Вскрытие и подготовка рудного месторождения

  • Вид работы:
    Курсовая работа (т)
  • Предмет:
    Геология
  • Язык:
    Русский
    ,
    Формат файла:
    MS Word
    274,13 Кб
  • Опубликовано:
    2012-04-10
Вы можете узнать стоимость помощи в написании студенческой работы.
Помощь в написании работы, которую точно примут!

Вскрытие и подготовка рудного месторождения

МИНИСТЕРСТВО ОБРАЗОВАНИЯ РЕСПУБЛИКИ БАШКОРТОСТАН

ГБОУ СПО Акъярский горный колледж имени И. Тасимова








ВСКРЫТИЕ И ПОДГОТОВКа РУДНОГО МЕСТОРОЖДЕНИЯ

ПОЯСНИТЕЛЬНАЯ ЗАПИСКА

курсового проекта по дисциплине

«ГОРНОЕ ДЕЛО»

КП.130405.51.01.12.11.ПЗ






Акъяр 2012г.

ВВЕДЕНИЕ

Большое число изменчивых горно-геологических условий залегания рудных залежей требует применения различных вариантов их вскрытия и их подготовки.

Правильно подобранный и обоснованный вариант вскрытия и подготовки месторождения обеспечит безопасность ведения горных работ и максимальную возможную производительность строящегося горнодобывающего предприятия.

Таким образом, знание современных способов вскрытия и подготовки месторождений подземным способом будущим специалистом - горняком является необходимым и обязательным.

Объектом исследования в нашем курсовом проекте является крутопадающее месторождение железных руд, которое необходимо вскрыть и подготовить к выемке подземным способом.

Предметом исследования в курсовом проекте является выбор способа вскрытия и подготовки данного месторождения, который необходимо обосновать как наиболее оптимальный для заданных условий залегания рудного тела.

Задачами проекта являются: подсчёт запасов руды в шахтном поле, построение границ зоны сдвижения вмещающих горных пород, определение годовой производственной мощности подземного рудника, срока существования рудника, выбор способов вскрытия и подготовки шахтного поля, выбор наиболее оптимальной системы разработки месторождения, величины капитальных вложений на вскрытие и подготовку месторождения, а также определение годовых эксплуатационных затрат по проектируемой шахте.

. ОЦЕНКА ИСХОДНЫХ ДАННЫХ

.1 Краткая горно-геологическая характеристика месторождения и исходные данные для составления проекта

Месторождение представлено железными рудами мощностью месторождения 30 м и коэффициент крепости руды f=7. Длина рудного тела по простиранию 650 м, глубина залегания 380 м, глубина разведанных запасов 560 м. Плотность руды 3,6 т/. Руды устойчивые, не трещиноватые. Угол падения месторождения. Ценность руд, средняя. Вмещающие породы - железистые кварциты и роговики крепостью f=10-12, достаточно устойчивые и допускают значительные обнажения. Плотность вмещающих пород 3,2т/, коэффициент крепости f=11. Необходимость сохранения земной поверхности.

1.2 Выбор и характеристика системы разработки месторождения

В зависимости от заданных горно-геологических условий залегания рудного тела и физико-механических свойств руды и вмещающих пород наиболее подходящей системой разработки является Комбинированная система разработки.

Основные условия применения системы разработки: значительная устойчивость руды и вмещающих пород; угол паления рудного тела не менее 50°; мощность рудного тела от 5-6 до 20-25м. При мощности более 20-25м применяется выемка камерами вкрест простирания.

Залежь при данной системе разработки разбивается на блоки длиной по 98 м, каждый из которых делится камеры по 32 м, междукамерные и между блоковый целики шириной 10 и 24 м.

Порядок отработки отдельных элементов блока при комбинированной системе разработки следующий. Первоначально отрабатывают (одновременно) камеры при помощи горизонтальных глубоких скважин, затем производят массовое обрушение междукамерного целика потолочин, камер.

Подготовительные и нарезные работы в блоке при комбинированной системе разработки заключаются в проведение откаточных ортов заездов, блоковых вентиляционно-ходовых, рудо спускных и буровых восстающих, конвейерных штреков, подэтажных ортов скреперования в между блоковом целике, вентиляционного штрека (коллекторного) и выработок, необходимых для подсечки камер.

