Влияние перцептивных особенностей супругов на стиль поведения в конфликтной ситуации

  • Вид работы:
    Дипломная (ВКР)
  • Предмет:
    Психология
  • Язык:
    Русский
    ,
    Формат файла:
    MS Word
    350,88 Кб
  • Опубликовано:
    2012-04-04
Вы можете узнать стоимость помощи в написании студенческой работы.
Помощь в написании работы, которую точно примут!

Влияние перцептивных особенностей супругов на стиль поведения в конфликтной ситуации

Влияние перцептивных особенностей супругов на стиль поведения в конфликтной ситуации

Оглавление

Введение

Глава 1.Теоретические основы изучения супружеских отношений

1.1 Подходы к определению семьи и брака в психолого-педагогической литературе

1.2 Перцептивность общения как составляющая супружеских отношений

.3 Особенности супружеских конфликтов

Вывод по главе 1

Глава 2. Эмпирическое изучение влияния перцептивных особенностей супругов на стиль поведения в конфликтной ситуации

.1 Технология проведения исследования.

.2 Результаты исследования

.3 Статистический анализ взаимосвязей перцептивных особенностей

супругов и стиля поведения в конфликтной ситуации

Вывод по главе 2

Заключение

Список литературы

Приложение

Введение

Актуальность исследования. Важнейшим социальным институтом, призванным создавать условия для удовлетворения потребностей человека, активизировать его жизненные силы является семья. Семья - древнейшее жизнеустройство общества на земле, один из механизмов самоорганизации общества, с которым связано утверждение целого ряда общечеловеческих ценностей. Во все времена семейно - брачные отношения занимали особо важное место в человеческом обществе: на протяжении всей истории крепкие семьи были залогом его стабильности [12,с.48].

За последнее десятилетие в Российском обществе наметился ряд тревожных тенденций, свидетельствующих о кризисных явлениях в жизни семьи, затрагивающих как супружеские, так и детско-родительские отношения. Эти неблагоприятные тенденции объясняются социально-экономическими условиями: нестабильностью социальной системы, низким материальным уровнем жизни, проблемами профессиональной занятости в большинстве регионов России, трансформацией традиционно сложившихся ролевой структуры семьи и распределения ролевых функций между супругами. Возрастает число неблагополучных семей, в которых девиантное поведение супругов - алкоголизм, агрессия, нарушения коммуникации, неудовлетворенные потребности партнеров в уважении, любви и признании становятся причиной возрастания эмоционально-личностных расстройств, напряженности, утраты чувства любви и безопасности, нарушений личностного роста и формирования идентичности.

В настоящее время, когда уровень жизни большинства семей сравнительно высок, причинами конфликтов часто становятся неудовлетворенные психологические потребности, которые непосредственно влияют на взаимоотношения членов семей. К ним относятся потребности в общении, в самоутверждении, в подтверждении другими значимости собственной личности, в доверии, в определенном уровне культуры, этики и эстетики общения, в стремлении играть ту или иную роль в семье.

Также причиной конфликта может служить биологическая несовместимость, нарушение этики супружеских отношений (измена, ревность), несовместимость интересов и потребностей, наличие личностных недостатков или отрицательных качеств у одного, а подчас и у обоих супругов. Личностные различия между супругами, различие темперамента и характера являются провоцирующими условиями конфликтов и ссор, и мешают установлению нормальных взаимоотношений. Все эти обстоятельства приводят к тому, что в браке человек не может утвердить самого себя. В собственной семье он чувствует психологический дискомфорт. У него исчезает чувство поддержки, солидарности, защищенности. Частичное и полное неудовлетворение тех или иных потребностей одного или обоих супругов ведет к ссорам, а затем и к хроническим конфликтам, нарушая устойчивость брака.

Исследование семейных конфликтов, как и самих взаимоотношений в семье, весьма затруднено, так как это область сугубо личной и интимной жизни человека. В этом смысле брак и семья - «закрытые» малые группы, в которые посторонним лицам «вход воспрещен». Поэтому при исследовании психологами взаимоотношений в семье они испытывают большой дефицит информации о том, что происходит в отношениях между супругами при возникновении тех или иных конфликтных ситуаций.

Важной составляющей супружеских отношений является перцептивная сторона общения, это процесс восприятия одного человека другим и установления на этой основе взаимопонимания. Этот процесс выступает, как обязательная составная часть общения. В ходе познания другого человека одновременно осуществляются и эмоциональная оценка этого другого, и попытка понять строй его поступков, и основанная на этом стратегия изменения его поведения, и построение стратегии своего собственного поведения.

Существенный вклад в изучение данной проблематики внесли ученые: Волкова А.Н., Обозов Н.Н., Обозова А.Н., Соловьев Н.Я., Сысенко В.А., Шуман С.Г., Шуман В.П., Н. Пезешкиан, Дж. Г. Скотт.

Соловьев Н.Я. в работе «Брак и семья» рассматривает формы и структуру семьи. В какой степени ее функции меняются на различных этапах жизнедеятельности супругов, их взаимоотношения с возрастом, наличием или отсутствием у них детей.

Н.Н. Обозов и А.Н. Обозова исследуя супружеские отношения, выделяют факторы, влияющие на стабильность брака. Ученые считают, что основными являются совместимость и сработанность супругов, так как между партнерами постоянно осуществляется совместная деятельность.

Изучая проблемы семейного благополучия, В.А. Сысенко в своих трудах уделяет внимание устойчивости брака и рассматривает фактор устойчивости как «систему взаимодействия между супругами, эффективность и результативность их совместной деятельности, направленной на достижение целей как взаимных, так индивидуальных»

Шуман С.Г., Шуман В.П. в работе «Конфликты в молодой семье» изучают причины конфликтов возникающих между супругами, и определяют пути их устранения.

Дж. Г. Скотт выделяет стратегии поведения, различающиеся по степени эффективности разрешения конфликта.

Объект исследования: стиль поведения супругов в конфликтной ситуации.

Предмет: влияние перцептивных особенностей супругов на стиль поведения в конфликтной ситуации.

Цель исследования: теоретическое и эмпирическое исследование влияния особенностей взаимной перцепции в процессе общения супругов на выбор стратегии поведения в конфликтной ситуации.

