Исследование свойств водных дисперсий гидроксилсодержащих акрилатов и полиизоцианатов и покрытий на их основе

  • Вид работы:
    Дипломная (ВКР)
  • Предмет:
    Химия
  • Язык:
    Русский
    ,
    Формат файла:
    MS Word
    2,77 Мб
  • Опубликовано:
    2012-05-22
Вы можете узнать стоимость помощи в написании студенческой работы.
Помощь в написании работы, которую точно примут!

Исследование свойств водных дисперсий гидроксилсодержащих акрилатов и полиизоцианатов и покрытий на их основе

Содержание

Введение

. Литературный обзор

.1 Водные двухупаковочные полиуретановые системы

.2 Полиизоцианаты

.3 Полиолы для водных двухупаковочных полиуретановых систем

.4 Свойства и применение покрытий на основе водорастворимых двухупаковочных полиуретановых систем

. Объекты и методы исследования

.1 Выбор и характеристика объектов исследования

2.2 Методы исследований

3. Результаты исследований и их обсуждения

.1 Исследование влияния состава исходных водных полимерных композиций на однородность покрытий на их основе

.2 Изучение устойчивости дисперсий к гетерокоагуляции в период выдержки

.3 Изучение водопоглощения

.4 Исследование коалесценции композиций в течение времени выдержки перед нанесением

3.5 Исследования методом дифференциальной сканирующей калориметрии

3.6 Исследование содержания трехмера в пленке в процессе отверждения покрытия

.7 Исследования методом НПВО ИК-спектроскопии с Фурье- преобразованием

Заключение

Список используемых источников

Введение

Водные двухупаковочные полиуретановые системы являются альтернативными материалами с низким содержанием летучих органических соединений, конкурирующими с органоразбавляемыми лакокрасочными материалами.

В последние годы все большее распространение получают полиуретановые лакокрасочные материалы с использованием в качестве гидроксилсодержащих акриловых смол. Повышенный интерес к такого типа пленкообразующим обусловлен широкой возможностью варьирования свойств путем соответствующего подбора мономеров и отвердителей. При отверждении их различными полиизоцианатами можно получать материалы с высокими эксплуатационными свойствами: хорошая адгезия, высокий глянец, быстрое высыхание, стойкость к истиранию, устойчивость к растворителям и атмосферным воздействиям. Акрилуретановые покрытия превосходят полиэфируретановые по блеску, адгезии, а также атмосферостойкости, что обусловлено отсутствием в акриловом скелете омыляемых эфирных групп.

Водные полиуретановые покрытия широко применяются благодаря их высокому качеству и продолжают быстро приобретать все большее значение. Типичными областями их применения являются финишные покрытия для автомобилей и крупногабаритных транспортных средств, покрытия для металлов, древесины и пластмасс, применение в строительстве, а также окрашивание тканей, стекла и бумаги. Кроме того, водные системы имеют большие перспективы применения в нетрадиционных для покрытий областях, например, в косметике и медицинской промышленности. В этих областях можно ожидать очень много инноваций. Разработка этих материалов является одним из приоритетных направлений развития мировой лакокрасочной промышленности.

В связи с этим тема дипломной работы, направленная на изучение свойств водных дисперсий гидроксилсодержащих акрилатов и полиизоцианатов и покрытий на их основе, является актуальной.

1. Литературный обзор

.1 Водные двухупаковочные полиуретановые системы

В течение нескольких десятилетий значение и доля на рынке сырьевых компонентов для водных лакокрасочных материалов неуклонно растет. Такое развитие обусловлено не только экологическими причинами или законодательством по ограничению содержания летучих органических соединений, но также существенными экономическими причинами. Особенно сейчас, во времена постоянно растущих цен на сырую нефть, необходимо избежать потерь большого количества ценного сырья в атмосферу в виде органических растворителей, а также необходимости их рекуперации с помощью дорогих процессов или даже сжигания. Кроме того, вредность органических растворителей для здоровья, а также опасности пожаров и взрывов требуют значительных затрат по обеспечению техники безопасности. Поэтому современные, экологически более безопасные лакокрасочные материалы содержат намного меньшее количество органических растворителей (системы с высоким сухим остатком, без растворителей или водные системы). Во многих случаях водные системы сравнимы с органоразбавляемыми аналогами по техническим характеристикам, а зачастую даже превосходят их.

Водные полиуретановые покрытия широко применяются благодаря их высокому качеству и продолжают быстро приобретать все большее значение. Типичными областями их применения являются финишные покрытия для автомобилей и крупногабаритных транспортных средств, покрытия для металлов, древесины и пластмасс, применение в строительстве, а также окрашивание тканей, стекла и бумаги. Кроме того, водные системы имеют большие перспективы применения в нетрадиционных для покрытий областей, например, в косметике и медицинской промышленности. В этих областях можно ожидать очень много инноваций.

Водные полиуретановые системы обычно основаны на полиуретановых дисперсиях, которые при необходимости могут дополнительно содержать полиакрилатные, полиэфирные или поликарбонатные дисперсии, а также содержать или не содержать сшивающие агенты. Методы их переработки практически такие же, так и у их органоразбавляемых аналогов. Водные лакокрасочные материалы наносят обычными методами, такими как окрашивание кистью, растекание, окунание или распыление.

Водные двухупаковочные полиуретановые системы были впервые описаны в 1988 году [1]. Свободные полиизоцианаты эмульгировали в водной дисперсии или в растворе гидроксилсодержащего полимера.Обычно использовались дисперсии гидроксилсодержащих полиакрилатов, сложных полиэфиров или полиэфиров, модифицированных уретанами.

Основные свойства покрытий, такие как блеск и стойкость, непосредственно зависят от образования однородной и плотной трехмерной сетки полимера. Главным условием для достижения этого является требование, чтобы дисперсия гидроксилсодержащего полимера смешивалась с полиизоцианатом как можно более однородно. Диспергированию полиизоцианатов в водной фазе способствуют три фактора: уменьшение межфазного поверхностного натяжения, применение больших усилий сдвига при эмульгировании и низкая вязкость непрерывной фазы (полиизоцианатного компонента).

Межфазное поверхностное натяжение можно снизить, используя гидро-фобизированные путем внутренней модификации полиизоцианаты. Данный эффект могут дать и внешние эмульгаторы, такие как подходящий полиол. Однако избыточная гидрофилизация будет отрицательно сказываться на свойствах покрытия [1]. При более низкой гидрофильности необходимо использовать диспергирующее оборудование, обеспечивающее высокие сдвиговые усилия. Очень эффективным оказалось струйное диспергирование, и этот способ, наряду с выбором соответствующих полиолов, позволяет применять гидрофобные полиизоцианаты.

Современные, модифицированные полиизоцианаты характеризуются как высокой функциональностью, так и низкой вязкостью, что обеспечивает легкое смешение. В этом отношении наилучшими свойствами обладают анионно-модифицированные полиизоцианаты. После смешения полиизоцианата с водным полиолом в течение времени жизни и при отверждении параллельно протекают ряд химических реакций.


Кроме желаемой реакции сшивания за счет взаимодействия изоцианатных и гидроксильных групп с образованием уретановых групп, изоцианатные группы реагируют также с водой с образованием мочевины и диоксида углерода. Однако эта реакция протекает относительно медленно и также повышает плотность полимерной сетки. Карбоксильные группы анионно-стабилизированной дисперсии полиола также реагируют с изоцианатами. Однако это взаимодействие происходит в сколько-либо заметной степени только тогда, когда нейтрализующий агент испаряется из лакокрасочной пленки. Вследствие того, что реакция между изоцианатными группами и водой протекает медленно, способность лакокрасочного материала к нанесению мало изменяется в течение времени жизни. При правильном выборе компонентов можно добиться жизнеспособности вплоть до 8 часов [4]. При использовании подходящего связующего образующийся при отверждении пленки углекислый газ не будет приводить к образованию в ней пузырьков, поскольку он успевает диффундировать из пленки сразу же, как только он образуется.

