлению мембранных структур. Это создает благоприятные условия для функционирования ферментных систем в мембранах. Перекиси липидов необходимы для биосинтеза эйкозаноидов (простагландинов, простациклинов, тромбоксанов, лейкотриенов), прогестерона. Они участвуют в гидроксилировании холестерина (в частности, при образовании кортикостероидов). [33, 37,38]

Однако перекись водорода в избыточном количестве может оказывать негативное воздействие. Одной из важных мишеней повреждающего действия Н2О2 на микробную клетку является ее плазматическая мембрана. Происходит избыточная активация процессов перекисного окисления липидов (ПОЛ) (рисунок 11).

Рисунок 11 - Перекисное окисление липидов

Наиболее чувствительны к действию этих форм кислорода полиеновые жирные кислоты, которые в основном локализованы в фосфолипидах мембран. Легче всего свободные радикалы О2 отрывают электрон от СН2-группы, находящейся между двумя двойными связями. Образуются свободные радикалы жирной кислоты. Затем в результате развития цепной реакции образуются перекиси липидов. Конечным продуктом деградации жирных кислот при ПОЛ является малоновый диальдегид. Это химически очень активное вещество, которое своими альдегидными группами способно взаимодействовать с аминогруппами белков, вызывая их необратимую денатурацию.

Перекисное окисление липидов сопровождается окислением тиоловых (сульфгидрильных) групп мембранных белков. Это может приводить в результате к неферментативной реакции SH-групп со свободными радикалами липидов. При этом образуются сульфгидрильные радикалы, которые затем взаимодействуют с образованием дисульфидов либо окисляются кислородом с образованием производных сульфоновой кислоты.

Второй результат перекисного окисления липидов связан с тем, что продукты пероксидации обладают способностью непосредственно увеличивать ионную проницаемость липидного бислоя. Так, показано, что продукты перекисного окисления липидов делают липидную фазу мембран проницаемой для ионов водорода и кальция. Это приводит к потере митохондриями способности осуществлять синтез АТФ, и клетка оказывается в условиях энергетического голода. Одновременно в цитоплазму выходят ионы кальция, которые повреждают клеточные структуры.

Третий результат пероксидации - это уменьшение стабильности липидного слоя, что может привести к электрическому пробою мембраны собственным мембранным потенциалом, то есть под действием разности электрических потенциалов, существующей на мембранах живой клетки. Электрический пробой приводит к полной потере мембраной ее барьерных функций. [41]

 

.2.3 Влияние АФК на белковые молекулы

Окислительной модификации также подвергаются белковые молекулы. Активные формы кислорода атакуют белки по всей длине полипептидной цепи, нарушая первичную, вторичную, третичную структуры. Это приводит к агрегации и фрагментации белковой молекулы. Наиболее распространенный тип повреждения белка - образование карбонильных групп при окислении аминокислот: лизина,аргинина и пролина. Карбоксильные группы белков под действием активных форм кислорода превращаются в карбонильные группы, которые могут взаимодействовать с аминогруппами и с углеводами, образуя Шиффовы основания, приводящие к образованию поперечных сшивок между белковыми молекулами (продукты Амадори) и нарушению их активности. [34]

Одно из проявлений сшивок между белками - потеря тканями эластичности. Это возникает при ковалентном "сетеобразовании", которое происходит при формировании поперечных ковалентных связей между коллагеновыми волокнами (рисунок 12). [52, 55]

Что касается фрагментации белков, то этот процесс инициируется гидроксильным радикалом преимущественно путем отрыва водорода у a-углеродного атома полипептидного остова молекулы с локализацией у этого атома свободной валентности. Причем, a-углеродный атом в составе полипептидной цепи (но не у свободных аминокислот) является одним из главных участков молекулы для атаки гидроксильным радикалом.

Рисунок 12 - Схема повреждения белка АФК

Вторым обязательным условием для осуществления свободнорадикального расщепления полипептидной цепи является наличие в среде кислорода. Особо подвержены окислительному разложению пептидные ацил-пролиновые связи, чувствительные, по-видимому, даже к окислительной атаке О2. .Обусловлено это более легким окислением третичной амидной связи, чем вторичной, которую формируют другие аминокислотные остатки. [46, 49]

 

.2.4 Влияние АФК на механизмы проведения сигнала в клетку

В последнее время обнаружены новые функции перекиси водорода. Они стимулируют накопление в клетке вторых посредников - циклонуклеотидов: цAMФ и цГМФ. АФК вызывают накопление ионов Са2 + в цитозоле и стимуляцию фосфорилирования белков в результате активации протеинкиназ (особенно протеинкиназы С) и протеинтирозинкиназ и ингибирования протеинфосфатаз; активируют белок Ras, играющий важную роль в передаче сигналов в ядро клетки. Активно исследуется, не могут ли АФК сами прямо выполнять функции вторых посредников гормонов. В пользу этого свидетельствуют накопление АФК при воздействии факторов роста клеток, цитокинов, инсулина, паратирина, витамина Д3 , модификация эффектов этих гормонов под влиянием АФК и их снижение или блокада антиоксидантами. АФК и липидные ROOH в низких субтоксических концентрациях индуцируют такие процессы, как экспрессия генов (в том числе генов раннего ответа и других протоонкогенов) и деление клеток. Н2О2, накапливающаяся при инвазии вирусов и бактерий, активирует транскрипционный фактор NF-kB, что приводит к индукции ряда цитокинов и иммунных рецепторов и в результате к иммунным и воспалительным ответам, а также к индукции белков острой фазы и адгезии (последние способствуют выходу лейкоцитов в ткани, что важно при воспалении). Очевидно, роль АФК в защите организма шире, чем предполагалось ранее: она включает не только фагоцитоз опасных клеток, но и запуск других воспалительных реакций и иммунных процессов. [52,56]

Сейчас уже признана способность перекиси активировать транскрипцию генов, участвующих в индукции роста, дифференцировке и развитии клеток, Считается, что перекись водорода может быть сигнальной молекулой, осуществляющей передачу информации от мембранных рецепторов на соответствующие цитоплазматические эффекторы или транскрипционные факторы. Установлено, что перекись водорода необходима для активирования ядерного фактора, контролирующего синтез оксида азота, одного из самых мощных микробицидных факторов фагоцитов.

