Землетрясения и типы сейсмических дислокаций

  • Вид работы:
    Курсовая работа (т)
  • Предмет:
    Геология
  • Язык:
    Русский
    ,
    Формат файла:
    MS Word
    66,13 Кб
  • Опубликовано:
    2012-07-01
Вы можете узнать стоимость помощи в написании студенческой работы.
Помощь в написании работы, которую точно примут!

Землетрясения и типы сейсмических дислокаций

Введение

Я выбрал работу «Землетрясения и типы сейсмических дислокаций», потому что эта тема, на мой взгляд, является одной из самых актуальных сейчас в мире. В первую очередь это обусловлено тем, что землетрясения, как явления ученые начали изучать сравнительно недавно, и остается очень много спорных вопросов. К тому же землетрясения являются одним из самых смертельных проявлений буйства стихии. За последнее столетие погибло около 600 тысяч людей. Людям нужно научиться предсказывать землетрясения с колоссальной точностью, чтобы избежать разрушений и стольких смертей. Так же тема зарождения землетрясений очень загадочна и спорна, т.к. эти явления зарождаются на огромной глубине, нам пока не удается точно проследить, как зарождается землетрясения, существует только огромное количество теорий, в которых, собственно, я и попытаюсь разобраться. Моей главной задачей является знакомство с методами исследования и теориями происхождения землетрясений. Так же у меня есть огромное желание продолжать изучение данной темы. Моими основными задачами является: освоение навыков написания и защиты курсовых и научных работ по узким темам, знакомство с современными методами исследования в области геофизики, развитие истории данного раздела.

Глава 1. Исторический обзор

В природе страждущей бывает часто

Броженья странные: нередко землю,

Беременную спазмами, терзают

В ее утробе замкнутые ветры,

Которые, стремясь к освобожденью,

Прабабку нашу землю так трясут,

Что рушатся замшелые твердыни

И колокольни…

У. Шекспир пьеса в трёх частях «Генрих IV»

На протяжении миллионов лет землетрясения неистовой силы заставляли человека чувствовать себя беспомощным, перед бушующей стихией. У многих народов их появление связанно с буйством гигантских чудищ, держащих на себе Землю или покоящихся в её недрах. В древней Японии упоминается огромный сом, который живёт под землей и иногда колотится об нее своим телом, что и вызывает землетрясения. Первые систематические и свободные от мистики представления возникли в Греции. Ее жители часто страдали от вулканов в Эгейском море и землетрясений на берегах Средиземного моря. Страбон заметил, что землетрясения чаще происходят на побережье чем в глубине материка. С развитием письменности люди стали собирать описания сильнейших землетрясений. Старейшее из таких собраний - китайское, уходящее в прошлое на 3000 лет. В Японии же каталог землетрясений охватывает меньший период, но он не содержит пропусков начиная с 1600 г. Н.э. и по настоящее время. Именно тогда люди стали задумываться, а откуда берет свое начало такое явление, как землетрясение. Начали появляться приметы, а вскоре и приборы позволявшие предсказать землетрясение за несколько часов до него. Приметы основывались в основном на поведении животных, например: чувствуя неизбежные земные толчки, собаки воют, лошадь может понести, а птицы беспокойно описывают в небе круги. А самый первый сейсмоскоп появился еще в Древнем Китае, он был сконструирован философом Чжан Хеном. Этот прибор не давал полной временной разведки именно этим он и отличается от сейсмографа. Именно это и стало первым толчком к развитию сейсмографов и сейсмологии в целом, а как следствие и землетрясений. Следующим шагом стало изобретение первого сейсмографа. В 1879 г. Японским ученым Юингом. Состоял он из маятника весом более тонны, а запись движения маятника осуществлялась на закопченной бумаге, вращаемой непрерывной лентой часовых мех. Невиданным прорывом стало изобретение в 1906 г. электромагнитного сейсмографа нашим земляком графом Борисом Борисовичем Голицыным. Он изобрел способ гальванометрической записи землетрясений. Состоит прибор из сейсмометра, преобразователя его механического сигнала в электрическое напряжение и регистратора накопителя информации. Эти открытия стали, пожалуй, основным шагом человечества к изучению проблемы, столько будоражившей великие умы. Это повлекло за собой создание сейсмических станций по всему земному шару. На них постоянно работают новейшие сейсмографы. Но сейсмограф не может дать ответ на вопрос об ускорении и скорости грунта при землетрясении. Собственно для этого и нужен акселерограф и G-sensor - прибор, измеряющий проекцию кажущегося ускорения. Кажущееся ускорение есть ускорение, вызванное равнодействующей сил негравитационной природы, действующая на массу и равное этой силе отнесённой к величине этой массы. Современные акселерометры позволяют измерять ускорение сразу в трех плоскостях. Эти и многие другие приборы претерпели небольшую доработку в результате чего практически в каждой современной обсерватории имеются самые современные приборы, для определения эпицентра и фокуса землетрясения, и это расчёты производятся всего за несколько секунд. Теперь люди «вооружены» и могут, пусть не защитить, но быть предупреждены о надвигающимся землетрясении.

Глава 2. Объекты и методы исследования

Землетрясения - одни из самых страшных природных катаклизмов, не только вызывающих опустошительные разрушения, но и уносящий десятки и сотни тысяч человеческих жизней. Землетрясения вызывали ужас своей силой, непредсказуемостью и последствиями. Земная твердь, самое незыблемое в представлении человека, вдруг оказывается подвижной, она вздымается волнами и раскалывается огромными ущельями…

Главным объектом исследования являются землетрясения, а именно его амплитуда, интенсивность и глубина залегания гипоцентра, основную роль конечно играют породы слагающие гипоцентр или фокус землетрясения. Это является, пожалуй, главным аспектом, определяющим силу землетрясения, т.к. именно породы определяют какой максимальной магнитуды может произойти землетрясение в данной области. Измеряя все эти параметры, мы получаем ценнейшие знания касаемо природы землетрясений. Для чего же, собственно, нужно иметь столько информации по природе происхождения данного явления? Ответ прост: чтобы научиться предсказывать землетрясения, и что важнее, не просто «убегать» от них а научиться противостоять этому явлению природы. Сейчас каждый подлежащий рассмотрению прогноз должен включать четыре основных элемента:

) Время, в течение которого произойдет данное событие,

) Место, в котором оно произойдет,

) Пределы магнитуды,

) Оценка вероятности случайного совпадения, т.е. того, что землетрясение произойдет вне связи с явлениями, подвергавшимися специальному изучению.

Предметом исследования является, непосредственно, динамика самого процесса землетрясения от его зарождения и до момента полного израсходования энергии, т.е. полного прекращения действия данного процесса, в нашем случае землетрясения. Изучается сам гипоцентр, место зарождения землетрясения, сейсмические волны, которые осуществляют перенос энергии.

Землетрясения изучает не только геофизика, но и такие науки как сейсмология и, в меньшей степени, тектоника. Сейсмология - наука о распространении сейсмических волн в недрах Земли. Только с помощью сейсмологии удалось составить картину глубинного строения земного шара (кора, мантия, внешнее и внутреннее ядро). Также сейсмология занимается землетрясениями, движениями платформ, мониторингом разработок рудных месторождений. Сейсмология занимается поиском способов противостояния землетрясениям и тем повреждениям, которые они наносят. Основной носитель информации - сейсмические волны, интерпретация записи которых позволяет изучать наряду с землетрясениями строение Земли, а также выявлять месторождения полезных ископаемых и фиксировать взрывы. Прогноз землетрясений складывается из предсказания места, силы и времени их проявления. Задача предсказания времени и места возникновения сильных землетрясений ещё не решена ввиду её исключительной трудности, а именно: необходимость получать информацию о процессах в земных недрах на больших глубинах, малая скорость дифференцированных тектонических движений, приводящих к землетрясениям. Работы в этом направлении связаны с поиском предвестников землетрясений, т. е. явлений, обусловленных изменениями физико-механических свойств земной коры и мантии перед землетрясением, вариаций во времени скоростей распространения сейсмических волн, поднятие или опускание уровня океана за несколько часов до сильных землетрясений, изменение электрического сопротивления горных пород. Элементом прогноза в известной мере служит сейсмическое районирование, позволяющее указывать районы возможной максимальной силы и средней частоты повторения землетрясений. Для этого проводится анализ данных сети сейсмических станций о положении эпицентров, глубине очагов, магнитудах, интенсивности регистрируемых землетрясений, а также выявляется приуроченность их к тем или иным геологическим структурам и областям проявления интенсивных новейших тектонических движений. Оптимизация сейсмических наблюдений достигается путём рационального выбора места расположения сейсмических станций, обеспечивающего хорошую "видимость" сейсмоактивных зон и минимальный уровень сейсмических шумов - микросейсм.

