Формирование доходов торгового предприятия

  • Вид работы:
    Курсовая работа (т)
  • Предмет:
    Маркетинг
  • Язык:
    Русский
    ,
    Формат файла:
    MS Word
    93,65 Кб
  • Опубликовано:
    2012-03-31
Вы можете узнать стоимость помощи в написании студенческой работы.
Помощь в написании работы, которую точно примут!

Формирование доходов торгового предприятия

Введение

валовой доход прогноз

Переход к рыночной экономике вызвал серьезные изменения финансовой системы России и в первую очередь ее основного звена - финансов предприятий, т. к. они занимают ведущее место в финансовой системе. Условия хозяйствования для российских предприятий значительно изменились, это связано с определенными процессами, происходящие в стране, такими как становление и развитие предпринимательства, приватизация, либерализация и т.п.

В результате происходящих в России реформ в стране успешно функционируют предпринимательские структуры в различных в сферах деятельности, сформировалась современная банковская система, а также финансовый рынок. Предпринимательская деятельность - это самостоятельная деятельность дееспособных лиц и их объединений, зарегистрированных в установленном порядке, осуществляемая на свой риск, связанная с производством и реализацией продукции, выполнением работ, оказанием услуг, или продажей товаров.

Одним из основных требований функционирования любого хозяйствующего субъекта в условиях рыночных отношений являются безубыточность предпринимательской деятельности, возмещение расходов собственными доходами. Для обеспечения самоокупаемости и самофинансирования доходы должны не только покрывать все расходы, но и обеспечить дальнейшее развитие организаций. Доходы являются важным качественным показателем торговой деятельности, так как в них отражается уровень хозяйствования, результаты коммерческой, финансовой и экономической работы организации. Безусловно, у препринимателя есть собственные экономические интересы, которые реализуются в особых формах: прибыль, процент и дивиденд на капитал и т.д. Но первичное присвоение отражает, прежде всего, доход или денежная выручка от деятельности предпринимательской фирмы.

Вышесказанным и обусловлена актуальность настоящей работы.

Целью работы является теоретическое исследование изучение формирования доходов торгового предприятия и их с последующей разработкой мероприятий по их увеличению.

Для достижения поставленной цели необходимо выполнить следующие задачи:

рассмотреть понятие «Доходы предприятия и их определяющие»;

изучить состав и формирование доходов;

проанализировать валовой доход;

проведение анализа доходов на примере конкретной организации;

выявление резервов и разработка рекомендаций по увеличению доходов данного кафе; Объектом исследования выступает ООО «ТАЛИСМАН».

Методологическую и теоретическую основу курсовой работы составляют основные положения, содержащиеся в публикациях отечественных и зарубежных ученых-экономистов. Вопросы основных оценочных показателей деятельности хозяйствующих субъектов нашли отражение в работах отечественных авторов проф. Васильевой Е.К., Калинина Д.В. , Кравченко Л.И. , Палешева Н.В. ,Гребнева А.И. и многих других. Структура курсовой работы обусловлена целями и задачами, поставленными перед автором. Во введении обосновывается актуальность темы изучения, излагаются цель и задачи, определяются теоретические и методологические основы курсовой работы, раскрывается структура работы. В первой части работы рассматриваются, прежде всего, теоретические основы, сущность и значение доходов торгового предприятия. Вторая часть посвящена анализу и динамики доходов в кафе «ТАЛИСМАН». В третьей части рассматриваются способы увеличения доходов в данном кафе. В заключение курсовой работы по результатам изучения сформулированы обобщенные выводы.

1. Доходы предприятия и их определяющие

.1 Доход предприятия как экономическая категория

Одной из центральных или опорных категорий системы хозяйствования рыночного типа выступает доход предпринимательской фирмы. Безусловно, у работодателя и работополучателя есть собственные экономические интересы, которые реализуются в особых формах: прибыль, процент и дивиденд на капитал, зарплата и т.д. Но первичное присвоение отражает, прежде всего, доход или денежная выручка от хозяйственных действий предпринимательской фирмы.

Доход - итог хозяйственной деятельности, основа социально-экономического благосостояния хозяйствующего субъекта. Доход - есть денежный эквивалент произведенной и реализованной продукции, первичная форма реализации собственности, экономической ответственности предпринимателя перед «экономической средой». Понятно - с учетом конечного результата, получившего общественное признание, через механизм рыночного спроса и предложения. Как раз доход отражает экономическую результативность предпринимательства, выражает отношения хозяйственного риска, материальную и экономическую ответственность предпринимателя за рациональное использование всех факторов производства. Отношения дохода выражают сложную структуру взаимосвязей по вертикали (предприниматель-государство) и горизонтали, в свою очередь предполагают наличие субординированной системы категорий: валовой, чистый, предпринимательский доход и т.п.[2, с.89].

Валовой доход фирмы - это поток денежных поступлений за определенный период. Превалирующую часть такого дохода образует выручка от продажи товаров и услуг, поэтому в экономической теории выручку от продажи товаров и услуг рассматривают как валовой доход фирмы. В общественном секторе плановой экономики использовались категории чистого и хозрасчетного дохода. Чистый доход - это выручка за вычетом материальных затрат и затрат на заработную плату. Хозрасчетный доход состоит из заработной платы и прибыли.

Современные неоклассические теории, разработанные для развитой рыночной экономики, исходят из того, что, используя ресурсы на производство и реализацию продукции, предприниматель получит доход, который зависит от объема реализованной продукции и рыночных цен.

Валовой доход состоит из выручки от реализации продукции и внереализационных доходов - денежных средств, полученных от непроизводственных операций (проценты по вкладам; дивиденды; полученные пени, штрафы (за вычетом уплаченных); доходы от ценных бумаг, валютных операций и др.).

Важным является распределение дохода в соответствии с долей участия каждого ресурса при производстве и реализации услуг. В связи с этим образуются так называемые факторные доходы. Часть дохода фирма использует на издержки в виде выплаты заработной платы работникам, покрытия материальных затрат, амортизацию изношенного оборудования, выплат по налогам, процентов за кредит и другие цели. Разница между общей суммой валового дохода и издержками на производство и реализацию товаров и услуг носит название прибыли.

В свою очередь прибыль выступает в факторных формах. Прибыль, полученную за приложение капитала в производстве товаров и услуг, называют предпринимательским доходом. Предпринимательский доход - это часть дохода промышленника за минусом процента за взятый в ссуду капитал. Он включает, во-первых, нормальную прибыль - вознаграждение предпринимателю за удержание его в данной сфере деятельности (нормальная прибыль входит во внутренние издержки фирмы). Во-вторых, предпринимательский доход включает и доход сверх нормальной прибыли, то есть экономическую (чистую) прибыль.

Заработная плата есть форма дохода за приложение ресурса труда. Если труд и капитал применяются в производстве с использованием земли, доход принимает форму земельной ренты. Капитал, используемый в качестве ссудного фонда, приносит его владельцу доход в форме ссудного процента.

Через доход фирма стремится активно уловить в свою пользу «доллар покупателя», что позволяет ускорить движение оборотного капитала, своевременно возобновлять фонды оплаты труда, амортизационных отчислений, сохранять рабочие места и вовремя выплачивать зарплату персоналу, оплачивать различные счета поставщиков. Увеличение массы дохода не в последнюю очередь свидетельствует о возрастании загрузки производственных мощностей. Получение дохода свидетельствует о реализации продукции, целесообразности производственных затрат, об общественном признании потребительских свойств продукта. Наоборот, отказ от оплаты счета, отсутствие спроса и затоваривание, трудности в подборе партнеров для совместного осуществления маневра, финансовых проектов и т.п. негативно отражаются на доходной части предпринимателя.

