Растворимость щелочноземельных продуктов деления в кислых растворах уранилнитрата
ВЫПУСКНАЯ КВАЛИФИКАЦИОННАЯ РАБОТА
ИНЖЕНЕРА
Тема: Растворимость щелочноземельных
продуктов деления в кислых растворах уранилнитрата
СОДЕРЖАНИЕ
ВВЕДЕНИЕ
1 АНАЛИТИЧЕСКИЙ
ОБЗОР
1.1 Общие
свойства щелочноземельных элементов
1.2 Свойства
солей бария и стронция
1.2.1 Свойства
нитратов бария и стронция
1.3 Глубина
выгорания ядерного топлива и накопление продуктов деления
1.4 Общие
сведения о переработке ОЯТ АЭС и упаривании ВАО
1.5
Осадкообразование на стадии упаривания высокоактивного рафината Пурекс-процесса
1.6
Осадкообразование на стадии кристаллизации уранилнитрата
2 ЦЕЛИ И ЗАДАЧИ
РАБОТЫ
3
ЭКСПЕРИМЕНТАЛЬНАЯ ЧАСТЬ
ЗАКЛЮЧЕНИЕ И
ВЫВОДЫ
ПРИЛОЖЕНИЯ
ВВЕДЕНИЕ
В связи с развитием экономики в стране существенно увеличивается
энергопотребление. Атомная энергетика (АЭ) на сегодняшний день является
наиболее перспективной отраслью, которая позволит удовлетворить растущее
энергопотребление. Для увеличения мощности атомных электростанций (АЭС)
необходимо увеличение срока компании, это приводит к повышению выгорания
топлива. В связи с этим в облученном ядерном топливе (ОЯТ) возрастает
количество продуктов деления - элементов средней части периодической системы
(до 40 кг/т U и выше), в том числе таких поливалентных элементов как цирконий,
молибден, технеций, а также малых актинидов - в первую очередь, нептуния - что
сильно осложняет переработку ОЯТ. В частности, молибден и цирконий образуют
осадки на основе молибдата циркония [2], а барий и стронций склонны к
образованию осадков на основе нитратов этих элементов на различных стадиях
процесса.
1 АНАЛИТИЧЕСКИЙ ОБЗОР
.1 Общие свойства щелочноземельных элементов
Щелочноземельные металлы - химические элементы главной подгруппы II
группы периодической системы Д. И. Менделеева. Происхождение названия связано с
тем, что окислы этих металлов (по терминологии алхимиков - «земли»), сообщают
воде щелочную реакцию, кроме бериллия и магния, окислы, которых мало растворимы
в воде [3]. Химически щелочноземельные металлы очень активны щелочноземельные
металлы представляют собой серебристо-белые металлы. Общие свойства
щелочноземельных элементов представлены ниже в таблице 1 [4].
Бериллий и магний не являются типичными щелочноземельными металлами.
Кальций из них самый твердый. Стронций и особенно барий значительно мягче
кальция. Все щелочноземельные металлы пластичные, хорошо поддаются ковке, резке
и прокатке. Стронций имеет ГЦК - структуру; при температуре 488 оС
стронций претерпевает полиморфное превращение и кристаллизуется в
гексагональной структуре, он парамагнитен. Барий кристаллизуется в ОЦК
структуре. Са и Sr способны образовывать между собой непрерывный ряд твердых
растворов, а в системах Са-Ва и Sr-Ba появляются области расслаивания. В жидком
состоянии стронций смешивается с Ве, Hg, Ga, In, Sb, Bi, Tl, Al, Mg, Zn, Sn, Pb.
С последними четырьмя Sr образует интерметаллиды. Электропроводность
щелочноземельных металлов с повышением давления падает, вопреки обратному
процессу у остальных типичных металлов [5].
Из вышеперечисленных элементов главной подгруппы второй группы к щелочноземельным
продуктам деления относятся барий стронций. Свойства их солей представлены в
следующем разделе.
Таблица
1 - Общие свойства щелочноземельных элементов (степень окисления +2)
|
Атомный номер
|
Название
|
Атомная масса
|
Стбильные изотопы
|
Радиоактивные изотопы
|
Электронная конфигурация
|
r г/см3
|
T пл. °C
|
T кип. °C
|
Атомный радиус, нм
|
Электроотрицательность
|
Молярная теплоемкость,
Дж/(моль·К)
|
|
|
|
|
Нуклид, тип распада
|
Т1/2
|
|
|
|
|
|
|
|
|
4
|
Бериллий Be
|
9
|
9Be
|
7Be, e,b+g
|
53 сут.
|
[He] 2s2
|
1,86
|
1283
|
2970
|
0,11
|
1,5
|
16,4
|
|
11
|
Магний Mg
|
24
|
24Mg 26Mg
|
короткоживущие
|
[Ne]3s2
|
1,74
|
649,5
|
1120
|
0,16
|
1,2
|
24,9
|
|
19
|
Кальций Ca
|
40
|
42Ca, 43Ca, 44Ca,
|
45Ca, b
|
165
сут
|
[Ar] 4s2
|
1,54
|
850
|
1487
|
0,2
|
1,0
|
25,9
|
|
27
|
Стронций Sr
|
88
|
84Sr 86Sr 87Sr 88Sr
|
85Sr, b ,g 90Sr, b
|
65 сут. 22 г.
|
[Kr] 5s2
|
2,67
|
770
|
1367
|
0,21
|
1,0
|
26,8
|
|
55
|
Барий Ba
|
137
|
134Ва
138Ba,
|
133Ва, b ,g 140Ва, b ,g
|
10,5 г. 12,8 сут.
|
[Xe] 6s2
|
3,61
|
710
|
1637
|
0,25
|
0,9
|
28,1
|
|
87
|
Радий Ra
|
226
|
|
224Ra, a, 226Ra, a, g
|
3,6 сут. 1622 г.
|
[Rn] 7s2
|
~6
|
~700
|
1140
|
-
|
0,9
|
29,3
|
1.2 Свойства солей бария и стронция
Из обычно применяемых солей бария хорошо растворимы хлорид бария ВаCl2
и другие галогениды, нитрат Ba(NO3)2, сульфид BaS, хлорат
Ва(ClО3)2, трудно растворимы - сульфат бария BaSO4,
карбонат бария ВаСО3 и хромат ВаСrО4
Из солей стронция хорошо растворимы в воде галогениды (кроме фторида),
нитрат, ацетат, хлорат; трудно растворимы карбонат, сульфат, оксалат и фосфат.
Осаждение стронция в виде оксалата и сульфата используют для его аналитического
определения. Многие соли стронция образуют кристаллогидраты, содержащие от 1 до
6 молекул кристаллизационной воды. Сульфид SrS постепенно гидролизуется водой;
нитрид Sr3N2 (черные кристаллы) легко разлагается водой с
выделением NH3 и Sr(OH)2. Стронций хорошо растворяется в
жидком аммиаке, давая растворы темно-синего цвета [5,6]. Общие свойства солей
бария и стронция представлены в таблице 2.
.2.1 Свойства нитратов бария и стронция
Нитрат бария Ba(NO3)2 представляет собой бесцветные
кристаллы с кубической решеткой. Встречается в природе в виде минерала
нитробаритa. Он представляет собой бесцветные кристаллы с кубической решеткой.
Нитрат
стронция Sr(NO3)2 представляет собой бесцветные кристаллы
с кубической решеткой. Нитрат стронция мало токсичен. Смеси нитрата стронция с
порошками металлов склонны к спонтанному нагреву и могут самовоспламеняться,
особенно в присутствии влаги
Таблица
2 - Свойства наиболее распространенных солей бария и стронция
|
Химическая формула
|
Ba(NO3)2
|
BaC2O4
|
BaCl2
|
ВаF2
|
BaSO4
|
ВаСО3
|
Sr(NO3)2
|
SrSO4
|
SrF2
|
SrСО3
|
SrCl2
|
|
Молярная масса, г/моль
|
261,4
|
225,3
|
208,2
|
175,3
|
233,4
|
197,4
|
211,63
|
184
|
126
|
148
|
159
|
|
Плотность, г/см³
|
3,24
|
2,66
|
3,2
|
4,83
|
4,5
|
4,43
|
3,0
|
3,96
|
4,18
|
3,79
|
3,09
|
|
Температура плавления, °C
|
595
|
400
|
962
|
1280
|
1580
|
1555
|
645
|
2606
|
1473
|
1494
|
874
|
|
Теплоёмкость Дж/(моль·К)
|
151,6
|
73,2
|
49,4
|
71,21
|
102,1
|
85,35
|
149,91
|
-
|
-
|
82
|
75,6
|
|
Растворимость в воде, г/100
мл 20 оС 100 оС
|
9,2 34,2
|
малорастворимый
|
36,2
|
малорастворимый
|
практически не растворим
|
практически не растворим
|
70,7 100
|
практически не растворим
|
практически не растворим
|
практически не растворим
|
малорастворимый
|
1.3 Глубина выгорания ядерного топлива и накопление продуктов
деления
В процессе осуществления ядерных реакций при облучении ядерного топлива
потоком нейтронов в нем происходят сложные физические и химические изменения,
связанные с расхождением топливного материала, образованием и накоплением новых
химических элементов.
Необходимость прекращения работы реактора при данном количестве
делящегося вещества возникает задолго до его полного физического
израсходования. Практический предел облучения природного или слабообогащенного
урана соответствует глубине выгорания не более 10-30% исходного делящегося
изотопа - 235U [1],
а в ректорах на быстрых нейтронах - суммы изотопов плутония.
Выгорание ядерного топлива - это деление ядер урана или плутония с
освобождением энергии и образованием осколочных нуклидов. Накопление большого
количества продуктов деления приводит к нарушениям режима работы реактора. Так,
среди осколочных продуктов имеются нуклиды с большим сечением захвата нейтронов
(например, 135Xe, 149Sm), которые называют «нейтронными
ядами». Накопление этих продуктов может привести к резкому уменьшению плотности
потока нейтронов в активной зоне реактора и, в конечном итоге, к прерыванию
цепной ядерной реакции. Нарушения работы реактора могут наступить также
вследствие накопления в твэлах газообразных продуктов деления. При высокой
температуре внутри реактора накопление их приводит к резкому повышению давления
внутри твэлов, к распуханию и разрушению оболочек твэлов. Вследствие этого
реактор не может работать на одной загрузке до полного выгорания топлива.
После определенного периода времени, называемого кампанией реактора,
первоначально загруженное ядерное топливо выгружают из реактора и заменяют
свежим. Кампания реактора зависит от конструкции реактора и от вида ядерного
топлива. В современных энергетических реакторах на тепловых нейтронах она
составляет 3-6 лет, в реакторах на быстрых нейтронах - меньше года. Перегружать
топливо можно кампаниями, например 1 раз в год (обычно летом или в новогодние
каникулы), в ряде конструкций без остановки реактора, заменяя лишь часть
выгоревшего ядерного топлива. Отработанное топливо направляется на химическую
переработку, попутно выделяя содержащиеся в нем остаточные количества делящихся
материалов с их очисткой от продуктов деления. Очищенные делящиеся материалы
можно использовать для изготовления новых твэлов, однако зачастую для другого
типа реакторов.