Уточнение сейсмического районирования производится с помощью сейсмического микрорайонирования на основе инженерно-геологических изысканий и сейсмометрических инструментальных наблюдений. Эти исследования обеспечивают необходимыми данными сейсмостойкое строительство и составляют предмет инженерной Сейсмологии.

Это крупнейшие землетрясения за последнее столетие, а общее количество жертв составило более 600 тысяч человек. Вряд ли человечество сможет когда-нибудь полностью избежать землетрясений, но благодаря современному развитию мы можем свести их к минимуму «Кто предупрежден - тот вооружен»(Таблица 1.).

Безусловно, тема землетрясений очень интересна и наиболее актуальна в современной геофизике, именно поэтому я выбрал эту тему к написанию работы.

Дата

Место

Магнитуда (в баллах)

Количество погибших

16 декабря 1920

Провинция Ганьсу (Китай)

8,6

200 тысяч

1 сентября 1923

Япония (Токио и Йокогама)

8,3

142807

22 мая 1927

Ксининг (Китай)

8,3

200 тысяч

25 декабря 1932

Провинция Ганьсу (Китай)

7,6

70 тысяч

5 января 1970

Провинция Юннань (Китай)

7,7

15621

31 мая 1970

Перу

7,4

50 тысяч

22 декабря 1972

Манагуа (Никарагуа)

7,2

6 тысяч

4 февраля 1976

Гватемала

6,5

22778

28 июля 1976

Таньшань (Китай)

7,3

242 тысячи

20 сентября 1985(рис. 2)

Мексика

8,1

9500

7 декабря 1988

7,2

25 тысяч

21 июня 1990

Иран

7,7

50 тысяч

17 января 1995

Кобе, Осака и Киото (Япония)

7,2

5100

12 мая 1997

Иран

7,1

1500

4 февраля 1998

Северный Афганистан

7,1

2300

17 августа 1999

Измирит (Турция)

7,4

17 тысяч

21 сентября 199

Тайвань

7,6

2295

Таблица 1. Самые разрушительные землетрясения столетия

(Б. Болт 1981)

Глава 3. Землетрясения современные знания

Что такое землетрясения?

Чтобы ответить на этот вопрос нужно разобраться коке же строение имеет наша планета. Так же нужно знать плотности в каждом слое Земли.

Земная кора. Это верхний слой, на котором мы живем. Он состоит из твердых горных пород. Его глубина варьирует от 5 до 60 километров. В качестве среднего показателя для всей планеты толщина земной коры принята равной 33 км, а среднее значение плотности составляет 2,67 грамм на кубический сантиметр (г/см3). Эта толщина может показаться значительной, хотя в сравнении со средним радиусом Земли кора скорее напоминает скорлупу яйца. Скорости сейсмических волн в земной коре составляют 6,0 - 6,5 км/с для продольной волны Р и 3,5 - 3,7 км/с для S волны.

Мантия. Этот слой простирается от основания земной коры на глубину 2 900 км; поверхность раздела, отделяющая земную кору от нижеследующей мантии, известна как граница или поверхность Мохоровичича (Мохо). Мантия разделена на два участка: верхняя мантия от основания земной коры до глубины 700 км и нижняя мантия от этой глубины до границы ядра. В верхней мантии на глубине в первые 200 км скорость волн постепенно увеличивается, а затем идет уменьшение скорости S-волны. В нижней части верхней мантии на глубинах от 300 до 700 км отмечено резкое увеличение скорости сейсмических волн. В нижней мантии скорости волн Р и S увеличиваются медленнее по мере увеличения глубины.

Внешнее ядро, расположенное на глубине между 2 900 и 5 000 километров, ведет себя как жидкое тело, поэтому 5 волны не проходят через эту зону. (Плотность материала внешнего ядра равна примерно 10,0 г/см3.)

Внутреннее ядро, радиусом 1 200 километров, считается твердым. В нем скорости сейсмических волн возрастают. Через внутреннее ядро (иногда его называют субядром) проходят как волны Р, так и волны S. (Плотность материала внутреннего ядра примерно равна 12,5 г/см3.).

Таким образом, мы выяснили из каких слоев состоит Земля. Землетрясения образуются на глубине до 700 км. это земная кора и верхняя мантия.

Землетрясение - это подземные толчки и колебания грунта, которые вызваны сейсмическими волнами. Эти волны подобно звуковым, расходящимся от гонга при ударе по нему также излучаются из некоторого источника энергии, находящегося в верхних слоях Земли. Хотя и естественный источник занимает некоторый объем горных пород, чаще всего его обозначают просто точкой, из которой расходятся сейсмические волны. Эту точку называют фокусом или гипоцентром землетрясения(рис. 4). Точку на земной поверхности, расположенную непосредственно над фокусом землетрясения, называют эпицентром. По сути, эпицентр это проекция фокуса на сферу, а именно на поверхность Земли. Землетрясения разделяются по глубине фокуса на мелкофокусные: гипоцентр находится на глубине от 1 до 70 км, промежуточные: гипоцентр находится на глубине от 70 до 300 км и глубокофокусные, чей гипоцентр располагается на глубине свыше 300 км. Самые разрушительные это мелкофокусные землетрясения, именно они в общей сумме энергии составляют  от общей энергии, выделяющейся при землетрясениях всего мира.

Некоторым землетрясениям предшествуют предварительные толчки из той же очаговой области - форшоки. Предполагается, что их можно использовать для предсказания главного толчка. Так же после землетрясения в той же местности в течение нескольких часов, а то и нескольких месяцев отмечаются многочисленные землетрясения меньшей силы. Они называются афтершоками, и их число при крупном землетрясении бывает катастрофически большим. Например: после сильнейшего землетрясения на Крысьих островах в Алеутском архипелаге в течение последующих 24 дней было замечено более 750 афтершоков, причем довольно сильных.

Типы землетрясений

Сегодня мы можем объяснить природу землетрясений большую часть их видимых свойств с позиций физической теории. Согласно современным взглядам, землетрясения отражают процесс постоянного геологического преобразования нашей планеты. Рассмотрим теперь принятую в наше время теорию происхождения землетрясений и то, как она помогает нам глубже понять их природу и даже предсказывать их.

Первый шаг к восприятию новых взглядов заключается в признании тесной связи расположения тех районов земного шара, которые наиболее подвержены землетрясениям и геологически новых и активных областей земли. Большинство землетрясений возникает на окраинах плит: поэтому мы делаем вывод, что те же глобальные геологические, или тектонические, силы, которые создают горы, рифтовые долины, срединно-океанические хребты и глубоководные желоба, те же самые силы представляют собой и первичную причину сильнейших землетрясении. Природа этих глобальных сил в настоящее время еще не совсем ясна, но несомненно, что их появление обусловлено температурными неоднородностями в теле Земли - неоднородностями, возникающими благодаря потере тепла путем излучения в окружающее пространство, с одной стороны, и благодаря добавлению тепла от распада радиоактивных элементов, содержащихся в горных породах, - с другой. Появление свежих трещин на поверхности часто связано с землетрясениями. Обращает на себя внимание тот факт, что большинство самых разрушительных землетрясений - таких как Сан-Францисское 1906 г, Японское (Мино-Овари) 1891 г. и Гватемальское 1976 г. -возникло в результате вспарывания крупных разломов, выходящих на поверхность.

Введем классификацию землетрясений по способу их образования.

Больше всех распространены тектонические землетрясения. Они возникают, когда в горных породах под действием тех или иных геологических сил происходит разрыв. Тектонические землетрясения имеют важное научное значение для познания недр Земли и громадное практическое значение для человеческого общества, поскольку они представляют собой самое опасное природное явление. Однако землетрясения возникают и от других причин.

Подземные толчки другого типа сопровождают вулканические извержения. И в наше время многие люди все еще считают, что землетрясения связаны главным образом с вулканической деятельностью. Эта идея восходит к древнегреческим философам которые обратили внимание на широкое распространение землетрясений и вулканов во многих районах Средиземноморья. Сегодня мы также выделяем вулканические землетрясения - те, которые происходят в сочетании с вулканической деятельностью но считаем, что как извержения вулканов, так и землетрясения являются результатом действия тектонических сил на горные породы, и они не обязательно возникают вместе. Сам механизм образования сейсмических волн при вулканических землетрясениях, вероятно, тот же, что и при тектонических.