 

1.2 Сущность и значение доходов организации общественного питания

Предприятие питания за оказываемые им услуги по производству, реализации и организации потребления взимает плату, которую можно назвать ценой услуг. Этой платой становится торговая надбавка к цене закупленных сырья и товаров, а также наценка на продукцию общественного питания. Поэтому валовой доход предприятия питания можно представить как сумму надбавок и наценок на реализуемую продукцию. Валовой доход как экономическая категория представляет собой часть продажной цены на продукцию общественного питания, которая предназначается для покрытия издержек производства и обращения предприятия питания и образования прибыли.

Доход - экономическая выгода в денежной или натуральной форме, учитываемая в случае возможности ее оценки в той мере, в которой такую выгоду можно оценить [14, с.376].

Доходами организации признается увеличение экономических выгод в результате поступления активов (денежных средств, иного имущества) и/или погашения обязательств, приводящее к увеличению капитала этой организации, за исключением вкладов участников (собственников имущества).

Доходы приводят к увеличению прибыли и капитала собственника только за счет прибыли, остающейся в распоряжении собственника и переданной экономическому субъекту для расширения деятельности и решения социальных проблем.

Деятельность хозяйствующего субъекта направлена на поддержание капитала собственника и его приумножение. Это достигается безубыточными финансовыми результатами и присоединением части полученной прибыли к капиталу собственника (реинвестирование) [16, с.15].

Услуги общественного питания можно подразделить, распределив их по типам классификации доходов от обычных видов деятельности (табл.1) [16, с.16].

Таблица 1. Классификация доходов предприятий общественного питания по типам выполняемых услуг

Наименование услуги

Виды (типы) выполняемых услуг

Отнесение по видам классификации доходов

1. Услуги питания

- услуги питания ресторана; услуги питания кафе; услуги питания столовой; услуги питания закусочной; услуги питания бара; услуги питания предприятий других типов;

Постоянные, планируемые, контролируемые, переменные

2. Услуги по изготовлению кулинарной продукции и кондитерских изделий

- по заказам потребителей; изготовление блюд из сырья заказчика; изготовление блюд и кулинарных изделий на дому;

Случайные, планируемые, контролируемые, переменные

3. Услуги по организации потребления и обслуживания

- услуги официанта, мойщика посуды на дому; организация и обслуживание торжеств и ритуальных мероприятий; организация питания и обслуживание участников конференций, семинаров и прочее; доставка кулинарной продукции, кондитерских изделий и обслуживание потребителей; прочее;

Случайные, планируемые, контролируемые, переменные

4. Услуги по реализации кулинарной продукции

- отпуск обедов на дом; реализация через магазин и отделы кулинарии; реализация кулинарной продукции вне предприятия;

Постоянные, планируемые, контролируемые, переменные

5. Услуги по организации досуга

- организация музыкального обслуживания; предоставление настольных игр, игровых автоматов, бильярда и т.п.; организация проведения концертов и видеопрограмм;

Постоянные для получения, планируемые; контролируемые, москитные по отношению к объему производства;

6. Прочие услуги




Основным доходом для торговой организации является доход от реализации, представляющий собой сумму торговых надбавок и торговых скидок, приходящихся на реализованные товары. Следовательно, по источникам образования различают доход, полученный за счет торговых надбавок, и доход, полученный за счет торговых скидок [14, с.382].

Роль и значение валового дохода как экономического показателя заключаются в следующем: валовой доход является источником формирования прибыли; за счет валового дохода возмещаются издержки производства и обращения; валовой доход служит источником пополнения собственных оборотных средств; за счет валового дохода формируются различные бюджетные и внебюджетные фонды (сбор на формирование местных целевых бюджетных жилищно-инвестиционных фондов, сбор в республиканский фонд поддержки производителей сельскохозяйственной продукции, продовольствия и аграрной науки, налога пользователей автодорог и сбор на финансирование расходов, связанных с содержанием и ремонтом жилищного фонда); за счет валового дохода предприятия питания уплачивают акцизы и таким образом участвуют в формировании бюджета страны. Валовой доход предприятия питания измеряется в абсолютных и относительных величинах. В абсолютных величинах валовой доход характеризуется суммой, выраженной в денежных единицах, в относительных величинах - уровнем. Уровень валового дохода (Ув. д) рассчитывается как отношение суммы валового дохода к валовому товарообороту, выраженное в процентах [5, с.112]:

 (1), где

ВД - сумма валового дохода, Т - валовой товарооборот. На предприятиях питания рекомендуется исчислять валовой доход по продукции собственного производства и покупным товарам. Расчет уровня валового дохода по продукции собственного производства рекомендуется производить по формуле:

 (2), где

Ав. д - соотношение уровня валовых доходов по продукции собственного производства к уровню валовых доходов по покупным товарам, %; Дп. с. п - доля собственной продукции в товарообороте (базисная),%. Уровень валового дохода по покупным товарам можно рассчитать следующим образом:

 (3),

Как известно, за счет валового дохода предприятия питания уплачивают целевые сборы и платежи. В связи с этим необходимо определять и оценивать валовой доход, остающийся в распоряжении предприятия, или чистый валовой доход. Его величину можно определить так:

ЧВД = ВД - ЦС (4), где

ЧВД чистый валовой доход, млн. руб.; ЦС - целевые сборы и платежи.

Чтобы найти уровень чистого валового дохода, следует его сумму разделить на валовой товарооборот и умножить на 100:

Уч. в. д = ЧВД / Т * 100 (5).

Одним из источников валового дохода предприятий питания является торговая надбавка. Ее величина должна покрыть величину издержек обращения предприятий питания. Торговые надбавки устанавливаются в процентах к оптовой свободно-отпускной цене. Механизм формирования торговых надбавок предусматривает их регулирование исполнительными органами власти.

Небезынтересно узнать, что в развитых зарубежных странах используется более 20 различных скидок и надбавок. Наиболее распространенные из них - скидки на количество изделий в заказанной партии, которые могут достигать 30% цены; бонусные скидки или скидки за оборот, которые предоставляются постоянным партнерам; дилерские скидки, предоставляемые производителями своим постоянным представителям или посредникам по сбыту; сезонные скидки; скрытые скидки в виде оказания бесплатных услуг, обучения персонала, предоставления бесплатных образцов и др.

Предприятия питания самостоятельно рассчитывают торговую надбавку (но не выше предельного размера) исходя из издержек, установленных налогов и неналоговых платежей и прибыли. При определении размера средней торговой надбавки рекомендуется использовать следующую формулу:

Тн = ИО + К + Р + Н + СО (6), где

Тн - уровень торговой надбавки, %; ИО - плановый уровень издержек обращения, кроме процентов за кредит, %; Н - налоги и отчисления в % к товарообороту; СО - отчисления на пополнение собственных оборотных средств в % к товарообороту; К - проценты за кредит в % к товарообороту; Р - рентабельность в % к товарообороту.

Другим важным элементом валового дохода предприятия питания является наценка на продукцию собственного производства и покупные товары. Размер наценок зависит от категории предприятия, места и времени реализации собственной продукции и покупных товаров. Наценка на продукцию общественного питания предназначена для покрытия издержек производства предприятия. Она устанавливается в % к розничной цене. По размеру наценок предприятия питания делятся на шесть категорий: супер-люкс, люкс, высшую, первую, вторую и третью. Самый высокий уровень наценок на предприятиях категории люкс, самый низкий - на предприятиях третьей наценочной категории. Предприятия питания определяют наценку на продукцию собственного производства и покупные товары самостоятельно, но ее величина не должна превышать предельные размеры, устанавливаемые исполкомами. Расчетный уровень наценки может быть определен на основе себестоимости и нормативного уровня рентабельности:

Унац = РУи + РУр (7), где

РУи - расчетный уровень издержек производства и обращения (РУи = И / С * 100); РУр - расчетный уровень рентабельности; И - фактические издержки за период, предшествующий планируемому; С - стоимость сырья в розничных ценах за период, предшествующий планируемому:

С = Т - Н (8), где

Т - товарооборот за период, предшествующий планируемому; Н - наценка за этот же период.