Для технологии переработки ОЯТ чрезвычайно важны характеристики
выгружаемого из реактора топлива: химический и радиохимический состав, содержание
делящихся материалов, уровень радиоактивности. Эти характеристики определяются
типом реактора и его мощностью, глубиной выгорания топлива в нем, коэффициентом
воспроизводства вторичных делящихся материалов, временем выдержки ОЯТ после
выгрузки его из реактора [7].
Таблица
3 - Характеристика основных продуктов деления ОЯТ ВВЭР-1000
|
Продукты деления
|
Период полураспада
|
Вид излучения
|
Примечание
|
|
85Kr
|
10,6 г.
|
β -
|
Улетучивается при
растворении ядерного топлива
|
|
90Sr
|
28 г.
|
β -
|
Сильнотоксичен
|
|
90Y
|
64 ч.
|
β -
|
Дочерний продукт распада Sr-90
|
|
91Y
|
58 сут.
|
β -
|
-
|
|
95Zr
|
63,3 сут.
|
β -,γ
|
Затрудняет химическую
переработку топлива
|
|
95Nb
|
35 сут.
|
β -,γ
|
То же. Дочерний продукт
распада Zr-95
|
|
99Mo
|
67 ч.
|
β -,γ
|
-
|
|
99Tc
|
2,1∙106 г.
|
β -
|
Неизвестен в природе
|
|
103Ru
|
41 сут.
|
β -,γ
|
Затрудняет переработку
топлива
|
|
106Ru
|
1 г.
|
β -
|
То же
|
|
127Te
|
105 сут.
|
β -
|
-
|
|
129I
|
1,6∙107
г.
|
|
Улетучивается при
растворении твэлов
|
|
131I
|
8,06 сут.
|
β -,γ
|
-
|
|
133Xe
|
5,27 сут.
|
β -,γ
|
Улетучивается при
растворении твэлов
|
|
135I
|
6,7 ч
|
β -,γ
|
То же
|
|
137Cs
|
30 г.
|
β -
|
-
|
|
140Ba
|
12,8 сут.
|
β -,γ
|
-
|
|
140La
|
40,2 ч.
|
β -,γ
|
-
|
|
143Pr
|
13,7 сут.
|
|
-
|
|
144Ce
|
290 сут.
|
β -,γ
|
-
|
|
147Pm
|
2,52 г.
|
β -
|
Неизвестен в природе
|
|
151Sm
|
100 г.
|
β -
|
Сильный поглотитель
нейтронов
|
|
155Eu
|
1,9 г.
|
β -,γ
|
То же
|
С развитием атомной энергетики выгорание ОЯТ увеличилось до 43-51 ГВт·сут/T
U и продолжает увеличиваться с развитием новых поколений реакторов. При этом
содержание Pu возросло в 20 раз, а «малых актинидов» в 1000 раз. Наряду с этим,
содержание продуктов деления выросло почти в 100 раз (таблица 4), причем
мольное содержание некоторых стало превышать таковое для Pu. Исключение
составил лишь Тс, поскольку он активно мешает выделению Pu. Также в нем резко
увеличивается количество продуктов деления, в число которых входят Ba, Sr, а
также Zr и Mo.
Таблица
4 - Влияние выгорания ОЯТ на содержание актинидов и основных продуктов деления
|
Элемент
|
Содержание элементов при
выгорании (ГВт·сут/т U)
|
|
0,5
|
40
|
0,5
|
40
|
|
Грамм на 1 т U
|
Моль на 1 т U (4,2 кмоль U)
|
|
Np
|
0,5
|
700
|
0,002
|
3,0
|
|
Pu
|
500
|
9900
|
2,1
|
41
|
|
Am
|
0,5
|
480
|
0,002
|
2,0
|
|
Sr
|
18
|
1440
|
0,20
|
16
|
|
Zr
|
66
|
5240
|
0,71
|
58
|
|
Mo
|
53
|
4260
|
0,56
|
45
|
|
Tc
|
16
|
1090
|
0,16
|
|
Cs
|
68
|
5120
|
0,50
|
40
|
|
Ba
|
31
|
2460
|
0,22
|
18
|
|
РЗЭ + Y
|
220
|
~16000
|
1,3
|
104
|
1.4 Общие сведения о переработке ОЯТ АЭС и упаривании ВАО
Общая схема основных операций по переработке ОЯТ представлена на рисунке
1 на примере заводов UP-2,3
(Франция) [8]. Каждая стадия переработки ОЯТ включает в себя ряд весьма сложных
процессов. Технология регенерации ОЯТ начинается с транспортировки
тепловыделяющих сборок (ТВС) от хранилищ АЭС на радиохимические
перерабатывающие предприятия. Начальной стадией их переработки является обычно
механическая разделка ТВС и удаление оболочек механическим или химическим
путём. Промышленными методами переработки ОЯТ в настоящее время являются
гидрометаллургические методы, среди которых наиболее распространенным в
настоящее время является метод жидкостной экстракции органическими
растворителями - экстрагентами. В ряде случаев при промышленной переработке ОЯТ
экстракционными методами дополнительно используют ионообменные и осадительные
процессы.
Пурекс-процесс (PUREX-process = Plutonium-Uranium Ext-raction)
- современная экстракционная технология переработки ОЯТ АЭС с использованием
30% ТБФ зародилась более 50 лет назад и берет свое начало от переработки
облученного природного урана в военных целях в США (в 1954 г.) [9].
Рисунок 1. Упрощенная блок-схема переработки облученного топлива PWR на
заводах UP-2 и UP-3 (Франция)
Вспомогательные операции Пурекс-процесса включают не только головные
операции, но и обработку отходов для возвращения в процесс азотной кислоты и
очистку органической фазы для возвращения в процесс экстрагента.
Продукты деления после растворения ОЯТ в азотной кислоте находятся в нем
в виде нитратов, которые при экстракционной переработке такого раствора по
схеме Пурекс-процесса переходят в высокоактивный рафинат. Поэтому возвращение в
оборот кислоты в Пурекс-процессе проводится с помощью упаривания и
ректификации, поскольку азотная кислота летуча. Целью возвращения кислоты в
оборот из экстракционных отходов, в первую очередь, является экономия
пространства в хранилище отходов, и в меньшей степени экономия потребления
азотной кислоты и гидроксида натрия. Степень регенерации кислоты ограничивается
максимально возможной ее концентрацией, которая может быть достигнута в
выпарных аппаратах в присутствии нитратных солей вводимых реагентов, обладающих
ограниченной растворимостью, в первую нитрата натрия.
Базовая технологическая схема регенерации кислоты (рисунок 2) включала в
себя двойную перегонку кислоты из рафината первого цикла экстракции путем его
упаривания в сочетании с простой перегонкой кислоты из рафинатов вторых
экстракционных циклов. Таким образом, большая часть кислоты (85-95%) отгонялась
и далее регенерировалась в виде 50-60% азотной кислоты стандартной
ректификацией.
Полученная кислота возвращается в аппарат растворитель и в промывные
потоки. Высокоактивный концентрат (6-10 моль/л HNO3) нейтрализовался
и отправлялся в подземное хранилище, где в дальнейшем возможно
самоконцентрирование. Степень очистки через систему двойной перегонки
достаточна для того, чтобы использовать регенерированную азотную кислоту во
всех потоках процесса за исключением промывных потоков последнего цикла, однако
вторичный пар выпарки необходимо промывать на тарелках потоком флегмы, как это
было сделано на ПО «Маяк» [10].
Степень коррозии поверхностей теплообмена в оборудовании при контакте с
концентрированной кислотой оказалась достаточно велика. Поэтому упаривание
кислых технологических ВАО в вышеупомянутой схеме было на практике срочно
заменено нейтрализацией с последующим упариванием щелочного декантата. Задачу
разрешить не удалось даже при использовании высоколегированной нержавеющей
стали; она была решена лишь много позже на ПО «Маяк» [10], в конечном счете,
путем установки выпарного аппарата из титана.
Альтернативной технологией упаривания ВАО с регенерацией азотной кислоты
является схема упаривания с денитрацией (рисунок 3), которая используется на
заводах Японии и Франции [11]. Причиной, по которой приходится прибегать к
столь сложной процедуре является ограниченная растворимость нитратов
щелочноземельных продуктов деления - бария и стронция.
1.5 Осадкообразование на стадии упаривания высокоактивного
рафината Пурекс-процесса.
При упаривании высокоактивного рафината Пурекс-процесса возникают
трудности в связи с возможностью выпадения нитратов бария и стронция в осадок с
повышением, как их концентрации, так и кислотности кубового остатка.
Образование осадков в процессах выпарки может повлечь весьма нежелательные
последствия: нарушение циркуляции, образования плотных пленок на греющих
поверхностях, ухудшающих теплопередачу в греющей камере и т.п.
Таким образом, в настоящее время, при современном выгорании 40 ГВт·сут/т,
остро ставится вопрос, как можно предотвратить осадкообразование нитратов бария
и стронция при кислотном упаривании, какова должна быть концентрация исходного
раствора и т.д. Для разрешения этих вопросов необходимо подбирать оптимальные
условия, сохраняя при этом непрерывность процесса и не удлиняя технологическую
цепь.
Рисунок 2 - Технологическая схема концентрирования хвостовых растворов и
регенерации азотной кислоты для завода в Ханфорде и на заводе РТ-1
Рисунок 3 - Схема упаривания ВАО с денитрацией и регенерации азотной
кислоты
Следует отметить, что при упаривании высокоактивного рафината с
одновременной денитрацией можно достичь более низкой кислотности кубового
раствора (~2 моль/л), где будет исключена кристаллизация нитрата бария, но
технологическая схема узла получается существенно более громоздкой, а процесс
потенциально взрывоопасным из-за использования муравьиной кислоты для
денитрации. При этом резко возрастает образование осадков на основе молибдата
циркония [12].
Для оценки опасности осадкообразования следует иметь объективную
информацию по растворимости нитратов щелочноземельных продуктов деления в
зависимости от концентрации HNO3, а также нитратов продуктов деления
(ПД). Ранее в литературе были опубликованы данные по растворимости нитратов
бария и стронция, но эти данные являются неполными и представлены в неудобном
для сопоставления виде [13, 14] (см. таблицы 5 - 7).
