1-фенил-2-амино-пропан и его производные

  • Вид работы:
    Курсовая работа (т)
  • Предмет:
    Химия
  • Язык:
    Русский
    ,
    Формат файла:
    MS Word
    851,45 Кб
  • Опубликовано:
    2012-04-19
Вы можете узнать стоимость помощи в написании студенческой работы.
Помощь в написании работы, которую точно примут!

1-фенил-2-амино-пропан и его производные













Курсовая работа

-фенил-2-амино-пропан и его производные

Содержание

Введение

История

Синтез 1-фенил-2-аминопропана

Физические свойства и биологическое действие

Эфедрин

Катехоламины

1-(бензо-(1,3)диоксол-5-ил)-N-метилпропан-2-амин

Заключение

Список литературы

Введение


-фенил-2-аминопропан (сокр. амфетамин) - психоактивное вещество, стимулятор центральной нервной системы, является аналогом гормонов адреналина и норадреналина.


Он является родоначальником целой группы фенилэтиламинов, которые также являются психостимуляторами различной силы.

Простые

Амфетамин (D-амфетамин, L-амфетамин), Метамфетамин, Меткатинон

3,4-метилендиоксиамфетамины

MDA, MDMA, MDEA, MDOH, Метилон, BDB, MBDB, MMDA

4-замещённые амфетамины

PMA, PMMA, Мефедрон, Метедрон, 4-MTA, PCA, 4-фторамфетамин, Флефедрон

4-замещённые-2,5-диметоксиамфетамины

DOM, DOET, DOB, DOI, DOC

2-амино-5-арилоксазолины

Аминорекс, 4-метиламинорекс, Пемолин

Прочие

3,4-DMA, 3,4,5-TMA, Фенфлурамин, Фентермин, Мефенорекс, Метилфенидат, Фендиметразин, Транилципромин, Сибутрамин, 2-Фторамфетамин


На рисунке представлена структура некоторых из них:

История


-фенил-2-аминопропанбыл впервые получен в Берлине, в 1887 году. Психоактивные эффекты вещества не были выявлены до 1927 года, когда фармаколог Гордон Эйлс синтезировал его повторно и протестировал лично на себе в поиске искусственной замены эфедрину. Вещество не было широко известно до 1933-1934 года, когда фармакологическая компания, теперь известная как GlaxoSmithKline, начала продажу основания амфетамина для использования в качестве антиконгестанта (средство для снятия отека слизистой) под торговым названием «Benzedrine». Быстро выяснилось, что данный препарат можно использовать и для других целей. Одно из первых научных исследований амфетамина началось М.Г. Натансоном, доктором из Лос-Анджелеса, в 1935 году. Он изучил субъективные эффекты амфетамина на 55 работниках госпиталя. Каждому было выдано 20 мг Бензедрина (основания рацемического амфетамина). Два наиболее часто сообщаемых эффекта были «ощущение бодрости и хорошего настроения» и «уменьшенная усталость при работе».

Во время второй мировой войны у американских солдат в ежедневном пайке наравне с консервами, сигаретами и жевательной резинкой выдавалась упаковка с 10 таблетками амфетамина.

Этот препарат использовался американскими лётчиками и моряками как средство для снятия усталости, борьбы со сном во время несения службы, повышения бдительности.

После второй мировой войны, когда Япония была оккупирована американскими войсками, у задержанных по разным причинам подростков полиция стала находить припрятанные таблетки амфетамина. К 1954 году в Японии уже сотни тысяч подростков злоупотребляли амфетамином.

Именно злоупотребление амфетамином среди японских подростков, начавшееся в 50-х годах, оказалось началом «эпидемии подростковых наркоманий» второй половины XX столетия. Из Японии эпидемия перекинулась в США, а затем в Европу. Особенно распространилась амфетаминомания среди подростков в Англии и в Швеции.

В 1964 году в Англии у 18% подростков, сбежавших из дома или интернатов и задержанных полицией, обнаруживали в организме следы амфетамина. В Швеции в 1966 году амфетамином злоупотребляли 28% подростков, в Калифорнии к началу 70-х годов - 20% школьников старших классов. В США амфетамин вообще распространился «без различия регионов и классов».

С 1965 года в США препараты, содержащие амфетамин стали доступны только по рецепту.

В СССР амфетамины производились с 40-х годов, но применялись в медицинской практике ограниченно и были малодоступны. С середины 60-х годов появился ряд сообщений о том, что подростки стали вводить себе амфетамин внутривенно.

