Характеристика ядов

  • Вид работы:
    Контрольная работа
  • Предмет:
    Химия
  • Язык:
    Русский
    ,
    Формат файла:
    MS Word
    2,17 Мб
  • Опубликовано:
    2012-03-31
Вы можете узнать стоимость помощи в написании студенческой работы.
Помощь в написании работы, которую точно примут!

Характеристика ядов

Министерство Здравоохранения ПМР

Тираспольский Межрегиональный Университет

Фармацевтический факультет








Контрольная работа по дисциплине:

“Токсикологическая химия “













Бендеры,2012

Вопрос № 1.Распределение ядов в организме

После поступления в кровь вещество распределяется по всем органам и тканям. Распределение-динамический процесс, в начальной стадии которого основное значение для накопления вещества имеет кровоснабжение ткани или органа: чем оно лучше, тем выше содержание вещества. С течением времени все большую роль в распределении начинают играть процессы взаимодействия ядов с клетками, отдельными молекулами и т.п.4

Распределение токсичных веществ в организме зависит от трех основных факторов: пространственного, временного и концентрационного, схематически представленных на рисунке.

Пространственный фактор определяет пути наружного поступления и распространения яда. Это распределение связано с кровоснабжением органов и тканей, поскольку количество яда, поступающее к определенному органу, зависит от его объемного кровотока, отнесенного к единице массы тканей. Наибольшее количество яда в единицу времени поступает обычно в легкие, почки, печень, сердце, мозг. При ингаляционных отравлениях основная часть яда поступает в почки, а при пероральных-в печень, так как соотношение удельного кровотока печень/почки составляет примерно 1:2. Кроме того, токсический процесс определяется степенью чувствительности к яду рецепторов токсичности.


Особенно опасны в этом отношении токсичные вещества, вызывающие необратимые поражения клеточных структур (например, при химических ожогах тканей кислотами или щелочами). Менее опасны обратимые поражения (например, при наркозе), вызыввающие только функциональные расстройства.

Под временным фактором подразумевается скорость поступления яда в организм и скорость его выведения из организма или его нейтрализации. Этот фактор отражает связь между временем действия яда и его токсическим эффектом.

Концентрационный фактор, т.е. концентрация яда в биологических средах, в частности в крови, считается основным в клинической токсикологии. Определение этого фактора позволяет различать токсикогенную и соматогенную фазы отравления и оценивать эффективность дезинтоксикационной терапии. Исследование динамики концентрационного фактора помогает обнаружить в токсикогенной фазе отравления два основных периода: период резорбции, продолжающийся до момента достижения максимальной концентрации токсического вещества в крови, и период элиминации от этого момента до полного очищения крови от яда.

Различные токсичные вещества и их метаболиты транспортируются кровью в разных формах. Для многих чужеродных веществ характерна определенная связь с белками плазмы, преимущественно альбуминами. Белки плазмы обладают способностью образовывать с металлами комплексы. Считается, что любые поступившие в организм металлы (за исключением щелочных) образуют соединения с белками, причем вначале с альбуминами. В дальнейшем возможно перераспределение связей с другими структурами. Например, транспорт железа осуществляется Р-глобулином, а 90-96 % меди циркулирует в организме в виде комплекса с глобулинами- церулоплазмина. Для некоторых металлов и металлоидов имеет значение транспорт ядов клетками крови. Например, более 90 % поступившего в организм мышьяка или свинца циркулирует в эритроцитах.

Одним из основных токсикологических показателей является объем распределения, т.е. характеристика пространства, в котором распределяется данное токсичное вещество. Существует три главных сектора распределения токсичных веществ в организме: внеклеточная жидкость (примерно 14 л для человека, имеющего массу тела 70 кг), внутриклеточная жидкость (28 л) и жировая ткань, объем которой значительно варьирует.

Объем распределения зависит от трех основных физико-химических свойств данного вещества: водорастворимости, липидорастворимости и способности к диссоциации (ионообразованию). Водорастворимые соединения способны распространяться во всем водном секторе (внеклеточная и внутриклеточная жидкости) организма-около 42 л. Липидо-растворимые вещества накапливаются (депонируются) преимущественно в липидах.

Основным препятствием для распространения веществ в организме являются плазматические мембраны клеток. Именно процесс диффузии через барьер определяет накопление вещества внутри клеточного объема, т.е. переход от распределения во внеклеточной жидкости к распределению вещества во всем объеме распределения.

Наиболее точно объем распределения можно вычислить при разовом внутривенном введении вещества, так как в этом случае известно его количество, поступившее в кровь.

На практике чаще приходится определять концентрацию токсичного вещества в плазме и общую его дозу, циркулирующую в организме. Для этого необходимо знать объем распределения этого яда. При отравлении веществом, распределяющимся только во внеклеточной жидкости, можно быстрее очистить этот сектор организма от яда, чем в случае отравления веществом, находящимся во всем объеме распределения. Только знание объема распределения позволяет сопоставить скорость выведения яда из организма со скоростью снижения его концентрации в плазме и ответить на вопрос, поступают ли новые порции яда в организм из ЖКТ.На распределение яда в организме кроме концентрации ЯВ и силы его связи с белками влияют и другие факторы: физиологическое состояние организма, пол, биоритмы и др.