Некоторые авторы полагают, что механизм действия перекиси водорода на организм связан с тем, что при контакте с тканями под влиянием содержащегося в них фермента каталазы она быстро разлагается с выделением атомарного кислорода, окисляющего различные органические компоненты микробных клеток. Атомарный кислород, как раз является одним из самых сильных антиоксидантов, устраняющих кислородное голодание тканей, но и, что не менее важно, уничтожает любую патогенную микрофлору (вирусы, грибы, бактерии и т. п.), а также излишних свободных радикалов.

 

.2.5 Использование АФК в медицине

Перекись водорода широко используется в различных отраслях (промышленность, косметология), для нас более важно ее использование в медицине.

Перекись водорода доступна в различной процентной концентрации, однако в медицинских целях используется в основном 3%. [25]

Различны пути введения перекиси водорода в организм: от наружного до интраназального, перорального, ректального, ингаляционного, внутривенного и даже внутриартериального.

Перекись водорода используется как антисептическое, гемостатическое, дезинфицирующее, дезодорирующее средство. [22]

Применяют главным образом наружно в форме 1 - 3%-ного водного раствора перекиси водорода для обработки гнойных ран, язв, свищей и полостей, при воспалениях слизистых оболочек рта, глаз, глотки и среднего уха. Растворы перекиси водорода, нанесенные на слизистые оболочки или на поверхность ран, действуют вяжуще и кровоостанавливающе.

Давно и прочно зарекомендовало себя использование перекиси водорода при заболеваниях полости рта и десен.

Для полоскания полости рта применяется 3-процентный раствор перекиси водорода или (как вариант) прикладывание к больным местам тампонов, смоченных в перекиси.[40]

При заболеваниях десен, а также при пародонтозе рекомендуется втирать в больные десны смесь из пищевой соды с 3-процентной перекисью водорода, смешанных до консистенции пасты.

Перекись также помогает при отбеливании зубов и устранении неприятного запаха изо рта.

При ангинах 3% перекись водорода используется для полоскания горла. Сочетание перекиси с раствором марганца хорошо помогает при ринитах и гайморите - но в данном случае необходимо использовать 1-процентный раствор. Вводить растворы в полость носа рекомендуется при помощи небольшого шприца либо маленькой спринцовкой.

При воспалении среднего уха применяется 0,5-3-процентная перекись для удаления гноя и обогащения тканей кислородом. При острых отитах закапывание не рекомендуется - препарат лучше вводить при помощи марлевых тампонов. [29]

При незначительных капиллярных кровотечениях в случае порезов или ссадин на коже также используется перекись. За счет пенообразования растворы перекиси водорода оказывают местное кровоостанавливающее действие при капиллярных кровотечениях, обусловленное тем, что пена ускоряет переход фибриногена в фибрин, что и приводит к свертыванию крови на раневых поверхностях, т.е. как бы цементируя их, тем самым останавливая кровотечение.

При грибковом поражении или бородавках используется 6 - 15-процентный раствор перекиси водорода. В компрессах такая концентрация недопустима - могут появиться ожоги; применяют 0,5-1-процентный раствор. Компрессы с перекисью водорода применяются при артритах и травматических болях в суставах. Накладывается на область больного сустава.

При опухолях, находящихся близко к поверхности кожи, даже с признаками изъязвления применяется перекись водорода более высокой (до 15%) концентрации. Помещенные на опухоль компрессы как бы «выжигают» ее за счет выделения атомарного кислорода. [33, 42]

Используется перекись водорода в гинекологии для лечения инфекционно-воспалительных заболеваний.

 

2. Материалы и методы исследования


.1 Использованные материалы

В работе были использованы следующие реактивы: хлорид натрия NaCl («Пять океанов», г. Минск, хч), хлорид калия KCl («Пять океанов», г.Минск, хч), гидрофосфат натрия NaH2PO4 («Пять океанов», г.Минск, хч), глюкоза, перекись водорода Н2О2 («Пять океанов», г.Минск, хч), фиколл-верографин («Sigma», Германия, хч), краситель Романовского-Гимзы («МиниМед», г.Брянск), нитросиний тетразолий, уксусная кислота («Лаверна», г. Москва, хч), диметилсульфоксид («НеваРеактив», г. Санкт-Питербург, хч), среда Хенкса с феноловым красным. В качестве основного буферного раствора использовали 10мМ калий-натрий фосфатный буфер, содержащий 140мМ NaCl, 10мМ KCl, 10мМ NaH2PO4, 5мМ глюкозы, рН 7,3.

Непосредственно перед экспериментами готовили необходимые растворы Н2О2 в концентрациях: 0,005М; 0,01М; 0,05М. В экспериментах использовалась суспензии клеток Staphylococcus aureus, предварительно опсонированных компонентами объединенной донорской сыворотки.

.2 Получение полиморфноядерных гранулоцитов из периферической крови

В экспериментах была использована кровь двадцати здоровых доноров.

Для получения нейтрофилов к цельной венозной крови добавляли равный объем рабочего буфера, а затем наслаивали на градиент фиколл-верографина (ρ=1,085/1,18 ) в соотношении объемов 2:1, центрифугировали 30 минут при 2000 об/мин, после чего отбирали образовавшийся слой лейкоцитов. К выделенной клеточной суспензии добавляли 10мМ К,Na-фосфатный буфер. Концентрацию лейкоцитов определяли путем подсчета в камере Горяева. Количество жизнеспособных клеток с использованием витального красителя.