В 80-90-х годах увлечение амфетаминами стало распространяться в Северо-Западном регионе России, республиках Прибалтики, Казахстане.

Амфетамины по-прежнему сохранили свое «военное» значение - входят в аптечки спецподразделений армии США. В России препараты данной группы входят в состав расширенных танковых и авиационных аптечек. Универсальный антидот - афин представляет собой смесь холиноблокатора и амфетамина.

Синтез1-фенил-2-аминопропана


Одним из наиболее очевидных способов получения амфетамина является реакция восстановительного аминирования.

Восстановительное аминирование широко применяется в промышленности для синтеза различных первичных аминов, особенно в фармацевтической химии для получения целого ряда биологически активных аминов.

В нашем случае реакцию можно провести таким образом:


Так же, реакция Лейкарта-Валлаха продолжает оставаться одной из самых распространенных схем синтеза, применяющихся в изготовлении амфетаминов.Реакция открыта Р. Лёйкартом в 1885, позднее подробно изучалась О. Валлахом. Она представляет собой получение аминов восстановительным аминированием альдегидов или кетонов под действием формиата аммония, формамида или их N-замещенных, первичных или вторичных аминов и муравьиной к-ты.

Реакцию осуществляют при 50-200 °С в муравьиной или в уксусной к-те или без р-рителя. Иногда применяют катализаторы - хлориды Mg, Zn или Fe, (NH4)2SO4, и другие. Выходы конечных продуктов 70-75%. N-Алкил- и N,N - диалкилформамиды реагируют труднее формамида, N-арилформамиды - значительно легче. Лёйкарта - Валлаха реакция позволяет проводить восстановительное аминирование карбонильных соединений, содержащих группы, чувствительные к воздействию восстанавливающих агентов. При наличии в молекуле одновременно альдегидной и кетонной групп реакция проходит в первую очередь обычно по альдегидной группе.

Довольно жесткие условия проведения Лёйкарта - Валлаха реакции (до 200°С) во многих случаях ограничивают область се применения; так, например, в реакции не могут быть использованы непредельные альдегиды и кетоны.

Для синтеза амфетамина смесь P-2-P(3-фенилпропан-2-она) и формамида, в присутствии муравьиной кислоты нагревают, пока в результате реакции конденсации не получится промежуточный продукт, N-формиламфетамин. На втором этапе N-формиламфетамин обычно гидролизуют с помощью соляной кислоты. Затем реакционную смесь подщелачивают, отделяют и перегоняют (с паром).



Так же 1-фенил-2-аминопропанможет быть синтезирован из бензальдегида.

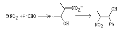
Методика данного синтеза такова: рассчитанное количество бензальдегида кипятится в избытке нитроэтана в присутствии безводного ацетата аммония, в литровой круглодонной колбе, под обратным холодильником.

Время кипячения - 4 часа. После нитроэтан отгоняется под вакуумом как можно полнее. Остаток после конденсации представляет собой желтую жидкость, которая является продуктом конденсации бензальдегида и нитроэтана, с некоторой примесью неотогнавшегося нитроэтана. Отогнавшийся нитроэтан можно употреблять для повторных синтезов.

Конденсация бензальдегида с нитроэтаном называется реакцией Генри и протекает по следующей схеме:


Затем в 2-х литровой колбе готовится суспензия алюмогидрида лития в абсолютном тетрагидрофуране, колба снабжается обратным холодильником и капельной воронкой с притертым краном. Колба охлаждается в воде со льдом, и в нее очень осторожно, медленно прикапывают продукт конденсации бензальдегида с нитроэтаном.

Реакция экзотермическая! После окончания прикапывания кипятят содержимое колбы под обратным холодильником 30 минут.


После всего этого проводят разложение непрореагировавшего алюмогидрида лития и дальнейшее извлечение амина. Выход 70-80%.

Синтез амфетамина так же можно проводить из аллилбензола реакцией Графа-Риттера. Она представляет собой получение N-замещенных амидов карбоновых кислот взаимодействием нитрилов с олефинами или их производными в присутствии кислотных катализаторов:

фенилэтиламин нервный стимулятор адреналин

Физические свойства и биологическое действие


Амфетамин представляет собой белый мелкокристаллический порошок горького вкуса. Растворим в воде (1:20 в холодной, 1:3 в горячей), мало растворим в спирте.