Таблица
5 - Температурная зависимость растворимости нитратов бария и стронцияв воде
(г/100г H2O)
|
Tемпература,oC
|
0
|
10
|
20
|
30
|
40
|
50
|
60
|
70
|
80
|
90
|
100
|
|
Ba(NO3)2,
г/100г H2O
|
5,0
|
7,0
|
9,2
|
11
|
14
|
17
|
20
|
24
|
27
|
30
|
34
|
|
Sr(NO3)2, г/100г H2O
|
40
|
-
|
70
|
88
|
90
|
-
|
93
|
96
|
98
|
100
|
-
|
Таблица 6 - Температурная зависимость растворимости нитрата бария в
тройной системе HNO3 - Ba(NO3)2 - H2O
|
t, oC
|
HNO3, %
|
Ba(NO3)2,
%
|
t, oC
|
HNO3, %
|
Ba(NO3)2,
%
|
|
0
|
0,00
|
59
|
25
|
57
|
0,01
|
|
0,51
|
61
|
|
0,01
|
0,01
|
|
2,5
|
63
|
|
0,01
|
0,01
|
|
25
|
0,00
|
9,4
|
|
0,01
|
0,01
|
|
0,52
|
8,4
|
|
64
|
0,00
|
|
1,0
|
7,7
|
30
|
0,00
|
10
|
|
2,2
|
6,0
|
|
0,77
|
8,9
|
|
3,3
|
4,7
|
|
2,9
|
5,9
|
|
5,3
|
3,2
|
|
4,4
|
4,4
|
|
7,9
|
2,0
|
|
5,9
|
3,3
|
|
10
|
1,5
|
|
7,4
|
2,6
|
|
16
|
0,80
|
|
8,8
|
2,0
|
|
20
|
0,49
|
|
12
|
1,4
|
|
25
|
0,35
|
|
12
|
0,79
|
|
30
|
0,26
|
|
22
|
0,50
|
|
33
|
0,20
|
|
22
|
0,51
|
|
40
|
0,15
|
|
27
|
0,33
|
Таблица 7 - Температурная зависимость растворимости нитрата стронция в
тройной системе HNO3 - Sr(NO3)2 - H2O
|
t, oC
|
HNO3, %
|
Sr(NO3)2, %
|
t, oC
|
HNO3, %
|
Sr(NO3)2, %
|
|
20
|
0,00
|
41
|
25
|
12
|
27
|
|
8,8
|
28
|
|
13
|
25
|
|
13
|
21
|
|
21
|
14
|
|
18
|
17
|
|
25
|
10
|
|
19
|
15
|
|
32
|
5,0
|
|
21
|
14
|
|
33
|
4,5
|
|
21
|
14
|
|
3,4
|
3,4
|
|
25
|
9,4
|
|
2,2
|
2,2
|
|
27
|
8,2
|
|
1,4
|
1,4
|
|
32
|
4,4
|
50
|
0,00
|
35
|
|
39
|
2,0
|
|
5,0
|
38
|
|
25
|
0,00
|
47
|
|
12
|
40
|
|
1,9
|
41
|
|
23
|
14
|
|
4,4
|
38
|
|
33
|
6,0
|
|
6,3
|
35
|
|
41
|
2,4
|
|
7,4
|
33
|
|
46
|
1,2
|
|
10
|
29
|
|
63
|
0,07
|
В работе [15] представлены систематические данные по растворимости
нитратов бария и стронция, в том числе при их совместном присутствии, в
различных азотнокислых солевых системах и при различной температуре, при-чем
они были пересчитаны в таком виде, в котором их можно сопоставлять между собой.
Показано, что литературные и экспериментальные данные при перекрывании
удовлетворительно совпадают между собой. Такие данные по остаточному содержанию
нитратов бария и стронция в растворах азотной кислоты при различной температуре
представлены в таблице 8.
Таблица 8 - Сводные данные по растворимости Ba(NO3)2 и Sr(NO3)2 в растворах HNO3 при различной
температуре
|
HNO3,
моль/л
|
Растворимость солей
(моль/л) в растворах HNO3 при температуре (оС)
|
|
Ba(NO3)2
|
Sr(NO3)2
|
|
25
|
50
|
90
|
25
|
50
|
90
|
|
0
|
0,39
|
0,62
|
1,07
|
3,40
|
3,47*
|
3,50
|
|
0,5
|
0,20
|
0,35
|
0,75
|
2,75
|
3,15
|
3,25
|
|
1
|
0,11
|
0,22
|
0,48
|
2,50
|
2,82
|
2,99
|
|
2
|
0,05
|
0,1
|
0,24
|
1,92
|
2,2
|
2,40
|
|
3
|
0,036
|
0,051
|
0,102
|
1,45
|
1,71
|
1,88
|
|
5
|
0,010
|
0,024
|
0,044
|
0,69
|
0,81
|
0,95
|
|
7
|
0,008
|
0,013
|
0,020
|
0,22
|
0,26
|
0,36
|
|
8
|
0,007
|
0,009
|
-
|
0,085
|
0,20
|
0,18
|
|
9
|
0,005
|
0,0062
|
0,011
|
-
|
0,10
|
0,11
|
|
12
|
0,0007
|
0,0010
|
0,0040
|
0,007
|
0,0145
|
0,025
|
|
14
|
0,0002
|
0,00043
|
0,00081
|
-
|
0,0046
|
0,005
|
|
16
|
-
|
0,00016
|
0,00026
|
-
|
-
|
0,001
|
Были проведены также исследования по соосаждению нитрата стронция с
избытком бария в водной среде. В результате было выявлено, что с ростом
кислотности соосаждение нитрата стронция с избытком бария быстро убывает вплоть
до полного отсутствия такового, однако при концентрации азотной кислоты выше 7
моль/л оно, судя по экспериментальным данным, возникает вновь. Напротив, в
области средних кислотностей наблюдается соосаждение нитрата бария с нитратом
стронция, причем нитрат стронция брали с избытком 15% сверх растворимости в
данных условиях при переменном содержании нитрата бария. Как
показали эти исследования, концентрация нитрата стронция не опускается ниже
уровня его растворимости, и, судя по убыли его из раствора, в осадок переходит
монотонный ряд его твердых растворов, где избыток Sr над Ba тем выше, чем ниже
концентрация кислоты и исходная концентрация Ba(NO3)2. Характерно, что при
концентрации азотной кислоты 7 моль/л может происходить инверсия состава с
преобладанием в осадке Ba над
Sr, что позволяет высказать
предположение о схожести форм нитратов Ba и Sr в области высокой кислотности.
Для оценки взаимного влияния азотной кислоты и нитратных солей на
осаждение нитрата бария были изучены равновесия в четырехкомпонентных системах
NH4NO3 - HNO3 - Ba(NO3)2 - H2O и La(NO3)3 - HNO3 - Ba(NO3)2 - H2O.
Было доказано, что зависимости, полученные при постоянной концентрации нитрата
аммония и возрастающей концентрации азотной кислоты характеризуются снижением
растворимости Ba(NO3)2 и располагаются симбатно основной
кислотной зависимости, начинаясь при соответствующей концентрации нитрата
аммония с нулевой кислотностью.
1.6 Осадкообразование на стадии кристаллизации уранилнитрата.
Кристаллизация уранилнитрата после растворения ОЯТ может быть
использована как часть гидрометаллургической переработки ОЯТ реакторов на
быстрых нейтронах. Этот процесс переработки получил название NEXT-процесс (New Extraction System for TRU Recovery (рисунок 4) [16]
Рисунок 4 - Принципиальная схема NEXT-процесса
Эта технология основана на изменении растворимости
уранилнитрата в зависимости от температуры и кислотности раствора, что
позволяет извлечь большую часть урана в виде кристаллов гексагидрата
уранилнитрата из высококонцентрированного раствора ОЯТ до экстракционной
переработки. В ходе процесса выделяется порядка 70-80% урана.[17].
Было изучено поведение некоторых продуктов деления, таких как
Cs, Ba и т.д., в процессе
кристаллизации урана. Так же был разработан процесс очистки кристаллов
гексагидрата уранилнитрата [18]. В ходе кристаллизации Ba и Cs образуют твердые формы,
которые выпадают в осадок совместно с кристаллизацией уранилнитрата, как
стронций примущественно остается в растворе. Цезий осаждается в виде Cs2Pu(NO3)6, а барий
осаждадется в виде Ba(NO3)2. Такие осадки не могут быть
отделены простой промывкой или фильтрацией, однако их отделение возможно
пользуясь разницей в температурах плавления уранилнитрата и образующихся
твердых форм с последующим отделением расплава гексагидрата уранилнитрата
фильтрацией.
Для построения такого процесса необходимо иметь систематические даные по
растворимости щелочноземельных продуктов деления
в кислых растворах уранилнитрата, однако ранее опубликованные в литературе
данные являются неполными и представлены в неудобном для сопоставления виде и
требуют преобразования. Эти данные представлены в таблице 9 [14].
Таблица 9 - Литературные данные по растворимости Ba(NO3)2
- UO2(NO3)2
|
t, oC
|
UO2(NO3)2,
%
|
Ba(NO3)2,
%
|
ρ р-ра, кг/м3
|
t, oC
|
UO2(NO3)2,
%
|
Ba(NO3)2,
%
|
ρ
р-ра, кг/м3
|
|
25
|
0,00
|
9,2
|
1080
|
50
|
0,00
|
14
|
1110
|
|
5,2
|
1110
|
|
7,9
|
9,3
|
1150
|
|
8,2
|
4,8
|
1120
|
|
14
|
6,6
|
1190
|
|
11
|
3,6
|
1140
|
|
21
|
3,9
|
1250
|
|
14
|
3,1
|
1160
|
|
31
|
1,7
|
1350
|
|
17
|
2,4
|
1180
|
|
39
|
0,93
|
1460
|
|
19
|
2,1
|
1200
|
|
48
|
0,43
|
1610
|
|
21
|
1,6
|
1220
|
|
54
|
0,38
|
1730
|
|
23
|
1,5
|
1250
|
|
67
|
0,00
|
2060
|
|
31
|
0,74
|
1330
|
|
|
|
|
|
33
|
0,65
|
1370
|
|
|
|
|
|
40
|
0,40
|
1470
|
|
|
|
|
|
49
|
0,25
|
1630
|
|
|
|
|
|
56
|
0,00
|
1770
|
|
|
|
|
С развитием технологии переработки ОЯТ вопрос нитратного
осадкообразования на стадии растворения ОЯТ становится все более актуальным, в связи с этим появилась необходимость в проведении
работы по получению систематических данных по растворимости щелочноземельных
продуктов деления в кислых растворах уранилнитрата. Такая база данных позволит
нам более детально разобраться в вопросе осадкообразования и подбирать
наилучшие условия для проведения процесса.
2 ЦЕЛИ И ЗАДАЧИ РАБОТЫ
Задачей нашей работы являлось получение систематических
данных по растворимости нитратов щелочноземельных продуктов деления в кислых
растворах уранилнитрата при различной температуре.
3 ЭКСПЕРИМЕНТАЛЬНАЯ ЧАСТЬ
Методика эксперимента.
Экспериментальная часть выполнялась в НПО "Радиевый институт им.
В.Г. Хлопина" в Отделении прикладной радиохимии.
В работе использовались реактивы: Ba(NO3)2 марки «осч», Sr(NO3)2 марки «чда», UO2 марки «ч», HNO3 марки
«осч», CCl4 марки «осч», ТБФ марки «ч».
Так как для работы был необходим UO2(NO3)2, то предварительным
этапом работы было его приготовление. Для приготовления уранилнитрата расчетное
количество порошка UO2 растворяли в 8 моль/л HNO3:
2UO2 + 8НNO3= 2UO2(NO3)2 + 4NO2
+ 4H2O
Приготовление проводилось следующим образом: диоксид урана помещали в
термостойкий стакан, объемом 1 литр, с небольшим добавлением дистиллированной
воды. Затем, нагревая и при постоянном перемешивании, добавляли небольшими
порциями НNO3 до полного растворения UO2 в НNO3.
Получившийся раствор упаривали для отгонки НNO3 до образования
кристаллов UO2(NO3)2 6Н2О, после
чего отделяли маточный раствор, а кристаллы UO2(NO3)2
6Н2О помещали в эксикатор над щелочью на 20 часов с целью их
высушивания.
Остаточную концентрацию азотной кислоты в уранилнитрате определяли
потенциометрическим титрованием раствором 0,1 моль/л NaOH в среде 20 г/л NaF на
pH-метре-милливольтметре марки pH-150МА со стеклянным электродом ЭСК - 10603.
Концентрацию урана определяли по методу Сахарова [20]:
Затем приготовили исходные растворы 3,5 моль/л Sr(NO3)2 и 0,36 моль/л Ba(NO3)2.