Для достижения цели представляется необходимым решить следующие задачи:

изучить особенности супружеских взаимоотношений в психолого-педагогической литературе;

выявить причины возникновения конфликтов в семье;

вывить эмпирическим путем влияние перцептивных особенностей супругов на выбор стратегии поведения в конфликтной ситуации;

провести статистический анализ данных.

Гипотеза заключается в предположении о том, что взаимная оценка супругов друг друга будет определять выбор стратегии поведения в конфликтной ситуации: чем выше оценивают качества супруга, тем ниже уровень агрессии в конфликтной ситуации.

В данном исследовании были применены следующие методы: теоретические: анализ, синтез, обобщение; эмпирические: тестирование; методы статистической обработки данных исследования.

Тестирование проводилось по следующим методикам: определение тактики поведения в конфликтных ситуациях К.Томаса; методика исследования самооценки личности С.А. Будасси; методика диагностики межличностных отношений Лири.

Практическая значимость исследования: результаты могут использоваться психологом в работе с семьей с целью профилактики супружеских конфликтов.

Глава 1. Теоретические основы изучения супружеских отношений

.1 Подходы к определению семьи и брака в психолого-педагогической литературе

конфликт семья супруг перцептивный

Понятия «семья» и «брак» в обыденной жизни употребляются как синонимы, их значение в сознании людей очень взаимосвязаны. Но это скорее не тождественные, а пересекающиеся понятия, так как могут существовать самостоятельно друг без друга. Как считают юристы и социологи «брак» - это особый общественный институт для регулирования отношений между его гражданами. Это исторически обусловленная, санкционированная и регулируемая обществом форма отношений между полами, между мужчиной и женщиной, устанавливающая их права и обязанности по отношению друг к другу и к детям, своему потомству. Другими словами, брак - традиционное средство формирования семьи, общественного контроля над ней, один из способов самосохранения и развития общества. Он подразумевает совокупность норм и санкций, которые регулируют отношения супругов. Одни нормы носят юридический характер и регламентируются государством, другие относятся к культурным и регламентируются моралью - обычаями и традициями. В современных условиях в России брак характеризуется следующими особенностями: единобрачие, свобода развода, находящаяся под контролем государства; обязанность содержания и воспитания детей; материальная поддержка нетрудоспособных членов семьи; охрана государством материнства и детства [12,с.30].

Семья - это сложное социальное образование, каждый член которого одновременно является и неповторимой личностью, индивидуальностью, и составной частью единого целого - семейной группы. И эта группа не так проста, как может показаться на первый взгляд. Не случайно исследованием проблем занимаются философы, социологи, этнографы, историки, психологи, педагоги и медики. Семья привлекает внимание исследователей таких областей научного знания, которые на первый взгляд не имеют к семье непосредственного отношения. Каждая из наук имеет свои задачи в изучении семьи и дает свои определения. Правомерность многообразия трактовок понятия «семья» обусловлена различными подходами к изучению семейно-брачных отношений. Любое определение с точки зрения какой-либо отдельно взятой науки будет неполным.

Теоретической основой изучения семьи стали исследования в социальной психологии, психологии личности, психологии развития, педагогической психологии, клинической психологии.

Психология развития и возрастная психология фокусом своего исследования сделали закономерности развития личности в семье на разных возрастных стадиях, содержание, условия и факторы социализации, проблемы воспитания ребенка в семье, психологические особенности детско-родительских отношений.

Психология личности рассматривает общение и межличностные отношения в семье как основу личностного роста и самореализации, разрабатывает формы и методы оптимизации личностного развития человека с учетом ресурсов семьи.

В рамках клинической психологии внутри - семейные отношения рассматриваются как важный фактор в контексте проблем этиологии, терапии и реабилитации после преодоления психических нарушений и отклонений [14,с.7].

Социология понимает семью как малую социальную группу, для которой характерны определенные внутригрупповые процессы и явления. Она изучает вопросы ролевой структуры семьи и лидерства в семье, стадиальность развития семьи как группы, проблемы выбора брачного партнера, проблемы сплоченности семьи, конфликты в семье и способы их разрешения.

В тоже время от других малых групп семью отличают некоторые признаки: брачные или родственные связи между ее членами; общность быта; особые морально-психологические, эмоционально-этические и правовые отношения. Кроме того семье присущи такие особенности, как пожизненная принадлежность к семейной группе (человек в ней рождается); максимальный гетерогенный состав группы (возрастные, половые, социальные, профессиональные, личностные различия членов семьи); максимальная степень неофициальности контактов в семье и повышенная эмоциональная значимость семейных событий.

Социальные психологи рассматривают семью как ячейку социальной структуры общества, выступающую регулятором отношений между людьми. Существующие в обществе социальные нормы и культурные образцы задают определенные эталоны о том, какими должны быть муж и жена, отец и мать по отношению к своим детям. Специфика социологического подхода к изучению семьи заключается в особом внимании к фундаментальному изучению посредничества семьи во взаимодействии личности и общества, к гармонизации взаимоотношений личности и государства через интересы семьи [13,с.15].

С социально-психологической точки зрения, семья представляет собой соответствующую нормам и ценностям данного общества социальную группу, объединенную формируемой в совместной деятельности совокупность межличностных отношений: супругов между собой, родителей к детям и детей к родителям и между собой, которые проявляются в любви, привязанности интимности [46,с.8].

Семья - первая в жизни человека социальная общность, благодаря которой он приобщается к ценностям культуры, осваивает первые социальные роли, приобретает опыт общественного поведения [46,с.6].

Хотя в современном обществе функционирует множество социальных общностей, одной из важнейших отличительных особенностей семьи заключается в том, что она одновременно обладает характерными чертами социального института и малой социальной группы. Концепцию «двуединого статуса семьи» предложил А.Г. Харчев [12,с.32].

Роль семьи в обществе, не однозначна и несравнима ни с какими другими социальными институтам, поскольку по силе своего влияния на формирование развитие и поддержание социального самочувствия личности она является наиболее значительной. Семья способствует не только формированию личности, но и самоутверждению человека как внутри семьи, так и вне ее, стимулирует его социальную, производственную и творческую активность, способствует сохранению и укреплению физического и психологического самочувствия членов общества, раскрытию их индивидуальности. (Следует признать, что это относится только к благополучным семьям.)