Основание амфетамина - бесцветная, подвижная, слаболетучая жидкость (температура кипения - 205 градусов) с запахом тухлой рыбы, характерным для большинства аминов. Основание, перегнанное с водяным паром, содержит значительное количество воды, которая заметно выделяется уже при нагревании его выше 30-40 градусов и опять растворяется с понижением температуры. Само основание в воде растворимо очень мало. Поглощает CO2 из воздуха и переходит в летучую соль - карбонат.

Наиболее часто применяется в виде солей: сульфата, фосфата, гидрохлорида, аскорбата. Гидрохлорид амфетамина сильно гигроскопичен.

Амфетамин обладает свойством стереоизомерии. Два его стереоизомера - L и D имеют различную фармакологическую активность: D-изомер (декстроамфетамин) более селективно влияет на дофаминергическую систему, чем L-изомер (левамфетамин).

По химическому строению и некоторым фармакологическим свойствам фенамин близок к препаратам группы адреналина. Отличается по строению от адреналина отсутствием гидроксилов в ароматическом цикле и алифатической цепи, что придает ему большую стойкость и предохраняет от разрушения в печени; разветвленный характер алифатической цепи (наличие метильной группы в α-положении к аминогруппе) предохраняет его молекулу от окислительного дезаминированиямоноаминоксидазой.

Амфетамин является психостимулятором. Стимулирующий эффект заключается в повышении активности и бодрости, снижении утомляемости, приподнятом настроении, увеличении способности концентрировать внимание, понижении аппетита и снижении потребности во сне. Причиной возникновения этих эффектов является увеличение высвобождения норадреналина и дофамина в ЦНС.

По окончании действия препарата за этими поведенческими реакциями почти всегда следуют пониженный эмоциональный фон, иногда доходящие до депрессии и утомления, что индивидуально для каждого человека. Это объясняется тем, что стимуляторы активируют «резервы» организма и после прекращения эффекта требуется их восстановление.

Половина принятого амфетамина выводится из организма в неизменном виде, а другая метаболизируется, обычно до бензойной кислоты:

Амфетамин → фенилацетон → бензойная кислота → гиппуровая кислота.


Амфетамин → 4-гидроксиамфетамин → 4-гидроксинорэфедрин.

метил-1-фенил-2-аминопропанметил-1-фенил-2-аминопропан является производным 1-фенил-2-амино-пропана.


Он имеет тривиальное название - метамфетамин. Представляет собой белое кристаллическое вещество.

Метамфетамин был впервые синтезирован в 1919 году японским учёным А. Огата. В 30-е годы фармацевты фирмы TemmlerWerke в Берлине использовали его как стимулирующее средство, первитин (pervitin). Начиная с 1938 года, вещество применяли систематически и в больших дозах, как в армии, так и в оборонной промышленности (таблетки первитина официально входили в «боевой рацион» летчиков и танкистов).

Популярностью первитин пользовался и среди вождей Третьего рейха, вкупе с кокаином. В частности, Гитлер получал инъекции первитина от своего личного врача Теодора Мореля начиная с 1936 года, а после 1943 - по нескольку раз в день.

В последние годы войны наркомания в нацистской Германии достигла просто невероятного размаха, хотя это и противоречило официальной нацистской идеологии, пропагандировавшей воздержание и здоровый образ жизни. За употребление опиума или кокаина можно было попасть в концлагерь, а вот первитин выпускали, и не только для нужд фронта. В продаже даже появились шоколадные конфеты с начинкой из первитина. Считалось даже, что первитин менее пагубно, чем кофе, сказывается на организме. Только после того, как стало ясно, что рост числа преступлений и самоубийств среди «потребителей первитина» не случаен, что они заметно агрессивнее остальных сограждан, препарат был изъят из продажи и даже запрещён министерством здравоохранения.

В СССР в 1940-1941 годах изучались материалы по первитину из Германии, затем проф. О.Ю. Магидсон произвёл первый синтез (из фенилацетона). В 1942-1946 годах препарат получали из Англии, для военного применения. Промышленный синтез был налажен в 1946 году, и уже в 1948 первитин упоминается в справочнике Машковского. Первитин применялся в психиатрической практике как психостимулятор, для лечения нарколепсии и депрессий различного происхождения. Впоследствии, приказом по Министерству здравоохранения СССР от 11 февраля 1954 г. он был отнесён к наркотическим веществам, а в 1975 году его производство было прекращено и он был исключён из фармакопеи.

