Основы электрохимии

  • Вид работы:
    Методичка
  • Предмет:
    Химия
  • Язык:
    Русский
    ,
    Формат файла:
    MS Word
    760,76 Кб
  • Опубликовано:
    2012-09-17
Вы можете узнать стоимость помощи в написании студенческой работы.
Помощь в написании работы, которую точно примут!

Основы электрохимии

Министерство cельского хозяйства Российской Федерации

Уральская государственная сельскохозяйственная академия

Кафедра химии









ОСНОВЫ ЭЛЕКТРОХИМИИ

Методические указания для самостоятельной работы





студентов 1 курса факультета механизации

сельского хозяйства УрГСХА




Екатеринбург, 2001

Содержание

1. Гальванические элементы

2. Электролиз

2.1 Электролиз расплава

2.2 Электролиз раствора

2.3 Законы электролиза (законы Фарадея)

3. Химические источники тока

3.1 Свинцовый (кислотный) аккумулятор

3.2 Щелочные аккумуляторы

3.3 Топливные элементы

4. Коррозия металлов

4.1 Химическая коррозия

4.2 Электрохимическая коррозия

4.3 Защита от коррозии

Литература

Электрохимия изучает закономерности, связанные с превращением химической и электрической энергии. Электрохимия включает три основных раздела: электропроводность, электролиз, электродвижущие силы гальванических элементов.

 

1. Гальванические элементы


В окислительно-восстановительных реакциях происходит переход электронов от одних атомов или ионов к другим, при этом химическая энергия превращается в тепловую.

Гальваническим элементом называется прибор, в котором происходит превращение химической энергии в электрическую за счет окислительно-восстановительной реакции, при отсутствии непосредственного контакта между веществами и переход электронов осуществляется с помощью металлического проводника.

Механизм гальванического элемента связан со структурой металла, в узлах кристаллической решетки которой находятся ионы. При погружении металла в воду, ионы, имеющиеся на поверхности, гидратируются полярными молекулами воды и переходят из пластинки в раствор, оставляя на пластинке электроны, которые заряжают ее отрицательно. Вследствие электростатического притяжения, ионы цинка из раствора притягиваются к цинковой пластинке, что препятствует дальнейшему переходу ионов цинка в раствор, устанавливается подвижное равновесие и образуется двойной электрический слой (ДЭС). Скачок потенциала, возникающий на границе между металлом и раствором, называется электродным потенциалом. Чем активнее металл, тем больше ионов переходит в раствор и тем больше величина отрицательного заряда. Так как цинковая пластинка заряжается отрицательно, то такой электродный потенциал считается отрицательным.

На медном электроде происходит иное явление: энергия электронно-ионной связи в медной пластинке больше, чем в цинке, поэтому катионы меди переходят из раствора на пластинку в большем количестве, чем с поверхности металла в раствор, и медная пластинка заражается менее отрицательно, чем цинковая, а прилегающий к ней слой жидкости отрицательно. Такой электродный потенциал считается положительным.

Электродом гальванического элемента называется система, состоящая из металла, погруженного в раствор ионов этого же металла.

При соединении медной и цинковой пластинок металлическим проводником ионы более активного металла (цинка) переходят в раствор,

адсорбируются на пластинке и электроны, имеющиеся в избытке на цинковой пластинке пойдут от цинковой пластинки к медной, в результате чего возникнет электрический ток. Электроны, попадая на медную пластинку, нейтрализуют ионы меди, имеющиеся в растворе и ионы меди осаждаются на медной пластинке. Уменьшение электронов на цинковой пластинке компенсируется переходом в раствор новых ионов цинка, нарушается ДЭС, при этом сульфат-ионы переходят от медной пластинке к цинковой.

Электрод, на котором идет процесс окисления (отдача электронов), называется анодом. Электрод, на котором идет процесс восстановления (присоединения электронов), называется катодом.