Третью категорию образуют обвальные землетрясения. Эти небольшие землетрясения, возникающие в районах, где есть земные пустоты и горные выработки. Непосредственная причина колебаний грунта заключается при этом в обрушении кровли шахты или пещеры. Часто наблюдаемая разновидность этого явления - так называемые горные "горные удары". Они случаются, когда напряжения, возникающие вокруг горной выработки, заставляют большие массы горных пород резко, со взрывом, отделятся от ее забоя, возбуждая сейсмические волны.

Последний тип землетрясений - это искусственные, производимые человеком взрывные землетрясения, возникающие при обычных или ядерных взрывах. Подземные ядерные взрывы, производившиеся в течение последних десятилетий на ряде испытательных полигонов в разных местах земного шара, вызвали довольно значительные землетрясения. Когда в скважине глубоко под землей взрывается ядерное устройство, высвобождается огромное количество ядерной энергии. За миллионные доли секунды давление там подскакивает до величин, в тысячи раз превышающих атмосферное давление, а температура увеличивается в этом месте на миллионы градусов. Окружающие породы испаряются, образуя сферическую полость диаметром во много метров. Полость разрастается, пока кипящая порода испаряется с ее поверхности, а породы вокруг полости под действием ударной волны пронизываются мельчайшими трещинами.

За пределами этой трещиноватой зоны, размеры которой измеряются иногда сотнями метров, сжатие в горных породах приводит к возникновению сейсмических волн, распространяющихся во всех направлениях. Когда первая сейсмическая волна сжатия достигает поверхности, грунт выгибается вверх и, если энергия волны достаточно велика, может произойти выброс поверхностных и коренных пород в воздух с образованием воронки. Если скважина глубокая, то поверхность только слегка растрескается и порода на мгновение поднимается, чтобы затем снова рухнуть на подстилающие слои.

Причины землетрясений

Причину практически любого землетрясения можно объяснить с помощью теории тектоники плит. Ее основная идея заключается в том, что внешняя оболочка Земли состоит из нескольких крупных и прочных пластин, которые называются плитами. Каждая плита уходит на глубину примерно 80 км, плиты перемещаются относительно друг друга по поверхности подстилающих более мягких пород. Краевые части каждой плиты соприкасаются с другими плитами, и как результат горные породы оказываются под действием больших деформирующих, тектонических сил. Основным местом очагов землетрясений являются срединно-океанические хребты, являющиеся зонами разрастания океанического дна. Эти зоны спрединга нарушены прерывистыми горизонтальными смещениями, соответствующие зонам горизонтального сдвига. Таким образом вдоль океанического хребта образуется зона трансформных разломов, вдоль которых чаще всего наблюдаются землетрясения. Местом, же, погребения плит служат глубоководные желоба - зоны субдукции, в которых поверхностные породы, буквально, «заталкиваются» вглубь Земли. Таким образом, землетрясения происходящие вдоль океанических хребтов, связаны с ростом плит. Вдоль этих подводных горных цепей обнаружено огромное количество разрывов и обрушенных блоков. Именно при таком дроблении пород высвобождается энергия землетрясений. Когда в районе океанического желоба плита изгибается вниз в ней образуются трещины и разрывы, возбуждая мелкофокусные землетрясения. Когда в районе океанического желоба плита изгибается вниз, в ней образуются трещины и разрывы, возбуждая мелкофокусные землетрясения. В процессе ее погружения создаются дополнительные напряжения, которые приводят к дальнейшим деформациям и дроблению, в результате чего происходят глубокофокусные землетрясения. Гипоцентры таких землетрясений, возникающие вдоль опускающейся плиты, образуют ту самую наклонную сейсмическую зону удивительно правильной формы - зону Беньофа. В конце концов на глубине 650 - 700 км либо материал плиты полностью поглощается глубинными породами и смешивается с ними, либо его свойства меняются настолько, что сейсмическая энергия больше не может выделяться. Из этого следует ряд выводов, помогающих понять природу землетрясений.

Во-первых, на краях взаимодействующих плит должно происходить гораздо больше землетрясений, так называемых межплитовых землетрясений, чем во внутренних частях плит. Но никакого логичного объяснения тектоника плит этим землетрясениям не дает. Такие внутриплитовые землетрясения возникают, очевидно под действием более локальной системы напряжений, связанных, возможно, с изменениями температуры, глубины залегания и прочности поверхностных пород. Ряд землетрясений такого рода отмечен и в США. Самые крупные из них - серия сильнейших землетрясений, обрушившихся на район Нью-Мадрида в штате Миссури в 1811-1812 гг. Они причинили серьезный ущерб этому району и ощущались даже в столице США Вашингтоне. Возможно, эти землетрясения были вызваны огромной тяжестью аллювиальных отложений, распространенных вдоль всего бассейна реки Миссисипи от Мексиканского залива до окрестностей Нью-Мадрида а возможно и интрузиями плотных горных пород, взброшенных в этом районе по разломам.

Во-вторых, из-за того, что на плиты действуют силы разных направлений, механизм и размеры очагов землетрясений оказываются различными в разных частях плиты. Только около 10% возникающих на Земле сейсмических толчков происходит в пределах глобальной системы океанических хребтов, и они дают всего лишь около 5% сейсмической энергии всех землетрясений мира. При сейсмических толчках, возникающих под океаническими желобами, выделяется более 90% мировой сейсмической энергии мелкофокусных землетрясений и большая часть энергии промежуточных и глубокофокусных землетрясений. Большинство крупнейших землетрясений, таких как Чилийское 1960 г. и Аляскинское 1964 г., возникло в зонах субдукции в результате поддвигания одной плиты под другую.

В - третьих, громадные размеры плит и устойчивая скорость их разрастания дают основание считать, что на краях плиты темп проскальзывания должен оставаться в среднем постоянным в течение многих лет. Следовательно, если в двух районах, расположенных вдоль какого-либо желоба на некотором расстоянии один от другого, происходит такое проскальзывание, вызывая землетрясения, то можно ожидать, что такой же процесс происходит и в промежутке между ними. Это позволяет предположить, что выявленные за весь период наблюдений закономерности в расстояниях и промежутках времени между сильными землетрясениями, возникающими вдоль границ крупной плиты, по крайней мере приблизительно указывают на то место, где в скором времени могут произойти другие сильные землетрясения. На ней жирными штрихами показаны места разрывов, которые должны были возникнуть при некоторых крупных землетрясениях в последнее время. Если нанести на эту схему все эпицентры таких мелкофокусных землетрясений за последние 30-40 лет, то они покроют многие участки границ этих двух плит. Однако останутся зоны сейсмического молчания, в которых, возможно, и произойдет в будущем подвижка плит, а следовательно, возникнут сильные землетрясения. В пределах Калифорнии имеется такая зона: она располагается на разломе Сан-Андреас между районами Сан-Францисского землетрясения 1906 г. на севере и Форт-Техонского 1857 г. на юге. Заметим, что для восточного и южного краев Карибской плиты нет исторических данных о крупных мелкофокусных землетрясениях: это означает, что никакие предположения о сейсмической опасности в протяженных «тихих» зонах не имеют здесь веских оснований.

Типы сейсмических волн, возникающих при землетрясениях

Горные породы Земли обладают упругими свойствами, и это заставляет их деформироваться и вибрировать под действием приложенных сил сжатия и растяжения. Исходя из этого существует только три типа сейсмических волн. Из них только два типа распространяются внутри объема горных пород. Более быстрые из этих объемных волн называются первичными (Р) или продольными волнами(рис. 11) . Их движение имеет тот же характер, что и у звуковых волн, т. е. при своем распространении они попеременно давят на горные породы - сжимают их или создают в них разрежение - растягивают их . Эти Р-волны, подобно звуковым волнам, способны проходить и через твердые породы, например гранитные горные массивы, и через жидкости, такие как вулканическая магма или вода океанов. Следует отметить, что из-за сходства этих волн со звуковыми часть Р-волн, выходя из глубин Земли к ее поверхности, может передаваться в атмосферу в виде звуковых волн, воспринимаемых животными и людьми, если частота их окажется в интервале слышимости. Более медленные волны, проходящие через горные породы, называются вторичными (S) или поперечными волнами(рис. 11). При своем распространении они сдвигают частицы вещества в стороны, под прямым углом к направлению своего пути. Простое наблюдение ясно показывает, что если какой-то объем жидкости сдвинуть в сторону или повернуть, то он не вернется затем на прежнее место. Из этого следует, что поперечные волны не могут проходить через те участки Земли, которые состоят из жидкости, например через океаны.