Синтез N-метил-1-фенилпропан-2-амина обычно проводят на основе эфедрина или псевдоэфедрина, красного фосфора и йодистоводородной кислоты. Смесь этих веществ нагревают, затем реакционную смесь фильтруют, подщелачивают и экстрагируют растворителем. Полученное основание метамфетамина представляет собой маслянистую жидкость, обычно называемую «метамфетаминовым маслом». Гидрохлорид кристаллизуют из этой жидкости с помощью эфира или ацетона и соляной кислоты.

Другой способ кристаллизации состоит в том, что газообразный хлорид водорода продувают через раствор основания метамфетамина, что приводит к осаждению гидрохлорида. Йодистоводородную кислоту и красный фосфор можно заменить йодом и гипофосфорной кислотой (гипофосфатом натрия).

Так же метамфетамин можно получить восстановлением эфедрина либо растворенным металлом, либо, после хлорирования восстановлением водородом на платине.

Восстановление по Берчу происходит путем восстановления эфедрина или псевдоэфедрина растворенным в аммиаке металлом. Реакция включает смешивание эфедрина или псевдоэфедрина с жидким аммиаком и металлическим натрием или литием при повышенном давлении. Затем смесь выдерживают до испарения газообразного аммиака. Выделение «метамфетаминового масла» проводят с помощью прямой экстракции растворителем и фильтрования. Продукт реакции дополнительно очищают путем образования гидрохлорида и перекристаллизации. Реакция с участием безводного аммиака небезопасна, и для предотвращения взрыва с ним необходимо работать очень аккуратно.

При использовании метода Эмде эфедрин или псевдоэфедрин обычно вводят в реакцию с тионилхлоридом и получают промежуточный хлорэфедрин, который затем гидрируют над платиновым или палладиевым катализатором с получением N-метил-1-фенилпропан-2-амина.

Разные оптические изомеры эфедрина/псевдоэфедрина дают в этом процессе разные оптические изомеры первитина. D-первитин, который проявляет более сильную стимулирующую активность на человеческий организм получается из D-псевдоэфедрина или L-эфедрина. L-первитин обладает меньшим воздействием как наркотик.


Метамфетамин химически (структурно) схож с адреналином, поэтому оказывает сильное адреномиметическое действие на периферическую нервную систему - сужает периферические сосуды, повышает артериальное давление, ускоряет сердцебиение, вызывает расширение зрачков, повышает функциональную активность скелетных мышц, особенно при утомлении. Это воздействие связано с активацией симпатической системы.

Метамфетамин отличается от адреналина отсутствием гидроксильных групп, за счёт чего он липофилен и легко проникает через гематоэнцефалический барьер в головной мозг. По той же причине он, в отличие от адреналина, не подвергается быстрому разрушению ферментом катехол-О-метилтрансферазой, а от разрушения моноаминоксидазой (МАО) его защищает дополнительная метильная группа, поэтому он действует на организм очень длительно.

В США он до сих пор используетется в медицинской практике под названием Desoxyn, и применяется как медикамент второго ряда при неэффективности амфетамин-содержащих лекарств первого ряда.

Эфедрин


-Фенил-2-(метиламино)пропанола-1 так же можно отнести к производным амфетамина.


Эфедрин - алкалоид, содержащийся в различных видах эфедры, семейства эфедровых, в том числе в Ephedraequisetina (эфедра хвощевая), растущей в горных районах Средней Азии и Западной Сибири, и Ephedramonosperma, растущей в Забайкалье.

Эфедрин - белые игольчатые кристаллы или белый кристаллический порошок горького вкуса. Легко растворим в воде, растворим в спирте. Впервые выделен в 1887 году. По химическому строению эфедрин отличается от адреналина тем, что не содержит гидроксилов в ароматическом цикле; вместо аминоэтанольной цепи эфедрин содержит аминопропанольную цепь.

До недавнего времени эфедрин получали исключительно из природного сырья - различных видов эфедры. Но недостаточные количества дикорастущей эфедры, запасы которой все время сокращаются, вызвали необходимость разработки методов получения синтетического эфедрина, пригодных для промышленного использования.

Один из способов синтеза эфедрина - синтез по Фурно и Канасу исходит из бензальдегида, который конденсируют с нитроэтаном - образуется 2-метил-2-ниро-1-фенилэтанол. Его восстанавливают до амина, представляющего собой смесь геометрических изомеров, которые могут быть разделены фракционной кристаллизацией. Нужный изомер метилируют, в результате чего получается эфедрин. Что касается другого изомера, то он превращается в эфедрин при кипячении с разбавленной соляной кислотой.