Социальная сущность семьи состоит в том, что она рассматривается как важная подсистема общества, которая, являясь сама социальным институтом, взаимосвязана с другими социальными институтами и сообществом в целом. В тоже время семья - это источник социальной принадлежности. В семье постоянно осуществляется непрерывный процесс передачи опыта и традиций от одного поколения другому.

С точки зрения педагогики семья - важнейший институт социализации личности. Именно в семье человек получает первый опыт социального взаимодействия. На протяжении определенного времени семья вообще является для ребенка единственным местом получения такого опыта. Затем в жизнь человека включаются такие социальные институты как, как детский сад, школа, улица. Однако и в это время семья остается одним из важнейших, а иногда и наиболее важным, фактором социализации личности. Являясь институтом первичной социализации ребенка, семья несет в себе воспитательную функцию. Семейное воспитание - это сложная система, на которую влияет наследственность и биологическое здоровье детей и родителей, материально - экономическая обеспеченность, социальное положение, уклад жизни, место проживания семьи, отношение к ребенку. Целью семейного воспитания является формирование таких качеств личности, которые помогут достойно преодолеть трудности и преграды, встречающиеся на жизненном пути. Развитие интеллекта и творческих способностей, первичного опыта трудовой деятельности, нравственное и эстетическое формирование, эмоциональная культура и физическое здоровье детей, их счастье - все это зависит от семьи [41,с.570].

Любая семья создается с целью удовлетворения каких-то значимых для ее членов потребностей, которые по мере развития семейных отношений дополняются общесемейными, групповыми и общественными. Отражение системы взаимодействия личности и семьи, семьи и общества, тех сфер жизнедеятельности, которые связаны с удовлетворением определенных потребностей ее членов, называется функциями семьи.

Семья как социальный институт органически связана с обществом и поэтому ряд функций непосредственно вытекает из требований самого общества. С другой стороны, семья - это сфера межличностных отношений, где действуют свои законы и функции. В этой связи можно выделить функции общества по отношению к семье, семьи по отношению к обществу, семьи по отношению к личности и личности по отношению к семье. Функции семьи тесно связаны с потребностями общества в институте семьи и с потребностями личности в принадлежности к семейной группе. Кроме того функции глубоко историчны, тесно связаны с социально-экономическими условиями жизнедеятельности общества, поэтому с течением времени меняется характер семейных функций, их иерархия [46,с.10].

Функции семьи призваны для создания оптимальных условий формирования социальной идентичности и социализации детей, удовлетворения общественных, групповых и индивидуальных потребностей. При этом сами семейные функции являются формой реализации двухсторонней связи. Через них, с одной стороны, семья связана с обществом, а с другой с составляющими ее индивидами. Несмотря на достаточно обширный перечень разнообразных функций семьи, выделяется определенный «костяк» потребностей, на которых они основываются.

Важнейшей функцией семьи является фелицитивная функция - функция удовлетворения потребности человека в счастье (от лат. felicio - счастье). Семья - существенный фактор эмоционального благополучия личности, определяющий аффективный тон ее мироощущения. Любовь и брак решающим образом определяют переживание личностью счастья и удовлетворенности жизнью. Люди, состоящие в браке, оказываются счастливее одиноких людей. Удовлетворенность браком определяет общую удовлетворенность жизнью и состояние счастья.

Репродуктивная функция считается важнейшей социальной функцией семьи, решение задач планирования рождаемости и воспроизводства населения составляет важную функцию государственной политики практически во всех странах, независимо от того, сталкиваются ли они с проблемой кризиса рождаемости и дефицита людских производительных ресурсов или, напротив, - необходимостью ограничения уровня рождаемости. Репродуктивная функция семьи состоит в воспроизводстве жизни, т. е. в рождении детей, продолжении человеческого рода. Эта функция включает в себя элементы всех других функций, т. к. семья участвует не только в количественном, но и в качественном воспроизводстве населения. Это, прежде всего, связано с приобщением нового поколения к научным и культурным достижениям человечества.

Функция воспитания детей. Она обеспечивает непрерывность развития общества, продолжение человеческого рода, связь времен. Известно, что воспитание в семье, эмоционально-позитивное полноценное общение ребенка с близким взрослым определяет гармоническое развитие ребенка в ранние годы. С возрастом ребенка воспитательная функция семьи не утрачивает своего значения, а лишь изменяются задачи, средства, тактика воспитания, формы сотрудничества и кооперации с родителями. В настоящее время именно воспитание детей рассматривается как важнейшая социальная функция семьи. В воспитательной функции различают три аспекта. Первый - формирование личности ребенка, развитие его способностей и интересов, передача детям взрослыми членами семьи накопленного обществом социального опыта; выработка у них научного мировоззрения, высоконравственного отношения к труду; понимания необходимости соблюдать нормы поведения; постоянное обогащение их интеллекта, эстетическое развитие, содействие их физическому совершенствованию, укреплению здоровья и выработке навыков санитарно-гигиенической культуры. Второй аспект - систематическое воспитательное воздействие семейного коллектива на каждого его члена в течение всей его жизни. Аспект третий - постоянное влияние детей на родителей (и других взрослых членов семьи), побуждающее их активно заниматься самовоспитанием.

Семья выполняет и экономическую функцию, т. е. участвует в общественном производстве средств к жизни, восстанавливает истраченные на производстве силы своих взрослых членов, ведет свое хозяйство, имеет свой бюджет, организует потребительскую деятельность. Опыт семейного подряда, участие семей в кооперативной деятельности, индивидуальная трудовая деятельность, развитие семейного садоводства и подсобных хозяйств вносят заметный вклад в производство материальных благ, в улучшение благосостояния семьи, расширяют ее воспитательный потенциал.

Функция духовного общения, предполагает духовное взаимообогащение членов семьи; информационный обмен; обсуждение наиболее значимых для личности проблем социально-политической, профессиональной, общественной жизни; общение в контексте восприятия литературных и художественных произведений искусства, музыки; создание условий для личностного и интеллектуального роста членов семьи.

Функция эмоциональной поддержки и принятия, обеспечивающую чувство безопасности и принадлежности к группе, эмоциональное взаимопонимание и сочувствие, или так называемую психотерапевтическую функцию. В современной семье другим аспектом этой функции выступает формирование у личности потребности в самовыражении и самоактуализации, потребности человека в аффилиации и любви. В современном обществе любовь является сущностной характеристикой отношений в семье, заключение браков определяется в первую очередь наличием любви между супругами. Впрочем, и причины разводов в значительном числе случаев лежат в области эмоционально-личностных отношений супругов: все чаще супруги при разводе ссылаются на утрату чувства любви и эмоциональной близости, отсутствие эмоциональной поддержки и взаимопонимания.