Гальванические элементы изображаются в виде схем:

A (-) Zn | ZnSO4 || CuSO4 | Cu (+) K(-) Zn | ZnSO4 (С, моль/л) || CuSO4 (С, моль/л) | Cu (+) K(-) Zn | Zn2+ || Cu2+ | Cu (+) K(-) Zn | Zn2+ (С, моль/л) || Cu2+ (С, моль/л) | Cu (+) K

Электродные процессы выражаются уравнениями:

(A)Zn0 - 2 e => Zn2+ (процесс окисления)

(К) Сu2+ + 2 e => Cu0 (процесс восстановления)

_________________________

Zn0 + Cu2+ => Cu0 + Zn2+.

В гальваническом элементе имеются 4 границы возникновения разности потенциала:

·   между первым металлом и раствором его соли возникает электродный потенциал (е 1);

·   между вторым металлом и раствором его соли возникает еще один электродный потенциал (е2);

·   на границе между двумя растворами возникает диффузный потенциал вследствие различия в подвижности ионов, который устраняется включением между растворами электролита, имеющего у обоих ионов одинаковую подвижность, чаще всего используют насыщенный раствор хлорида калия (солевой мостик);

·   на границе между двумя металлами из-за перехода электронов, возникает контактный потенциал, но его значение учитывается при определении электродного потенциала.

Таким образом, электродвижущая сила (ЭДС) гальванического элемента равна разности электродных потенциалов:

ЭДС = екатода - еанода,

причем екатода > еанода, то есть катодом является электрод, имеющий большее значение электродного потенциала, а анодом меньшее.

Уравнение электродного потенциала (уравнение Нернста):

или e = e0 + 2.303. RT/ nF. lq [CMn+],

где е - электродный потенциал, В;

R - универсальная газовая постоянная, R = 8.31 Дж/ град. моль;

Т - абсолютная температура, К;

F - постоянная Фарадея, F = 96500 кулон;

n - валентность иона металла;

С - концентрация ионов металла в растворе; CMn+ = α. Cсоли

(α - степень диссоциации);

е0 - стандартный (нормальный) электродный потенциал, он равен электродному потенциалу, когда концентрация ионов металла в растворе равна единице: С = 1 моль/л => lq 1 = 0 => e = e0. Величины стандартных электродных потенциалов металлов определены экспериментально относительно стандартного водородного электрода, потенциал которого условно принят равным нулю: е0 (H2/ 2Н+) = 0.

Ряд металлов, расположенный в порядке возрастания электродных потенциалов, называется рядом напряжения.

Li/Li+

K/K+

Ca/Ca2+

Na/Na+

Mg/Mg2+

Al/Al3+

Mn/Mn2+

Zn/Zn2+

-3.05

-2.93

-2.87

-2.36

-1.66

-1.18

-0.76

Cr/Cr3+

Fe/Fe2+

Cd/Cd2+

Co/Co2+

Ni/Ni2+

Sn/Sn2+

Pb/Pb2+

H2/2H+

-0.74

-0.44

-0.40

-0.28

-0.25

-0.14

-0.13

0

Cu/Cu2+

Ag/Ag+

Au/Au3+

+0.34

+0.80

+1.50

Свойства ряда напряжений:

1. Чем меньше значение электродного потенциала, тем активнее металл, больше восстановительная способность атомов и меньше окислительная способность ионов: самым активным восстановителем из ряда напряжений является литий (Li), а самым активным окислителем ион 3-х валентного золота (Au3+).

. Каждый предыдущий металл вытесняет все следующие за ним из водных растворов их солей:

Zn + CuSO4 => ZnSO4 + Cu.

. Металлы, стоящие в ряду напряжений до водорода, вытесняют водород из разбавленных растворов кислот:

Zn + 2 HCl => ZnCl2 + H2.

. В гальваническом элементе анодом является более активный металл, то есть стандартный электродный потенциал которого меньше:

A (-) Zn | ZnSO4 || CuSO4 | Cu (+) K0 (Zn | ZnSO4) = - 0.76 B; e0 (CuSO4 | Cu) = + 0.34 B.0 (Zn | ZnSO4) < e0 (CuSO4 | Cu), следовательно Zn-электрод является анодом (-), а Cu-электрод - катодом (+).

Для приблизительных расчетов уравнение Нернста имеет вид:

е = е0 + 0.000198. Т/n. lq C = e0 + 2.10-4. T/n. lq C, где 2.303. RT/F =

= 2.303.8.31/96500 = 0.000198.

