Математические модели почвенных процессов
Министерство
аграрной политики и продовольствия Украины
Керченский
государственный морской технологический университет
Технологический
факультет
Кафедра
«Экология моря»
Курсовая
работа
По дисциплине
«Моделирование и прогнозирование состояния окружающей среды»
На тему
Математические
модели почвенных процессов
Керчь 2012
Реферат
математическая модель почва агроэкосистема
Курсовая работа: с., рис., источников, приложение.
Объектом исследования являются математические модели процессов, происходящих
в почвах.
В курсовой работе рассматриваются: математическая модель теплового и
температурного режимов почв, водного режима почв, модель процессов
гумусонакопления и моделирование продуктивности агроэкосистем.
Во время написания работы приводятся формулы и системы дифференциальных
уравнений, которые характеризуют математическое описание исследуемых моделей.
Ключевые слова: МАТЕМАТИЧЕСКОЕ МОДЕЛИРОВАНИЕ, ПОЧВЕННЫЕ ПРОЦЕССЫ,
ТЕПЛОВОЙ РЕЖИМ, ВОДНЫЙ РЕЖИМ, ГУМУСОНАКОПЛЕНИЕ, ПРОДУКТИВНОСТЬ.
Содержание
Введение
1. Математическое
моделирование и его место в почвоведении
2. Существующие подходы к
математическому моделированию почвенных процессов
3. Математическое
моделирование теплового и температурного режимов почв
4. Математическое
моделирование водного режима почв
5. Модель процессов
гумусонакопления
6. Математическое
моделирование продуктивности агроэкосистем
Заключение
Список использованной
литературы
Приложение А
Введение
Актуальность. Воздействие деятельности человека на биосферу приобрело за
последнее столетие масштабный характер. Таким образом, почвы подвергаются
сильнейшему антропогенному влиянию. Впоследствии это сказывается на их
структуре, свойствах, плодородности и т.д. Важным является то, что для
выявления каких-либо изменений в почвенных процессах необходимо создавать ее
математическую модель. Для того, чтобы расчеты были правильными нужно
использовать комплекс моделей (блоковые модели).
Цель работы: выяснить роль моделирования в почвоведении и рассмотреть
различные модели почвенных процессов, определить необходимость их построения и
точность передачи ими информации.
Для достижения поставленных целей необходимо выполнить следующие задачи:
. выяснить значение математического моделирования в почвоведении и
экологии;
. изучить существующие подходы к математическому моделированию
почвенных процессов;
. рассмотреть несколько математических моделей процессов в почве и
дать их характеристики.
Математизация почвоведения - это в первую очередь формализация некоторых
достаточно общих понятий, способствующая качественному и количественному
анализу рассматриваемых явлений.
Хотя абсолютно точную информацию не может представить ни одна
существующая модель, но с ее помощью можно прогнозировать и предсказывать то
или иное поведение системы.
1. Математическое моделирование и его место в почвоведении
Для современного почвоведения характерна общая тенденция математизации
научных исследований. Если раньше применение математики в почвоведения
ограничивалось использованием статистических методов для обработки экспериментальных
данных, то сейчас все больше внимания уделяется математическому моделированию.
Математическое моделирование почвенных процессов относительно молодое научное
направление, которое начало развиваться в середине 60-х годов с появлением
мощных ЭВМ и разработкой методов моделирования сложных динамических систем -
системного анализа. Возможность моделирования сложных динамических систем, к
которым относится почва, в значительной степени зависит от принципа
иерархической организации или принципа интегративных уровней. Этот принцип
утверждает, что для предсказания поведения сложной системы не обязательно точно
знать, как ее компоненты построены из более простых компонентов. В зависимости
от характера огрубления для одной и той же системы-оригинала можно получить
несколько различных моделей. тепень детализации модели, форма ее представления
в первую очередь определяются целями исследования. Математические модели могут
быть построены для разных целей. Математическая модель представляет собой более
четкое описание системы, чем большинство словесных моделей. При их построении
начинают со словесных и уточняют их до тех пор, пока не удастся их перевести на
язык математики. В том случае, когда исходная словесная модель является
неточным описанием исследуемой системы, ее недостатки легко обнаруживаются при
попытке преобразования в математическую форму. Таким образом, моделирование
высвечивает пробелы в наших знаниях об исследуемой системе и, следовательно,
модели могут играть важную роль в планировании новых наблюдений и
экспериментов.