.3 Инкубация полиморфноядерных гранулоцитов с Н2О2

Непосредственно перед экспериментом готовили разведения Н2О2 таким образом, чтобы конечные концентрации в экспериментальных пробах составляли: 0,005М, 0,01М, 0,05М. Выделенные нейтрофилы подвергались инкубации с соответствующими концентрациями Н2О2 в конечном объеме 200 мкл в течение 20 минут при 37˚С. Клетки осаждали центрифугированием в течение 20 минут при 2000 об/мин, надосадочную жидкость удаляли. Затем клетки промывали дважды 10мМ К,Na-фосфатным буфером для удаления перекиси из среды инкубации.

.4 Определение фагоцитарной активности полиморфноядерных гранулоцитов

Суспензию интактных или обработанных различными концентрациями Н2О2 нейтрофилов смешивали в равных соотношениях с суспензией предварительно опсонизированной пуловой донорской сывороткой культурой St. aureus и инкубировали при 37˚С. Через 30, 60, 90, 120 и 150 минут из реакционной смести отбирали аликвоты клеточной суспензии из которых готовили мазки с последующим окрашиванием по методу Романовского-Гимзы. Определение фагоцитарного показателя и фагоцитарного числа проводили с использованием стандартной методики при условии подсчета не менее 100 лейкоцитарных клеток.

мембрана нейтрофил кровь окислительный

2.5 Исследование активности окислительных ферментов полиморфноядерных гранулоцитов в тесте восстановления нитросинего тетразолия

Для определения активности окислительных ферментов использовали тест спонтанного и индуцированного восстановления нитросинего тетразолия.

При проведении индуцированного теста инкубированные с различными концентрациями Н2О2 и интактные нейтрофилы вносили в пробирки для микроанализа в объеме 200 мкл, затем добавляли свежеприготовленный раствор НСТ реактива (0,8 %) в таком же объеме и 200 мкл суточной культуры St. aureus и инкубировали при температуре + 37˚С. Через 30, 60, 90, 120 и 150 минут из реакционной смести отбирали аликвоты клеточной суспензии (100 мкл) и вносили в пробирки с 500 мкл ДМСО. Пробы инкубировали при + 37˚С в течение 60 минут, затем центрифугировали 15 мин при 2000 об/мин. Результаты оценивались спектрофотометрически при длине волны 640 нм. в объеме 200 мкл.

2.6. Определение активности миелопероксидазы полиморфноядерных гранулоцитов

Для определения активности миелопероксидазы нейтрофилов использовали тест спонтанного и индуцированного окисления ортофенилендиамина.

При проведении спонтанного теста инкубированные с различными концентрациями Н2О2 и интактные нейтрофилы вносили в пробирки для микроанализа в объеме 200 мкл и 200 мкл рабочего буфера и инкубировали при температуре + 37˚С. Через 30, 60, 90, 120 и 150 минут из реакционной смести отбирали аликвоты клеточной суспензии (100 мкл) и вносили в пробирки с 500 мкл субстратной смеси состоящей из ортофенилендиамина (0,04%) и 0,002% перекиси водорода на фосфатно-цитратном буфере, pH=5,0. Через 30 мин реакцию останавливали добавлением 200 мкл 10 % серной кислоты, затем центрифугировали 15 мин при 2000 об/мин. Результаты оценивались спектрофотометрически при длине волны 492 нм.

При проведении индуцированного теста инкубированные с различными концентрациями Н2О2 и интактные нейтрофилы вносили в пробирки для микроанализа в объеме 200 мкл и 200 мкл 200 мкл суточной культуры St. aureus и инкубировали при температуре + 37˚С. Через 30, 60, 90, 120 и 150 минут из реакционной смести отбирали аликвоты клеточной суспензии (100 мкл) и вносили в пробирки с 500 мкл субстратной смеси состоящей из ортофенилендиамина (0,04%) и 0,002% перекиси водорода на фосфатно-цитратном буфере, pH=5,0. Через 30 мин реакцию останавливали добавлением 200 мкл 10 % серной кислоты., затем центрифугировали 15 мин при 2000 об/мин. Результаты оценивались спектрофотометрически при длине волны 492 нм.

2.7 Оценка изменения динамического состояния мембраны полиморфноядерных гранулоцитов

При проведении индуцированного теста инкубированные с различными концентрациями H2O2 и интактные нейтрофилы вносили в пробирки для микроанализа в объеме 200 мкл и 200 мкл суточной культуры St. aureus и инкубировали при температуре + 37˚С. Через 30, 60, 90, 120 минут из реакционной смести отбирали аликвоты клеточной суспензии (100 мкл) и помещали в лунки плоскодонного 96-луночного планшета, инкубировали в течение 20 минут при 37 ˚С, трижды промывали рабочим буфером. В качестве контроля использовали пробу с суспензией культуры St. aureus, которую проводили через все стадии анализа. Клетки фиксировали этанолом, вносили в каждую лунку по 200 мкл красителя Романовского-Гимзы, икубировали при комнатной температуре в течение 20 минут, затем краситель удаляли, а планшет трижды промывали. Для экстракции красителя использовали 200 мМ уксусную кислоту. Учет реакции проводили спектрофотометрически при длине волны 650 нм.

.8 Статистическая обработка результатов

Статистическая обработка полученных экспериментальных данных проводилась с использованием пакета программ Statistica 6.0. Оценка достоверности полученных результатов, не подчиняющихся закону нормального распределения, проводилась с использованием анализа ANOVA по Фридману и критерия Вилкоксона для зависимых групп. Различия считали достоверными при уровне значимости 0,05. Полученные данные представлены в виде медианы и 25-75 квартилей.