Расчетный уровень рентабельности определяется по формуле:

РУр = П / С * 100 (9), где

П - прибыль.

В свою очередь прибыль определяется так:

П = Р *(10), где

Р - рентабельность товарооборота (норматив или рентабельность предшествующего периода). Таким образом, доходы как экономическая категория находят свое практическое применение в конкретном показателе торговой деятельности. Показатель дохода исчисляется в абсолютном и относительном размерах. Показатели динамики доходов во многом зависят от деятельности торговых организаций. К таким факторам можно отнести изменение структуры товарооборота, звенности товародвижения, постановку правовой и коммерческой работы, полноту получения торговых надбавок и скидок и др. Доходность торговли изменяется и под влиянием экономических условий, не зависящих от работы организаций. К ним следует отнести изменение размера торговых надбавок и скидок, порядка и размера их формирования, размера возмещения отдельных расходов и т.д.

 

1.3 Состав и источники формирования доходов организации общественного питания


Доходы организации общественного питания включают в себя:

доходы по видам деятельности;

прочие поступления, к которым относятся:

операционные доходы;

внереализационные доходы.

В свою очередь операционные доходы подразделяются на :

доходы от операций с имуществом (после вычета из них остаточной стоимости основных средств и налога на добавленную стоимость);

доходы от финансовых операций;

прочие операционные доходы.

Вместе с тем доходами организации не считаются:

поступившие в составе выручки от реализации, операционных и внереализационных доходов суммы налога на добавленную стоимость, акцизов, иных налогов и обязательных платежей, подлежащих перечислению в бюджет;

суммы, поступившие от третьих лиц в пользу комитента по договорам комиссии или консигнации, доверителя по договорам поручения или иным аналогичным договорам в их пользу;

суммы, поступившие в качестве авансов, задатков, предварительной оплаты за товары, готовую продукцию, работы, услуги;

стоимость полученного в залог имущества (если передача заложенного имущества залогодержателю предусмотрена договором);

поступление имущества, в том числе денежных средств, ранее переданных третьим лицам на условиях возвратности, в том числе полученных в качестве погашения ранее предоставленных займов;

вклады, внесенные другими организациями в ее уставный фонд, в рамках договора простого товарищества в размерах, установленных договорами [13, с.377].

Доходы торговой организации представляют собой сумму денежных средств, получаемых организацией из различных источников.

Доходы от реализации, представляющие собой часть стоимости товара, которая предназначена для покрытия расходов на реализацию товаров, уплаты налогов и неналоговых платежей и образования прибыли. Доходы от реализации занимают значительный удельный вес в доходах торговой организации (около 80%). Иными словами, доходы от реализации представляют собой часть совокупного общественного продукта, переданного торговле для возмещения необходимых рациональных затрат и получения прибыли.

Операционные доходы - доходы от отдельных операций, не относящихся к видам деятельности организации, без учета денежных средств и иного имущества, не считающихся доходами организации [10].

В их состав входят:

доходы, связанные с продажей и прочим выбытием (ликвидацией, списанием и др.) принадлежащих торговой организации основных средств (за минусом остаточной стоимости основных средств и налога на добавленную стоимость), нематериальных активов, производственных запасов, валютных ценностей, ценных бумаг и иных активов, в том числе активов, отличных от официальной валюты Российской Федерации;

доходы, связанные с предоставлением за плату во временное пользование (временное владение и пользование) активов организации в соответствии с законодательством (когда это не является предметом деятельности организации);

доходы, связанные с предоставлением за плату прав, возникающих из патентов на изобретения, промышленные образцы, и другие виды интеллектуальной собственности (когда это не является предметом деятельности организации);

доходы, связанные с участием организации в совместной деятельности по договору простого товарищества;

доходы по операциям с тарой;

доходы (проценты), полученные за предоставление в пользование денежных средств организации, а также проценты за использование банком денежных средств, находящихся на счете организации в данном банке;

восстановление резерва при продаже материальных ценностей или повышении рыночных цен;

восстановление резерва под обесценение вложений в ценные бумаги, созданного ранее при продаже ценных бумаг или увеличении их рыночной котировки;

восстановление резерва по сомнительным долгам;

прочие доходы, признаваемые операционными.

Из вышеизложенного видно, что операционные доходы по своему характеру и условиям получения не являются основным видом деятельности организации и их поступление, как правило, носит нерегулярный характер.

Под внереализационными доходами следует понимать доходы, которые не связаны с доходами, включаемыми в выручку от реализации продукции (работ, услуг) и иного имущества и не входящие в состав операционных доходов. Это несистематические, непредвиденные, носящие непроизводственный характер доходы, а также доходы, которым не соответствуют или отсутствуют соответствующие расходы. В их состав входят:

доходы, связанные с передачей безвозмездно принадлежащих организации основных средств, нематериальных активов, производственных запасов, валютных ценностей, ценных бумаг и иных активов, в том числе активов, отличных от официальной валюты Российской Федерации;

штрафы, пени, неустойки за нарушение условий договоров, полученные, присужденные судом или признанные организацией-должником к получению, начисленные в момент их признания или получения;

стоимость безвозмездно полученных активов: основных средств и других амортизируемых активов, в том числе полученных в качестве целевого финансирования - по мере начисления амортизации в сумме начисленной амортизации, иных безвозмездно полученных активов - по мере их списания на счета учета затрат, расходы на реализацию или на операционные расходы, средства целевого финансирования, первоначально учтенные в качестве доходов будущих периодов, - по мере признания расходов, на финансирование расходов, на которые они предоставлены;

принятое к учету имущество, оказавшееся в из - лишке по результатам инвентаризации;

поступления в возмещение причиненных организации убытков;

прибыль прошлых лет, выявленная в отчетном году;

суммы кредиторской и депонентской задолженности, по которым истек срок исковой давности, других долгов, нереальных для взыскания (включая ранее списанные как безнадежные), которые включаются во внереализационные доходы организации в размере, ранее отраженном в учете задолженности;

положительные курсовые разницы, возникающие при переоценке имущества и обязательств;

суммовые разницы, возникающие в связи с погашением дебиторской, кредиторской задолженности, в том числе задолженности по полученным кредитам, полученным (выданным) займам;

разницы между числящейся стоимостью акций (доли), выкупленных у акционеров, и их номинальной или продажной стоимостью при аннулировании или продаже указанных акций;

сумма дооценки активов;

доходы в связи с чрезвычайными обстоятельствами хозяйственной деятельности (национализация, конфискация и т.п.);

прочие доходы от операций, непосредственно не связанных с производством и реализацией товаров, продукции, работ, услуг, иного имущества, признаваемые внереализационными [10].

В заключение следует повторить, что доходы организации общественного питания включают в себя доходы по видам деятельности и прочие поступления, к которым относятся операционные доходы и внереализационные доходы.

1.4 Анализ и прогнозирование валового дохода


Анализ валового дохода предприятия питания проводят по их сумме и уровню. В процессе анализа изучают степень выполнения плана и динамику валового дохода, измеряют влияние факторов на его размер. Анализ проводится по предприятию и его структурным подразделениям. В результате анализа определяются резервы роста валового дохода.

Общая сумма валового дохода торгового предприятия находится в пропорциональной зависимости от изменения объема розничного товарооборота и уровня реализованных торговых надбавок. Их влияние на валовой доход измеряют приемом абсолютных разниц. Так, отклонение от плана или в динамике по товарообороту умножают на базисный уровень валового дохода (плановый или фактический за прошлый период), делят на 100, а отклонение от плана или от данных прошлого периода по среднему уровню реализованных торговых надбавок умножают на фактический товарооборот отчетного периода и делят на 100. Большое влияние на валовой доход оказывает изменение розничных (продажных) цен на товары. При повышении цен соответственно растет сумма торговых надбавок, и наоборот. Для измерения влияния этого фактора на валовой доход необходимо прирост объема товарооборота за счет повышения розничных цен на товары умножить на базисный уровень реализованных торговых надбавок (плановый или фактический за прошлый период) и разделить на 100.