При 180С: е = е0 + 0.058/n. lq C;

При 250С: е = е0 + 0.059/n. lq C.

ПРИМЕР 1.1 Рассчитать при температуре 25 0С ЭДС медно-цинкового гальванического элемента, если концентрации сульфата цинка и сульфата меди равны соответственно 0.1 и 0.01 моль/л. Степень диссоциации каждой из солей принять равной 1.

A (-) Zn | ZnSO4 (0.1 моль/л) || CuSO4 (0.01 моль/л) | Cu (+) K

e0 (Zn | ZnSO4) = - 0.76 B; e0 (CuSO4 | Cu) = + 0.34 B.Zn2+ = α. Cсоли = 1.0.1 = 0.1 моль/л;

CCu2+ = α. Cсоли = 1.0.001 = 0.01 моль/л;

е (Zn | ZnSO4) = е0 (Zn | ZnSO4) + 0.059/n lq [ZnSO4] = - 0.76 +

+ 0.059/2 lq 0.1 = - 0.76 + 0.059/2 (-1) = - 0.79 B.

е (Cu | CuSO4) = е0 (Cu | CuSO4) + 0.059/n lq [CuSO4] = + 0.34 +

+ 0.059/2 lq 0.01 = + 0.34 + 0.059/2 (-2) = + 0.28 B.

ЭДС = е (Cu | CuSO4) - е (Zn | ZnSO4) = 0.28 - ( - 0.79) = 1.07 В.

ПРИМЕР 1.2 Чему равна ЭДС концентрационной цепи из водородных электродов, заполненных 0.01 и 0.001-нормальными растворами азотной кислоты при температуре 18 0С, если степень диссоциации принять равной 1?

(Pt) H2| HNO3 (0.01 моль/л) || HNO3 (0.001 моль/л) | H2 (Pt)

Учитывая, что [H+] = α. [HNO3] = 1. [HNO3], получим:

(Pt) H2| H+ (0.01 моль/л) || H+ (0.001 моль/л) | H2 (Pt)

При 250С: е (H2| H+) = е0 (H2| H+) + 0.059/n. lq [H+].

е 1 (H2| H+) = е0 (H2| H+) + 0.059/n. lq [H+] 1 = 0 + 0.059/1. lq 0.01 =

= 0 + 0.059. (-2) = - 0.118 B,

е 2 (H2| H+) = е0 (H2| H+) + 0.059/n. lq [H+] 2 = 0 + 0.059/1. lq 0.001 =

= 0 + 0.059. ( - 3) = - 0.177 B,

ЭДС = е 1 (H2| H+) - е 2 (H2| H+) = - 0.118 - ( - 0.177) = 0.059 В.

Так как е 1 (H2| H+) > е 2 (H2| H+), то 1-й электрод является катодом, а 2-й - анодом:

(-) катод (Pt) H2| HNO3 (0.01 моль/л) || HNO3 (0.001 моль/л) | H2 (Pt) анод (+)

ПРИМЕР 1.3 При какой концентрации ионов цинка ЭДС медно-цинкового гальванического элемента равна 1.1 В, если концентрации ионов меди в растворе 0.01 моль/л?

A (-) Zn | ZnSO4 (? моль/л) || CuS O4 (0.01 моль/л) | Cu (+) K

е (Cu | CuSO4) = е0 (Cu | CuSO4) + 0.059/n lq [CuSO4] = + 0.34 +

+ 0.059/2. lq 0.01 = + 0.34 + 0.059/2 (-2) = + 0.28 B.

ЭДС = е (Cu | CuSO4) - е (Zn | ZnSO4) = 0.28 - е (Zn | ZnSO4) = 1.1 В,

Откуда е (Zn | ZnSO4) = 0.28 - 1.1 = - 0.82 В.

е (Zn | ZnSO4) = е0 (Zn | ZnSO4) + 0.059/n lq [ZnSO4] = - 0.76 +

+ 0.059/2 lq [ZnSO4] = - 0.82 B

откуда lq [ZnSO4] = ( - 0.082 + 0.76) / 0.0295 = - 2

C [ZnSO4] = 10-2 = 0.01 моль/л.