Описан также биохимический синтез эфедрина, заключающийся в сбраживании глюкозы карболигазой дрожжей в присутствии бензальдегида, который при этом превращается в 1-фенил-2-кетопропанол. А он при восстановлении в растворе метиламина дает эфедрин.


Катехоламины


Катехоламины - физиологически активные вещества, выполняющие роль химических посредников и «управляющих» молекул в межклеточных взаимодействиях у животных и человека, в том числе в их мозге.

Катехоламины: адреналин, норадреналин и дофамин синтезируются в мозговом веществе надпочечников, в симпатической нервной системе и в мозге. Так как при различных заболеваниях катехоламины и их метаболиты, например, метанефрин и норметанефрин секретируются в повышенных количествах, их можно использовать в диагностических целях. При ряде психических заболеваний в определенных зонах мозга бывает недостаток катехоламинов.

Адреналин

Синтетический адреналин используется в качестве лекарственного средства под наименованием «Эпинефрин».

Искусственный синтез адреналина был осуществлен впервые Фридрихом Штольцем и - независимо от него - X.Д. Дакином. В 1904 г. лабораторией фармацевтической фирмы «Холкест» было налажено промышленное производство адреналина путем химического синтеза, который стал выпускаться под торговым названием «Супраренин». Преимуществом искусственного препарата было то, что благодаря постоянству его состава и чистоте его можно точнее дозировать. Кроме того, он лучше хранился и не обладал многими побочными эффектами натуральных препаратов адреналина. Синтез адреналина вскоре привел и к установлению Эрнстом Йозефом Фридманном в 1906 г. его точной структурной формулы.


Синтез адреналина осуществляют взаимодействием пирокатехина с хлорангидридом монохлоруксусной кислоты. Образующийся на первой стадии продукт вступает в реакцию с метиламином с образованием адреналона, который восстанавливают и получают смесь оптических изомеров адреналина. Рацемат разделяют на антиподы, используя винную кислоту:


Адреналин и норадреналин являются производными достаточно сильного восстановителя - пирокатехина и поэтому легко окисляются натрия нитритом, йодом, калия йодатом и другими окислителями. Это используется в фармакопейном анализе для определения подлинности: продукт окисления адреналина красного цвета образуется при рН 3,6, а норадреналина - только при рН 6,5. Эти цветные реакции могут быть использованы и для количественного определения препаратов фотометрическим методом.

Адреналин применяется для повышения кровяного давления, возбуждая сосудосуживающий механизм кровеносной системы и ускоряя деятельность сердца. Он применяется местно для прекращения кровотечений и для усиления действия местных анестетиков, подкожно - для расслабления бронхиальных мышц при астме и анафилаксии, внутривенно-для преодоления острого циркуляторного коллапса.

1-(бензо-(1,3)диоксол-5-ил)-N-метилпропан-2-амин



Еще одним ярким представителем ряда фенилэтиламинов является 1-(бензо-(1,3)диоксол-5-ил)-N-метилпропан-2-амин. Его так же называют MDMA (3,4-метилендиокси-N-метамфетамин). MDMA имеет уникальную психоактивную характеристику ввиду своей способности вызывать чувства эйфории, интимной близости и доверия по отношению к другим людям, а также снижать чувства страха и беспокойства. Данные эмоциональные эффекты имеют очень устойчивое проявление, заметно отличая и выделяя MDMA среди других стимуляторов и психоделиков в отдельную группу эмпатогенов.был впервые синтезирован в 1912 году немецким химиком Антоном Кёлишем, работающим на фармацевтическую компанию Merck. Патент за номером 274 350, описывающий синтез этого вещества был выдан 16 мая 1914 года в городе Дармштадт, Германия, однако вскоре был забыт. Исследователи того времени не знали и не предполагали каких-либо особых свойств нового химического соединения, и данный патент описывал его только как побочный продукт в синтезе гидрастинина.

Только около полувека спустя молекула MDMA вновь привлекает к себе внимание исследователей, уже в качестве психоактивного соединения. Секретные исследования 1950-х годов в армии США включали эксперименты с MDMA, где это вещество имело кодовое название EA-1475. Целью этих работ был поиск новых способов манипулирования сознанием. Однако армия не испытывала MDMA напрямую на людях, ограничившись только экспериментами на животных.

