Основные концепции маркетинга

  • Вид работы:
    Курсовая работа (т)
  • Предмет:
    Маркетинг
  • Язык:
    Русский
    ,
    Формат файла:
    MS Word
    216,55 Кб
  • Опубликовано:
    2012-06-02
Вы можете узнать стоимость помощи в написании студенческой работы.
Помощь в написании работы, которую точно примут!

Основные концепции маркетинга

Содержание


Введение

. Определение и виды концепций маркетинга

.1 Концепции маркетинга

. Концепции управления маркетингом

.1 Управление маркетингом

.2 Стратегическое планирование маркетинга

. Процесс управления маркетингом

Заключение

Глоссарий

Список использованных источников

Введение


Маркетинг представляет собой нечто большее, чем просто продвижение товаров и услуг на рынок. Заставить покупателя купить то, что может предложить компания задача сбыта. С помощью маркетинга заставляют предприятие делать то, что необходимо потребителю. Маркетинг двусторонний процесс, который основан на взаимосвязи производственных сил и потребителя.

Маркетинг - это процесс планирования и управления разработкой изделий и услуг, ценовой политикой, продвижением товаров к потребителю и сбытом, чтобы достигнутое таким образом разнообразие благ приводило к удовлетворению потребностей, как отдельных личностей, так и организаций. Современная концепция маркетинга состоит в том, чтобы все виды деятельности предприятия основывались на знании потребительского спроса и его изменений в перспективе. Более того, одна из целей маркетинга заключается в выявлении неудовлетворенных запросов покупателей, чтобы ориентировать производство на удовлетворение этих запросов. Система маркетинга ставит производство товаров в функциональную зависимость от запросов и требует производить товары в ассортименте и количестве, нужном потребителю.

Появление маркетинга как определенной системы хозяйствования, метода решения производственно-рыночных проблем - это на что иное, как ответная реакция хозяйственной единицы, на такие процессы, как усложнение проблемы производства и реализации товаров вследствие стремительного расширения их ассортимента, быстрого обновления, небывалого ранее возрастания производственных возможностей, частых сдвигов в характере и структуре рыночного спроса, его конъюнктурных колебаний, все большего обострения конкуренции на рынке.

1. Определение и виды концепций маркетинга

.1 Концепции маркетинга

Маркетинг - результат многолетней эволюции взглядов менеджеров на цели, задачи и методы развития промышленности и торговли. Большое влияние на формирование концепции маркетинга оказал научно-технический прогресс, обеспечивший широкое разнообразие товаров, высокие темпы их обновления, эффективное управление производством.

В контексте становления маркетинга, управление производством, прошло в своем развитии несколько этапов. Они стали отражением социальных, экономических и политических перемен, происходивших в том или ином обществе, причем, несмотря на то, что каждая страна вписывала свои страницы в историю становления и развития маркетинга сформировалась общая тенденция развития, которая выразилась в переносе акцента с производства товара для потребителя вообще на более удовлетворение нужд и потребностей конкретных потребителей или их групп.

Исторически первой возникла так называемая концепция совершенствования производства, основывавшаяся на утверждении, что потребители будут благожелательно относиться к товарам, которые широко представлены на рынке и доступны по цене.

Решение такой задачи требует:

·    постоянного совершенствования технологии и организации производства;

·              сосредоточения усилий на производстве максимального объёма товаров для получения экономии на масштабе производства и, следовательно, снижения себестоимости и цены продукции;

Такой подход вполне оправдан, когда спрос существенно превышает предложение или, когда себестоимость единицы продукции достаточно велика и ее необходимо уменьшить за счет организации массового производства.

Схема организации деятельности фирмы в условиях применения концепции совершенствования производства представлена на рис. 1.

Рис. 1 - Схема концепции совершенствования производства

В мировой экономической истории классическим примером разработки и реализации такой концепции является автомобильная компания Ford. Суть проблемы, которую вознамерился решить Г. Форд I заключалась в совершенствовании производства автомобиля модели " Т" таким образом, чтобы за счет снижения его себестоимости сделать автомобиль доступным широкому потребителю, что волне отвечало потребностям эпохи бурного развития американского общества конца XIX начала XX века. В результате Г. Форд I не только сделал автомобиль массовым средством передвижения, а не предметом роскоши, коим он являлся ранее, но и создал рынок потребителя первым повысив заработную плату своим рабочим, доведя ее до пяти долларов в день, что в 2,5 раза превышало уровень на других предприятиях Америки.

Этап ориентации на производство может быть ограничен следующими временными рамками - конец XIX века - 20-е годы XX века. Главная проблема производителей заключалась в стремлении любым способом продать потребителю (без изучения его потребностей) произведенные товары, в которых он - потребитель часто не был заинтересован. Фактически судьба продукции за воротами предприятия руководителей предприятий, как правило, не волновала. Подобный подход в значительной степени был характерен для командно-административной системы управления производством.

Практически одновременно с концепцией совершенствования производства сформировалась концепция совершенствования товара. Она исходит из утверждения, что потребители будут отдавать предпочтение товарам, имеющим высшее качество и обладающим лучшими эксплуатационными свойствами и характеристиками.

Следовательно, фирма должна сосредоточить свои усилия на совершенствовании товара, при обеспечении умеренных и доступных основной массе потребителей ценах.