Проникновение ксенобиотиков внутрь клетки сопровождается их межфазовым распределением в соответствии с коэффициентом распределения вода-неполярная фаза. Химические вещества по мере поступления в кровь и лимфу распределяются между жидкой частью этих сред, а также в межклеточной и внутриклеточной жидкостях. Различные лекарственные и ядовитые вещества способны избирательно накапливаться в отдельных органах: адреналин-преимущественно в сердце, йод-в щитовидной железе, трихлорэтилен-в мозге, хлороформ-в надпочечниках, тиофос-в слюнных железах, печени. Многие тяжелые металлы, достигая клетки, фиксируются часто на клеточной мембране, нарушая тем самым жизнедеятельность клетки. Металлы, поступающие в организм в виде растворимых соединений, накапливаются преимущественно в костной ткани.

Вопрос №2 Характеристика токсо-биологической группы “пестициды”. Общая характеристика. Особенности пробоподготовки

Пестициды - вещества, предназначенные для борьбы с животными и растениями-вредителями с целью повышения урожайности и сохранения материальных ценностей, созданных человеком. В отличие от других поллютантов пестицидами умышленно обрабатывают окружающую среду для того, чтобы уничтожить некоторые виды живых организмов. Наиболее желательным свойством пестицидов, в этой связи, является избирательность их действия в отношении организмов-мишеней. Однако селективность действия подавляющего большинства пестицидов не является абсолютной, поэтому многие вещества представляют большую или меньшую опасность для человека. Основной риск, связанный с использованием пестицидов, обусловлен их накоплением в окружающей среде и биоте, перемещением по пищевым цепям, вплоть до человека. Достаточно часты случаи острого отравления пестицидами. Не изжиты хронические интоксикации у рабочих, занятых в производстве и использовании пестицидов. Поскольку организмы "вредителей" адаптируются к действию химических веществ, во всем мире постоянно синтезируются и внедряются в практику десятки и сотни новых соединений. Различные классы пестицидов представлены в таблице.

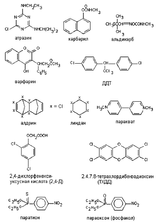
Самым известным хлорорганическим инсектицидом является ДДТ. Хотя это вещество синтезировано еще в 1874 году, его инсектицидные свойства были обнаружены лишь в 1939 году швейцарским химиком Паулем Мюллером, удостоенным за это открытие десять лет спустя Нобелевской премии. ДДТ широко использовался для борьбы с вредителями, однако сейчас, в силу отрицательных токсикологических свойств, запрещен к производству и применению в большинстве развитых стран. Среди других известных хлорорганических пестицидов следует назвать метоксихлор (близкий аналог ДДТ), мирекс, алдрин, хлордан, линдан.

Рисунок .Структура некоторых пестицидов

Фосфорорганические инсектициды (ФОИ) представляют собой по большей части эфиры фосфорной и тиофосфорной кислот. В настоящее время это наиболее широко используемые пестициды. Они токсичнее хлорорганических инсектицидов, но менее стойки в окружающей среде и потому менее опасны с точки зрения экологии. Широкое исследование этих веществ началось в 1930х годах в лаборатории Герхарда Шрадера в Германии. Токсичность ФОС зависит от строения алкильных радикалов при атоме фосфора. Для млекопитающих и человека производные фосфорной кислоты значительно токсичнее, чем тиофосфорной. Для насекомых имеет место обратная зависимость. Первым широко используемым пестицидом из этой группы был тетраэтилпирофосфат (ТЭПФ). Из-за высокой токсичности для млекопитающих он был позже заменен на другие соединения. Среди наиболее известных ФОИ: паратион, диазинон, хлорофос, карбофос, дисульфотион, малатион. Среди ФОС обнаружены не только эффективные пестициды, но и вещества чрезвычайно токсичные для человека. Под руководством того же Шрадера на основе ФОС в 1940х годах были получены первые фосфорорганические боевые отравляющие вещества (ФОВ), в частности, табун. Все ФОС - нейротоксиканты, нарушающие проведение нервных импульсов в центральных и периферических холинэргических синапсах.

Близким ФОС по механизму токсического действия на организм насекомых и млекопитающих является класс инсектицидов из группы карбаматов. Все карбаматы являются эфирами N-метил карбаминовой кислоты (рисунок).

Рисунок. Структурная формула карбаминовой кислоты

Токсичность карбаматов изменяется в зависимости от строения радикала "R" в очень широких пределах. К наиболее известным пестицидам этой группы относятся: карбарил (севин), пропоксур (байгон), альдикарб (темик). Среди карбаматов найдены и вещества обладающие чрезвычайной токсичностью для лабораторных животных, например, производные бис(диметилкарбамокси бензил)алкан диметил галида (ЛД50 для кроликов составляет 0,005 мг/кг). Такие вещества в свое время обращали на себя внимание военных.

Гербициды - это вещества, предназначенные для борьбы с растениями, в частности, сорными травами. Динитрофенол, динитро-орто-крезол, пентахлорфенол используются, как контактные гербициды. Хлорфенолы применяют и как фунгициды для защиты древесины от поражения грибами. Печальную известность, после войны США против Вьетнама, получили производные феноксиуксусной кислоты (2,4-Д и 2,4,5-Т), входившие в состав так называемой "оранжевой смеси", использовавшейся американцами в качестве дефолианта. Эти вещества практически не токсичны для человека, однако, содержавшийся в качестве примеси 2,3,7,8,-тетрахлордибензодиоксин (ТХДД) вызывал поражение людей. Кроме того это вещество обладает свойствами иммунотоксиканта, тератогена, мутагена и канцерогена. Другими известным гербицидами являются паракват, дикват, атразин и т.д.

