Оценка экологической опасности осколков деления
СОДЕРЖАНИЕ
ОПРЕДЕЛЕНИЯ
ВВЕДЕНИЕ
1. ПОНЯТИЕ РАДИОАКТИВНОСТИ
1.1 Строение атомных ядер
1.2 Радиоактивность
2. НОРМЫ РАДИАЦИОННОЙ
БЕЗОПАСНОСТИ
2.1 Воздействие радиации на
здоровье человека
2.2 Требования к ограничению
техногенного облучения в контролируемых условиях
2.3 Требования по ограничению
облучения населения в условиях радиационной аварии
2.3.1 Характер действий в
случае радиационной аварии
2.3.2 Мероприятия по защите
населения
2.4 Значения допустимых
уровней радиационного воздействия
2.4.1 Характеристика
параметров облучения
2.4.2 Значения дозовых
коэффициентов
3. Реакция деления
3.1 Процесс деления
3.2 Осколки деления
4. ЦЕПОЧКИ ДЕЛЕНИЯ
4.1 Продукты мгновенного
деленияU235 в интервале 0-1 ч
4.2 Радиоактивный йод
4.3 Радиоактивный цезий
4.4 Радиоактивный стронций
5. РАСЧЕТ КОНЦЕНТРАЦИИ
РАДИОАКТИВНЫХ ЭЛЕМЕНТОВ
6. Расчет активности
радионуклидов
7. Результаты расчетов
ЗАКЛЮЧЕНИЕ
СПИСОК ИСПОЛЬЗОВАННЫХ
ИСТОЧНИКОВ
ОПРЕДЕЛЕНИЯ
Активность - мера радиоактивности какого-либо количества радионуклида,
находящегося в данном энергетическом состоянии в данный момент времени.
Загрязнение радиоактивное - присутствие радиоактивных веществ на
поверхности внутри материала, в воздухе, в теле человека или в другом месте, в
количестве, превышающем уровни.
Запроектная
авария - авария, вызванная не учитываемыми для проектных аварий исходными
событиями или сопровождающаяся дополнительными по сравнению с проектными
авариями отказами систем безопасности, реализацией ошибочных решений персонала,
которые могут привести к тяжелым повреждениям или к расплавлению активной зоны.
Уменьшение последствий достигается управлением запроектной аварией и/или
реализацией планов мероприятий по защите персонала и населения. Примером
запроектной аварии может служить разрыв корпуса ядерного реактора.
Нуклид - общее название атомов, различающихся числом нуклонов в ядре или,
при одинаковом числе нуклонов, содержащих разное число протонов и нейтронов.
Предел годового поступления (ПГП) - допустимый уровень поступления
данного радионуклида в организм в течение года, который при монофакторном
воздействии приводит к облучению условного человека ожидаемой дозой, равной
соответствующему пределу годовой дозы.
Радиационная авария - потеря управления источником ионизирующего
излучения, вызванная неисправностью оборудования, неправильными действиями
работников (персонала), стихийными бедствиями или иными причинами, которые
могли привести или привели к облучению людей выше установленных норм или
радиоактивному загрязнению окружающей среды.
Обозначения и
сокращения
АЭС - атомная
электростанция;
а. е. м. - атомные единицы массы;
бэр - биологический эквивалент рентгена;
ГЭС - гидроэлектростанция;
ДОА - допустимая среднегодовая объемная активность;
КК - коэффициент качества;
ОБЭ - относительная биологическая эффективность;
РФ - Российская Федерация;
А - атомное
число;
Есв - энергия связи;
Екин - энергия кинетическая;
N -
количество образовавшихся ядер на 1 МВт мощности, яд./МВт;
n -
нейтрон;
p -
протон;
Т - период полураспада, с;
q -
активность нуклида на МВт мощности, Бк/МВт;
Z -
заряд ядра;
λ - постоянная распада (вероятность
распада ядра в единицу времени), 1/с;
γ - кумулятивный выход осколков деления в
относительных единицах;
τ - время работы реактора;
ВВЕДЕНИЕ
Ядерная энергетика - отрасль энергетики, занимающаяся производством
тепловой и электрической энергии путем преобразования ядерной энергии.
Ядерный сектор энергетики наиболее значителен в промышленно развитых
странах, где недостаточно природных энергоресурсов - в Японии, Франции,
Бельгии. Эти страны производят до 80% электроэнергии на АЭС. В РФ на долю
ядерной энергетики приходится порядка 16%
Атомная энергетика - активно развивающаяся отрасль. Очевидно, что ей
предназначено большое будущее, так как запасы нефти, газа, угля постепенно
иссякают, а уран - достаточно распространенный элемент на Земле. Так же на ее
развитие будут влиять неконтролируемый рост численности населения (за счет
развивающихся регионов) и нарастающий дефицит энергии. Но следует помнить, что
атомная энергетика связана с повышенной опасностью для людей, которая, в
частности, проявляется в крайне неблагоприятных последствиях аварий с
разрушением атомных реакторов.
Положительное значение атомных электростанций в энергобалансе очевидно.
Гидроэнергетика для своей работы требует создание крупных водохранилищ, под
которыми затапливаются большие площади плодородных земель по берегам рек. Вода
в них застаивается и теряет свое качество, что в свою очередь обостряет
проблемы водоснабжения, рыбного хозяйства и индустрии досуга.
Теплоэнергетические станции в наибольшей степени способствуют разрушению
биосферы и природной среды Земли. Они уже истребили многие десятки тонн
органического топлива. Для его добычи из сельского хозяйства и других сфер
изымаются огромные земельные площади. А повышенное содержание золы в топливе
является основной причиной выброса в воздух десятков миллионов тонн
загрязняющих веществ.
Все тепловые энергетические установки мира выбрасывают в атмосферу за год
до 250 млн. т золы и около 60 млн. т сернистого ангидрида.
Вследствие того, что ядерные реакторы фактически не производят парниковых
газов, их использование для генерации электроэнергии может помочь остановить
рост угрозы глобального потепления и радикального изменения климата. Любая
реалистическая стратегия с целью предотвратить эту угрозу требует использования
ядерной энергетики (ядерная энергия не загрязняет воздух и поверхность земли).
Реакторы не производят выхлопов дыма, который вызывает смог и затрудняет
дыхание, а также не выделяют газы, создающие кислотные дожди, так вредящие
лесам, озерам и рекам.
К плюсам, несомненно, относится транспортировка ядерных материалов -
свежего топлива, отработавшего топлива и ядерных отходов - ни разу за последние
четыре десятилетия не привела к опасной «утечке» радиации. Ядерные вещества безопасно
перевозились по автомобильным трассам, железным дорогам и морским путям.
Строгие национальные и международные правила регулирования требуют при
транспортировке радиоактивных веществ использования прочных и надежно
сконструированных контейнеров, способных выдержать любые удары и внешнее
вмешательство. Так как огромное количество энергии производится из малого
количества уранового топлива, ядерной энергетике необходимо минимальное число
транспортировок, в то время как перевозки органического топлива являются
существенной нагрузкой на всемирную транспортную систему, причиняя вред
окружающей среде по всему миру, особенно прибрежным зонам.
Ядерное топливо дешевле по сравнению с органическими видами топлива (его
теплотворная способность в миллионы раз выше, чем у органического: при распаде
одного грамма урана может образоваться столько же тепла, что и при сгорании
почти трех тонн угля.)
В случае безаварийной работы атомные электростанции не производят
практически никакого загрязнения окружающей среды, кроме теплового. Правда в
результате работы АЭС (и предприятий атомного топливного цикла) образуются
радиоактивные отходы, представляющие потенциальную опасность. Однако объем
радиоактивных отходов очень мал, они весьма компактны, и их можно хранить в
условиях, гарантирующих отсутствие поступление в окружающую среду.
Но, наряду с положительными, существуют и отрицательные стороны
использования ядерной энергии.
Ядерная энергетика остаётся предметом острых дебатов. Сторонники и
противники ядерной энергетики резко расходятся в оценках её безопасности,
надёжности и экономической эффективности. Опасность связана с проблемами
утилизации отходов, радиационными авариями, приводящими к экологическим и
техногенным катастрофам, а также с возможностью использовать повреждение этих
объектов (наряду с другими: ГЭС, химзаводами и т.п.) обычным оружием или в
результате теракта - как оружие массового поражения.
"Двойное применение" предприятий ядерной энергетики, возможная
«утечка» ядерного топлива (как санкционированная, так и преступная) из сферы
производства электроэнергии и его использовании для производства ядерного
оружия служит постоянным источником общественной озабоченности, политических
интриг и поводов к военным акциям (например, Иракская война, операция «Опера»).
В связи с крупными катастрофами, связанными с ядерной энергетикой, а в
особенности с предшествующими в недавнем прошлом драматичными событиями на
территории Японии, всех очень беспокоит вопрос того, когда радиоактивные
осколки деления станут более или менее безопасны для живых организмов и для
окружающей среды в целом. Это не простая задача, но я была удостоена чести
решить ее.
Целью дипломной работы является оценка экологической опасности осколков
деления, как при аварийных ситуациях, так и при штатном захоронении.
К поставленным задачам относятся:
отслеживание активности осколков деления через различные промежутки
времени после остановки реактора (2, 24, 180 дней, 1, 10, 100, 300, 1000 лет)
оценка опасности выброса радиоактивных осколков, отнесенная к пределам допустимого
годового поступления для населения во времени.
1. ПОНЯТИЕ
РАДИОАКТИВНОСТИ
.1 Строение
атомных ядер
Состав и размер ядер. Атомные ядра (нуклиды) состоят из протонов (р) и
нейтронов (n), которые носят общее название нуклоны.
Число нуклонов в ядре называют массовым числом и обозначают буквой А.
Массовое число близко к относительной атомной массе, выраженной в атомных
единицах массы (а. е. м.), так как массы протона и нейтрона близки к 1 а. е. м.
и равны mp = 1,00727661 а. е. м. и mn = 1,00866 а. е. м.
Число протонов в ядре определяет заряд ядра и обозначается Z. Заряд ядра
совпадает с порядковым номером элемента в таблице Менделеева, поэтому
называется так же атомным номером. Число нейтронов в ядре равно N. Ядра,
имеющие одинаковое число протонов (Z), но различные массовые числа (A),
называют изотопами.
Ядра являются весьма устойчивыми образованиями, из-за наличия ядерных сил
притяжения. Чтобы вырвать нуклон из ядра необходимо затратить энергию, которая
называется энергия связи. Величина удельной энергии связи (отнесенной к одному
нуклону) в значительной связи зависит от соотношения числа нейтронов и
протонов. Зависимость удельной энергии связи от массового числа приведена на
рисунке1.1.