Однако, увлеченность модернизацией собственной продукции не должна быть абсолютной. Необходимо следить за новыми разработками конкурентов и, что особенно важно, за появлением товаров заменителей, которые способны свести на нет усилия фирмы по совершенствованию свой продукции. Существует термин маркетинговая близорукость, впервые введенный в научный оборот Т. Левиттом (Гарвардская высшая школа бизнеса). Поводом для этого послужил анализ причин краха железнодорожных компаний в США, владельцы которых упустили из виду возникновение и развитие конкурирующих видов транспорта - автомобильного и авиационного прежде всего.

Для концепции совершенствования товара характерны:

·    концентрация усилий на производстве высококачественных товаров или услуг и попытке завоевать покупателей путём предложения лучших товаров в своей товарной группе;

·              сосредоточение внимания на функциональных особенностях, качестве, новизне и репутации лучшего товара, в условиях, когда цена не является решающим фактором для покупателя;

Концепция используется в случае широкого распространения продукта в своей товарной группе, а также, когда в попытке достижения высокого качества производителем выбрана для продукта "ниша качества" (небольшая часть рынка);

Она неприменима:

·    при отсутствии общепринятого определения "самого высокого" качества;

·              когда некоторые покупатели предпочитают простые, дешёвые изделия более сложным и дорогим;

·              в случае взаимозаменяемости различных типов изделий или использования их с одной и той же целью (по причине разницы в цене покупатель может предпочесть книжный шкаф из покрытой шпоном ДСП книжному шкафу из натурального дерева).

Схема организации деятельности фирмы в условиях применения концепции совершенствования товара представлена на рис. 2.

Рис. 2 - Схема концепции совершенствования товара

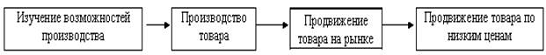
Концепция интенсификации коммерческих усилий стала закономерным результатом развития первых двух концепций, которые, уделяя максимум внимания наращиванию производства и совершенствованию товара рано или поздно, но обязательно приводит обострению проблем сбыта. Экономический кризис 1929-1932 гг. показал, что надо уметь не только произвести продукцию, но и сбыть ее. Кризис не только доказал бесперспективность первоначальной трактовки (первое классическое определение) маркетинга в условиях более высокого уровня развития мировой экономики, но и привел к тому, что маркетинг постепенно стал составной частью управленческой деятельности направленной на разработку и продвижение продукции к потребителям, создание благоприятных условий для приобретения товаров.

Такой подход просуществовал примерно до середины 50-х годов - начала 60-х годов.

Концепция интенсификации коммерческих усилий впервые вышла за границы фирмы в поисках средств и методов увеличения сбыта продукции. Согласно этой концепции потребители не будут приобретать товары организации в достаточных количествах, если она не предпримет значительных усилий в сфере сбыта и стимулирования.

Настоящая концепция:

делает акцент на преодолении нежелания покупателей и "сбыте" им продукта;

сосредоточивает усилия на сбыте продукции, а не на удовлетворении запросов потребителей;

цены и стимулирование часто используются для достижения заданного объема сбыта;

Это тяжелый процесс, с высокими трудозатратами, являющийся эффективным в том случае, когда ориентированные на потребителя методы сбыта, не принесли результата или в том случае, когда цена является единственным отличием между различными продуктами.

Концепция интенсификации коммерческих усилий непригодна в тех случаях, когда имеются цели по установлению долгосрочных отношений с покупателями и осуществлению повторных продаж, или, когда имеется возможность применения подхода ориентированного на покупателя.

Схема организации деятельности фирмы в условиях применения концепции интенсификации коммерческих усилий представлена на рис. 3.

Рис. 3 - Схема концепции интенсификации коммерческих усилий

К этому времени в ведущих промышленно развитых странах была создана новая система регулирования производственно-сбытовых процессов, обусловленная значительным увеличением производства товаров, объем которых превышал реальный спрос. Стали использоваться разнообразные методы воздействия на покупателей с целью "заставить" их совершить покупку.

Однако в условиях усиления конкурентной борьбы коммерческий успех имели те предприниматели, которые привлекали покупателей не только к разовым покупкам, но и ориентировали их на долгосрочные контакты со своей фирмой. Это можно было осуществить лишь в случае достаточно хорошего изучения потребностей и спроса, использования рекламы, стимулирования продаж и т.д. В результате в теории маркетинга был сделан акцент на конкретного потребителя с его реальными нуждами и потребностями и сформулирована собственно концепция маркетинга.

В соответствии с этой концепцией залогом достижения целей организации являются определение нужд и потребностей целевых рынков и удовлетворение их более эффективными, чем у конкурентов, способами.

В этой связи, вся деятельность предприятия должна базироваться на постоянном учете состояния рынка, точном знании нужд и потребностей покупателей, их оценке, предвидении возможных изменений в будущем. Лозунгом такого подхода к предпринимательской деятельности может быть выражение. Любите клиента, а не товар.

