Составление проекта сгущения геодезической сети на небольшом участке местности
Оглавление
Введение
.Физико-географическое описание
района работ
.1 Административная принадлежность
.2 Рельеф
.3 Грунты и почвы
.4 Климат
.5 Гидрография
.6 Растительность
.7 Дорожная сеть
. Проектирование плановой сети
сгущения
.1 Проектирование пунктов полигонометрии
.2 Предрасчет точности измерений
приближенным способом
.3 Предрасчет точности измерений
строгим способом
. Проектирование высотной сети
сгущения
. Подсчет объемов работ
Заключение
Список литературы
Введение
Курсовая работа представляет собой комплекс
вопросов по проектированию геодезической сети сгущения. Источниками для
составления физико-географического описания района работ и составления плановой
сети сгущения служат топографическая карта масштаба 1:25000, прилагаемая к
методическим указаниям, и справочная литература о физико-географических
особенностях Ленинградской области.
Курсовая работа выполняется в 4 этапа:
. Сбор материалов для физико-географического
описания района работ.
. Проектирование пунктов плановой сети сгущения
(полигонометрии) и предрасчет точности измерений горизонтальных углов и
расстояний. Проектирование высотной сети сгущения
. Выбор приборов для измерения углов и
расстояний с нужной точностью, описание методики измерений с допусками и
контролями.
. Оформление работы на компьютере, вычерчивание
графической части проекта на бумаге формата А4.
1. Физико-географическое описание района работ
.1 Административная принадлежность
Участок работ располагается на территории РФ
между 27037' и 27045'северной широты; 13055' и 140 восточной долготы.
Ленинградская область расположена на северо-западе РФ на территории
Восточно-Европейской равнины, входит в состав Северо-Западного федерального
округа.
На выделенном участке работ и вблизи его границ
распределено три поселка рассредоточенного типа: Учкурган, Муракан, Айтжак.
Численность населения поселков менее 2000 жителей.
.2 Рельеф
Рельеф участка работ - равнинно-холмистый с
незначительными абсолютными высотами, отличается пересеченным рельефом.
Наибольшая высота, имеющаяся на карте- 52,7 м, наименьшая - 17,7. Местность
пересечена небольшими реками (ширина менее 5 м).
.3Грунты и почвы
Основным типом почв в Ленинградской области
являются подзолистые, бедные перегноем и отличающиеся значительной
кислотностью. При этом на суглинках, в низких местах с повышенным накоплением
влаги, главным образом в еловых лесах, образуются сильноподзолистые почвы с
мощным верхним слоем. В более высоких местах, менее благоприятных для
накопления влаги, образуются среднеподзолистые почвы. На супесях и песках,
плохо удерживающих влагу, в сосняках встречаются слабоподзолистые почвы. Там,
где преобладает травяная растительность, - на лесных вырубках, в редких
смешанных или лиственных лесах - образовались дерново-подзолистые почвы.
Грунт средней твердости, разрыхление
производится при помощи штыковых лопат с частичным применением кирки. Однако на
некоторых территориях области наблюдается мягкий грунт, заболоченные местности
и торфяники.
.4 Климат
Климат области атлантико-континентальный.
Морские воздушные массы обусловливают сравнительно мягкую зиму с частыми
оттепелями и умеренно-тёплое, иногда прохладное лето. Средняя температура
января −8… −11 °C, июля +16…+18 °C. Абсолютный максимум температуры
+37,8 °C, абсолютный минимум −52 °C. Наиболее холодными являются
восточные районы, наиболее тёплыми - юго-западные.
Количество осадков за год 600-700 мм. Наибольшее
количество осадков выпадает на возвышенностях. Минимальное количество осадков
выпадает на прибрежных низменностях. Наибольшее количество осадков выпадает
летом и осенью.
В зимний период осадки выпадают в основном в
виде снега. Постоянный снежный покров появляется во второй половине ноября -
первой половине декабря. Сходит снег во второй половине апреля.
Полевой период в Ленинградской области
начинается 15 апреля и заканчивается 1 ноября, общая продолжительность - 6,5
месяцев
.5 Гидрография
Территория области, за исключением небольшой
крайне юго-восточной части, относится к бассейну Балтийского моря и имеет
густую, хорошо развитую речную сеть. Общая протяжённость всех рек в
Ленинградской области около 50 тыс. км. Также в области расположено 1800 озёр.