Анализ этой зависимости показывает, что ядерная энергия выделяется при
делении тяжелых ядер (атомная бомба, ядерный реактор) и при синтезе легких
(термоядерная реакция). Чем выше удельная энергия связи, тем более устойчиво
ядро, а значит можно сделать вывод, что наиболее устойчивые ядра находятся в
середине таблицы Менделеева (Mn, Fe, Ni, Cr).
Рисунок 1.1 Зависимость удельной энергии связи атомных ядер от числа
содержащихся в них нуклонов
1.2
Радиоактивность
Радиоактивность - свойство некоторых нуклидов самопроизвольно превращаться
в другие, испуская при этом элементарные частицы, или распадаться путем
спонтанного деления. Эти элементарные частицы, как правило, производят
ионизацию вещества, поэтому такое излучение называют ионизирующим излучением.
Различают несколько видов радиоактивного распада:
Альфа-распад - характерен для тяжелых ядер (Z > 82). Альфа частицы - это ядра гелия, с А = 4 и Z = +2. В ядерных установках с
водо-водяными реакторами источники альфа излучения практически отсутствуют, и в
дальнейшем не будут рассматриваться.
Бета-распад - возможен для любых химических элементов, в зависимости от
соотношения нейтронов и протонов. При определенном соотношении нейтронов и
протонов нуклиды стабильны.
Рисунок 1.2 Зависимость числа нейтронов от числа протонов в стабильных и
природных радиоактивных ядрах. Схемы радиоактивного распада ядер в зависимости
от отношения N/Z
На рисунке 1.2 сноска (1) - положение ядра U235 до деления, сноска (2) - после деления. Как видно из графика
устойчивости после деления, ядро попадает в область с избытком n.
При избытке нейтронов происходит отрицательный бета распад:
Бета частицы - электроны, обладающие значительной энергией (до 3-6 МэВ).
И при альфа-распаде, и при бета-распаде, дочерние ядра могут возникать в
возбужденном состоянии. Переходя из возбужденного состояния в основное, ядра
испускают гамма кванты.
Гамма кванты - кванты электромагнитного поля, имеют ту же природу, что и
видимый свет (электромагнитное излучение), однако гораздо большую проникающую
способность. Энергия гамма квантов от 0,1 МэВ и выше, обычно при радиоактивном
распаде энергия гамма квантов лежит в пределах от 0,5 до 7 МэВ.
Рентгеновские лучи - так же электромагнитное излучение (как и гамма
кванты), однако имеют меньшую энергию. (Например, Солнце - один из естественных
источников таких лучей, но защиту от солнечной радиации обеспечивает атмосфера
Земли).
При работе реактора в активной зоне возникает значительный источник
нейтронов, которые возникают при делении урана. Благодаря своей высокой
проникающей способности могут воздействовать на значительном расстоянии от
реактора.
Степень влияния радиации на здоровье человека зависит от вида излучения,
его энергии, времени и частоты облучения. Таким образом, последствия радиации,
которые могут привести к фатальным случаям, бывают как при однократном
пребывании у сильнейшего источника излучения (естественного или
искусственного), так и при хранении слаборадиоактивных предметов у себя дома
(антиквариата, обработанных радиацией драгоценных камней, изделий из
радиоактивного пластика).
Радиоактивность измеряется в Беккерелях (Бк), что соответствует одному
распаду в секунду. В технике до сих пор пользуются Кюри, то есть активностью 1
г радия. 1 Кю = 3,7 ∙ 1010 Бк. Воздействие излучения на
вещество оценивается дозой радиации. А воздействие ионизирующего излучения
оценивается экспозиционной дозой (число пар ионов, возникающих в 1 см3
вещества). За единицу экспозиционной дозы принимался Рентген (Р) (доза такого
излучения, при котором возникает 1 CGSE заряда в 1 нормальном см3 воздуха). В настоящее время за
основу принята поглощенная доза (количество энергии излучения, переданное
единице массы вещества). Официально доза измеряется в Греях (Гр). 1 Гр =1
Дж/кг. Однако до сих пор часто пользуются прежними единицами измерения 1 Рад =
100 эрг/г (величина удобна тем, что численно практически равна Рентгену).
Следует отметить, что при воздействии на биологическую ткань «тяжелые» частицы
(альфа частицы, нейтроны, протоны) оказывают больше влияния, чем легкие при
одной и той же переданной энергии. Поэтому для оценки воздействия на
биологическую ткань используется понятие биологического эквивалента Рентгена
или Рад.
бэр = КОБЭ ∙ 1 Р
бэр = КК ∙ 1 рад
КОБЭ и КК - биологическая эффективность или коэффициент качества.
Таблица 1.1
Значение КОБЭ для основных видов излучения
|
Вид излучения
|
КОБЭ (КК)
|
|
Электрон
|
1
|
|
Гамма-квант
|
1
|
|
Тепловые n
|
3…5
|
|
Быстрые n
|
8…10
|
|
Альфа-частицы
|
10
|
|
Протоны
|
10
|
В настоящее время биологическое воздействие излучения оценивается в
Зивертах (Зв). 1 Зв = 100 бэр.
2. НОРМЫ
РАДИАЦИОННОЙ БЕЗОПАСНОСТИ
.1
Воздействие радиации на здоровье человека
Воздействие радиации на организм человека называют облучением. Во время
этого процесса энергия радиации передается клеткам, тем самым разрушая их.
Облучение может вызвать всевозможные заболевания: инфекционные осложнения,
нарушения обмена веществ, злокачественные опухоли и лейкоз, бесплодие катаракту
и многое другое. Особенно остро радиация воздействует на делящие клетки,
поэтому она особенно опасна для детей.
Организм реагирует на саму радиацию, а не на ее источник. Радиоактивные
вещества могут проникать в организм через кишечник (с пищей и водой), через
легкие (при дыхании) и даже через кожу при медицинской диагностике
радиоизотопами. В этом случае имеет место внутреннее облучение. Кроме того,
значительное влияние радиации на организм человека оказывает внешнее облучение,
т.е. источник облучения находится вне тела. Но наиболее опасно, безусловно,
внутреннее облучение.
При проектировании ядерных установок большое внимание уделяется
проникающему излучению (нейтроны, гамма), мощность дозы от которых не должна
превышать предельно допустимых дозы по НРБ 2 бэра в год. С этой целью создается
биологическая защита, ослабляющая действие потоков нейтронов и гамма квантов.
Как правило, для защиты используется бак металловодной защиты. Наибольшую
опасность с точки зрения защиты окружающей среды представляет выброс осколков в
окружающую среду.
2.2 Требования
к ограничению техногенного облучения в контролируемых условиях
.2.1
Нормальные условия эксплуатации источников излучения
Устанавливаются следующие категории облучаемых лиц:
персонал (группы А и Б);
все население, включая лиц из персонала, вне сферы и условий их
производственной деятельности.
Для категорий облучаемых лиц устанавливаются три класса нормативов:
-
основные пределы доз (ПД), приведенные в таблице 2.1
<#"556455.files/image005.gif">;
Если
,
то ядро будет делиться, в обратном же случае - не будет.
Справедливости ради стоит сказать, что ряд тяжелых ядер (U235, U238) испытывает самопроизвольное спонтанное деление. Однако
вероятность такого деления весьма мала (период «полуделения» урана 1016 лет,
что соответствует 10 делениям в секунду в 1 кг урана).
3.1 Процесс
деления
Чтобы разделить U235
и U236, нужно сообщить им энергию 6,5 - 7
МэВ. Возникающие в результате реакции легкие частицы (гамма-частицы, электроны)
не могут делить уран. Для положительно заряженных частиц вокруг ядра существует
заряженный барьер. Поэтому практически можно использовать для деления только
нейтроны. Отсутствие кулоновского отталкивания позволяет нейтронам со сколь
угодно малой кинетической энергией приблизиться к ядру на расстояние меньше
радиуса действия ядерных сил. Захват ядром нейтрона приводит к возбуждению
ядра, и, если энергия возбуждения достаточна, происходит деление. Для U235 энергия связи выше критической -
поэтому он может делиться нейтронами, для U238 необходима энергия более 1,1 МэВ, поэтому его практически
невозможно использовать в качестве топлива. Рассмотрим процесс деления ядер и
получающиеся при этом результаты на примере деления ядра U235нейтроном.
Реакция деления U235 может быть записана следующим образом:
+n →
→
+
+ 𝜈n + Ef
+ϒ
На первом этапе ядро U235 захватывает нейтрон и образуется
промежуточное ядро U236*, которое находится в возбужденном состоянии
и может сбросить энергию возбуждения посредством нескольких конкурирующих друг
с другом процессов: ϒ -излучением, испусканием нейтрона
или делением.
В случае испускания ядром ϒ -кванта произойдет реакция
радиационного поглощения нейтрона, заканчивающаяся образованием нового изотопа
делящего элемента с большим массовым числом - U236. Этот процесс в
реакторе ведет к бесполезной для развития цепной реакции потере нейтронов и к
уничтожению первичного ядерного топлива. В большинстве случаев (85%)
промежуточное ядро делится на два осколка, которые представляют собой ядра
новых более легких атомов с массовыми числами А1 и А2 и
зарядами Z1 и Z2. В результате реакции деления оба
осколка перегружены нейтронами и испускают 2 или 3 вторичных нейтрона.
Вторичные нейтроны поглощаются соседними ядрами урана и вызывают их деление.
При соответствующих условиях может возникнуть самоподдерживающийся процесс
массового деления ядер, называемый цепной ядерной реакцией. Данная реакция
осуществляется в двух формах: неуправляемая (атомная бомба) и управляемая
(ядерный реактор).
.2 Осколки
деления
Осколки деления - ядра, образующиеся при делении урана. В большинстве
случаев образующиеся радиоактивные осколки имеют различные массовые числа,
которые могут изменяться от 70 до 160. При делении образуются разнообразные
изотопы, можно сказать, половина таблицы Менделеева. Вероятность выхода
различных осколков деления с определенной массой А приведена на рисунке.
Рисунок 3.1 Массовое распределение осколков деления U235
тепловыми нейтронами
В соответствии с рисунком 1.2 осколки перегружены нейтронами и испытывают
бета-распад.
У большинства из них периоды полураспада весьма малы (минуты или еще
меньше) и они быстро распадаются в стабильные изотопы. Однако, среди них есть
изотопы, которые с одной стороны в достаточно большом количестве образуются при
делении, а с другой имеют периоды полураспада дни и даже годы. Именно они
представляют для нас основную опасность. Активность, т.е. количество распадов в
единицу времени и соответственно количество "радиоактивных частиц",
бета или гамма, обратно пропорциональна периоду полураспада. I131 образуется при делении с
приблизительно такой же "охотой" как и Cs137. Но у I131 период полураспада "всего"
8 суток, а у Cs137 около 30 лет. В процессе деления
урана, поначалу количество продуктов его деления, и йода, и цезия растет, но
вскоре для йода наступает равновесие - сколько его образуется, столько и
распадается. С Cs137, из-за его относительно большого
периода полураспада, до этого равновесия далеко. Теперь, если произошел выброс
продуктов распада во внешнюю среду, в начальные моменты из этих двух изотопов
наибольшую опасность представляет I131.