Фирма достигает преимущества:

·    концентрацией усилий на определении потребностей и желаний покупателей;

·              обеспечением потребителей теми продуктами и услугами, которые им необходимы и вероятность покупки которых довольно высока;

·              сосредоточением усилий на определении сегментов (составных частей) общего рынка и концентрации своего внимания на одном или нескольких из них, которые, по мнению организации, являются предпочтительными и, для которых существует вероятность их эффективного использования;

·              координации производственных и сбытовых функций (например, разработку продукции, рекламу, подбор торгового персонала, стимулирование сбыта, исследование конъюнктуры рынка, ценовой политики и т.д.);

·              поощрении функции сбыта путём производства товаров, имеющих высокую вероятность покупки на целевом рынке;

Вероятность этой концепции часто становится очевидной при снижении объёма продаж, замедлении роста, изменении структуры сбыта, усилении конкуренции, и/или в случае неконтролируемых затрат на сбыт продукции и неконтролируемых методов сбыта продукции. Получение прибылей не рассматривается в качестве конечной цели, вместо этого внимание концентрируется на лучшем удовлетворении запросов покупателей, из которого организация извлечёт свою прибыль

Этап ориентации на маркетинг, продолжался до конца 70-х годов.

Схема организации деятельности фирмы в условиях применения концепции собственно маркетинга представлена на рис. 4.

Рис. 4 - Схема концепции собственно маркетинга

При этом предприниматели не только приспосабливались к требованиям рынка, но и сами формировали запросы потребителя. Примерами тому может быть популярность малогабаритных телевизоров, персональных компьютеров, торговых точек быстрого питания, автомобильных пылесосов, моющих средств, спортивной обуви и т.д. Известные во всем мире компании ИБМ, Проктор энд Гембл, Адидас, Сони, Макдональдс и другие активно используют эту концепцию в своей деятельности.

Таким образом, с одной стороны, предприятия ориентируются на рынок, с другой - сами оказывают влияние на него, стремятся овладеть им и управлять. Следовательно, в основе концепции маркетинга, лежит идея достижения поставленных перед предприятием целей путем наиболее полного удовлетворения потребностей потребителей и их формирования, гармонизации отношений между производителем и потребителем с приоритетом интересов последнего.

Проблемы защиты окружающей среды, энергетический кризис второй половины 70-х г. радикальным образом повлияли на общественно-этические и, как следствие, на управленческие установки менеджеров. Период, начиная с 80-х годов XX века связан с ориентацией на социально-этический маркетинг, который направлен не только на выявление нужд, потребностей и интересов целевых рынков, их удовлетворение более эффективными и более продуктивными, чем у конкурентов, способами, но и с учетом требования сохранения и/или укрепления благополучия потребителя и общества в целом.

Уже стал классическим эпизод с фирмой Кока-Кола, одного из ведущих производителей безалкогольных напитков в мире. Группой защиты интересов потребителей и защитников окружающей среды ей, в частности, были предъявлены обвинения в низкой питательной калорийности напитка, а также в том, что содержащиеся в нем сахар и фосфорная кислота разрушают зубы, а кофеин вызывает судороги, бессонницу, желудочно-кишечные расстройства. Кроме того, используемая необоротная посуда приводит к огромным непроизводительным затратам ресурсов, а некоторые компоненты рецептуры (бромированное растительное масло, сахарин) запрещены американским Управлением по контролю за качеством пищевых продуктов, медикаментов и косметических средств Компания вынуждена была отреагировать на предъявленные обвинения и в качестве одной из предпринятых мер было изменения состава компонентов в напитке Кока-Кола.

Схема организации деятельности фирмы в условиях применения концепции социально-этического маркетинга представлена на рис. 5.

Рис. 5 - Схема концепции социально-этического маркетинга

2. Концепции управления маркетингом


2.1 Управление маркетингом

В настоящее время термин «управление маркетингом» определяется как анализ, планирование, реализация и контроль за исполнением программ, направленных на создание, поддержание и расширение выгодных отношений с целевыми покупателями для достижения целей организации. Таким образом, управление маркетингом связано с регулированием спроса, которое, в свою очередь, связано с регулированием отношений с потребителями.

Большинство людей полагает, что управление маркетингом - это поиск количества потребителей, достаточного для данного уровня производства компании. Но это слишком упрощенный взгляд. Например, управление маркетингом в компании, которая имеет желаемый уровень спроса, также необходим, как и в компании, имеющий недостаточный его уровень. Ведь в любой момент спрос может измениться: например, исчезнуть или стать недостаточным, нерегулярным или чрезмерным. Управление маркетингом обеспечивает соответствующие методы работы с этими различными состояниями спроса.

Управление спросом означает управление потребителями. Спрос на продукцию компании исходит от двух групп: новых клиентов и постоянных клиентов. Теория и практика традиционного маркетинга сосредоточены на привлечении новых клиентов и продаже им товаров и услуг. Сегодня, однако, акценты сместились. Помимо использования стратегий, нацеленных на привлечение новых клиентов и совершение с ними сделок, компании делают все возможное, чтобы сохранить уже имеющихся клиентов и поддерживать с ними постоянные отношения. На изменение устоявшихся взглядов наталкивают данные статистики. Привлечь нового клиента стоит в пять раз дороже, чем удержать удовлетворенного клиента.