Учитывая, что С12 =10 и

е (Cu | CuSO4) = е0 (Cu | CuSO4) + 0.059/n lq [CuSO4]

е 1 (Cu | CuSO4) - е 2 (Cu | CuSO4) = + 0.059/2. lq [C1/C2] =

= + 0.059/2 lq [10] = 0.0295 B.

2. Электролиз


Электролизом называется окислительно-восстановительный процесс, протекающий на электродах при прохождении электрического тока через раствор или расплав электролита. Этот процесс сопровождается превращением электрической энергии в химическую, то есть за счет электрической энергии осуществляется химическая реакция восстановления на катоде и окисления на аноде; при этом катод отдает электроны катионам, а анод принимает электроны от анионов.

Для проведения электролиза используется электролизер: электроды погружают в раствор электролита и соединяют с источником постоянного тока.

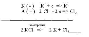
2.1 Электролиз расплава


Если в расплав хлорида калия погрузить угольные электроды и пропустить постоянный электрический ток, то ионы будут двигаться к электродам: катионы калия K+ - к отрицательно-заряженному катоду, анионы Cl - к положительно-заряженному аноду:

2.2 Электролиз раствора


Электролиз раствора более сложен, т.к. в нем принимают участие молекулы воды.

КАТОДНЫЙ ПРОЦЕСС. Возможны три случая.

1. Катионы металлов, расположенные в ряду напряжений от лития до алюминия (Li+ - Al3+), не восстанавливаются на катоде, а вместо них восстанавливаются молекулы воды:

2 H2O + 2 e => H2 + 2 OH-1.

2. Катионы металлов, расположенные в ряду напряжений от алюминия до водорода (Al3+ - 2H+), восстанавливаются на катоде совместно с молекулами воды:

Мn+ + n e => M

H2O + 2 e => H2 + 2 OH-1.

3. Катионы металлов, расположенные в ряду напряжений после

водорода (Сu2+ - Au3+) полностью восстанавливаются на катоде: Мn+ + n e => M.

АНОДНЫЙ ПРОЦЕСС. Характер реакций зависит от присутствия молекул воды и от вещества, из которого сделан анод.

Нерастворимый анод (уголь, графит, платина и др.).

1. Анионы бескислородных кислот (Cl - , Br - , I - , S2-) легко окисляются: 2Cl - 2 e => Cl2

S2 - 2 e => S0.

. Анионы кислородсодержащих кислот (SO42-, NO3-, PO43-, CO32-) на аноде не окисляются, вместо них окисляются молекулы воды:

H2O - 4 e => O2 + 4 H+.

 

электрохимия электролиз гальванический элемент

Растворимый анод (изготовляют из металлов: меди, серебра, цинка, кадмия, никеля и других) при электролизе разрушается, то есть переходит в раствор в виде ионов: М0 - n е => Мn+.

Электролиз с растворимым анодом находит широкое применение:

·   получение металлов высокой чистоты;

·   покрытие одних металлов слоем других металлов (гальваностегия);

·   получение рельефных изображений, точных металлических копий с различных предметов (гальванопластика).

ПРИМЕР 2.1 Электролиз расплава хлорида меди.

СuCl2 => Cu2+ + 2 Cl -

(-) Катод (С) Cu2+ + 2 e => Cu

(+) Анод (С) 2 Cl - 2 e => Cl2

ПРИМЕР 2.2 Электролиз раствора хлорида меди с угольными электродами.

СuCl2 => Cu2+ + 2 Cl -

H2O

(-) Катод (С) Cu2+ + 2 e => Cu

(+) Анод (С) 2 Cl - 2 e => Cl2

ПРИМЕР 2.3 Электролиз раствора хлорида меди с медным анодом.

СuCl2 => Cu2+ + 2 Cl -

H2O

(-) Катод (Cu) Cu2+ + 2 e => Cu

(+) Анод (Cu) Сu0 - 2 е => Cu2+.

ПРИМЕР 2.4 Электролиз раствора сульфата цинка с платиновыми электродами. ZnSO4 => Zn2+ + SO42-

H2O

(-) Катод (Pt) Zn2+ + 2 e => Zn

H2O + 2 e => H2 + 2 OH-1

(+) Анод (Pt) 2 H2O - 4 e => O2 + 4 H+

ПРИМЕР 2.5 Электролиз сульфата цинка с цинковым анодом.