Рабочие растворы приготавливали двумя способами в пробирках на 15 мл,
причем состав рабочего раствора при необходимости корректировали добавлением
воды. Первый вариант: в приготовленные рабочие растворы вводили точную навеску
нитратов бария и стронция, превышающую их растворимость в воде при комнатной
температуре, эти растворы помещались на кипящую водяную баню и выдерживались
при периодическом перемешивании до достижения полной гомогенности растворов.
Второй вариант в нагретый на водяной бане рабочий раствор добавляли горячие
растворы Sr(NO3)2 или Ba(NO3)2,
после чего пробирки переносились на термостатирование при соответствующей
температуре (50 и 95 °С). Схема установки представлена на рисунке 5. За время
термостатирования (порядка 6 часов), при периодическом перемешивании выпадали
осадки нитратов бария или стронция.
На заключительном этапе работы исследовали растворимость указанных
элементов в изомолярных системах. Опыты были поставлены по методике, описанной
выше, разница состояла лишь в приготовлении рабочих растворов, которые получали
смешением растворов концентрированных кислотных и солевых растворов с
получением рабочих растворов с фиксированной кислотностью. Корректировку
составов растворов проводили добавлением воды.
Остаточную концентрацию Ba и Sr в растворах уранилнитрата определяли по
методу ICP AES на приборе Varian 725 (производство Австралия) после отделения
урана экстракцией в 30% ТБФ до остаточного содержания < 1 г/л U.
Рисунок 5 - Установка для проведения опыта по определению растворимостей
нитратов бария и стронция
Полученные по вышеописанной методике экспериментальные данные приведены в
следующем разделе в виде графиков зависимости молярных растворимостей от
суммарной концентрации нитрат-ионов в системе при фиксированных температурах.
4 Результаты и обсуждение
Предварительным, но необходимым этапом работы являлась обработка
имеющихся литературных данных для получения базовой информации по растворимости
в солевых системах Ba(Sr)(NO3)2 - Me(NO3)x, в
том числе с UO2(NO3)2, данные о которых также
содержатся в справочной литературе [14]. Эти данные представлены в таблице 9.
При обработке литературных данных, с целью их сопоставления с
экспериментальными, отсутствующие данные по плотности растворов восполняли
расчетом по формуле 1
ρ= ρо+ρΣАi·аi
- [ρΣBi2/3·аi]3/2 , (1)
где ρ-плотность раствора
а - концентрация соли или кислоты в % массы;
А= (М- ρо φ*)/100М ;
В= ρоК/1000[10/M]3/2
[8]
Обработанные литературные данные представлены в таблице 10 и на рисунке
6.
Таблица 10 - Преобразованные литературные данные
|
Состав растворов при
температуре
|
|
toC
|
UO2(NO3)2
моль/л
|
U г/л
|
Ba(NO3)2 моль/л
|
Σ
NO3-моль/л
|
toC
|
UO2(NO3)2
моль/л
|
U г/л
|
Ba(NO3)2 моль/л
|
Σ
NO3-моль/л
|
|
25
|
0,000
|
0,00
|
0,38
|
0,76
|
50
|
0,00
|
0,00
|
0,62
|
1,2
|
|
0,14
|
35
|
0,26
|
0,81
|
|
0,23
|
55
|
0,41
|
1,3
|
|
0,23
|
56
|
0,20
|
0,88
|
|
0,43
|
102
|
0,30
|
1,5
|
|
0,33
|
79
|
0,16
|
0,98
|
|
0,68
|
160
|
0,19
|
1,7
|
|
0,41
|
98
|
0,13
|
1,09
|
|
1,08
|
257
|
0,088
|
2,3
|
|
0,50
|
119
|
0,10
|
1,2
|
|
1,5
|
348
|
0,052
|
3,0
|
|
0,59
|
140
|
0,093
|
1,4
|
|
1,9
|
469
|
0,027
|
4,0
|
|
0,65
|
155
|
0,075
|
1,5
|
|
2,4
|
567
|
0,025
|
4,8
|
|
0,74
|
175
|
0,069
|
1,6
|
|
3,5
|
839
|
0,000
|
7,1
|
|
1,04
|
247
|
0,038
|
2,2
|
|
|
|
|
|
|
1,1
|
274
|
0,034
|
2,4
|
|
|
|
|
|
|
1,5
|
356
|
0,022
|
3,0
|
|
|
|
|
|
|
2,0
|
489
|
0,016
|
4,1
|
|
|
|
|
|
|
2,5
|
600
|
0,000
|
5,0
|
|
|
|
|
|
1 - 25 оС, 2 - 50 оС
Рисунок 6 - Обработанные литературные данные растворимости нитрата бария
в растворе уранилнитрата
Первым этапом данной работы являлось получение систематических данных по
растворимости нитрата бария в растворах уранилнитрата при различных
температурах (25; 50; 95 оС). Эксперименты проводили по описанной
выше методике. Полученные экспериментальные данные были сопоставлены с
имеющимися литературными данными (рисунок 7). Характер кривых при различных температурах
одинаков: растворимость нитрата бария в растворах уранилнитрата плавно
снижается с увеличением суммарной концентрации нитрат-иона. Видно, что литературные и
экспериментальные данные при перекрывании удовлетворительно совпадают между
собой в пределах погрешности измерений. По данным рисунка отчетливо видно
влияние температуры - с ростом температуры растворимость нитрата бария в
уранилнитрате увеличивается.
Также было проведено сравнение растворимости нитрата бария в
уранилнитрате с его растворимостью в азотной кислоте (рисунок 8А). При этом
данные по растворимости нитрата бария в азотной кислоте в процессе работы были
уточнены. Было выявлено, что растворимость нитрата бария в системах с
уранилнитратом в пределах его растворимости при температурах 25 и 50 оС
совпадает с таковой в азотной кислоте при равной концентрации нитрат-иона.
Для анализа полученных результатов представим общие данные растворимости
нитрата бария в растворах UO2(NO3)2 и в HNO3 для различных температур (25; 50; 95 оС),
в логарифмических координатах (рисунок 8Б). На рисунке видно, что на кривой
растворимости Ba(NO3)2 в UO2(NO3)2, как
и на кривой растворимости Ba(NO3)2 в HNO3 [10], имеется
характерный излом с резким увеличением отрицательного угла наклона от -2 до -6,
однако это изменение пришлось на более низкую концентрацию нитрат-иона, чем в
азотной кислоте, что связано, по-видимому, с более низкой концентрацией воды в
растворе в случае уранилнитрата.
Экспериментальные данные: 1 - 95 оС; 2 - 50 оС; 3
- 25 оС
Литературные данные: 4 - 50 оС; 5 - 25 оС
Рисунок 7 - Растворимость нитрата Ва в растворах UO2(NO3)2
для различных температур и ее сравнение с литературной.
Растворимость в растворах UO2(NO3)2: 1 -
95 оС; 2 - 50 оС; 3 - 25 оС
Растворимость в растворах НNO3: 4 - 95 оС; 5 - 50 оС;6
- 25 оС
- углы наклона кривых
Рисунок 8 - Растворимость нитрата Ва в растворах UO2(NO3)2
для различных температур и ее сравнение с таковой в растворах HNO3.
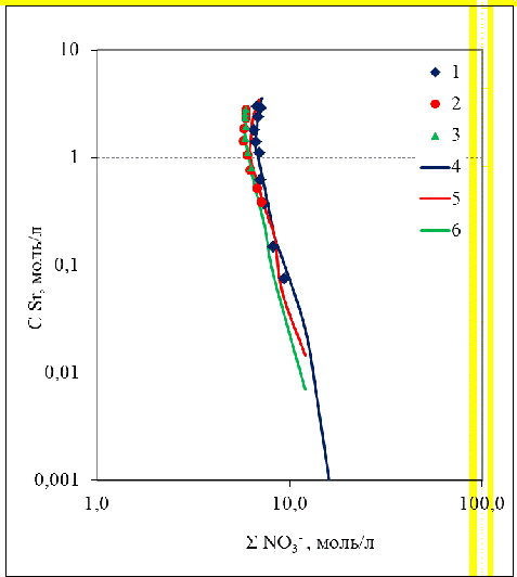
Следующим этапом работы было получение аналогичных данных по
растворимости нитрата стронция в растворах уранилнитрата при различных
температурах (25; 50; 95 оС). Полученные данные были сопоставлены с
имеющимися данными по растворимости нитрата стронция в кислоте (рисунок 9). Из
этих данных следует, что характер кривых при различных температурах одинаков,
однако характер кривой для стронция оказывается различным на различных ее
участках. В начальной части для Sr наблюдается обратный ход кривой, так что
одной и той же концентрации суммарного нитрат-иона соответствует два разных
значения растворимости в зависимости от содержания соли и азотной кислоты. На
остальном участке зависимости тангенс угла наклона в системе Sr(NO3)2
- HNO3 - H2O равен - 6 для всего прямолинейного участка
логарифмической зависимости. Это, по-видимому, свидетельствует о том, что
химизм процесса кристаллизации для нитратов бария и стронция в области средней
концентрации азотной кислоты различен [15].
В работе была проведена также серия экспериментов по совместному влиянию
UO2(NO3)2 и HNO3 на растворимость
Ba(NO3)2 и Sr(NO3)2 при температуре
90 оС (таблица 11). Данные показали, что совокупное влияние
уранилнитрата и азотной кислоты на остаточное содержание нитрата бария в
растворе при высоком суммарном содержании нитрат-иона не является аддитивным,
тогда как для нитрата стронция оно, по-видимому, отсутствует в пределах
точности эксперимента. При умеренной суммарной концентрации нитрат иона эффект
отсутствует и для нитрата бария.
Растворимость в растворах UO2(NO3)2: 1 -
25 оС; 2 - 50 оС; 3 - 95 оС
Растворимость в растворах НNO3: 4 - 25 оС; 5 - 50 оС;
6 - 95 оС
- углы наклона кривых
Рисунок 9 - Растворимость нитрата стронция в растворах UO2(NO3)2
для различных температур и ее сравнение с таковой в растворах HNO3.
Таблица 11 - Совместное влияние UO2(NO3)2
и HNO3 на растворимость Ba(NO3)2 и Sr(NO3)2 при температуре 90 оС.
|
U, г\л
|
Концентрация компонентов, в
растворе, моль/л
|
U, г\л
|
Концентрация компонентов, в
растворе, моль/л
|
|
U
|
HNO3
|
ΣNO3-
|
Ba
|
|
U
|
HNO3
|
ΣNO3-
|
Sr
|
|
0
|
0
|
5,1
|
5,1
|
0,044
|
-
|
-
|
-
|
|
|
|
50
|
0,21
|
4,6
|
5,0
|
0,050
|
|
|
|
|
|
|
100
|
0,42
|
4,2
|
5,1
|
0,043
|
|
|
|
|
|
|
200
|
0,84
|
3,3
|
5,1
|
0,053
|
-
|
-
|
-
|
|
|
|
300
|
1,3
|
2,5
|
5,1
|
0,052
|
|
|
|
|
|
|
400
|
1,7
|
1,65
|
5,1
|
0,049
|
-
|
-
|
-
|
|
|
|
570
|
2,4
|
0
|
4,8
|
0,053
|
-
|
-
|
-
|
|
|
|
0
|
0
|
10
|
10,1
|
0,0028
|
0
|
0
|
9,8
|
9,8
|
0,061
|
|
400
|
1,7
|
6,6
|
10,1
|
0,0047
|
300
|
1,2
|
7,5
|
10,1
|
0,064
|
|
600
|
2,5
|
5,0
|
10,1
|
0,0085
|
500
|
2,1
|
5,8
|
10,2
|
0,055
|
|
760
|
3,2
|
3,7
|
10,0
|
0,0072
|
700
|
2,9
|
4,2
|
10,2
|
0,056
|
|
900
|
3,8
|
2,0
|
9,6
|
0,0043
|
900
|
3,8
|
2,5
|
10,2
|
0,046
|
|
1140
|
4,8
|
0
|
9,6
|
0,0024
|
1118
|
4,7
|
0
|
9,4
|
0,070
|
Полученные данные позволяют дать оценку распределению нитратов бария и
стронция при кристаллизации из растворов ОЯТ, в том числе при кристаллизации из
высококонцентрированных растворов ОЯТ по схеме NEXT-процесса. Оценочные данные представлены в таблице 13.