Фактическая скорость продольных и поперечных сейсмических волн зависит от плотности и упругих свойств горных пород и грунтов, через которые эти волны проходят. В большинстве случаев при землетрясениях продольные волны ощущаются первыми. Их действие похоже на удар воздушной волны, которая создает грохот и треск стекол в окнах. Спустя несколько секунд приходят поперечные волны, которые раскачивают все на своем пути вверх-вниз и из стороны в сторону и смещают поверхность грунта как по вертикали, так и по горизонтали. Именно эти колебания и приводят к наибольшему повреждению построек.

Сейсмические волны третьего типа называются поверхностными волнами(рис. 11), поскольку их распространение ограничено зоной, близкой к поверхности грунта. Такие волны подобны ряби, расходящейся по поверхности озера. Наибольшие колебания происходят на самой поверхности, а с глубиной амплитуда волн становится меньше и меньше. Поверхностные волны, создаваемые землетрясениями, делятся на два вида. Первый называется волнами Лява. Эти волны в сущности то же самое, что поперечные волны без вертикальных смещений; они заставляют частицы грунта колебаться из стороны в сторону в горизонтальной плоскости, параллельной поверхности Земли, но под прямым углом к направлению своего распространения. Воздействие волн Лява состоит в горизонтальных колебаниях, которые передаются основаниям построек и, следовательно, могут вызвать разрушения. Второй вид поверхностных волн известен под названием волн Рэлея. Как и в обычных морских волнах, частицы материала, захваченного волнами Рэлея, движутся по вертикали и по горизонтали в вертикальной плоскости, ориентированной по направлению распространения волн. Как показано каждая частица породы при прохождении волны движется по эллипсу. Поверхностные волны распространяются медленнее, чем объемные, и из двух видов поверхностных волн обычно волны Лява приходят быстрее, чем Рэлея. Таким образом, когда из очага землетрясения волны расходятся в разные стороны в земной коре, то можно предсказать, каким именно образом отделятся друг от друга разные типы волн. Волны Лява вертикальными приборами не записываются. Поскольку волны Рэлея содержат вертикальную составляющую, они могут воздействовать на воду, например в озерах, тогда как волны Лява, которые не про ходят через воду, действуют только на прибрежные части озер и океанских заливов, заставляя воду смещаться взад-вперед и перемешиваться, как у стенок вибрирующего бака.

Объемные волны обладают и другим свойством, влияющим на производимые ими сотрясения: при распространении через пласты горных пород земной коры они отражаются от границ между породами разного типа или преломляются на этих границах. Кроме того, какая бы волна ни испытывала отражения или преломления, часть энергии волн одного типа идет на образование волн другого типа. Возьмем простой пример: продольная волна подходит снизу к подошве слоя аллювия; при этом часть энергии будет передаваться вверх в виде продольной волны (Р), а часть превратится в поперечные колебания (S) (еще одна часть энергии отразится обратно вниз в виде Р и S волн). Из сказанного становится понятно, почему на суше после первых толчков при сильных колебаниях грунта обычно ощущают волны двух видов. Но если во время землетрясения вы окажетесь в море, то почувствуете, что судно воспринимает только один вид колебаний, передаваемый Р-волнами, так как S-волны не проходят через воду. Тот же эффект возникает, когда при сейсмических колебаниях в песчаных слоях происходит разжижение. Энергия поперечных волн, проходящих через разжиженные слои, постепенно уменьшается, и в конце концов проходят только продольные волны. Когда Р- и S-волны достигают поверхности грунта, большая часть их энергии отражается обратно в земную кору, так что на поверхность почти одновременно воздействуют волны, движущиеся и вверх, и вниз. Поэтому вблизи поверхности, как правило, происходит значительное усиление колебаний: иногда их амплитуда вдвое превышает амплитуду приходящих волн. Это при поверхностное увеличение амплитуды усиливает разрушения, производимые на поверхности Земли. В самом деле, при многих землетрясениях горнорабочие отмечали в подземных выработках колебания более слабые, чем ощущали люди на поверхности. И последнее, что стоит сказать здесь по поводу сейсмических волн. Имеются убедительные доказательства - как наблюдавшиеся на практике, так и теоретические, - что на сейсмические волны действуют и грунтовые условия, и рельеф местности(рис. 12).

Распространение упругих волн

Упругие свойства однородного изотропного твердого тела можно выразить с помощью двух констант: µ и k, где k ― объемный модуль упругости, или модуль всестороннего сжатия; для гранита он равен приблизительно 266469 атм. Для воды - около 157907 атм. µ ― модуль сдвига; для гранита он равен 157907 атм. Для воды µ = 0.

Через твердое тело с плотностью ρ распространяются два типа упругих волн:

Продольные волны - скорость  для гранита = 5,5 км/с, а для воды  = 1,5 км/с.

Поперечные волны - скорость  для гранита β = 3,0 км/с, а для воды β = 0 км/с.

По свободной поверхности упругого твердого тела распространяются два вида поверхностных волн:

Волны Рэлея - скорость , где β - скорость поперечных волн в данной горной породе.

Волны Лява (для слоистой твердой среды) - скорость , где  - скорости поперечных волн в поверхностном и нижележащем слоях соответственно.

Параметры гармонических колебаний выражаются через период Т и длину волны λ:

Скорость распространения волны ν= λ/T

Частота колебаний  .

Интенсивность землетрясений. Магнитуда

Землетрясение в южной Италии в декабре 1857 г. было столь разрушительным, что местные коммуникации были нарушены и прошла почти неделя, прежде чем известие о его размерах достигло областей за пределами Неаполитанского королевства. Сразу же после этого Роберт Маллет обратился в Лондоне к Королевскому обществу с просьбой о разрешении на поездку, и в феврале 1858 г. ему удалось прибыть в Неаполитанское королевство. Здесь он провел два месяца, выполняя первое научное полевое исследование, глубокое и всестороннее, эффектов сильнейшего землетрясения.

Рихтер связал амплитуду колебания с безразмерной величиной, которая получила название магнитуда. А связь ее с амлитудой осуществлялась довольно просто формулой:

,

где f - корректирующая функция, вычисляемая по таблице в зависимости от расстояния до эпицентра. Энергия землетрясения примерно пропорциональна , то есть увеличение магнитуды на 1,0 соответствует увеличению амплитуды колебаний в 10 раз и увеличению энергии примерно в 32 раза. Таким образом можно вычислить магнитуду любых типов волн:

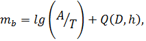
Магнитуда объёмных волн


где A - амплитуда колебаний земли (в микрометрах), T - период волны (в секундах), и Q - поправка, зависящая от расстояния до эпицентра D и глубины очага землетрясения h.

Магнитуда поверхностных волн


Эти шкалы плохо работают для самых крупных землетрясений - при магнитуде равно 8 наступает насыщение.

Поскольку землетрясения весьма сильно различаются по величине, амплитуды сейсмических волн могут различаться в тысячи раз. Поэтому удобнее всего сжать диапазон амплитуд с помощью какого-либо математического преобразования. Рихтер определил магнитуду (величину) местного землетрясение десятичный логарифм максимальной амплитуды сейсмической волны (в тысячных долях миллиметра), записанной стандартным сейсмографом на расстоянии 100 км от эпицентра землетрясения. Это означает, что если магнитуда оказывается больше на единицу, то амплитуда волн возрастает в 10 раз. Сейсмографом, принятым в качестве стандартного для деления магнитуды местных толчков, является прибор Вуда - Андерсона или его эквивалент. Как свет кажется более тусклым при увеличении расстояния от источника, точно так же чем дальше источник землетрясения от сейсмографа, тем меньше амплитуда сейсмических волн. Очаги землетрясений могут находиться любом расстоянии от сейсмостанции. Поэтому в дальнейшем. Рихтер разработал метод расчета магнитуды землетрясения с учетом затухания волн при увеличении эпицентрального расстояния.

Тип используемой для вычислений сейсмической волны особо не оговаривался; единственное требование состояло в том, чтобы выбранная волна - продольная, поперечная или поверхностная - имела наибольшую амплитуду.

В настоящее время использование понятия магнитуды изменилось до неузнаваемости по сравнению с первоначальным. Такое удобство, как описание величины землетрясения с помощью всего лишь одной числовой характеристики - магнитуды, потребовало, чтобы метод был расширен и учитывал записи сейсмографов разных типов, размещенных по всему миру. Соответственно этому появился целый ряд магнитудных шкал, основанных на различных формулах вычисления эпицентральных расстояний и разных способах выбора требуемой амплитуды волн. Имеются три главных направления в использовании данных о магнитуде землетрясения. Во-первых, эта характеристика принята как мера относительной величины землетрясения и поянятна не только ученым, строителям и инженерам, но и широкой пу блике; по магнитуде можно судить, хотя бы приближено о масштабе землетрясения. во-вторых, понятие магнитуды используется в непрекращающихся попытках выработать всеобъемлющий договор о запрещении ящерных испытаний: исследования показали, что сравнение различных видов магнитуд - один из лучших способов отличить ядерный взрыв от землетрясения, вызванного естественными причинами. В-третьих, на основе магнитуд отмеченных ранее землетрясений дается приближенный прогноз максимального ускорения колебаний грунта при землетрясениях, ожидаемых на участке крупного строительства. Эта информация используется при проектировании сооружения, способного выдержать такие сильные колебания грунта.