Как было отмечено выше, управление маркетингом имеет целью достичь желаемого уровня обмена с целевыми рынками. Однако, очень часто в процессе реализации этой задачи, интересы компании и клиентов вступают в противоречие. Возникший конфликт разрешается на базе следующих пяти концепций, руководствуясь которыми, компании ведут маркетинговую деятельность:

·   концепция совершенствования производства;

·   концепция совершенствования товара;

·   концепция интенсификации коммерческих усилий;

·   концепция маркетингового подхода;

·   концепция социально-этичного маркетинга.

Концепция совершенствования производства основана на утверждении о том, что потребитель отдает предпочтение тем товарам, которые широко распространены и доступны по цене. Следовательно, управление маркетингом должно быть направлено на совершенствование производства и повышение эффективности распределения. Данная концепция актуальна в двух случаях. Первый - когда спрос на товар превышает предложение. Здесь руководство должно искать способы увеличения объемов производства. Второй случай - когда себестоимость товара слишком высока и повышение производительности труда позволяет ее снизить.

Другой важный подход, который часто используют продавцы, - это концепция совершенствования товара. Ее суть в том, что потребитель отдаст предпочтение товару, который представляет высший уровень качества, максимальную производительность и новые возможности.

Следовательно, компания должна всю энергию направлять на непрерывное совершенствование своей продукции. Ориентация на товар обеспечивает постоянное обновление технологий, потому что менеджеры убеждены, что именно технологическое превосходство лежит в основе успеха.

К сожалению, концепция улучшения товара оборачивается порой «маркетинговой близорукостью», которая не позволяет вовремя разглядеть новый способ удовлетворения потребностей покупателей.

Многие компании следуют концепции интенсификации коммерческих усилий. В ее основе лежит представление о том, потребители не будут покупать товар, производимый данной компанией, если не предпринять специальных мер по продвижению товара на рынок и широкомасштабной продажи. Чаще всего эта концепция применяется в отношении так называемых товаров пассивного спроса -тех, о покупке которых покупатель вряд ли задумывается.

Естественно, маркетинг, основанный на стратегии агрессивной продажи, связан с большим риском. Он нацелен исключительно на сам акт продажи, а не на создание длительных выгодных отношений с клиентами. Большинство исследований показывает, что покупатель не станет снова покупать товар, которым он остался недоволен. Удовлетворенный покупатель рассказывает о товаре, который ему понравился, в среднем трем своим знакомым, а неудовлетворенный делится разочарованием в среднем с десятью.

Концепция маркетинга предполагает, что достижение компанией своих целей зависит от определения нужд и запросов целевых рынков, а также от более эффективного по сравнению с конкурентами удовлетворения потребителей.

Суть концепции социально-этичного маркетинга можно выразить следующим образом: сначала компания выявляет нужды, потребности и интересы целевых рынков, а затем обеспечивает клиентам высшую потребительскую ценность способами, которые поддерживают или даже улучшают благополучие клиентов и общества. Эта концепция самая передовая из пяти.

2.2 Стратегическое планирование маркетинга

Каждая компания должна найти свой стиль работы, наилучшим образом учитывающий специфику условий, возможностей, целей и ресурсов. Всем компаниям необходимо думать о будущем и разрабатывать долговременные стратегии, которые позволили бы оперативно реагировать на меняющиеся условия рынка. Маркетинг играет важную роль в стратегическом планировании. Он предоставляет необходимую информацию для разработки стратегического плана. Стратегическое планирование, в свою очередь, определяет роль маркетинга в организации. Стратегическое маркетинговое планирование состоит из трех стадий:

·   стратегического плана;

·   управления маркетингом;

·   реализации плана.

Многие компании ведут свою деятельность безо всяких планов. Этому есть следующие объяснения:

·   менеджеры противятся составлению письменного плана, поскольку это требует значительного времени;

·   выдвигается аргумент, что рынок меняется слишком быстро, поэтому от планов нет никакой пользы.

Все же формальное планирование имеет ряд преимуществ. Оно побуждает руководство постоянно думать о будущем. Оно заставляет компанию четче определять свои цели и политику, приводит к лучшей согласованности в работе и дает объективные показатели эффективности работы. Тщательное планирование помогает компании предвидеть изменения среды и оперативно реагировать на них, а также всегда быть готовой к непредвиденным обстоятельствам.

Преуспевающие компании обычно составляют годовые, долгосрочные и стратегические планы.

Годовой план представляет собой краткосрочный план, описывающий текущую ситуацию, цели компании, стратегию на предстоящий год, программу действий, бюджет и формы контроля.

Долгосрочный план описывает основные факторы и силы, которые будут влиять на организацию на протяжении последующих нескольких лет. Он содержит долгосрочные цели, основные маркетинговые стратегии, которые будут использованы для их достижения, и определяет необходимые ресурсы. Такой долгосрочный план должен ежегодно обновляться с целью внесения корректив в соответствии с произошедшими изменениями.

Стратегический план создается для того, чтобы помочь компании использовать в своих интересах возможности в постоянно изменяющейся среде. Это процесс установления и сохранения стратегического соответствия между целями и возможностями компании, с одной стороны, и изменяющимися возможностями рынка - с другой.