ZnSO4 => Zn2+ + SO42-2O

(-) Катод (Zn) Zn2+ + 2 e => Zn

(+) Анод (Zn) Zn - 2 e => Zn2+.

ПРИМЕР 2.6 Электролиз сульфата калия с угольными электродами.

К2 SO4 => 2 К + + SO42-

H2O

(-) Катод (С) 2 H2O + 2 e => H2 + 2 OH-1.

(+) Анод (С) 2 H2O - 4 e => O2 + 4 H+

ПРИМЕР 2.7 Электролиз сульфата калия с цинковыми электродами.

2.3 Законы электролиза (законы Фарадея)

 

Количество вещества (m), восстановленного на катоде и окисленного на аноде, пропорционально количеству прошедшего электричества (Q) и химическому эквиваленту (Э):

 


где F=96500 кулон (постоянная Фарадея).

Зная, что Q = I. t, где I - сила тока, t - время прохождения тока, можно записать:

ПРИМЕР 2.8 Ток силой 10 ампер пропускали через раствор сульфата меди 2 часа. Определить массу выделившегося металла.

ПРИМЕР 2.9 Сколько нужно пропускать ток силой 5 ампер, чтобы из раствора серной кислоты выделить 50 литров водорода при н. у.


3. Химические источники тока


В принципе для получения электрической энергии можно использовать любую окислительно-восстановительную реакцию. Для этого надо разделить процессы окисления и восстановления и провести их отдельно на электродах.

Устройства, вырабатывающие электрический ток за счет энергии окислительно-восстановительной реакции, называются химическими источниками тока.

Простейшим примером химического источника тока может служить медно-цинковый гальванический элемент Даниэля-Якоби. В других широко применяемых гальванических элементах используются не два электролита, как в медно-цинковом, а один, что удобнее в эксплуатации. Эти элементы относятся к первичным источникам тока, так как они предназначены для одноразового использования (или в несколько приемов). После разряда такие элементы к дальнейшей работе непригодны.

Вторичные химические источники тока допускают многократное их использование - аккумуляторы. Они характеризуются обратимостью: после разрядки их работоспособность может быть восстановлена пропусканием тока от внешнего источника в обратном направлении (электролиз).

Аккумуляторы - приборы, которые служат для накопления химической энергии, превращающейся по мере необходимости в электрическую.

Превратив с помощью электролиза электрическую энергию в химическую, можно получить эту энергию обратно, если использовать элемент в качестве гальванического. Анод аккумулятора при разряде служит катодом при зарядке. Аккумуляторы бывают кислотные и щелочные.

 


3.1 Свинцовый (кислотный) аккумулятор


Свинцовый (кислотный) аккумулятор состоит из свинцовых пластин в виде решеток или рам с ребристой поверхностью. Отверстие в пластинах заполнено пастой из оксида свинца PbO и воды. Эти электроды опускаются в раствор 30-35 % серной кислоты H2SO4 c плотностью 1.25 - 1.30 г/мл. Концентрация кислоты может изменятся в зависимости от условий работы, Например, у аккумуляторов, применяемых в автомобилях эта концентрация зимой больше, чем летом. При этом происходит реакция:

PbO + H2SO4 => PbSO4 ↓ + H2O

 

Образующийся сульфат свинца PbSO4 нерастворим и остается на поверхности электрода.

ЗАРЯДКА АККУМУЛЯТОРА. Анод цепи аккумулятора соединяют с анодом генератора постоянного тока, а катод с катодом генератора. При этом происходят реакции:

К (-) PbSO4 + 2 е => Pb0 + SO42 - на катоде образуется губчатый свинец Pb и концентрация кислоты увеличивается.

А (+) PbSO4 + SO42 - 2 е => Pb (SO42-) 2. Образующаяся на аноде соль Pb (SO42-) 2, подвергается гидролизу:

Pb (SO42-) 2 + 4 H2O => Pb (OH) 4 + H2SO4

Pb (OH) 4 => PbO2 + 2 H2O

Или суммарно: Pb SO4 + 2 H2O - 2 е => PbO2 + 2 H2SO4.