3. Результаты и обсуждение

 

.1 Влияние окислительных условий на динамику фагоцитарной реакции нейтрофилов


В экспериментах были использованы полиморфноядерные гранулоциты периферической крови двадцати здоровых доноров.

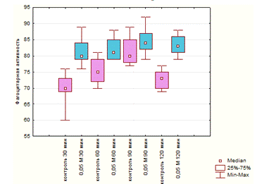
Для оценки динамики изменения фагоцитарной активности интактных и предварительно инкубированных с Н2О2 нейтрофилов была использована модифицированная нами методика постановки реакции фагоцитоза с использованием культуры St. aureus с последовательным отбором проб через 30, 60, 90, 120 мин с начала инкубации. Результаты использовались для оценки основных функциональных параметров фагоцитарной реакции: фагоцитарного показателя (ФП) и фагоцитарного числа (ФЧ).

Как видно из представленных результатов (рисунок 14), в контроле количество клеток, вступающих в фагоцитоз, достигает максимума 78 % (77;80) после 90 минут инкубации с последующим плавным снижением этого показателя до 72% (71;77) к 120 мин.

Таким образом, 90 минут - это время, необходимое для функциональной активации интактных клеток и перехода их в стадию активного поглощения микроорганизмов.

Рисунок 14 - Изменение фагоцитарной активности интактных и инкубированных в окислительных условиях нейтрофилов (p<0,05)

У нейтрофилов, предварительно инкубированных с 0,005 и 0,01 М Н2О2, наблюдается сдвиг максимума фагоцитарной активности в сторону уменьшения времени, необходимого для клеточной активации до 30 мин и значение ФП в этой точке достоверно возрастает до 81% (80;83), кроме этого происходит общее увеличение показателя ФП на 10-25% по сравнению с контролем в течение всего времени инкубации.

Предварительная инкубация нейтрофилов с 0,05М перекисью водорода (рисунок 14) также приводит к увеличению их способности вступать в фагоцитоз, однако этот показатель несколько ниже аналогичного параметра нейтрофилов, обработанных 0,005 М и 0,01 М Н2О2 с максимумом на 90-й мин инкубации.

Таким образом, для Н2О2-обработанных нейтрофилов в целом наблюдается достоверное увеличение показателя фагоцитарной активности в среднем на 10-25% от значения контроля и уменьшается время, необходимое для первичной активации клеток, вступающих в фагоцитоз. Максимум активирующего эффекта наблюдается для клеток, обработанных 0,005 М и 0,01 М Н2О2 . Полученные нами данные хорошо согласуются с результатами других авторов. [42, 43]

Динамика изменения поглотительной способности нейтрофилов после воздействия перекиси водорода также имеет тенденцию к значительному возрастанию. Следует отметить, что изменение данного показателя для контрольной пробы имеет два пика - максимум поглощения на 60 мин инкубации и минимум поглощения на 90 мин, при сохраняющемся среднем значении поглощения на уровне 5 (4,7;5,3) на 30, 120 мин инкубации.

Для нейтрофилов, предварительно инкубированных с 0,005 М Н2О2, наблюдается аналогичная динамика поглотительной способности (рисунок 15), но значения данного параметра почти на единицу достоверно выше для всех контрольных точек в ходе фагоцитарной реакции (p<0,05).

Нейтрофилы, предварительно инкубированные с 0,01 М Н2О2 и 0,05 М Н2О2 также демонстрируют большую поглотительную способность по сравнению с контролем. В этом случае также наблюдается увеличение значений поглощения микроорганизмов более чем на единицу и также с максимумом на 60 мин инкубации и минимумом на 90 мин.

Рисунок 15 - Изменение поглотительной способности интактных и инкубированных в окислительных условиях нейтрофилов в ходе фагоцитарной реакции (p<0,05)

Полученные результаты по изменению поглотительной способности нейтрофилов хорошо согласуются с данными о динамике изменения фагоцитарной активности для контрольной и анализируемых популяций клеток.

Достоверность всех полученных результатов оценивалась с использованием анализа ANOVA по Фридмену и критерия Вилкоксона для зависимых групп с уровнем значимости 0,05. (приложение А1-6)

Общее увеличение количества фагоцитируемых объектов на 20-40% для 0,005 М, 0,01М и 0,05 М Н2О2-обработанных нейтрофилов является результатом активирующего воздействия предварительной инкубации клеток с перекисью водорода, которое сохраняется после снятия воздействия. Находящиеся в активированном состоянии клетки не только быстрее и в большем количестве вступают в фагоцитоз, что отражается в увеличении фагоцитарной активности, но и способны за меньшее время фагоцитировать большее количество объектов, что приводит к увеличению значений показателя поглощения. Наиболее эффективными активирующими концентрациями являются 0,005 М, 0,01 М и 0,05 М Н2О2.

У грамположительных бактерий, к которым относится использованный в эксперименте St. аureus, в состав клеточных стенок входят, кроме мукопептидов, полисахариды, тейхоевые и липотейхоевые кислоты, находящиеся в комплексе с основным компонентом клеточной стенки - муреином. К рецепторам, распознающим патоген-ассоциированные паттерны клеточной стенки грамположительных бактерий, относятся маннозные, скавенджер рецепторы, TLR - 1, 2, 4, 5, 6, 9, NOD1. Так как в экспериментах была использована суспензия St. aureus, опсонизированная объединенной донорской сывороткой, можно утверждать, что в процессы распознавания, фиксации и поглощения микроорганизма были вовлечены и рецепторы к компонентам системы комплемента и Fc-рецепторы. И анализируя полученные данные можно предположить, что активирующий эффект действия перекиси водорода также может быть связан с индукцией активированного конформационного состояния ведущих паттерн-распознающих рецепторов нейтрофилов и изменением динамического состояния наружной мембраны. Через 60 минут развития фагоцитарной реакции ведущую роль в увеличении процента фагоцитирующих клеток начинают играть рецепторы к опсонизирующим сывороточным лигандам, эффективность действия которых у Н2О2-обработаных клеток также выше, чем у интактных. Наибольший эффект предварительная инкубация с Н2О2 оказывает на активность поглощения микроорганизмов, при этом более чувствительной является стадия начала фагоцитарной реакции.