Немаловажное значение в системе супружеских отношений имеет сексуально - эротическая функция. Значение этой функции в современной семье существенно возросло. Брак рассматривается как союз, созданий, прежде всего, на эмоциональной связи, и поэтому не последнее место в этом союзе отводится удовлетворению сексуально - эротических потребностей брачных партнеров. В последнее время многие исследователи проблем брака и семьи отмечают, что именно семейно - сексуальные дисгармонии нередко являются причиной несогласия в семье, источником напряженности в супружеских отношениях. В тоже время семья позволяет осуществлять регулирование сексуально - эротической направленности поведения супругов, а так же обеспечивает биологическое воспроизводство на селения [46,с.18].

Среди функций семьи необходимо также выделить коммуникативную функцию. Можно назвать следующие компоненты этой функции: посредничество семьи в контакте своих членов со СМИ, литературой и искусством. Читая книги, знакомясь с новыми произведениями искусства, новостями, родители должны обязательно обсуждать это с ребенком так, чтобы у него появился интерес и развивался далее. Роль книги в семейном воспитании очень велика, т.к. возрождение духовности, воспитание культуры, образование детей невозможны без книги и чтения. Совместное занятие сплачивает семью, развивает ум и душу ребенка, воспитывает и готовит его к жизни. Родители же, приобщаясь к чтению, начинают по-настоящему заниматься духовным развитием своего ребенка, формированием его нравственности.

В настоящее время возрастает функция семьи по организации досуга и отдыха. Свободное время - одна из важнейших социальных ценностей, незаменимое средство восстановления физических и духовных сил человека, всестороннего развития личности. Семейный досуг включает в себя: чтение, совместный отдых, проведение ежегодного отпуска, прогулки на природу, занятия спортом. Это все влечет за собой познание окружающего мира. Дети узнают много нового и полезного. Таким образом, расширяется кругозор ребенка. И родители должны сделать так, чтобы интерес был устойчивым и потом не пропал.

Рассматривая представленный выше список, следует подчеркнуть, что перечисленными функциями список функции семьи не ограничивается. В этом плане можно согласиться с Н.Я. Соловьевым, который считал, что «...функций семьи столько, сколько видов потребностей они удовлетворяют в устойчивых, повторяющихся формах» [38,с.54].

Рассмотрев основные функции семьи и их предназначение, можно заметить, что она удовлетворяет и многообразные индивидуальные потребности личности, и групповые (общесемейные) потребности, и важнейшие потребности общества. Как общество влияет на семью, создавая определенный ее тип, так и семья оказывает немалое влияние на развитие и образ жизни общества. Семье принадлежит важная роль в ускорении экономического и социального развития общества, в воспитании подрастающего поколения.

Структура семьи - это число и состав членов семьи, а также совокупность отношений между её членами. Структура семьи и ее функции взаимно влияют друг на друга. Соловьев Н.Я. выделяет следующие формы семьи [38,с.85].

Базовой формой семьи является нуклеарная семья. Это треугольник - родители и один ребёнок. Она состоит из представителей двух поколений - родители и дети. Существует две разновидности - полная нуклеарная семья (двое родителей и дети) и неполная нуклеарная семья (отсутствие одного из родителей). Семья без детей это тоже неполная нуклеарная семья.

-я форма - расширенная семья. Это семья, которая объединяет кровных родственников более чем двух поколений, которые объединены общим домашним хозяйством. Самый частый вариант - семьи с бабушкой, дедушкой и другими родственниками.

-й вариант - большая семья. Это группа кровных родственников разных поколений, которая живёт в одном месте, но не обязательно ведет совместное домашнее хозяйство и возглавляется фигурой патриарха или матриархата. Эта форма характерна для сёл или маленьких городов или на окраинах больших городов. Есть дом родителей, рядом 2-4 дома, где живут семьи детей с определённым характером отношений. Родители играют роль патриарха, оказывая влияние на существование семей. Такая семья является иерархичной.

-й вариант - «семья - клан». Это группа, объединённая кровно родственными отношениями, которая не обязательно проживает в одном месте и не обязательно имеет одного лидера. Пример - сицилийская мафия.

5-й вариант - «семья - двор». Была характерна для России XVII-XIX вв., но сейчас встречается редко. Она объединяет несколько поколений членов семьи, причем в семью включаются люди, не связанные кровным родством (гувернантки, слуги, горничные).

Нарушения структуры семьи также встречаются, как и нарушение функций. Это такие особенности структуры семьи, которые затрудняют или препятствуют выполнению семьёй основных её функций. Например, часто хозяйственно-бытовая функция разделена асимметрично, когда муж не принимает в этом участия, а всё делает жена. В итоге нарушения функции возникает семейный конфликт.

Структура семьи и ее функции меняются на различных этапах жизнедеятельности супругов. Основные из них связаны с наличием или отсутствием детей, а также их возрастом. Каждый этап имеет свои задачи и имеет свои кризисы, которые важно совместно преодолеть, чтобы счастливо жить дальше.

1.2 Перцептивность общения как составляющая супружеских отношений

В семье важное место занимает процесс общение между супругами, а на процесс общения влияют многие факторы и один из факторов это перцепция.

Прием и переработка человеком поступившей через органы чувств информации завершается появлением образов предметов и явлений. Процесс формирования этих образов называется восприятием, иногда употребляется термин «перцепция» или «перцептивный процесс» [41,с.138].

В психологии перцепция (perception) - это психический процесс, в ходе которого происходит анализ и осмысление получаемой через органы чувств информации об окружающем мире. К нарушениям восприятия относятся такие состояния, как галлюцинации, иллюзии и агнозия [47,с.319].

Перцепция-это процесс систематизации, интерпретации и осмысления информации, поступающей от сенсорных систем. Перцепция является результатом психологических процессов, в которых задействованы такие понятия, как смысл, взаимосвязи, контекст, субъективная оценка, предшествующий опыт индивидуума и память. Перцепция - процесс приема и переработки человеком различной информации, поступающей в мозг через органы чувств. Завершается формированием образа [19,с.382].

