Метод Гаусса, Холецкого, Жордана
1. В соответствии с
вариантом задания решить систему линейных уравнений по методу определителей
,
где
a = 0
b= 0,6
Разделили 1-ю строку на 2.1
Умножили 1-ю строку на 3
Вычли 1-ю строку из 2-й и
восстановили ее
Умножили 1-ю строку на -6
Вычли 1-ю строку из 3-ей и
восстановили ее
Восстановили 1-ю строку до
первоначального вида. Разделили 2-ю строку на 8.92857142
Умножили 2-ю строку на -9.357142857
Вычли 2-ю строку из 3-ей и
восстановили ее
Восстановили 2-ю строку до
первоначального вида
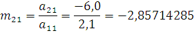
Умножили числа главной диагонали
.1*(-8.92857142)*7.15714285=80.3699999
2. В соответствии с
вариантом задания решить систему методом исключения (методом Гаусса)
Преобразуем второе уравнение системы
Для этого введем множители

А(0)=
В(0)=
Преобразуем третье
уравнение системы
Для этого введем
множитель
А(1)=
В(1)=
Находим х3
Находим х2
Находим х1
3. В соответствии с
вариантом задания решить систему по методу Жордана
Умножим уравнение
(строку) 1-ую на 1,42857142
Прибавим получившееся
уравнение к 2-му уравнению. Уравнение 1 не изменится в исходной системе
Умножим коэффициенты
уравнения 1 на 2.85714285
Прибавим получившееся
уравнение к уравнению 3. Уравнение 1 не изменится в исходной системе
Умножаем коэффициенты
уравнения 2 на 1.048
Прибавим получившееся
уравнение к 3 уравнению
Обратный ход
Коэффициент уравнения 3
разделим на 4.2864
Умножим коэффициент
уравнения 3 на 2. Прибавим получившееся уравнение к 1 уравнению
Умножим коэффициенты 3
уравнения на -7.15714285
Прибавим получившееся
уравнение к уравнению 2
Коэффициенты уравнения 2
разделим на 8.92857142
Умножим коэффициенты
уравнения 2 на 4.5, прибавим получившееся уравнение к уравнению 1
Коэффициенты уравнения 1
разделим на 2.1
х1=1.43765086
х2=-4.55979843
х3=2.53407988.
4. Решить систему по
методу Холецкого
А=
Представим матрицу
в
виде произведения нижней треугольной матрицы
и верхней треугольной
матрицы
с
единичной диагональю, то есть
11=a11=2.121=a21=3.031=a31=-6.012=
13=
22=a22-b21C12=2.5 -
(-2.14285714)*3.0=8.9285714232=a32-b31C12=3.5
- (-6)*(-2.14285714)=-9.3571428423=
=

33=a33-b31C13-
b32C23=
Находим у1
2,1y1=18.47
y1=8.79523809
Находим y2
.0y1+8.92857142y2=3,81
y2=-2,52848000
Находим y3
-6,0y1+(-9.35714284y2)+4.2863999y3=-18.25
.2863999y3=10.86208002
y3=2.53407988
x3=y3=2.53407988
x2=y2 - C23x3=-4.55979843
x1=1.43765086.
Выводы
система уравнение жордан
холецкий
По проделанной работе,
можно определить недостатки и достоинство методов. Метод Гаусса применим к
любой системе линейных уравнений, он идеально подходит для решения систем,
содержащих больше трех линейных уравнений. Существенным недостатком метода
Гаусса является невозможность сформулировать условия совместности и
определенности системы в зависимости от коэффициентов и от свободных членов.
Достоинством является - менее трудоёмкий по сравнению с другими методами. Метод
определителя является самым простым способом, но существуют так же и
недостатки, например, как чувствительность к ошибкам округления.