Стратегическое планирование является фундаментом для остальных видов планирования в компании. Оно начинается с определения глобальных целей и миссии компании. Затем устанавливаются более конкретные цели. Для этого собирается полная информация о внутренней среде организации, ее конкурентах, ситуации на рынке и обо всем остальном, что может влиять на работу компании. Этот процесс носит названия SWOT-анализа. После проведения SWOT-анализа готовиться подробный отчет о сильных и слабых сторонах компании, возможностях и угрозах, с которыми ей придется столкнуться. Затем высшее руководство решает, какими конкретно видами деятельности следует заниматься, какую поддержку необходимо предоставить каждому из них. В свою очередь, каждое подразделение, отвечающее за отдельный товар или вид деятельности, должно разработать свои подробные маркетинговые планы. Таким образом, маркетинговое планирование, осуществляемое на уровнях подразделений, облегчает стратегическое планирование.

Процесс планирования охватывает четыре этапа: анализ, планирование, реализация и контроль.

Процесс планирования начинается с полного анализа положения дел в компании. Компания должна проанализировать среду, в которой она функционирует, для выявления благоприятных возможностей и избежание угроз. Анализ обеспечивает все последующие этапы необходимой информацией.

На этапе стратегического планирования компания решает, какие действия ей предпринять по отношению к каждой бизнес-единице. Маркетинговое планирование включает определение маркетинговых стратегий, которые помогут компании в достижении ее общих стратегических целей.

На этапе реализации стратегические планы претворяются в жизнь, в результате чего достигаются цели компании. Реализуют маркетинговые планы сотрудники организации, работающие с другими людьми как внутри компании, так и за ее пределами.

Контроль включает в себя анализ и оценку результатов выполнения планов и связанной с этим деятельности, а также принятие корректирующих мер, в случае необходимости, для достижения поставленных целей.

Стратегический план включает в себя несколько компонентов: миссия, стратегические императивы, стратегический аудит, SWOT-анализ, анализ бизнес-портфеля, целей и стратегий.

Миссия определяет основную цель компании. Во многих компаниях разрабатываются официальные формулировки миссии компании, которые предлагают готовые ответы на вопросы: чего она хочет достичь в самом широком смысле. Четкая формулировка миссии действует как «невидимая рука», которая направляет действия сотрудников и дает четкий ответ на следующие вопросы:

·   каким бизнесом мы занимаемся?

·   кто наши потребители?

·   какова цель нашей работы?

·   каким будет наш бизнес?

На каждом уровне управления миссию компании нужно преобразовать в конкретные стратегические цели. Каждый менеджер должен знать свои задачи и отвечать за их выполнение.

маркетинг концепция стратегический управление

3. Процесс управления маркетингом


Стратегический план компании определяет направления деятельности, которые будет развивать компания, и задачи, связанные с каждым из них. Затем каждое направление деятельности следует распланировать более детально. Для достижения стратегических целей основные хозяйственные единицы компании должны работать слаженно во всех областях - в маркетинге, финансовой политике, бухгалтерском учете, снабжении, производстве, подборе кадров и т.д.

Каждая хозяйственная единица обращается к разным источникам для получения ресурсов, необходимых для работы, - в частности денежных средств, рабочей силы, сырья, исследовательских технологий и технологий производства. Так, отдел продаж приносит доход, заключая договора о поставках с покупателями. Финансовый отдел договаривается с кредиторами и акционерами с целью получения денежных средств. Таким образом, чтобы получить необходимые средства, отделу продаж и финансовому отделу следует работать сообща. Аналогично, отдел кадров подбирает рабочую силу, а отдел снабжения получает материалы, необходимые для производства и ведения хозяйственной деятельности.

Общая стратегия компании и ее маркетинговая стратегия во многом совпадают. Маркетинг заботится о нуждах потребителя и о способности компании удовлетворить их; эти же факторы определяются миссией и задачами компании. В стратегическом планировании компании используются многие понятия маркетинга - доля рынка, развитие рынка; порой бывает сложно отделить маркетинговое планирование от стратегического. На практике некоторые компании называют свое стратегическое планирование «стратегическим маркетинговым планированием».

Маркетинг играет ключевую роль в нескольких областях стратегического планирования компании. Во-первых, обеспечивает руководящие методологические принципы - маркетинговую концепцию, которая предполагает ориентацию стратегии компании на нужды важнейших групп потребителей. Во-вторых, маркетинг предоставляет исходные данные для разработчиков стратегического плана, помогая выявить привлекательные возможности рынка и позволяя оценить потенциал фирмы. В-третьих, в рамках каждого отдельного подразделения компании маркетинг помогает разрабатывать стратегию выполнения задач.

Служба маркетинга должна определить лучший способ достижения стратегических целей для каждого подразделения компании. Целью менеджеров по маркетингу не всегда является обеспечение роста продаж. Их целью может быть поддержание существующего объема продаж при одновременном сокращении расходов на рекламу и продвижение товаров на рынке или даже снижение спроса. Другими словами, служба маркетинга должна поддерживать спрос на уровне, определенном в стратегических планах высшего руководства. Служба маркетинга помогает компании оценить потенциал каждой хозяйственной единицы компании, установить цели для каждой из них и затем успешно достичь этих целей.

Существуют разные мнения относительно значения маркетинга для компании. В некоторых фирмах служба маркетинга - обычный отдел, работающий наравне с другими подразделениями. Порой маркетологи впадают в другую крайность, утверждая, что отдел маркетинга - главное функциональное подразделение компании. Такие маркетологи уверены, что именно служба маркетинга должна определять миссию, товары и рынки компании и руководить другими функциональными подразделениями в процессе обслуживания покупателей.