2. Существующие подходы к математическому моделированию почвенных
процессов
Несмотря на чрезвычайную сложность почвы как объекта моделирования
последние десятилетия это направление в почвоведении активно развивается.
Множество известных в настоящее время математических моделей в почвоведении
можно разделить на три большие группы: эмпирические, полуэмпирические и
теоретические модели. Рассмотрим, как в каждой из этих групп учитываются
особенности почвы как объекта моделирования (высокая сложность и иерархичность
строения, незамкнутость, полифакторность внешней среды, целостность,
динамичность, нестационарность, инерционность и нелинейность).
Эмпирические модели. При построении моделей этой группы исследователь,
имея в своем распоряжении определенное количество результатов наблюдений за
некоторым свойством изучаемого объекта, зависящим от различных факторов внешней
среды, получает с помощью метода- множественного регрессионного анализа
аналитическое выражение, связывающее изучаемое свойство почвы и определяющие
его факторы окружающей среды. Это выражение и представляет собой простейшую
математическую модель, чаще всего оно имеет следующий вид:
X = a0 + 
где
X - изучаемое свойство, аi -
коэффициенты регрессии, vi - факторы среды, n - общее число
анализируемых факторов.
Использование
аппарата регрессионного анализа привело к решению ряда важных практических
задач и одновременно выявило трудности и ограничения, присущие этой
методологии. Стало очевидно, что ограничения, обусловленные спецификой почвы
как объекта моделирования, нельзя преодолеть, оставаясь в рамках регрессионных
схем.
Для
того чтобы точнее можно было описать характер реакции системы на изменение
окружающей среды, нужно учесть в модели как можно большее число влияющих на нее
факторов окружающей среда. Но с ростом количества учитываемых факторов
увеличиваются ошибки оценок коэффициентов регрессии при заданной выборке. Это
противоречие принципиально ограничивает возможности регрессионного анализа как
метода изучения такой сложной системы как почва.
Несмотря
на то, что классические регрессионные модели мало приспособлены для успешного
преодоления трудностей математического описания почвы, связанных с ее специфическими
особенностями как объекта моделирования, они вполне могут использоваться для
решения многих практических вопросов.
Теоретические
модели отличаются от эмпирических (регрессионных) прежде всего по объему
априорной информации, необходимой для их построения. В эмпирических моделях
исходная (теоретическая) информация используется только для того, чтобы выбрать
факторы окружающей среды, воздействие которых на систему будет рассматриваться
в модели. В основе теоретических моделей лежат наши представления о механизмах
описываемых явлений. Исходная теоретическая информация о характере
рассматриваемых процессов позволяет более обоснованно выбрать класс функций для
их описания.
Однако
чрезвычайная сложность почв и недостаточная изученность механизмов многих почвенных
процессов сдерживают развитие этой группы моделей. Теоретическое моделирование
относится к исследованиям фундаментального характера.
Полуэмпирические
модели. В основе полуэмпирических моделей также как и теоретических лежат
хорошо установленные законы функционирования сложных природных систем и прежде
всего законы сохранения вещества и энергии. Но, как правило, на основе только
балансовых отношений (законов сохранения) не удается построить замкнутую
математическую модель сложной природной системы, так как не достаточно изучены
механизмы многих происходящих в ней процессов, всегда остается неопределенным
ряд величин. Для их определения приходится собирать эмпирическую информацию и
обрабатывать ее методами математической статистики. Поэтому модели этой группы
и получили название полуэмпирических. Следует подчеркнуть, что аппарат
математической статистики широко используется не только при построении
эмпирических моделей, но и при разработке полуэмпирических моделей особенно на
этапе идентификации.
Полуэмпирические
модели в зависимости от задач, ставящихся при их построении, существенно
отличаются друг от друга по исходным предпосылкам, степени детализации описания
процессов и по объему используемой информации. Тем не менее в основе всех
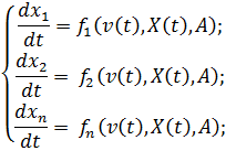
моделей рассматриваемой группе лежит система разностных или дифференциальных
уравнений, которая может быть представлена в виде:
где
Х(t)={x1(t), x2(t)…xn(t)} - множество переменных состояния модели; V(t)={v1(t), v2(t)…vn(t)} - множество внешних переменных модели,
характеризующих состояние окружающей среды; А = {a1 …an} - множество параметров модели; F = {f1 …fn} - множество функций, описывающих отклик системы на
внешнее воздействие.