Очистные работы в блоке состоят из подсечки камер, выемки камерных запасов, обрушения (совместное) междукамерного целика и потолочин камер и отработки между блокового целика.

Подсечку камер производят траншейным способом в направлении от лежачего бока к висячему. В каждой камере проходят по две траншеи.

Отработка камер. Камерные запасы блока отрабатываются путем послойной отбойки руды горизонтальными скважинами пробуренными станками НКР-100 из буровых камер.

2. ОСНОВНЫЕ ЭТАПЫ ПРОЕКТИРОВАНИЯ РУДНИКА

.1 Подсчёт запасов руды в шахтном поле

.1.1 Определяем геологические запасы руды Zг (т) в шахтном поле


где S - размер шахтного поля по простиранию, м; m - мощность рудного тела, м; α - угол падения рудного тела, град.; γр - объёмная масса руды, т/м3; Нр - разведанная глубина залежи, м; Н0 - глубина залегания верхней границы залежи, м.


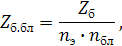
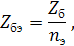
2.1.2 Определяем балансовые запасы руды в Zб (т) шахтном поле

,


.1.3 Определяем промышленные запасы руды Zпр (т) в шахтном поле, подлежащие отработке подземным способом, путём вычитания из балансовых запасов шахтного поля запасов, отрабатываемых открытым способом и проектных потерь руды, включающих общешахтные потери руды в целиках под охраняемыми зданиями, сооружениями и т. д.:

где Zотк - балансовые запасы месторождения, отрабатываемые открытым способом, т; Zц - проектные потери руды в предохранительных (охранных) целиках, т.


.1.4 В зависимости от заданных горно-геологических условий залегания рудного тела и физико-механическими свойств руды и вмещающих пород, как указано выше, наиболее подходящей системой разработки является Камерная система разработки подэтажными штреками с отбойкой руды глубокими скважинами.

.1.5 После выбора системы разработки месторождения определяем эксплуатационные запасы рудной массы в шахтном поле с учётом потерь и разубоживания руды при добыче, зависящих от технологии очистных и подготовительных работ в блоке (панели), т. е. от выбранной системы разработки:


где - коэффициент извлечения руды в блоке (панели), зависящий от применяемой системы разработки (согласно таблице2.1);  - коэффициент извлечения руды, зависящий от применяемой системы разработки барьерных и охранных целиков;  - коэффициент разубоживания руды, зависящий от применяемой системы разработки в блоке (панели) (согласно таблице2.1);  - коэффициент разубоживания руды, зависящий от принятой системы разработки целика.

Таблица 2.1. Значения коэффициентов извлечения и разубоживания руды в зависимости от принятых систем разработки

Применяемые системы разработки месторождения

Коэффициент извлечения руды в блоке (панели)

Коэффициент разубоживания руды при извлечении руды в блоке (панели) r

Камерно-столбовая система разработки

0,90

0,041

Система разработки подэтажными штреками

0,89

0,042

Система разработки с магазинированием руды

0,98

0,059

Система разработки горизонтальными слоями с закладкой

0,98

0,018

Система подэтажного обрушения с отбойкой руды глубокими скважинами

0,90

0,062

Комбинированная система разработки

0,87

0,056


2.2 Построение границ зоны сдвижения

Сдвижение пород происходит по криволинейным поверхностям, но при выполнении графических построений их принимают за плоскости, образующие с горизонтом углы сдвижения и углы разрывов.

По углам сдвижения можно определить возможные зоны деформации поверхности. Это позволяет принимать решения о размещении поверхностных и подземных горнотехнических сооружений, которые могут выйти из строя даже при небольших деформациях горного массива.

Обезопасить сооружения от последствий сдвижения вмещающих пород можно следующими методами:

расположением сооружений за пределами зоны сдвижения;

оставлением под сооружениями охранных целиков из руды;

применением твердеющей закладки.

При определении зон сдвижения горных пород различают:

угол сдвижения пород лежачего бока βл;

угол сдвижения пород висячего бока βв;

угол сдвижения пород по простиранию δ.

Углы сдвижения горных пород зависят от их физических, прочностных, деформационных свойств, слоистости, трещиноватости и других факторов. В таблице 2.2 приведены ориентировочные значения углов сдвижения в зависимости от коэффициента крепости и строения пород.