.2 Полиизоцианаты

Как правило, изоцианаты получают взаимодействием соответствующих первичных аминов с фосгеном [1]:


Также были разработаны альтернативные процессы производства без фосгена. Один из таких процессов заключается в реакции амина с мочевиной и спиртом с образованием уретана, который затем термически распадается с образованием изоцианата:

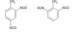
Все стандартные промышленные полиизоцианаты, применяемые при получении покрытий, являются производными всего нескольких диизоцианатов с алифатическими или ароматическими изоцианатными группами. В таблице 1 представлены наиболее важные диизоцианаты, выпускаемые в промышленном масштабе [1].

Таблица 1 - Промышленные диизоцианаты

Название диизоцианата

Формула

Гексаметилендиизоцианат (ГДИ)

Изофорондиизоцианаты (ИФДИ)

2,4 и 2,6-толуилендиизоцианат (ТДИ)

Ксилилендиизоцианат


Директива об опасных веществах относит мономерные диизоцианаты к токисчным веществам. ТДИ недавно был отнесен к особо токсичным веществам [1]. По соображениям производственной гигиены мономерные диизоцианаты обычно не применяют в качестве сырья для покрытий. Их сначала необходимо перевести в более высокомолекулярные, физиологически не столь опасные полиизоцианаты путем соответствующих модифицирующих реакций.

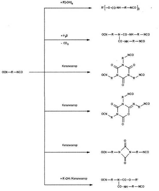
Наиболее характерными реакциями полиизоцианатов являются реакции присоединения сореагентов, содержащий активный атом водорода. Особенно легко протекают реакции с гидроксильными, аминными и карбоксильными группами. В таблице 2 приведен перечень основных реакций изоцианатных групп.

Таблица 2 - Основные реакции изоцианатов (схематически)

Реакция с:

Уравнение реакции

спиртом с образованием уретана

уретаном с образованием аллофаната

амином с образованием мочевины

водой с образованием мочевины

мочевиной с образованием биурета


Еще одним аргументом в пользу превращения диизоцианатов в полиизоцианаты - кроме уже упоминавшегося аспекта производственной гигиены - является возможность увеличить их функциональность. Описанные выше реакции позволяют получать полиизоцианаты с функциональностью больше двух. Что необходимо для образования пространственно сшитых продуктов. Только в этом случае достигается необходимая плотность сшивки в лакокрасочной пленке, обеспечивающая ее высокую стойкость. В других отношениях характерные свойства основного изоцианата сохраняются в его производных, например, светостойкость алифатических изоцианатов и склонность к пожелтению ароматических. Полиизоцианаты на основе циклоалифатических диизоцианатов повышают твердость, а иногда и хрупкость покрытий, которые при необходимости можно эластифицировать путем выбора полиола. Напротив, полиизоцианаты на основе линейных диизоцианатов, таких как ГДИ, позволяют получать эластичные пленки, гибкость и твердость которых можно регулировать в широких пределах за счет использования большого разнообразия полиолов. Что касается реакционной способности, то у поиизоцианатов она такая же, как и у диизоцианатов. На нее влияют стерические эффекты и тип NCO-группы - первичная вторичная или третичная.

Схемы реакций, приведенные ниже, приобрели промышленное значение при получении производных диизоцианатов [1] .


Промышленные изоцианаты не являются индивидуальными соединениями, а представляют собой смеси олигомеров с молекулярно массовым распределением. Это объясняется тем, что не только исходные мономерные диизоцианаты, но также и образующиеся полиизоцианаты продолжают реагировать с образованием более высокомолекулярных соединений. Для предотвращения образования сильносшитых высокомолекулярных продуктов в реакции участвует только некоторая доля изоцианатных групп, а непрореагтровавший избыток диизоцианаты впоследствии удаляется из реакционной смеси перегородкой.

В то время как при более высоких конверсиях увеличивается средняя молекулярная масса, вязкость и изоцианатная функциональность продукта, при меньших конверсиях увеличивается доля низкомолекулярных олигомеров, и образующиеся полиизоцианаты обладают низкой вязкостью пониженной функциональностью. Реакциями, используемыми при производстве полиизоцианатов, можно управлять. Так, например, при более высоких конверсиях соответствующих повышенному содержанию более высокомолекулярных полимеров, степень физической сушки лакокрасочной пленки можно повысить. Напротив, при определенном пути управления реакцией, позволяющем получать более низкомолекулярные полиизоцианаты, открывается возможность создавать экологически более безопасные лакокрасочные материалы с низким содержанием растворителей или вообще без них.

К полиизоцианатам, используемым для получения покрытий, предъявляют жесткие требования относительно их бесцветности. Поэтому для удаления избытка непрореагировавших диизоцианатов их отгоняют в тонкопленочных испарителях, когда продукт подвергается кратковременному воздействию повышенных температур.

Водные двухупаковочные полиуретановые системы уже являются альтернативными материалами с низким содержанием летучих органических соединений, конкурирующими с обычными органоразбавляемыми лакокрасочными материалами во многих областях применения. В этих двухфазных системах очень большое значение для достижения высокого качества получаемых покрытий имеет правильный выбор водной дисперсии полиола, а особенно выбор сшивающего агента.

Существуют две возможности образования трехмерной структуры из водных полимерных дисперсий [2]:

- применение гидрофобных, предпочтительно низковязких полиизоцианатов, аналогичных тем, которые используются в обычных двухкомпонентных полиуретановых материалах.

применение гидрофильно-модифицированных, самостоятельно эмульгирующихся полиизоцианатов, специально разработанных для этой цели.

Если низковязкие гидрофобные полиизоцианаты можно ввести в водные дисперсии только с использованием подходящих сопутствующих органических растворителей и высоких усилий сдвига (например, применение перемешивающих или диспергирующих машин), то в случае гидрофильно-модифицированных полиизоцианатов появляется возможность получения гомогенной не содержащей сорастворителей смеси связующего и сшивающего агента путем простого смешения вручную.

Для получения гидрофильных полиизоцианатов использовались различные подходы. Кроме применения внешних эмульгаторов, которым присущи различные недостатки, особенно эффективным оказалось частичное взаимодействие гидрофобных полиизоцианатов с гидрофильными сореагентами. Высокоактивные молекулы эмульгатора получают непосредственно в полиизоцианатной смеси. Таким способом можно получить покрытия, к качеству которых предъявляются самые высокие требования.

Например, простая реакция алифатических или циклоалифатических полиизоцианатов, таких как тримеры ГДИ, с низкомолекулярными монофункциональными простыми полиэфироспиртами на основе окиси этилена приводит к образованию полиизоцианатных смесей.

Неионогенную гидрофильно-модифицированную молекулу типа простого полиэфируретана можно представить в виде.


Такие гидрофилизованные полиизоцианаты можно легко эмульгировать в воде вручную без применения больших усилий сдвига [1]. Водоэмульгируемые полиизоцианаты этого типа в настоящее время являются общепринятыми сшивающими агентами для большинства водных лакокрасочных материалов.

Химическая гидрофильная модификация полиизоцианатов с помощью реакции уретанообразования с участием простых полиэфиров приводит, однако, к снижению изоцианатной функциональности, и поэтому образующиеся покрытия характеризуются более низкой плотностью сшивки, что обычно проявляется в ухудшении химической стойкости.

Это вызвало необходимость разработки усовершенствованных модифицированных простыми полиэфирами полиизоцианатов, в которых каждая гидрофильная полиэфирная цепь соединена с двумя молекулами полиизоцианатов с помощью аллофанатных групп.

Неионогенную гидрофильно-модифицированную молекулу типа простого полиэфираллофаната можно представить в виде


В случае этих неионогенных гидрофилизованных полиизоцианатов второго поколения, модификация простым полиэфиром увеличивает, а не уменьшает изоцианатную функциональность. Поскольку в этом случае требуется меньшее количество простого полиэфироспирта для достижения необходимой диспергируемости продуктов, то такие гидрофильные полиизоцианаты, содержащие полиэфиралофанатный эмульгатор, позволяет получить покрытия с намного более высокой стойкостью к воде и химикатам, чем у покрытий с применением обычных сшивающих агентов, описанных выше.