Под восприятием, или перцепцией, понимается как субъективный опыт получения сенсорной информации о мире людей, вещей и событий, так и те психологические процессы, благодаря которым это совершается [32,с.547].

Восприятие - целостное отражение <#"554865.files/image001.gif">

На третьем этапе с помощью формул определяются показатели по двум основным параметрам «Доминирование» и «Дружелюбие»:

Доминирование = (I - V) + 0,7 х (VIII + II - IV - VI)

Дружелюбие = (VII - III) + 0,7 х (VIII - II - IV + VI)

Таким образом, система баллов по 16 межличностным переменным превращается в два цифровых индекса, которые характеризуют представление субъекта по обозначенным параметрам.

В результате проводится анализ личностного профиля - определяются типы отношения к окружающим.

Интерпретация результатов

Подсчет баллов ведется отдельно для каждой оцениваемой личности. Показателем нарушения отношений с определенным лицом является разница между представлениями человека о нем и желаемом его образе в качестве партнера по общению.

Максимальная оценка уровня - 16 баллов, но она разделена на четыре степени выраженности отношения:

0-4 балла - низкая:

адаптивное поведение

5-8 баллов - умеренная:


9-12 баллов - высокая:

экстремальное поведение

13-16 баллов - экстремальная:

до патологии поведение


Положительное значение результата, полученного по формуле "доминирование", свидетельствует о выраженном стремлении человека к лидерству в общении, к доминированию. Отрицательное значение указывает на тенденцию к подчинению, отказу от ответственности и позиции лидерства.

Положительный результат по формуле "дружелюбие" является показателем стремления личности к установлению дружелюбных отношений и сотрудничеству с окружающими. Отрицательный результат указывает на проявление агрессивно-конкурентной позиции, препятствующей сотрудничеству и успешной совместной деятельности. Количественные результаты являются показателями степени выраженности этих характеристик.

Наиболее заштрихованные на профиле октанты соответствуют преобладающему стилю межличностных отношений данного индивида. Характеристики, не выходящие за пределы 8 баллов, свойственны гармоничным личностям. Показатели, превышающие 8 баллов, свидетельствуют об акцентуации свойств, выявляемых данным октантом. Баллы, достигающие уровня 14-16, свидетельствуют о трудностях социальной адаптации. Низкие показатели по всем октантам (0-3 балла) могут быть результатом скрытности и не откровенности испытуемого. Если в психограмме нет октантов, заштрихованных выше 4-х баллов, то данные сомнительны в плане их достоверности: ситуация диагностики не расположила к откровенности.

Первые четыре типа межличностных отношений (октанты 1-4) характеризуются тенденцией к лидерству и доминированию, независимостью мнения, готовностью отстаивать собственную точку зрения в конфликте. Другие четыре октанта (5-8) - отражают преобладание конформных установок, неуверенность в себе, податливость мнению окружающих, склонность к компромиссам.

В целом интерпретация данных должна ориентироваться на преобладание одних показателей над другими и в меньшей степени - на абсолютные величины. В норме обычно не наблюдаются значительные расхождения между «Я» актуальным и идеальным. Умеренное расхождение может рассматриваться как необходимое условие самосовершенствования.

Неудовлетворенность собой чаще наблюдается у лиц с заниженной самооценкой (5,6,7 октанты), а также у лиц, находящихся в ситуации затянувшегося конфликта (4 октант). Преобладание одновременно 1 и 5 октанта свойственно лицам с проблемой болезненного самолюбия, авторитарности. Преобладание 4 и 8 - конфликт между стремлением к признанию группой и враждебностью, т.е. проблема подавленной враждебности, 3 и 7 -борьба мотивов самоутверждения и аффилиации, 2 и 6 - проблема независимости - подчиняемости, возникающая в сложной служебной или иной ситуации, вынуждающей повиноваться вопреки внутреннему протесту. Личности, у которых обнаруживаются доминантные, агрессивные и независимые черты поведения, значительно реже проявляют недовольство своим характером и межличностными отношениями, однако и у них может выявляться тенденция к совершенствованию своего стиля межличностного взаимодействия с окружением. При этом возрастание показателей того или иного октанта определит направление, по которому самостоятельно движется личность в целях самосовершенствования, степень осознания имеющихся проблем, наличие внутриличностных ресурсов.

.2 Результаты исследования

Зная результаты проведенных исследований, мы можем предполагать, как складываются взаимоотношения супругов в совместной жизни, и попытаемся подтвердить, или опровергнуть выдвинутую нами гипотезу.

Семья 1

Проведя тестирование семьи Галины и Сергея, мы получили следующие результаты: по тесту определения тактики поведения в конфликтной ситуации К. Томаса итоги приведены в таблице 4.

Таблица 4

Результаты исследования семьи 1 по тесту К. Томаса

Галины

 Сергея:

соперничество………..2 балла

соперничество……….....7 балла

сотрудничество ………9 балла

Сотрудничество…….….10 балла

компромисс…………...7 баллов

компромисс………..…....4 баллов

избегание……………...6 баллов

избегание………………..5 баллов

приспособление……….6 баллов

приспособление………...4 баллов

Из таблицы видно, у Галины и Сергея преобладает сотрудничество. Это говорит о том, что супруги активно участвуют в разрешении конфликта, отстаивают свои интересы, при этом стараются сотрудничать с друг с другом.

По диагностике оценки своего супруга при помощи методики С.А. Будасси:

Галина дала результат r =0.09, это низкая оценка своего супруга, есть вероятность того что она видит в супруге расхождение между ее представлениями о качествах своего идеала и о реальных качествах которыми обладает муж.

Результат оценки Сергея составляет r =0.54; самооценка адекватная, что показывает равное признание у своей супруги как достоинств, так и недостатков.

По диагностике межличностных отношений. Методика Лири:

Галина Доминирование 2.4 Дружелюбие -6.3

Сергей Доминирование 7.4 Дружелюбие 8.1


Таким образом, результат Галины свидетельствует о выраженном стремлении к лидерству в общении, и к доминированию. У Сергея положительный результат по формуле "дружелюбие" является показателем стремления личности к установлению дружелюбных отношений и сотрудничеству с супругой.