Таблица 2.2. Углы сдвижения горных пород

Показатель

Породы


слоистые

крепкие

наносы

Коэффициент крепости f

Менее 5

Более 5

Более 10

-

Угол сдвижения, град

50-60

60-75

75-85

35-45


Исходя из заданного коэффициента крепости вмещающих горных пород, равного 11, выбираем из таблицы 2.2 угол сдвижения, равным 80. Построение границ зоны сдвижения представлено на листе графической части курсового проекта.

Фактические углы сдвижения могут быть меньше, чем запроектированные, поэтому в целях безопасности поверхностные сооружения располагают на определенном расстоянии от зоны сдвижения. Это расстояние называется бермой безопасности.

Размеры предохранительной бермы принимаем 50 м.

2.3 Определение производственной мощности подземного рудника

Производственную мощность рудника определяем количеством руды (в тоннах), добываемого за определенный период его работы (за смену, сутки, месяц, год). На рудниках за период работы принимается год, поэтому производственную мощность называют годовой производительностью рудника. От годовой производительности горного предприятия зависят размер капитальных вложений в его строительство или реконструкцию, себестоимость добычи и переработки 1 т полезного ископаемого, приведенные затраты, ожидаемая или полученная прибыль, эффективность капиталовложений и другие технико-экономические показатели.

Производственная мощность предприятия зависит от горных возможностей: размеров месторождения, его запасов, условий залегания месторождения, технологии и организации горных работ.

2.3.1 Определяем годовую производительность рудника по горным возможностям А (т/год) при угле падения рудных тел более 35º определяем по формуле


где  - среднегодовое понижение уровня выемки, м/год; К12, К3, К4 - поправочные коэффициенты;  - средняя горизонтальная рудная площадь этажа, м2;  - плотность руды т/м3; П и Р - соответственно потери и разубоживание руды при ее добыче.


2.3.2 Среднегодовое понижение уровня выемки зависит от средней горизонтальной рудной площади этажа

,

- длина шахтного поля по простиранию, м; - горизонтальная мощность залежи, м;  - нормальная мощность залежи, м; - угол падения руной залежи, град.

Эта зависимость выражается следующим образом:

, тыс. м2

менее 5

5-12

12-25

более 25

, м/год

30

30-25

25-22

15


Поправочный коэффициент К1 определяется углом падения рудного тела α:

α, град.

90

60

45

30

К1

1,2

1,0

0,9

0,8



Поправочный коэффициент К2 определяется нормальной мощностью рудного тела:

, м

< 3

3-5

5-15

15-25

> 25

К2

1,3

1,2

1,0

0,8

0,6


В зависимости от применяемой системы разработки поправочный коэффициент К3 и показатели потерь П и разубоживания Р имеют следующие значения:

Применяемые системы разработки месторождения

К3

П, доли ед.

Р, доли ед.

Камерно-столбовая система разработки

1,0

0,193

0,041

Система разработки подэтажными штреками

1,0

0,115

0,042

Система разработки с магазинированием руды

1,0

0,020

0,059

Система разработки горизонтальными слоями с закладкой

0,8

0,012

0,018

Система подэтажного обрушения с отбойкой руды глубокими скважинами

1,0

0,075

0,062

Комбинированная система разработки

0,9

0,127

0,056


Поправочный коэффициент К4 определяется числом этажей Nэ, находящихся в одновременной отработке:

Nэ

1

2

>3

К4

1,0

1,2-1,5

1,5-1,7



2.4 Определение срока существования рудника

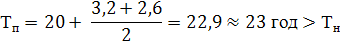
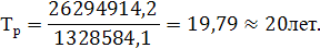
.4.1 Определяем расчётный срок службы рудника Тр (лет) по формуле


2.4.2 Определяем полный срок службы рудника Тп (лет) по формуле


где tp, tз - продолжительность периодов развития и затухания добычи, лет (tp + tз =3,2+2,6).

Полученное значение полного срока службы рудника Тп проверяем по нормативному сроку службы рудника Тн (по таблице 2.4). Если данное условие не выполняется, то необходимо уменьшить значение проектной мощности рудника А.