Эффект на человеке был установлен только в конце 1970-х годов благодаря работам Александра Шульгина, известного учёного-исследователя психоактивных веществ. В 1967 году, по совету одной из своих студенток, Шульгин синтезировал и испытал MDMA на себе, используя осторожный метод с постепенным увеличением дозы. В первых научных статьях, посвящённых MDMA, вышедших в 1978 году, доктор Шульгин в соавторстве с коллегами описал эффект MDMA на психику человека как «легко контролируемое изменённое состояние сознания с эмоциональными и чувственными оттенками». Вскоре после этого MDMA стал самым популярным лекарственным препаратом у психотерапевтов. Очень скоро употребление MDMA распространилось за пределы клинической практики. В 1985 год MDMA был объявлен вне закона, с тех пор MDMA криминализирован законами большинства стран и международными конвенциями об ограничении оборота психоактивных веществ. Производство, хранение, транспортировка и распространение MDMA является уголовным преступлением в большинстве юрисдикций мира. Помимо рекреационного использования, до своего запрета, MDMA активно применялся в качестве вспомогательного средства в психотерапии, в особенности для консультирования семейных пар и разрешения семейных проблем и конфликтов.

В последние годы MDMA возвращается в официальную медицину - исследовательские организации в США, Швейцарии, Израиле, Великобритании разрабатывают методики использования MDMA как психотерапевтического лекарства для лечения посттравматических расстройств психики.

Даже онкологи заинтересовались 1-(бензо-(1,3)диоксол-5-ил)-N-метилпропан-2-амином. В 2006 году ученые из Университета Бирмингема продемонстрировали, что MDMA способен останавливать рост раковых клеток. Однако, чтобы добиться этого эффекта, пациент должен принять смертельную дозу препарата. В исследовании, результаты которого были опубликованы в 2011 году, ученые из Университета Западной Австралии сообщили, что внесли некоторые изменения в молекулу и эффективность полученного препарата повысилась в 100 раз. Сейчас исследования MDMA продолжаются.

Синтезируют MDMA в основном из сафрола. Сафрол (3,4-метилендиоксифенилпроп-2-ен) представляет собой бесцветное или желтоватое масло, получаемое из коры корня кустарника сассафрас.

Синтез MDMA можно осуществить таким образом:


Заключение


Таким образом, 1-фенил-2-аминопропан является родоначальником целой группы амфетаминов. То есть существует большое количество производных данной молекулы, большинство из них в большей или меньшей степени обладает психостимулирующим эффектом. Хотя в большинстве стран вещества данного ряда являются запрещенными, исследования в этой области проводить достаточно затруднительно - но все равно изучение производных амфетамина очень актуально. Так как они обладают серьезной биологической активностью и являются аналогами веществ, содержащихся в окружающей природе, в организме.

Например, в недавних исследованиях, при изучении сна и пробуждения зимноспящих животных выяснилось, что «при изучении пробуждающего действия фенилалкиламинов (фенамин, первитин, эфедрин, симпатол и адреналин) и аналептиков (коразол, кордиамин и стрихнин) на интактных и симпатэктомированных зимнеспящих животных нами установлено следующее: симпатомиметические амины (фенилалкиламины) и аналептики способны прервать даже такой тип сна, каким является оцепенение зимнеспящих животных. Выходит, что работы в данной области не лишены смысла и возможно таят в себе еще великое множество нужных, или даже необходимых человеку свойств.

Список литературы


1. Вацуро К.В., Мищенко Г.Л. Именные реакции в органической химии. - Москва: «Химия», 1976.- 528с.

2.       Дж.Дж. Ли Именные реакции. Механизмы органических реакций. /Перевод с английского В.М. Демьянович - Москва: «БИНОМ. Лаборатория знаний», 2006. - 456с.

3.       <http://www.chempensoftware.com/organicreactions.htm> - Henry Reaction; Kamlet Reaction.

4.       <http://pablo-trash.blog.ru/tag/амфетамин>

5.       <http://medicalarea.ru/>

6.       <http://ru.wikipedia.org/wiki/>

7.       <http://www.xumuk.ru/encyklopedia/826.html>

.        http://ychem.narod.ru/main.html

.        http://www.sciencemadness.org

.        http://medicinacom.ru/izuchenie-sna-i-probuzhdeniya-zimnespyashhih-zhivotnyih.html

Похожие работы на - 1-фенил-2-амино-пропан и его производные

 

Не нашли материал для своей работы?
Поможем написать уникальную работу
Без плагиата!
Без нейросетей!