Важнейшей
характеристикой почвы является ее целостность. Математическое отражение этого
явления заключается, в том, что уравнение динамики каждой переменной состояния
записывается с учетом всех существенных воздействий на нее как со стороны
внешних переменных, так и переменных состояния, а также в том, что уравнения
для всех переменных состояния решаются совместно как взаимосвязанная система
уравнений.
Система
дифференциальных уравнений позволяет отразить такие свойства как динамичность и
нелинейность. Кроме того, согласно ей влияние текущих условий среды на переменные
состояния определяется функцией 
,
аргументом которой служат не только текущие значения множества V ,
характеризующего состояние окружающей среды, но и текущие значения множества Х,
описывающего состояние самой системы. Эти значения как раз и являются
интегралом от прошлых внешних воздействий на систему. Следовательно, система
уравнений отражает инерционность почвы.
Таким
образом, приведенные выше замечания позволяют заключить, что система уравнений
способна отражать специфические особенности почвы как объекта моделирования.
Полуэмпирические
модели широко используются в почвоведении. Их построение открывает возможность,
исходя из поставленной цели, объединить наши знания о системе-оригинале в
единое целое, перевести их на единый математический язык и использовать при
решении различных задач.
3. Математическое моделирование теплового и температурного
режимов почв
Для почв каждого типа характерна определенная динамика температур в
течение вегетационного периода и на различной глубине. Наибольшие колебания
температуры наблюдаются на поверхности почвы. С глубиной ее колебания
уменьшаются. Суточные изменения температуры полностью затухают на глубине 40-50
см. Годовая динамика температуры зависит от природной зоны. Так, в черноземах в
зимние месяцы на глубине 30-40 см температура опускается ниже 0°С; в
июне-августе она достигает максимального значения, а затем к зиме снова
снижается.
На большой глубине годовое колебание температуры очень незначительно.
Глубина промерзания почвы в зимнее время зависит от мощности снежного покрова.
Под снегом почва промерзает на незначительную глубину, а в бесснежные зимы или
при сдувании снега ветром почва может промерзать на глубину 0,7-0,9 м и более.
Вот почему снегозадержание проводят не только для накопления влаги в почве, но
и для сохранения тепла.
Тепловой баланс почвы складывается из радиационного баланса (Тб),
состоящего из поступающей солнечной радиации, а также отраженной и излученной
радиации; турбулентного потока тепла, связанного с теплообменом между
поверхностью почвы и воздухом (Тк); тепла, затрачиваемого на
физическое испарение и транспирацию воды (Тт); теплообмена между
слоями почвы (Тп). Уравнение теплового баланса почвы предусматривает
алгебраическое равенство величин различных потоков:
Тб + Тк + Тт + Тп=0.
Изучению этого режима в почвоведении уделяется большое внимание, так как
он оказывает существенное влияние на интенсивность процессов почвообразования,
климат и продуктивность экосистем.
Почва представляет собой многофазную систему, состоящую из скелета,
представляющего собой совокупность огромного числа твердых частиц разнообразной
формы и величины, разделенных между собой промежутками, заполненными газом и
влагой. Теплообмен в таких многофазных капиллярно-пористых телах осуществляется
в результате четырех основных процессов: кондуктивной теплопроводности,
конвекции в порах, излучения в порах, переноса влаги. Описание температурного
поля в почве, где действуют все эти процессы, является чрезвычайно сложной
задачей. Обойти эти трудности и успешно решать многие практические важные
задачи позволяет модель эквивалентной теплопроводности. Она базируется на
феноменологическом подходе и позволяет рассматривать почву как некоторую квазиоднородную
среду, к которой применимо уравнение теплопроводности, с осложненной вследствие
наличия в почве процессов излучения, конвекции и переноса вещества зависимостью
коэффициентов теплопереноса:

л(z, t) 
= C(z, t) 
,
где
Т - температура почвы, z - пространственная координата, направленная вглубь
почвы, л(z,t) - коэффициент теплопроводности почвы, С(z,t) -
объемная теплоемкость почвы.