 

.2 Изменение активности ферментов «дыхательного взрыва» нейтрофилов, подвергнутых инкубации в окислительных условиях


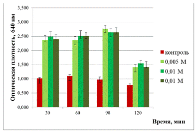
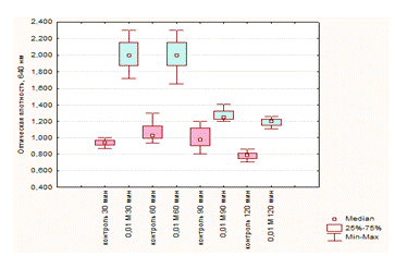
С целью изучения окислительно-восстановительной активности полиморфноядерных гранулоцитов, предварительно инкубированных с различными концентрациями перекиси водорода, использовали варианты модифицироанного нами спонтанного и индуцированного НСТ-теста в растворе с отбором проб каждые 30 мин инкубации и со спектрофотометрическим учетом результатов.

Спонтанный НСТ-тест отражает степень функциональной активации нейтрофилов in vivo в отсутствии чужеродных агентов. Поглощаемый нейтрофилами кислород восстанавливается до супероксидного радикала ферментами НАДФ-оксидазной системы, которая локализована на мембранах специфических гранул нейтрофилов. При контакте нейтрофила с чужеродным объектом и рецепторной активации клетки происходит слияние мембран специфических гранул с цитоплазматической мембраной и формируется полноценный НАДФ-оксидазный комплекс. При проведении спонтанного теста в отсутствии чужеродного объекта растворимый нитросиний тетразолий может проникать через цитоплазматическую мембрану и окисляться НАДФ-оксидазной системой специфических гранул до нерастворимого формазана, образующего гранулы в цитоплазме.

Полученные экспериментальные данные отражают различную динамику ферментативной активности НАДФ-оксидазного комплекса у интактных и Н2О2-обработаных клеток. Для интактных нейтрофилов характерно наличие подъема окислительной активности на 60 мин инкубации (рисунок 16).

Иную динамику изменения ферментативной активности окислительных ферментов имеют 0,005 М, 0,01 М, 0 05М Н2О2-обработанные нейтрофилы, максимум ферментативной активности наблюдается уже в первые 30 минут инкубации, повышенная активность сохраняется до 90 минуты, при этом активность их ферментов в 1,8-2,5 раза достоверно превосходит значения контроля.

Кроме этого следует отметить наличие только одного максимума ферментативной активности на 60 минуте с последующим плавным снижением этого параметра к 90 минуте инкубации.

Рисунок 16 - Изменение активности окислительных ферментов интактных и инкубированных в окислительных условиях нейтрофилов в спонтанном НСТ-тесте (p<0,05)

Достоверность всех полученных результатов оценивалась с использованием анализа ANOVA по Фридмену и критерия Вилкоксона для зависимых групп с уровнем значимости 0,05. (приложение А7-9)

При анализе полученных данных становится очевидно, что Н2О2-обработанные нейтрофилы, демонстрирующие в спонтанном тесте Надф-оксидазную активность в 1,8-2,5 раза превосходящую активность интактных клеток, находятся в активированном состоянии, которое было индуцировано предварительной инкубацией с перекисью водорода. Можно предположить, что действие перекиси водорода на рецепторный комплекс цитоплазматической мембраны и непосредственно на мембрану вызывает образование множественных липидных рафтов и неспецифическую активацию рецепторов, что, в свою очередь, приводит в движение специфические гранулы, в мембранах которых находятся компонентны НАДФ-оксидазного комплекса. Слияние специфических гранул с цитоплазматической мембраной приводит к образованию полноценной НАДФ-оксидазы, способной осуществлять каталитические реакции окисления НСТ с большой скоростью.

Для оценки динамики активности НАДФ-оксидазного комплекса интактных и Н2О2-обработанных нейтрофилов в процессе фагоцитарной реакции был поставлен НСТ тест в присутствии опсонизированной компонентами объединенной донорской сыворотки культуры St. aureus, результаты которого представлены на рисунке 17.

Рисунок 17 - Изменение активности окислительных ферментов интактных и инкубированных в окислительных условиях нейтрофилов в процессе фагоцитарной реакции (индуцированный НСТ-тест в присутствии культуры St.aureus) (p<0,05)

Очевидно, что индуцированная НАДФ-оксидазная активность интактных нейтрофилов в процессе фагоцитарной реакции имеет динамику, аналогичную динамике ферментативной активности в спонтанном тесте - подъемы активности на 60 минуте инкубации.

Максимальная активность НАДФ-оксидазы в процессе фагоцитоза у 0,005, 0,01 и 0,05 М Н2О2-обработанных нейтрофилов наблюдается на начальной стадии реакции в течение первых 30 минут с последующим увеличении е к 90 минуте инкубации. Следует отметить, что во всех экспериментальных пробах активность НПДФ-оксидазы в 2-2,5 раза достоверно превышает активность контрольных проб.

Достоверность всех полученных результатов оценивалась с использованием анализа ANOVA по Фридмену и критерия Вилкоксона для зависимых групп с уровнем значимости 0,05. (приложение А 10-13)

Сборка НАДФН-оксидазной системы сопряжена с функционированием актинового цитоскелета. При воздействии белков бактерий, поверхностно активных веществ (форболовые эфиры, дигитонин) при индуцированном НСТ-тесте наблюдается резкое увеличение интенсивности и скорости мобилизации энергетических и пластических ресурсов клеток, т. е. происходит дыхательный взрыв. Именно этим можно объяснить увеличение ферментативной активности при индуцированном НСТ-тесте.