Несмотря на то, что модифицированные простыми полиэфирами полиизоцианаты достаточно широко представлены на рынке для различных областей применения, у них есть существенный недостаток [2]. При их применении в качестве сшивающих агентов в водных двухупаковочных полиуретановых материалах необходимо особенно высокое содержание простого полиэфира для обеспечения хорошей их диспергируемости, что приводит к сравнительно долгому времени сушки и к повышению гидрофильности отвержденных покрытий. Последнее явилось причиной того, что модифицированные простыми полиэфирами полиизоцианаты не нашли применения там, где предъявляются жесткие требования к стойкости, например, в грунтовках для автомобильной промышленности или в антивандальных покрытиях. Эти недостатки в конечном итоге были преодолены в специально разработанных ионно-модифицированных полиизоцианатах.

Алифатические полиизоцианаты взаимодействуют в мягких условиях с 3-(цикло-гексиламино)пропан-1-сульфоновой кислотой в присутствии нейтрализующих третьичных аминов.


Ионно-модифицированную молекулу можно представить в виде


Независимо от природы солевых групп, полиизоцианаты, модифицированные такой кислотой, обладают хорошей стабильностью при хранении, хорошей прозрачностью и образуют высокодисперсные водные эмульсии даже при сравнительно низком содержании сульфонатных групп.

В настоящее время доступны различные ионно-модифицированные полиизоцианаты, которые можно использовать в рецептурах экологически чистых двухупаковочных водных материалов для получения высококачественных полиуретановых покрытий широкого спектра применения. Эти покрытия столь хороши, как и получаемые из обычных органоразбавляемых систем, с точки зрения сушки, отверждения и химической стойкости. Из-за новых законодательных актов. Требующих дальнейшего уменьшения содержания летучих органических соединений, эти сшивающие агенты найдут еще более широкое применение в будущем, поскольку они не ухудшают качествопокрытий по сравнению с органоразбавляемыми системами.

1.3 Полиолы для водных двухупаковочных полиуретановых систем

На свойства полиуретановых покрытий оказывает влияние не только полиизоцианат, но также в значительной степени и гидроксилсодержащий сореагент, т.е. полиол. Выбор соответствующих полиолов и полиизоцианатов позволяет регулировать основные свойства лакокрасочного материала и образующегося покрытия, например, такие как содержание сухого остатка, высыхание блеск, эластичность и твердость, стойкость к химическим продуктам и гидролиз, соотношение «стоимость-эффективность».

В последние годы все большее распространение получают полиуретановые лакокрасочные материалы с использованием в качестве гидроксилсодержащих компонентов акриловых полимеров [5]. Повышенный интерес к такого типа пленкообразующим обусловлен широкой возможностью варьирования свойств соответствующим подбором мономеров для гидроксил содержащих акрилатов. При отверждении их различными полиизоцианатами можно получать материалы с высокими эксплуатационными свойствами. Также акрилуретановые покрытия превосходят полиэфируретановые по блеску, адгезии и атмосферостойкости.

Меньшее значение имеют поликарбонат-, поликапролактон- и полиуретанполиолы. Продукты, содержащие аминогруппы, намного более активны в реакциях с изоционатами и поэтому используются только в специальных случаях или совместно с блокированными полиизоционатами.

Ниже описаны основные методы синтеза и свойства сореагентов для изоцианатов.

Полиакрилатполиолы

Термином «полиакрилатполиолы» называют сополимеры сложных эфиров акриловой или метакриловой кислот - этилакрилата, бутилакрилата и метилметакрилата, - содержащие гидроксильные группы[1]. На практике наряду с указанными часто используют и другие мономеры, например, стирол, виниловые сложные эфиры и малеаты. Гидроксильные группы, необходимые для взаимодействия с изоционатными группами, обычно вводят непосредственно в структуру сложных эфиров акриловой или метакриловой кислот, например, гидроксиэтилакрилат, гидроксиэтилметакрилат или гидроксипропилметакрилат. Другой метод введения гидроксильных групп основан на реакциях полимер-аналогичных превращений готовых полиакрилатов.


Гидроксилсодержащие полиакрилатные дисперсии являются важным классом продуктов для составления рецептур водных полиуретановых лакокрасочных материалов. Различают первичные и вторичные полиакрилатные дисперсии. Первичные дисперсии получают непосредственно в воде путем эмульсионной полимеризации акриловых мономеров с использованием эмульгаторов. Они характеризуются высокой молекулярной массой полимера и обычно отсутствием растворителя [3] .

Вторичные дисперсии, с другой стороны, получают путем полимеризации соответствующих мономеров в подходящих растворителях. После этого к органическому раствору добавляют нейтрализующий аммиак и воду, что приводит к образованию фаз и образованию дисперсий. Вторичные дисперсии характеризуются средними молекулярными массами полимера и могут содержать до 18% сорастворителя.

Рисунок 1 - Схема получений полиакрилатных дисперсий

Вторичные полиакрилатные дисперсии могут применяться для составления рецептур водных двухупаковочных лакокрасочных материалов, позволяющих получать высококачественные полиуретановые покрытия. В частности, такие свойства, как блеск, химическая стойкость и механическая прочность находится на уровне, сравнимом с аналогичными свойствами покрытий, получаемых из органоразбавляемых двухупаковочных материалов.

Свойства полиакрилатполиолов и полиуретановых покрытий, в которых они применяются, зависят в основном от выбора мономеров, содержания гидроксильных групп, молекулярной массы и температуры стеклования. Молекулярную массу можно в значительной степени регулировать температурой полимеризации, природой и количеством используемого инициатора добавлением регуляторов молекулярной массы, таких как меркаптаны. Температуру стеклования можно изменять за счет выбора «жестких» и «гибких» мономеров, а содержание гидроксильных групп - за счет количества гидроксилсодержащего мономера[1].

Полиакрилатполиолы имеют важное значение в технологии полиуретановых покрытий. Благодаря непрекращающимся разработкам этих продуктов в настоящее время на рынке имеется широкий спектр смол для самых разных областей применении, как показано на ряде примеров [5]:

быстросохнущие покрытия для древесины и мебели;

материалы для ремонта автомобилей, к которым предъявляются специальные требования по качеству и соотношению «стоимость-эффективность».

автомобильные материалы для конвейерной окраски, характеризующиеся длительной стойкостью покрытий, например, сохранением блеска;

покрытия для пластмасс, обладающие высокой эластичностью и хорошей химической стойкостью;

верхние слои в антикоррозионных покрытиях, обладающие хорошей стойкостью в течение длительного времени.

Сложные полиэфирполиолы

Сложные полиэфирполиолы получают поликонденсацией ди- и поликарбоновых кислот с избытком полиатомных спиртов (полиолов).Наиболее важным промышленно выпускаемыми поликарбоновыми кислотами и их ангидридами для получения сложных полиэфирполиолов являются ароматические кислоты, а именно фталевая и изофталевая кислоты, а также циклоалифатические кислоты, такие как тетрагидрофталевая и гексагидрофталевая кислоты [1].

В качестве полиолов используют алифатические спирты, такие как этиленгликоль, пропандиол-1,2, гександиол-1,6, неопентилгликоль, триметилолпропан, циклоалифатические спирты, такие как 1,4-циклогександиметанол. Кроме того, в качестве реагентов обрыва цепи могут применяться моно-функциональные спирты или карбоновые кислоты, такие как 2-этилгексанол или 2-этилгексановая кислота.

Как уже отмечалось, сложные полиэфирполиолы получают реакцией поликонденсации поликарбоновых кислот с полиолами с отщеплением воды. В основном используются два метода. По первому методу процесс поликонденсации проводят в растворе при температурах от 160 до 260 °С. Реакцию проводят в вакууме или в токе инертного газа с целью удаления воды. Второй метод-это азеотропная полиэтерификация, осуществляемая в органическом растворителе, который способствует удалению реакционной воды [2].

Реакцию поликонденсации можно ускорить за счет повышения температуры и количества пропускаемого инертного газ, уменьшением давления и/или добавлением катализаторов, которые особенно полезны на конечных стадиях процесса этерификации. Подходящими катализаторами являются основания, такие как гидроксид лития или соединения олова, например, оксид ди-н-бутилолова. Сложные полиэфирполиолы применяют в качестве связующих для получения лакокрасочных материалов либо без растворителей в виде вязких смол. Либо в виде растворов в органических растворителях. Они также могут применяться в твердом виде или в виде дисперсии в воде.