Из них следует, что при кристаллизации уранилнитрата из раствора с содержанием
урана порядка 900 г/л может осаждаться до 87% нитрата бария при температуре
процесса порядка 30 оС. Осаждения нитрата стронция не наблюдается,
однако его содержание в растворе близко к пределу растворимости. Уже при
концентрации раствора 500 г/л по урану и 1,5 моль/л по HNO3
осаждение нитрата бария не наблюдается. Такая концентрация урана в исходном
растворе и взята в качестве базовой концентрации для технологии Супер-Пурекс
[37].
Таблица 13 - Оценка осаждения нитратов бария и
стронция при кристаллизации уранилнитрата из растворов ОЯТ
|
Исходный раствор
|
Осадок
|
Маточниый раствор
|
Растворимость
|
% осаждения Ba
|
|
V, м3/т
|
U г/л
|
HNO 3 моль/л
|
Ba моль/л
|
Sr моль/л
|
V, м3
|
V, м3
|
UN г/л
|
HNO3 моль/л
|
Ba моль/л
|
Sr моль/л
|
Ba моль/л
|
Sr моль/л
|
U г/л
|
|
|
1,1
|
900
|
2
|
0,016
|
0,014
|
667
|
790
|
0,383
|
404,7
|
5,48
|
0,04
|
0,037
|
0,005
|
0,05
|
404
|
87,50%
|
|
1,26
|
750
|
2
|
0,014
|
0,012
|
540
|
640
|
0,72
|
424
|
3,5
|
0,019
|
0,017
|
0,008
|
0,22
|
428
|
58%
|
|
2
|
500
|
1,5
|
0,008
|
|
0
|
0
|
2
|
500
|
1,5
|
0,008
|
|
0,01
|
|
500
|
0
|
UN- уранилнитрат
ЗАКЛЮЧЕНИЕ И ВЫВОДЫ
щелочноземельный раствор
уранилнитрат барий стронций
1. Растворимость нитратов бария и стронция в растворах уранилнитрата в
основном совпадает с их растворимостью в растворах азотной кислоты при
одинаковой суммарной концентрации нитрат-иона.
. В смешанных системах, содержащих более 600 г/л уранилнитрата и азотную
кислоту, растворимость нитрата бария повышается относительно чистых
компонентов, по-видимому, вследствие возможного координирования дополнительного
нитрат иона к уранилнитрату.
. При кристаллизации уранилнитрата (в т.ч. из растворов ОЯТ) будет иметь
место весьма высокое осаждение нитрата бария (вплоть до 87-90% при содержании
урана в растворе 900 г/л), при этом осаждения нитрата стронция не будет.
СПИСОК ИСПОЛЬЗОВАННЫХ ИСТОЧНИКОВ
1. Развитие технологической структуры переработки облученного
ядерного топлива АЭС водно-экстракционными методами, ее анализ и подходы к
моделированию/ Зильберман Б.Я., Пузиков Е.А., Рябков Д.В., Макарычев-Михайлов
М.Н., Шадрин А.Ю., Федоров Ю.С., Симоненко В.А. // Атомная энергия. - 2009. -
Т. 107, вып. 5. - С. 273-285.
2. Образование осадков
молибдена и циркония в среде концентрированных растворов нитрата уранила / И.
В. Хонина, А. А. Лумпов, А. Ю. Шадрин, Б. Я. Зильберман, Н. Г. Кравченко.// Радиохимия. - 2010. - Т. 52, № 2. - С. 151-156.
3. Некрасов, Б.В. Основы общей химии/ Б.В. Некрасов. - М.:
Химия, 1967.
. Лурье, Ю.Ю. Справочник по аналитической химии/ Ю.Ю. Лурье.
- М.: Химия, 1962.
. Дрица, Е.М. Свойства элементов. Справочник/ Е.М. Дрица. -
М.: Металлургия, 1985.
. Коган, Б.И. Редкие металлы/ Б.И. Коган. - М.: Наука, 1979.
. Громов, Б.В. Химическая технология облученного ядерного
топлива/ Б.В. Громов, В.И. Савельев, В.Б. Шевченко. - М.: Энергоатомиздат,
1983. - 350 с.
. Проблемы модернизации экстракционной переработки ОЯТ/
Федоров Ю.С., Зильберман Б.Я., Алой А.С., Пузиков Е.А., Шадрин А.Ю., Аляпышев
М.Ю. 2010г.
. Столер, с.
Переработка ядерного горючего/ Ред. с.
Столер, Р. Ричардс// Атомиздат. М.: 1964. с. 184 - 230.
. evaporation
procedures in spent fuel reprocessing/ E.G. Dzekun, B.Ya. Zilberman, Yu.P.
Zhirnov // Proc. III Conf. Nucl. Fuel Reproc.& Waste Manag.
“Recod’ 91” Sendai, Japan. - 1991. - AESJ, v. 1. - Р. 433-436.
. Operation experience and antifoam study on the HALW
evaporator at the Tokai Reprocessing Plant/ N. Miura, M. Watahiki, Y. Nakamura
// Proc. Int. Conf. “Global’1997” Yokohama, Japan. - 1997, v. 2. - Р. 1068-1073.
. Развитие пурекс-процесса
для переработки высоковыгоревшего топлива аэс
в замкнутом ЯТЦ с точки зрения
локализации долгоживущих радионуклидов/ Б.Я. Зильберман //
Радиохимия. - 2000. - Т. 42, №1. - С. 3-15.
. Ефимов, А.Н. Аналитический расчет плотности смешанных
растворов / А.Н. Ефимов, С.Н. Широкова - М.: ВНИИНМ, 1977.
14. Проценко, П.И. Справочник по растворимости нитритных и
нитратных солевых систем/ П.И. Проценко, О.Н. Разумовская, Н.А. Брыкова. - Л.:
Химия, 1971. - 272 с.
15. Растворимость и соосаждение нитратов бария и стронция в
растворах азотной кислоты и Многокомпонентных системах/ Н.Е. Мишина, А.А.
Ахматов, Б.Я. Зильберман, А.Ю. Шадрин, Е.И. Солярская. // Радиохимия. - 2010.
. Копырин, А.А. Технология производства ядерного топлива и
его радиохимическая переработка /А.А. Копырин, А.И. Карелин, В.А. Карелин - М.:
Энергоатомиздат, 2004. - 568 с.
17 H. Funasaka and Masanori Itoh, «Perspective and
Current Status on Fuel Cycle System of Fast Reactor Cycle Technology
Development (FaCT) Project in Japan» Global 2007, 259-267, Boise, Idaho, USA,
Sept.10-13 (2007)
T. Koyama, T. Washiya, H. Nakabayashi, H. Funasaka
«Current Status on Fuel Cycle System of Fast Reactor Cycle Technology
Development (FaCT) Project in Japan», Global 2009, paper 9100, Paris, France,
Sept.6-11 (2009)
K. Yano, M. Nakahara and others. «Research and
Development of Crystal Purification for Product of Uranium Crystallization
Process». Global 2009, paper 9093, Paris, France, Sept.6-11 (2009)
. Виноградов, А.П. Аналитическая химия урана / А.П. Виноградов - М.: АН СССР, 1962. - 95-96 с.
21. Нормы радиационной безопасности (НРБ-99) и Основные
санитарные правила обеспечения радиационной безопасности (ОСПОРБ-99):
Гигиенические нормативы. - М.: Центр санитарно-эпидемиологического
нормирования, гигиенической сертификации и экспертизы. Министерство
Здравоохранения РФ, 1999. - 116 с.
. ГОСТ 12.0.001-74 ССБТ. Опасные и вредные производственные
факторы. Классификация. - В кн.: и др. - М.: Издательство стандартов, 1981,
стр. 10.
. ГОСТ 12.1.019-79 ССБТ. Электробезопасность. - М.:
Издательство стандартов, 1985. - 44с.
. Вредные вещества в промышленности /Под ред. Лазарева Н.В.-
М.: Химия, 1977, 677с.
. Левина, Э. Н. Вредные вещества в промышленности / Э. Н.
Левина, Н. В. Лазарев ; под ред. Н. В. Лазарева. - Л. : Химия, 1976. - 592 с.
. ГН 2.2.5.1313-03 Предельно допустимые концентрации вредных веществ
в воздухе рабочей зоны.
. НПБ 105-03. Определение категорий помещений и зданий по
взрывопожарной и пожарной опасности. - М.: Гл. Упр. Гос. противопожарной
службы. МВД РФ, 1996. - 322 с.
. ГОСТ 12.1.004 - 76 ССБТ. Пожарная безопасность. Общие
требования. - М.: Издательство стандартов, 1992. - 78с.
. ГОСТ 12.4.021 - 75 ССБТ. Системы вентиляции. Общие
требования. М.: Издательство стандартов, 1975. - 8с.
. СНиП 23-05-95. Естественное и искусственное освещение.
Нормы проектирования.- М.: - Стройиздат, 1995. - 48с
. Захаров, Л.П.. Техника безопасности в химической
лаборатории: справ. Изд.-2-е и доп.-Л.:Химия,1991.-336с.
. Правила устройства электроустановок. - СПб.: Издательство
ДЕАН, 2001.- 928с.
. СанПиН 2.2.2.542-96 Гигиенические
требования к видеодисплейным терминалам, персональным электронно-вычислительным
машинам и организация работ. - М.: Госкомсанэпиднадзор России, 1996. - 36 с.
34. ГОСТ 8.417-2002. Единицы величин.-Взамен ГОСТ 8.417-81;
введ. 2003-09-01.- Минск: Межгос. Совет по стандартизации, метрологии и
сертификации; М.: Изд-во стандартов, 2003.- 27 с.- (Государственная система
обеспечения единства измерений).
. СТП СПбГТИ 006-2009. Подготовка и оформление текстовых
авторских оригиналов для издания.- Взамен СТП СПбГТИ 006-2005 ; введ.
2009-07-01. - СПб. : ИК «Синтез», 2009.- 8 с. - ( Комплексная система
управления качеством деятельности вуза ).
. Р 01-2007. Библиографическое описание документа. Примеры
оформления.- Взамен Р 01-97 8 ; введ. 2008-01-01. - СПб : ИК «Синтез», 2008.- 8
с. - (Комплексная система управления качеством деятельности вуза).
37. Superpurex as anOptimized TBP-Compatible Process
for Long-Lived Radionuclide Partitioning/ B.Ya. Zilberman, Yu.S. Fedorov, E.N.