Во-первых, из-за особенностей деления его образуется много (см. рисунок),
во-вторых, из-за относительно малого периода полураспада его активность высока.
Со временем (через 40 дней) его активность упадет в 32 раза, и в скором времени
его практически не будет. А вот Cs137
поначалу будет
"светить" не так сильно, зато его активность будет спадать гораздо
медленнее, иными словами, на тот момент, когда I131 станет
более или менее безопасным, Cs137 все еще будет представлять угрозу
для живых организмов.
радиация
облучение осколок деление
4. ЦЕПОЧКИ
ДЕЛЕНИЯ
.1 Продукты
мгновенного деленияU235 в интервале 0 - 1 ч
Всего возникает 86 цепочек радиоактивных осколков деления.
К наиболее опасным изотопам относятся йод, цезий и стронций.
4.2
Радиоактивный йод
Среди 20 радиоизотопов йода, образующихся в реакциях деления урана и
плутония, особое место занимают I131-135 (T = 8.04 сут.; 2.3 ч.;
20.8 ч.; 52.6 мин.; 6.61 ч.), характеризующиеся большим выходом в реакциях
деления, высокой миграционной способностью и биологической доступностью.
В обычном режиме эксплуатации АЭС выбросы радионуклидов, в том числе
радиоизотопов йода, невелики. В аварийных условиях, как свидетельствуют крупные
аварии, радиоактивный йод, как источник внешнего и внутреннего облучения, был
основным поражающим фактором в начальный период аварии.
Основным источником поступления радиойода населению в зонах радионуклидного
загрязнения были местные продукты питания растительного и животного
происхождения. Молоко, свежие молочные продукты и листовые овощи, имеющие
поверхностное загрязнение, обычно являются основным источником поступления
радиойода населению.
В патологический процесс вовлекаются все органы и системы, особенно
тяжелые повреждения в щитовидной железе, где формируются наиболее высокие дозы.
4.3
Радиоактивный цезий
Является одним из основных дозообразующих радионуклидов продуктов деления
урана и плутония. Нуклид характеризуется высокой миграционной способностью во
внешней среде, включая пищевые цепочки. Основным источником поступления
радиоцезия человеку являются продукты питания животного и растительного
происхождения. Радиоактивный цезий, поступающий животным с загрязненным кормом,
в основном накапливается в мышечной ткани (до 80 %) и в скелете (10 %).
Является основным источником внешнего и внутреннего облучения после
распада радиоактивных изотопов йода.
Из радиоизотопов цезия наибольшее значение имеет Cs137,
характеризующийся большим выходом в реакциях деления, сроками жизни (T = 30.2
года) и токсичностью. Он считается одним из наиболее значимых радионуклидов
продуктов ядерного деления.
Регистрируют повышенное содержание радиоцезия у жителей, потребляющих в
больших количествах "дары природы" (грибы, лесные ягоды и особенно
дичь).
Радиоцезий, поступая в организм, относительно равномерно распределяется,
что приводит к практически равномерному облучению органов и тканей. Этому
способствует высокая проникающая способность гамма-квантов его дочернего
нуклида Ba137m, равная примерно 12 см.
4.4
Радиоактивный стронций
После радиоактивных изотопов йода и цезия следующим по значимости
элементом, радиоактивные изотопы которого вносят наибольший вклад в загрязнение
- стронций. Впрочем, доля стронция в облучении значительно меньше.
Природный стронций относится к микроэлементам и состоит из смеси четырех
стабильных изотопов Sr84 (0.56%), Sr86 (9.96%), Sr87
(7.02%), Sr88 (82.0%). По физико-химическим свойствам он является
аналогом кальция. Стронций содержится во всех растительных и животных
организмах. В организме взрослого человека содержится около 0.3 г стронция.
Почти весь он находится в скелете.
В условиях нормальной эксплуатации АЭС выбросы радионуклидов незначительны.
В основном они обусловлены газообразными радионуклидами (радиоактивными
благородными газами, 14С, тритием и йодом). В условиях аварий, особенно
крупных, выбросы радионуклидов, в том числе радиоизотопов стронция, могут быть
значительными.
Наибольший практический интерес представляют Sr89 (Т = 50.5
сут.) и Sr90 (Т = 29.1 лет), характеризующиеся большим выходом в
реакциях деления урана и плутония. Как Sr89, так и Sr90
являются бета-излучателями. При распаде Sr89 образуется стабильный
изотоп итрия (Y89). При распаде Sr90 образуется
бета-активный Y90, который в свою очередь распадается с образованием
стабильного изотопа циркония (Zr90).
В начальный период Sr89 является одним из компонентов
загрязнения внешней среды в зонах ближних выпадений радионуклидов. Однако у Sr89
относительно небольшой период полураспада и со временем начинает превалировать
Sr90.
Животным радиоактивный стронций в основном поступает с кормом и в меньшей
степени с водой (около 2 %). Помимо скелета наибольшая концентрация стронция
отмечена в печени и почках, минимальная - в мышцах и особенно в жире, где
концентрация в 4-6 раз меньшая, чем в других мягких тканях.
Радиоактивный стронций относится к остеотропным биологически опасным
радионуклидам. Как чистый бета-излучатель основную опасность он представляет
при поступлении в организм. Населению нуклид в основном поступает с
загрязненными продуктами. Ингаляционный путь имеет меньшее значение.
Радиостронций избирательно откладывается в костях, особенно у детей, подвергая
кости и заключенный в них костный мозг постоянному облучению.
5. РАСЧЕТ
КОНЦЕНТРАЦИИ РАДИОАКТИВНЫХ ЭЛЕМЕНТОВ
При составлении таблицы использовались данные, полученные из цепочек
радиоактивных осколков деления. Для каждого нуклида указаны период его
полураспада в искомых единицах измерения и переведенный в секунды (для
практичности расчетов), постоянная распада (вероятность распада ядра в единицу
времени), кумулятивный выход осколков деления в относительных единицах,
количество ядер, образовавшихся за одно деление, активность на 1МВт мощности
(число актов распада в данном образце радиоактивного нуклида за единицу
времени) (Следует подчеркнуть, что единицы активности непосредственно связаны
только с числом распадов в источнике в 1 секунду, а не с количеством вещества
или числом испускаемых частиц, и характеризует не что иное, как скорость
ядерных превращений в источнике).
В связи с поставленной задачей был разработан алгоритм расчета накопления
радиоактивных осколков деления в реакторе.
Для начала задаем время работы реактора τ=3 года (3года = 26280 часов = 9,46 107
секунд). Для практичности использования полученных данных в дальнейшем, все
расчеты ведутся на 1МВт мощности реактора.
количество делений в секунду на 1 МВт мощности:
Постоянная распада λ рассчитывается следующим образом:
где:
Т - период полураспада, сек;
Баланс радиоактивных ядер в работающем реакторе имеет вид:
где:
N - количество
образовавшихся ядер на 1 МВт мощности, яд./МВт;
λ - постоянная распада (вероятность
распада ядра в единицу времени), 1/сек;
γi -выход осколков деления i на одно деление в относительных
единицах;
Если материнское ядро (i-1)
имеет значительно меньший период полураспада, чем дочернее (i), то
можно заменить
на
.
Тогда решение баланса будет иметь вид:
где,
- кумулятивный выход осколков деления i;
τ - время работы реактора, 9,46 * 107сек;
Для тех элементов, у которых период полураспада составляет менее
полугода, исходя из формулы, постоянная радиоактивного распада λi будет настолько мала, что значение
будет меньше или равно 0,01.
Соответственно результат вычитания в скобках будет равен 0,99, что ни каким
образом не повлияет на значение Ni. Исходя из этого, формулу для определения количества образовавшихся ядер
на МВт мощности можно упростить до следующего вида:
После необходимо определить активность элемента, измеряемую в
распадах/сек/Мвт мощности реактора (или Бк/МВт):
где:активность на МВт мощности Бк/МВт;
Для последующих элементов выводятся следующие расчетные формулы:
В ситуации, когда период полураспада меньше полугода формула имеет вид:
Для аналогичной ситуации расчет активности производится по следующей
формуле:
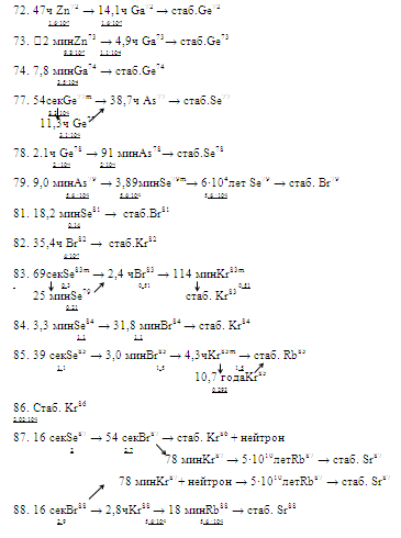
Для примера воспользуюсь самой первой цепочкой превращений с массовым
числом 72:
. 47ч Zn72 → 14,1ч Ga72 → стаб.Ge72
,6∙10-7 1,6∙10-7
* 47ч Zn72
,6∙10-7
72 - массовое число;
ч - период полураспада;
,6∙10-7 - кумулятивный выход осколков деления;
Zn72обозначается в формулах, как i;
Ga72обозначается в формулах, как i+1;
В соответствии с формулами 5.5 и 5.6:
В соответствии с формулами 5.8 и 5.9:
Результаты по разработанному алгоритму приведены в таблице.
В таблицах и приложениях запись вида 1,69 -5 означает 1,69 ∙ 10-5
, а 1,69 +5 означает 1,69 ∙ 10+5.