Из определения магнитуды следует, что шкала магнитуд не I имеет ни верхнего, ни нижнего предела, хотя сама величина землетрясения определенно ограничена сверху конечным значением прочности пород земной коры. В нашем столетии два или три землетрясения, записанных сейсмографами, имели магнитуду 8,9 по шкале Рихтера. Сан-Францисское землетрясение 1906 г. имело магнитуду 8,25, а магниту да сильнейшего Чилийского землетрясения 22 мая 1960 г. составила 8,5. Вообще говоря, для того чтобы вблизи источника сейсмических волн возникли серьезные разрушения, магнитуда мелкофокусных землетрясений должна быть, как правило, больше 5,5(рис. 13).

Таким образом, магнитуда землетрясения - величина, характеризующая энергию, выделившуюся при землетрясении в виде сейсмических волн. Первоначальная шкала магнитуды была предложена американским сейсмологом Чарльзом Рихтером в 1935 году, поэтому в обиходе значение магнитуды ошибочно называют шкалой Рихтера.

Роль воды в возникновении землетрясений

Известно, что почти везде в нескольких метрах под поверхностью Земли горные породы пропитаны грунтовыми водами. Вода насыщает породы и заполняет в них все трещины и поры. Ученые исследовали, что происходит с образцами водонасыщенных пород, когда их подвергают лабораторному испытанию на сжатие, для чего используются мощные прессы, похожие на автомобильные домкраты. Оказалось, что при некоторых условиях под действием касательных напряжений объем "влажных" пород увеличивается, а не уменьшается. Это увеличение объема при деформации называется дилатансией. Оно свидетельствует о том, что с возрастанием давления, объем горных пород может увеличиваться за счет открытия множества микротрещин и их дальнейшего расширения. Грунтовая вода, которая попадает в эти микротрещины, гораздо менее сжимаема, чем воздух, поэтому давление не может легко закрыть их.

Предположим, что нам удалось с помощью какого-то инструмента заглянуть внутрь земной коры во время ее деформирования. Прежде всего медленное деформирование коры под действием локальных тектонических сил приводит к появлению во всем блоке затронутых горных пород множества микротрещин. С течением времени происходит диффузия воды в трещины и заполнение их. В этот период объем блока увеличивается - идет дилантасия, и этот процесс можно обнаружить на поверхности по вспучиванию грунта, достаточно большому, чтобы его можно было заметить при нивелировании, или по движению установленных на побережье реперов - футштоков. Такие изменения, происходящие в горных породах, должны сначала ослабить их, особенно в зонах разломов; затем давление воды в трещинах понижает суммарную величину всестороннего сжатия, так что вдоль разлома может распространиться крупная трещина. По ней начинается и развивается упругая отдача деформированных горных пород. До сего времени такая последовательность событий, предшествующих землетрясению, еще никогда не наблюдалась непосредственно, но имеются по меньшей мере косвенные данные о том, что нечто подобное действительно происходит. Так или иначе, очень полезно поразмышлять о процессах, приводящих к землетрясениям, когда мы уже стали находить их правдоподобные предвестники - быстрое изменение уровня дневной поверхности, наклон поверхности земли и флюктуации уровня воды в скважинах и колодцах.

Несомненно, что трещины, образующиеся при деформации земной коры, дают хорошее объяснение как форшоков, так и афтершоков. Причиной форшоков можно считать возникновение зачаточных разрывов в деформированном и растрескавшемся материале, - по разлому, который раньше не развивался, так как условия для этого еще не созрели. Однако форшоки слегка изменят поле напряжений и могут повлиять на движение воды и распределение микротрещин. После нескольких предварительных разрывов произойдет вспарывание более длинного шва, что и служит причиной главного удара землетрясения. Резкая подвижка горных пород вдоль главного разрыва вместе с вызванными ею сильными колебаниями и локальным выделением тепла создадут физическую обстановку, весьма отличную от той, которая существовала до землетрясения; в результате могут образоваться дополнительные разрывы и возникнуть афтершоки. Шаг за шагом энергия деформации в районе будет уменьшаться, подобно тому так кончается завод у часов, пока - возможно спустя несколько месяцев - не восстановятся стабильные условия. Вспарывание началось; возникли колебания грунт. Первая подвижка происходит в фокусе (гипоцентре) землетрясения, в некотором блоке земной коры. Затем процесс распространяется в плоскости разлома во всех направлениях. Заметим, что фронт разрастания подвижки перемещается не равномерно, а скачками. Это объясняется тем, что физические свойства пород коры меняются от места к месту, а давление вышележащих пород, действующее в каждой данной точке коры, уменьшается к поверхности. Таким образом, фронт разрастания подвижки может в каком-то месте почти остановиться; затем вследствие перестройки поля упругих напряжений он может совершить резкий скачок и сравняться по скорости с проскальзыванием на других участках разлома. Если этот фронт достигает дневной поверхности (что происходит только в небольшом числе случаев при мелкофокусных землетрясениях), он создает видимый след разлома.

Протяженность фронта вспарывания зависит от степени деформации в породах всего района. Вспарывание будет продолжаться до тех пор, пока оно не достигнет места, в котором породы не столь деформированы, чтобы разрыв мог продвигаться дальше. Тогда процесс вспарывания завершается. Когда это произойдет, смежные крылья разлома окажутся после отскока в менее деформированном состоянии. В процессе вспарывания крылья разлома трутся друг о друга, так что некоторая энергия расходуется на трение и дробление породы. Происходит локальный разогрев поверхности разрыва. В то же самое время генерируются сейсмические волны: как в результате упругой отдачи контактирующих блоков у поверхности разрыва, так и в результате трения и дробления пород.

Если бы в горных породах не было воды, то не происходило бы и тектонических землетрясений. Причин этому много. Прежде всего, если вычислить гидростатическое давление в земной коре на глубине 5 км, обусловленное весом вышележащих пород, то окажется, что оно равно прочности гранита и подобных ему пород (т. е. тому давлению, которое порода может выдержать, не разрушаясь) при давлении. (1000 бар) и температуре (500°С), соответствующих этой глубине. На больших глубинах из-за того, что гидростатическое давление там уже больше прочности пород, можно было бы ожидать, что породы будут течь и деформироваться пластически, а не подвергаться хрупкому разрушению (вызывая тем самым землетрясения). В самом деле, если образец прочной гранитной породы подвергнуть в лаборатории сжатию при соответствующих условиях температуры и давления, то в нем в общем случае проявится текучесть, а не хрупкость. Тем не менее, землетрясения происходят, и, таким образом, мы имеем перед собой некий парадокс. В соответствующих экспериментах подвижки, - возможно, вода создает на плоскостях скольжения некоторое подобие смазки. Эти рывки соответствуют резкому понижению всестороннего давления. При мелкофокусных землетрясениях касательное напряжение, т.е. напряжение, ориентированное вдоль разлома, резко падает на величину в несколько десятков - сотен атмосфер. Именно поэтому вода присутствующая в породах вдоль зоны разлома, ослабляет их, в результате чего при сейсмической подвижке снимается только совсем малая часть касательного напряжения. В глинке трения и других глинистых породах часто видны, по крайней мере у поверхности, прямые свидетельства сдвигового проскальзывания, происходившего во влажных условиях: плотно притертые блоки слоистых пород с бороздками на так называемых зеркалах скольжения. Следовательно, в большинстве сейсмоактивных зон на глубине имеется, по-видимому, достаточно много воды, и примечательно, что вода часто присутствует в источниках и глубоких скважинах вдоль крупных разломов. В результате была установлена чрезвычайно тесная зависимость между количеством закачанной жидкости и местной сейсмической активностью. Когда поровое давление жидкости достигало некоторой пороговой величины, сейсмическая активность возрастала. Когда при откачке воды давление падало, сейсмическая активность уменьшалась. И опять-таки надо подчеркнуть, что скважины в районе Рейнджли проходят через древние разломы и земная кора в этом районе уже находилась в состоянии некоторой тектонической деформации, на что указывает возникновение небольших землетрясений в предшествующие годы. Так что можно предотвратить землетрясения путем нагнетания воды в местах строительства.