Чрезвычайно опасны для человека средства борьбы с грызунами - родентициды. Производные фторуксусной кислоты, варфарин, стрихнин, соли таллия, используемые для этой цели - высоко токсичные соединения.

Способы пробоподготовки

Для изолирования определяемого вещества используют жидкостную экстракцию, твердофазную экстракцию, перегонку с водяным паром, сублимацию в вакууме, минерализацию.

Жидкостная экстракция органическими растворителями применяется для изолирования хлорорганических пестицидов, фосфорорганических соединений, пиретроидов, производных карбаминовой кислоты, четвертных аммониевых оснований, металлоорганических пестицидов.

Тврдофазная экстракция на химически модифицированных сорбентах с неполярными гидрофобными группами и на силикагелях может применятья при определении пестицидов в природных водах, почвах, моче.

Перегонку с водяным паром используют при определении термически неустойчивых летучих соединений, например, для хлорорганических пестицидов. Линдан, ДДТ, гептахлор, ФОС и пиретроиды при обычной перегонке разлагаются. Сублимация в вакууме применяется в основном для изолирования некоторых ФОС.

Минерализацию используют при определении р- и d-элсментов (Hg, Ag, Sn) в металлоорганических пестицидах.

Для очистки анализируемой пробы от белков, липидов, углеводов используют различные методики. Например, проводят жидкостную экстракцию (н-гексан - диметилформамид) при определении ФОС, хлорогранических пестицидов и пиретроидов.

Применяется также колоночная адсорбционная и распределительная хроматография на фторосиле (синтетическом силикате магния), Al2O3, силикагеле. Препаративная ТСХ на силикагеле, Al2O3 используется при определении ФОС и пиретроидов.

Если проводится пробоподготовка перед определением пестицидов, устойчивых к кислотному гидролизу (ДДТ, гептахлор), то для омыления балластных веществ применяют сульфирование, обрабатывая пробу серной кислотой.

В качестве частных приемов можно использовать осаждение липидов при охлаждении, высаливание белков с применением трихлоруксусной кислоты, солей цинка (ZnCl2, ZnSO4).

Вопрос №3. Токсическое действие и клиническая картина острых отравлений пиретроидами и нитросоединениями

Нитросоединения - органические соединения, содержащие в молекуле нитрогруппу N02, связанную с атомом углерода <#"555955.files/image006.gif">

Поступление ядов через желудочно-кишечный тракт (ЖКТ). Некоторые вещества могут всасываться непосредственно в кровь вследствие диффузии уже из полости рта через слизистую оболочку. При этом исключается влияние желудочно-кишечных соков и задерживается процесс метаболизма яда в печени, что в некоторых случаях может усилить токсическое действие попавшего в организм соединения. Из полости рта всасываются все липидорастворимые соединения, фенолы, цианиды и др. При всасывании из желудка кислая среда желудочного сока может или способствовать резорбции, или уменьшать ее. Ядовитые вещества могут сорбироваться пищевыми массами, разбавляться ими, в результате чего соприкосновение яда со слизистой желудка будет затруднено. В этом случае процесс резорбции замедляется и увеличивается время токсикогенной фазы. В основном всасывание ЯВ из ЖКТ происходит в тонком кишечнике.

Сильные кислоты и основания, попадая в организм через ЖКТ, могут оказывать прижигающее и некротирующее действия на слизистую оболочку. Сильные основания могут частично или даже полностью нейтрализоваться желудочным соком, имеющим кислую реакцию. В общем случае кислоты и основания всасываются медленно, образуя, по-видимому, комплексы с кишечной слизью. Металлы всасываются главным образом в верхнем отделе тонкого кишечника: хром, марганец, цезий-в подвздошной кишке; железо, медь, ртуть, сурьма-в тощей. Щелочные металлы резорбируются быстро и полностью в силу хорошей растворимости их соединений и транспорта через клеточные мембраны.

Поступление ядов через кожу. Кожа имеет три четко выраженных слоя: эпидермис (верхний слой), дерму (собственно кожу) и подкожную жировую клетчатку. Поверхность кожи человека достигает 2 м2. С позиций токсикокинетики особый интерес представляет поверхностный роговой слой эпидермиса, препятствующий резорбции многих чужеродных веществ.

Поступление химических веществ через кожу может происходить либо непосредственно через эпидермис, либо через волосяные фолликулы и сальные железы, либо через устья выводных протоков потовых желез. Кожа- не просто пассивный барьер, отделяющий организм от окружающей среды. В эпидермальном слое осуществляется и метаболизм некоторых ксенобиотиков, хотя общая активность процессов невелика (2-6 % метаболической активности печени).1

Потенциальную опасность интоксикации при проникновении через кожу представляют газы и липидорастворимые вещества. Наиболее опасны ароматические нитро - и аминосоединения, фосфорорганические инсектициды (ФОИ), некоторые хлорированные углеводороды и металлоорганичес-кие соединения.

Повреждения кожи в значительной степени способствуют проникновению токсичных веществ в кровоток. Скорость проникновения ядов через неповрежденную кожу прямо пропорциональна их растворимости в липи-дах, а дальнейший их переход в кровь зависит от способности вещества растворяться в водной среде. Это относится не только к жидкостям и твердым телам, но и к газам. Последние могут диффундировать через инертную мембрану. Таким образом преодолевают барьер, например, HCN, С02, H2S и другие газы и пары.

Прохождению через кожу ионов тяжелых металлов способствует образование ими солей с жирными кислотами подкожного жирового слоя.