Таблица 5.1
Сводная таблица нуклидов
|
Нуклид
|
Т
|
Т, сек
|
λ, 1/сек
|
ϒ
|
N, яд./МВт
|
q, Бк/МВт
|
q/ПГП
|
|
1
|
2
|
3
|
4
|
5
|
6
|
7
|
8
|
|
1
|
Zn72
|
47ч
|
1,69 +5
|
4,00 -6
|
1,60 -7
|
1,24 +15
|
4,96 +9
|
3,30 +4
|
|
2
|
Zn73
|
2мин
|
120
|
5,77 -3
|
9,80 -7
|
5,26 +12
|
3,04 +10
|
-
|
|
3
|
Ga72
|
14,1ч
|
5,08 +4
|
1,36 -5
|
-
|
3,65 +14
|
4,96 +9
|
-
|
|
4
|
Ga73
|
4,9ч
|
1,76 +4
|
3,91 -5
|
1,20 -7
|
7,77 +14
|
3,04 +10
|
-
|
|
5
|
Ga74
|
7,8мин
|
4,68 +2
|
1,48 -3
|
3,50 -8
|
7,33 +13
|
10,85 +10
|
-
|
|
6
|
Ge77
|
11,3ч
|
4,07 +4
|
1,70 -5
|
3,10 -7
|
5,65 +15
|
9,60 +11
|
-
|
|
7
|
Ge78
|
2,1ч
|
7,56 +3
|
9,16 -5
|
2,00 -6
|
6,78 +15
|
6,21 +12
|
-
|
|
8
|
As77
|
38,7ч
|
1,39 +5
|
4,90 -6
|
5,20 -5
|
5,25 +17
|
25,72 +11
|
1,13 +6
|
|
9
|
As78
|
91мин
|
5,46 +3
|
1,27 -4
|
-
|
4,89 +16
|
6,21 +12
|
-
|
|
10
|
As79
|
9мин
|
5,4 +2
|
1,28 -3
|
5,60 -4
|
1,36 +16
|
17,36 +12
|
-
|
|
11
|
Se79
|
6∙104лет
|
1,89 +12
|
3,66 -13
|
-
|
1,64 +21
|
6,01 +8
|
3,34 +3
|
|
12
|
Se81
|
18,2мин
|
1,09 +3
|
6,36 -4
|
1,40 -5
|
6,76 +14
|
4,3 +11
|
-
|
|
13
|
Se83
|
25мин
|
1,5 +3
|
4,62 -4
|
2,10 -3
|
1,41 +17
|
-
|
|
14
|
Se84
|
3,3мин
|
1,98 +2
|
3,50 -3
|
1,10 -2
|
9,74 +17
|
3,41 +14
|
-
|
|
15
|
Se85
|
39сек
|
39
|
1,78 -2
|
1,10 -2
|
1,92 +16
|
1,92+16
|
-
|
|
16
|
Se87
|
16сек
|
16
|
4,33 -2
|
2,00 -2
|
1,43 +16
|
6,20 +14
|
-
|
|
17
|
Br82
|
35,4ч
|
1,27 +5
|
5,40 -6
|
4,00 -7
|
2,3 +15
|
12,42 +9
|
9,55 +3
|
|
18
|
Br83
|
2,4ч
|
8,64 +3
|
8,02 -5
|
3,00 -3
|
1,97 +18
|
15,8 +13
|
-
|
|
19
|
Br84
|
31,8мин
|
1,91 +3
|
3,63 -4
|
1,00 -3
|
1,02 +18
|
3,72 +14
|
-
|
|
20
|
Br85
|
3мин
|
1,80 +2
|
3,85 -3
|
4,00 -3
|
1,21 +17
|
3,22 +16
|
-
|
|
21
|
Br87
|
54сек
|
54
|
1,28 -2
|
7,00 -3
|
6,54 +16
|
8,3 +14
|
-
|
|
22
|
Br88
|
16сек
|
16
|
4,33 -2
|
2,90 -2
|
2,08 +16
|
8,99 +14
|
-
|
|
23
|
Br89
|
4,4сек
|
4,4
|
4,33 -1
|
4,59 -2
|
3,29 +15
|
14,23 +14
|
-
|
|
24
|
Br90
|
1,6сек
|
1,6
|
4,33 -1
|
5,00 -2
|
3,58 +15
|
15,5 +14
|
-
|
|
25
|
Kr85
|
10,7года
|
3,37 +8
|
2,05 -9
|
2,90 -3
|
9,22 +21
|
1,89 +13
|
-
|
|
26
|
Kr87
|
78мин
|
4,68 +3
|
1,48 -4
|
-
|
5,26 +18
|
7,78 +14
|
-
|
|
27
|
Kr88
|
2,8ч
|
1,01 +4
|
6,87 -5
|
6,30 -3
|
1,59 +19
|
10,94 +14
|
-
|
|
28
|
Kr89
|
3,2мин
|
1,92 +2
|
2,10 -2
|
-
|
6,77 +16
|
12,09 +14
|
-
|
|
29
|
Kr90
|
33сек
|
33
|
2,10 -2
|
2,00 -2
|
6,27 +16
|
13,17 +14
|
-
|
|
30
|
Kr91
|
10сек
|
10
|
6,93 -2
|
3,45 -2
|
1,54 +16
|
10,69 +14
|
-
|
|
31
|
Kr92
|
3сек
|
3
|
2,31 -1
|
1,87 -2
|
2,52 +15
|
5,79 +14
|
-
|
|
32
|
Kr93
|
2сек
|
2
|
3,46 -1
|
4,80 -3
|
4,3 +14
|
1,49 +14
|
-
|
|
33
|
Kr94
|
1,4сек
|
1,4
|
4,95 -1
|
1,00 -3
|
6,26 +13
|
3,10 +13
|
-
|
|
34
|
Kr95
|
кор
|
|
1,39
|
7,00 -5
|
1,56 +12
|
2,17 +12
|
-
|
|
35
|
Kr97
|
кор
|
|
1,38
|
6,00 -7
|
1,35 +10
|
1,86 +10
|
-
|
|
36
|
Rb87
|
5 ∙1010лет
|
1,58 +18
|
4,38 -19
|
9,90 -4
|
7,35 +22
|
3,23 +4
|
-
|
|
37
|
Rb88
|
18мин
|
1,08 +3
|
6,42 -4
|
1,70 -3
|
1,78 +18
|
11,47 +14
|
-
|
|
38
|
Rb89
|
15,4мин
|
9,24 +2
|
7,50 -4
|
2,10 -3
|
1,98 +18
|
12,74 +14
|
-
|
|
39
|
Rb90
|
2,7мин
|
1,62 +3
|
4,27 -3
|
9,00 -3
|
3,73 +17
|
15,96 +14
|
-
|
|
40
|
Rb91
|
72сек
|
72
|
9,63 -3
|
2,25 -2
|
1,83 +17
|
17,66 +14
|
-
|
|
41
|
Rb92
|
5,3сек
|
5,3
|
1,30 -1
|
5,40 -3
|
5,74 +15
|
7,46 +14
|
-
|
|
42
|
Rb93
|
5,6сек
|
5,6
|
1,24 -1
|
3,92 -2
|
11 +15
|
13,64 +14
|
-
|
|
43
|
Rb94
|
2,9сек
|
2,9
|
2,39 -1
|
2,80 -2
|
3,76 +15
|
8,99 +14
|
-
|
|
44
|
Rb95
|
кор
|
|
1,39
|
1,60 -2
|
3,58 +14
|
4,98 +14
|
-
|
|
45
|
Rb97
|
кор
|
|
1,38
|
9,90 -4
|
2,22 +13
|
3,08 +13
|
-
|
|
46
|
Sr89
|
50,4дней
|
4,35 +6
|
1,59 -7
|
-
|
9,35 +21
|
12,74 +14
|
-
|
|
47
|
Sr90
|
28,1года
|
8,86 +8
|
7,82 -10
|
-
|
1,47 +24
|
1,15 +14
|
-
|
|
48
|
Sr91
|
9,8ч
|
3,53 +4
|
1,96 -5
|
2,00 -3
|
9,33 +19
|
18,28 +14
|
-
|
|
49
|
Sr92
|
2,7ч
|
9,72 +3
|
7,13 -5
|
3,69 -2
|
2,65 +19
|
18,89 +14
|
-
|
|
50
|
Sr93
|
7,9мин
|
4,74 +2
|
1,46 -3
|
2,10 -2
|
1,38 +18
|
20,15 +14
|
-
|
|
51
|
Sr94
|
1,3мин
|
78
|
8,88 -3
|
2,90 -2
|
2,03 +17
|
17,98 +14
|
-
|
|
52
|
Sr95
|
40сек
|
40
|
1,73 -2
|
3,10 -2
|
8,43 +16
|
14,58 +14
|
-
|
|
53
|
Sr97
|
|
1,38
|
1,60 -2
|
3,59 +14
|
5,26 +14
|
-
|
|
54
|
Y90
|
64,3ч
|
2,32 +5
|
2,99 -6
|
-
|
3,85 +19
|
1,15 +14
|
-
|
|
55
|
Y91
|
57,5дней
|
4,97 +6
|
1,39 -7
|
-
|
5,26 +21
|
7,31 +14
|
-
|
|
56
|
Y92
|
3,6ч
|
1,29 +4
|
5,35 -5
|
-
|
3,53 +19
|
18,89 +14
|
-
|
|
57
|
Y93
|
10,3ч
|
3,71 +4
|
1,86 -5
|
-
|
1,08 +20
|
20,15 +14
|
-
|
|
58
|
Y94
|
20мин
|
1,2 +3
|
5,77 -4
|
7,00 -3
|
3,49 +18
|
20,15 +14
|
-
|
|
59
|
Y95
|
10мин
|
6,00 +3
|
1,15 -3
|
1,50 -2
|
1,67 +18
|
19,23 +14
|
-
|
|
60
|
Y97
|
кор
|
|
1,38
|
3,10 -2
|
1,08 +15
|
14,87 +14
|
-
|
|
61
|
Zr93
|
1,5 ∙106лет
|
4,73 +13
|
1,47 -14
|
-
|
19,05 +22
|
2,80 +9
|
2,80 +4
|
|
62
|
Zr95
|
65дней
|
5,61 +6
|
1,23 -7
|
-
|
1,55 +22
|
19,23 +14
|
-
|
|
63
|
Zr97
|
17ч
|
6,12 +4
|
1,13 -5
|
1,40 -2
|
1,7 +20
|
19,21 +14
|
-
|
|
64
|
Zr98
|
60сек
|
60
|
1,15 -2
|
5,70 -2
|
1,54 +17
|
17,67 +14
|
-
|
|
65
|
Zr99
|
33сек
|
33
|
2,10 -2
|
6,06 -2
|
8,95 +16
|
18,8 +14
|
-
|
|
66
|
Nb97
|
72мин
|
4,32 +3
|
1,61 -4
|
-
|
4,84 +17
|
7,80 +13
|
-
|
|
67
|
Nb98
|
52мин
|
3,12 +3
|
2,22 -4
|
6,40 -4
|
8,92 +16
|
1,98 +13
|
-
|
|
68
|
Nb98
|
кор
|
|
1,39
|
-
|
12,7 +14
|
17,67 +14
|
-
|
|
69
|
Nb99
|
2,4мин
|
1,44 +2
|
4,81 -3
|
-
|
3,9 +17
|
1,88 +15
|
-
|
|
70
|
Nb100
|
3мин
|
180
|
3,80 -3
|
6,30 -2
|
5,14 +17
|
19,53 +14
|
-
|
|
71
|
Nb101
|
1мин
|
60
|
1,00 -2
|
5,00 -2
|
1,55 +17
|
15,5 +14
|
-
|
|
72
|
Mo99
|
66ч
|
2,38 +5
|
2,90 -6
|
5,00 -4
|
6,53 +20
|
1,89 +15
|
8,22 +9
|
|
73
|
Mo101
|
14,6ч
|
5,26 +4
|
7,90 -3
|
-
|
1,55 +14