В водных формах поставки необходимо наличие в полимере достаточного количества гидрофильных центров. Ими могут быть нейтрализованные кислотные группы, которые вводят после завершения реакции поликонденсации путем взаимодействия сложного полиэфирполиола с ангидридами дикарбоновых кислот, например, с ангидридом тетрагидрофталевой кислоты, что сопровождается раскрытием ангидридного кольца. Однако это часто приводит к образованию полиэфиров, нестойких к омылению. Для получения смол, стойких к омылению, карбоксильные группы вводят в структуру за счет применения диметилолпропиновой кислоты и диизоцианатов, например, изофорондиизоцианата.

Свойства сложных полиэфирполиолов и полиуретановых покрытий, для получения которых они применяются, зависят от выбора исходного сырья, молекулярной массы, функциональности. В целом насыщенные сложные полиэфирполилы хорошо пигментируются и образуют покрытия с хорошей атмосферостойкостью и высоким блеском. Это обуславливает их пригодность для применения в различных областях, начиная с финишного окрашивания транспортных средств до промышленных лакокрасочных материалов общего назначения.В месте с тем, только неароматические полиэфиры обеспечивают хорошую стойкость к УФ-излучению, тогда как ароматические склонны к пожелтению при воздействии дневного света. Ненасыщенные алифатические или циклоалифатические сложные полиэфиры на основе ангидрида малеиновой кислоты представляют собой особый случай. Несмотря на наличие двойных связей, они характеризуются высокой стойкостью к УФ-излучению [1].

Простые полиэфирполиолы

Простые полиэфирполиолы образуются путем присоединения оксида этилена и/или пропилена к полифункциональным исходным молекулам.Как правило, в качестве таких исходных молекул используются поливалентные спирты. Такие как этилен гликоль, пропандиол-1,2, глицерин, триметилолпропан, или амины, такие как этилендиамин (который образует тетрафункциональные простые полиэфироспирты). Присоединение оксида алкена обычно осуществляют в щелочной среде в присутствии гидроксида натрия в качестве основания. Основные свойства этих полиэфиров, такие как температура плавления, вязкость, гидрофильность и совместимость, можно регулировать, изменяя соотношение оксидов этилена и пропилена.

Получение простого полиэфирполиола на основе пропандиола-1,2 может быть представлено следующей схемой


Благодаря низкой вязкости простые полиэфирполиолы используют главным образом в лакокрасочных материалах без растворителей. Однако из-за плохой атмосферостойкости простых полиэфиров, обусловленной окислительной деструкцией полиэфирной цепи, их применение ограничено только материалами для внутренних работ или для грунтовок [1] . С другой стороны, эти системы характеризуются очень высокой стойкостью к гидролизу и механическим нагрузкам. Поэтому их часто применяют в строительстве для получения покрытий на минеральных субстратах, таких как бетон.

Поликарбонатполиолы

Поликарбонатполиолы являются продуктами полиэтерификации, образующимися при взаимодействии угольной кислоты с полиолами. На практике карбоксильные структуры получают, используя фосген. Из-за плохой растворимости ароматические поликарбонаты на основе бисфенола А не применяют для получения покрытий. Напротив, линейные алифатические поликарбонаты используют как связующие для высококачественных полиуретановых покрытий, а также при получении полиуретановых связующих, особенно полиуретановых дисперсий. Алифатические поликарбонатполиолы характеризуются низкой вязкостью, а покрытия - высокой атмосферостойкостью и очень высокой стойкостью к гидролизу.

Поликапролактонполиолы

Поликапролактонполиолы получают методом полимеризации с раскрытием цикла ε-капролактона. Подходящими исходными мономерами являются бифункциональные спирты, такие как этиленгликоль,глицерин, пропандиол-1,2 и триметилолпропан [1]. Полимеризация с раскрытием цикла протекает при температуре от 120 до 200°С и может быть ускорена путем добавления катализаторов, таких как металлоорганические соединения. Другой метод позволяет получить низковязкие продукты с определенной функциональностью. Они используются либо как самостоятельные связующие, либо как реактивные разбавители в двухупаковочных полиуретановых материалах с высоким содержанием сухого остатка. Поликапролактонполиолы используются также как полиолы блоки при получении высокомолекулярных полиуретанов. Еще одной областью применения полимеризации ε-капролактона с раскрытием цикла является модификация более низкомолекулярных полиолов, полиакрилатполиолов. Техническими преимуществами поликапролактонполиолов являются эластичность и атмосферостойкость. Основными областями применения этих материалов являются двухупаковочные полиуретановые лакокрасочные материалы для окраски пластмасс и материалы без растворителей для использования в строительной промышленности.

Полиуретанполиолы

Полиуретанполиолы получают по реакции полиприсоединения к диизоционатам взаимодействием диизоционатов с избытком диолов и/или полиолов. Ввиду их высокой вязкости эти продукты до сих пор мало применяются в органоразбавляемых лакокрасочных системах. Напротив, гидроксисодержащие водные полиуретановые дисперсии успешно применяются в двухкомпонентных системах для окраски пластмасс и древесины, например, для достижения эффекта «софт-фил» [2], а также для окраски стекла.

.4 Свойства и применение покрытий на основе водорастворимых двухупаковочных полиуретановых композициях

Полиуретановые покрытия занимают устойчивое положение в лакокрасочной промышленности. В некоторых областях они являются доминирующими материалами. Для этого есть две основные причины.

Во-первых, полиуретановые покрытия обеспечивают очень высокий уровень качества. Они сочетают отличную стойкость к воздействию растворителей и химикатов с хорошей атмосферостойкостью. Можно разрабатывать непигментированные и - благодаря эффективному смачиванию пигментов - пигментированные верхние покрытия с хорошим блеском и достаточно высокой толщиной [1]. Пленки имеют отличную механическую стойкость и идеальный баланс твердости и эластичности, даже при низких температурах. Хорошая стойкость к образованию царапин также характерна для полиуретановых покрытий.

Подобный высокий уровень качества обусловлен первичными и вторичными структурами цепи полиуретана. Полимерные цепи защищены от растворителей, кислот, щелочей и прочих химикатов уретановыми группами, обладающими химической стойкостью - в особенности, стойкостью к гидролизу - и очень плотными водородными мостиковыми связями, образующими стабильную физическую сетку. Водородные мостиковые связи и блочная структура цепей полиуретана, состоящих из жестких и мягких сегментов, которые комбинируются и образуют микродомены, придают пленке отличные механические свойства.

Вторая причина заключается в большом разнообразии комбинаций свойств полиуретановых покрытий. Лакокрасочный материал можно адаптировать к конкретной, области применения, изменив, например, химическую структуру мягких сегментов (можно использовать простые полиэфирные, сложные полиэфирные или поликарбонатные сегменты), распределение и длину жестких сегментов (т.е., плотность физической сетки, которая обеспечивается водородными мостиковыми связями и другими взаимодействиями) или молекулярный вес и степень разветвления цепей. Жесткие сегменты определяют, например, твердость, прочность и жесткость пленки покрытия. Мягкие сегменты определяют эластичность, низкотемпературную эластичность и температуру стеклования. Химическая структура полиуретанов также позволяет вводить дополнительные структурные элементы и функциональные группы, которые можно использовать для регулирования свойств, например, тактильных свойств пленки, диспергируемости в воде или сшивки.

Описанные выше компоненты можно использовать для изготовления рецептур водорастворимых двухупаковочных полиуретановых материалов для многих областей применения, в которых в настоящее время используются высококачественные органорастворимые двухупаковочные полиуретановые материалы.

Такие материалы могут применяться в производстве автомобильных эмалей и покрывных лаков. Разработаны водорастворимые двухупаковочные материалы для ремонтной окраски автомобилей и для серийной окраски транспорта. Что касается лакокрасочных материалов для пластмасс, водорастворимые двухупаковочные полиуретановые материалы могут стать альтернативой традиционным системам благодаря их отличным механическим свойствам. Большим успехом пользуются покрытия со специальными эффектами, получаемые на основе водорастворимых двухупаковочных полиуретановых материалов. Такие материалы обеспечивают, например, самый лучший эффект «soft-feel». Также ведется разработка водорастворимых материалов для промышленной окраски металла, дерева и мебели. По своим свойствам получаемые покрытия соответствуют органорастворимым двухупаковочным аналогам, но при этом они имеют гораздо меньшее содержание растворителя. Интересные возможности для водорастворимых двухупаковочных материалов есть и в других областях, таких как лакокрасочные материалы для окраски полов и антикоррозионной защиты.

