Сопряженные задачи для уравнений переноса и диффузии

  • Вид работы:
    Курсовая работа (т)
  • Предмет:
    Математика
  • Язык:
    Русский
    ,
    Формат файла:
    MS Word
    477,38 Кб
  • Опубликовано:
    2012-08-02
Вы можете узнать стоимость помощи в написании студенческой работы.
Помощь в написании работы, которую точно примут!

Сопряженные задачи для уравнений переноса и диффузии













КУРСОВАЯ РАБОТА

Сопряженные задачи для уравнений переноса и диффузии

РЕФЕРАТ

Курсовая работа посвящена решению сопряженных задач для уравнений переноса и диффузии.

Рассматриваются основные и сопряженные задачи и методы их численного решения.

Ключевые слова: сопряженная задача, диффузия, перенос.

Работа состоит из введения, 4 разделов, заключения, 1 приложения и библиографического списка из 3 источников, содержит 23 страницы текста и 2 рисунка.

СОДЕРЖАНИЕ

ВВЕДЕНИЕ

. Постановка задачи

. Сопряженное уравнение для простейшего уравнения диффузии

. Принцип двойственности

. Численное решение сопряженных задач

ЗАКЛЮЧЕНИЕ

СПИСОК ИСПОЛЬЗОВАННЫХ ИСТОЧНИКОВ

ПРИЛОЖЕНИЕ

ВВЕДЕНИЕ

Интерес к сопряженным уравнениям в математической физике возник уже давно. Однако инструментом для решения задач сопряженные уравнения становятся довольно редко. Стимулом к построению сопряженных задач явилась теория возмущений, корректная формулировка которой использует как основную, так и сопряженные задачи. Что касается решения задач на отыскание тех или иных линейных функционалов, то и здесь сопряженная формулировка, отражая принцип двойственности, позволяет сформулировать ряд алгоритмов, которые в тех или иных условиях оказываются наилучшими как при анализе задач, так и при их реализации.

. Постановка задачи

Один из подходов к построению математических моделей процесса

,   (1.1)

где q - величина, характеризующая концентрацию ЗВ,

s - коэффициент концентрации,

m - горизонтальный коэффициент диффузии,

d - дельта-функция, моделирующая сосредоточенный источник следующих начально-граничных условиях:

q=q0 при t=0 - начальное распределение концентрации загрязнителя;

 при x=0 - частичное поглощение/отражение на подстилающей

 при x=a- отсутствие примеси, .

Сопряженное уравнение для (1.1) будет иметь вид

    (1.2)

Сопряженная задача корректна при решении от t=T к t=0, тогда в качестве "начальных" условий рассмотрим при t=T, q*(T,x)=q*(0,x)=0. Граничные условия примут вид

 при x=0,

 при x=a.

Сопряженные задачи все более активно начинают проникать в различные области математики и ее приложения. Именно с их помощью удается вплотную подойти к проблемам оптимального управления.

Структура алгоритмов для решения сопряженных задач полностью определяется структурой алгоритмов решения основной задачи.

. Сопряженное уравнение для простейшего уравнения диффузии

Рассмотрим простейшее уравнение диффузии

 

при условии  при , (1.2)

где -заданная функция от , и в предположении об ограниченности решения  на всем интервале изменения .

Определим пространство функций Ф, на элементах которого будем искать решение задачи. Предположим, что это пространство дифференцируемых по t и x функций, имеющих обобщенную вторую производную по x. Будем считать, что эти функции ограничены на всем интервале  и имеют довольно быстрый порядок убывания при , обеспечивая квадратичное суммирование, т.е.

 

Запишем уравнение (1.1) формально в виде

 

где .