|
15,5 +14
|
-
|
|
74
|
Mo102
|
11,5мин
|
6,9 +2
|
1,01 -3
|
4,20 -2
|
1,29 +18
|
13,02 +14
|
-
|
|
75
|
Mo104
|
2,5мин
|
150
|
4,62 -3
|
1,80 -2
|
1,21 +17
|
5,58 +14
|
-
|
|
76
|
Mo105
|
2мин
|
120
|
5,77 -3
|
6,00 -3
|
3,2 +16
|
1,86 +14
|
-
|
|
77
|
Tc99
|
2,1 ∙105лет
|
6,62 +12
|
1,05 -13
|
6,00 -4
|
2,33 +22
|
2,44 +9
|
1,22 +4
|
|
78
|
Tc101
|
14мин
|
840
|
8,30 -3
|
6,00 -3
|
2,09 +18
|
17,36 +14
|
-
|
|
79
|
Tc102
|
5сек
|
5
|
1,39 -1
|
-
|
9,39 +15
|
13,02 +14
|
-
|
|
80
|
Tc102
|
4,1мин
|
246
|
2,82 -3
|
2,15 -2
|
2,36 +17
|
6,66 +14
|
-
|
|
81
|
Tc103
|
1,2мин
|
72
|
9,63 -3
|
2,90 -2
|
9,34 +16
|
8,99 +14
|
-
|
|
82
|
Tc104
|
1,8мин
|
108
|
6,42 -3
|
-
|
8,69 +16
|
5,58 +14
|
-
|
|
83
|
Tc105
|
9мин
|
540
|
1,28 -3
|
3,00 -3
|
2,18 +17
|
2,79 +14
|
-
|
|
84
|
Tc107
|
1мин
|
60
|
1,15 -2
|
1,60 -3
|
4,08 +15
|
4,96 +13
|
-
|
|
85
|
Tc108
|
1мин
|
60
|
1,15 -2
|
5,00 -4
|
1,35 +15
|
1,55 +13
|
-
|
|
86
|
Ru103
|
39,7дней
|
3,43 +6
|
2,10 -7
|
-
|
4,28 +21
|
8,99 +14
|
2,72 +9
|
|
87
|
Ru105
|
4,45ч
|
1,6 +4
|
4,32 -5
|
-
|
6,46 +18
|
2,79 +14
|
-
|
|
88
|
Ru106
|
1,01года
|
3,18 +7
|
2,18 -8
|
3,80 -1
|
4,7 +21
|
1,02 +14
|
2,83 +9
|
|
89
|
Ru107
|
4,6мин
|
276
|
2,51 -3
|
4,00 -4
|
2,47 +16
|
6,2 +13
|
-
|
|
90
|
Ru108
|
4,3мин
|
258
|
2,68 -3
|
-
|
5,78 +15
|
1,55 +13
|
-
|
|
91
|
Rh105
|
36ч
|
1,29 +5
|
5,34 -6
|
-
|
5,23 +19
|
2,79 +14
|
1,27 +8
|
|
92
|
Rh106
|
1,01года
|
2,17 -8
|
2,31 -2
|
4,42 +15
|
1,02 +14
|
-
|
|
93
|
Rh107
|
22мин
|
1,32 +3
|
5,25 -4
|
-
|
1,18 +17
|
6,2 +13
|
-
|
|
94
|
Rh108
|
18сек
|
18
|
3,85 -2
|
8,00 -4
|
1,04 +15
|
4,03 +13
|
-
|
|
95
|
Rh109
|
25сек
|
25
|
2,77 -2
|
2,80 -4
|
3,13 +14
|
8,68 +12
|
-
|
|
96
|
Rh111
|
кор
|
|
1,39
|
1,80 -4
|
4,03 +12
|
5,58 +12
|
-
|
|
97
|
Pd107
|
7 ∙106лет
|
2,21 +14
|
3,13 -15
|
1,60 -1
|
5,86 +21
|
1,84 +7
|
10,8
|
|
98
|
Pd109
|
13,6ч
|
4,89 +4
|
1,42 -5
|
-
|
6,11 +17
|
8,68 +12
|
-
|
|
99
|
Pd111
|
23мин
|
1,38 +3
|
5,02 -4
|
-
|
1,11 +16
|
5,58 +12
|
-
|
|
100
|
Pd112
|
21ч
|
7,56 +4
|
9,10 -6
|
1,00 -4
|
3,4 +18
|
3,10 +12
|
-
|
|
101
|
Pd113
|
1,5мин
|
90
|
7,70 -3
|
1,00 -4
|
4,03 +14
|
3,10 +12
|
-
|
|
102
|
Pd114
|
2,мин
|
1,28 +2
|
4,90 -3
|
1,40 -4
|
8,86 +14
|
4,34 +12
|
-
|
|
103
|
Pd115
|
45сек
|
45
|
1,54 -2
|
1,00 -4
|
2,01 +14
|
3,1 +12
|
-
|
|
104
|
Pd116
|
30сек
|
30
|
2,31 -2
|
1,00 -4
|
1,34 +14
|
3,1 +12
|
-
|
|
105
|
Pd117
|
30сек
|
30
|
2,31 -2
|
9,9 -5
|
1,33 +14
|
3,07 +12
|
-
|
|
106
|
Ag111
|
7,5дней
|
6,48 +5
|
1,07 -6
|
1,00 -5
|
5,5 +18
|
5,89 +12
|
1,11 +7
|
|
107
|
Ag112
|
3,14ч
|
1,13 +4
|
6,10 -5
|
1,00 -5
|
5,6 +16
|
3,41 +12
|
-
|
|
108
|
Ag113
|
5,3ч
|
1,91 +4
|
3,63 -5
|
-
|
8,54 +16
|
3,10 +12
|
-
|
|
109
|
Ag114
|
5 сек
|
5
|
1,40 -1
|
4,00 -5
|
3,38 +13
|
4,74 +12
|
-
|
|
110
|
Ag115
|
21мин
|
1,26 +3
|
5,50 -4
|
-
|
5,64 +15
|
3,1 +12
|
-
|
|
111
|
Ag116
|
2,5мин
|
150
|
4,62 -3
|
-
|
6,71 +14
|
3,1 +12
|
-
|
|
112
|
Ag117
|
1,1мин
|
66
|
1,05 -2
|
1,00 -6
|
2,95 +14
|
3,1 +12
|
-
|
|
113
|
Cd115
|
53ч
|
1,91 +5
|
3,60 -6
|
-
|
7,84 +17
|
2,82 +12
|
1,41 +7
|
|
114
|
Cd117
|
50мин
|
3,00 +3
|
2,31 -4
|
-
|
1,34 +16
|
3,1 +12
|
-
|
|
115
|
Cd119
|
2,9мин
|
174
|
3,98 -3
|
5,00 -5
|
3,89 +14
|
15,5 +11
|
-
|
|
116
|
Cd119
|
10мин
|
600
|
1,15 -3
|
5,00 -5
|
13,48 +14
|
15,5 +11
|
-
|
|
117
|
In115
|
6 ∙1014лет
|
1,89 +22
|
3,66 -23
|
-
|
8,74 +19
|
3,28 -1
|
-
|
|
118
|
In117
|
70мин
|
4,2 +3
|
1,65 -4
|
-
|
1,88 +16
|
3,1 +12
|
-
|
|
119
|
In119
|
17,5мин
|
1,05 -3
|
6,6 -4
|
5,00 -5
|
4,56 +15
|
3,01 +12
|
-
|
|
120
|
Sn121
|
28ч
|
1,01 +5
|
6,8 -6
|
1,50 -4
|
6,8 +17
|
4,6 +12
|
-
|
|
121
|
Sn123
|
40мин
|
2,4 +3
|
2,89 -4
|
1,40 -4
|
1,49 +16
|
4,34 +12
|
1,10 +3
|
|
122
|
Sn125
|
9,5мин
|
570
|
1,22 -3
|
1,10 -4
|
2,79 +13
|
3,41 +12
|
5,09 +7
|
|
123
|
Sn126
|
50мин
|
3,00 +3
|
2,31 -4
|
1,00 -3
|
1,34 +17
|
3,1 +13
|
1,03 +9
|
|
124
|
Sn127
|
1,9ч
|
6,84 +3
|
1,01 -4
|
2,50 -3
|
7,67 +17
|
7,75 +13
|
-
|
|
125
|
Sn128
|
57мин
|
3,42 +3
|
2,03 -4
|
5,00 -3
|
7,64 +17
|
1,55 +14
|
-
|
|
126
|
Sn130
|
2,6мин
|
1,56 +2
|
4,40 -3
|
2,00 -2
|
1,41 +17
|
6,2 +14
|
-
|
|
127
|
Sn131
|
3,4мин
|
204
|
3,39 -3
|
2,60 -2
|
2,38 +17
|
8,06 +14
|
-
|
|
128
|
Sn132
|
2,2мин
|
132
|
5,30 -3
|
2,93 -2
|
1,71 +17
|
9,08 +14
|
-
|
|
129
|
Sb125
|
2года
|
6,31 +7
|
1,09 -8
|
1,20 -4
|
4,25 +20
|
4,63 +12
|
2,72 +7
|
|
130
|
Sb126
|
9ч
|
3,24 +4
|
2,13 -5
|
-
|
1,44 +18
|
3,07 +13
|
1,53 +8
|
|
131
|
Sb127
|
91ч
|
3,28 +5
|
2,10 -6
|
-
|
7,75 +13
|
1,61 +8
|
|
132
|
Sb128
|
9,8ч
|
3,53 +4
|
1,96 -5
|
5,00 -4
|
8,69 +18
|
1,71 +14
|
-
|
|
133
|
Sb129
|
4,6ч
|
1,66 +4
|
4,18 -5
|
9,00 -3
|
6,67 +18
|
2,79 +14
|
-
|
|
134
|
Sb130
|
10мин
|
6,00 +2
|
1,60 -3
|
1,00 -3
|
4,07 +17
|
6,51 +14
|
-
|
|
135
|
Sb131
|
23мин
|
1,38 +3
|
5,02 -4
|
3,20 -2
|
1,8 +18
|
9,04 +14
|
-
|
|
136
|
Sb132
|
2,1мин
|
126
|
5,50 -3
|
7,00 -4
|
1,71 +17
|
9,39 +14
|
-
|
|
137
|
Sb133
|
4,1мин
|
246
|
2,82 -3
|
4,00 -2
|
4,39 +17
|
12,4 +14
|
-
|
|
138
|
Sb134
|
48сек
|
48
|
1,44 -2
|
3,00 -2
|
6,46 +16
|
9,3 +14
|
-
|
|
139
|
Te127
|
9,3ч
|
3,35 +4
|
2,06 -5
|
-
|
3,76 +18
|
7,75 +13
|
-
|
|
140
|
Te129
|
72мин
|
4,32 +3
|
1,60 -4
|
1,00 -3
|
1,93 +18
|
3,1 +14
|
-
|
|
141
|
Te131
|
25мин
|
1,5 +3
|
4,62 -4
|
3,60 -3
|
2,19 +18
|
10,16 +14
|
-
|
|
142
|
Te132
|
77ч
|
2,77 +5
|
2,50 -6
|
1,37 -2
|
5,46 +20
|
13,64 +14
|
1,77 +11
|
|
143
|
Te133
|
2мин
|
120
|
2,77 -3
|
2,00 -2
|
3,22 +17
|
18,6 +14
|
-
|
|
144
|
Te134
|
44мин
|
2,64 +3
|
2,63 -4
|
3,70 -2
|
7,89 +18
|
2,07 +15
|
-
|
|
145
|
Te135
|
30сек
|
30
|
1,38
|
4,20 -2
|
9,43 +14
|
13,02 +14
|
-
|
|
146
|
I129
|
1,7 ∙107лет