Разломы в недрах земли

землетрясение волна магнитуда сейсмический

Нередко в таких местах как дорожные выемки или утесы на берегу моря, замечают резкие изменения структуры горных пород. В некоторых местах видно, как порода одного типа упираются в породы совершенно иного типа, отделяясь от них узкой линией контакта. В других местах пласты одной и той же породы несомненно испытали смещения, вертикальные или горизонтальные. Такие резкие изменения геологической структуры называются разломами. Длина разломов может колебаться от нескольких метров многих километров. Наличие таких разломов указывает на то, что когда-то в прошлом вдоль них происходили те или иные движения. Мы знаем теперь, что такие движения могут быть либо медленным проскальзыванием, которое не производит никаких колебаний грунта, либо резким вспарыванием, вызывающим ощутимые вибрации - землетрясения. При большинстве землетрясений возникающий разрыв не достигает дневной поверхности и поэтому его нельзя непосредственно увидеть. Разломы обнаруживаемые на поверхности, иногда уходят на значительную глубину внутрь внешней оболочки Земли; эту оболочку называют земной корой. Она представляет собой каменную скорлупу толщиной от 5 до 40 км и составляет верхнюю часть литосферы. Разломы в свою очередь делятся на: не активные (асейсмичные) разломы, которые не становятся источниками землетрясений и может быть не станут ими никогда, и активные разломы, разломы по которым может происходить смещение блоков земной коры. Кстати именно благодаря разломам за последнее тысячелетие образовалось огромное количество депрессионных озер и родников и свежие сбросовые уступы. Как на суше так и под водами океана смещения по разломам можно разделить на три типа. Плоскость разрыва пересекает горизонтальную поверхность грунта по линии, идущей под каким-то углом к направлению на север. Этот угол называется углом простирания разлома. Сама плоскость разлома обычно не вертикальна и уходит в глубь Земли под некоторым углом. Если породы на той стороне разлома, которая нависает над трещиной (говорят: на висячем боку разлома), смещаются вниз и оказываются ниже, чем на противоположной стороне, то перед нами сброс. Угол падения сброса изменяется от О до 90°. Если же висячий бок разлома смещен вверх относительно нижнего, лежачего, бока, то такой разлом называется взбросом. Взбросы с малым углом падения называются надвигами. Разломы, возникающие в очагах землетрясений в области океанических хребтов, - это преимущественно сбросы, а в глубоководных желобах возникает много землетрясений, связанных с подвижками типа надвига.

И сбросы, и взбросы характеризуются вертикальными смещениями, которые на поверхности имеют вид структурных уступов; движение в обоих случаях происходит по падению (или по восстанию) плоскости разлома. Если же, напротив, с разломом связаны только горизонтальные смещения по простиранию, то такие разломы называются сдвигами(рис. 16). Существует еще и такое явление, как проскальзывание, обычно это явление асейсмичное, т.е. не приводит к землетрясениям. Если на подобных разломах землетрясения все таки возникают, скорость проскальзывания может увеличится на короткое время. Очень интересна и сома природа проскальзывания: в течение многих Раздробленные и сильно деформированные породы образуют в этой зоне полосу, ширина которой местами измеряется многими метрами. В течение миллионов лет прерывистые, однако частые дифференцированные движения по разлому дробили и перетирали породы, доводя их до состояния тонкозернистого порошка или пыли. Просачивающаяся вода в свою очередь изменяла их. в результате чего образовывались глины и песчанистые илы - алевриты. В конце концов в зоне разлома появлялась скользкая илистая масса, называемая глинкой трения. Когда поперек какого-либо отрезка разлома проходят туннель идя траншею, то обнаруживается, что зона глинки часто представляет собой барьер, почти непроницаемый для воды; зеркало грунтовых вод по разные стороны от этой зоны иногда оказывается на разных уровнях вот почему вдоль разломов встречаются заболоченные места и родники.

Влажная глинка трения на ощупь представляет собой мягкую легко деформируемую массу и ведет себя скорее как вязкое те» по, чем как хрупкое упругое вещество. Поэтому трудно предположить, что она может оказать большое сопротивление проскальзыванию. Глубина зоны, стоженной глинкой трения, меняется в значительных пределах, но на крупных разломах она может составлять несколько километров. Таким образом разломы не чуть не опаснее землетрясений и при постройке зданий нужно все же считаться с матушкой природой.

Разберёмся в главной сути землетрясений. Упругая отдача является непосредственной причиной землетрясений, и это объяснение с течением времени подтвердилось. Подобно часовой пружине, которую вкручивают все туже и туже, глубинные породы земной коры могут упруго деформироваться, и чем больше эта деформация, тем большая энергия накапливается в породах Когда пружина лопается, происходит высвобождение упругой деформации, причинив очень резкое. Когда вспарывается разлом, упругая энергия, накопленная в породах, также высвобождается: частично в виде тепла, а частично в виде упругих волн. Эти волны и представляющие собой землетрясение. Столь же часто наблюдается деформация горных пород в вертикальном направлении. Упругая отдача, возникающая вдоль наклонных поверхностей разрыва, создает вертикальные смещения на поверхности; иногда образуются крупные сбросовые уступы. Вертикальные движения грунта, обусловленные землетрясениями или другими явлениями, могут достигать на больших площадях величин порядка десятков сантиметров. Вертикальные смещения, возникшие при двух японских землетрясениях, достигли поразительных размеров. При катастрофическом землетрясении Канто 1 сентября 1923 г., когда погибло более 100 тысяч человек, произошли катастрофически огромные изменения, глубина изменилась на 250 метров, а на полуострове Босо появился ряд разрывов и поднятие до 2,5 метров.

Энергия, выделяющаяся при землетрясениях

Сегодня каждый задумывается об энергетических ресурсах, доступных человечеству. Нефть, уголь, ветер, солнечное тепло, а также ядерные реакции - все это используется как источники энергии. Чтобы говорить об энергии с количественной стороны, надо вспомнить, что энергия мера работы, которая может быть выполнена каким-либо механизмом; в метрической системе единицей энергии является эрг. Общее ежегодное потребление энергии в России составляет в настоящее время около 1028 эрг.

С точки зрения энергетических ресурсов Земли такая величина представляется очень небольшой. Количество тепла, выделяемого всей нашей планетой и уходящего через атмосферу в окружающее пространство, равняется около 1028 эрг/год. При землетрясениях также выделяется очень большая энергия. Что же из себя представляет эрг. Эрг - это еденица измерения работы и энергии: [1 эрг = г·см2/с2 = 6,24150965(16)·1011 эВ]. Из этого следует, что землетрясения несут колоссальный запас энергии, нужно только научиться ее использовать.

Глава 4. Современные методы исследования землетрясений

Методы исследования землетрясений

Как же можно изучать, то явление, зарождение которого ты не видишь? Но как бы это было не парадоксально, всё же существует огромное количество методов определения эпицентра и гипоцентра землетрясения. В первую очередь нужно определить какая же порода, является слагающей в данном гипоцентре, далее нужно знать модуль всестороннего сжатия и модуль упругости слагающей породы. В результате можно будет с точностью сказать с какой скоростью будут распространяться сейсмические волны в данной среде, и предсказать, пусть с меньшей точностью, магнитуду будущего землетрясения, ее определяют исходя из максимальной упругости пород, а соответственно и максимальной накопленной энергии. Главным средством для определения места расположения фокуса является сейсмограф, который может засечь даже землетрясения магнитудой около 2.

Сейсмограф и акселерограф

Что именно происходит с грунтом во время землетрясения? Чтобы получить ответ на этот вопрос, были разработаны сейсмографы, которые измеряют параметры колебаний грунта.

Поскольку в плейстосейстовой области крупного землетрясения колебания могут быть чрезвычайно сильными, необходимо создать регистрирующие приборы, способные выдерживать удары сейсмических волн и не зашкаливать. Первый описанный во всех подробностях регистратор землетрясений был своего рода произведением искусства; его изобрел около 132 г. нэ. китайский ученый Чжан Хэн. . Суть его работы была проста: прибор состоял из большого бронзового сосуда диаметром 2 м, на стенках которого располагались восемь голов дракона. Челюсти у драконов раскрывались, и у каждого в пасти был шар. Внутри сосуда находился маятник. В результате подземного толчка маятник приходил в движение, действовал на головы, и шар выпадал из пасти дракона в открытый рот одной из восьми жаб, восседавших у основания сосуда. Прибор улавливал подземные толчки на расстоянии 600 км(рис. 17).