Полученные данные подтверждают наше предположение о том, что предварительная инкубация с перекисью водорода приводит нейтрофил в функционально активированное состояние. Вступающие в фагоцитоз Н2О2-обработанные нейтрофилы обладают в 2-3 раза более высокой НАДФ-оксидазной активностью и пик этой активности наблюдается уже в первые 30 минут от начала фагоцитарной реакции. Это может быть результатом того, что сборка НАДФ-оксидазного комплекса произошла ранее, еще до контакта с чужеродным агентом, и функционально полноценный фермент с высокой скоростью турновера обеспечивает нейтрофилу возможность не только более быстрой нейтрализации объекта с последующим образованием фагосомы, но и осуществление событий «дыхательного взрыва» со значительно большей скоростью и эффективностью.

Наше предположение подтверждается и расчетами коэффициентов стимуляции спонтанного и индуцированного НСТ-тестов (рисунок 18).

Рисунок 18 - Коэффициент стимуляции ферментативной активности НАДФ-оксидазы интактных и инкубированных в окислительных условиях нейтрофилов

Очевидно, что смещение максимума активности с 60 минуты на 30 минуту инкубации позволяет осуществлять больше событий единичного фагоцитоза за единицу времени, а также увеличить эффективность реакций киллинга и расщепления чужеродного агента.

 

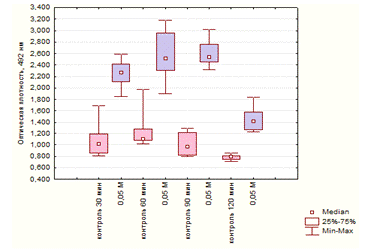
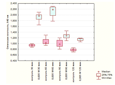
3.3 Изменение активности миелопероксидазы нейтрофилов, после инкубации в окислительных условиях

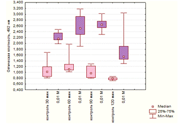
С целью дальнейшего изучения бактерицидной способности полиморфоядерных гранулоцитов периферической крови использовали тест оценки спонтанной и индуцированной ферментативной активности миелопероксидазы специфических гранул с использованием ортофенилендиамина и перекиси водорода в качестве субстратов.

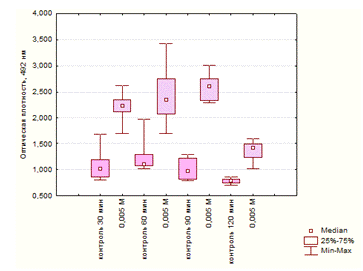
Результаты экспериментов по оценке спонтанной активности миелопероксидазы специфических гранул представлены на рисунке 19.

Рисунок 19 - Изменение спонтанной активности миелопероксидазы интактных и инкубированных в окислительных условиях нейтрофилов (p<0,05)

У интактных нейтрофилов наблюдается пик пероксидазной активности на 90 мин инкубации. 0,01 и 0,05 М Н2О2-обработанные нейтрофилы максимально освобождают миелопероксидазу специфических гранул также на 90 минуте инкубации, но ее активность и, возможно, количество, в 1,5-2 раза выше.

,005 М Н2О2-обработанные нейтрофилы имеют миелопероксидазную активность только в 0,5 раза достоверно выше интактных.

Достоверность всех полученных результатов оценивалась с использованием анализа ANOVA по Фридмену и критерия Вилкоксона для зависимых групп с уровнем значимости 0,05. (приложение А14-17)

Таким образом, в большей степени стимуляция спонтанной секреции и активности миелопероксидазы специфических гранул нейтрофилов на всем протяжении времени инкубации регистрируется только для 0,01 и 0,05 М Н2О2-обработанных нейтрофилов и незначительно для 0,005 М Н2О2-обработанных.

Возможно, это связано с особенностями процессов инициации движения и секреции специфических гранул, которые запускаются в результате активации рецепторного комплекса нейтрофилов. В отсутствии специфических лигандов активация рецепторов может происходить благодаря изменению подвижности и физических характеристик цитоплазматической мембраны, которые могут быть инициированы влиянием перекиси водорода. Очевидно, что этот процесс может иметь концентрационно-зависимый характер.

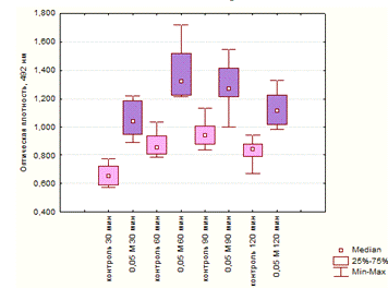
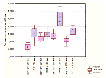
Изучение изменения миелопероксидазной активности специфических гранул нейтрофилов в процессе фагоцитоза проводили с использованием опсонизированной компонентами объединенной донорской сыворотки культуры St. aureus (рисунок 20).

Активность миелопероксидазы интактных клеток повышается, начиная с 30 до 90 минуты инкубации. 0,005, 0,01, 0,05 М Н2О2-обработанные нейтрофилы обладают максимальной миелопероксидазной активностью, которая в 2-3 раза достоверно превышает активность миелопероксидазы интактных клеток с максимумом на 90 мин инкубации.

Достоверность всех полученных результатов оценивалась с использованием анализа ANOVA по Фридмену и критерия Вилкоксона для зависимых групп с уровнем значимости 0,05. (приложение А18-23).