Таблица 2.4 Минимальный срок существования рудника (без обогатительной фабрики) с учётом развития и затухания добычи

Годовая проектная мощность рудника, млн. т

0,1…0,5

0,5…1,0

1,0…3,0

3,0…5,0

5,0…6,0

7,0…10,0

10,0…15,0

Минимальный срок существования рудника, лет

10…20

20…25

25…30

30…35

35…40

40…45

45…50


Так как условие выполняется, то необходимость уменьшения проектной мощности отсутствует.

2.5 Подготовка шахтного поля

Выбираем способ подготовки шахтного поля. В зависимости от горно-геологических условий залегания рудных тел в данном случае возможно применение этажного способа подготовки шахтного поля, так как рудная залежь является крутопадающая с углом падения 58º.

2.6 Подготовка основного (откаточного) горизонта

Выбираем способ подготовки основного (откаточного) горизонта. Исходя из заданных горно-геологических характеристик залегания месторождения выбираем смешанную (рудно-полевую) штрековую подготовку с кольцевой откаткой. Схема подготовки горизонта представлена на листе графической части курсового проекта.

2.7 Определение высоты этажа и эксплуатационных запасов рудной массы в блоке

.7.1 В зависимости от принятой системы разработки определяем вертикальную высоту этажа h, и другие показатели

Значения ориентировочной вертикальной высоты этажа  для различных систем разработки приведены в табл. 2.7.

рудник шахтный поле месторождение

Таблица 2.7. Рекомендуемая высота этажа для различных систем разработки

Система разработки

Рекомендуемая высота этажа, м

Камерно-столбовая

по вертикальной мощности рудного тела

Система разработки с подэтажными штреками

80

Система разработки с магазинированием руды

50

Система разработки горизонтальными слоями с закладкой

60

Система подэтажного обрушения с отбойкой руды глубокими скважинами

80

Комбинированная система разработки (этажно-камерная для отработки камерных запасов и подэтажного обрушения с отбойкой руды глубокими скважинами для выемки междублокового целика)

70


Таким образом, для Комбинированной системы разработки принимаем высоту 70 м.

.7.2 Определяем число этажей nэ в шахтном поле по формуле


2.7.3 После округления полученной величины nэ до целого числа производим корректировку вертикальной высоты hэ по формуле

2.7.4 Определяем балансовые запасы руды в этаже Zбэ (т) по формуле


2.7.4 Определяем срок отработки этажа tэ (лет) по формуле


.7.5 Определяем число блоков в этаже nб(шт) по формуле


где Sбл - размер блока по простиранию (по табл. 2.7.1), м.

Таблица 2.7.1. Рекомендуемые размеры очистного блока по простиранию залежи

Система разработки

Размер блока по простиранию залежи, м

Камерно-столбовая

100

Система разработки с подэтажными штреками

50

Система разработки с магазинированием руды

50

Система разработки горизонтальными слоями с закладкой

60

Система подэтажного обрушения с отбойкой руды глубокими скважинами

50

Комбинированная система разработки (этажно-камерная для отработки камерных запасов и подэтажного обрушения

98


Таким образом, размер блока по простиранию залежи принимаем равным 98 м.

2.7.6 Определяем балансовые запасы руды в блоке (панели) Zб.бл (т) по формуле


2.7.7 Определяем эксплуатационные запасы рудной массы в блоке (панели) Zэ.бл (т) по формуле


2.8 Вскрытие шахтного поля

Определяем очерёдность вскрытия и отработки запасов месторождения подземным способом.

Так как расчётный срок существования шахты составил 25 лет, вскрытие шахтного поля производим на всю разведанную глубину месторождения.

2.9 Выбор рационального вида транспорта по вскрывающим и подготовительным горным выработкам

В соответствии с принятой годовой производительностью рудника принимаем электровозный вид транспорта.

Типоразмеры подвижного состава и ширина колеи рельсового пути электровозного транспорта принимаем по рекомендациям таблицы 2.9.