К настоящему времени такие инструменты стали более сложными, основной принцип их устройства остался неизменным. На раме, укрепленной на грунте, свободно подвешено массивное тело. Таким образом, положение этой массы практически не зависит от колебаний рамы. При сотрясениях рамы во время сейсмических толчков инерция массы заставляет ее отставать от колебаний рамы, и это относительное смещение записывается на бумаге, намотанной на вращающийся барабан, в современных приборах колебания регистрируются фотографическим путем или на магнитной ленте. Получаемая запись называется сейсмограммой. Принцип действия маятникового сейсмографа может использоваться, для записи как вертикальных, так и горизонтальных колебаний грунта. Для записи вертикальных движений масса прикрепляется к пружине, на которой она качается вверх-вниз, как груз на безмене (бытовых пружинных весах). Именно эти качания и записываются на сейсмограмме. Для измерения боковых колебаний грунта масса обычно прикрепляется к горизонтальному маятнику, который раскачивается на своих петлях.

Эти свободные колебания маятника ничего не могут рассказать о движениях грунта. Поэтому колебания маятника надо заглушить, демпфировать, с помощью какого-либо механического или электрического приспособления. Если это сделано, то смещение массы относительно рамы может служить мерой колебаний грунта. Но и тогда запись такого относительного движения в большинстве случаев не соответствует истинным колебаниям грунта; таким образом, большинство сейсмограмм не дает точной картины того, что происходит с грунтом во время землетрясения. При расчете истинного движения грунта необходимо учитывать физические закономерности колебаний маятника. В современных сейсмографах при колебаниях маятника относительно корпуса прибора создается электрический сигнал, который усиливается электронным путем в тысячи и даже сотни тысяч раз; этот усиленный сигнал приводит в действие перо самописца, в результате чего и получается сейсмограмма. Электрические сигналы с маятника сейсмографа могут также записываться на магнитную ленту. Для получения записи сильных колебаний грунта, с которой можно было бы непосредственно считывать ускорение, скорость и амплитуду смещения, разработаны специальные сейсмографы. Наиболее распространенные сейсмографы для регистрации сильных движений записывают непосредственно ускорения грунта и называются акселерографами. Большинство этих приборов не дают непрерывной записи а вводятся в действие первыми волнами начавшегося землетрясения. Дело в том, что даже в таких «странах землетрясений»», как Калифорния и Япония, месяцами или даже годами может не быть сильных сейсмических колебаний грунта, которые надо было бы записывать. Следовательно, непрерывная работа сотен таких приборов не нужна. Конструкция этих приборов предусматривает их включение под действием большого ускорения грунта.

Запись продолжается несколько минут или до того момента, когда колебания грунта снова затихают до неощутимого уровня. Приборы для сильный движений обычно способны записать ускорения грунта, превышающие ускорение силы тяжести.

Завись ускорения сильных движений грунта имеет на акселерограмме вид волн. Часто бывает невозможно различить отдельные типы сейсмических воли: продольные, поперечные и поверхностные, в особенности если наблюдатель находится близко к очагу землетрясения. Сейсмологи предпринимают сейчас большие усилия, чтобы как можно лучше расшифровать эти важные записи колебаний грунта. На сейсмограмме нет ни одного отрезка, где не было бы мелких извилин. Так происходит потому, что данный сейсмограф очень чувствителен и записывает непрерывный, хотя и неощутимый для человека, шумовой фон Земли. Эти мельчайшие колебания, называемые микросейсмами, возникают в результате множества местных возмущений, причиной которых может быть транспорт на улицах, ветер в кронах деревьев и другие виды движения в природе, например удары прибоя о морской берег. Сейсмические толчки вызывают качания маятника, а они в свою очередь записываются на сейсмограмме в виде волнистой линии. Мы видим на сейсмограммах чередование пиков и впадин, похожее на волны на поверхности океана или вибрации скрипичной струны. Высота каждой волны над ее нулевым положением называется амплитудой волны, а время, необходимое для прохождения полного цикла движения - от одного пика до другого, - называется периодом волны. Частота волны, измеряемая в герцах (Гц) - это число полных колебаний (циклов) в секунду; период представляет собой величину, обратную частоте. Человек может слышать звуки с частотой примерно от 15 до многих тысяч герц. При землетрясениях основные ощутимые колебания имеют частоту ниж20 Гц: до 1 Гц и даже ниже. Амплитуды волн на сейсмограмме не эквивалентны фактическим амплитудам записываемых колебаний грунта. Дело в том, что сейсмографы снабжены усиливающими приспособлениями, позволяющими записывать движения грунта с требуемым увеличением (обычно во много тысяч раз). Если учесть коэффициент усиления, то окажется, что амплитуда колебаний грунта, вызванных приходом S-волны и записанных на сейсмограмме, составляет всего лишь доли миллиметра.

Способы определения эпицентра землетрясения

Проходят века, а глубинные силы постоянно и неуклонно деформируют горные породы под ногами жителей сейсмичных стран.

Самое очевидное проявление - гигантские горные хребты, возникшие в результате вертикального воздымания крупных блоков земной поверхности над уровнем моря - процесса, длившегося миллионы лет. Но и те движения коры, которые происходят за гораздо более короткое время, легко можно выявить путем тщательных полевых наблюдений. В большинстве стран мира геодезические съемки производятся по меньшей мере с прошлого столетия.

Существует три главных типа геодезических съемок. Два из них позволяют определить величину горизонтальных движений. В первом случае с помощью небольших телескопов измеряются углы между установленными на местности реперами. Этот вид съемки называется триангуляцией. Во втором случае по протяженным профилям измеряют длину линий между реперами - это трилатерация, измерение сторон прилегающих друг к другу треугольников. Современная технология таких измерений использует отражение света (иногда - луча лазера) от зеркала, укрепленного на вершине отдаленной горы; при этом измеряется время, за которое свет проходит данное расстояние в оба конца.

Из-за того что скорость света зависит от атмосферных условий, при высокоточных съемках используются небольшие самолеты или вертолеты, которые летают вдоль пути луча и измеряют температуру и давление. По этим наблюдениям вычисляются необходимые поправки. Точность таких съемок составляет около 1,0 см на базе 20 км.

Третий тип съемок - нивелирование, т.е. определение величины вертикальных движений путем многократных измерений разности высот различных пунктов местности. При этом измеряется только разность в высотном положении вертикальных деревянных реек, устанавливаемых у закрепленных реперов. Повторяя наблюдения, обнаруживают изменения, возникающие в период между съемками. Везде, где это удается, линии государственного нивелирования выводят к краям материков, с тем чтобы в качестве точки отсчета можно было использовать уровень моря. '

Все три геодезических метода наблюдения за движениями земной коры показывают, что в тектонически активных районах, таких как Калифорния и Япония, горизонтальные и вертикальные перемещения имеют вполне измеримые величины. Результаты съемок позволяют также сделать вывод, что в стабильных областях материков, например на древних массивах Канадского и Австралийского щитов, произошли лишь небольшие изменения, по крайней мере за последнее столетие.

Глава 5. Связь с другими научными дисциплинами

Первым и, наверное, главным прародителем геофизики и сейсмологии является физика и механика непосредственно. Именно из курса физики получают первые знания о волнах. Именно с помощью физических методов появляется возможность сколько-нибудь изучать землетрясения. В первую очередь это относится к сейсмографам, самые первые приборы были сделаны по принципу обыкновенного математического маятника. Далее сейсмографы развивались именно по основным физическим законам. Физика получает новые знания из исследования волн и волновых эффектов.

Еще одна наука, без которой изучение причин землетрясений так и осталось на уровне мифов и легенд: про слонов стоящих на черепахах, богов или движений гигантских подземных существ. Это конечно же география. География, как наука, стала основоположницей тектоники, а следовательно и тектонической теории. К тому же и расположение гипоцентра (фокуса) на мировой карте.

Так же основной теперь стала информатика и вычислительная техника. Именно благодаря современной технике сейсмологи могут за доли секунды определить фокус землетрясения. И большинство современных сейсмографов и акселерографов производятся с помощью технологий, которые еще вчера являлись технологиями будущего.

Ну и конечно же главной наукой, благодаря которой развивается изучение землетрясений, является сейсмология. Сейсмология - наука о распространении сейсмических волн в недрах Земли. Только с помощью сейсмологии удалось составить картину глубинного строения земного шара (кора, мантия, внешнее и внутреннее ядро). Также сейсмология занимается землетрясениями, движениями платформ, мониторингом разработок рудных месторождений. Сейсмология изучает породы, из которых сложен гипоцентр. Их максимальное напряжение и конечно же максимальную энергию пород.

А в совокупности все эти науки дают нам огромные знания и дополняют друг друга. Таким образом сейсмология и геофизика являются совокупностью многих элементарных наук, без которых она вряд ли существовала.