Рисунок 20 - Изменение активности миелопероксидазы интактных и инкубированных в окислительных условиях нейтрофилов в индуцированном тесте (p<0,05)

Полученные результаты согласуются с результатами экспериментов по определению спонтанной активности миелопероксидазы специфических гранул. Очевидно, что перекись водорода в концентрациях 0,01 и 0,05 М оказывает активирующее влияние на процессы либерализации специфических гранул нейтрофилов и увеличение ферментативной активности миелопероксидазы в процессе фагоцитоза. Неспецифическая активация рецепторного комплекса и самой мембраны нейтрофилов, возникающая в результате воздействия перекиси водорода, усиливается благодаря специфическому связыванию рецепторов со своими лигандами, что приводит к запуску множественных сигнальных ферментативных каскадов, инициации транскрипции генов, контролирующих процесс фагоцитоза и активации цитоскелета. Совокупное действие этих процессов обеспечивает быструю либерацию специфических гранул и увеличивает эффективность процессов киллинга и элиминации чужеродного агента.

Полученные данные хорошо согласуются с результатами других авторов.

Наше предположение подтверждается и расчетами коэффициентов стимуляции спонтанного и индуцированного тестов на миелопероксидазу (рисунок 21).

Рисунок 21 - Коэффициент стимуляции ферментативной активности миелопероксидазы интактных и инкубированных в окислительных условиях нейтрофилов

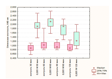
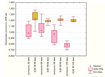
3.4 Оценка изменения динамического состояния мембраны нейтрофилов после инкубации в окислительных условиях


Для оценки изменения динамического состояния цитоплазматической мембраны был использован модифицированный нами спектрофотометрический метод определения адгезивных свойств клеток А. Бутакова. [49]

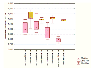
Как видно из представленных результатов спонтанного теста адгезивная способность интактных клеток выше на 60 и 90 минуте инкубации. H2O2 обработанные нейтрофилы имеют максимум адгезии на 60 минуте и обладают адгезивной способностью в 1,5-2 раза превосходящей адгезивную способность интактных клеток.

Рисунок 22 - Изменение спонтанной адгезивной активности интактных и инкубированных в окислительных условиях нейтрофилов (p<0,05)

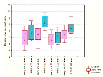
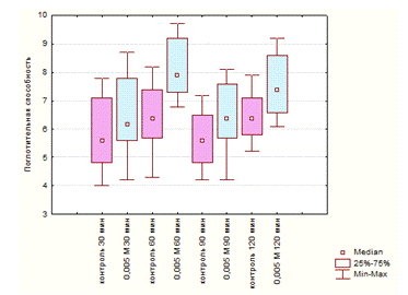
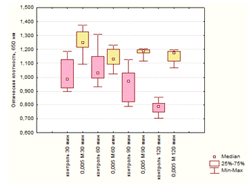
Изучение изменения индуцированной адгезивной способности нейтрофилов проводили с использованием опсонизированной компонентами объединенной донорской сыворотки культуры St. aureus. Полученные результаты представлены на рисунке 22.

Рисунок 22 - Изменение индуцированной адгезивной активности интактных и инкубированных в окислительных условиях нейтрофилов (p<0,05)

Как видно из представленных результатов теста адгезивная способность интактных клеток выше на 30 и 60 минуте инкубации. H2O2 обработанные нейтрофилы имеют максимум адгезии на 30 минуте и обладают адгезивной способностью в 1,5-2 раза достоверно превосходящей адгезивную способность интактных клеток.

Достоверность всех полученных результатов оценивалась с использованием анализа ANOVA по Фридмену и критерия Вилкоксона для зависимых групп с уровнем значимости 0,05. (приложение А 24-29)

Подобный результат отражает степень участия активированного рецепторного комплекса нейтрофилов в изменение динамической подвижности цитоплазматической мембраны и свидетельствует о значительном вкладе Fc рецепторов и рецепторов к компонентам системы комплемента при фагоцитозе.

Кроме того, повышенная адгезивная способность H2O2 обработанных нейтрофилов может также являться результатом активирующего действия окислительных условий на состояние всего рецепторного комплекса клеток, так как следует учесть тот факт, что при образовании рецептор-лигандного комплекса и активации рецептора в месте его локализации происходит образование локального липидного рафта, обеспечивающего быстрое проведение сигнала внутрь клетки. В области липидных рафтов подвижность липидного слоя мембраны увеличена, и образование множественных липидных рафтов может приводить к возрастанию динамической подвижности всей мембраны и к увеличению адгезивной способности в целом

Таким образом, в тестах индуцированной адгезии зарегистрирован эффект активации адгезивной способности H2O2 обработанных нейтрофилов по сравнению с интактными. Увеличение адгезивной способности нейтрофилов отражает структурно-функциональные изменениия цитоплазматической мембраны, индуцированные действием окислительных условий как на структурные компоненты и динамику цитоплазматической мембраны, так и на состояние мембранного рецепторного комплекса.. Возможно также позитивное изменение конформации молекул клеточной адгезии (L-селектин, интегрины, и др.) при изменении рН их микроокружения и/или увеличение их экспрессии на клеточной поверхности.

Заключение


Таким образом, по результатам проведенных экспериментов можно сделать следующие выводы:

1.       Установлено активирующее действие инкубации в окислительных условиях (0,005 М, 0,01 М и 0,05 М Н2О2) на динамику основных параметров фагоцитарной реакции полиморфноядерных гранулоцитов. Показатели фагоцитарной активности Н2О2-обработанных нейтрофилов на 10-25% превышают значения контроля, а также наблюдается уменьшение времени, необходимого для достижения максимального количества клеток, вступающих в фагоцитоз. Поглотительная способность клеток, прединкубированных в окислительных условиях, возрастает на 20-40%.

2.       Показано, что инкубированные в окислительных условиях нейтрофилы, демонстрируют в спонтанном и индуцированном НСТ тестах ферментативную активность в 2-2.5 раза превосходящую активность интактных клеток.

.        Зарегистрировано увеличение активности миелопероксидазы нейтрофилов, инкубированных в окислительных условиях (0,01 М, 0,05 М) в 1,5-2 раза в спонтанном тесте и в 2-3 раза в индуцированном тесте по сравнению с контролем.