Поступление ксенобиотиков в организм, выведение их и продуктов их метаболизма из организма можно отобразить схемой, представленной на

Вопрос №5 Иммунохимические методы анализа в химико-токсикологическом анализе: сущность, особенности, достоинства, недостатки метода

Иммунохимические методы анализа, основанные на специфическом связывании определяемого соединения соответствующими антителами, широко вошли в практику химико-токсикологических исследований. Иммунохимические методы определения лекарственных и наркотических веществ высокочувствительны, имеют групповую специфичность, просты в исполнении, позволяют одновременно исследовать большое число проб без специальной подготовки и потому удобны для скрининг-диагностики.

Иммунохимическая реакция в растворе между антителами и антигенами - сложный процесс, протекающий в несколько стадий. На первом этапе происходит образование комплекса антиген - антитело. Образовавшийся комплекс в растворе можно идентифицировать, если в один из исходных компонентов реакционной системы ввести метку, которая легко детектируется соответствующим высокочувствительным физико-химическим методом.

Весьма удобны для этой цели радионуклидные, ферментные, флуоресцентные, парамагнитные метки, использование которых дало возможность увеличить чувствительность иммунохимических методов в миллионы раз и значительно сократить время анализа. Новые иммуно-химические методы с применением меченых реагентов используют для количественного определения биологически активных соединений от низкомолекулярных гормонов до высокомолекулярных вирусов и целых клеток.


Классические методики иммунохимического анализа основаны на образовании осадка в присутствии антигена (иммунный комплекс). За этим процессом обычно наблюдают визуально и обнаруживают или полуколичественно определяют относительно высокие концентрации компонентов. Такой вариант иммунохимического анализа длителен и трудоемок. Примером является реакция флоккуляции (преципитации) для определения количества антигенных единиц в профилактических препаратах - анатоксинах. Если раствор антигена в определенном соотношении смешать с антисывороткой, то образуется преципитат (рисунок).1

Как следует из кривой преципитации, по мере добавления антигена сначала достигается оптимум (равное соотношение антитело:антиген), а затем количество образующегося преципитата постепенно уменьшается. Рассматриваемый метод можно использовать преимущественно как качественный, что является его несомненным недостатком. Определение малых содержаний комплекса антиген-антитело, образовавшегося в растворе, становится возможным, если:

·   использовать антитела строгой специфичности. В современной иммунохимии применяется технология получения гибридом клеток, продуцирующих моноклональные антитела. Такие антитела обеспечивают идентификацию инсулина, гормонов и ряда других веществ;

·   в антиген или антитело ввести метку, которая легко детектируется соответствующим высокочувствительным инструментальным методом. Поскольку комплекс определяемого соединения (антигена) и специфического антитела образуется строго стехиометрично, экспериментально определяется количество метки, входящей в состав образующегося иммуно-химического комплекса, которая соответствует концентрации антигена.

Для проведения такого анализа необходимо эффективное отделение комплексов от свободных компонентов. Это достигается, если антиген либо антитело иммобилизовать на твердом носителе. Иммобилизация позволяет предотвратить агрегацию в растворе и разделить иммунные комплексы и свободные компоненты. Возможность прочного связывания антигенов или антител на носителе с сохранением их способности к специфическому образованию иммунных комплексов способствовала появлению и развитию твердофазных иммунохимических методов, широко используемых в настоящее время в химико-токсикологическом анализе.

Наибольшее развитие получил радиоиммунный анализ (РИА), предложенный в конце 50-х годов. Возможность определять метку радионуклида 1251 в очень малых концентрациях значительно повысило чувствительность анализа (на уровне пикограммов в миллилитре). Разработка первого варианта РИА стала поворотным пунктом в развитии методов с использованием других радионуклидов. Наряду с несомненными достоинствами РИА имеет недостатки:

· ограниченный срок жизни радиоактивной метки, что требует постоянной замены реактивов;

· возможность радиоактивного загрязнения окружающей среды при осуществлении большого числа анализов;

· необходимость соблюдения специальных мер предосторожности и высокой квалификации обслуживающего персонала.

Эти трудности побудили исследователей к поиску методов, альтернативных РИА, но сохраняющих его высокую чувствительность, специфичность и экспрессность.

Для идентификации и локализации антигенов в гистохимических препаратах и выявления полос преципитации в иммунодиффузионных и им-муноэлектрофоретических методах стали использовать метод иммунофер-ментного анализа (ИФА) с высокочувствительной меткой - молекулами ферментов. Как мощные химические катализаторы ферменты способны эффективно осуществлять наработку легко детектируемого продукта, что делает возможным определение ферментной метки в весьма малых концентрациях(менее 10-12 М). Как правило, используют различные оксидазы, участвующие в окислении субстрата с образованием окрашенных продуктов. По интенсивности окраски судят, например, о присутствии и количестве наркотического вещества в анализируемой пробе

Гомогенный ИФА основан на различиях каталитических свойств ферментной метки в свободном виде и в иммунохимическом комплексе. В гомогенном ИФА все компоненты реакции - антитела (антисыворотки), определяемое вещество, меченое определяемое вещество (конъюгат), хромогенный субстрат образуют гомогенную фазу и находятся в растворе.

На первой стадии гомогенного ИФА в реакционной среде присутствуют одновременно аликвота анализируемой биопробы, конъюгат (определяемое вещество с ферментной меткой) и антитело (антисыворотка) (рис.29). Вследствие обратимости реакции связывания антитело - антиген определяемое вещество биопробы (гаптен) и конъюгат (меченый гаптен) конкурируют между собой за ограниченное число центров связывания антитела.