Зависимости
л(z,t) и С(z,t) определяются пространственным и временным ходом
физических свойств почвы и прежде всего влажностью W и плотностью ρ почв.
Следует отметить, что в реальных условиях вследствие существенного
изменения влажности и водно-физических свойств почвы с глубиной и во времени
коэффициенты λ и С фактически являются функциями от z и t. Тем
не менее для влажной почвы из-за относительно слабого взаимодействия водного и
теплового почвенных режимов, а также высокого влагосодержания достаточно при
моделировании физических процессов использовать эффективные (осредненные по t, а в некоторых случаях и по z) величины λ(z) и С(z).
На тепловой режим почв очень большое влияние оказывает процесс
влагопереноса в почве. Тепловые и влагообменные процессы в почвах тесно
переплетены между собой, поэтому целесообразно совместное рассмотрение
тепловлагопереноса в почве. Тепловлагообменные модели лучше отражают реальную
картину почвенных процессов: поэтому их развитие весьма перспективно. Тепловой
режим почвы может быть всесторонне описан только при совместном рассмотрении
процессов теплопереноса в почве и приземном слое воздуха. Наибольший
практический интерес представляет изучение теплового режима почв с растительным
покровом. Растительный покров оказывает очень большое влияние как на процессы
теплообмена в почве, так и на связанные с ними процессы влагопереноса.
Невозможно получить удовлетворительное математическое описание теплового режима
почв, не учитывая влияние на него растительного покрова.
Несмотря на трудности, возникающие при решении комплексной задачи
математического описания теплового режима почв с учетом влагопереноса,
теплообмена в приземном слое воздуха и влияния растительного покрова,
существуют работы, в которых эта задача успешно решается. Приведем пример
модели Д.А.Куртенера и Г.А.Трубачевой (рис. 3.1).
Эта модель описывает процесс формирования теплового режима почвы с учетом
техногенных воздействий, почвенных условий, характеристик растительного покрова
и метеорологических факторов.
Модель состоит из блоков моделирования погодных условий (I), приземного
слоя воздуха (2), растительного покрова (3), структуры и свойств почвенного
массива (4), теплообмена в почве (5), техногенных воздействий (6) и влагообмена
в почве (7).
I
2 3
4 6
7
Рис. 3.1 Блок-схема техногенных воздействий на тепловой режим почвы (по
Д.А.Куртнеру и Г.А. Трубачевой)
Построение этой модели осуществлялось в следующей последовательности:
) моделирование погодных условий;
) моделирование процессов тепло- и массообмена в приземном слое воздуха и
растительном покрове;
) моделирование техногенных воздействий;
) моделирование теплопереноса в почве (рис. 3.2);
) моделирование влагопереноса в почве.
Рис. 3.2 Изменение температуры почвы с глубиной на участке с естественным
покровом.
Модель Д.А. Куртенера и Г.А. Трубачевой позволяет рассчитывать
термические эффекты техногенных воздействий на фоне заданных погодных условий с
учетом характеристик растительного покрова, свойств почвы и ее водного режима.
Это создает возможность проводить с помощью ЭВМ различные вычислительные
эксперименты, позволяющие прогнозировать результаты хозяйственной деятельности
человека на тепловой режим почв и получать обоснованные решения многих
практических задач.
. Математическое моделирование водного режима почв
Водным режимом почвы называют совокупность всех процессов поступления
влаги в почву, ее передвижения, удержания и расхода. Количественной
характеристикой водного режима почвы является ее водный баланс. К основным
источникам водного баланса относят осадки и грунтовые воды. Кроме того,
дополнительными источниками увлажнения почвы служат поверхностный приток и
влага, конденсирующаяся из паров воды.