Mishin, L.V. Sytnik, O.V. Shmidt, N.D. Goletsky// Global 2003 New Orleans, LA
November 16-20, 2003
ПРИЛОЖЕНИЕ А
(обязательное)
Охрана труда и окружающей среды
Введение
Дипломная работа проводилась в радиохимической лаборатории ФГУП НПО
«Радиевый институт им. В.Г. Хлопина». Работа была посвящена изучению
растворимости щелочноземельных продуктов деления в кислых растворах
уранилнитрата.
С развитием технологий по переработке ОЯТ вопрос осадкообразования на
стадии кристаллизации уранилнитрата становится все более актуальным, в связи с
этим появилась необходимость в проведении работы по получению систематических
данных по растворимости щелочноземельных продуктов деления в кислых растворах
уранилнитрата. Такая база данных позволит нам более детально разобраться в
вопросе осадкообразования и подбирать наилучшие условия для проведения
процесса.
Все работы проводились в помещениях второго класса в соответствии и с
учетом нормативных документов [21]. В отношении охраны окружающей среды особое
внимание уделялось защите от ионизирующих излучений.
Опасные и вредные производственные факторы
Опасные и вредные производственные факторы в лаборатории можно разделить
по природе своего действия на группы [22]:
- физические;
химические;
психофизиологические.
К физическим факторам можно отнести:
Электромагнитное излучение. Интенсивная и продолжительная работа с
использованием ЭВМ может стать источником тяжелых профессиональных заболеваний,
так заболевания, обусловленные травмой повторяющихся нагрузок, представляют
собой постепенно накапливающиеся недомогания, возникающие при длительной работе
с устройством ввода-вывода. Труд людей, постоянно работающих с ПЭВМ,
характеризуется отсутствием воздействия высоких уровней неблагоприятных
факторов распространенных на производстве (пыль, шум, плохая освещенность и
др.), но на них влияет сложный комплекс условий, которые при среднем и низком
уровне за счет комплексного воздействия все же вызывают появление
неблагоприятных последствий. Следует учитывать также воздействие факторов, не
получивших еще сегодня общественного признания, в то время как научные исследования
показывают возрастание их роли в психических формах труда, к числу таких
факторов относят высокий уровень психического напряжения - монотонность труда,
отсутствие физических нагрузок, обездвиженность, некорректная форма освещения,
специфическое воздействие на орган зрения колеблющегося свечения экрана.
Электрический ток. Действие электрического тока на человека носит
многообразный характер. Проходя через организм человека, электрический ток
вызывает термическое, электролитическое, а также биологическое воздействие. Это
многообразие действий электрического тока может привести к двум видам
поражения: электрическим травмам и электрическим ударам. Путь прохождения тока
через тело человека играет существенную роль в исходе поражения, так как ток
может пройти через жизненно важные органы: сердце, легкие, головной мозг и др.
Влияние пути тока на исход поражения определяется также сопротивлением кожи на
различных участках тела. Постоянный ток примерно в 4-5 раз безопаснее
переменного. Это вытекает из сопоставления пороговых ощутимых, а также не
отпускающих токов для постоянного и переменного токов. Это положение
справедливо лишь для напряжения до 250 - 300 В. ПЭВМ соответствует этому
напряжению. Для обеспечения электробезопасности применяют, в данном случае, изоляцию
токоведущих частей [23].
К химическим факторам относится воздействие на человеческий организм
химических веществ и их соединений.
Работа с едкими и токсичными и различными химическими веществами связана
с опасностью получения организмом таких травм, как:
- расстройство функций нервной системы (углеводороды, спирты
жирного ряда, сероводород и др.);
поражение верхних и глубоких дыхательных путей (хлор,
аммиак, диоксид серы, туманы кислот и др.);
поражение кожных покровов (неорганические кислоты, щелочи и
др.);
нарушение структур ферментов (синильная кислота, мышьяк и
др.);
- изменения в реактивной способности организма (соединения
никеля и др.).
Проводимые работы носили характер химических, то есть с применением
разнообразных химических веществ. Используемые в работе химические вещества,
представляющие собой опасность, приведены в таблице А.1
Продолжение приложения А
Таблица А.1 - Характеристика физико-химических, пожаровзрывоопасных и
токсичных свойств веществ, используемых в работе
|
вещества
|
Физико-химические свойства [24]
|
Пожаровзрывоопасные
свойства [25]
|
Токсические свойства
|
|
Агрегатное состояние
|
Температура кипения, оС
|
Температура плавления, оС
|
Плотность, кг/м3
|
Температура, оС
|
Пределы распространения
пламени
|
Характер действия на
организм человека
|
Класс опасности [26]
|
ПДК р.з., мг/м3
|
|
|
|
|
|
вспышки
|
самовоспламенения
|
Температурные, оС
|
Концентрационные, об. %
|
|
|
|
|
|
|
|
|
|
|
нижний
|
верхний
|
нижний
|
верхний
|
|
|
|
|
Азотная кислота
|
Прозрачная
жидкость
|
120
|
-41,6
|
1,513
|
38
|
454
|
35
|
76
|
3,3
|
22
|
Раздражение верхних дыхательных
путей.
|
3
|
2
|
|
NaОН
|
Белое вещество
в виде чешуек
|
1378
|
327
|
2130
|
пожаровзрывобезопасен
|
Ожоги кожи,
аллергические заболевания
|
2
|
0,5
|
|
Нитрат бария
|
твердое
|
592
|
разл
|
3,244
|
пожаровзрывобезопасен
|
Нарушение кроветворения,
поражение легких, костей.
|
2
|
3
|
В лаборатории, где выполнялась дипломная работа, были приняты следующие
меры безопасности:
- все кислоты и основания хранились, соответственно, в
стеклянных и полиэтиленовых бутылях и банках с плотно притертыми крышками в
вытяжном шкафу;
все емкости с реактивами имели четкие надписи;
работа в лаборатории проводилась в спецодежде (халат).
Все работы с химическими реагентами проводились в соответствии с
инструкциями, составленными с учетом мер безопасности. При соблюдении
инструкций и оснащении рабочих мест средствами предотвращения и ликвидации
возможных выбросов растворов, паров и реагентов проведение работ безопасно с
химической точки зрения.
Психофизиологические опасные и вредные производственные факторы по
характеру действия подразделяются на физические (статические и динамические) и
нервно-психические нагрузки (умственное перенапряжение, монотонность труда),
эмоциональные перегрузки. К психофизиологическим факторам можно отнести работу
на ПЭВМ, которая в свою очередь может сопровождаться умственными перенапряжениями,
постепенно накапливающимися недомоганиями, заболеваниями суставов.
2 Обеспечение пожарной безопасности
Перед началом работы были сданы экзамены по технике безопасности, по
пожарной безопасности, получен допуск по работе в лаборатории химического анализа.
Расчет пожарной нагрузки осуществляется по формуле (А.1):
q = ∑Gi ∕S, (А.1)
где G - теплота сгорания МДж;
S - площадь 40 м2.
Теплота сгорания различных веществ рассчитывается по формуле (А.2):
Gi = qi×mi , (А.2)
где qi - удельная теплота
сгорания МДж/кг;
mi - масса вещества, кг.
Теплота сгорания дерева, бумаги, пластика соответственно:
Gд
= 10×500 = 5000 МДж
Gб
= 18×5 = 90 МДж
Gп
= 0,033600×40 = 1,344 МДж
Суммарная теплота сгорания ∑Gi = 5091,344 МДж
Пожарная нагрузка q =
5091,344/40 = 127,3 МДж×м-2
Значения пожарных нагрузок приведены в таблице А.2.
Таблица А.2 - Значения пожарных нагрузок
|
Категория
|
Пожарная нагрузка, МДж×м-2
|
|
В1
|
>2200
|
|
В2
|
1401-2200
|
|
В3
|
181-1400
|
|
В4
|
1-180
|
Данная лаборатория относится к категории В4 [27] по пожарной опасности, как
помещение, где производится работа с небольшими количествами ЛВЖ и горючих веществ, недостаточными для создания
взрывоопасной смеси в зоне, превышающей 5% свободного помещения. В лаборатории
при нормальной эксплуатации взрывоопасные смеси горючих газов или паров ЛВЖ не
образуются, а возможны только в результате аварий и неисправностей. Работа с
ЛВЖ проводится без применения открытого пламени. ЛВЖ хранятся в специальных
металлических емкостях. Лаборатория относится к классу взрывоопасности В-1б как помещение, в котором работают с небольшим
количеством (2 г в сутки) ЛВЖ в вытяжных шкафах [28].
На случай пожара лаборатории оснащены средствами пожаротушения:
огнетушителем ОХВП - 100, ящиками с песком, асбестовыми одеялами.
Вентиляция
В зависимости от особенностей производственного процесса должны
присутствовать встроенные устройства для удаления выделяющихся в процессе
производства любых вредных взрыво- и пожароопасных веществ непосредственно от
мест их образования или скопления [29].
Обеспечение нормальных метеорологических условий и чистоты воздуха на
рабочем месте в значительной степени зависит от правильно организованной
вентиляции.
В помещениях лаборатории установлены вытяжные шкафы 2Ш-НЖ (скорость
вытяжки не менее 1,5 м/с).
Кратность воздухообмена рассчитывается по формуле (А.3):
К = Vнв/Vп, (А.3)
где Vнв - необходимый объем воздуха для воздухообмена, м3/ч;
Vп - объем помещения 140 м3.
Необходимый объем воздуха для воздухообмена определяется по формуле (А.4):
Vнв = Vф×S, (А.4)
где Vф -скорость фильтрации, м/ч;
S - площадь, м2 [26].
Vнв = Vф×S = 1.5×0,2×3600=1080 м3/ч
К = 1080/140 = 7,71 ч-1
4 Освещенность
В помещении лаборатории применяется смешанное: естественное и
искусственное освещение. Рабочее освещение следует предусматривать для всех
помещений зданий, а также участков открытых пространств, предназначенных для
работ, прохода людей и движения транспорта. Для освещения помещений лаборатории
используются газоразрядные лампы дневного света. Разряд зрительных работ 4в-4г.
Нормы освещенности - 200 - 250 лк [30].
Аптечка и её содержимое
В лаборатории на случай оказания первой доврачебной помощи имеется
аптечка, которая находится в рабочем помещении лаборатории. В
аптечке находятся следующие материалы: стерильный бинт, вата, нашатырный
спирт, 5% раствор йода, раствор борной кислоты, раствор питьевой соды, раствор
перманганата калия [31].
Безопасность выполнения работы. Обеспечение электробезопасности
Все работы проводились в соответствии с нормативными документами. Все
применяемые приборы были заземлены, сопротивление заземления не превышало 4 Ом.
Перед началом работы постоянно проводился контроль качества изоляции, все
проводки были выполнены проводом, рассчитанным на мощность электроприборов.
Контактные клеммы располагались недоступно для неосторожного касания. Класс
помещения по опасности поражения человека электрическим током - без повышенной
опасности[32].
7 Обеспечение радиационной безопасности
Радиационная безопасность персонала от воздействия ионизирующих излучений
и радиоактивных загрязнений обеспечивается техническими и организационными
мероприятиями. К техническим мероприятиям относятся оснащение системами
безопасности, предупреждающими аварии и ограничивающими их радиационные
последствия, высококачественной проектной документацией, строительно-монтажными
работами в соответствии с проектной документацией, техническим контролем
состояния оборудования и его работоспособности и т.д.