На второй стадии анализа к реакционной смеси добавляется хромогенный субстрат, который под действием фермента-метки претерпевает химическое превращение с образованием окрашенного продукта. Окраска регистрируется визуально или спектрофотометрически. Фермент меченого антигена, связанного с антителом, не обладает каталитической активностью из-за пространственных затруднений (блокируется доступ субстрата к активному центру фермента).

Интенсивность окраски анализируемого раствора после добавления субстрата прямо пропорциональна концентрации не связанного с антителом меченого гаптена, т. е. пропорциональна содержанию ксенобиотика в биопробе.

Гомогенный ИФА более экспрессный, занимает от 1 до 30 мин, включая обработку результатов. Предел обнаружения составляет 10-6 г/мл. В дальнейшем термин «гомогенный иммуноанализ» стали применять к любой системе иммуноанализа, в которой специфическая реакция взаимодействия антигена с антителом протекает в растворе. Отсутствие стадии разделения свободного и меченого анализируемого соединения привело к сокращению продолжительности анализа до нескольких минут. Это исключительно важное обстоятельство позволило разработать диагностические иммуноферментные тест-системы экспресс-определения биологически активных соединений, нашедшие широкое применение в химической токсикологии, фармакологии, эндокринологии.1


Внедрение гомогенного мультиканального варианта ИФА способствовало созданию высокочувствительных методов количественного определения как низкомолекулярных соединений, так и высокомолекулярных антигенов: альбумина, иммуноглобулинов, гормонов, наркотических и лекарственных веществ, пептидных и стероидных гормонов, вирусных и бактериальных антигенов, пестицидов, появилась возможность изучать их фармакокинетику и метаболизм в организме. Преимущества этого метода заключаются в возможности использования малых объемов анализируемого образца (5-50 мкл) и отсутствии предварительной подготовки пробы.

Использование твердых носителей для сорбционной или ковалентной иммобилизации антител с последующим специфическим связыванием анализируемого соединения на иммуносорбенте и выявлением образовавшихся иммунных комплексов с помощью меченных ферментами компонентов положило начало методам твердофазного (гетерогенного) ИФА.


При проведении гетерогенного ИФА (рисунок) антитело иммобилизуется на твердом носителе - на полистирольных планшетах, пробирках, бусах. Кроме того, предусматривается стадия разделения реагирующих компонентов, называемая отмывкой: после связывания гаптенов (меченого и немеченого) с антителом на твердом носителе непрореагировавшие реагенты удаляются из реакционной смеси, например, 0,015 М раствором цитрата натрия рН 7,0. Добавленный после отмывки хромогенный субстрат каталитически (при участии фермента гаптена, связанного с иммобилизованным на твердом носителе антителом) превращается в окрашенное соединение. Если концентрация определяемого вещества в пробе значительно превышает концентрацию гаптена, меченного ферментом, хромогенный субстрат не образует окрашенных продуктов (положительный ответ). В гетерогенном методе ИФА в качестве метки наиболее часто используют пероксидазу, р-галактозидазу, алколин-фосфатазу, реже аце-тилхолинэстеразу, глюкоамилазу и глюкозооксидазу.

Гетерогенный ИФА высокочувствителен (Ю-6-Ю-8 г/мл), но более длителен (2-4 ч) по сравнению с гомогенным методом.

Поскольку на активность ферментов влияют многие факторы, возможны ложноположительные и ложноотрицательные результаты ИФА В первую очередь необходимо исключить влияние химических ингибиторов ферментов: ионов тяжелых металлов (например, ртутьсодержащих консервантов), антикоагулянтов (например, ЭДТА), некоторых метаболитов лекарственных веществ, загрязнений микроорганизмами и др. Специфичность реакции может быть снижена присутствием ревматоидного фактора, который дает положительную реакцию в отсутствие антител. Активность ферментов изменяется также под действием таких факторов, как температура, разведение пробы, рН, присутствие солей тяжелых металлов, антикоагулянтов, микроорганизмов. Анализируемые биологические жидкости могут влиять на активность фермента-метки (ионная сила и рН). При размораживании и повторном замораживании биологической пробы происходит ее необратимое повреждение.

Для уменьшения вероятности ложноположительных результатов ИФА используют в комбинации с соответствующими хроматографическими и другими подтверждающими методами анализа. В настоящее время показана возможность использования ИФА при исследовании трупного материала.

Еще один вариант иммуноанализа - флуороиммуноанализ (ФИА) с использованием флуоресцентных меток. Потенциальная чувствительность флуоресцентных методов очень высока, но на практике она лимитируется сигналом фона, который может возникать из-за присутствия в растворе других флуорофоров. Существует огромное количество как гомогенных, так и гетерогенных разновидностей ФИА.