Влажность почвы, т. е. содержание в ней влаги, обычно выражают в
процентах от массы сухой почвы (весовая влажность) или от объёма почвы
ненарушенного сложения (объёмная влажность); запас воды в почве - в кубических
метрах на 1 га или в миллиметрах водного слоя. Почвенная влага может находиться
в парообразном, жидком и твёрдом (лёд) состояниях. Обычно содержание водяных
паров в почвенном воздухе близко к полному насыщению, а их перемещение в почве
происходит под влиянием разности температур - от более тёплых слоев к более
холодным. Подвижность и доступность влаги для растений зависят от связи с
твёрдыми частицами почвы, величины и строения почвенных пор, степени и
характера заполненности их водой. Различают воду связанную, удерживаемую
сорбционными силами, и свободную, находящуюся в почвенных порах вне влияния
сорбционных сил. Связанная (сорбированная) вода удерживается поверхностью
почвенных частиц с очень большой силой; эта вода практически недоступна
растениям. Свободная почвенная влага может быть гравитационной, передвигающейся
под преимущественным влиянием силы тяжести и капиллярных сил. Над грунтовой
водой залегает зона капиллярной каймы, влага которой легко перемещается под
совокупным влиянием капиллярных сил и тяжести; эта влага легко доступна
растениям. Содержание влаги в зоне соответствует капиллярной влагоемкости
почвы. При глубоком залегании грунтовых вод в верхней части почвы обособляется
зона подвешенной влаги, максимальное содержание которой соответствует
наименьшей влагоемкости почвы. Часть влаги этой зоны также доступна растениям.
Капиллярная и наименьшая влагоемкость почвы имеют большое агропроизводственное
значение, так как определяют максимальную величину прочного запаса почвенной
влаги.
Высокая подвижность воды и способность вступать в химические и
физико-химические взаимодействия с большим числом разнообразных веществ
определяют ее важнейшую роль в процессах почвообразования. В результате
перемещения водой органических, минеральных и органоминеральных соединений
формируется почвенный профиль. Чрезвычайно велика роль воды и в биологических
процессах. Поэтому водный режим занимает особое место среди почвенных режимов,
оказывая исключительное влияние на генезис почв и их биологическую
продуктивность. Этим объясняется огромное внимание к проблеме водного режима
почв.
Широкое распространение при изучении водного режима почв получил
водно-балансовый метод. Его использование в течение столетия позволил получить
огромное количество весьма ценных сведений о скорости влагооборота в почвах различных
природных зон. Водно-балансовый метод очень полезен для первоначального
обобщения обширных материалов о водном режиме почв. В его основе лежит закон
сохранения вещества. В наиболее общей форме баланс воды для системы или
какого-либо ее компонента может быть описан следующим образом:
∆В = П - Р ± С,
где ∆В - изменение содержания воды в системе за данный промежуток
времени; П - количество воды, поступившее в систему за это время; Р -
количество воды, потерянное системой за ∆t; С - синтез или распад воды внутри системы за это время.
Наряду с водно-балансовыми исследованиями предпринимались попытки
разработать более общую теорию динамики почвенной влаги, которая базировалась
бы на фундаментальных физических законах и позволяла предсказывать состояние и
движение воды в почвах. В результате этих усилий был развит термодинамический
метод изучения водного режима почв. В его основе лежат представления о
термодинамическом потенциале почвенной влаги. К настоящему времени показано,
что на основе понятия потенциала воды в почве, может быть получено
удовлетворительное описание всех наиболее важных процессов перераспределения и
расходования почвенной влаги.
Математическое описание движения воды в насыщенных почвах, т.е. почвах,
порозное пространство которых полностью занято водой, основано на законе Дарси
(1856). Этот закон утверждает, что поток воды, проходящий через единицу площади
поперечного сечения почвы в единицу времени, пропорционален градиенту
потенциала:
q = -k0
,
где
q - объем воды, протекающий в единицу времени через
единицу площади поперечного сечения почвы на глубине z;
Ф
- полный потенциал почвенной влаги;
k0 - гидравлическая проводимость насыщенной почвы или
коэффициент фильтрации.
В
насыщенных почвах величина k0
постоянна до тех пор пока структура почвы стабильна. Коэффициент фильтрации k0 существенно зависит от гранулометрического состава
почвы: он максимален в грубообломочных почвах и минимален в глинистых. Величина
коэффициента фильтрации зависит от количества пор в почве их размера и формы.
Движение
воды в ненасыщенных почвах также подчиняется закону Дарси, если допустить, что
гидравлическая проводимость почвы не постоянна, и является функцией объемного
содержания влаги в почве w, k=k(w), величина гидравлической проводимости быстро
убывает с понижением влажности почвы. Эта зависимость называется функцией
влагопроводности почвы.
Также
существует функциональная зависимость между влажностью почвы и водным
потенциалом
(ψ).
Нахождение
этих функций для исследуемой почвы является необходимым условием
удовлетворительного описания ее водного режима.