Значительная часть области заболочена. Участок работ пересечен небольшим
количеством мелких речек, со средней шириной менее 5 м, глубиной 1 м и
скоростью течения 0,2 м/сек. Все реки имеют деревянные мосты, средней длинной
8-10 м и шириной 5 м, с грузоподъемностью 20 тонн. В отношении гидрографии
местность средней проходимости.
.6 Растительность
Территория области расположена в средней (на
севере области) и южной подзонах (большая часть области) тайги. Отмечается
переход от хвойных лесов к смешанным на юге области. Леса занимают 55,5 %
территории области. Лесные ресурсы сильно истощены. Коренные сосновые и,
особенно, еловые леса сохранились местами, главным образом на северо-западе и
востоке области, но, в основном, они замещены малоценными и малопродуктивными
производными мелколиственными лесами и мелколесьями. На территории работ
наблюдаются высокотравные лесистые саванны.
.7 Дорожная сеть
Дорожная сеть развита средне. На участке работ
распределена сеть шоссейных (средняя ширина покрытой части 4 м, ширина всей
дороги 8 м, в покрытии дорог представлены асфальт, гравий, щебень) и грунтовых
дорог, ширина которых составляет 4-5м. Из-за пересечения местности сетью
небольших рек дороги оснащены мостами, в основном деревянными и с небольшой
грузоподъемностью. Для доставки грузов и передвижения бригад наиболее выгодно
использовать автомобильный транспорт.
2. Проект плановой сети сгущения
.1 Описание участка работ.
Участок работ располагается на территории РФ
между 27037' и 27045'северной широты; 13055' и 140 восточной долготы. Участок
для сети сгущения 1-й ступени имеет форму квадрата со стороной 4 км (площадь
участка 16км2), для 2-й ступени имеет форму квадрата со стороной 2км(площадь -
4км2), располагается в центре большого участка.
.2 Проектирование пунктов полигонометрии
Всего на участке запроектировано 14 пунктов, из
них 6 пунктов сети сгущения 1-й ступени с плотностью один пункт на два км2, и 8
пунктов сети сгущения 2-й ступени с плотностью два пункта на один км2.
Основные характеристики ходов полигонометрии.
Таблица 1
|
Название
хода и его тип
|
Длинна
хода, L, км
|
Кол-во
сторон
|
Длины
сторон, км
|
|
|
|
max
|
min
|
средн
|
|
A-B(произвольный)
|
7,775
|
5
|
2,000
|
1,350
|
1,555
|
|
А-В(произвольный)
|
5,325
|
3
|
2,075
|
1,350
|
|
П2-П6(произвольный)
|
5,100
|
5
|
1,700
|
0,700
|
1,000
|
|
П2-П6(произвольный)
|
4,925
|
5
|
1,300
|
0,800
|
1,000
|
.3 Предрасчет точности измерений
.3.1 Расчет допустимой ошибки положения пунктов
в ходах первой и второй ступени
Исходной величиной для расчета точности
измерения является заданная СКО положения пункта последней ступени М0 в самом
слабом месте.
M0=11см, t=2, K=2
В этих формулах через К обозначен
коэффициент понижения точности при переходе от старшей ступени к младшей; часто
этот коэффициент принимают равным двум, t - число
ступеней развития сети; M0-заданная СКО положения пункта последней ступени.
.3.2 Составление схемы плановой сети
сгущения
Ход первой ступени
Таблица 2
|
Названия
пунктов
|
Измеренные
дир. углы градусы
|
Измеренные
стороны м
|
Координаты
пунктов
|
|
|
|
X, м
|
Y, м
|
|
(А)
(П2) (П3) (П4) (П5) (В)
|
13
20 90 115 145
|
1475
2000 1550 1400 1350
|
15
05 075 15 06 625
|
194
20 700 194 25 425
|
Ход второй ступени
Таблица 3
|
Названия
пунктов
|
Измеренные
дир. углы градусы
|
Измеренные
стороны м
|
Координаты
пунктов
|
|
|
|
X, м
|
Y, м
|
|
(П2)
(П10) (П9) (П8) (П7) (П6)
|
73,5
137 87 27,5 170
|
1000
950 700 750 1700
|
15
06 500 15 05 125
|
194
21 120 194 24 125
|
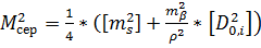
.3.3 Предрасчет точности измерений приближенным
способом
Для полигонометрического хода произвольной формы
существует формула подсчета СКО положения пункта в середине хода(наиболее
слабом его месте):

,
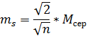
где: ms - СКО
измерения стороны хода, mβ - СКО
измерения горизонтального угла, D0,i -
расстояние i-того пункта
хода до центра хода.