Наиболее удобным из гомогенных флуоресцентных методов оказался поляризационный ФИА, основанный на измерении поляризации флуоресценции. Впервые поляризационный флуороиммуноанализ (ПФИА) был применен для измерения гентамицина. В качестве метки использовали флуоресцеин изотиокарбонат. Поляризацию флуоресценции комплекса антитело-антиген, меченного трассером-флуоресцеином, замеряют прямо в растворе, используя особые свойства метки. Изменение степени поляризации испускаемого флуоресцентного света зависит от степени связывания трассера с антителом. Известно, что флуоресцеин поглощает голубой свет и флуоресцирует зеленым после времени жизни в возбужденном состоянии примерно в течение 4 не (4 • 10~9 с). Если молекулу флуоресцеина возбуждать плоскополяризованным светом, то она также излучает поляризованный свет. Флуоресцентная поляризация маленькой метки возрастает тогда, когда антиген свяжется с антителом и приобретет время вращательной релаксации большой молекулы антитела. Поляризацию флуоресценции измеряют с помощью специальной оптической системы детекции. Содержание ксенобиотика в образце может быть определено из калибровочного графика зависимости значения поляризации от концентрации. В странах ЕС и США даный метод широко используется как для определения лекарственных веществ в крови, так и при контроле злоупотреблений наркотическими и одурманивающими веществами (моча или плазма крови).

Перспективным вариантом иммуноанализа является иммунохрома-тографический анализ (ИХА), который в литературе называют стрип-тестом (тест-полоска). В тест-зоне полоски нанесены искусственные антигены (аналогичные анализируемым веществам). Антитела к ним, связанные с красителем, также нанесены на полоску у линии ее погружения в исследуемый образец биожидкости. При погружении тест-полоски в биожидкость происходит ее миграция по принципу ТСХ. Вместе с биожидкостью движутся антитела. Если в биожидкости отсутствует исследуемый антиген, то антитела доходят до искусственных антигенов, связываются с ними, и в тест-зоне появляется окрашивание. Если исследуемый антиген присутствует в биожидкости, он связывает антитела и окрашивания в тест-зоне не наблюдается. Отсутствие или появление окрашивания в тест-зоне говорит о положительном или отрицательном результате анализа соответственно.

В настоящее время выпускаются как стрип-тесты на отдельные группы наркотиков, так и мульти-тесты - на несколько групп одновременно. Предел обнаружения для опиатов, метадона, кокаина, бензодиазепинов, барбитуратов составляет 300 нг/мл, каннабиноидов - 50 нг/мл, метамфетамина - 500 нг/мл, амфетамина - 1 мкг/мл.

Недостатком этого метода, как и других иммунохимических методов, является кросс-реактивность.

яд пестицид организм отравление

Вопрос № 6. Ситуационная задача. Качественное обнаружение и токсикологическое значение Аg и Bi (Методика выделения из биоматериала, пробоподготовка, физико-химические и химические методы определения, уравнения реакции)

Висмут - серебристо-серый металл с розовым оттенком, имеет грубозернистое строение. Применяется для получения сплавов с низкой температурой плавления, в ядерных реакторах в качестве теплоносителя, в различных приборах.4

Соединения висмута используются в радиоэлектронике благодаря их пьезоэлектрическим и электрооптическим свойствам, как материалы термоэлектрических генераторов, как твердые электролиты, катализаторы, компоненты косметических средств, в ветеринарии и т.п.

В медицинской практике применяется «Висмута нитрат основной». Это белый аморфный или мелкокристаллический порошок, практически нерастворим в воде и спирте, легко растворим в хлороводородной кислоте. Оказывает вяжущее и противовоспалительное действие. Внутрь его применяют при язве желудка, двенадцатиперстной кишки, гастритах.

Висмута нитрат основной применяют в комбинированных препаратах «Викалин», «Викаир», «Алцид» в сочетании с холиноблокаторами, спазмолитиками. Препарат «Висмута салицилат основной» оказывает антацидное и противодиарейное действие. Известны препараты висмута «Де-Нол», содержащий висмута трикалия дицитрат, и «Пилорид», содержащий ранитидин и висмута цитрат.

Висмут - это естественно содержащийся в организме в следовых количествах элемент. После всасывания соединения висмута способны длительно задерживаться в организме. Они кумулируются в печени, почках, селезенке, легких, ткани мозга, что позволяет обнаружить висмут через длительный срок после попадания в организм. Более ядовиты легкорастворимые соединения висмута. Труднорастворимые соли под действием хлороводородной и молочной кислот переходят в легкорастворимые комплексы, которые всасываются в кишечнике.

Соединения висмута относятся к почечным ядам. Они оказывают прямое токсическое действие на ткань почек, вызывают расстройство почечного кровотока на фоне нарушения общего кровообращения.

Профессиональные отравления или кожные заболевания при работе с висмутом и его соединениями неизвестны. Длительное применение (в течение примерно 2 лет) препаратов висмута с лечебной целью приводит к окрашиванию кожных покровов в серый цвет. Симптомы хронического воздействия проявляются как слабость, понижение аппетита, лихорадка, боли, напоминающие ревматические, дурно пахнущее дыхание, почечные расстройства, черная полоса на деснах, изменения костей.

Выводятся соединения висмута через почки, ЖКТ, потовые железы, что приводит к кожному зуду и дерматитам.

Для обнаружения висмута в минерализате рекомендованы атомно-абсорбционная спектрометрия и химический метод.

Атомно-абсорбционная спектрометрия. Обнаружение висмута проводится по характерной для него линии резонансного перехода при длине волны 223,1 нм.

Оценка метода. Предел обнаружения составляет 0,8 мкг висмута в 1 мл исследуемой пробы.

Химические методы основаны на использовании различных реакций комплексообразования.