В результате на одной пластине образуется губчатый свинец (катод аккумулятора), на другой - пористый PbO (анод аккумулятора).

Образовался гальванический элемент:

(-) Pb | H2SO4 | PbO2 (+).

При соединении металлическим проводником - РАЗРЯДКА:

K (+) PbO2 + 2 e + 4 H+ + SO42 - = > PbSO4 + 2 H2O(-) Pb0 - 2 e + SO42 - = > PbSO4.

Или суммарно:


ЭДС = 2 вольта. Напряжение меньшее 1.85 В недопустимо, при этом аккумулятор портится и считается разряженным.

Схема зарядки и разрядки свинцового аккумулятора:

 


Применяется в автомобилях, тракторах, электрохимических лабораториях. Недостаток - большая масса. Выгодно отличаются от свинцового - щелочные аккумуляторы: они более просты в уходе, у них больше срок службы и меньше масса. Используются для питания телефонных, телеграфных станций, радиоустановок и др.

3.2 Щелочные аккумуляторы


В железо-никелевом аккумуляторе активной массой анода является губчатое железо, спрессованное со специальными добавками HgO; катода - гидроксид никеля Ni (OH) 3, который частично дегидратируется до NiOOH; электролитом - 23-30% раствор КОН с плотностью 1.21 г/мл. ЭДС = 1.35 вольт.

Схема зарядки и разрядки железо-никелевого аккумулятора:

 


Недостаток - низкий коэффициент отдачи (50%), т.к. энергия поглощается при зарядке. Более высокий коэффициент отдачи имеет кадмиево-никелевый аккумулятор.

Схема зарядки и разрядки кадмиево-никелевого аккумулятора:

 


В последнее время широкое использование получили серебряно-цинковые аккумуляторы, у которых при малом весе значительно больше емкость и они работают в широком интервале температур (от - 60 до + 800С), кроме того они могут долго хранится в заряженном состоянии и работать в широком интервале атмосферного давления. ЭДС = 1.85 вольта.

Емкость аккумулятора - это количество электричества, выраженное в ампер-часах, которое может быть получено от заряженного аккумулятора. Емкость свинцового аккумулятора выше, чем щелочных аккумуляторов.

Схема зарядки и разрядки серебряно-цинкового аккумулятора:

 


Особой разновидностью химических источников тока являются электрохимические генераторы или топливные элементы.

3.3 Топливные элементы


В топливном элементе химическая реакция горения топлива непосредственно превращается в электрическую энергию, поэтому КПД его превышает 80%. Как и в любом химическом источнике тока, реакция между восстановителем (топливом) и окислителем протекает на двух пространственно разделенных электродах. Однако в отличие от обычных источников тока запасы топлива и окислителя находятся не с самом элементе, а подаются в электроды извне. Это элемент непрерывного действия, т.к. реагирующие вещества непрерывно подводят к электродам, а продукты горения - отводят.

В топливных элементах используется жидкое (метиловый, этиловый спирт, формальдегид, гидразин) или газообразное топливо (водород, оксид углерода, пары бензина, этилен, бутан, пропан и др. горючие газы). В качестве окислителя применяют воздух, кислород, хлор, бром. Электролиты - водные растворы кислот, щелочей, расплавленные карбонаты, гидроксиды металлов.

Водородно-кислородный топливный элемент

В герметически закрытом сосуде установлено два пористых никелевых электрода, разделенных слоем гидроксида калия. К поверхностям электродов подаются газообразные водород и кислород:

(-) H2 | KOH | O2 (+)

АНОД (-) H2 + 2 OH - 2 e => 2 H2O

КАТОД (+) ½ O2 + H2O + 2 e => 2 OH-

CУММАРНО: ½ O2 + H2 => H2O, то есть элемент основан на принципе, обратном электролизу воды.