Для нашего случая имеем:

,
и при ms1=ms2=…=msn=ms
где n - число
сторон в ходе.
Для первой ступени:
Таблица4
|
Название
|
D0,i, м
|
D20,i, м2
|
X,
км
|
У,
км
|
|
A
|
2900
|
8410000
|
1505075
|
19420700
|
|
П2
|
1800
|
1506500
|
19421120
|
|
П3
|
1575
|
2480625
|
1508275
|
19421200
|
|
П4
|
1375
|
1890625
|
1508375
|
19423375
|
|
П5
|
1925
|
3705625
|
1507750
|
19424325
|
|
В
|
2625
|
7022500
|
1506625
|
19425425
|
MI=4,9 см, n=6,
[D]=26,75*1010
см2
Таким образом, для данного хода
следует принять точность измерений на уровне полигонометрии 4 класса: mβ=2”, ms=2см. При Sср=1,555км
относительная ошибка измерения сторон хода должна быть на уровне 1:40 000.
Для второй ступени:
Таблица 5
|
Название
|
D0,i, м
|
D20,i, м2
|
X,
км
|
У,
км
|
|
П2
|
1825
|
3330625
|
1506500
|
19421120
|
|
П10
|
1000
|
1000000
|
1506825
|
19422100
|
|
П9
|
225
|
50625
|
1506100
|
19422200
|
|
П8
|
825
|
765625
|
1606125
|
19423500
|
|
П7
|
1050
|
1102500
|
1506775
|
19423150
|
|
П6
|
1625
|
2640625
|
1505125
|
19424125
|
МII=9,8см,
n=5, [D]=8,89*1010 cм2
Таким образом, для данного хода следует принять
точность измерений на уровне полигонометрии 1 разряда: mβ=5”,
ms=3см. При Sср=1,0км
относительная ошибка измерения сторон хода должна быть на уровне 1:30 000.
Таблица 1’
|
Название
хода и его тип
|
Класс
точности
|
Кол-во
сторон
|
Длины
сторон, км
|
|
|
|
|
max
|
min
|
средн
|
|
A-B(произвольный)
|
4
|
7,775
|
5
|
2,000
|
1,350
|
1,555
|
|
А-В(произвольный)
|
4
|
5,325
|
3
|
2,075
|
1,350
|
1,775
|
|
П2-П6(произвольный)
|
1 разряд
|
5,100
|
5
|
1,700
|
0,700
|
1,000
|
|
П2-П6(произвольный)
|
1 разряд
|
4,925
|
5
|
1,300
|
0,800
|
1,000
|
.3.4 Предрасчет точности измерений строгим
способом
Дифференциальная формула левого по ходу угла:
.
К вычислению элементов матрицы А для
первой ступени
Таблица 6
|
Назв.
|
α
|
S,
км
|
sinα
|
cosα
|
  
|
|
|
A
|
|
|
|
|
|
|
|
13
|
1,475
|
+0,2250
|
+0,9744
|
+0,3146
|
+1,3626
|
|
П2
|
|
|
|
|
|
|
|
20
|
2,000
|
+0,3420
|
+0,9398
|
+0,3527
|
+0,9691
|
|
П3
|
|
|
|
|
|
|
|
90
|
1,550
|
+1,000
|
0,000
|
+1,3307
|
0,000
|
|
П4
|
|
|
|
|
|
|
|
115
|
1,400
|
+0,9063
|
+1,3353
|
-0,5624
|
|
П5
|
|
|
|
|
|
|
|
145
|
1,350
|
+0,5736
|
-0,8192
|
+0,8763
|
-1,2517
|
|
В
|
|
|
|
|
|
|
Таблица 7
Получаем матрицу Q:
Таким образом, в данном ходе
достаточно измерять углы с точностью 3”. Следовательно, данный ход по точности
измерений должен быть ходом полигонометрии 4-ого класса(mβ=2”). При mβ=2” ошибка
положения пункта в сети сгущения 1-й ступени будет равна 3,1см.