Реакция с оксином (8-оксихинолином). К 10 мл минерализата прибавляют 0,5 г аскорбиновой кислоты, 0,5 г сегнетовой соли, 1 мл 10% раствора йодида калия. Появляется интенсивное желтое окрашивание. После этого по стенкам пробирки осторожно наслаивают 1-2 мл 2% раствора оксина в 2 М растворе хлороводородной кислоты. При наличии иона висмута на границе соприкосновения растворов наблюдают образование оранжево-желтого осадка. Если количество висмута в 100 г объекта менее 2 мг и осадок не образуется, к смеси добавляют 2-3 мл смеси ацетона и амилацетата (1:1). При встряхивании слой органического растворителя окрашивается в розово-оранжевый цвет.


Оценка. Предел обнаружения по этой реакции - 0,005 мкг висмута в исследуемом объеме минерализата. Реакции придается судебно-химическое значение при отрицательном результате.

Реакция с тиомочевиной. К 5 мл минерализата прибавляют 3-5 мл насыщенного водного раствора тиомочевины. При наличии ионов висмута наблюдают появление лимонно-желтого окрашивания.


Оценка. Реакция неспецифична, предел обнаружения - 0,005 мкг висмута в 1 мл исследуемого раствора. Реакции придается судебно-химическое значение при отрицательном результате.

Выделение ионов висмута из минерализата. В делительную воронку помещают 10 мл минерализата, добавляют 0,1 г комплексона III, 3 М раствор гидроксида натрия или калия до рН>12 (по универсальному индикатору), 2-3 мл 1% раствора диэтилдитио-карбамата натрия и 5 мл хлороформа. Смесь энергично встряхивают. Слой хлороформа отделяют и проводят реэкстракцию висмута в водную фазу путем встряхивания в течение 60 с с 2-3 мл 4 М раствора азотной кислоты. Водную фазу отделяют, промывают 0,5-1 мл хлороформа и используют для исследования.


Подтверждающие реакции на висмут с реэкстрактом.

Реакция с бруцином и бромидом калия. 1/3 реэкстракта выпаривают на предметном стекле досуха, добавляют каплю 2 М азотной кислоты, каплю насыщенного раствора бруцина в 10% растворе серной кислоты и каплю 5% раствора бромида калия. Сразу или через несколько минут образуются желто-зеленые кристаллы, собранные в сфероиды. При добавлении йодида калия цвет кристаллов изменяется на красный (в отличие от кадмия, который также образует характерные кристаллы с бруцином и бромидом калия, но не меняет цвета при добавлении йодида калия).

Оценка. Реакция неспецифична, предел обнаружения - 0,4 мкг висмута в 1 мл исследуемого раствора.

Реакция с хлоридом цезия и йодидом калия. 1/3 реэкстракта упаривают на предметном стекле досуха. На сухой остаток наносят 1-2 капли 3 М раствора хлороводородной кислоты и вводят с одной стороны капли кристаллик хлорида цезия, а с другой - кристаллик йодида калия. Сразу или через несколько минут образуются оранжево-красные кристаллы в виде шестиугольников и правильных шестилучевых звезд.

(N03)3 + 2CSCI + 5KI -> Cs2[Bil5]4 + 3KN03 + 2KCI

Оценка. Реакция неспецифична, предел обнаружения - 0,1 мкг висмута в 1 мл исследуемого раствора.

Реакция с тиомочевиной. Смешивают 1/3 реэкстракта с равным объемом насыщенного раствора тиомочевины. В присутствии висмута появляется лимонно-желтое окрашивание.

Оценка. Реакция не специфична, предел обнаружения - 0,005


Соединения серебра

Свойства и токсикологическое значение. Серебро - белый блестящий металл, в тонких пленках в проходящем свете имеет голубой цвет.

Серебро применяется в виде сплавов для изготовления ювелирных и бытовых изделий, лабораторной посуды, для покрытия радиодеталей, в серебряно-цинковых аккумуляторах, в составе припоев, как катализатор в неорганическом и органическом синтезе. Из неорганических соединений серебра в промышленности находят применение нитрат серебра - AgN03 и другие соли. Эти соединения используются в фото- и кинопромышленности, для окраски специальных стекол, в производстве зеркал, для опреснения морской воды, для изготовления элементов оптики для ИК-спектрометров, твердых электролитов и датчиков, применяются как компоненты люминофоров, в органическом синтезе и в других областях.

Препараты серебра применяют в медицинской практике. «Серебра нитрат» - это бесцветные прозрачные кристаллы в виде пластинок или белых кристаллических палочек без запаха. Легко растворим в воде, растворим в спирте. Под действием света темнеет. «Протаргол» - коричнево-желтый или коричневый легкий порошок без запаха, слабогорького, вяжущего вкуса, легко растворим в воде, нерастворим в спирте, эфире, хлороформе. Содержит 7,8-8,3% серебра. «Колларгол» - зеленовато- или синевато-черные мелкие пластинки с металлическим блеском. Растворим в воде с образованием коллоидного раствора. Содержит 70% серебра. Препараты серебра применяют как вяжущие и противовоспалительные средства для смазывания слизистых оболочек, эрозий, язв, при избыточных грануляциях, трещинах, остром конъюнктивите, трахоме, хроническом ларингите. «Ляписный карандаш» - белая или серовато-белая твердая палочка конической формы с закругленной вершиной. Содержит нитраты серебра и калия. Применяется для прижиганий.

Серебро и его препараты попадают в организм через дыхательные пути на производствах и через желудочно-кишечный тракт.