.        Установлено, что эффективность спонтанных и индуцированных адгезивных процессов инкубированных в окислительных условиях нейтрофилов в 1,5-2 раза выше по сравнению с аналогичными параметрами адгезии интактных клеток

.        Максимум активирующего эффекта наблюдается для нейтрофилов, обработанных 0,005 М и 0,01 М Н2О2.

Список использованных источников


1.                                                                                                                   Скулачев В.П. Кислород в живой клетке: добро и зло / Скулачев В.П. // Соросовский образовательный журнал. - 1996. - №2. -C.23-27

2.       Halliwell B, Gutteridge J. A Modulating Role for Antioxidants in Desiccation Tolerance/ Halliwell B // Integrative and Comparative Biology <#"556592.files/image024.gif">

Рисунок А.1 - Изменение фагоцитарной активности интактных и инкубированных в окислительных условиях (0,005 М) нейтрофилов в ходе фагоцитарной реакции (p<0,05)

Рисунок А.2 - Изменение фагоцитарной активности интактных и инкубированных в окислительных условиях (0,01 М) нейтрофилов в ходе фагоцитарной реакции (p<0,05)

Рисунок А.3 - Изменение фагоцитарной активности интактных и инкубированных в окислительных условиях (0,01 М) нейтрофилов в ходе фагоцитарной реакции (p<0,05)

Рисунок А.4 - Изменение поглотительной способности интактных и инкубированных в окислительных условиях (0,005 М) нейтрофилов в ходе фагоцитарной реакции (p<0,05)

Рисунок А.5 - Изменение поглотительной способности интактных и инкубированных в окислительных условиях (0,01 М) нейтрофилов в ходе фагоцитарной реакции (p<0,05)

Рисунок А.6 - Изменение поглотительной способности интактных и инкубированных в окислительных условиях (0,05 М) нейтрофилов в ходе фагоцитарной реакции (p<0,05)

Рисунок А. 7 - Изменение активности ферментов «дыхательного взрыва» интактных и инкубированных в окислительных условиях (0,005 М) нейтрофилов (спонтанный НСТ-тест в присутствии культуры St.aureus) (p<0,05)

Рисунок А. 8 - Изменение активности ферментов «дыхательного взрыва» интактных и инкубированных в окислительных условиях (0,01 М) нейтрофилов (спонтанный НСТ-тест в присутствии культуры St.aureus) (p<0,05)

Рисунок А. 9 - Изменение активности ферментов «дыхательного взрыва» интактных и инкубированных в окислительных условиях (0,05 М) нейтрофилов (спонтанный НСТ-тест в присутствии культуры St.aureus) (p<0,05)

Рисунок А. 10 - Изменение активности ферментов «дыхательного взрыва» интактных и инкубированных в окислительных условиях (0,005 М) нейтрофилов (индуцированный НСТ-тест в присутствии культуры St.aureus) (p<0,05)

Рисунок А.11 - Изменение активности ферментов «дыхательного взрыва» интактных и инкубированных в окислительных условиях (0,01 М) нейтрофилов (индуцированный НСТ-тест в присутствии культуры St.aureus) (p<0,05)

Рисунок А.12 - Изменение активности ферментов «дыхательного взрыва» интактных и инкубированных в окислительных условиях (0,05 М) нейтрофилов (индуцированный НСТ-тест в присутствии культуры St.aureus) (p<0,05)

Рисунок А.13 - Изменение спонтанной активности миелопероксидазы интактных и инкубированных в окислительных условиях (0,005 М) нейтрофилов(p<0,05)

Рисунок А.14 - Изменение спонтанной активности миелопероксидазы интактных и инкубированных в окислительных условиях (0,01 М) нейтрофилов(p<0,05)

Рисунок А.15 - Изменение спонтанной активности миелопероксидазы интактных и инкубированных в окислительных условиях (0,05 М) нейтрофилов(p<0,05)

Рисунок А.16 - Изменение индуцированной активности миелопероксидазы интактных и инкубированных в окислительных условиях (0,005 М) нейтрофилов (индуцированный тест в присутствии культуры St.aureus) (p<0,05)

Рисунок А.17 - Изменение индуцированной активности миелопероксидазы интактных и инкубированных в окислительных условиях (0,01 М) нейтрофилов (индуцированный тест в присутствии культуры St.aureus) (p<0,05)

Рисунок А. 18 - Изменение индуцированной активности миелопероксидазы интактных и инкубированных в окислительных условиях (0,05 М) нейтрофилов (индуцированный тест в присутствии культуры St.aureus) (p<0,05)

Рисунок А. 19 - Изменение спонтанной адгезивной активности интактных и инкубированных в окислительных условиях (0,005 М) нейтрофилов(p<0,05)

Рисунок А. 20 - Изменение спонтанной адгезивной активности интактных и инкубированных в окислительных условиях (0,01 М) нейтрофилов(p<0,05)

Рисунок А. 21 - Изменение спонтанной адгезивной активности интактных и инкубированных в окислительных условиях (0,05 М) нейтрофилов(p<0,05)

Рисунок А. 22 - Изменение индуцированной адгезивной активности интактных и инкубированных в окислительных условиях (0,005 М) нейтрофилов(p<0,05)

Рисунок А. 23 - Изменение индуцированной адгезивной активности интактных и инкубированных в окислительных условиях (0,01 М) нейтрофилов(p<0,05)

Рисунок А. 24 - Изменение индуцированной адгезивной активности интактных и инкубированных в окислительных условиях (0,05 М) нейтрофилов(p<0,05)

Похожие работы на - Влияние перекисных условий на показатели функциональной активности нейтрофилов перифирической крови человека

 

Не нашли материал для своей работы?
Поможем написать уникальную работу
Без плагиата!
Без нейросетей!