К вычислению элементов матрицы А1
для второй ступени
Таблица 9
|
Назв.
|
α
|
S,
км
|
sinα
|
cosα
|
  
|
|
|
П2
|
|
|
|
|
|
|
|
73,5
|
1,000
|
+0,9588
|
+0,2840
|
+1,9777
|
+0,5858
|
|
П10
|
|
|
|
|
|
|
|
137
|
0,950
|
+0,6820
|
-0,7314
|
+1,4808
|
-1,5880
|
|
П9
|
|
|
|
|
|
|
|
87
|
0,700
|
+0,9986
|
+0,0523
|
+2,9425
|
+0,1541
|
|
П8
|
|
|
|
|
|
|
|
27,5
|
0,750
|
+0,4618
|
+0,8870
|
+1,2700
|
+2,4394
|
|
П7
|
|
|
|
|
|
|
|
170
|
1,700
|
+0,1736
|
-0,9848
|
+0,2106
|
-1,1949
|
|
П6
|
|
|
|
|
|
|
Таблица 10
Аналогично для хода второй ступени получим
матрицу Q:
Таким образом, в данном ходе
достаточно измерять углы с точностью 9”. Следовательно, данный ход по точности
измерений должен быть ходом полигонометрии 1 разряда(mβ=5”). При mβ=5” ошибка
положения пункта в сети сгущения 2-й ступени будет равна 5,5см.
.4 Приборы для угловых измерений в
полигонометрии
Измерение углов на пунктах
полигонометрии производится способом измерения отдельного угла, или способом
круговых приемов, как правило, по трехштативной системе, оптическими
теодолитами ОТ-02, T1, T2, Theo-010, T5 и другими им равноточными. Способ
круговых приемов применяется, когда число наблюдаемых направлений на пункте
более двух.
В данном случае мы можем
использовать теодолит 3Т2КП
|
Технические
характеристики
|
|
Зрительная
труба
|
|
Увеличение,
крат
|
30х
|
|
Наружный
диаметр оправы объектива, мм
|
48
|
|
Поле
зрения
|
1°35'
|
|
Минимальное
фокусное расстояние, м
|
1,5
|
|
Средняя
квадратическая погрешность измерения
|
|
-
горизонтального угла
|
2"
|
|
-
вертикального угла или зенитного расстояния
|
2,4"
|
|
Диапазон
работы компенсатора при вертикальном круге
|
±
3'
|
|
Цена
деления шкалы отсчетного микроскопа
|
1"
|
|
Погрешность
отсчитывания
|
0,1"
|
|
Масса
теодолита с подставкой, кг
|
4,7
|
|
Диапазон
рабочих температур
|
от
-40°С до +50°С
|
Поверки и юстировки теодолитов производят для
выявления и устранения ошибок, вызванных отступлением от геометрических и
оптико-механических требований, заложенных в конструкцию прибора.
1. Ход подъемных винтов должен быть плавным,
размеренным, без качки и заеданий.
.Азимутальная устойчивость штатива и треножника
должна быть обеспечена при вращении алидады горизонтального круга.
.Ось цилиндрического уровня при алидаде
горизонтального круга должна быть перпендикулярна к вертикальной оси вращения
теодолита.
.Ось круглого уровня должна быть параллельна оси
вращения теодолита.
.Визирная ось зрительной трубы теодолита должна
быть перпендикулярна к оси ее вращения.
.Вертикальная нить сетки (или биссектор) должна
быть перпендикулярна к оси вращения трубы (лежать в коллимационной плоскости
трубы).
.Ось вращения зрительной трубы должна быть
перпендикулярна к вертикальной оси вращения теодолита.
.Место нуля вертикального круга должно быть
близким к нулю.
.Одно деление горизонтального или вертикального
круга должно быть равно длине шкалы отсчетного микроскопа.
.Компенсатор теодолита должен обеспечивать
неизменный отсчет по вертикальному кругу при наклоне вертикальной оси прибора в
пределах, указанных в его паспорте.