По мнению автора, основным ориентиром в деятельности компании следует считать покупателя. Фирма не может существовать и преуспевать без покупателей, поэтому их привлечение и удержание является главной задачей. Покупателей привлекают обещаниями, а удерживают выполнением этих обещаний. Служба маркетинга формулирует эти обещания и обеспечивает их выполнение. Однако, поскольку реальное удовлетворение покупателя зависит от работы других отделов, все функциональные подразделения должны работать сообща, чтобы добиться удовлетворения покупателя и заслужить его высшую оценку. Служба маркетинга играет координирующую роль в работе всех подразделений над решением задачи удовлетворения покупателя.

Таким образом, служба маркетинга осуществляет не функциональное (прямое) управление подразделениями компании, а специальное (методологическое). Другими словами, служба маркетинга анализирует, планирует, организует и контролирует выполнение маркетинговых функций, присущих каждому подразделению компании.

Согласно Котлеру, процесс управления маркетингом - это процесс анализа рыночных возможностей; отбора целевых рынков; разработки маркетингового комплекса и претворения в жизнь маркетинговых мероприятий.

Главное внимание маркетингом уделяется целевым покупателям. Но прежде чем компания сможет удовлетворить покупателя, она должна понять его нужды и потребности. Поэтому, настоящий маркетинг требует тщательного анализа целевой аудитории. Известно, что ни одна компания не способна удовлетворить всех покупателей на данном рынке. Покупателей слишком много, и у всех разные потребности. Следовательно, сначала необходимо разделить весь рынок на сегменты и отобрать наиболее привлекательные из них. Этот процесс состоит из пяти этапов:

·   количественная оценка спроса и его прогноз;

·   сегментация рынка;

·   отбор целевых сегментов;

·   позиционирование товара на рынке;

·   анализ позиционирования конкурентных товаров.

Рассмотрим процесс управления маркетингом на примере выведения нового товара на рынок. Для начала компании необходимо тщательно оценить реальную и потенциальную емкость рынка и различных его сегментов. Измерение и прогнозирование спроса носит многоуровневый характер. Спрос можно измерить на шести различных уровнях товара (единица ассортимента товара, категория товара, ассортимент товара, объем продаж компании, объем продаж в отрасли, общий объем продаж); на пяти пространственных уровнях (потребитель, область, страна, регион, мировой рынок); на трех временных уровнях (краткосрочный, среднесрочный, долгосрочный).

При рассмотрении и анализе рыночного спроса маркетинг оперирует понятием рынка, как совокупности всех покупателей определенного вида товара или услуги, как реально существующих, так и потенциальных. Объем рынка зависит от количества покупателей, которые в состоянии отреагировать на то или иное предложение продавцов. Таким образом, во всей совокупности покупателей можно выделить потенциальный рынок или совокупность покупателей, которые проявляют интерес к определенному товару. В свою очередь, потенциальный рынок можно разделить на следующие виды рынков:

·   доступный рынок - совокупность покупателей, проявляющих интерес и имеющих доход и доступ к определенному товару или услуге;

·   квалифицированный рынок - совокупность покупателей, проявляющих интерес и имеющих доход, доступ и право к определенному товару или услуге;

·   целевой рынок - часть квалифицированного рынка, на который фирма решила направить свои действия;

·   освоенный рынок - совокупность покупателей, которые уже приобрели определенный товар или услугу.

·   методы опроса покупателей целевого рынка;

·   методы моделирования рынка;

·   методы вычисления индекса факторов сбыта;

·   методы прогнозирования спроса;

·   методы опроса торгового персонала;

·   методы экспертных оценок.

Если прогноз оценки спроса рынка оказался благоприятным, то компании предстоит решить, каким образом осваивать рынок. Рынок складывается из множества разнообразных покупателей, товаров и потребностей, и маркетолог должен определить, какие сегменты предоставляют лучшие возможности для достижения целей компании. Потребителей объединяют в группы по различным признакам:

·   географическим (страна, регион, город);

·   демографическим (пол, возраст, уровень доходов, образование);

·   психографическим (общественный класс, образ жизни);

·   поведенческим (мотивы покупок, искомые преимущества, интенсивность потребления).

Результатом процесса сегментирования рынка является набор покупателей обладающих определенными сходными признаками и одинаково реагирующих на определенный набор побудительных стимулов маркетинга, которые описываются маркетологом.

После того как компания выделила сегменты рынка, она может выйти на один или несколько сегментов данного рынка. Отбор целевых сегментов рынка включает в себя оценку привлекательности каждого сегмента рынка и выбор одного или нескольких сегментов для освоения. Компания следует отбирать сегменты, в которых она сможет в течение длительного времени предоставлять покупателям высшую потребительскую ценность.

Компания с ограниченными ресурсами может претендовать на один или несколько специфических сегментов. Такая стратегия ограничивает объем продаж, но может оказаться очень прибыльной. Другая компания может обслуживать несколько близких по определенным признакам сегментов. Крупная компания может предложить полный набор товаров для всех сегментов рынка.

После определения целевых сегментов наступает этап позиционирования товара или услуги. Позиция товара - это место, которое, по мнению покупателя, занимает данный товар среди аналогичных товаров.