Приведем пример применения водорастворимых двухупаковочных полиуретановых материалов, являющихся многообещающей альтернативой традиционным двухкомпонентным полиуретановым материалам.

До сих пор этот специальный эффект получали с помощью ПВХ пленок на вспененной основе. Недостатком данного способа является сложная и дорогостоящая технология ламинирования, формованных пластиковых компонентов, а также образование паров в салоне, обусловленное миграцией пластификатора из ПВХ.

Поэтому лакокрасочное покрытие является более выгодной альтернативой. Эффект «soft-feel» получают за счет использования особого связующего и подбора рецептуры. При этом пластификатор не требуется. Кроме того, лакокрасочное покрытие предотвращает миграцию веществ из пластиковой подложки. При этом изготовление и нанесение лакокрасочного материала дешевле и проще, чем ламинирование.

Наиболее важным свойством таких покрытий является эффект «soft-feel». В то же время, покрытие должно обладать очень высокой стойкостью к воздействию растворителей и химикатов. Если, например, говорить о приборной панели автомобиля, покрытие должно обладать устойчивостью к воздействию таких веществ, как лосьоны для загара, крема, очистители и аналогичные жидкости, даже при высоких температурах и под воздействием солнечного света. Покрытие должно быть не слишком жестким, но достаточно эластичным, поскольку пластиковые компоненты должны выдерживать механическую нагрузку при низких температурах без повреждения покрытия. И последнее по порядку, но не по значению, покрытие должно иметь хорошую адгезию к пластмассе. Органорастворимые двухупаковочные полиуретановые материалы часто используют для окраски пластмасс благодаря мягкому режиму сушки и характерной комбинации твердости и эластичности получаемых покрытий. В пользу водорастворимых материалов говорит пониженное содержание растворителей и более широкие возможности варьирования рецептуры. Как следует из литературного обзора, водорастворимые двухупаковочные полиуретановые материалы пока остаются новой технологией, период становления которой, уже завершился. Водорастворимые материалы являются реальной и экономически обоснованной альтернативой органорастворимым аналогам. Они позволяют снизить содержание ЛОС без ухудшения качества. В связи с этим тема работы, направленная на изучение свойств водных дисперсий гидроксилсодержащих акрилатов и полиизоцианатов и покрытий на их основе является актуальной.

. Объекты и методы исследования

2.1 Выбор и характеристика объектов исследования


В качестве объектов исследования нами выбраны водные двухупаковочные полиуретановые системы являющиеся материалами с низким содержанием органических соединений, конкурирующими с обычными органоразбавляемыми лакокрасочными материалами. В этих двухфазных системах очень большое значение для достижения высокого качества получаемых покрытий имеет правильный выбор водной дисперсии полиола, и выбор полиизоцианатного сшивающего агента.

В последние годы все большее распространение получают полиуретановые лакокрасочные материалы с использованием в качестве гидроксилсодержащего компонента акриловых смол. Повышенный интерес к такого типа пленкообразующим обусловлен широкой возможностью варьирования свойств путем соответствующего подбора мономеров и отвердителей. При отверждении их различными полиизоцианатами можно получать материалы с высокими эксплуатационными свойствами: хорошая адгезия, высокий глянец, быстрое высыхание, стойкость к истиранию, устойчивость к растворителям и атмосферным воздействиям. Акрилуретановые покрытия превосходят полиэфируретановые по блеску, адгезии, а также атмосферостойкости, что обусловлено отсутствием в акриловом скелете омыляемых эфирных групп.

В связи с этим, в качестве гидроксилсодержащего компонента, нами были выбраны акриловые смолы с различным содержанием гидроксильных групп.

Существует две возможности для образования трехмерной структуры из водных полимерных дисперсий: применение гидрофобных низковязких полиизоцианатов; применение гидрофильно-модифицированных, самостоятельно эмульгирующихся полиизоцианатов. Если низковязкие гидрофобные полиизоцианаты можно ввести в водные дисперсии только с использованием подходящих сопутствующих органических растворителей и высоких скоростей сдвига, то в случае гидрофильно-модифицированных полиизоцианатов появляется возможность получения гомогенной и не содержащей сорастворителей смеси связующего и сшивающего агента путем простого смещения вручную.

Для изучения свойств водных двухупаковочных полиуретановых материалов в качестве сшивающих агентов были выбраны два гидрофильных полиизоцианата с различной химической модификацией.

А) Неионогенный гидрофильно-модифицированный полиизоцианат

Для его получения используется простая реакция алифатических или циклоалифатических полиизоцианатов, таких как тримеры ГДИ, с низкомолекулярными монофункциональными простыми полиэфироспиртами на основе окиси этилена [1]. Строение неионогенной гидрофильно-модифицированной молекулы полиизоцианта можно представить следующим образом.


Такие гидрофилизованные полиизоцианаты можно легко эмульгировать в воде вручную без применения больших усилий сдвига. Водоэмульгируемые полиизоцианаты этого типа в настоящее время являются общепринятыми сшивающими агентами для большинства водных лакокрасочных материалов.

Б) Ионно-модифицированный полиизоцианат

Получение происходит за счет того, что алифатические полиизоцианаты взаимодействуют в мягких условиях с 3-(цикло-гексиламино)пропан-1-сульфоновой кислотой (CAPS), цвиттер-ионной аминосульфоновой кислотой, в присутствии нейтрализующих третичных аминов


Основные характеристики полиизоцианатных отвердителей, использованных в исследовании, представлены в таблице 4.

Таблица 4 - Характеристика полиизоцианатных отвердителей

Характеристика

Полиизоцианат № 1

Полиизоцианат № 2

Тип полиизоцианата

Ионно-модифицированный тример

Неионогенный гидрофильно-модифицированный тример

Содержание нелетучих (%); DIN ISO 3251

100

100

Динамическая вязкость (мПа*с); DIN EN ISO 3219/А.3

6000

3300

Функциональность, %

3, 4

3, 2

Содержание NCO групп (%);DIN EN ISO 11909/А

20, 5

17, 4


В качестве полиолов нами выбраны гидроксилсодержащие акрилаты, различающиеся содержанием гидроксильных групп.

Основные характеристики водных дисперсий полиолов, использованных в исследованиях, представлены в таблице 5.

водорастворимый полиуретановый покрытие двухупаковочный

Таблица 5 - Характеристика водных дисперсий полиола

Характеристика

Полиол № 1

Полиол № 2

Тип водной дисперсии

полиакрилатная

полиэфир-полиакриловая

Сухой остаток (%);DIN EN ISO 3251

41

45

Кислотное число (мгKOH/г); DIN EN ISO 2114

10

12

Содержание гидроксильных групп (%);DIN EN ISO 2811 - 2

5

3,8

 

.2Методы исследований


А) Исследование содержания в пленке гель-золь-фракции

Метод определения степени отверждения покрытий по содержанию в пленке гель-золь-фракции основан на способности растворимой части пленки (золь-фракция), не связанной в полимерную сетку (гель-фракция), вымываться органическим растворителем. Метод заключается в количественном определении золь фракции с помощью экстрактора Сокслета, работающего в автоматическом режиме [6].

Данный метод был применен нами для изучения кинетики отверждения композиции. Исследование проводилось в процессе отверждения покрытия, наносимого на подложку сразу; через 1; 2; 3; 4 и 5 часов.

Б) Микроскопическое исследование структуры сформированных покрытий

Оптические методы принадлежат к самым распространенным методам исследования состава и структуры материалов.

В качестве образцов использовались адгезированные пленки на стекле.

Исследования проводили с помощью ультрамикроскопа с конденсором темного поля, а также велось фотографирование исследуемого участка с помощью цифрового фотоаппарата.

Данный вид исследования проводился с целью проверки покрытий на однородность.

В) Электрокинетические исследования методом микроэлектрофореза

Данный вид исследования проводился с целью изучения устойчивости дисперсий к гетерокоагуляции в период выдержки после введения полиизоцианата в водную дисперсию гидроксилсодержащего полиакрилала.