Таблица 2.9 Параметры подвижного состава электровозного транспорта

Годовая производительность рудника, млн. т/год

Ширина колеи, мм

Сцепной вес локомотива, кН

Вместимость вагонетки, м3




с глухим кузовом

опрокидной и саморазгружающейся

до 0,2

600

50-70

0,7; 1,2

0,5; 0,8

0,2-0,5

600; 750

70-100

1,2; 2,2

1,6

0,5-1,0

750

100

2,2

1,6; 2,5

1,0-3,0

750

140

4,0

-

3,0 и более

900

200-280

4,0; 8,0

-


Таким образом, в зависимости от определенной годовой производительности рудника равной т/год принимаем параметры подвижного электровозного транспорта равные: ширина колеи - 750 мм, сцепной вес локомотива - 140кН, вместимости вагонетки - 4,0 .

.10 Определение площади поперечного сечения горно-капитальных и подготовительных выработок

Определяем площадь поперечного сечения одно- и двухпутных горно-капитальных и подготовительных выработок, опираясь на данные приложений 1, 4, 5 [1].

Принимаем двухпутную горную выработку так как расстояние от ствола до рудного тела не превышает 500м, с поперечным сечением равным 13,89м2, шириной 5200 мм и высотой 3700 мм.

2.11 Выбор типа околоствольного двора рудоподъёмного ствола

Согласно таблице 2.11 выбираем тип околоствольного двора.

Таблица 2.11. Рекомендуемые типы околоствольных дворов главного рудоподъёмного ствола и их объёмы

Годовая производительность рудника, млн. т

Число стволов, обслуживаемых околоствольным двором

Тип подъёма

Тип околоствольного двора

Объём околоствольного двора (без камер и бункеров), м3

0,10-0,15

1

Клетевой (1-2 клети)

Тупиковый односторонний

500-600

0,15-0,30

1

Клетевой (2 клети)

Тупиковый двухсторонний, кольцевой

1200-1400

0,20-0,40

1

Скипо-клетевой

Тупиковый двухсторонний, кольцевой

1400-1600

0,40-1,00

1

Скиповой (2 скипа) и клетевой или скипо-клетевой

Тупиковый двухсторонний, кольцевой

1500-2500 и более

1,00-2,00

1

Скиповой и клетевой

Кольцевой

4000-6000

2,00 и более

2

Скиповой и клетевой

Кольцевой


Таким образом, в зависимости от определенной годовой производительности рудника, равной т/год, принимаем кольцевой тип околоствольного ствола.

2.12 Определение числа и размеров рудоподъёмных стволов

По принятому типу подъёмных сосудов, их параметров и годовой производительности рудника принимаем согласно приложению 2 [1] следующие размеры и количество рудоподъёмного ствола.

Главный ствол: диаметр 6,0м, 2 скипа емкостью 3…4 м3; клеть с размером пола 4,5х1,5 м, двухэтажная, вагонетки ВГ-4,0у - 2шт.или ВГ-2,2 - 2 шт.

3. ЭКОНОМИЧЕСКАЯ ОЦЕНКА ПРОЕКТИРОВАНИЯ РУДНИКА

3.1 Капитальные затраты на вскрытие и подготовку месторождения

Капитальные вложения состоят из затрат на строительно-монтажные работы и затрат на приобретение оборудования.

Строительно-монтажные работы включают затраты на строительство поверхностных зданий и сооружений (здания, эстакады, бункеры, дороги, ЛЭП, водопроводы и т. д.) и подземных горно-капитальных выработок.

Затраты на приобретение оборудования включают затраты на оборудование, устанавливаемое в поверхностных зданиях и сооружениях, и для подземных горно-капитальных выработок.

3.1.1 Определяем величину капитальных вложений по формуле

Кобщ = Кзд + Коб.зд + Кгкр + Коб.гкр

где Кзд- капитальные затраты на строительство поверхностных зданий и сооружений; Коб.зд - капитальные затраты на оборудование, устанавливаемое в зданиях и сооружениях; Кгкр - капитальные затраты на проведение горно-капитальных выработок на полную разведанную глубину; Коб.гкр - капитальные затраты на приобретение оборудования, устанавливаемого в горно-капитальных выработках.

Кобщ = 475400000+87358000+12568000000+1108000000=14238758000 руб.

Капитальные затраты на строительство поверхностных зданий и сооружений, и приобретения для них оборудования комплектуются согласно таблице 3.1.