|
5,36 +14
|
1,29 -15
|
-
|
2,93 +22
|
3,78 +7
|
2,52 +3
|
|
147
|
I131
|
8,04дня
|
6,95 +5
|
9,97 -7
|
1,80 -3
|
1,19 +21
|
1,19 +13
|
8,5 +8
|
|
148
|
I132
|
2,3ч
|
8,28 +3
|
8,36 -5
|
-
|
1,63 +19
|
13,64 +14
|
-
|
|
149
|
I133
|
20,8ч
|
7,48 +4
|
9,26 -6
|
5,00 -3
|
2,18 +20
|
2,02 +15
|
-
|
|
150
|
I134
|
52,5мин
|
3,15 +3
|
2,20 -4
|
1,33 -2
|
1,13 +18
|
2,49 +14
|
-
|
|
151
|
I135
|
6,7ч
|
2,41 +4
|
2,87 -5
|
1,70 -2
|
6,37 +19
|
18,29 +14
|
-
|
|
152
|
I136
|
86сек
|
86
|
8,06 -3
|
3,10 -2
|
1,19 +17
|
9,59 +14
|
-
|
|
153
|
I137
|
24сек
|
24
|
2,89 -2
|
4,90 -2
|
5,26 +16
|
15,19 +14
|
-
|
|
154
|
I138
|
5,8сек
|
5,8
|
1,19 -1
|
3,40 -2
|
8,86 +15
|
10,54 +14
|
-
|
|
155
|
I139
|
2,7сек
|
2,7
|
2,56 -1
|
1,80 -2
|
2,18 +15
|
5,58 +14
|
-
|
|
156
|
Xe133
|
5,27дня
|
4,55 +5
|
1,52 -6
|
1,20 -3
|
1,35 +21
|
2,05 +15
|
-
|
|
157
|
Xe135
|
9,1ч
|
3,28 +4
|
2,11 -5
|
5,00 -3
|
9,4 +19
|
19,84 +14
|
-
|
|
158
|
Xe137
|
3,9мин
|
234
|
2,96 -3
|
1,10 -2
|
6,28 +17
|
18,6 +14
|
-
|
|
159
|
Xe138
|
17мин
|
1,02 +3
|
6,79 -4
|
2,37 -2
|
2,63 +18
|
17,88 +14
|
-
|
|
160
|
Xe139
|
41сек
|
41
|
1,69 -2
|
3,60 -2
|
9,91 +16
|
16,74 +14
|
-
|
|
161
|
Xe140
|
16сек
|
16
|
4,33 -2
|
3,80 -2
|
2,72 +15
|
11,78 +14
|
-
|
|
162
|
Xe141
|
1,7сек
|
1,7
|
4,08 -1
|
1,33 -2
|
1,01 +15
|
4,12 +14
|
-
|
|
163
|
Xe142
|
1,5сек
|
1,5
|
4,62 -1
|
3,50 -3
|
2,35 +14
|
1,08 +14
|
-
|
|
164
|
Xe143
|
0,5сек
|
0,5
|
1,38
|
5,10 -4
|
1,14 +13
|
1,58 +13
|
-
|
|
165
|
Xe144
|
кор
|
|
1,73
|
6,00 -5
|
1,07 +12
|
1,86 +12
|
-
|
|
166
|
Cs135
|
2,6 ∙106лет
|
8,19 +13
|
8,45 -15
|
1,00 -4
|
1,88 +23
|
15,88 +8
|
1,13 +3
|
|
167
|
Cs137
|
29,68лет
|
9,36 +8
|
7,40 -10
|
1,50 -3
|
1,1 +23
|
8,16 +13
|
3,71 +8
|
|
168
|
Cs138
|
32,2мин
|
1,93 +3
|
3,59 -4
|
-
|
4,98 +18
|
17,88 +14
|
-
|
|
169
|
Cs139
|
9,5мин
|
570
|
1,21 -3
|
6,00 -3
|
15,37 +17
|
18,6 +14
|
-
|
|
170
|
Cs140
|
66сек
|
66
|
1,05 -2
|
2,20 -2
|
1,77 +17
|
-
|
|
171
|
Cs141
|
25сек
|
25
|
2,77 -2
|
3,27 -2
|
5,15 +16
|
14,26 +14
|
-
|
|
172
|
Cs142
|
8сек
|
8
|
8,66 -2
|
3,05 -2
|
1,22 +14
|
10,54 +14
|
-
|
|
173
|
Cs143
|
кор
|
|
1,38
|
1,85 -2
|
4,27 +14
|
5,89 +14
|
-
|
|
174
|
Cs144
|
кор
|
|
1,73
|
1,00 -2
|
1,8 +14
|
3,12 +14
|
-
|
|
175
|
Ba139
|
84мин
|
5,04 +3
|
1,38 -4
|
5,50 -3
|
14,71 +18
|
20,30 +14
|
-
|
|
176
|
Ba140
|
12,8дней
|
1,1 +6
|
6,00 -6
|
3,3 -3
|
3,27 +21
|
19,62 +14
|
1,13 +10
|
|
177
|
Ba141
|
18мин
|
1,8 +3
|
6,41 -4
|
1,30 -2
|
2,86 +18
|
18,29 +14
|
-
|
|
178
|
Ba142
|
6мин
|
3,6 +2
|
1,92 -3
|
2,63 -2
|
9,74 +17
|
18,69 +14
|
-
|
|
179
|
Ba143
|
13сек
|
13
|
5,30 -2
|
3,00 -2
|
2,86 +16
|
15,19 +14
|
-
|
|
180
|
Ba144
|
кор
|
|
1,73
|
2,50 -2
|
6,28 +14
|
10,87 +14
|
-
|
|
181
|
La140
|
40,2ч
|
1,45 +5
|
4,70 -6
|
2,00 -4
|
4,19 +20
|
19,68 +14
|
12,3 +9
|
|
182
|
La141
|
3,8ч
|
1,37 +4
|
5,06 -5
|
5,00 -3
|
3,92 +19
|
19,84 +14
|
-
|
|
183
|
La142
|
75мин
|
4,5 +3
|
1,54 -4
|
-
|
12,14 +18
|
18,69 +14
|
-
|
|
184
|
La143
|
19мин
|
1,14 +3
|
6,08 -4
|
9,00 -3
|
2,96 +18
|
17,98 +14
|
-
|
|
185
|
La144
|
кор
|
|
1,73
|
2,30 -2
|
1,04 +15
|
18,00 +14
|
-
|
|
186
|
Ce141
|
33,1дня
|
2,86 +6
|
2,42 -7
|
-
|
8,19 +21
|
19,84 +14
|
8,26 +9
|
|
187
|
Ce143
|
33ч
|
1,18 +5
|
5,83 -6
|
-
|
3,08 +20
|
17,98 +14
|
6,91 +9
|
|
188
|
Ce144
|
284,5дней
|
8,97 +8
|
2,82 -8
|
-
|
5,94 +22
|
16,76 +14
|
2,66 +11
|
|
189
|
Ce145
|
3мин
|
180
|
3,85 -3
|
3,93 -2
|
3,21 +16
|
12,18 +14
|
-
|
|
190
|
Ce146
|
13,9мин
|
8,34 +2
|
8,30 -4
|
2,93 -2
|
10,94 +17
|
9,08 +14
|
-
|
|
191
|
Ce147
|
1,2мин
|
72
|
9,63 -3
|
2,26 -2
|
7,27 +16
|
7,00 +14
|
-
|
|
192
|
Ce148
|
40сек
|
40
|
1,70 -2
|
1,71 -2
|
3,12 +16
|
5,30 +14
|
-
|
|
193
|
Pr143
|
13,7дня
|
1,18 +6
|
5,85 -7
|
4,00 -3
|
3,29 +21
|
19,22 +14
|
-
|
|
194
|
Pr144
|
17,5мин
|
1,05 +3
|
6,60 -4
|
3,00 -3
|
2,68 +18
|
17,69 +14
|
-
|
|
195
|
Pr145
|
6ч
|
2,16 +4
|
3,21 -5
|
3,96 -2
|
7,64 +19
|
24,46 +14
|
-
|
|
196
|
Pr146
|
24,4мин
|
1,46 +3
|
4,75 -5
|
3,70 -3
|
13,82 +17
|
10,23 +14
|
-
|
|
197
|
Pr147
|
12мин
|
7,2 +2
|
9,62-4
|
-
|
7,27 +17
|
7,00 +14
|
-
|
|
198
|
Pr148
|
1,95мин
|
1,17 +2
|
2,92 -3
|
-
|
1,81 +17
|
5,3 +14
|
-
|
|
199
|
Nd144
|
5∙1015лет
|
1,58 +23
|
4,39 -24
|
-
|
16,72 +22
|
7,34
|
-
|
|
200
|
Nd147
|
11,06дней
|
9,55 +5
|
7,25 -7
|
-
|
9,65 +20
|
7,00 +14
|
2,12 +9
|
|
201
|
Nd149
|
2ч
|
7,2 +3
|
9,60 -5
|
1,13 -2
|
3,65 +18
|
3,50 +14
|
-
|
|
202
|
Nd151
|
12мин
|
7,2 +2
|
9,60 -4
|
4,50 -2
|
1,45 +17
|
1,39 +14
|
-
|
|
203
|
Pm147
|
2,64года
|
8,32 +7
|
8,33 -9
|
-
|
4,54 +22
|
3,78 +14
|
2,22 +9
|
|
204
|
Pm149
|
53,1ч
|
1,91 +5
|
3,60 -6
|
1,70 -3
|
11,19 +19
|
4,03 +14
|
1,44 +9
|
|
205
|
Pm151
|
28,4ч
|
1,03 +5
|
6,70 -6
|
5,00 -4
|
2,30 +19
|
1,54 +14
|
4,05 +8
|
|
206
|
Sm147
|
1,3∙1011лет
|
4,09 +22
|
1,69 -19
|
1,00 -3
|
3,57 +22
|
6,04 +3
|
-
|
|
207
|
Sm151
|
93года
|
2,93 +9
|
2,36 -10
|
-
|
1,96 +22
|
4,62 +12
|
-
|
|
208
|
Sm153
|
47ч
|
1,69 +5
|
4,00 -6
|
1,50 -3
|
1,16 +19
|
4,60 +13
|
3,54 +7
|
|
209
|
Sm155
|
23,5мин
|
1,41 +3
|
4,91 -4
|
3,10 -4
|
1,96 +16
|
9,61 +12
|
-
|
|
210
|
Sm156
|
3,24 +4
|
2,13 -5
|
1,30 -4
|
1,90 +18
|
4,03 +12
|
-
|
|
211
|
Eu155
|
1,7года
|
5,36 +7
|
1,29 -8
|
2,00 -5
|
5,63 +20
|
7,26 +12
|
5,19 +7
|
|
212
|
Eu156
|
15,4дней
|
1,33 +6
|
5,00 -7
|
1,00 -5
|
1,42 +18
|
7,09 +11
|
2,95 +6
|
|
213
|
Eu157
|
15,4ч
|
5,54 +4
|
1,25 -5
|
7,80 -5
|
20,15 +16
|
2,42 +12
|
-
|
|
214
|
Eu158
|
60мин
|
3,6 +3
|
1,9 -4
|
2,00 -5
|
3,26 +15
|
6,2 +11
|
-
|
|
215
|
Gd159
|
18ч
|
6,48 +4
|
1,00 -5
|
1,07 -5
|
3,32 +16
|
3,32 +11
|
-
|
|
216
|
Gd161
|
3,7мин
|
2,22 +2
|
3,12 -3
|
8,00 -5
|
7,95 +14
|
24,8 +11
|
-