4. Коррозия металлов


Коррозия металлов - это разрушение металлов в результате взаимодействия с окружающей средой. Общеизвестный случай - ржавление железа. Стойкими против коррозии являются только благородные металлы (Ag, Au, Pt). Из-за коррозии многие ценные свойства металлов утрачиваются: уменьшается прочность, эластичность, ухудшаются электрические и магнитные свойства металлов, изменяются размера деталей, свойства их поверхности. При этом в результате поломки какой-нибудь небольшой детали, могут выйти из строя целые агрегаты и машины.

Основные виды коррозии определяются характером разрушения: равномерная (сплошная), местная, межкристаллитная, избирательная, коррозионные трещины.

По механизму протекания коррозионных процессов различают два типа коррозии: химическую и электрохимическую.

 

4.1 Химическая коррозия

 

Химическая коррозия - это окисление металла в результате непосредственного химического взаимодействия с окружающей средой (которая называется агрессивной) без возникновения в системе электрического тока:

1) Газовая - окисление металла кислородом воздуха, сернистым газом, сероводородом, оксидом углерода (II), продуктами сгорания топлива при высокой температуре;

2) Жидкостная - коррозия металлов в жидкой среде, не проводящей электрический ток (нефть, бензин, керосин, смазочные масла), например, разрушение цилиндра двигателя внутреннего сгорания в жидком топливе (в жидком топливе содержатся примеси серы и ее соединения, которые превращаются в SO2, SO3);

3) Металлы могут корродировать и в результате взаимодействия с твердыми веществами, например, при взаимодействии железа с хлорной или гашеной известью.

Однако наличие даже небольшого количества влаги может сообщить коррозии электрохимический характер.

 

4.2 Электрохимическая коррозия

 

Электрохимическая коррозия - это разрушение металла в среде электролита с возникновением в системе электрического тока. Окисление металла и восстановление окислителя происходят без их непосредственного контакта на разных участках (катод и анод) поверхности металла (как в гальваническом элементе).

Причиной электрохимической коррозии может быть наличие в металлах примесей, дефектов кристаллической структуры, контакт с другими металлами, в результате чего на различных участках металла возникает разность потенциалов и поэтому и при соприкосновении с раствором электролита образуется непрерывно работающий гальванический элемент, в котором более активный металл разрушается. Таким образом, электрохимическая коррозия может рассматриваться как совокупность работы множества короткозамкнутых микрогальванических элементов.

Среда, в которой протекает электрохимическая коррозия:

1) Электролиты: растворы и расплавы солей, оснований, кислот;

2) Морская и речная вода;

4) Почва;

5) Коррозия блуждающими токами.

МЕХАНИЗМ ЭЛЕКТРОХИМИЧЕСКОЙ КОРРОЗИИ:

M1 | среда | M2

1. Анодный процесс окисления металла: M0 - n e => Mn+ (анодом является металл или участок металла с меньшим значением электродного потенциала);

2. Перенос электронов от анода к катоду (катодом является металл или участок металла с большим значением электродного потенциала), в результате чего катод поляризуется (заряжается отрицательно);

3. Катодный процесс восстановления окислителя из окружающей среды: Ox + n e => Red. Окислитель (Ox), связывая электроны деполяризует катодный участок (снимает отрицательный заряд), поэтому окислители в электрохимической коррозии, называются деполяризаторами. В зависимости от характера среды деполяризаторами могут быть H+ или O2. В связи с чем различают:

1)   Коррозия с водородной деполяризацией протекает в кислой среде (рН < 7): 2 H+ + 2 e => H20.

2) Коррозия с кислородной деполяризацией протекает в нейтральной (рН = 7) или щелочной среде (рН > 7):

O2 + 2 H2O + 4 e => 4 OH (-).

ПРИМЕР 4.1 Коррозия сплава железа и меди в кислой среде.


Стандартный электродный потенциал железа ( - 0.44 вольта) меньше стандартного электродного потенциала меди (+ 0.34 вольта), следовательно в данной гальванопаре железо является анодом, а медь - катодом, а т.к. среда кислая (HCl, pH < 7) идет коррозия с водородной деполяризаций: 2 H+ + 2 e => H20.

ПРИМЕР 4.2 Коррозия железа во влажном воздухе (атмосферная коррозия).

ПРИМЕР 4.3 Коррозия сплава железа и меди в морской воде.