Одновременно определяют и анализируют валовой доход, остающийся в распоряжении торгового предприятия.

Он рассчитывается вычитанием из общей суммы валового дохода налогов и других обязательных платежей, взимаемых за счет реализованных торговых надбавок.

Следовательно, сумма валового дохода, остающегося в распоряжении торгового предприятия, находится в прямой зависимости от изменения общей суммы реализованных торговых надбавок и в обратной - от налогов и других обязательных платежей, взимаемых за счет валового дохода. Их влияние на сумму валового дохода, остающегося в распоряжении торгового предприятия, определяется прямым счетом [13, с.237].

Рост или снижение товарооборота ведет к соответствующему изменению валового дохода. С увеличением или уменьшением среднего уровня реализованных торговых надбавок и наценок пропорционально изменяется и их сумма. Влияние указанных факторов на валовой доход измеряют приемом абсолютных разниц.

Так, отклонение от плана или прошлого года по товарообороту умножают на базисный уровень валового дохода и полученный результат делят на 100, таким образом определяют влияние изменения товарооборота на валовой доход:

 (11),

где ВДт - изменение валового дохода за счет товарооборота;

Тотч, Тбаз - товарооборот соответственно отчетного и базисного года;

Увд баз - уровень валовых доходов базисного года.

Чтобы определить влияние изменения среднего уровня валового дохода на сумму реализованных торговых надбавок и наценок, следует отклонение от плана или от данных прошлого года по среднему уровню валового дохода умножить на фактический товарооборот отчетного года и разделить на 100:

 (12).

Большое влияние на валовой доход оказывает изменение продажных цен на продукцию собственного производства и покупные товары. При повышении продажных цен соответственно растет сумма реализованных надбавок и наценок, и наоборот. Для измерения влияния этого фактора на валовой доход необходимо прирост объема товарооборота за счет повышения цен умножить на базисный уровень реализованных торговых надбавок и наценок и разделить на 100.

На величину валового дохода влияют изменение объема товарооборота, ценовой фактор, изменение среднего уровня валового дохода, остающегося в распоряжении предприятия. Расчет этих факторов производится по той же методике. На величину чистого валового дохода кроме перечисленных выше факторов оказывают влияние налоги и другие обязательные платежи, взимаемые за счет валового дохода.

Средний уровень валового дохода зависит от изменения состава товарооборота (доли в товарообороте продукции собственного производства и покупных товаров) и уровней валового дохода от реализации собственной продукции и покупных товаров. Влияние указанных факторов на уровень валового дохода можно измерить способом процентных чисел с применением приема цепных подстановок.

Анализ общего объема валового дохода и валового дохода, остающегося в распоряжении предприятия, проводится по месяцам и кварталам.

Предприятия питания должны проводить анализ, сравнивая его с достижениями конкурентов. Важнейшими факторами роста валового дохода являются увеличение объема товарооборота в сопоставимых ценах, рациональная ценовая политика пред - приятия, эффективная работа с поставщиками сырья и товаров, достижение эффекта от произведенной закупки сырья и товаров.

Цель научно обоснованного прогноза валового дохода - определение возможного его объема при заданных (прогнозных) ограничениях исходя из целевых приоритетов, выбранных предприятием питания для своей деятельности. Планирование валового дохода является важной стадией экономического обоснования прогнозных расчетов прибыли, а следовательно, и расчетов финансового плана.

Исходными предпосылками для разработки прогноза валового дохода служат:

экономические методы государственного регулирования деятельности предприятий (налоговая и ценовая политика);

целевая стратегия предприятия (увеличение доли рынка, максимизация прибыли и др.);

экономический потенциал предприятия (трудовые ресурсы, материально-техническая база, обеспеченность сырьем и товарами и др.);

потребность в прибыли для развития предприятия питания;

издержкоемкость реализуемых групп сырья и товаров, издержкоемкость предприятия питания;

план товарооборота предприятия питания, структура расходуемого сырья и товаров и др.

Для прогнозирования валового дохода используют следующие методы:

метод прямого расчета;

расчетно-аналитический;

экономико-статистические;

экономико-математические;

на основе прогнозируемой величины прибыли.

Метод прямого расчета. На первом этапе отдельно прогнозируется уровень торговых надбавок (или определяется на уровне регулируемых государством надбавок), затем рассчитывается наценка на продукцию собственного производства и покупные товары с учетом себестоимости и нормы рентабельности или наценка с учетом предельных величин, устанавливаемых законодательно.

На втором этапе, зная структуру расходуемого сырья по видам продуктов, нормы надбавок и наценок по каждому виду сырья, рассчитывается сумма надбавок и наценок. Общая сумма валового дохода определяется суммированием надбавок, наценок по всем товарным группам. Уровень валового дохода будет равен отношению суммы валового дохода к общему объему валового товарооборота (то есть к стоимости сырья и товаров по розничным ценам плюс сумма наценок).

Наиболее простым в применении является расчетно-аналитический метод прогнозирования. Его сущность состоит в том, что на основе отчетных данных за истекший период и изучения динамики уровня валового дохода за два предшествующих года определяется ожидаемый уровень валового дохода за текущий год. Этот показатель принимают за базовую величину для прогнозирования суммы валового дохода. Ожидаемый уровень за текущий год определяется умножением среднего соотношения за два предшествующих периода годового уровня валового дохода к его уровню за рассматриваемый период на уровень валового дохода текущего периода.

Расчетно-аналитический метод имеет недостатки, так как он не учитывает изменения в структуре расходуемого сырья и товаров. Однако он может быть использован для расчета одного из вариантов прогнозируемого валового дохода.

Среди экономико-статистических методов наиболее широко для прогнозирования применяется метод скользящей средней. Суть этого метода заключается в выравнивании по методу скользящей средней динамического ряда (4-5 лет) уровня валового дохода (К) и распространении выявленной тенденции в развитии валового дохода на перспективу.

Среднегодовой прирост уровня валового дохода находится по формуле:

 (13),

Прогнозируемый уровень валового дохода определяется по формуле:

Кпр = Кn + 2 *  (14).

Расчет валового дохода при помощи экономико-математических методов предполагает выбор математической модели и ее решение с использованием ПЭВМ. Выбору модели предшествует построение графика, отражающего динамику валового дохода.

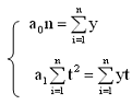
При планировании валового дохода можно использовать, например, метод экстремумов. При этом решается уравнение вида у = at + b.

Уравнение решается при помощи следующей системы:



Прогнозирование валового дохода с учетом целевой нормы прибыли осуществляется следующим образом. Прогнозируемый валовой доход (без целевых сборов и платежей) определяется по формуле:

ВД1пр = Ипр + Ппр (16),

где Ипр - прогнозируемые издержки производства и обращения; Ппр - прогнозируемая общая прибыль. Затем определим валовой доход по покупным товарам:

ВД2 = ВД1 * УВП. т. т. / 100 (17), где

УВптт - удельный вес покупных товаров в товарообороте,%. Планируемый валовой доход по покупным товарам с учетом целевых отчислений и платежей определяется следующим образом:

ВД2 = ВД2/ (100 - 30) 100 (18).

Планируемая величина валового дохода с учетом всех отчислений будет равна:

ВДпл = ВД2 + (ВД3 - ВД2) (19).

Прогнозируемые расчеты валового дохода, произведенные с использованием различных методов, считаются надежными тогда, когда они, с одной стороны, удовлетворяют требованию обеспечения безубыточности работы предприятия, с другой - получению необходимой чистой прибыли для развития предприятия питания.

Чтобы удостовериться в оптимальности прогнозируемой величины валового дохода, целесообразно рассчитать ряд показателей: критическую величину валовых доходов (порог рентабельности), запас финансовой прочности.