|
|
217
|
Tb161
|
6,9дней
|
5,96 +5
|
11,00 -7
|
-
|
2,25 +18
|
24,8 +11
|
3,94 +6
|
|
218
|
Dy166
|
82ч
|
2,95 +5
|
23,00 -7
|
7,80 -7
|
1,05 +16
|
24,18 +9
|
5,62 +4
|
|
219
|
Ho166
|
27,4ч
|
9,86 +4
|
7,00 -6
|
-
|
3,46 +15
|
24,18 +9
|
9,67 +4
|
6. РАСЧЕТ
АКТИВНОСТИ РАДИОНУКЛИДОВ
После расчета активности нуклидов (Сводная таблица нуклидов) в работе
идет сравнение полученных значений со значениями дозовых коэффициентов,
пределов годового поступления с воздухом отдельных радионуклидов для персонала
и населения. В данном случае для расчетов использовались значения предельно
годовых поступлений для населения, так как они более «жесткие» и наиболее
достоверно показывают всю картину происходящего. Все необходимые данные по
пределам годовых поступлений берутся из Норм радиационной безопасности
(НРБ-99). С помощью данных этой таблицы можно увидеть, в какой период времени
после остановки реактора, какие элементы обладают наибольшей опасностью.
Расчеты проводились по зависимости:
qа
- активность
элемента в конкретный момент времени после остановки реактора;
qа0
- активность
элемента на момент остановки реактора, в предыдущей таблице она обозначалась q;
τ - временной отрезок, на котором
ведется расчет активности;
Для отслеживания активности осколков деления qа были выбраны следующие временные промежутки: 2 дня (172800
сек) (время непрерывного расхолаживания активной зоны, при котором станция
должна находиться без энергии из вне), 24 дня (2073600 сек) (время до вскрытия
реактора), 180 дней (15552000 сек), 1 год (31,54 106 сек) (примерное
время выдержки отработанного топлива в бассейнах выдержки), 10 лет (31,54 107
сек), 100 лет (31,54 108 сек), 300 лет (94,62 106 сек),
1000 лет (31,54 109 сек).
Полученные значения активности элементов после остановки реактора qа0 делятся на ПГП, поступающие в
организм с воздухом. В таблице Активность нуклидов во времени приведены
результаты расчетов 47 радионуклидов, для которых установлено значение ПГП (в
соответствии с НРБ-99).
Таблица 6.1
Активность нуклидов во времени
|
№
|
Нуклид
|
Т
|
N, яд./МВт
|
q, Бк/МВт
|
q/ПГП
|
ПГП, Бк/год
|
qа1, 2дня
|
qа2, 24дня
|
qа3, 180дней
|
qа4, 1год
|
qа5, 10лет
|
qа6, 100 лет
|
qа7, 300лет
|
qа8, 1000лет
|
|
1
|
2
|
3
|
4
|
5
|
6
|
7
|
8
|
9
|
10
|
11
|
12
|
13
|
14
|
|
1
|
Zn72
|
47ч
|
1,24 +15
|
4,96 +9
|
3,3 +4
|
1,5 +5
|
1,65 +4
|
8,26
|
3,18 -23
|
|
|
|
|
|
|
2
|
As77
|
38,7ч
|
5,25 +17
|
25,72 +11
|
1,29 +6
|
2,0 +6
|
5,52 +5
|
49,7
|
1,03 -27
|
|
|
|
|
|
|
3
|
Se79
|
6∙104лет
|
1,64 +21
|
6,01 +8
|
3,34 +3
|
1,8 +5
|
3,34 +3
|
3,34 +3
|
3,34 +3
|
3,34 +3
|
3,34 +3
|
3,34 +3
|
3,33 +3
|
3,30 +3
|
|
4
|
Br82
|
35,4ч
|
2,3 +15
|
12,42 +9
|
9,55 +3
|
1,3 +6
|
3,76 +3
|
13,15 -2
|
|
|
|
|
|
|
|
5
|
Sr90
|
28,1года
|
1,47 +23
|
1,15 +14
|
5,75 +9
|
2,0 +4
|
5,75 +9
|
5,75 +9
|
5,75 +9
|
5,60 +9
|
5,50 +9
|
5,05 +9
|
3,92 +6
|
16,1 -2
|
|
6
|
Zr93
|
1,5 ∙106лет
|
19,05 +22
|
2,80 +9
|
2,80 +4
|
1,0 +5
|
2,80 +4
|
2,80 +4
|
2,80 +4
|
2,80 +4
|
2,80 +4
|
2,80 +4
|
2,80 +4
|
2,80 +4
|
|
7
|
Nb93m
|
12лет
|
1,76 +21
|
3,22 +12
|
7,67 +6
|
4,2 +5
|
7,66 +6
|
7,63 +6
|
7,45 +6
|
7,23 +6
|
4,33 +6
|
2,5 +4
|
2,71 -1
|
|
|
8
|
Mo99
|
66ч
|
6,53 +20
|
1,89 +15
|
8,22 +9
|
2,3 +5
|
4,99 +9
|
2,02 +8
|
2,13 -10
|
|
|
|
|
|
|
9
|
Tc99
|
2,1 ∙105лет
|
2,33 +22
|
2,44 +9
|
1,22 +4
|
2,0 +5
|
1,22 +4
|
1,22 +4
|
1,22 +4
|
1,22 +4
|
1,22 +4
|
1,22 +4
|
1,22 +4
|
1,22 +4
|
|
10
|
Ru103
|
39,7дней
|
4,28 +21
|
8,99 +14
|
2,72 +9
|
3,3 +5
|
2,62 +9
|
1,76 +9
|
1,04 +8
|
3,85 +6
|
8,45 -20
|
|
|
|
|
11
|
Ru106
|
1,01года
|
4,7 +21
|
1,02 +14
|
2,83 +9
|
3,6 +4
|
2,81 +9
|
2,71 +9
|
1,98 +9
|
1,43 +9
|
3,11 +6
|
7,25 -21
|
|
|
|
12
|
Rh105
|
36ч
|
5,23 +19
|
2,79 +14
|
1,27 +8
|
2,2 +6
|
1,22 +8
|
8,23 +7
|
4,82 +6
|
1,79 +5
|
3,95 -21
|
|
|
|
|
13
|
Pd107
|
7 ∙106лет
|
5,86 +21
|
1,84 +7
|
10,8
|
1,7 +6
|
10,8
|
10,8
|
10,8
|
10,8
|
10,8
|
10,8
|
10,8
|
10,8
|
|
14
|
Ag111
|
7,5дней
|
5,5 +18
|
5,89 +12
|
1,11 +7
|
5,3 +5
|
4,92 +6
|
1,21 +6
|
65,85 -2
|
|
|
|
|
|
|
15
|
Cd115
|
53ч
|
7,84 +17
|
2,82 +12
|
1,41 +7
|
2,0 +5
|
7,55 +6
|
8,10 +3
|
1,71 -18
|
|
|
|
|
|
|
16
|
Cd115m
|
44,2дней
|
6,69 +18
|
12,09 +11
|
1,09 +7
|
1,1 +5
|
10,69 +6
|
7,85 +6
|
6,48 +5
|
3,72 +4
|
1,9 -23
|
|
|
|
|
17
|
Sn117m
|
14дней
|
1,08 +16
|
6,2 +9
|
1,94 +4
|
3,2 +5
|
1,75 +4
|
5,87 +3
|
2,61
|
2,83 -4
|
|
|
|
|
|
18
|
Sn121
|
28ч
|
6,8 +17
|
4,6 +12
|
1,35 +6
|
3,4 +6
|
4,18 +5
|
1,02
|
1,61 -40
|
|
|
|
|
|
|
19
|
Sn121m
|
5лет
|
2,43 +19
|
1,05 +11
|
5,83 +5
|
1,8 +5
|
5,77 +5
|
5,46 +5
|
5,09 +5
|
1,5 +5
|
74,4 -2
|
|
|
|
20
|
Sn123
|
40мин
|
1,49 +16
|
4,34 +12
|
3,94 +7
|
1,1 +5
|
6,80 -15
|
|
|
|
|
|
|
|
|
21
|
Sn125
|
9,5мин
|
2,79 +13
|
3,41 +12
|
5,09 +7
|
6,7 +4
|
1,41 -84
|
|
|
|
|
|
|
|
|
22
|
Sn126
|
50мин
|
1,34 +17
|
3,1 +13
|
1,03 +9
|
3,0 +4
|
4,87 -10
|
|
|
|
|
|
|
|
|
23
|
Sb125
|
2года
|
4,25 +20
|
4,63 +12
|
2,72 +7
|
1,7 +5
|
4,18 +7
|
4,10 +7
|
3,54 +7
|
2,98 +7
|
1,39 +6
|
6,71 -8
|
|
|
|
24
|
Sb126
|
9ч
|
1,44 +18
|
3,07 +13
|
1,53 +8
|
2,0 +5
|
3,87 +6
|
1,01 -11
|
|
|
|
|
|
|
|
25
|
Sb127
|
91ч
|
3,69 +19
|
7,75 +12
|
1,61 +8
|
4,8 +5
|
1,13 +8
|
2,10 +7
|
10,56 -7
|
|
|
|
|
|
|
26
|
Te132
|
77ч
|
5,46 +20
|
13,64 +14
|
1,77 +10
|
7,7 +4
|
1,15 +10
|
9,93 +7
|
2,31 -7
|
|
|
|
|
|
|
27
|
I129
|
1,7 ∙107лет
|
2,93 +22
|
3,78 +7
|
2,52 +3
|
1,5 +4
|
2,52 +3
|
2,52 +3
|
2,52 +3
|
2,52 +3
|
2,52 +3
|
2,52 +3
|
2,52 +3
|
2,52 +3
|
|
28
|
I131
|
8,04дня
|
1,19 +21
|
1,19 +13
|
8,5 +8
|
1,4 +4
|
6,55 +11
|
1,18 +11
|
6,40 +5
|
3,76 -2
|
|
|
|
|
|
29
|
Cs135
|
2,6 ∙106лет
|
1,88 +23
|
15,88 +8
|
11,34 +2
|
1,4 +6
|
11,34 +2