К организационным мероприятиям относятся:
эксплуатация, в соответствии с действующей нормативно-технической документацией,
технологическими инструкциями по эксплуатации;
соблюдение персоналом норм и правил, а также конкретных требований по
радиационной безопасности, содержащихся в технологических инструкциях;
методическое руководство мероприятиями по обеспечению радиационной
безопасности, осуществляемое отделом охраны труда и техники безопасности;
контроль за соблюдением норм, правил и требований по радиационной
безопасности.
Перед началом работы были сданы экзамены по правилам охраны труда,
радиационной безопасности, пожарной безопасности, получен допуск по работе в
радиохимической лаборатории.
Эксперименты проводились в радиохимической лаборатории (II класс помещений). Вход в помещения
зоны строгого режима осуществлялся через санитарный пропускник. При нахождении
в зоне строгого режима обязательно наличие индивидуального дозиметра,
предназначенного для измерения индивидуальной эквивалентной дозы внешнего
облучения. На выходе из санпропускника осуществлялся контроль загрязнений
радионуклидами средств индивидуальной защиты и тела с помощью стационарных или
переносных приборов.
Суммарная активность используемых радиоактивных источников, содержащих
радионуклиды групп Б и В, на рабочем месте не превышала 105 Бк
(суммарная активность приведена к группе А).
Работа с ЭВМ
Длительная работа за дисплеем приводит к серьезным расстройствам здоровья
и профессиональным заболеваниям. Во избежание этого, расстояние до экрана
дисплея должно быть не менее 60 см, а на каждое рабочее место следует отводить
не менее 6 м. Нарушение этих показателей приводит к повышенному уровню шума,
возможности негативного воздействия повышенных уровней электромагнитных полей
или ионизирующего излучения от задних или боковых сторон соседних дисплеев.
Продолжительность работы должна быть не более 6 часов в день (с
перерывами на 15 мин. через каждые 20 минут).
Мерцающий экран при продолжительной работе с ним вызывает головные боли.
Использование защитных экранных фильтров позволяет
избавиться от бликов, повысить контрастность, что, несомненно,
благоприятно сказывается на самочувствии и работоспособности оператора [33].9
Анализ технологических операций с точки зрения опасностей и вредностей при их
проведении. Анализ производственных операций приведен в таблице А.3.
Таблица А.3 - Анализ технологических операций с точки зрения опасностей и
вредностей при их проведении
|
Наименование
технологической операции
|
Оборудование и вещества для
проведения операции
|
Возможные опасности
(вредное влияние при проведении данной технологической операции)
|
Причины проявления данной
опасности (вредного влияния)
|
Меры по предотвращению
опасности при проведении данной операции
|
|
Работа с ЭВМ
|
Машина ЭВМ
|
-поражение электрическим
током -утомляемость глаз
|
-нарушение изоляции или
отсутствие заземления -длительная работа
|
-заземление приборов, целостность
изоляции; -использование защитного экрана, сокращение времени работы на ЭВМ:
20 минут работы -15минут перерыва
|
|
Приготовление растворов из
едких и токсичных веществ
|
Вытяжной шкаф. Пипетка с
грушей
|
-химический ожог
-раздражение слизистых, отек легких
|
-попадание на кожу без СИЗ
-вдыхание паров
|
-работа в СИЗ;
-использование вытяжного шкафа
|
Продолжение таблицы А.3 - Анализ технологических операций с точки зрения
опасностей и вредностей при их проведении
|
Наименование
технологической операции
|
Оборудование и вещества для
проведения операции
|
Возможные опасности
(вредное влияние при проведении данной технологической операции)
|
Причины проявления данной
опасности (вредного влияния)
|
Меры по предотвращению
опасности при проведении данной операции
|
|
Приготовление растворов для
проведения эксперимента
|
Мерная посуда, стеклянная
пипетка, резиновая груша
|
-химический ожог
-раздражение слизистых, отек легких -порезы
|
-попадание на кожу без СИЗ
-вдыхание паров, попадание в глаза
|
-работа в СИЗ;
-использование вытяжного шкафа
|
|
Анализ растворов
|
Спектрометр, полиэтиленовые
пробирки, механический дозатор.
|
-поражение электрическим
током; -поражение кожных покровов.
|
-нарушение изоляции или
отсутствие заземления; -попадание на кожу.
|
-перед работой проверить
состояние проводов и заземления, работать в соответствии с инструкцией;
-работать в СИЗ.
|
Оказание первой помощи
) При поражении электрическим током
Прежде всего, необходимо снять напряжение с электрооборудования,
вызвавшего поражение, освободить пострадавшего от токоведущего провода. При
сравнительно легких поражениях, если работа сердца и органов дыхания не
нарушена, и человек не потерял сознания, следует вынести пострадавшего на
свежий воздух, расстегнуть стесняющую одежду, дать понюхать нашатырный спирт. В
случае потери сознания - сделать искусственное дыхание и закрытый массаж
сердца, до прихода врача.
) При химических ожогах
Химические ожоги возникают при местном воздействии химически активных
веществ на кожу, слизистую оболочку дыхательных путей и глаз. Степень ожога
зависит от химической активности и токсичности веществ, его концентрации,
температуры, продолжительности действия, а также чувствительностью
пострадавшего. Первая помощь при химических ожогах и отравлениях сводится к
следующему: при ожогах кислотами и щелочами пораженный участок кожи промывают
струёй холодной воды в течение 15 мин. Далее, при ожогах кислотами накладывают
примочки из 2 % раствора бикарбоната натрия, а при ожогах щелочами - из 2 %
раствора уксусной кислоты, лимонной или виннокаменной кислот.
Охрана окружающей среды
К мероприятиям по охране окружающей среды, проводимым в ходе данной
работы, относятся следующие: - слив концентрированных кислот и щелочей в
специальные емкости с последующей нейтрализацией и утилизацией. Характеристики
производственных отходов и методов их утилизации приведена в таблице А.4.
Таблица А.4 - Характеристика производственных отходов
|
отходы
|
Агрегатное состояние
|
Количество отходов
|
Вредные вещества (примеси)
|
примечания
|
|
Растворы кислот
|
Жидкость
|
-
|
Кислый раствор
|
После нейтрализации в
канализацию
|
|
Растворы органических
соединений
|
Жидкость
|
-
|
Вредные органические
соединения
|
В канализацию
|
|
Вода: подготовка посуды
|
Жидкость
|
-
|
ПАВ
|
В канализацию
|
|
|
отходы
|
Агрегатное состояние
|
Количество отходов
|
Вредные вещества (примеси)
|
примечания
|
|
|
Твердые отходы
|
Битое стекло,
фильтровальная бумага
|
-
|
-
|
В контейнер для мусора
|
|
|
|
|
|
|
|
|
Методы обращения с радиоактивными отходами
В процессе выполнения работы образовывались жидкие и твердые
радиоактивные отходы. Жидкие радиоактивные отходы в зависимости от концентрации
радионуклидов сливали в специальные емкости-сборники. Твердые радиоактивные
отходы в виде мусора, СИЗ, боя посуды, металлолома, упаковывались в
полиэтиленовые пакеты, а затем направлялись в хранилище твердых отходов.
Твердые отходы выдерживают определенное время, а затем передают на временное
хранение на ЛСК «Радон» или отверждают методом включения в цементную матрицу.
ПРИЛОЖЕНИЕ Б
(обязательное)
Маркетинговое исследование
Введение
По мере освоения атомной энергии и переходе от оборонных задач к
энергетическим произошло резкое повышение выгорания топлива - до 40000 МВт·сут/т
и более, что повлекло за собой резкое увеличение количества радиоактивных
отходов, в связи с этим возникает вопрос переработки отработанного ядерного
топлива.
В настоящее время рассматриваются новые способы переработки ОЯТ.
Исследуемый метод позволит увеличить концентрацию урана в растворе, а
содержание азотной кислоты не будет превышать 2,0 моль/л. Получение такого
раствора позволит существенно снизить объемы жидких радиоактивных отходов (ЖРО)
в связи с уменьшением объема рафината PUREX-процесса, и упростит процесс концентрирования рафината из-за низкого
содержания азотной кислоты в нем. Так же будет возможно получение более
концентрированных растворов для дальнейшего осветления.
В свою очередь возник вопрос об осадкообразование на стадии
кристаллизации ОЯТ. Поскольку в литературе нет информации о растворимости
щелочноземельных продуктов деления в кислых растворах уранилнитрата, появилась
необходимость в проведения работы по получению систематических данных по
растворимости этих элементов.
Задачей данной работы являлось получение систематических данных по
растворимости щелочноземельных продуктов деления в кислых растворах
уранилнитрата при различных температурах.
Ранее были проведены исследования о получение систематических данных по
растворимости нитратов бария и стронция при их совместном присутствии в
различных солевых системах и при различной температуре на стадии упаривания.
Результаты данного исследования и раннее проведенных исследований
позволят оценить на какой стадии процесса будет более целесообразно производить
осаждение нитратов бария и стронция.
В качестве идеальной модели представим такой теоретически возможный
процесс, балловая оценка которого, согласно таблице Б.1, максимальна.
Конкурентный продукт это процесс, который осуществляется без исследуемых
нововведений. Наш продукт это процесс, происходящий с использованием новых
технологий.
Таблица Б.1 - Сравнение конкурентоспособности товаров
|
Перечень требований идеальной
модели
|
Коэффициент веса
|
Экспериментальная оценка,
баллы
|
Оценка с учетом веса, баллы
|
Выигрыш или проигрыш
относительно:
|
|
|
Идеальная модель
|
Наш продукт
|
Продукт конкурента
|
Идеальная модель
|
Наш продукт
|
Продукт конкурента
|
Идеальной модели
|
Продукта конкурента
|
|
Затраты на технологию
переработки ОЯТ
|
2
|
5
|
4,5
|
2
|
10
|
9
|
4
|
5
|
|
радиационная безопасность
|
2
|
5
|
4
|
1,5
|
10
|
8
|
3
|
-2
|
4
|
|
Экологическая безопасность
|
2
|
5
|
4
|
3
|
10
|
8
|
6
|
-2
|
2
|
|
Стоимость освоения
нововведений
|
1
|
5
|
2
|
4
|
5
|
2
|
4
|
-3
|
-2
|
|
Итого:
|
|
20
|
14,5
|
11
|
35
|
27
|
18
|
-8
|
9
|
|
Перечень требований
идеальной модели соответственно таблице Б1
|
Оценка с учетом веса
соответственно по столбцам на основании таблицы 1
|
|
1
|
2
|
3
|
4
|
5
|
6
|
7
|
8
|
9
|
10
|
|
Затраты на технологию
переработки ОЯТ
|
|
|
|
|
|
|
|
|
|
|
|
Радиационная безопасность
|
|
|
|
|
|
|
|
|
|
|
|
Экологическая безопасность
|
|
|
|
|
|
|
|
|
|
|
|
Стоимость освоения
нововведений
|
|
|
|
|
|
|
|
|
|
|
наш продукт
продукт конкурента
Рисунок Б.1 - Графики конкурентоспособности продукции
Осаждение нитратав бария и стронция на стадии растворения позволит
сократить затраты на технологию переработки ОЯТ. В связи с повышением
радиационной безопасности уменьшатся затраты на оборудование, т.к. требования к
радиационной стойкости материала оборудования снизятся. Тем не менее, следует
учесть, что освоение новых технологий переработки потребует дополнительного
финансовых затрат.