Нарушение агрегативной устойчивости дисперсий может вызваться различным дисперсионным составом совмещенных дисперстных фаз, однако, в большинстве случаев одним из определяющих факторов устойчивости, является в соответствии с теорией ДЛФО, электростатический фактор.

Двойной электрический слой определяет устойчивость и электрокинетические свойства лиофобных дисперсий.

В таких системах электрический двойной слой характеризуется поверхностной плотностью заряда, поверхностным потенциалом и толщиной диффузной части двойного слоя. Для оценки электростатических факторов устойчивости используется электрокинетический потенциал (ζ) или линейно от него зависящая электрофоретическая подвижность.

ζ - потенциал водных дисперсий зависит от многих факторов и для стабильных дисперсий в пределах от -50 до-100 мВ. В данной работе исследовалась зависимость от рН среды.

Суть метода состоит в следующем: на систему накладывают электрическое поле. При этом происходит отрыв двойного электрического слоя, в результате нескомпенсированности изначально нейтральная частица приобретает заряд. Под действием заряда частица перемещается к соответствующему электроду. В микроскопе можно увидеть направления движения частиц и определить скорость их движения, что позволяет рассчитать величину электрокинетического потенциала.


uэф=u0/E

где uэф - электрофоретическая подвижность, м2/( с∙В);

u0 - скорость движения дисперсной фазы, м/с;

E - напряженность электрического поля, В.

Для расчета ζ - потенциала на частицах, находящихся в разбавленных водных растворах при 20 °С, можно пользоваться следующим простым соотношением

ζ=1,42∙ 106 ∙ uэф

Микроэлектрофорез проводился с использованием ультрамикроскопа с конденсором темного поля, специально сконструированной ячейки и источника

Стабилизация дисперсий осуществлялась на приборе УВДН-А при частоте 22 кГц.

Г) Исследование водопоглощения сформировавшегося покрытия на основе исследуемой композиции

Определение водопоглощения сформировавшейся пленки проводилось согласно ГОСТ 21513-76.

Данный метод был применен нами для определения оптимального времени выдержки композиции перед нанесением. Для исследования композиция наносилась на стеклянные пластинки сразу; через 1; 2; 3 и 5 часов.

Д) Исследования методом дифференциальной сканирующей калориметрии

Калориметрические методы играют важнейшую роль в определении фазовых переходов и термодинамических свойств различных веществ, в том числе и полимеров (энтропии, изотермических потенциалов и др.).

Дифференциально-термический анализ позволяет наблюдать всевозможные изменения, протекающие при нагревании исследуемого образца и сопровождающиеся выделением или поглощением тепла.

В методе ДСК образец подвергается воздействию определенной температурно-временной программы: это могут быть динамические режимы нагревания или охлаждения, изотермические режимы или сочетание различных режимов. Измеряется изменение температуры образца в процессе испытаний в сравнении с эталоном сравнения, который чаще всего является пустым тиглем. Любые физические и химические процессы, связанные с тепловыми эффектами, могут быть характеризованы методом ДСК при правильном подборе режимов испытаний, т.е. температурного режима, скорости нагревания и охлаждения, газовой среды и температурно-временной программы. Результат испытаний приводится как температурно-временная характеристика сигнала ДСК, т.е. зависимость разницы температур образца и эталона в процессе испытаний от температуры и времени испытаний.

Этим методом можно с высокой точностью определить температуры плавления, стеклования, кристаллизации, а также окисления и разложения полимера.

Стеклование, кристаллизация, окисление и разложение - экзотермические реакции, в то время как плавление сопровождается поглощением тепла.

Нами был использован метод дифференциальной сканирующей колориметрии для определения температуры стеклования - температуры, при которой вязкость аморфного вещества становится равной 1013 пз [8]. Переход стеклования проявляется чаще всего как плечо на кривой, т.е. незначительное отклонение от базовой линии. Температура стеклования, определяется как температура половины высоты плеча (середина).

Дифференциальная сканирующая калориметрия была использована нами для изучения протекания побочной реакции изоцианата с водой. Исследование проводилось в процессе отверждения покрытия, наносимого на подложку сразу; 1; 2; 3; 4 и 5 часов.

Е) Исследование твердости сформировавшегося покрытия

Твердость сформировавшегося покрытия определялась согласно ГОСТ 5233-89, через сутки, двое, трое и десять.

Ж) Определение массовой доли изоцианатных групп

Берут навеску m = 1,0000±0,0002 г, помещают в колбу с притертой пробиркой и растворяют ее в 20 см3 циклогексанона. В колбу добавляют 5 см3 2 моль/дм3 раствора диэтиламина, через 5 минут добавляют из бюретки 30 см3 0,5 моль/дм3 раствора соляной кислоты и 25 см3 изопропилового спирта. Избыток соляной кислоты оттитровывают 0,5 моль/дм3 спиртовым раствором калия гидроокиси (индикатор бромфеноловый синий) до появления устойчивого голубого окрашенного раствора. Ставят параллельно контрольный опыт.

Формула для расчета массовой доли изоцианатных групп:


где a, b - объем спиртового раствора 0,5 моль/дм3 КОН пошедший на титрование, анализируемой и контрольной пробы;

К - поправочный коэффициент для спиртового раствора КОН;

,021 - масса изоцианатных групп соответствующая точно 1 см3 раствора с 0,5 моль/дм3 КОН;

g - масса навески, г

Данный метод был использован нами для определения жизнеспособности композиций.

З) влияние времени выдержки композиции водоразбавляемых акриловых полимеров с содержанием гидроксильных групп и полиизоцианатных отвердителей на антикоррозионные свойства покрытий методом импеданс спектроскопий

Метод электрохимической импеданс спектроскопий(ЭИС) на сегодняшний день очень хорошо известен в области антикоррозионной защиты; в этой области его чаще всего применяют для оценки разрушения покрытий.

Для улучшения стойкости покрытий к различным факторам вместо гидрофильного могут использоваться полностью или частично гидрофобные полиизоцианаты.

Комбинируя гидрофобные и гидрофильные полиизоцианаты можно добиться оптимального компромисса между способностью отвердителя к эмульгированию и качеством получаемого покрытия. Для того, чтобы скомпенсировать побочную реакцию полиизоцианата с водой обычно берут избыток полиизоцианата сшивающего агента, соответствующего молярному соотношению NCO/OH до 1,5:1.

Время жизни водных двухкомпонентных полиуретановых покрытий ограничено. В зависимости от природы полимера она колеблется между трюмя и пятью часами. Время жизни оказывает влияние содержание функциональных групп и рН готового к применению продукта.

Нами проводилась работа по снятию ИК-спектров смесевых композиций с использованием инфракрасного Фурье-спектрофотометра марки Nicolet 380 с помощью приставки НПВО.

Полоса поглощения при волновом числе в 1731 см-1 отвечает валентным колебаниям С=О сложноэфирной группы и может быть использован для качественного определения акрилатных соединений. Присутствие сложноэфирной группы определяют по появлению полосы поглощение связи С-О при 1166 см-1 и 1239 см-1;гидроксильной группы при 3200-3400 см-1; изоцианатной при 2260 см-1.

3. Результаты исследований и их обсуждения

.1 Исследование влияния состава исходных водных полимерных композиций на однородность покрытий на их основе

Как было сказано в литературном обзоре кроме желаемой реакции сшивания за счет взаимодействия изоцианатных и гидроксильных групп с образованием уретановых групп, идет побочная реакция изоцианатных группы с водой с образованием мочевины и диоксида углерода. Это естественно влияет на однородность пленки вследствие образования точечных дефектов за счет выделения углекислого газа.

Для исследования интенсивности протекания побочной реакции нами были сделаны снимки отвержденных покрытий на основе композиций, содержащих различномодифицированные полиизоцианаты.