Таблица 3.1.Капитальные затраты на строительство поверхностных зданий и сооружений, и на приобретение оборудования, устанавливаемого в них

Наименование вскрывающих стволов

Кол-во

Капитальные затраты



на строительство поверхностных зданий и сооружений Кзд

Всего млн. руб.

на приобретение устанавливаемого оборудования Коб.зд

всего тыс. руб.

Скипо-клетевой рудоподъёмный ствол

1

84+153∙А** (84+153∙1,3) =289,9

289,9

73 + 0,274∙Нр + 30,6∙А + 0,105∙А∙Нр 73+0,274∙0,56+30,6∙1328+0,105∙1328∙0,56=40788

40788

Фланговый вентиляционный ствол с клетевым подъёмом

1

160 + 25∙А 160+25∙1,3=192,5

192,5

90 + 35∙А 90+35∙1328=46570

46570

Итого:

475,4

Итого:

87358

* - Нр - в км; ** - А в млн. т

Капитальные затраты на проведение горно-капитальных выработок на полную разведанную глубину комплектуются согласно таблице 3.2.

Таблица 3.2. Капитальные затраты Кгкр на проведение горно капитальных выработок на полную разведанную глубину

Виды горных выработок

Объём выработки

Кол-во

Общий объём выработок, м3

Стоимость проведения выработки, млн. руб./м3

Всего стоимость проведения, млн. руб.

Околоствольный двор рудоподъёмного ствола, в т. ч. камеры с водосборниками, электро подстанциями при электровозном транспорте

4 + 7,6×А (тыс. м3) 4+7,6×1328=10096,8

1

10096,8

0,24 + 0,45×А** 0,24+0,45∙1,3=0,82

8279,3

Околоствольный двор у вентиляционного ствола с механическим подъёмом

2000 + 1000×А (м3) 2000+1000∙1,3=3300

1

3300

0,6 + 0,12×А 0,6+0,12∙1,3=0,75

2494,8

Выработки подземного дробильного комплекса, оборудованного щёковой дробилкой

4×В*-1400 (м3)

1

4600

0,3∙А 0,3∙1,3=0,39

1794

Итого:

12568,1

*В-ширина приёмного отверстия дробилки, мм (для щёковой дробилки принимаем 1500 мм); ** - А в млн. т.

Капитальные затраты Коб.гкр на приобретение оборудования, устанавливаемого в горно-капитальных выработках, комплектуем согласно таблице3.3.

Таблица 3.3. Капитальные затраты Коб.гкр на приобретение оборудования, устанавливаемого в горно-капитальных выработках

Наименование объектов

Кол-во

Стоимость оборудования, млн. руб.

Всего стоимость оборудования, млн. руб.

Механизация околоствольного двора

1

80 + 100×А 80+100∙1,3=210

210

Дробильная установка

1

110 + 60×А 110+60∙1,3=188

188

Горно-механическое оборудование (главные вентиляторы, компрессоры и т. д.)

1

(700×А)-200 (700∙1,3)-200=1060

710

Итого:

1108


3.2 Годовые эксплуатационные затраты

.2.1 Определяем годовые эксплуатационные Сгод затраты которые включают расчёт годовых затрат по основным производственным процессам Спроц, расчёт амортизационных отчислений Сам, и затрат на поддержание горно-капитальных выработок Сподд.

Сгод= Спроц+ Сам+ Сподд,

Сгод= 22827938,2++=329900013,2 руб.

.2.2 Определяем годовые затраты по основным производственным процессам (транспортирование руды Стр, подъём руды по стволам Спод, водоотлив Свод, вентиляция Свен, подземное дробление руды Сдр) по формуле, руб

Спроц= Стр + Спод + Свод + Свен + Сдр,

Спроц= 11957462+6066988,1+1294721+1512757,2+1996000=22827938,2 руб.

3.3.3 Определяем затраты на транспортирование руды электровозным транспортом, руб


где L - расстояние транспортирования, м.


3.3.4 Определяем затраты на подъём руды по стволам, руб

где Нр - глубина разработки месторождения, м; А - в тыс. т/год.


.3.5 Определяем затраты на водоотлив, руб.:


3.3.6 Определяем затраты на вентиляцию рудника, руб



3.3.7 Определяем затраты на дробление руды, руб

3.3.8 Определяем годовые затраты амортизационных отчислений (руб) по формуле

где 0,8 - норма амортизационных отчислений по шахтным стволам, %; 1,4 - норма амортизационных отчислений по зданиям и сооружениям, %.