Семья 2

Проведя тестирование семьи Кати и Олега, мы получили следующие результаты: по тесту определения тактики поведения в конфликтной ситуации К. Томаса итоги приведены в таблица 5.

Таблица 5

Результаты исследования семьи 2 по тесту К. Томаса

Екатерина

 Олег

соперничество………...1 балла

соперничество……….....1 балла

сотрудничество ………7 балла

сотрудничество …….….6 балла

компромисс…………...8 баллов

компромисс………..…...9 баллов

избегание……………...7 баллов

избегание……………….6 баллов

приспособление…….....7 баллов

приспособление………..8 баллов


Рассматривая, результаты семьи Кати и Олега, мы видим, что обе стороны склонны к компромиссу. Они немного уступают в своих интересах, чтобы удовлетворить их в остальном, часто главном. Один уступает в чем-то, другой тоже, в результате появляется возможность прийти к общему решению.

По диагностике оценки своего супруга при помощи методики С.А. Будасси: Екатерина дала результат r =0.8. Результат оценки Олега составляет r =0.69. Оба супруга дают друг другу завышенную оценку. Это может свидетельствовать о том, что они чрезмерно оценивают достоинства друг друга.

По диагностике межличностных отношений. Методика Лири:

Екатерина Доминирование 0.6 Дружелюбие -5.6

Олег Доминирование 9.3 Дружелюбие 4.4


Положительное значение результата, полученного по формуле "доминирование", в семье Кати и Олега свидетельствует о выраженном стремлении супругов к лидерству в общении, к доминированию.

Семья 3

Результаты в семье Наташи и Олега следующие: по тесту определения тактики поведения в конфликтной ситуации К. Томаса итоги приведены в таблице 6.

Таблица 6

Результаты исследования семьи 3 по тесту К. Томаса

Наталья

 Олег

 соперничество………...7 балла

соперничество…………..0 балла

сотрудничество ………6балла

сотрудничество …….….7 балла

 компромисс…………...9баллов

компромисс………..…...9 баллов

избегание……………...1 баллов

 избегание……………….8 баллов

приспособление………..7 баллов

приспособление………..6 баллов


Наталья и Олег используют стиль компромисса. Они готовы уступать в спорных ситуациях. Это делается путем торга и обмена, уступок. При компромиссе отсутствует поиск скрытых интересов, рассматривается только то, что каждый говорит о своих желаниях. При этом причины конфликта не затрагиваются.

По диагностике оценки своего супруга при помощи методики С.А. Будасси: Наталья дала результат r =0.66, это адекватная оценка позволяет ей правильно оценивать его возможности применительно к различным жизненным ситуациям. Результат оценки Олега составляет r =0.16,эта оценка занижена. Это может говорить о неуверенности в действиях и поступках супруги. Часто эта неуверенность необоснованная.

По диагностике межличностных отношений. Методика Лири:

Наталья Доминирование 4.1 Дружелюбие 3.7

Олег Доминирование 4.5 Дружелюбие 3.5

 

В отношениях Наташи и Олега преобладает доминирование, что свидетельствует о выраженном стремлении обоих супругов к лидерству в общении, независимостью мнения, готовностью отстаивать собственную точку зрения в конфликте.

Семья 4

Проведя тестирование семьи Кати и Димы, мы получили следующие результаты: по тесту определения тактики поведения в конфликтной ситуации К. Томаса итоги приведены в таблица 7.

Таблица 7

Результаты исследования семьи 4 по тесту К. Томаса

Екатерина

 Дмитрий

 соперничество………...5 балла

соперничество…………..2 балла

сотрудничество ………7балла

сотрудничество …….….5 балла

 компромисс…………...5баллов

компромисс………..…...6 баллов

избегание……………...3 баллов

 избегание……………….8 баллов

приспособление………..10 баллов

приспособление………..9 баллов


В качестве стратегии Екатерина и Дмитрий оба выбирают приспособление - это действия совместно с другим человеком без попытки отстаивать собственные интересы. В отличие от уклонения, при этом стиле имеет место участие в ситуации и согласие делать то, чего хочет другой. Это стиль уступок, согласия и принесения в жертву собственных интересов.

По диагностике оценки своего супруга при помощи методики С.А. Будасси: Екатерина дала результат r =0.28, оценка занижена. Результат оценки Дмитрия составляет r =0.58,адекватно оценивает супругу, что показывает равное признание у нее как достоинств, так и недостатков.

По диагностике межличностных отношений. Методика Лири:

Екатерина Доминирование -4.6 Дружелюбие 12

Дмитрий Доминирование 8.1 Дружелюбие 11.2

Положительный результат по формуле "дружелюбие" является показателем стремления супругов к установлению дружелюбных отношений и сотрудничеству с окружающими. Отрицательное значение « доминирование» у Екатерины указывает на тенденцию к подчинению, отказу от ответственности и позиции лидерства.

Семья 5

Результат семьи Насти и Матвея: по тесту определения тактики поведения в конфликтной ситуации К. Томаса итоги приведены в таблица 8.

Таблица 8

Результаты исследования семьи 5 по тесту К. Томаса

Анастасия

 Матвей

 соперничество………...0 балла

соперничество…………..2 балла

сотрудничество ………7балла

сотрудничество …….….5 балла

 компромисс…………...6баллов

компромисс………..…...5 баллов

избегание……………...9 баллов

 избегание……………….9 баллов

приспособление………..8 балло

приспособление………..9 баллов


При решении споров Анастасия и Матвей склонны к стилю избегания - это означает, что супруги не отстаивают свои права, ни сотрудничают для выработки решения или уклоняется от решения конфликта. Для этого используются уход от проблемы, игнорирование ее, перекладывание ответственности за решение на другого.

По диагностике оценки своего супруга при помощи методики С.А. Будасси: Анастасия дала результат r =0.09,оценка занижена. Результат оценки Матвея составляет r =0.58,адекватно оценивает супругу.

По диагностике межличностных отношений. Методика Лири:

Анастасия Доминирование -0.3 Дружелюбие 3.1

Матвей Доминирование -9.1 Дружелюбие 11

 

В семье царит дружелюбие, что является показателем стремления к установлению дружелюбных отношений, заботе, ласке, умеют подбодрить и успокоить друг друга. Отрицательное значение « доминирование» у обоих супругов указывает на тенденцию к подчинению, отказу от ответственности и позиции лидерства.