В организме серебро легко проникает в эритроциты и связывается с белками. Крепкие растворы нитрата серебра образуют с тканями рыхлый альбуминат, денатурируют белки слизистых оболочек пищеварительного аппарата, образуя ожоги, что приводит к острым болям и шоковому состоянию. В организме соединения серебра могут восстанавливаться до металлического серебра, а серосодержащие соединения серебра частично переходят в сульфид серебра. Смертельная доза растворимых соединений серебра - около 2 г. Выделяются соединения серебра через кишечник.

Острое отравление. Характерными признаками отравления являются гастроэнтерит, боль в желудке и кишечнике. Слизистая оболочка рта белого или серого цвета. Рвотные массы - белые, темнеющие на свету. Наблюдаются понос, головокружение, судороги, параличи нижних конечностей, в тяжелых случаях - шоковое состояние с резким снижением артериального давления, расстройством дыхания, анурией, судорогами, коматозным состоянием.

Хроническое отравление. При многолетней работе с серебром и его солями серебро откладывается в соединительной ткани, стенках капилляров разных органов, в том числе в почках, костном мозге, селезенке, коже, слизистых оболочках и придает им серо-зеленую или аспидную окраску, особенно на открытых местах тела (аргирия). УФ-лучи усиливают пигментацию. Первые признаки аргирии появляются через 2-4 года от начала работы с соединениями серебра. Характерно, что у больных аргирией отсутствуют инфекционные заболевания за счет дезинфицирующего действия серебра. При аргирии появляются жалобы на боль в правом подреберье, увеличение печени, ослабление остроты зрения в сумерки. При попадании соединений серебра через дыхательные пути отмечено появление першения в горле, кашля, насморка с кровью, слезотечения.

Обнаружение серебра в минерализате проводят с помощью атомно-абсорбционной спектрометрии и химическим методом.

Атомно-абсорбционная спектрометрия. Обнаружение серебра проводится по характерной для серебра линии резонансного перехода при длине волны 328,1 нм.

Оценка метода. Предел обнаружения серебра составляет 0,1 мкг в 1 мл исследуемой пробы.

Химический метод. Используется дробный метод, разработанный А.Н.Крыловой. В минерализате серебро находится в виде сульфата серебра.


Реакция с дитизоном (предварительная). К 1 мл минерализата прибавляют 1 мл 8 М раствора серной кислоты и 3 мл 0,01% раствора дитизона в хлороформе. При встряхивании хлороформный слой приобретает золотисто-желтое окрашивание.

Оценка. Предел обнаружения по данной реакции 0,04 мкг серебра в 1 мл минерализата. Реакция имеет судебно-химическое значение при отрицательном результате.

Выделение серебра из минерализата. Проводится при получении положительного результата реакции образования дитизоната серебра. К 90 мл минерализата прибавляют 0,5 г хлорида натрия, нагревают и образовавшийся белый осадок хлорида серебра отфильтровывают. Осадок исследуют на соединения серебра проверочными реакциями, а фильтрат - на все остальные катионы.

Осадок растворяют в определенном объеме 25% раствора аммиака.


Полученный аммиачный раствор анализируют следующими реакциями.

Реакция с дихроматом калия. К нескольким каплям исследуемого раствора добавляют 10% раствор уксусной кислоты до кислой реакции и вносят небольшой кристалл дихромата или хромата калия. Наблюдают появление красного или красно-бурого окрашивания и кристаллического осадка.


Дихромат серебра образует кристаллы в виде прямоугольных и>ромбических пластинок оранжево-красного цвета. Предел обнаружения - 0,15 мкг серебра в исследуемой пробе.4

Получение кристаллов аммиачного комплекса хлорида серебра. Полученный аммиачный раствор оставляют на предметном стекле. После удаления избытка аммиака под микроскопом наблюдают образование характерных мелких бесцветных кристаллов и сростки из тетраэдров и треугольников (рис. 88).

Оценка. Предел обнаружения составляет 0,05 мг серебра в исследуемой пробе.


Реакция с тиомочевиной и пикратом калия. Смешивают 2-3 капли полученного аммиачного раствора с насыщенными растворами тиомочевины и пикриновой кислоты. При наличии ионов серебра образуются кристаллы в виде желтых игл и розеток.


Оценка. Предел обнаружения составляет 0,03 мкг серебра в исследуемой пробе.

Реакция с хлоридом золота и хлоридом рубидия. 1-2 капли аммиачного раствора осадка выпаривают досуха. На остаток наносят каплю раствора, содержащего хлориды рубидия и золота. Через 5-10 мин наблюдают образование гранатово-красных призматических кристаллов и сростков из них.

AgCI • 3AuCI3 • 6RbCI

Оценка. Предел обнаружения составляет 0,1 мкг серебра в анализируемой пробе.4

Вопрос №7. Составить первичный гигиенический паспорт нового соединения толуол

1.Сырьё для производства бензола <#"555955.files/image025.gif">

Бесцветная подвижная летучая жидкость с резким запахом, проявляет слабое наркотическое действие. Показатель преломления <#"555955.files/image026.gif"> 0,8669. Смешивается со спиртами <#"555955.files/image027.gif">

Литература

1.Тарасов А.В, Смирнова Т.В. Основы токсикологии, Москва,2006.

.Паспорт безопасности вещества согласно регламенту REACh 1907/2006/EC +453 /2010/ EC.

. Токсикологическая химия по ред. Плетнёвой Т.В., Москва, «ГЗОТАР-МЕДИА”,2005

.Вергейчик Т.Х. Токсикологическая химия, Москва, МЕД-пресс информ, 2009


Не нашли материал для своей работы?
Поможем написать уникальную работу
Без плагиата!
Без нейросетей!