Будем считать Ф гильбертовым пространством со скалярным произведением

 

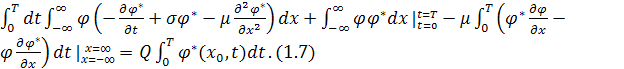
Приступим к построению сопряженной задачи. Умножим уравнение (1.1) на некоторую функцию , свойства которой уточним в дальнейшем, и результат проинтегрируем по времени и пространству:

 

Левую часть преобразуем так, чтобы за знаком скобки под интегралом стояла функция , а в скобках - дифференциальное соотношение, содержащее функцию . Воспользуемся интегрированием по частям:

 

 

Подставив (1.5) и (1.6) в (1.4), получим

 

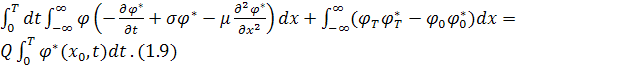
Предположим, что  при (1.8)

Тогда соотношение (1.7) упростится:

 

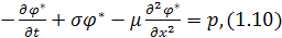
Предположим теперь, что  удовлетворяет уравнению

 

при начальных данных  при  (1.11)

и граничных условиях (1.8). Здесь p - пока не определенная функция от x и t. Эту задачу будем называть сопряженной.

3. Принцип двойственности

Учитывая (1.10), приведем соотношение (1.9) к виду

 

Пусть

 

есть некоторый линейный функционал от , который необходимо рассчитать в результате решения основной задачи (1.1), (1.2). Из (1.12) следует, этот же функционал может быть вычислен также путем решения сопряженной задачи (1.10), (1.11), так что

 

В этом заключается принцип двойственности.

Функционал (1.13) допускает различное физическое содержание.


 

Подставляя (1.15) в (1.13), получим функционал

 

математический диффузия алгоритм функционал

т.е. значение решения в точке  Заметим, что тоже самое мы получим с помощью (1.14), если в сопряженной задаче (1.10), (1.11) в качестве p выберем выражение (1.15).

Важно отметить, что таким способом можно представить любой линейный функционал от решения и, следовательно, для каждого из них построить свою сопряженную задачу.

4. Численное решение сопряженных задач

Решение сопряженных задач алгоритмически ничем не отличается от решения основных задач, если оно производится в направлении, обратном течению времени, т.е. задачу

 

 

 

 

 

следует решать, начиная с t=T, и продолжать в сторону убывания t. В этом случае численный алгоритм будет корректным. Задачу (2.1) можно свести к виду, свойственному основным уравнениям, заменой независимой переменной t на  и функции u на ; тогда она переходит в задачу

 

 

 

 

 

Ясно, что оператор сопряженной задачи (2.2) в новых обозначениях формально совпадает с оператором прямой задачи. Поэтому все численные алгоритмы, введенные для решения основной задачи, автоматически оказываются приемлемыми для решения сопряженной задачи.

Пусть задаче

 

 

где A - линейный оператор, определенный на множестве достаточно гладких функций, поставлен в соответствие разностный аналог

 

 

где - вектор-функция, определенная в точках некоторой области G и в точках временной оси; - матричный оператор, определенный в пространстве сеточных функций

 

Пусть сопряженная функция  удовлетворяет уравнению

 

 

Уравнение (3.3) является сопряженным к (3.2).

ЗАКЛЮЧЕНИЕ

В XXI веке исключительную роль в решении сложных систем будет играть теория сопряженных уравнений, благодаря которой удастся решить волнующие общество проблемы глобальных изменений, проблемы минимизации напряжения, экологических климатических и биосферных возмущений. Уже определены наукой пути построения сопряженных уравнений, соответствующих нелинейным процессам в атмосфере и океане. Они позволят предвычислять чувствительность функционалов задач, связанных с жизнеобеспечением тех или иных регионов земного шара, к различного рода возмущениям. А это одна из важнейших задач современности, как одна из задач математики и в целом фундаментальной науки.

СПИСОК ИСПОЛЬЗОВАННЫХ ИСТОЧНИКОВ

1.     Марчук Г. И. Математическое моделирование в проблеме окружающей среды. М.: Наука, 1982.

2.       Бахвалов Н.С. Численные методы Бахвалов Н.С., Жидков Н.П., Кобельков Г.М. -М. - С.-П.: Физматлит, 2001.

3.     Тихонов А.Н., Самарский А.А. Уравнения математической физики. - М.: Наука, 1977.

4.      