Рисунок 2 - Покрытие на основе полиизоцианата, модифицированного 3 - (циклогексамино) пропан - 1 - сульфоновой кислотой (ультрамикроскопический снимок, цена деления окулярной сетки 30 мкм)

Рисунок 3 - Покрытие на основе полиизоцианата, модифицированного полиоксиэтиленом (ультрамикроскопический снимок, цена деления окулярной сетки 30 мкм)

Из полученных снимков видно, что в покрытии на основе полиизоцианата, модифицированного 3-(циклогексамино)пропан-1-сульфоновой кислотой, есть точечные дефекты, появляющиеся из-за выделения углекислого газа, что свидетельствует о интенсивном протекании побочной реакции полиизоцианата с водой. Содержание углекислого газа в пленке ведет к понижению ее защитных свойств и тем самым ограничивает применение лакокрасочных материалов на его основе.

На рисунке 4 приведена серия микрофотографий, полученных в процессе отверждения композиции на основе полиизоцианата, модифицированного 3-(циклогексамино)пропан-1-сульфоновой кислотой.

 

А                                                      Б

 

В                                                      Г

Рисунок 4 - Композиция на основе полиизоцианата модифицированного

-(циклогексамино)пропан-1-сульфоновой кислотой:

а - сразу после нанесения; б - через 15 минут;

в - через 30 минут; г - через 45 минут

Как видно из рисунка 4, уже в самой композиции на основе полиизоцианата, модифицированного 3-(циклогексамино)пропан-1-сульфоновой кислотой, присутствуют пузырьки углекислого газа.

Что же касается пленки на основе полиизоцианата, модифицированного полиоксиэтиленом (см. рисунок 3), мы видим совершенно чистую пленку без вкраплений углекислого газа, что свидетельствует о более медленном протекании побочной реакции полиизоцианата с водой.

3.2 Изучение устойчивости дисперсий к гетерокоагуляции в период выдержки

Нарушение агрегативной устойчивости дисперсий может вызваться различным дисперсионным составом совмещенных дисперсных фаз, однако, в большинстве случаев одним из определяющих факторов устойчивости, является в соответствии с теорией ДЛФО, электростатический фактор.

Двойной электрический слой определяет устойчивость и электрокинетические свойства дисперсий.

В таких системах электрический двойной слой характеризуется поверхностной плотностью заряда, поверхностным потенциалом и толщиной диффузной части двойного слоя. Для оценки электростатических факторов устойчивости используется электрокинетический потенциал (ζ).

ζ - потенциал водных дисперсий зависит от многих факторов и для стабильных дисперсий в пределах от -50 до-100 мВ. В данной работе исследовалась зависимость от рН среды.

Рисунок 5 - Зависимость ζ-потенциала от рН среды для полиакрилатной дисперсии

Рисунок 6 - Зависимость ζ-потенциала от рН среды для полиэфир-полиакрилатной дисперсии

Рисунок 7- Зависимость ζ-потенциала от рН среды для полиизоцианатов

Как следует из приведенных электрокинетичексих кривых, поведение дисперсий полиизоцианатов чрезвычайно зависит от способа гидрофилизации. В случае гидрофилизации полярными неионогенными фрагментами заряд частиц определяется только адсорбцией и формированием двойного электрического слоя. Это, естественно приводит к значительной зависимости электрокинетического потенциала от рН. Резкие изменения его значения наблюдаются в узком диапазоне рН от 6 до 9. Это ограничивает область его использования, но сольватная оболочка, сформированная за счет водородных связей с гидроксильными группами снижает его реакционноспособность по отношению к воде. Об этом свидетельствуют микрофотографии покрытий, в которых отсутствуют дефекты, вызванные выделением углекислого газа (см. рисунок 3). Зона его максимальной агрегативной устойчивости почти точно соответствует максимуму устойчивости полиакрилатной дисперсии.

.3 Изучение водопоглощения


Рисунок 8 - Водопоглощение пленки на основе полиакрилатной дисперсии и полиизоцианата, модифицированного полиоксиэтиленом

Рисунок 9 - Водопоглощение пленки на основе полиакрилатной дисперсии и полиизоцианата, модифицированного 3-(циклогексиламино) пропан-1-сульфоновой кислотой

В результате анализа приведенных выше данных можно сделать вывод, что оптимальным временем выдержки композиции перед нанесением является один час, как для композиции на основе полиизоцианата, модифицированного полиоксиэтиленом, так и для модифицированного 3-(циклогексиламино)пропан-1-сульфоновой кислотой. В связи с тем, что водопоглощение у пленки нанесенной через это время является минимальным по сравнению со всеми остальными.Что естественно благоприятно отражается на стойкость покрытий на их основе.

.4 Исследование коалесценции композиций в течение времени выдержки перед нанесением

Время выдержки перед нанесением необходимо, для того чтобы произошла частичная адагуляция дисперсной системы. В это время меньшие по размеру частицы полиизоцианата (размер их составляет ~200 нм) коагулируют на больших частицах гидроксилсодержащего полимера (в соответствии с правилом Ганса), которые являются зародышами этого процесса, с последующим растворением в них. Как было определено нами ранее, это время составляет один час. Именно в течение этого временного интервала частицы, согласно теории ДЛФО, преодолевают энергетический барьер, и происходит коалесценция.

На рисунке 10 представлены микрофотографии композиции нанесенной на подложку сразу, через 30 минут и через час после составления съемка осуществлялась в режиме отраженного света.

 

А                                                      Б

                              

В                                                      г

 

Д                                                     Е

Рисунок 10 - Композиция на основе акрилатной дисперсии и полиизоцианата, модифицированного полиоксиэтиленом: а - нанесена сразу после составления; б- через 15 минут после нанесения; в - нанесена через 30 минут после составления; г- через 15 минут после нанесения; д - нанесена через 1 час после составления; е - через 15 минут после нанесния

Из приведенных микрофотографий видно, что с течением времени идет укрупнение частиц. На рисунке 10а представлена композиция, нанесенная на металлическую подложку сразу же после составления, она состоит из крупных частиц водной акрилатной дисперсии и мелких частиц полиизоцианата. Через 30 минут (см. рисунок 10в) наблюдается заметное укрупнение частиц акрилатной дисперсии, что свидетельствует об интенсивности протекания коалесценции. А уже через час (рисунок 10г) после составления композиции мы видим прозрачное полимерное покрытие, которое образуется за счет завершения коалесценции и сшивки.

Следует отметить, что не зависимо от состава композиций коалесценция во времени у них проходит одинаково.

О завершении коалесценции через час свидетельствуют также результаты испытаний покрытий на твердость. Как видно из рисунка 11 наилучший результат принадлежит композиции нанесенной через час.

Рисунок 11 - Зависимость твердости от времени испытаний для композиции на основе акрилатной дисперсии и полиизоцианата, модифицированного полиоксиэтиленом

3.5 Исследования методом дифференциальной сканирующей калориметрии


Одним из косвенных показателей протекания побочной реакции взаимодействия полиизоцианата с водой с образованием полимочевины и выделением углекислого газа является температура стеклования.

Как известно из литературы [8] для гетерофазных систем характерно две температуры стеклования, для однофазных температура стеклования будет одна. Нами проведены исследования методом ДСК с определением температур стеклования отвержденных композиций на основе различномодифицированных полиизоцианатов.

На рисунках 12 и 13 представлены кривые дифференциально-термического анализа композиций на основе полиизоцианата модифицированного полиоксиэтиленом и 3-(циклогексиламино)пропан-1-сульфоновой кислотой.

Рисунок 12 - Кривая дифференциально-термического анализа композиции на основе полиизоцианата, модифицированного 3-(циклогексиламино)пропан-1-сульфоновой кислотой

Рисунок 13 - Кривая дифференциально-термического анализа композиции на основе полиизоцианата, модифицированного полиоксиэтиленом

Для композиции на основе полиизоцианата модифицированного 3-(циклогексиламино)пропан-1-сульфоновой кислотой (см. рисунок 12) характерны две температуры стеклованя, что говорит о протекании побочной реакции полиизоцианат с водой с образованием полимочевины и выделением углекислого газа. На рисунке 12 температура стеклования равная 51,4°С соответствует покрытию на основе данной композиции, а - 77,3 °С полимочевине.

Необходимо отметить, что значение температуры стеклования покрытия, сформированного на основе ионно-модифицированного полиизоцианата, значительно превышают значения температур стеклования покрытия на основе того же акрилового полимера, но в комбинации с неионогенным полиизоцианатом. Химическая модификация неионогенного полиизоцианата осуществляется путем реакции уретанообразования с участием простых полиэфиров. В связи с этим, образующиеся покрытия характеризуются более низкой плотностью сшивки.