Критическая величина валового дохода показывает, при каком объеме валового дохода прибыль предприятия будет равна нулю. Критическая величина валового дохода определяется по формуле:

ВДкрит = Ипост: [1 - (Ипер / ВД)] (20), где

Ипост, Ипер - соответственно постоянные и переменные издержки; ВД - прогнозируемая или фактическая величина валового дохода.

Запас финансовой прочности по предприятию питания можно определить следующим образом:

 (21).

Имея динамический ряд по товарообороту, следует выявить основные тенденции товарооборота за достаточно длительный период и определить, как может развиваться в дальнейшем товарооборот, т.е. рассчитать прогноз объемов товарооборота при сложившихся темпах роста. Такой расчет называется экстраполяцией и используется при прогнозировании товарооборота.

Прежде чем произвести расчеты по экстраполяции, необходимо наиболее точно определить общую тенденцию развития товарооборота математически через уравнение (прямой) - если товарооборот растет равномерно или кривой типа параболы второго порядка, если товарооборот растет с некоторым ускорением.

Уравнение кривой выражается формулой [21, с.293-295]:

, (21), где

а0, а1 - параметры уравнения; t - порядковые номера периодов, моментов времени, года;  - выравненный объем товарооборота за период t.

Для нахождения параметров уравнения прямой (а0, а1) решается система уравнений:


где n - число лет; у - фактический объем товарооборота.

Систему уравнений можно упростить, если начинать отсчет с середины ряда. Среднему моменту (году) присваивается нулевой номер, а остальные от 1 и до n, причем нумерация к базисному году обозначается со знаком минус, а после - со знаком плюс. Если St = 0, то система примет вид:


Отсюда:



Выбор уравнения для выравнивания товарооборота определяется условием S (у-) 2 = min. При этом может исчисляться также среднеквадратическое отклонение и коэффициент вариации.

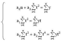
Экстраполяцию можно произвести по параболе 2 порядка:

 (25), где

а0, - постоянный рост товарооборота, а1 - ускорение роста товарооборота. Параметры а0, а1, а2 определяются путем решения системы уравнений:


Упрощая уравнение параболы для расчета его параметров, получим:


В заключение вопроса следует повторить, что анализ валового дохода предприятия питания проводят по их сумме и уровню. В процессе анализа изучают степень выполнения плана и динамику валового дохода, измеряют влияние факторов на его размер. Анализ проводится по предприятию и его структурным подразделениям. В результате анализа определяются резервы роста валового дохода.

Прогнозирование спроса представляет собой поэтапный процесс выработки научно обоснованных предположений о перспективах развития спроса, основанных на комплексном использовании методов и системы информационного обеспечения



2. Анализ доходов предприятия на примере кафе ООО "ТАЛИСМАН"

.1 Экономико-организационная характеристика ООО "ТАЛИСМАН"

ООО "ТАЛИСМАН" является обществом с ограниченной ответственностью, которая согласно гражданскому Кодексу Российской Федерации является разновидностью хозяйственного общества.

Участники общества, несут солидарную ответственность по его обязательствам в пределах стоимости неоплаченной части вклада каждого из участников.

Правовое положение общества с ограниченной ответственностью, права и обязанности его участников определяются гражданским Кодексом и законодательством об обществах с ограниченной ответственностью

Возглавляет общество и является его учредителем общества является генеральный директор. Общество образовано в 2000 г. ООО "ТАЛИСМАН" является вновь образованным обществом, является юридическим лицом и строит деятельность на основании Устава и законодательства Российской Федерации.

Общество имеет штампы и бланки со своим наименованием, собственную эмблему, а также зарегистрированный в установленном порядке товарный знак и другие средства визуальной идентификации. Уставный фонд ООО "ТАЛИСМАН" составляет 245 568 тыс. руб. РБ.

Целью деятельности Общества является хозяйственная деятельность, направленная на извлечение прибыли, удовлетворение социально-экономических интересов участников и членов трудового коллектива Общества.

Общество вправе осуществлять следующие виды деятельности:

. Производство и реализация продукции общественного питания;

. Осуществление оптовой и розничной торговли;

. Сдача в наем собственного и арендованного нежилого имущества;

. Оказание транспортных услуг;

. Осуществление других видов деятельности, не противоречащих законодательству Российской Федерации.

Предмет деятельности Общества может быть расширен или изменен по решению высшего органа Общества и в соответствии с действующим законодательством.

Имущество организации составляют основные фонды, оборотные средства, а также иные ценности, стоимость которых отражается в самостоятельном балансе.

Общество может от своего имени приобретать имущественные и личные неимущественные права и нести обязанности, быть истцом и ответчиком в суде, хозяйственном или третейском суде

Общество имеет расчетный, валютный в учреждениях банков, простую круглую печать со своим наименованием и другие печати, штампы, товарный знак и иные реквизиты со своим наименованием.

Общество имеет право владеть, пользоваться и распоряжаться своим имуществом на праве собственности в соответствии с его назначением и целями Общества.

Имущество Общества учитывается на его балансе. Имущество Общества является собственностью Общества. Участники не пользуются какими-либо обособленными правами на объекты, входящие в состав имущества Общества, в том числе на объекты, переданные ими в качестве вкладов в уставный фонд.

Общество несет ответственность по своим обязательствам любым принадлежащим ему имуществом, на которое согласно законодательству Российской Федерации может быть обращено взыскание.

Управление предприятием осуществляется руководителем, который назначается собственником и ему подотчетен.

Основные показатели деятельности кафе "ТАЛИСМАН" представлены в табл.2.

Таблица 2. Основные показатели деятельности кафе "ТАЛИСМАН"

Показатели

Ед. изм.

2010 г.

2011 г.

2010 г. к 2011 г.,%

Объем выручки

тыс. руб.

1 686 422

1 811 217

107,4

Валовой доход с НДС

тыс. руб.

472 198

499 896

105,9

Налог с продаж

тыс. руб.

123 109

172 066

139,8

Сумма НДС

тыс. руб.

102 831

112 498

109,4

Валовой доход без НДС

тыс. руб.

369 368

387 398

104,9

В процентах к выручке

%

21,9

21,4

-

Налоги с валовым доходом

тыс. руб.

6 746

7 064

104,7

Издержки обращения

тыс. руб.

205 873

204 312

99,2

В процентах к выручке

%

12,2

11,3

-

Прибыль от реализации

тыс. руб.

156 749

176 022

112,3

Сальдо внереализационных доходов

тыс. руб.

823

815

99,0

Итого прибыль

тыс. руб.

157 572

176 837

112,2

Рентабельность

%

9,3

9,8

-

Выработка на 1 работника

тыс. руб.

44 380

50 312

113,4

Рентабельность

%

9,3

9,8

-

Фонд заработной платы

тыс. руб.

24 254

25 553

105,4

Списочная численность

чел.

38

36

94,7

Средняя зарплата

руб.

638 250

709 803

111,2


Проведенный анализ основных показателей хозяйственной деятельности показал, что объем выручки кафе "ТАЛИСМАН" в 2011 г. составил в действующих ценах 1811217 тыс. руб., что на 124795 тыс. руб. больше, чем в 2010 г., что составляет 107,4%.

Валовой доход без учета НДС увеличился с 369 368 до 387 398 тыс. руб., темп роста составил 104,9%. Следует отметить снижение удельного веса валового дохода в общем объеме выручки, что является негативной тенденцией.

Издержки обращения в 2011 г. снизились с 205 873 тыс. руб. до 204 312 тыс. руб., темп снижения издержек в 2011 г. по отношению к 2010 г. составил 99,2%, что вызвано сокращением численности персонала. Снижение темпов роста издержек и рост выручки является положительной тенденцией, которая влияет на увеличение величины прибыли и уровня рентабельности. Соответственно удельный вес издержек обращения в общем объеме товарооборота снизился с 12,2% до 11,3%.