3.3.9 Определяем годовые затраты на поддержание при усреднённой стоимости горно-капитальных работ без оборудования и доли отчислений на поддержание горно-капитальных выработок 0,01 составят, руб



где n - количество этажей в одновременной работе при полном развитии очистных работ (при этажной подготовке - 2-3 этажа, при горизонтальном или пологом залегании месторождения незначительной мощности - 1 этаж); nэ - общее количество этажей при вскрытии месторождения до разведанной глубины.

4. ЗАКЛЮЧЕНИЕ

.1 Основные технико-экономические показатели по проекту

Основные технико-экономические показатели проекта вскрытия и подготовки месторождения представлены в табл. 4.1.

Таблица 4.1. Основные технико-экономические показатели по проекту

Наименование показателей

Значение показателей

Годовая производительность подземного рудника, тыс. т

1328

Мощность рудного тела, м

30

Угол падения залежи, градус

58

Размеры шахтного поля, м:


по простиранию

650

по падению

560

Балансовые запасы руды, тыс. т:


в шахтном поле

в блоке (панели)

Эксплуатационные запасы рудной массы, тыс. т:


в шахтном поле

в блоке (панели)

Полный срок службы рудника, лет

23

Принятая система разработки

Комбинированная система разработки.

Способ отбойки руды

Скважинный.

Способ транспортирования руды

Электровозный.

Способ вскрытия шахтного поля

Вертикальными стволами (со скипо-клетьевым подъемом руды).

Способ подготовки шахтного поля

Этажный

Схема подготовки откаточного горизонта

Смешанная (рудно-полевая) штрековая с кольцевой откаткой.

Сечение главного рудоподъёмного ствола в свету, м2

28,26

Сечения квершлагов и откаточных штреков, м2

13,89

Всего капитальные вложения Кобщ, руб., в том числе:

14 238 758 000

капитальные затраты на строительство поверхностных зданий и сооружений Кзд

475 400 000

капитальные затраты на оборудование, устанавливаемое в зданиях и сооружениях Коб.зд

87 358 000

капитальные затраты на проведение горно-капитальных выработок на полную разведанную глубину Кгкр

12 568 000 000

капитальные затраты на приобретение оборудования, устанавливаемого в горно-капитальных выработках Коб.гкр

Всего годовые эксплуатационные затраты, руб., в том числе:

329 900 013,2

годовые эксплуатационные затраты по основным производственным процессам (транспортирование руды, подъём руды по стволам, водоотлив, вентиляция, подземное дробление руды)

22 827 938,2

годовые затраты амортизационных отчислений

годовые затраты на поддержание рудника при усреднённой стоимости горно-капитальных работ без оборудования

Итого:

14 568 658 013,2



Список использованных источников

1.       Ювшин М. А. Вскрытие и подготовка месторождений подземным способом: Методические указания для выполнения курсового проекта. - Акъяр: АГКИТ, 2011. - 67 с.

2.   Ломоносов Г. Г. Производственные процессы подземной разработки рудных месторождений. - М.: МГГУ, 2011. - 517 с.

3.       Городниченко В. И., Дмитриев А. П. Основы горного дела. - М.: МГГУ, 2008. - 464 с.

.        Орлов Г. В. Сдвижение горных пород и земной поверхности под влиянием подземной разработки. - М.: МГГУ, 2010. - 198 с.

.        Ерёмин Г. М. Разработка и доставка полезных ископаемых на поверхность. - М.: МГГУ, 2010. - 363 с.

.        Порцевский А. К. Технологические процессы подземной разработки. Учебное пособие по курсу лекций. - М.: МГГА, 1998. - 41 с.

.        Тонких А. И. Технико-экономические расчеты при подземной разработке рудных месторождений: Учеб.пособие /А. И. Тонких, В. Н. Макишин, И. Г. Ивановский - Владивосток: Изд-во ДВГТУ, 2007. - 137 с.

Похожие работы на - Вскрытие и подготовка рудного месторождения

 

Не нашли материал для своей работы?
Поможем написать уникальную работу
Без плагиата!
Без нейросетей!