Глава 6. Исследования землетрясений в институте СО РАН

Тема исследования землетрясений и их причин глубоко затронута нашей кафедрой геофизики. Тема землетрясений рассматривалась нашей кафедрой практически со времени ее основания. Кафедра геофизики Новосибирского государственного университета создана в 1961 г. и до 1964 г. она входила в состав факультета естественных наук. Основателем кафедры был Э.Э. Фотиади. Долгое время он успешно руководил кафедрой, определяя пути ее развития. У истоков работы кафедры стояли профессора Д.С. Даев, А А. Кауфман, Е.М. Филиппов, Л.Л. Ваньян, Г.И. Каратаев, Ю.А. Воронин, С.В. Крылов, Н.Н. Пузырев, доценты А.В. Тригубов, В.Г. Колмогоров, Б.Д. Миков и др. Г.М. Цибульчик прошел путь от ассистента до профессора кафедры. В разные годы на кафедре работали доктора наук И.С. Чичинин, Л.А. Табаровский, К.Д. Клем-Мусатов, Е.М. Аверко, В.Н. Гайский. В преподавании на кафедре много лет участвовали профессора кафедры математической геофизики механико-математического факультета НГУ академики А.С. Алексеев и М.М. Лаврентьев.

На данный момент тему землетрясений читает доцент кафедры геофизики С. Б. Горшкалев. В его лекции входят такие темы, как:

. Метод сейсморазведки и его задачи

. Сейсмические волны в однородных средах

. Упругие свойства горных пород

. Основные законы геометрической сейсмики

. Сейсмические волны в среде с одной границей

. Волны в средах с несколькими границами

Эти и другие темы сыграли огромною роль в написании данной работы.

Заключение

В результате написания этой работы я изучил многие аспекты и причины землетрясений. Все землетрясения делятся на несколько типов по месту расположения, т.е. тектонические землетрясения, вулканические извержения и обвальные землетрясения и искусственные землетрясения. Так же я понял каким способом изучают землетрясения и конечно же главные причины землетрясений, а так же главное методы предсказания землетрясений. Что, собственно, и являлось доминирующим фактором выбора мной этой работы. Так же выбор этой работы являлся основополагающим для изучения дальнейшего курса общей геологии, т.к в процессе работы мной были глубоко изучены тектонические дисциплины. Это послужит дальнейшей простоте изучения предмета.

Словарь основных терминов

АФТЕРШОК (after - после, shock - толчок) - толчок после основного землетрясения в его очаговой области. Афтершоки возникают практически сразу же после произошедшего землетрясения в результате продолжающихся подвижек пород, снимающих оставшиеся упругие напряжения в раздробленном сейсмическом очаге.

ВОЛНА ЛЯВА - заставляет частицы грунта колебаться из стороны в сторону в горизонтальной плоскости, параллельной земной поверхности, под прямым углом к направлению своего распространения.

ВОЛНА РЭЛЕЯ - возникает на границе раздела двух сред и, воздействуя на частицы среды, заставляет их двигаться по вертикали и горизонтали в вертикальной плоскости, ориентированной по направлению распространения волн.

ГИПОЦЕНТР (греч. ὑπο- - под, лат. centrum - центр круга) - центральная точка очага землетрясения. В случае протяжённого очага под гипоцентром понимают точку начала вспарывания разрыва.

ГЛИНКА ТРЕНИЯ - глинистая масса, образующаяся вдоль плоскости разрыва при движении его крыльев. И является результатом интенсивного дробления, скалывания и перетирания исходных пород.

ДИФФУЗИЯ (от лат. diffusio - распространение, растекание) - взаимное проникновение соприкасающихся веществ друг в друга вследствие теплового движения частиц вещества.

ЗЕРКАЛО СКОЛЬЖЕНИЯ - гладкая поверхность горных пород, возникающая обычно при тектонических перемещениях и образовании надвигов, сбросов и др. разрывных дислокаций.

ЗОНЫ БЕНЬОФА -сейсмофокальные зоны земной коры, наклонно уходящие на глубину при субдукции.

ЗОНЫ СЕЙСМИЧЕСКОГО МОЛЧАНИЯ - зоны, в пределах которых долгое время не было землетрясений или других сейсмически активных действий.

ЗОНА СУБДУКЦИИ - конвергентная граница, на которой океаническая плита пододвигается под континентальную.

ИНТЕНСИВНОСТЬ ЗЕМЛЕТРЯСЕНИЯ (I - intensity) - сейсмический эффект, оцениваемый в баллах по описательной шкале интенсивности сотрясений земной поверхности, основанной на реакции людей, строительных объектов и на изменениях природных объектов. Сейсмический эффект определяется в основном тремя параметрами: уровнем амплитуд, преобладающим периодом и продолжительностью колебаний.

МАГНИТУДА ЗЕМЛЕТРЯСЕНИЯ (М, от латинского magnitudo - величина) - условная логарифмическая величина, определенная по инструментальным наблюдениям сейсмическими станциями и характеризующая общую энергию упругих колебаний, вызванных землетрясениями или взрывами. Магнитуда позволяет сравнивать источники колебаний по их энергии. Максимальное значение - около 9.

ОЧАГ ЗЕМЛЕТРЯСЕНИЯ - объем геологической среды, где происходят разрывы пород и высвобождение упругих напряжений. Размер области очага и величина сбрасываемых упругих напряжений обусловливает энергию сейсмических волн и магнитуду землетрясения.

ПРОДОЛЬНЫЕ ВОЛНЫ (волны сжатия, P-волны) - волна распространяется параллельно колебаниям частиц среды (звук);

ПОПЕРЕЧНЫЕ ВОЛНЫ (волны сдвига, S-волны) - частицы среды колеблются перпендикулярно направлению распространения волны (электромагнитные волны, волны на поверхностях разделения сред);

РАЗЛОМ - нарушение сплошных горных пород, без смещения (трещина) или со смещением пород по поверхности разрыва.

СЕЙСМИЧЕСКИЕ ВОЛНЫ - упругие колебания, распространяющиеся в Земле от очагов землетрясений, взрывов и других сейсмических источников. Вблизи очагов сильных землетрясений сейсмические волны обладают разрушительной силой, а на значительных расстояниях от эпицентров регистрируются лишь сейсмографами. Основными типами волн являются продольные, поперечные и поверхностные. Продольные волны (Р) переносят изменения объёма в среде (сжатия и растяжения). Колебания в них совершаются в направлении распространения. Поперечные волны (S) не образуют в среде объёмных изменений и представляют собой колебания частиц, происходящие перпендикулярно направлениям распространения волны.

СЕЙСМИЧЕСКИЙ РЕЖИМ - сейсмическая активность (частота) возникновения во времени очагов землетрясений разных магнитуд, обусловленная особенностями пространственно-временного и энергетического развития глубинных сейсмогеодинамических процессов и структурой сейсмоактивных регионов.

СЕЙСМОЛОГИЯ (от греч. seismós - колебание, землетрясение и lógos - слово, учение) - раздел геофизики, изучающий землетрясения, их причины, природу и последствия. Основными носителями сейсмологической информации являются сейсмические волны, интерпретация сейсмограмм которых наряду с изучением проявлений сейсмичности позволяет исследовать глубинное строение, физические свойства и динамику недр Земли и других планет.

ТРАНСФОРМНЫЙ РАЗЛОМ - тип разлома, который располагается вдоль границы литосферной плиты. Относительное движение плит является преимущественно горизонтальным в одинаковом или противоположном направлениях.

ЭПИЦЕНТР ЗЕМЛЕТРЯСЕНИЯ (греч. ἐπι- - на, лат. centrum - центр круга) - проекция гипоцентра (фокуса) землетрясения на поверхность планеты.

Список использованной литературы

1.       Болт Б. Землетрясения. Общедоступный очерк. М.: Мир, 1981. 256 с.

.        Уолтхэм Т. Катастрофы: неистовая Земля. Л.: Недра, 1982. 220 с.

.        Барсуков В. Вестники беды. М.: Наука, 1989. 135с.

.        Геодинамика и прогноз землетрясений // Вычислительная сейсмология. 1994. № 26.

.        Короновский Н.В. Напряженное состояние земной коры // Соросовский образовательный журнал. 1997. № 1. С. 50-56.

.        Кропоткин П.Н. Тектонические напряжения в земной коре // Геотектоника. 1996. № 2. С. 3-5.

Похожие работы на - Землетрясения и типы сейсмических дислокаций

 

Не нашли материал для своей работы?
Поможем написать уникальную работу
Без плагиата!
Без нейросетей!