ПРИЛОЖЕНИЕ

Листинг программы

unit Unit1;

interface, Messages, SysUtils, Variants, Classes, Graphics, Controls, Forms,, TeEngine, Series, StdCtrls, TeeProcs, Chart, ExtCtrls;= class(TForm): TPanel;: TPanel;: TButton;: TButton;: TPanel;: TPanel;: TCheckBox;: TCheckBox;: TCheckBox;: TCheckBox;: TEdit;: TEdit;: TEdit;: TEdit;: TEdit;: TEdit;: TLabel;: TLabel;: TLabel;: TLabel;: TChart;: TLineSeries;: TLineSeries;: TLineSeries;: TLineSeries;: TLineSeries;: TLineSeries;: TLineSeries;: TLineSeries;: TLineSeries;: TLineSeries;: TLineSeries;: TLineSeries;: TLineSeries;: TLineSeries;: TLineSeries;: TLineSeries;EdNKeyPress(Sender: TObject; var Key: Char);EdNKeyUp(Sender: TObject; var Key: Word; Shift: TShiftState);EdTayKeyPress(Sender: TObject; var Key: Char);BtnJavnClick(Sender: TObject);BtnNeJavnClick(Sender: TObject);BtnSimClick(Sender: TObject);CheckBox1Click(Sender: TObject);

{ Private declarations }

{ Public declarations };mas=array of real;=array of mas;: TForm1;:array[0..3]of real;pi=3.1415;