Анализируя финансовые результаты деятельности кафе "ТАЛИСМАН" видно, что рассматриваемое предприятие является рентабельным.

Уровень рентабельности составил: за 2010 г. - 9,3%, за 2011 г. - 9,8%.

Увеличение объемов товарооборота и снижение среднесписочной численности привело к росту выработки на 1 работающего - за 2011 г. этот показатель составил 50312 тыс. руб., что составляет 113,4% от уровня прошлого года (44380 тыс. руб.).

Как видно из результатов анализа основных показателей финансово-хозяйственной деятельности кафе ООО "ТАЛИСМАН", за анализируемый период наблюдается улучшение основных показателей деятельности организации, особенно рост рентабельности, в связи с чем можно сделать вывод об эффективной работе кафе.

2.2 Анализ состава и динамики доходов ООО "ТАЛИСМАН"

Оценка выполнения плана и динамика валового дохода приведены в табл.3.

План по сумме валового дохода ООО "ТАЛИСМАН" выполнен. Степень выполнения плана составила 101,95%. Фактические валовые доходы были выше запланированных на 51217 тыс. руб. Следует отметить, что уровень валового дохода по сравнению с планом снизился на 0,2% и составил в отчетном году 21,4%. Фактическая сумма чистого валового дохода больше запланированной на 0,2%, или на 43619 тыс. руб. Фактический уровень чистого валового дохода составил в отчетном году 78,2% к обороту, то есть увеличился по сравнению с планом на 0,2% к обороту.

По сравнению с прошлым годом наблюдается увеличение суммы реализованных торговых надбавок и наценок. Так, общая величина валового дохода в динамике возросла на 7,4%, или на 124 795 тыс. руб. Величина валового дохода, остающегося в распоряжении предприятия, увеличилась по сравнению с прошлым годом на 106447 тыс. руб., или на 8,1%. Однако уровень валовых доходов в отчетном году по сравнению с предшествующим периодом снизился с 21,9 до 21,4%, или на 0,5% к обороту. Уровень чистого валового дохода вырос за анализируемый период с 77,7 до 78,2%, или на 0,5% к обороту.


Таблица 3. Выполнение плана и динамика валового дохода ООО "ТАЛИСМАН"

Показатель

Фактически за прошлый год

Отчетный год

Отклонение

В% к прошлому году



План

Факт

% выполнения плана

от плана

от прошлого года


Объем товаро-оборота

1 686 422

1 811 217

102,91

51 217

124 795

107,4

Сумма валового дохода

369 368

380000

387 398

101,95

7 398

18 030

104,9

Средний уровень валового дохода в % к обороту

21,9

21,6

21,4

99,1

-0,2

-0,5

97,7

Сумма обязательных платежей, взимаемых за счет валового дохода

6 746

6864

7 064

102,91

200

318

104,7

Обязательные платежи, взимаемые за счет валового дохода, в% к товаро-обороту

0,4

0,4

0,4

100,0

0,0

0,0

97,5

Сумма валового дохода, остающаяся в распоряжении предприятия

1 310 309

1 373 136

1 416 755

103,18

43 619

106 447

108,1

Уровень валового дохода, остающегося в распоряжении предприятия, в% к товаро-обороту

77,7

78,0

78,2

100,3

0,2

0,5

100,7




В таблице 4 представлено влияние факторов на сумму валового дохода.

Таблица 4. Расчет влияния факторов на сумму валового дохода ООО "ТАЛИСМАН", тыс. руб.

Фактор

Влияние на выполнение плана по валовому доходу

Влияние на динамику валового дохода


расчет

сумма

расчет

сумма

Изменение объема товарооборота

51217 * 21,6/100

11058

124795 * 21,9/100

27333

Изменение среднего уровня валового дохода

1811217 * - 0,20/100

-3660

1811217 * - 0,5/100

-9303

Всего


7398


18030


Как видно из данных табл.4, на выполнение плана по валовому доходу наибольшее влияние оказало изменение объема товарооборота - +11058 тыс. руб. и изменение среднего уровня валового дохода - - 3660 тыс. руб., что в сумме составило 7398 тыс. руб.

На динамику валового дохода вышеуказанные факторы оказали влияние в размере 18030 тыс. руб., в том числе - изменение объема товарооборота - +27333 тыс. руб., изменение среднего уровня валового дохода - 9303 тыс. руб.

Существенное влияние на величину валового дохода оказали такие факторы, как состав товарооборота и уровень валового дохода от реализации собственной продукции и покупных товаров (табл.5)


Таблица 5. Расчет влияния изменения состава товарооборота и уровней валового дохода по реализации собственной продукции и покупных товаров на выполнение плана по среднему уровню валового дохода по ООО "ТАЛИСМАН", тыс. руб.

Состав товарооборота

Общий объем товарооборота

Валовой доход

Процентные числа

Средний уровень валового дохода в% к обороту при фактическом составе т/об. и плановых уровнях вал. дохода по отд. видам реализации


план

фактически

план

фактически




сумма

уд. вес,%

сумма

уд. вес,%

сумма

в% к товарообороту

сумма

в% к товарообороту



Реализация продукции собственного производства

406154

23,1

388423

21,4

75757

4,3

81638

4,5

92,3


Реализация покупных товаров

1353846

76,9

1422794

78,6

304243

17,3

305760

16,9

1357,9


Всего

1760000

100,0

1811217

100,0

380000

21,6

387398

21,4

1450,2

14,5



Как видно из данных табл.5., снижение доли продукции собственного производства по сравнению с планом привело к снижению уровня валового дохода на 7,1% (21,6 - 14,5), снижение уровней валового дохода от реализации собственной продукции и продажи покупных товаров привело к уменьшению реализованных торговых надбавок и наценок на 6,9% (21,4 - 14,5).

Анализ динамики валового дохода ООО "ТАЛИСМАН" по месяцам и кварталам приведен в Приложении.

Из Приложения видно, что в 1, 2 и 4 кварталах сумма валового дохода возросла по сравнению с прошлым годом, а в 3 квартале снизилась. Если бы не было уменьшения валового дохода, то его сумма могла возрасти на 3096 тыс. руб., что составляет 0,2% к обороту (3096: 181127 * 100).

Во всех кварталах наблюдается рост валового дохода, обусловленный уменьшением уровня реализованных надбавок и наценок.

Важным моментом анализа является расчет влияния объема товарооборота на величину валового дохода по месяцам и кварталам. Из Приложения видно, что во всех кварталах наблюдалось увеличение валовых доходов за счет роста товарооборота.

В заключение вопроса следует отметить, что на динамику товарооборота кафе "ТАЛИСМАН" оказывает влияние большое количество факторов, которые необходимо анализировать с целью оптимизации управления процессом товарооборота и максимизации прибыли.


3. Пути увеличения доходов предприятия кафе ООО "ТАЛИСМАН" на основе прогнозирования

В предыдущей главе проведен анализ влияния отдельных факторов на динамику валового дохода. Однако в условиях рыночной экономики эффективная деятельность организаций розничной торговли зависит от полноты и качества планирования и прогнозирования.

Для повышения обоснованности разрабатываемых прогнозов необходимо знать подходы, принципы, методы научного предвидения. Это помогает понять суть происходящих в обществе событий, принимать вероятностные решения в различных ситуациях.

Прогнозированием показателей работы организации общественного питания практически не занимаются. Однако некоторые организации предпринимают попытки разработки прогнозирования показателей работы на предстоящие 2-3 года. Целью разработки таких прогнозов, как правило, является определение размера ожидаемой прибыли на предстоящий период. Кроме того, проводимые расчеты позволяют выявить возможные источники финансирования развития материально-технической базы этих организаций.

Прогноз представляет собой вероятностное научно обоснованное суждение о перспективах возможного состояния анализируемого явления (объекта) в будущем [12, с.13].