Используя
уравнение Дарси для потока влаги в ненасыщенной почве:
q = -k(w) 
,
и
уравнение неразрывности для несжимаемой жидкости в несжимаемой пористой среде,
выражающее собой закон сохранения воды в элементарном объеме почвы:

= - 
- Iw
где
W - объемная влажнооть почвы;
q - объем воды,
протекающий в единицу времени через единицу площади поперечного сечения;
Iw -
объем воды, удаляемый из единицы объема почвы в единицу времени (например,
потребление воды растениями и др.) принимая за положительное направление оси Z
направление вниз, получим дифференциальное уравнение в частных производных
относительно неизвестной функции влажности почвы W (z,t), описывающее
ненасыщенный водный поток в почвенном профиле:

(k(w) 
) - Iw
Используя
то, что при определенном выборе единиц измерения гравитационная составляющая
полного потенциала (Ф) равна абсолютной высоте Z так, что Ф = ψ+z
получим уравнение известное как основное уравнение движения почвенной влаги.

[k(w) 
+ k(w)] -
Iw ,
известное
как основное уравнение динамики почвенной влаги.
Это
уравнение может быть использовано для описания движения воды в трехмерном
пространстве, если применить соответствующую векторную запись.
Математические
модели водного режима почв, в основе которых лежит уравнение динамики почвенной
влаги, получили широкое распространение. Они позволяют прогнозировать изменение
влажности почв с учетом влияния природных и антропогенных факторов и решать
задачи выбора оптимального управления этим почвенным режимом.
Сравнение
результатов моделирования с данными наблюдений свидетельствуют о том, что в подавляющем
большинстве случаев ошибки имитации не превышают ошибок измерений.
5. Модель процессов гумусонакопления
Каждая экосистема, в которую входит почва, имеет различную
растительность. Таким образом, и растительные остатки в разных экосистемах
различны. Тип растительности каждой экосистемы зависит, прежде всего, от
климатических условий той географической зоны, в которой она находится.
По современным представлениям система «гумус почвы - растительный покров»
- это сложная саморегулирующаяся система с обратными связями. Эти связи
сформировались в процессе эволюции этой системы в целом, когда состав и
свойства гумуса зависели от биоты в той же мере, в какой биогеоценоз зависел от
особенностей строения гумусового профиля. Обратные связи - это основной механизм,
который отвечает за способность природных систем к саморегуляции и поддержанию
равновесия и устойчивости. Система «гумус почвы - растительный покров»
регулируется обычно положительной обратной связью. Особенно такая связь
характерна на начальных стадиях формирования экосистем. На этом этапе
появившаяся растительность стимулирует накопление органики в почве. Это, в свою
очередь, повышает ее плодородие, а следовательно, стимулирует рост
продуктивности растительности, что приводит к дополнительному накоплению
органики. В дальнейшем эта связь может переходить в отрицательную обратную
связь, поскольку ни один процесс не может протекать в одном направлении
бесконечно долго.
В системах обратная связь может проявляться в двух направлениях. Если
обратное воздействие усиливает входное воздействие, то говорят о положительной
обратной связи. Если обратное воздействие уменьшает входное воздействие и тем
самым замедляет процесс изменения системы, то говорят об отрицательной обратной
связи.
Рассмотрим нелинейную модель гумусонакопления. Эта модель как раз и
учитывает положительную обратную связь, т.е. то обстоятельство, что не только
количество растительных остатков влияет на темпы и уровень гумусонакопления, но
и от содержания гумуса зависит во многом продуктивность фитоценоза.
Результаты многочисленных исследований говорят о тесной связи между
продуктивностью и содержанием гумуса на ранних стадиях формирования
биогеоценоза и о ее ослаблении с ростом содержания гумуса по мере того, как
почва приближается к своему равновесному состоянию. Это может рассматриваться
как приобретение системой некоторой устойчивости. Для аналитического
представления такой зависимости в этой модели использовано выражение вида
уравнения Михаэлиса-Ментен (Приложение А):
M = Mmax*s/(Km + s),
где M - продуктивность растительного
покрова; Mmax - потенциальная продуктивность
растительного покрова (параметр, отражающий потенциальные возможности местности
для создания органического вещества высшими растениями; в некотором роде -
соответствует реальной экологической нише); Km - параметр, численно равный запасу гумуса в почве, при
котором достигается половина потенциальной продуктивности фитоценоза; s - запас углерода гумуса в
интересующей нас почве.