|
11,34 +2
|
11,34 +2
|
11,34 +2
|
11,34 +2
|
11,34 +2
|
11,34 +2
|
11,34 +2
|
|
30
|
Cs137
|
29,68лет
|
1,1 +23
|
8,16 +14
|
3,71 +8
|
2,2 +5
|
3,71 +8
|
3,71 +8
|
3,71 +8
|
3,62 +8
|
2,94 +8
|
3,68 +7
|
3,65 +6
|
3,37 -2
|
|
31
|
Ba140
|
12,8дней
|
3,27 +21
|
19,62 +14
|
1,23 +10
|
1,6 +5
|
11,05 +9
|
3,53 +9
|
1,09 +6
|
86,9
|
7,56 -72
|
|
|
|
|
32
|
La140
|
40,2ч
|
4,19 +20
|
19,68 +14
|
12,3 +9
|
1,6 +5
|
5,54 +9
|
7,25 +5
|
2,26 -22
|
|
|
|
|
|
|
33
|
Ce141
|
33,1дня
|
8,19 +21
|
19,84 +14
|
8,26 +9
|
2,4 +5
|
7,93 +9
|
5,01 +9
|
2,1 +8
|
4,29 +6
|
1,15 -23
|
|
|
|
|
34
|
Ce143
|
33ч
|
3,08 +20
|
17,98 +14
|
6,91 +9
|
2,6 +5
|
2,52 +9
|
3,88 +4
|
2,90 -30
|
|
|
|
|
|
|
35
|
Ce144
|
284,5дней
|
5,94 +22
|
16,76 +14
|
2,66 +11
|
6,3 +3
|
2,66 +11
|
2,56 +11
|
2,53 +11
|
1,72 +11
|
1,10 +11
|
2,35 +6
|
1,38 -27
|
|
|
36
|
Pr143
|
13,7дня
|
3,29 +21
|
19,22 +14
|
5,82 +9
|
3,3 +5
|
5,26 +9
|
1,73 +9
|
6,51 +4
|
56,7
|
7,15 -72
|
|
|
|
|
37
|
Nd147
|
11,06дней
|
9,65 +20
|
7,00 +14
|
2,12 +9
|
3,3 +5
|
1,87 +9
|
4,73 +8
|
3,85 +4
|
30,61 -2
|
|
|
|
|
|
38
|
Pm147
|
2,64года
|
4,54 +22
|
3,78 +14
|
2,22 +9
|
1,7 +5
|
2,22 +9
|
2,18 +9
|
1,95 +9
|
1,71 +9
|
1,61 +8
|
6,84 -3
|
|
|
|
39
|
Pm149
|
53,1ч
|
11,19 +19
|
4,03 +14
|
1,44 +9
|
2,8 +5
|
7,71 +8
|
9,29 +5
|
6,86 -14
|
|
|
|
|
|
|
40
|
Pm151
|
28,4ч
|
2,3 +19
|
1,54 +14
|
4,05 +8
|
3,8 +5
|
1,27 +8
|
3,76 +2
|
2,34 -37
|
|
|
|
|
|
|
41
|
Sm151
|
93года
|
1,96 +22
|
4,62 +12
|
1,85 +7
|
2,5 +5
|
1,85 +7
|
1,85 +7
|
1,8 +7
|
1,76 +7
|
8,52 +6
|
1,84 +5
|
18,2
|
1,76 -13
|
|
42
|
Sm153
|
47ч
|
1,16 +19
|
4,6 +13
|
3,54 +7
|
1,3 +6
|
1,55 +7
|
8,85 +5
|
3,4 -18
|
|
|
|
|
|
|
43
|
Eu155
|
1,7года
|
5,63 +20
|
7,26 +12
|
5,19 +7
|
1,4 +5
|
5,17 +9
|
5,05 +9
|
4,26 +7
|
3,45 +7
|
8,86 +5
|
1,09 -10
|
|
|
|
44
|
Eu156
|
15,4дней
|
1,42 +18
|
7,09 +11
|
2,95 +6
|
2,4 +5
|
2,71 +6
|
1,05 +6
|
1,23 +3
|
42,5 -2
|
|
|
|
|
|
45
|
Tb161
|
6,9дней
|
2,25 +18
|
24,8 +11
|
3,94 +6
|
6,3 +5
|
3,25 +6
|
4,03 +5
|
14,75 -2
|
3,59 -9
|
|
|
|
|
|
46
|
Dy166
|
82ч
|
1,05 +16
|
24,18 +9
|
5,62 +4
|
4,3 +5
|
3,78 +4
|
4,77 +2
|
1,64 -11
|
|
|
|
|
|
|
47
|
Ho166
|
27,4ч
|
3,46 +15
|
24,18 +9
|
9,67 +4
|
2,5 +5
|
2,88 +4
|
4,76 -2
|
5,12 -43
|
|
|
|
|
|
|
Сумма:
|
3,58 +11
|
|
4,03 +11
|
2,97 +11
|
2,66 +11
|
1,96+11
|
1,15+11
|
5,55 +9
|
7,62 +6
|
4,71 +4
|
7. РЕЗУЛЬТАТЫ
РАСЧЕТОВ
Из вышеприведенной таблицы Активность нуклидов во времени видно, что
через 300 лет, каждый из упомянутых нуклидов не будет превышать значения своего
ПГП, а соответственно не будет наносить ущерб живым организмам и окружающей
среде.
Период полураспада некоторых элементов намного больше, чем то время,
которое я рассматриваю в работе, а следовательно они не представляют опасности
для окружения, так как на второй день после остановки реактора (минимальный
временной промежуток расчетов) значение активности осколков деления не
превышает значения ПГП. К таким элементам относятся:(Т = 6∙104лет),(Т
= 1,5 ∙106лет),(Т = 2,1 ∙105лет),(Т = 7 ∙106лет),(Т
= 1,7 ∙107лет),(Т = 2,6 ∙106лет)
По той же причине не несут угрозы нуклиды с достаточно коротким периодом
полураспада:(Т = 47ч),(Т = 38,7ч),(Т = 35,4ч),(Т = 28ч),(Т = 40 мин),(Т = 9,5
мин),(Т = 50 мин),(Т = 9ч),(Т = 82ч),(Т = 27,4ч).
Через 24 дня перестанут быть опасными:(Т = 66ч),(Т = 7,5 дней),(Т =
53ч),(Т = 91ч),(Т = 77ч),(Т = 40,2ч),(Т = 33ч),(Т = 13,7 дней),(Т =
11,06дней),(Т = 53,1ч),(Т = 28,4ч),(Т = 47ч),(Т = 15,4 дней),(Т = 6,9дней).
Через 180 дней:(Т = 36ч),m (Т = 44,2 дня),(Т = 8,04 дня),(Т = 12,8 дней).
Через 1 год:(Т = 39,7 дней),(Т = 33,1 дня).
Через 10 лет:(Т = 1,01 года),m (Т = 5 лет),(Т = 2 года),(Т = 2,64
года),(Т = 93 года),(Т = 1,7 года).
Через 100 лет:m (Т = 12 лет),(Т = 284,5 дня).
Через 300 лет:(Т = 28,1 года),(Т = 29,68 лет).
Через 1000 лет (конечный срок для подсчета активности элементов) ни один
из выше представленных нуклидов либо не будет превышать предел поступления (это
относится к тем элементам, период полураспада которых превышает 1000 лет), либо
окончательно распадется. Соответственно, 300 лет - это срок, к которому
становятся не опасными для здоровья и окружающей среды осколки деления U235.

Рисунок 7.1
График изменения активности радионуклидов во времени
Красной линией на рисунке 7.1 показано изменение значений активности,
отнесенное к ПГП, зеленой линией показано изменение активности радионуклидов во
времени. Как видно из графика, наибольшую опасность представляют собой нуклиды
с периодом полураспада до ста лет. После ста лет их суммарная активность
начинает резко понижаться.
ЗАКЛЮЧЕНИЕ
. По результатам проделанной работы стало понятно, что наибольшую
опасность представляют собой нуклиды с периодом полураспада в промежутке от
двух дней до ста лет.
. Рассчитана активность на определенные моменты времени после остановки
реактора. Информация необходимая для расчета выбросов осколков в окружающую
среду при запроектной аварии.
. Установлено, что через 300 лет радионуклиды, образовавшиеся в
результате деления, практически перестают быть радиационно-опасными.
СПИСОК
ИСПОЛЬЗОВАННЫХ ИСТОЧНИКОВ
1. Кузнецов
В.А. Судовые ядерные энергетические установки: Учебник. - Л.: Судостроение,
1989, 256 с.: ил.
. Продукты
мгновенного деления U235, U238, Pu239 в интервале 0 - 1 ч. Справочник //
Грешилов А.А. и др. Атомиздат, 1969, 104 с.
. Нормы
радиационной безопасности (НРБ-99). СП 2.6.1.758-99. Минздрав России, 1999.
. Мухин К.Н.
Занимательная ядерная физика. - 3-е изд., перераб. и доп. - М.:
Энергоатомиздат, 1985. - 312 с.
. Физика от А
до Я / Л.И. Буров, В.М. Стрельченя. - Мн. ООО «Попурри», 2006. - 592 с.: ил.