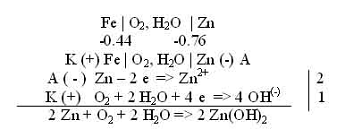
А (-) Fe | NaCl | Сu (+) К(-) Fe - 2 e => Fe2+

K (+) O2 + 2 H2O + 4 e => 4 OH (-)

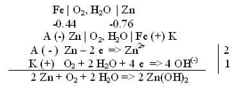
ПРИМЕР 4. Коррозия сплава железа и меди в щелочной среде.

А (-) Fe | NaОН | Сu (+) К(-) Fe - 2 e => Fe2+

K (+) O2 + 2 H2O + 4 e => 4 OH (-)

4.3 Защита от коррозии


1) Изменение состава среды: удаление вредных примесей (например, удаление кислорода из воды увеличивает срок службы паровых котлов); применение замедлителей кислотной коррозии (ингибиторов).

2) Защитные покрытия: неметаллические (применение эмалей, лаков, красок, полимеров и др.) и металлические (анодное и катодное покрытие). Металлические покрытия часто наносят гальваническим путем. Если потенциал покрытия более отрицателен, чем потенциал защищаемого металла, то покрытие называется анодным, оно защищает металл и в том случае, когда покрытие нарушено. Например, железо покрыто цинком (оцинкованное железо): при нарушении защитного покрытия слой цинка предохраняет железо от коррозии, т. к цинк покрыт снаружи защитной пленкой и при повреждении цинкового защитного слоя в присутствии влаги возникает гальваническая пара железо - цинк, где катодом служит железо, а анодом - цинк; электроны переходят от цинка к железу и связываются молекулами кислорода в присутствии молекул вода (кислородная деполяризация), цинк растворяется, но железо остается защищенным до тех пор, пока не будет разрешен весь слой цинка.

 

Если потенциал покрытия более положителен, чем потенциал защищаемого металла, то покрытие называется катодным. Например, железо покрыто никелем (никелированное железо): при нарушении катодного покрытия коррозия железа ускоряется (однако покрытие железных изделий никелем, хромом помимо защиты придает им красивый внешний вид):


Т.к. электродный потенциал железа более отрицательный, чем никеля, то железо является анодом, а никель - катодом.


3) Электрохимическая защита: катодная и протекторная. При катодной защите защищаемое сооружение присоединяют к катоду внешнего источника постоянного тока, а в качестве анода используется металлический лом, который и корродирует. Протекторная защита применяется в тех случаях, когда защищаемая конструкция (подземный трубопровод, корпус судна), находящаяся в среде электролита (морская вода, подземные, почвенные воды и т.д.). Сущность ее заключается в том, что конструкцию соединяют с протектором - более активным металлом, чем металл защищаемой конструкции. В качестве протектора при защите стальных изделий обычно используется магний, алюминий, цинк. В процессе коррозии протектор служит анодом и разрушается, тем самым предохраняя конструкцию от разрушения. По мере разрушения протекторов их заменяют новыми. Например, схема протекторной защиты подземного трубопровода, протектор - цинк:

4)  


) Применение сплавов, стойких против коррозии, например, нержавеющая сталь.

Литература


1.       Хомченко Г.Р., Цитович И.Г. Неорганическая химия. - Высш. школа. - М. 1987

2.       Кульман А.Г. Общая химия. - Колос. - М. 1979

.        Глинка Н.Л. Общая химия. - Химия. - Л. - 2000

.        Глинка Н.Л. Задачи и упражнения по общей химии. - Химия. - М. - 1998

.        Коровин Н.В., Масленникова Т.Н., Мингулина Э.Н. Курс общей химии. - Высшая школа, М. - 1990

.        Кульман А.Г. Сборник задач по общей химии. - Высшая школа. - М. - 1975.

.        Основы электрохимии. Методические указания для самостоятельной работы по общей химии студентов 1 курса факультета механизации сельского хозяйства УрГСХА. Составитель: доцент кафедры химии УрГСХА Вискова Е.Г. Екатеринбург, УрГСХА, 2001г., с.21

Похожие работы на - Основы электрохимии

 

Не нашли материал для своей работы?
Поможем написать уникальную работу
Без плагиата!
Без нейросетей!