Как видим, это гиперболическая функция. Она как раз и позволяет отразить
значительную зависимость продуктивности от содержания гумуса на ранних стадиях
почвообразования и ослабление этой зависимости по мере приближения системы к
стабильному состоянию.
6. Математическое моделирование продуктивности агроэкосистем
В XX веке за счет мелиорации, химизации, внедрения новых сортов,
использования более совершенной техники урожайность зерновых культур
увеличилась в развитых странах в 3-3,5 раза. Энергетические затраты на
производство одной тонны зерна при этом возросли во много десятков раз. В
условиях такого мощного воздействия на агроэкосистемы отклонения от оптимальной
технологии приводят к большим потерям урожая или к нарушению экологического
равновесия и загрязнению окружающей среды. Именно эти обстоятельства вызывают
необходимость перехода от традиционных рекомендаций в области земледелия к
разработке количественной теории продукционного процесса и к построению на
основе этой теории автоматизированных систем управления технологическими
процессами в агроэкосистемах. Идея создания подобных систем, получившая
условное название «Электронный агроном» впервые была сформулирована академиком
А.Ф.Иоффе и определила один из основных путей использования математики и
вычислительной техники при изучении агроэкосистем.
Теоретической основой автоматизированных систем управления
технологическими процессами в земледелии служат математические модели
продуктивности агроэкосистем.
При разработке имитационных математических моделей продукционного
процесса агроэкосистемы представляются сложными системами, включающими в себя
культурные растения, почву и приземный слой воздуха, функционирование которых
определяется совокупностью процессов биотического и абиотического характера.
Агроэкосистемы существенно отличаются от естественных экосистем. Они
могут существовать только за счет постоянного управляющего воздействия со
стороны человека, не дающего системе перейти в состояние устойчивого
экологического равновесия, при котором доминировали бы дикие виды растений. В
них нарушен круговорот веществ. Человек отчуждает из агроэкосистемы биомассу
растений, а с ней уносит часть минеральных веществ почвы. Энергетический цикл в
агроэкосистемах складывается иначе, чем в естественных условиях. Если
естественные экосистемы функционируют только за счет солнечной энергии, то
агроэкосистемы испытывают значительное антропогенное энергетические
воздействие.
Вследствие сложности агроэкосистем построение математических моделей,
описывающих весь комплекс, протекающих в них процессов, является очень трудной
задачей. Трудности построения:
) Необходимость учета и количественного описания большого числа
биологических, физических и химических процессов (фотосинтез и дыхание, рост и
развитие растений, движение влаги в почве, перемещение и трансформация
элементов питания в почвах, их поглощение растениями и транспорт в растениях и
т.д.) при разработке моделей;
) Недостаточная изученность вопросов взаимодействия этих процессов в
комплексной системе;
) Отсутствие совершенной экспериментальной базы (фитокамеры, полигоны по программированию
урожаев с лизиметрами, засушниками, экологическими площадками, современные
автоматические приборы) для сбора информации, необходимой для определения
неизвестных параметров и проверки моделей;
) Необходимость разработки сложного математического обеспечения при
построении моделей, развития языков программирования высокого уровня и т.д.
Вместе с тем, только на основе изучения и количественного описания
комплекса динамических процессов в агроэкосистемах возможно обеспечить
получение высоких урожаев при одновременном удовлетворении требований
увеличения плодородия понв и охраны окружающей среды.
Имитационные модели продуктивности агроэкосистем имеют блочную структуру.
Деление на блоки во многом является произвольным. Возможно, например, деление агроэкосистемы
на почвенный и надпочвенный блоки, другой способ деления - биотические и
абиотические блоки. Каждый из этих блоков разбивается на блоки следующего
иерархического уровня, «элементарные» блоки в обоих случаях могут быть
одинаковыми. При блочном представлении модели продуктивности агроэкосистем
среди биотических блоков могут быть выделены, например, блок роста и развития
растений, блок фотосинтеза и дыхания, блок функционирования почвенной
микрофлоры, блок развития болезней сельскохозяйственных культур и др.