Изменение теплоемкости для композиций на основе ионно-модифицированного изоцианата 0,378 Дж/ (г∙К) а для неионогенного 0,440 Дж/ (г∙К). Меньшее изменение теплоемкости у композиции на основе ионно-модифицированного полиизоцианата говорит о наличии ультрамикроскопических газовых включений в покрытии, которые образуются за счет выделения углекислого газа.

Метод ДСК для композиций на основе различномодифицированных полиизоцианатом подтвердил результаты ранее проведенных микроскопических исследований.

3.6 Исследование содержания трехмера в пленке в процессе отверждения покрытия

Метод основан на способности растворимой части пленки (золь-фракция) экстрагироваться растворителем, и заключается в количественном определении золь-фракции, не связанной в полимерную сетку.

Рисунок 14 - Изменение содержания трехмера в процессе выдержки системы и отверждения с ионно-модифицированным полиизоцианатом

Рисунок 15 - Изменение содержания трехмера в процессе выдержки системы и отверждения с неионогенным полиизоцианатом

Как видно из рисунка 14 ионно-модифицированный полиизоцианат сразу же расходуется на реакцию взаимодействия с водой, в результате образуется побочный продукт реакции полимочевина, которая растворяется в растворителе, применяемом в методе определения гель-золь фракции. В связи с этим содержание трехмера у него по сравнению неионогенным значительно меньше (см. рисунок 15).

.7 Исследования методом НПВО ИК-спектроскопии с Фурье-преобразованием

Оценка убыли концентрации изоцианатных групп во времени производилась при помощи двух методов НПВО ИК-спектроскопии и титрования.

а

б

Рисунок 16 - Убыль концентрации изоцианатных групп для композиций на основе полиэфир-полиакриловной дисперсии по данным:

а - титрования;

б - НПВО ИК-спектроскопии

а

б

Рисунок 17- Убыль концентрации изоцианатных групп для композиций на основе акрилатной дисперсии по данным:

а - титрования;

б - НПВО ИК-спектроскопии

Расхождение результатов двух методов связано с тем, что НПВО ИК-спектроскопия регистрирует спектры только на глубине несколько нанометров, в связи с этим определяются только группы, ориентированные наружу или находящиеся в поверхностных слоях. При старении покрытия происходит самопроизвольная гидрофобизация, в соответствии с признаком Гиббса-Кюри, за счет погружения полярных групп в результате тепловых колебаний в глубь полимерного тела. Таким образом, титрование является наиболее точным методом определения убыли концентрации изоцианатных групп.

Убыль концентрации изоцианатных групп для обоих отвердителей свидетельствует об отсутствии большей химической активности со стороны ионно-модифицированного полиизцианата.

Его изоцианатные группы исчезают почти также, как и у неионогенного полиизоцианата. Важное отличие ионо-модифицированного отвердителя заключается в том, что снижение количества изоцианатных групп протекает медленнее.

Это обусловлено меньшей реакционной способностью.

Ионно-модифицированный полиизоцианат не проявляет более высокой реакционной способности, однако благодаря большему количеству функциональных групп, плотность сшивки нарастает быстрее. Это видно из результатов дифференциальной сканирующей калориметрии, а также метода определения содержания трехмера в пленках исследуемых систем.

Заключение

В ходе работы были произведены исследования свойств водных дисперсий акрилатов и полиизоцианатов и покрытий на их основе.

. С помощью микроскопических исследований изучено влияние состава исходных водных полимерных композиций на однородность покрытий на их основе. Показано, что покрытия на основе композиций, содержащих полиизоцианат, модифицированный полиоксиэтиленом однородны, а покрытия на основе полиизоцианата модифицированного 3-(циклогексиламино)пропан-1-сульфоновой кислотой, имеют дефекты, вызванные выделением углекислого газа. Что свидетельствует о разной интенсивности протекания побочной реакции полиизоцианатов с водой.

. С помощью электрокинетических исследований методом микроэлектрофореза изучена устойчивость дисперсий к гетерокоагуляции в период выдержки после введения полиизоцианата в водную дисперсию гидроксилсодержащего полиакрилата. Нами выявлена чрезвычайная зависимость поведения дисперсий полиизоцианатов от способа гидрофилизации.

. В результате анализа зависимостей водопоглощения от времени выдержки композиций установлено, что оптимальным временем выдержки композиции перед нанесением является один час, как для композиции на основе полиизоцианата модифицированного полиоксиэтиленом, так и для модифицированного 3-(циклогексиламино)пропан-1-сульфоновой кислотой.

.Исследована коалесценции композиций в течение времени выдержки перед нанесением.

. С помощью метода дифференциальной сканирующей калориметрии были подтверждены данные микроскопических исследований, а также выявлена наибольшая плотность сшивки ионно-модифицированного полиизоцианата по сравнению с неионогенным.

. Исследовано изменение содержания трехмера в пленке в процессе отверждения покрытия. На основе полученных данных подтверждено, что ионно-модифицированный полиизоцианат взаимодействует с водой интенсивнее, чем неионогенный.

. С помощью двух методов, а именно НПВО ИК-спектроскопии и титрования было подтверждено, что ионно-модифицированный полиизоцианат не проявляет более высокой реакционной способности, однако благодаря большему количеству функциональных групп, плотность сшивки у него нарастает быстрее.

Список использованных источников

1. Уильрих Майер-Вестус. Покрытия, клеи и герметики. Пер. с англ. Л.Н. Машляковского, В.А. Бурмистрова. - М.:Иэйнт-Медиа, 2009. - 400 с.

. E.Brinkman. Spesialy acrylic polyols for water two - pack polyurethanes. Nuremberg congress, april 2005.

. W.Coobong. Water-two-component lacquer - the ratio of cross-linking and side reactions. Progress in Organic Coatings, №45, 2002. - p.205 - 209.

. J. Billiani. Aqueous acrylic polyols for two-pack aqueous polyurethane coatings. European Coating Show, April 2001.

. Карякина М.И. Испытание лакокрасочных материалов и покрытий. - М.: Химия, 1988. - 272 с.

.Фролов Ю.Г. Курс коллоидной химии. Поверхностные явления и дисперсные системы. Учебник для вузов. - 2 - е изд., перераб. и доп. - М.: Химия, 1988. - 464 с.

. Тагер А.А. Физико-химия полимеров.- М.: Химия, 1968.-540 с.

.Сайдов О.В., Свердлова О.В. Практическое руководство по молекулярной спектроскопии: Учеб. пос. под ред. Бахшиева Н.Г. - Л.: Изд-во Ленингр. ун-та, 1980. - 95-104 с.

.Вредные вещества в промышленности: Справочник для химиков, инженеров и врачей./ Под ред. Лазарева Н.В.- изд. 7-е.- в 3 т.

.Рейнольдс В.В.Физическая химия нефтяных растворителей; пер. с англ. под ред. Л.Н. Иофе, М.Г. Рудина, А.П. Цитрина.- Л.: Химия, 1967.- 184 с.

.Муравьева С.И. и др. Справочник по контролю вредных веществ в воздухе.- М.: Химия, 1988- 320 с.

. Беспамятнов Г.П., Кротов Ю.А. Предельно-допустимые концентрации химических веществ в окружающей среде: Справочник.- Л.: Химия, 1985.- 528 с.

.Пожарная опасность веществ и материалов: Справочник / под общ. ред. И.В. Рябова.- М.: Стройиздат, 1970, т.12.

.Охрана труда и защита окружающей среды в курсовых и дипломных работах студентов химико-технологических специальностей: Учеб. пособие.- Ярославль.: ЯПИ, 1991

.Безопасность жизнедеятельность: Учебное пособие / под ред. Белороссова Е.Л. .- Ярославль, ЯОУЭЗ, 2001.- 414 с.

Похожие работы на - Исследование свойств водных дисперсий гидроксилсодержащих акрилатов и полиизоцианатов и покрытий на их основе

 

Не нашли материал для своей работы?
Поможем написать уникальную работу
Без плагиата!
Без нейросетей!