{$R *.dfm}TForm1.EdNKeyPress(Sender: TObject; var Key: Char);(Key='.')or (Key=',') then:=DecimalSeparatornot ((Key<='9')and(Key>='0') or (Key=#8)or (Key='-')) then:=#0;;(pos(Key,edN.Text)>0) and ((key=decimalSeparator) or (key='-')) then:=#0;;TForm1.EdNKeyUp(Sender: TObject; var Key: Word;: TShiftState);.Caption:='tay/h^2= '+FloatToStr(StrToFloat(EdTay.Text)/sqr(1/StrToFloat(EdN.Text)));;TForm1.EdTayKeyPress(Sender: TObject; var Key: Char);(Key='.')or (Key=',') then:=DecimalSeparatornot ((Key<='9')and(Key>='0') or (Key=#8)or (Key='-')) then:=#0;;(pos(Key,edTay.Text)>0) and ((key=decimalSeparator) or (key='-')) then:=#0;;u(x,t:real):real;:=sin(pi*x)*t;;fij(x,t:real):real;:=sin(pi*x)+sqr(pi)*t*sin(pi*x);;TForm1.BtnJavnClick(Sender: TObject);tay,h,l:real;,i,j,m,q:integer;,t:mas;,f:matr;i:=0 to 15 do Chart1.Series[i].Clear;:=StrToInt(EdN.Text);:=1/n;:=StrToFloat(EdTay.Text);:=round(1/tay);:=m+1;:=n+1;(y,m,n);(f,m,n);(x,n);(t,m);:=n-1;:=m-1;[0]:=StrToFloat(EdT1.Text);[1]:=StrToFloat(EdT2.Text);[2]:=StrToFloat(EdT3.Text);[3]:=StrToFloat(EdT4.Text);q:=0 to 3 do:=round(time[q]/tay);j:=0 to m do[j]:=j*tay;[j,0]:=0;[j,n]:=0;;i:=0 to n do[i]:=i*h;[0,i]:=u(x[i],0);;j:=0 to m doi:=0 to n do f[j,i]:=fij(x[i],t[j]);j:=0 to m-1 doi:=1 to n-1 do[j+1,i]:=tay*y[j,i+1]/sqr(h)+(1-2*tay/sqr(h))*y[j,i]+tay*y[j,i-1]/sqr(h)+tay*f[j,i];:=0;l<=1 do.Series[q].AddXY(l,u(l,t[m]));:=l+0.001;;i:=0 to n do.series[q+4].AddXY(x[i],y[m,i]);;;TForm1.BtnNeJavnClick(Sender: TObject);,h,l: real;,i,j,p,m,q: integer;,y: matr;,t,al,bt,a,b,c: mas;: array[0..3] of real;i:=0 to 15 do Chart1.Series[i].Clear;:=strtoint(EdN.Text);[0]:=strtofloat(EdT1.Text);[1]:=strtofloat(EdT2.Text);[2]:=strtofloat(EdT3.Text);[3]:=strtofloat(EdT4.Text);q:=0 to 3 do begin:=1/n;(n);:=strtofloat(EdTay.Text);:=round(time[q]/tay);(m);(t,m);(y,m,n);(f,m,n);(x,n);(al,n);(bt,n);(a,n);(b,n);(c,n);(m);(n);i:=0 to n do[i]:=-tay;[i]:=-tay;[i]:=sqr(h)+2*tay;;[0]:=0;[n]:=0;[0]:=1;[n]:=1;[0]:=0;[n]:=0;j:=0 to m do[j]:=j*tay;[j,0]:=0;[j,n]:=0;;i:=0 to n do[i]:=i*h;[0,i]:=u(x[i],0);;j:=0 to m doi:=0 to n do f[j,i]:=fij(x[i],t[j]);j:=0 to m-1 do[n-1]:=-a[n]/b[n];[n-1]:=sqr(h)*(f[j,n]*tay+y[j,n])/b[n];p:=n-1 downto 1 do[p-1]:=-a[p]/(al[p]*c[p]+b[p]);[p-1]:=(sqr(h)*(f[j,p]*tay+y[j,p])-bt[p]*c[p])/(al[p]*c[p]+b[p]);;i:=0 to n-2 do y[j+1,i+1]:=al[i]*y[j+1,i]+bt[i];;:=0;l<=1 do.Series[q].AddXY(l,u(l,t[m]));:=l+0.001;;i:=0 to n do chart1.Series[q+8].AddXY(x[i],y[m,i]);// chart1.Series[j+4].AddXY(x[i],f[j,i]);;;TForm1.BtnSimClick(Sender: TObject);,h,l: real;,i,j,p,m,q: integer;,y: matr;,t,al,bt,a,b,c: mas;: array[0..3] of real;i:=0 to 15 do Chart1.Series[i].Clear;:=strtoint(EdN.Text);[0]:=strtofloat(EdT1.Text);[1]:=strtofloat(EdT2.Text);[2]:=strtofloat(EdT3.Text);[3]:=strtofloat(EdT4.Text);q:=0 to 3 do begin:=1/n;(n);:=strtofloat(EdTay.Text);:=round(time[q]/tay);(m);(t,m);(y,m,n);(f,m,n);(x,n);(al,n);(bt,n);(a,n);(b,n);(c,n);(m);(n);i:=0 to n do[i]:=-tay;[i]:=-tay;[i]:=2*(sqr(h)+tay);;[0]:=0;[n]:=0;[0]:=1;[n]:=1;[0]:=0;[n]:=0;j:=0 to m do[j]:=j*tay;[j,0]:=0;[j,n]:=0;;i:=0 to n do[i]:=i*h;[0,i]:=u(x[i],0);;j:=0 to m doi:=0 to n do f[j,i]:=fij(x[i],t[j]+tay/2);j:=0 to m-1 do[n-1]:=-a[n]/b[n];[n-1]:=(2*tay*sqr(h)*f[j,n]+{tay*y[j,n+1]}+tay*y[j,n-1]-y[j,n]*(2*tay-2*sqr(h)))/b[n];p:=n-1 downto 1 do[p-1]:=-a[p]/(al[p]*c[p]+b[p]);[p-1]:=(2*tay*sqr(h)*f[j,p]+tay*y[j,p+1]+tay*y[j,p-1]-y[j,p]*(2*tay-2*sqr(h))-bt[p]*c[p])/(al[p]*c[p]+b[p]);;i:=0 to n-2 do y[j+1,i+1]:=al[i]*y[j+1,i]+bt[i];;:=0;l<=1 do.Series[q].AddXY(l,u(l,t[m]));:=l+0.001;;i:=0 to n do chart1.Series[q+12].AddXY(x[i],y[m,i]);;;TForm1.CheckBox1Click(Sender: TObject);.Active:=CheckBox1.Checked;.Active:=CheckBox1.Checked;.Active:=CheckBox1.Checked;.Active:=CheckBox1.Checked;.Active:=CheckBox2.Checked;.Active:=CheckBox2.Checked;.Active:=CheckBox2.Checked;.Active:=CheckBox2.Checked;.Active:=CheckBox3.Checked;.Active:=CheckBox3.Checked;.Active:=CheckBox3.Checked;.Active:=CheckBox3.Checked;.Active:=CheckBox4.Checked;.Active:=CheckBox4.Checked;.Active:=CheckBox4.Checked;.Active:=CheckBox4.Checked;;.


Не нашли материал для своей работы?
Поможем написать уникальную работу
Без плагиата!
Без нейросетей!