.Визирная ось оптического центрира, размещенного
в алидадной части теодолита, должна совпадать с его вертикальной осью вращения.
.5 Приборы для линейных измерений
Линии в полигонометрии 4 класса, 1 и 2 разрядов
измеряются светодальномерами, радиодальномерами и в отдельных случаях базисными
приборами БП-2 и БП-3.
В полигонометрии 1 и 2 разряда для измерения
линий могут быть использованы длиномер типа АД-1 и параллактический метод, а в
полигонометрии 2 разряда, кроме того, редукционные тахеометры ТП (ГОСТ
10812-64) и Редта-002.
Инструменты и оборудование, фиксирующие концы
линии при ее измерении, должны устанавливаться над центрами с точностью по
створу линии не ниже 3 мм в полигонометрии 4 класса и 1 разряда и 4 мм в
полигонометрии 2 разряда.
Углы треугольников должны быть не менее 30°.
Относительная ошибка измерения линий должна быть
не более относительной ошибки хода, установленной для данного класса (разряда)
полигонометрии.
При измерении линий светодальномерами один раз
за время измерений на одном конце определяется температура воздуха
термометром-пращом с точностью 1 град. C и давление барометром с точностью
666,610 Па (5 мм рт. ст.).В начале и конце полевого сезона, но не реже одного
раза в 6 месяцев, для всех светодальномеров следует производить контроль
масштабных частот. Перед началом полевого сезона частоты выставляются в номинал
с точностью до 10 Гц. Не менее трех раз в год в полевых условиях определяется
постоянная поправка светодальномера на базисе длиной 400 - 600 м, измеренном
инварными проволоками с погрешностью не более 2 мм. Вычисления длин линий,
измеренных светодальномерами, должны быть выполнены до ухода с пункта.
Устройство конкретного светодальномера, порядок
его поверок и исследований, правила подготовки к работе, методика измерения
расстояний, обработка измерений, - всё это подробно описывается в документации,
прилагаемой к каждому экземпляру светодальномера. Здесь следует подчеркнуть
лишь то, что при измерении расстояний светодальномером обязательно выполняют
определение метеоданных: температуры воздуха, давления и влажности. По этим
величинам вычисляются поправки в расстояние за уклонение фактических
метеоданных от некоторых стандартных значений, для которых подсчитаны
постоянные прибора.
Приведём, например, некоторые характеристики
светодальномера 2СТ10:
Диапазон измеряемых расстояний от 2 м до 10000
м;
Формула СКО измерения расстояний
Диапазон температур от -300С до
+400С;
Потребляемая мощность 15 вт;
Масса: светодальномера 5,5 кг,
всего комплекта 85
кг.
На панель управления светодальномера
2СТ10 вынесены цифровое табло для вывода измеренного расстояния в миллиметрах и
некоторые кнопки и переключатели: для установки контрольного отсчёта, для
регулировки подсветки сетки нитей, для регулировки уровня сигнала, для
переключения режимов работы, для переключения операций “наведение - счёт”, для
учёта давления p и температуры t.
Для измерения линий в полигонометрии
на данном участке работ наиболее выгодно выбрать светодальномер 2СТ10.
3. Проект высотной сети сгущения
.1 Проектирование хода технического
нивелирования
На данном участке работ было
запроектировано 2 разомкнутых хода технического нивелирования, длина первого
хода составила - 10,9км, второго - 6,2км .
Для нивелирования был выбран нивелир
НЛ-3, и комплект нивелирных реек РНТ - для технического нивелирования (складные
двусторонние длиной 4 м), штатив раздвижной высотой 160см, комплект костылей,
башмаков.
У нивелира НЛ-3 в полевых условиях
производят две поверки.
. Поверка круглого уровня: ось
круглого уровня должна быть параллельна оси вращения нивелира.
. Поверка главного условия: при
горизонтальном положении оси цилиндрического уровня и визирной оси зрительной
трубы высотный штрих должен совпадать с горизонтальной нитью сетки.
Рейки, применяемые при производстве
технического нивелирования, подвергаются следующим исследованиям.
. Определение цены делений рейки.
Исследованию подвергаются метровые и
дециметровые интервалы реек.