Позиционирование товара на рынке - это комплекс мер, благодаря которым данный товар по отношению к конкурирующим товарам занимает собственное, отличное от других и выгодное для компании место. Одним из инструментов позиционирования товара является создание товарной марки или бренда. В маркетинге товарная марка несет на себе те важные отличительные черты, которые позволяют однозначно идентифицировать тот или иной товар или услугу.

Предоставление потребителям высококачественных товаров и обслуживания является необходимым, но недостаточным условием завоевания лидерства на рынке.

Кроме удовлетворения потребностей клиентов, маркетинговая стратегия должна учитывать необходимость получения компанией конкурентных преимуществ. Компания должна проанализировать положение дел в отрасли, определить свое место в ней, а затем решить, как ей следует позиционировать себя относительно конкурентов, чтобы достичь существенного конкурентного преимущества.

Разработка маркетинговых стратегий достижения конкурентного преимущества начинается с тщательного анализа конкурентов. Компания постоянно оценивает потребительскую ценность и степень удовлетворения покупателей, предоставляемые ее товарами и товарами конкурентов, уровень цен на рынке, эффективность работы каналов распределения и продвижения товаров.

Конкурентная маркетинговая стратегия зависит от положения и рыночной доли компании. Их можно условно разделить на следующие виды:

·   лидер рынка - компания, владеющая максимальной долей рынка отрасли и определяющая ценовые изменения, введение новых товаров, стимулирование сбыта;

·   претендент на лидерство - компания, занимающая второе место в отрасли и ведущая ожесточенную борьбу за увеличение своей доли рынка;

·   последователь - одна из ведущих компаний в отрасли, которая стремиться удержать свою долю рынка, не делая при этом резких выпадов;

·   компания, обслуживающая нишу - компания отрасли, обслуживающая небольшие сегменты, на которые остальные компании «смотрят сквозь пальцы» или игнорируют.

После выбора общей маркетинговой стратегии достижения конкурентных преимуществ компания может перейти к детальному планированию маркетингового комплекса. Маркетинговый комплекс - набор поддающихся контролю маркетинговых инструментов - товар, цена, методы распространения и продвижения товара, совокупность которых компания использует для получения желаемой реакции целевого рынка. Маркетинговый комплекс включает в себя все инструменты, которые использует компания, чтобы повлиять на собственный товар или услугу.

Все многочисленные возможности маркетингового комплекса можно условно разделить на четыре группы, так называемые «4Р»:

·   товар (product) представляет собой неразрывное единство собственного товара и целого ряда услуг, которые компания предлагает целевому рынку;

·   цена (price) - это количество денег, которое должны заплатить покупатели, чтобы получить товар;

·   методы распространения (place) включают в себя действия компании, которые делают товар доступным для целевых покупателей;

·   методы продвижения (promotion) - это действия, с помощью которых компания распространяет сведения о достоинствах товара и убеждает целевых покупателей приобретать его.

Эффективная маркетинговая программа объединяет все элементы маркетингового комплекса в согласованную программу, разработанную для достижения маркетинговых целей компании. Маркетинговый комплекс включает в себя набор тактических приемов для обеспечения принятого фирмой решения о позиционировании товара на целевом рынке.

Планирование хороших стратегий - это лишь начало пути к успешному маркетингу. Самая блестящая маркетинговая стратегия ничего не будет стоить, если компании не удастся реализовать ее надлежащим образом. Реализация маркетинга представляет собой процесс преобразования маркетинговых стратегий и планов в маркетинговые мероприятия, направленные на достижение стратегических маркетинговых целей. Реализация заключается в повседневной и ежемесячной работе для эффективного претворения в жизнь маркетингового плана. Если маркетинговое планирование задается вопросами что и почему, то реализация задает вопросы кто, где, когда и как.

Компания должна иметь людей способных проводить анализ рынка, планирование маркетинговых мероприятий, их осуществление и контроль. Пока компания невелика, всю работу по маркетингу - исследования, рекламу, продажи, обслуживание покупателей и пр. - может выполнять один человек. По мере роста компании встает вопрос об организации отдела маркетинга для планирования и осуществления маркетинговой деятельности. В больших компаниях в таких отделах работает множество специалистов.

Маркетинговая деятельность в современных компаниях организована по-разному. Наиболее распространенная форма - это функциональная организация, когда во главе различных направлений маркетинговой деятельности стоят специалисты по этому виду деятельности - менеджеры по продажам, менеджеры по рекламе, менеджеры по маркетинговым исследованиям, сервис-менеджеры и менеджеры по новым товарам.

В компаниях, продающих свой товар по всей стране и за рубежом, часто используется организация по географическому принципу, при которой за сотрудниками, занимающимися продажами и маркетингом, закреплены определенные страны, регионы и области. Организация по географическому принципу позволяет торговым агентам работать непосредственно на закрепленной за ними территории, лучше узнавать свих покупателей и сократить расходы, связанные с командировками.

Компания с большим разнообразием товаров или торговых марок часто организует управление по товарам или торговым маркам. При таком подходе менеджер по товару разрабатывает и реализует стратегию и маркетинговую программу по определенному товару или торговой марке.