Семья 6

Результат Семьи Олеси и Михаила: по тесту определения тактики поведения в конфликтной ситуации К. Томаса итоги приведены в таблица 9.

Таблица 9

Результаты исследования семьи 6 по тесту К. Томаса

Олеся

 Михаил

 соперничество………...6 балла

соперничество…………..8 балла

сотрудничество ………5балла

сотрудничество …….….3 балла

 компромисс…………...6баллов

компромисс………..…...6 баллов

избегание……………...6 баллов

 избегание……………….8 баллов

приспособление………..7 баллов

приспособление………..5 баллов


При выборе тактики поведения в конфликтной ситуации Михаил использует соперничество. Супруг, использующий стиль соперничества, активен и предпочитает идти к разрешению конфликта собственным путём. Он не заинтересован в сотрудничестве и достигает цели, используя свои волевые качества. Он старается в первую очередь удовлетворить собственные интересы в ущерб, интересам других, вынуждая их принимать нужное ему решение проблемы.

Тактика Олеси оптимальная - это означает, что все стили поведения в конфликте используются в равной степени.

По диагностике оценки своего супруга при помощи методики С.А. Будасси: Олеся дала результат r =0.63, это адекватная оценка, что позволяет ей правильно оценивать его возможности применительно к различным жизненным ситуациям. Результат оценки Михаила составляет r =0.11; оценка супруги занижена. Это может говорить о неуверенности в действиях и поступках супруги.

По диагностике межличностных отношений. Методика Лири:

Олеся Доминирование 9.8 Дружелюбие 4.4

Михаил Доминирование 6.7 Дружелюбие 3.7

У супругов присутствует стремление к лидерству в общении, к доминированию в отношениях, независимостью мнения, готовностью отстаивать собственную точку зрения в конфликте.

Семья 7

Подводя итог исследования семьи Светы и Андрея мы получили результат: по тесту определения тактики поведения в конфликтной ситуации К. Томаса итоги приведены в таблица 10.

Таблица 10

Результаты исследования семьи 7 по тесту К. Томаса

Света

Андрей

 соперничество………...3 балла

соперничество…………..7 балла

сотрудничество ………7балла

сотрудничество …….….7 балла

 компромисс…………...8баллов

компромисс………..…...5 баллов

избегание……………...7 баллов

 избегание……………….6 баллов

приспособление………..5 баллов

приспособление………..5 баллов


По данным теста Светлана готова идти на компромисс, уступать, ущемлять свои интересы, Андрей при возникновении конфликта использует все стили поведения т.к. его стратегия является оптимальной.

По диагностике оценки своего супруга при помощи методики С.А. Будасси: Света дала результат r =0.58, что является адекватной оценкой. Результат оценки Андрея составляет r =-0.1крайне заниженная оценка что может, говорить о неуверенности в способностях своей супруги.

По диагностике межличностных отношений. Методика Лири:

Света Доминирование 2.2 Дружелюбие -0.2

Андрей Доминирование 0.6 Дружелюбие 3.2


У Светы положительное значение результата, полученного по формуле "доминирование", свидетельствует о выраженном стремлении к лидерству в супружеских отношениях. И отрицательный результат по формуле «дружелюбие» указывает на проявление агрессивно-конкурентной позиции, препятствующей сотрудничеству и успешной совместной деятельности. У Андрея положительный результат по формуле "дружелюбие" является показателем стремления личности к установлению дружелюбных отношений и сотрудничеству с супругой.

Семья 8

Итоги исследования семьи Ани и Андрея: по тесту определения тактики поведения в конфликтной ситуации К. Томаса итоги приведены в таблица 11.

Таблица 11

Результаты исследования семьи 8 по тесту К. Томаса

Анна

Андрей

 соперничество………...0 балла

соперничество…………..1 балла

сотрудничество ………8балла

сотрудничество …….….5 балла

 компромисс…………...7баллов

компромисс………..…...7 баллов

избегание……………...6 баллов

 избегание……………….8 баллов

приспособление………..9 баллов

приспособление………..9 баллов


Анна и Андрей используют стиль приспособления в качестве стиля поведения. Приспособление - это действия совместно с другим человеком без попытки отстаивать собственные интересы. В отличие от уклонения, при этом стиле имеет место участие в ситуации и согласие делать то, чего хочет другой. Это стиль уступок, согласия и принесения в жертву собственных интересов.

По диагностике оценки своего супруга при помощи методики С.А. Будасси : Анна дала результат r =0.14, занижено оценивает супруга. Это может говорить о том что, она видит расхождение между ее представлениями о качествах своего идеала и о реальных качествах, которыми обладает муж.

Результат оценки Андрея составляет r =0.8,оценка завышена. Это может свидетельствовать о том, что он чрезмерно оценивает достоинства супруги.

По диагностике межличностных отношений. Методика Лири:

Анна Доминирование 10.2 Дружелюбие 5.1

Андрей Доминирование 3.2 Дружелюбие -4.7


Оба супруга склоны к доминированию в отношениях, отрицательный результат «дружелюбия» у Андрея указывает на проявление агрессивно-конкурентной позиции, препятствующей сотрудничеству и успешной совместной деятельности.

Семья 9

Протестировав семью Наташи и Валерия, мы получили результат: по тесту определения тактики поведения в конфликтной ситуации К. Томаса итоги приведены в таблица 12.

Таблица 12

Результаты исследования семьи 9 по тесту К. Томаса

Наталья

Валерий

 соперничество………...0 балла

соперничество…………..3 балла

сотрудничество ………7балла

сотрудничество …….….6 балла

 компромисс…………...6баллов

компромисс………..…...7 баллов

избегание……………...9 баллов

 избегание……………….10 баллов

приспособление………..8 баллов

приспособление………..4 баллов


Наталья и Валерий, используют избегание спорных ситуаций. Стиль избегания означает, что супруги не отстаивают свои права, не сотрудничают для выработки решения или уклоняется от решения конфликта.

По диагностике оценки своего супруга при помощи методики С.А. Будасси:

Наталья дала результат r =0.35.Результат оценки Валерия составляет r =0.2;оба супруга дают заниженную оценку друг другу.