Для исследования рейку укладывают в
горизонтальное положение без прогиба и на ее поверхность кладут контрольную
линейку пли натягивают компарированную рулетку с миллиметровыми делениями.
Для фиксирования начала шкалы к
пятке рейки плотно прижимают лезвие бритвы и делают отсчеты по линейке
(рулетке) в начале шкалы и на границах всех исследуемых интервалов. Затем
сдвигают линейку (рулетку) на 1 - 2 мм, производят все отсчеты повторно и
вычисляют разности отсчетов. Колебания одноименных разностей отсчетов должны
быть не более ±0,2 мм.
Отклонения измеренных величии
метровых интервалов рейки (деления 0 - 10, 10 - 20, 20 - 30, 30 - 39) от их
номинального значения должны быть не более ±3 мм, а дециметровых - не более ±1
мм.
. Определение разности положения
нулей черной и красной сторон реек производится сравнением отсчетов по красной
и черной сторонам. Для этого рейку устанавливают на расстоянии 20 м от
нивелира. При положении пузырька цилиндрического уровня строго на середине
делают не менее пяти пар отсчетов по черной и красной сторонам при разных
высотах инструмента и вычисляют среднюю разность положения нулей.
.2 Предрасчет точности отметки
репера в середине хода.
геодезический сеть
сгущение нивелирование
Предрасчет точности определяется по
формуле:
где: 
- СКО отметки репера в середине
хода;
µ - СКО измерения превышения на 1 км
хода (µ=20мм);
Рсер - вес отметки репера в середине
хода (Рсер=
, где L -
количество километров в длине хода)
Для первого хода:
,
Для второго хода:

.
. Подсчет объемов работ
Объем работ по процессам
Таблица 11
|
№
п/п
|
Название
процесса
|
Единица
измерения
|
Количество
|
|
1
|
Рекогносцировка
пунктов полигонометрии
|
пункт
|
14
|
|
2
|
Закладка
центров
|
пункт
|
14
|
|
3
|
Измерение
углов
|
пункт
|
18
|
|
4
|
Измерение
сторон
|
сторона
|
18
|
|
5
|
Техническое
нивелирование
|
км
|
10,9
6,2
|
Заключение
Всего в ходе выполнения курсовой работы было
запроектировано 14 пунктов по ступеням сгущения. Для сгущения государственно
геодезической сети запроектированы два полигонометрических хода 4 класса первой
ступени произвольного вида, и два полигонометрических хода 1 разряда второй
ступени произвольного вида.
Выполнена оценка точности проекта наиболее сложного
полигонометрического хода первой ступени: длина хода 7,775км.; число сторон
хода 5; второй ступени: длина хода 5,1км, число сторон 5; углы измеряются
теодолитом 3Т2КП; длины сторон измеряются светодальномером 2СТ10. Высоты
пунктов полигонометрического хода определены техническим нивелированием.
При расчете точности получены следующие ошибки:
для хода полигонометрии 4 класса: ms=2см,
mβ=2”
;
для хода полигонометрии 1 разряда ms=3
см, mβ=5”
.
Полученные СКО положения пунктов в самом слабом
месте сети первой и второй ступени, равные 3,1см и 5,5см соответственно, не
превышают заданных значений ошибок.
В ходе курсовой работы было запроектировано 2
разомкнутых хода технического нивелирования, длина первого хода - 10,9км,
второго - 6,2км. Превышения измеряются нивелиром НЛ-3.
При расчете точности получены следующие ошибки:

для первого хода и 
для второго хода.
Описание приборов и методов
измерений представлены в тексте курсовой работы.
Список литературы
1. Селиханович
В.Г. Геодезия. Ч.2. М.: Недра, 1981.
2. Селиханович
В.Г., Козлов В.П., Логинова Г.П. Практикум по геодезии, М.: Недра, 1973.
3. Инструкция
по нивелированию I, II,
III, IY
классов. М.: Недра, 1990.
4. Инструкция
по полигонометрии и трилатерации. М.: Недра, 1976.
5. Условные
знаки топографических карт СССР, М.: Редакционно-издательский отдел ВТС, 1966.
6. Дьяков
Б.Н., Методические указания по выполнению курсовой работы для студентов
специальности 120101, СПБ.: СПГГУ,2010.