Исходными данными для прогнозирования валового дохода должны быть данные о продажах товаров за предыдущие периоды. Для целей прогнозирования эта информация должна использоваться как в целом по организации, так и в разрезе его подразделений, товарных групп и отдельных наименований товаров (товарных позиций).

В связи с этим организации необходимо создание и ведение базы данных о фактических показателях товарооборота с использованием систем управления базами данных на ЭВМ.

Прогнозирование валового дохода ООО "ТАЛИСМАН" должно осуществляться с использованием передовых научных достижений и практических разработок в следующей последовательности:

. Проведение глубокого экономического анализа валового дохода за ряд предыдущих периодов (месяцев, кварталов, лет) в увязке с конечными финансовыми результатами организаций;

. Оценка тенденций валового дохода в целом и по отдельным товарным группам (товарам), видам продукции;

. Расчет и изучение динамики валового дохода в целом, в разрезе подразделений, товарных групп и отдельных наименований товаров за ряд лет, выявление причин изменения и прогнозирование этих показателей;

. Количественная оценка влияния факторов на общий уровень валового дохода, а также прогнозная оценка факторного влияния на текущий валовой доход.

Аналитическая практика показывает, что методические подходы к прогнозированию и планированию деятельности организаций общественного питания, практически не различаются. [4, с.9].

Прогнозирование валового дохода ООО "ТАЛИСМАН" должно включать в себя как субъективный (мнение специалистов), так и объективный (экономико-математические расчеты) элементы.

В деятельности по прогнозированию должны сочетаться долгосрочный, среднесрочный и краткосрочный прогнозы.

Долгосрочный и среднесрочный прогнозы должны касаться стратегических решений, краткосрочный прогноз - тактика фирмы.

При разработке прогнозов необходимо использовать комплекс простых и сложных методов прогнозирования, чтобы решать задачи различного уровня сложности и повысить точность расчетов, поскольку никакой из методов не может в полной мере учесть все параметры и аспекты развития рынка.

При прогнозировании необходимо учитывать влияние как можно большего количества факторов, оказывающих влияние на уровень валового дохода.

Составление прогнозных данных о валовом доходе ООО "ТАЛИСМАН" должно производится с учетом максимальной и минимальной границ показателей.

Под минимальной границей понимают нижний предел, за которым дальнейший уровень валового дохода не может быть признан целесообразным и повлечет за собой ухудшение финансового состояния организации, сложности с доставкой товаров, снижение культуры обслуживания, текучесть кадров и т.д.

Максимальная граница уровня валового дохода предусматривает такую его величину, которая обеспечивала бы организации достижение максимальной эффективности имеющихся материальных, трудовых, финансовых, информационных и других видов ресурсов. Переход за границу оптимального уровня валового дохода приведет к снижению эффективности хозяйственной деятельности организации.

Технология расчета прогнозного размера валового дохода по ООО "ТАЛИСМАН" должна включать в себя три этапа.

На первом этапе определяется необходимая величина прибыли, остающаяся в распоряжении организации и направляемая для реализации программы производственного и социального развития организации и удовлетворения интересов собственника. В соответствии с ныне действующим порядком важнейшими направлениями распределения чистой прибыли являются (прогнозный расчет производится экспертным путем с учетом реальной потребности предприятия в этих расходах):

финансирование прироста основного капитала (развитие материально-технической базы);

финансирование прироста собственного оборотного капитала (при собственных оборотных средствах, в том числе вложенных в товарные запасы);

создание финансовых резервов;

погашение долгосрочных и среднесрочных кредитов банков и других ссудодателей и уплата процентов по ним;

приобретение ценных бумаг;

уплата налогов и других отчислений, производимых из чистой прибыли:

осуществление социального развития и поощрения трудового коллектива и. др.

На втором этапе необходимо произвести увязку рассчитанной потребности в прибыли с возможностями ее получения при планируемом объеме деятельности. В этих целях определяется необходимый размер валового дохода и допустимый уровень расходов на реализацию с использованием для расчетов данных о сложившихся размерах за предыдущий базовый, период с учетом экспертной оценки их достоверности и оптимальности. Эти расчеты целесообразно дополнить проверкой полученных результатов путем сопоставления их с прогнозной величиной объема продаж, определенной другими методами (на основе покупательных фондов населения, размера спроса товарных ресурсов и др.).

При получении нереально высокого для организации результата, требующего резкого роста валового дохода, сбалансированность между объемом продаж и валовыми доходами, между необходимой и возможной прибылью может быть обеспечена управлением структурой товарооборота, размерами торговых надбавок, расходов на реализацию, достижением оптимальных отношений с владельцами кредитных ресурсов, выпуском и приобретением ценных бумаг и т.п.

Если же рассчитанный объем валового дохода, исходя из потребности в прибыли, окажется ниже возможностей организации, то необходимо предпринять шаги по увеличению объемов реализации, по диверсификации его деятельности. В противном случае, может сложиться ситуация, ведущая к банкротству, поскольку заинтересованность в развитии организации, сотрудничестве с ней падает и у её контрагентов (банки, поставщики, работники) и у собственников.

На третьем этапе, после необходимых корректировок объема валового дохода, приведения его структуры в соответствие со спросом населения рассчитываются все другие показатели хозяйственно-финансовой деятельности организации (объем и структура товарного обеспечения, расхода на реализацию, финансовый план, необходимая численность работников, потребность в кредитах и т.д.)


Таблица 6. Расчет параметров уравнения кривой валового дохода.

Месяцы

Обозначение

Товаро-оборот, тыс. руб.

t

t2

yt

Выравненный товарооборот по прямой

Отклонение фактического значения от выравненного

(у-yt) 2



1

2

3

4

5

6

7

Январь

t1

29 311

-5

25

-146555

28595

716

512 720

Февраль

t2

30 110

-4

16

-120440

29178

932

868 149

Март

t3

28 954

-3

9

-86862

29762

-808

652 145

Апрель

t4

29 657

-2

4

-59314

30345

-688

473 145

Май

t5

32 214

-1

1

-32214

30928

1 286

1 653 397

Июнь

t6

34 250

0

0

0

31511

2 739

7 499 629

Июль

t7

28 900

1

1

28900

32095

-3 195

10 206 460

Август

t8

26 952

2

4

53904

32678

-5 726

32 787 706

Сентябрь

t9

34 895

3

9

104685

33261

1 634

2 668 796

Октябрь

t10

34 856

4

16

139424

33845

1 011

1 022 819

Ноябрь

t11

36 527

5

25

182635

34428

2 099

4 405 990

Всего


346 626

9

110

64 163

346 626

0

62 750 955




Далее проведем прогнозные расчеты валового дохода на 2012 г. с помощью системы уравнений (22) - (24). Полученные результаты поместим в табл.6. В результате получим:

 .

Тогда:

= 31511 + 583t.

Таким образом, линейная зависимость валового дохода от прогнозируемого периода выражается полученной формулой. Далее с помощью полученных значений рассчитаем выровненный валовой доход, и полученные данные занесем в графу 6 табл.6. Параметр а1 показывает, что в период с t1 по tn валового дохода повышался с постоянной скоростью, равной 583 тыс. руб. Если предположить, что валового дохода будет и впредь расти таким образом, то спрогнозируем его примерное увеличение на 2008 г. Так, валовой доход будет равен: (табл.7):

Таблица 7. Величина прогнозируемого валового дохода ООО "ТАЛИСМАН" в 2012 г.

№№ пп

Месяц

Сумма, тыс. руб.

1.

Январь

35 011

2.

Февраль

35 595

3.

Март

36 178

4.

Апрель

36 761

5.

Май

37 344

6.

Июнь

37 928

7.

Июль

38 511

8.

Август

39 094

9.

Сентябрь

39 678

10.

Октябрь

40 261

11.

Ноябрь

40 844

12.

Декабрь

41 428

13.

Всего за 2008 г.:

458 633

14.

Всего за 2007 г.:

387 398

15.