Для компаний, продающих одну товарную группу на многочисленных и разнотипных рынках с различными потребностями и предпочтениями, более эффективна организация управления по рынкам. Организация управления по рынкам напоминает организацию по товарам.

Заключение


Процесс управления маркетинговой деятельностью на предприятии начинается с определения концепции управления маркетингом, которая является обязательным составным элементом миссии компании. Среди основных концепций управления маркетингом в настоящее время известны следующие:

·   концепция совершенствования производства;

·   концепция совершенствования товара;

·   концепция интенсификации коммерческих усилий;

·   концепция маркетингового подхода;

·   концепция социально-этичного маркетинга.

Приведенные концепции управления маркетингом - это своеобразные исторические этапы, через которые проходило эволюционное развитие маркетинга в рыночных экономиках.

Аналогичный процесс изменения отношения к маркетинговой деятельности происходит в настоящее время и на украинских предприятиях. В конечном итоге, успеха добьются те компании, которые раньше других поймут необходимость и важность важности маркетингового подхода в организации собственной деятельности.

Управление маркетинговой деятельностью, как любой процесс управления, имеет следующие составные части:

·   маркетинговый анализ и аудит;

·   стратегическое и текущее планирование;

·   организация процесса управления маркетингом;

·   контроль за осуществлением маркетинговых мероприятий.

Информация, полученная в результате всестороннего анализа деятельности предприятия, используется на этапе формального планирования. Компании разрабатывают три вида планов: годовой, долгосрочный и стратегический.

Стратегическое планирование является первой ступенькой в процессе планирования и включает в себя определение миссии компании, формулировку целей и задач, функциональные планы. Постепенно процесс стратегического планирования спускается до линейных подразделений компании.

После окончания процесса планирования и определения необходимых ресурсов следует процесс организации маркетинговой деятельности на предприятии. Этот процесс невозможен без четкого определения маркетинговых функций каждого подразделения и единого центра управления маркетинговой деятельностью на предприятии. Как правило, это роль возлагают на специальные маркетинговые подразделения, которые организуются согласно целям, задачам и специфике деятельности компании.

Результаты, полученные в результате проведения маркетинговых мероприятий, собираются и анализируются специально назначенным маркетинговым контролером. Это специалист ведет постоянный процесс сопоставления полученных и запланированных результатов. На основании сделанных им выводов, маркетинговая деятельность подвергается пересмотру и совершенствованию.

Глоссарий


№ п/п

Понятие

Определение

1

Контроль маркетинга

процесс количественного определения и анализа результатов реализации маркетинговых стратегий и планов, а также осуществление корректирующих действий для достижения поставленных целей

2

Миссия компании

понимание фирмой своего предназначения

3

Стратегическое планирование

набор действий и решений, предпринятых руководством, которые ведут к разработке конкретных стратегий, предназначенных для того, чтобы помочь организации достичь своих перспективных целей

4

Стратегия маркетинга

установление целей предприятия на избранном (целевом) рынке или рыночном сегменте и выбор средств их достижения в рамках предписанного маркетингового периода

5

совокупность подающихся контролю маркетинговых инструментов, используемых вместе для получения желаемой реакции целевого рынка

6

Маркетинг

деятельность, направленная на рентабельную работу фирмы посредством обмена

7

Адаптация

изменения в плане маркетинга, которые организация осуществляет, чтобы приспособиться к неконтролируемой окружающей среде

8

Дифференцированный маркетинг

деятельность на нескольких сегментах рынка с разработкой отдельного предложения для каждого из них

9

Концентрированный маркетинг

концентрация маркетинговых усилий на большой доле одного или нескольких субрынков в противовес сосредоточению их на небольшой доле большого рынка

10

Ревизия маркетинга

комплексное, системное, беспристрастное и регулярное исследование маркетинговой среды, задач, стратегий и оперативной деятельности фирмы в целях выявления возникающих проблем и открывающихся возможностей и выдачи рекомендаций относительно возможного плана действий по совершенствованию маркетинговой деятельности фирмы


Список использованных источников


1. Котлер Ф. и др. Основы маркетинга. - М.: Вильямс, 2001

2.       Багиев Г.Л. Основы организации маркетинговой деятельности на предприятии. - Л.: Обл. правл. ВНТОЭ, 2003

.        Голубков Е.П. и др. Маркетинг: выбор лучшего решения. - М.: Экономика, 2003

.        Голубков Е.П. Основы маркетинга. - М.: Финпресс, 2009

.        МакДональд М. Стратегическое планирование маркетинга. - СПб.: Питер, 2000

6. Шкардун В., Ахтямов Т. Оценка готовности предприятия к реализации маркетинговой стратегии // Марктинг. - 2001. - № 3 (58)

7.       Багиев Г., Тарасевич В., Анн Х. Маркетинг: Учебник для вузов. - М.: ЗАО «Изд-во “Экономика”», 2005

8. Андреева О.Д. Технология бизнеса: маркетинг. - М.: ИНФРА-М, 1997

9.       Крылов И.В. Маркетинг. - М.: Центр, 2008

10. Морозов Ю.В. Основы маркетинга. - М.: Хронограф, 2003

11. Пешкова Е.П. Маркетинговый анализ в деятельности фирмы. - М.: Ось-89, 1997


Не нашли материал для своей работы?
Поможем написать уникальную работу
Без плагиата!
Без нейросетей!