Определение минимальной цены продавца «Know how»
.1 Расчет суммы затрат на сырье, материалы, реактивы, покупные изделия и
полуфабрикаты
Таблица Б.2 - расчет суммы затрат на материалы
|
Наименование материала
|
Техническая характеристика
|
Единица измерения
|
Израсходованное количество
|
Цена, руб
|
Сумма Затрат, руб
|
|
1
|
2
|
3
|
4
|
5
|
6
|
|
Азотная кислота
|
ОСЧ, ГОСТ 11125-84
|
кг
|
1
|
53,8
|
53,8
|
|
Нитрат бария
|
ХЧ, ГОСТ 3777-69
|
кг
|
0,1
|
73
|
7,3
|
|
Нитрат стронция
|
ХЧ, ГОСТ 5429-74
|
кг
|
0,3
|
94
|
28,2
|
|
Уранилнитрат
|
Ч
|
кг
|
0,2
|
4290
|
8580
|
|
ТБФ
|
Ч
|
кг
|
0,15
|
2672.7
|
401
|
|
Итого:
|
|
9070
|
.2 Расчет суммы затрат на энергоресурсы
Расчет затрат на электроэнергию (ЗЭ/Э) производится по формуле
Б.1. Полученные результаты представлены в таблице Б.3.
ЗЭ/Эi=
Мi·Тi·ЦЭ/Э·КМi , (Б.1)
где Мi -
установленная мощность i
оборудования, используемого при проведении исследований, кВт. Берется по
паспортным данным используемого оборудования;
Ti - время использования i
оборудования за весь период исследования, час;
ЦЭ/Э - цена одного киловатт часа электроэнергии, рубли;
КМi
- коэффициент использования оборудования по мощности, доли единицы. Он обычно
принимается в интервале от 0,7 до 0,9.
Таблица Б.3 - расчет суммы затрат на электроэнергию
|
наименование используемого
оборудования
|
установленная мощность, кВт
|
число единиц оборудования,
шт.
|
время использования
оборудования, час.
|
коэффициент использования
мощности, доли единицы
|
цена одного кВт/часа
электроэнергии, руб.
|
затраты на электроэнергию,
руб.
|
|
Вытяжной шкаф
|
1,5
|
1
|
580
|
0,9
|
1,7
|
1331,1
|
|
Термостат
|
2
|
1
|
96
|
0,9
|
1,7
|
293,76
|
|
Весы аналитические
|
0,006
|
1
|
24
|
0,9
|
1,7
|
0,22032
|
|
Дистиллятор
|
3,0
|
1
|
200
|
0,9
|
1,7
|
918
|
|
ЭВМ
|
0,5
|
1
|
580
|
0,9
|
1,7
|
443,7
|
|
Итого:
|
|
2986
|
2.3 Расчет суммы затрат на другие виды энергии (ЗЭi) осуществляется по формуле Б.2.
ЗЭi
= РЭi·ЦЭi , (Б.2)
где РЭi -
расход i вида энергоресурса в натуральных
единицах измерения
ЦЭi
- цена i вида энергоресурса за единицу, руб.
Затраты на воду
Источником горячей и дистиллированной воды в лаборатории является
дистиллятор, поэтому расход холодной воды представляет собой сумму расходов на
лабораторные нужды, на охлаждение дистиллятора и на получение дистиллированной
воды.
Для данной НИР суммарный расход составил 25 м3:
Цена холодной воды для промышленных потреблений 10,3 руб./м3, тогда
затраты на воду составят:
ЗЭ = 10,3∙25 = 257.5 руб.
.4 Расчет суммы затрат на специальное оборудование для научных и
экспериментальных работ
Так как специальное оборудование может быть использовано и для других
исследований, то в статью расходов включается только сумма амортизации за время
использования оборудования. Сумма амортизационных отчислений определяется по
формуле Б.3.
(Б.3)
где Фn
- первоначальная стоимость оборудования и приборов, рубли
На
- годовая норма амортизации, %
Т
- время использования конкретного оборудования или прибора для проводимого
исследования, мес.
Так
как после завершения исследования приборы и посуда сдаются на кафедру, то в
сумму затрат включается только амортизационные отчисления в размере 50%
стоимости. Расчет стоимости специального оборудования и суммы амортизационных
отчислений представлен в таблице Б.4
Таблица
Б.4 - Расчет стоимости специального оборудования и суммы амортизационных
отчислений
|
Наименование используемого
оборудования
|
Количество единиц, шт.
|
Стоимость единицы
оборудования
|
Время использования, мес.
|
Износ оборудования
|
|
Вытяжной шкаф
|
1
|
9000
|
100%
|
9000
|
|
Весы аналитические
|
1
|
20000
|
|
20000
|
|
Термостат
|
1
|
1790
|
|
1790
|
|
Дистиллятор
|
1
|
15300
|
|
15300
|
|
ЭВМ
|
1
|
15000
|
|
15000
|
|
Пипетка, 1см3
|
5
|
60
|
|
300
|
|
Пипетка, 2см3
|
3
|
60
|
|
180
|
|
Пипетка, 5см3
|
2
|
60
|
100%
|
120
|
|
Пипетка, 10см3
|
4
|
75,5
|
|
302
|
|
Пробирка, 20см3
|
20
|
28
|
|
560
|
|
Колба мерная, 500 см3
|
3
|
175
|
|
525
|
|
Стакан химический, 50 см3
|
1
|
18
|
|
18
|
|
Цилиндр мерный, 25 см3
|
3
|
77,4
|
|
232,2
|
|
Итого:
|
|
|
|
63327
|
|
|
|
|
|
|
|
2.5 Расчет суммы затрат заработной платы с обязательными начислениями
Основная заработная плата (ЗПосн.) конкретного работника
определяется по формуле Б.4.
ЗПосн = Тст*Тф , (Б.4)
где Тст - часовая тарифная ставка данного работника, руб.
Тф - время, затраченное конкретным работником, на
исследование, час.
Так как труд работника оплачивается исходя из установленного ему оклада,
то часовая ставка определяется по формуле Б.5:
(Б.5)
где Ок - оклад работника за месяц, руб.
Д - среднее число рабочих дней в месяце, дни
Тсм - продолжительность рабочего дня, час.
Расчет суммы затрат на заработную плату и обязательных начислений на неё
представлен в таблице Б.5.
Таблица Б.5 - Расчет затрат на заработную плату и обязательных начислений
на неё
|
Категория работников
|
Количество человек
|
Квалификационный разряд
|
Часовая тарифная ставка,
руб.
|
Затраченное время, час.
|
Основная заработная плата,
руб.
|
Дополнительная заработная
плата, руб.
|
Обязательные начисления,
руб.
|
Итого затраты на заработную
плату, руб.
|
|
Руководитель
|
1
|
Младший научный сотрудник
|
60
|
100
|
6000
|
2080
|
2100
|
10180
|
|
Студент
|
1
|
|
-
|
-
|
4400
|
-
|
1144
|
5544
|
|
Итого
|
|
|
|
|
10400
|
2080
|
3244
|
15724
|
Таблица Б.6 - Смета затрат на разработку «Know how»
|
Наименование статьи затрат
|
Сумма, тыс. руб.
|
Удельный вес, %
|
|
1 Сырье, материалы,
реактивы, покупные изделия и полуфабрикаты
|
9070
|
9,96
|
|
2 Энергетические ресурсы, в
том числе: 2.1 электроэнергия 2.2 вода
|
2986 257.5
|
3,28 0,28
|
|
3 Специальное оборудование
для научных и экспериментальных работ
|
63327
|
69,51
|
|
4 заработная плата с
обязательными начислениями, в том числе: 4.1 основная заработная плата 4.2
дополнительная заработная плата 4.3 обязательные начисления на социальные
нужды
|
10400 2080 3244
|
11,42 2,28 3,56
|
|
итого
|
91107
|
100%
|
В соответствии с затратами договорная цена на научно-исследовательскую
работу (НИР) Цн определяется по формуле Б.6.
(Б.6)
где Зн - затраты на выполнение исследования,
предусмотренного планом дипломной работы
Р - уровень рентабельности исследования, %
К - коэффициент, учитывающий поощрительную надбавку за качество
разработки
Цн = 91107·(1+20/100)·1,1 = 120261 руб.
ВЫВОД
. Результаты данного исследования являются продолжением работ по изучению
растворимости нитратов бария и стронция, которые ведуться в НПО "Радиевый
институт им. В.Г. Хлопина" в отделении прикладной радиохимии. Ценность
полученных результатов заключается в выборе более оптимальных с экономической
точки зрения условий переработки ОЯТ. Планируется дальнейшая работа по
указанной тематике.
. Договорная цена на НИР составила 120261 руб.
ПРИЛОЖЕНИЕ В
(обязательное)
Патентный поиск
Целью патентного поиска являлось выявление аналогов и прототипов
разрабатываемого технологического процесса. В ходе работ не было найдено
никаких патентов в данной изучаемой области.
ПРИЛОЖЕНИЕ Г
(обязательное)
Виды и объем работ, выполненных с использованием ЭВМ
При выполнении настоящей дипломной работы широко использовалась
электронно-вычислительная техника. Общие затраты машинного времени составили
580 часов.
Наиболее активно вычислительная техника применялась для математической
обработки данных, полученных в ходе выполнения экспериментальной части данной
работы.
Все расчеты были проведены в лаборатории вычислительной техники и
инструментальных методов анализа в секторе № 902 РИ им. Хлопина
При помощи ЭВМ были реализованы:
- расчеты растворимостей нитратов бария и стронция
- построение графиков и общее оформление дипломной работы.
Для обработки экспериментальных данных и построения графиков применялись
следующие готовые программные средства: Microsoft Word (версия 2003) и
Microsoft Excel (версия 2003).
В результате применения электронно-вычислительной техники была
значительно увеличена скорость обработки экспериментальных данных, а также
повышена точность ее результатов.
ПРИЛОЖЕНИЕ Д
Стандартизация
При выполнении настоящей дипломной работы учитывались требования СТП ЛТИ
03-85 КС УКДВ. Порядок введения и
контроля за соблюдением стандартов в институте.
Состав работы и содержание ее основных частей соответствует СТП ЛТИ
2.605.017-85 КС УКДВ.
Виды учебных занятий. Дипломный проект, работа и работа-проект. Общие
требования ГОСТ 15.101-80
СРПП. Порядок проведения научно-исследовательских работ и ГОСТ 7.32-81 СИБИД. Отчет о
научно-исследовательской работе. Общие требования и правила оформления.
Разделы работы составлены согласно ГОСТ 7.1-84 СИБИД. Библиографическое описание документа. Общие
требования и правила составления, ГОСТ 7.12-77 СИБИД. Сокращение русских слов и словосочетаний в
библиографическом описании, ГОСТ 15.101-80. Единицы измерения величин.
При выполнении экспериментальной части дипломной работы соблюдались
санитарные нормы и правила согласно:
ГОСТ 12.0.003-74
ССБТ. Опасные и вредные производственные факторы. Классификация.
ГОСТ 12.1.005-88
ССБТ. Воздух рабочей зоны. Общие санитарно-гигиенические требования.
СНиП 11-4-79 Естественное и искусственное
освещение производственных помещений.
ГОСТ 12.4.021-75
ССБТ. Системы вентиляционные. Общие требования