Темп роста, %

118,4


Правильность полученной теоретической закономерности изменения объема валового дохода и его экстраполяции по тому или иному уравнению определяется суммой квадратов отклонений фактического валового дохода от выровненного:

;

.

Таким образом, данный прогноз является достаточной точным, так как сумма квадратов отклонений фактического валового дохода от выровненного составляет 2388 тыс. руб., а среднеквадратическое отклонение - 7,58%. В заключение вопроса следует отметить, что организация прогнозирования валового дохода ООО "ТАЛИСМАН" позволит получать информацию о вероятностных результатах деятельности кафе, что позволит своевременно принимать обоснованные решения. В этих условиях планирование увеличения валового дохода будет опираться на обоснованную оценку влияния внешних и внутренних факторов, что позволит добиться существенного увеличения валового дохода.


Заключение

Доходы приводят к увеличению прибыли и капитала собственника только за счет прибыли, остающейся в распоряжении собственника и переданной экономическому субъекту для расширения деятельности и решения социальных проблем.

Роль и значение валового дохода как экономического показателя заключаются в следующем:

валовой доход является источником формирования прибыли;

за счет валового дохода возмещаются издержки производства и обращения;

валовой доход служит источником пополнения собственных оборотных средств;

за счет валового дохода формируются различные бюджетные и внебюджетные фонды, за счет валового дохода предприятия питания уплачивают акцизы и таким образом участвуют в формировании бюджета страны.

Показатель дохода исчисляется в абсолютном и относительном размерах. Показатели динамики доходов во многом зависят от деятельности торговых организаций. К таким факторам можно отнести изменение структуры товарооборота, звенности товародвижения, постановку правовой и коммерческой работы, полноту получения торговых надбавок и скидок и др. Доходность торговли изменяется и под влиянием экономических условий, не зависящих от работы организаций общественного питания. К ним следует отнести изменение размера торговых надбавок и скидок, порядка и размера их формирования, размера возмещения отдельных расходов и т.д.

Одним из инструментов, позволяющих увеличить величину валового дохода и принимать обоснованные управленческие решения, является прогнозирование валового дохода. Организация прогнозирования валового дохода организации общественного питания позволит получать информацию о вероятностных результатах ее деятельности, что позволит своевременно принимать обоснованные управленческие решения. В этих условиях планирование увеличения валового дохода будет опираться на обоснованную оценку влияния внешних и внутренних факторов, что позволит добиться существенного увеличения валового дохода.


Список использованной литературы

. Васильева Е.К. Цены и ценообразование. СПб.: Питер Пресс, 2008. - 476 с.

. Гуккаев В.Б. Организации общественного питания: производственные результаты, учет, налогообложение. М.: Вершина, 2003. - 213 с.

. Данченок Л.А. Маркетинговое ценообразование. М.: Эксмо, 2006. - 460 с.

. Деев О.В. Исследование спроса на продукцию и услуги общественного питания в системе маркетинга. М.: Мос. гор. ун-т сервиса, 2003. - 28 с.

. Емельянова Т.В., Кравченко В.П. Экономика общественного питания. Мн: Вш. шк., 2004. - 286 с.

. Кайцер Д.Е. Методологические и методические аспекты конкурентной деятельности предприятий. СПб.: СПбТЭУ, 2004. - 22 с.

. Калинин Д.В. Организационно-экономические проблемы совершенствования производственно-торговой деятельности предприятий. СПб.: СПб. торг. - экон. ун-т, 2002. - 24 с.

. Кравченко Л.И. Анализ хозяйственной деятельности предприятий общественного питания. Мн.: ФУАинформ, 2003. - 286 с.

. Максименко Н.В. Экономика предприятий торговли. Мн.: Вш. шк., 2007. - 541 с.

. Мячин А.В. Механизм управления производственно-торговой деятельностью современного предприятия общественного питания города. Кисловодск: Кисл. ин-т эк-ки и права. 2003. - 26 с.

. Палешева Н.В. Бухгалтерский учет и контроллинг доходов на малом предприятии. Киров: Вятский гос. ун-т, 2005. - 26 с.

. Пчелинцева Ю.А. Маркетинговое обеспечение деятельности торговых предприятий. Оренбург: Оренбургский гос. ун-т, 2005. -

. Фадеева З.О. Эффективность предприятий общественного питания. Екатеринбург: Уральский гос. экон. ун-т, 2007. - 20 с.

. Экономический анализ в торговле.М.И. Баканов и др. М.: Финансы и статистика, 2006. - 396 с.

. Гребнев А. И. - «Экономика торгового предприятия». - М. - 1999 г. - 158 с.

. Долбилин А. С. - «Издержки, доходы и прибыль предприятий и потребительских обществ». - М. - 2003 г. - 357 с.

 

Приложение

Анализ динамики валового дохода ООО "ТАЛИСМАН" по месяцам и кварталам, тыс. руб.

Месяц и квартал

Фактический валовой товарооборот

Сумма валового дохода

Средний уровень валового дохода в % к обороту

Отклонение от прошлого года по сумме валового дохода


прошлый год

отчетный год

отклонение от прошлого года

прошлый год

отчетный год

в% к прошлому году

прошлый год

отчетный год

отклонение от прошлого года

всего

в том числе за счет изменения












объема товарооборота (гр.4*гр.8/100)

среднего уровня валового дохода (гр.3*гр.10/100)

1

2

3

4

5

6

7

8

9

10

11

12

13

Январь

121852

130068

8216

24253

29311

5058

19,9

22,5

2,6

5058

1635

3423

Февраль

133247

138422

5175

28759

30110

1351

21,6

21,8

0,2

1351

1117

234

Март

147264

145893

-1371

31079

28954

-2125

21,1

19,8

-1,3

-2125

-289

-1836

Итого за 1кв.

402363

414383

12020

84091

88375

4284

20,9

21,3

0,4

4284

2512

1772

Апрель

139255

150772

11517

24563

29657

5094

17,6

19,7

2,0

5094

2031

3063

Май

128266

128921

655

31419

32214

795

24,5

25,0

0,5

795

160

635

Июнь

134562

140864

6302

32824

34250

1426

24,4

24,3

-0,1

1426

1537

-111

Итого за 2кв.

402083

420557

18474

88806

96121

7315

22,1

22,9

0,8

7315

4080

3235

Итого за 1 п/годие

804446

834940

30494

172897

184496

11599

21,5

22,1

0,6

11599

6554

5045

Июль

135247

143526

8279

32543

28900

-3643

24,1

20,1

-3,9

-3643

1992

-5635

Август

133521

138940

5419

31056

26952

-4104

23,3

19,4

-3,9

-4104

1260

-5364

Сентябрь

149720

179522

29802

30244

34895

4651

20,2

19,4

-0,8

4651

6020

-1369

Итого за 3кв.

418488

461988

43500

93843

90747

-3096

22,4

19,6

-2,8

-3096

9755

-12851

Итого за 9мес.

1222934

1296928

73994

266740

275243

8503

21,8

21,2

-0,6

8503

16139

-7636

Октябрь

151622

165878

14256

33654

34856

1202

22,2

21,0

-1,2

1202

3164

-1962

Ноябрь

154897

168753

13856

31899

36527

4628

20,6

21,6

1,1

4628

2853

1775

Декабрь

156969

179658

22689

37075

40772

3697

23,6

22,7

-0,9

3697

5359

-1662

Итого за 4кв.

463488

514289

50801

102628

112155

9527

22,1

21,8

-0,3

9527

11249

-1722

Итого за 2 п/годие

881976

976277

94301

196471

202902

6431

22,3

20,8

-1,5

6431

21007

-14576

Всего

1686422

1811217

124795

369368

387398

18030

21,9

21,4

-0,5

18030

27333

-9303


Похожие работы на - Формирование доходов торгового предприятия

 

Не нашли материал для своей работы?
Поможем написать уникальную работу
Без плагиата!
Без нейросетей!