Абиотические процессы могут быть описаны в блоках радиационного режима посева,
водно-теплового режима почв, транспорта и трансформации элементов питания в
почве и т.д. Набор блоков и детальность их проработки зависит от целей
моделирования.
Имитационные математические модели продуктивности агроэкосистем являются
динамическими, так как все характеристики и параметры системы
почва-растения-приземный слой воздуха рассчитываются во временном разрезе. В
результате могут быть получены данные о динамике биомассы растений (как
отдельных органов, так и посева в целом), о динамике влажности и температуры
почв, об интенсивности переноса и трансформации минеральных и органических
веществ и т.д.
Рассматриваемые модели носят балансовый характер. Для всех веществ
производится расчет «приходно-расходных» составляющих баланса. Так, например,
при расчете водного режима почв (водный блок) учитывается поступление воды с
осадками и в результате орошения, перехват ее надземной частью растений,
возможное образование слоя воды на поверхности почвы, движение влаги в почве,
взаимодействие с грунтовыми водами, потребление почвенной воды растениями и
т.д. Следует отметить, что ни одна имитационная модель продуктивности
агроэкосистем сколь бы сложной она не была, не в состоянии ответить на все
возникающие вопросы. Поэтому при решении как теоретических, так и практических
задач агроэкологии возникает потребность в системе моделей (банке моделей).
Заключение
При выполнении данной работы были рассмотрены 4 математические модели
почвенных процессов:
- модель температурного и теплового режимов почв. Эта модель
описывает процессы формирования теплового режима почвы с учетом техногенных
воздействий, почвенных условий, характеристик растительного покрова и
метеорологических факторов.
- модель водного режима почв, которая позволяет прогнозировать
изменение влажности почв с учетом влияния природных и антропогенных факторов и
решать задачи выбора оптимального управления этим почвенным режимом.
- модель процесса гумусонакопления. Данная модель учитывает
зависимость продуктивности от содержания гумуса на ранних стадиях
почвообразования и ослабление этой зависимости по мере приближения системы к
стабильному состоянию.
К настоящему времени известно несколько десятков имитационных
математических моделей продуктивности агроэкосистем. Они существенно
различаются по количеству описываемых процессов и степени детализации их
описаний.
Это далеко не весь список существующих моделей почвенных процессов.
Существуют также модели солевого режима почв, биогеохимических циклов,
структурно-механического состояния почв и т.д.
Огромное влияние на состояние почвенных процессов оказывает хозяйственная
деятельность человека, поэтому для прогнозирования и предотвращения дальнейшего
негативного антропогенного влияния необходимо создание математических моделей
почвенных процессов.
Список использованной литературы
1. Зарецкий,
А., С.А. Лавров, 1985. Физико-математическое моделирование процессов
тепловлагопереноса в талых и мерзлых почвах, Метеорология и гидрология, №7, 82
с.
. Катышева,
А.С. О моделировании миграции почвенной влаги в межвегетационный период, в кн.:
Научно-технический бюллетень по агрономической физике. с. 8-22.
. Пачепский
Я.А. Математические модели физико-химических процессов в почвах. - М.: Наука,
1990. - 188 с.
. Поляков
В.Л. Моделирование испарения с оголенной почвы. - Издательство Института
гидромеханики НАН Украины, 2001. - 10 с.
. Росновский
И.Н. Системный анализ и математическое моделирование процессов в почвах:
Учебное пособие / Под ред. дбн Кулижского С.П. - Томск: Томский государственный
университет, 2007. - 312 с.
. Рыжова
И.М. Математическое моделирование почвенных процессов. - М.: Издательство Моск.
ун-та, 1987. - 82 с.
. С.Ю.
Беданокова. Математические модели водного и солевого режимов почв с фрактальной
структурой.
. Тезик
К.А. Оптимальное управление состоянием агроэкосистемы с помощью разработки
математических моделей // Модели и технологии оптимизации земледелия: Сб.
докладов Между-нар. науч.-практ. конф. Курск, ВНИИ и ЗПЭ, 2003. С. 297-298.
Приложение А
Дробно-линейная зависимость Михаэлиса-Ментен
М - продуктивность растительного покрова;
Mmax -
потенциальная продуктивность растительного покрова;
Km -
параметр, численно равный запасу гумуса в почве, при котором достигается
половина потенциальной продуктивности фитоценоза;
s -
запас углерода гумуса в интересующей нас почве.
>