По диагностике межличностных отношений. Методика Лири:

Наталья Доминирование 1.3 Дружелюбие 5.1

Валерий Доминирование 2.1 Дружелюбие 3.4


Положительный результат по формуле "дружелюбие" является показателем стремления обоих супругов к установлению дружелюбных отношений и сотрудничеству между собой, стремятся быть в согласии с мнением друг друга, следуют правилам и принципам "хорошего тона", стремятся помогать, проявляют теплоту и дружелюбие в отношениях.

Семья 10

Итоги тестирования семьи Юлии и Вячеслава: по тесту определения тактики поведения в конфликтной ситуации К. Томаса итоги приведены в таблица 13.

Таблица 13

Результаты исследования семьи 10 по тесту К. Томаса

Юлия

Вячеслав

 соперничество………...4 балла

соперничество…………..0 балла

сотрудничество ………4балла

сотрудничество …….….6 балла

 компромисс…………...8баллов

компромисс………..…...7 баллов

избегание……………...6 баллов

 избегание……………….9 баллов

приспособление………..8 баллов

приспособление………..8 баллов


Вячеслав придерживается стратегии избегания при решении спорных вопросов. Стиль избегания означает, что супруг не отстаивает свои права, и не сотрудничает для выработки решения или уклоняется от решения конфликта, а уходит от проблемы, игнорируя ее, перекладывает ответственность по решению на супругу.

Юлия использует компромисс при решении конфликтных ситуаций. При этом причины конфликта не затрагиваются. Идет не поиск их устранения, а нахождение решения, удовлетворяющего сиюминутные интересы обеих сторон.

По диагностике оценки своего супруга при помощи методики С.А. Будасси: Юлия дала результат r =0.36, заниженная оценка, это может говорить о неуверенности в действиях супруга. Результат оценки Вячеслава - r =0.54,адекватная оценка.

По диагностике межличностных отношений. Методика Лири:

Юлия Доминирование -0.7 Дружелюбие 15.1

Вячеслав Доминирование 10.1 Дружелюбие 3.3


Юлия склона к дружелюбию в отношениях, а Отрицательное значение «доминирования» указывает на тенденцию к подчинению, отказу от ответственности и позиции лидерства. У Вячеслава положительное значение результата, полученного по формуле "доминирование", свидетельствует о выраженном стремлении его к лидерству в супружеских отношениях.

Семья 11

Результат семьи Светланы и Максима: по тесту определения тактики поведения в конфликтной ситуации К. Томаса итоги приведены в таблица 14.

Результаты исследования семьи 11 по тесту К. Томаса

Светлана

Максим

 соперничество………...5 балла

соперничество…………..2 балла

сотрудничество ………9балла

сотрудничество …….….6 балла

 компромисс…………...3баллов

компромисс………..…...7 баллов

избегание……………...7 баллов

 избегание……………….8 баллов

приспособление………..7 баллов

приспособление………..7 баллов


Максим использует стиль избегания. Это говорит о том, что индивид не отстаивает свои права, не сотрудничает для выработки решения или уклоняется от решения конфликта.

Светлана применяет стиль сотрудничества. Она активно участвует в разрешении конфликта и отстаивает свои интересы, но старается при этом сотрудничать с Максимом. Это хороший способ удовлетворения интересов обеих сторон, который требует понимания причин конфликта и совместно поиска новых альтернатив его решения.

По диагностике оценки своего супруга при помощи методики С.А. Будасси: Светлана дала результат r =0.58, результат оценки Максима составляет r =0.60, что является взаимной адекватной оценкой. Это позволяет им правильно оценивать возможности друг друга применительно к различным жизненным ситуациям.

По диагностике межличностных отношений. Методика Лири:

Светлана Доминирование -4.1 Дружелюбие 0.4

Максим Доминирование -7.2 Дружелюбие 14.2


Положительный результат по формуле "дружелюбие" у обоих супругов говорит о стремлении супругов к установлению дружелюбных отношений и сотрудничеству, а отрицательное значение» доминирования» указывает на тенденцию к подчинению, отказу от ответственности и позиции лидерства.

Семья 12

Тестирование семьи Кати и Андрея: по тесту определения тактики поведения в конфликтной ситуации К. Томаса итоги приведены в таблица 15.

Таблица 15

Результаты исследования семьи 12 по тесту К. Томаса

Екатерина

Андрей

 соперничество………...2 балла

соперничество…………..4 балла

сотрудничество ………8балла

сотрудничество …….….4 балла

 компромисс…………...6баллов

компромисс………..…...7 баллов

избегание……………...5 баллов

 избегание……………….7 баллов

приспособление………..9 баллов

приспособление………..8 баллов


Приспособление - это действия совместно с другим супругом без попытки отстаивать собственные интересы. В отличие от уклонения, при этом стиле имеет место участие в ситуации и согласие делать то, чего хочет другой. Это стиль уступок, согласия и принесения в жертву собственных интересов. Именно этот стиль выбирают Екатерина и Андрей в качестве решения возникающих проблем.

По диагностике оценки своего супруга при помощи методики С.А. Будасси: Екатерина дала результат r =0.79. Результат оценки Андрея составляет r =0.93,обоюдно завышенная оценка, это может свидетельствовать о том, что они чрезмерно оценивают достоинства друг друга.

По диагностике межличностных отношений. Методика Лири:

Екатерина Доминирование 1.7 Дружелюбие 7.8

Андрей Доминирование -1.7 Дружелюбие 8.2

Оба супруга склонны к дружелюбным отношениям, стараются принимать гибкие и компромиссные решения при проблемах в конфликтных ситуациях, стремятся быть в согласии с мнением друг друга. У Андрея отрицательное значение «доминирование» указывает на тенденцию к подчинению, отказу от ответственности и позиции лидерства.

Полученные результаты тестирования двенадцати семей по всем методикам мы разместили в таблице 16

Таблица16

Итоговая таблица

Имена супругов

Тест Томаса

Методика Будасси

Методика Лири

1

Сергей Галина

Сотрудничество Сотрудничество

r=0.54 адекватная r =0.09 занижена

Дружелюбие Доминирование

2

Екатерина Олег

 Компромисс Компромисс

r =0.8 завышена r =0.69 завышена

 Доминирование Доминирование

3

Наталья Олег

Компромисс Компромисс

r =0.66 адекватная r =0.16 занижена

Доминирование Доминирование

4

Екатерина  Дмитрий

Приспособление Приспособление

r =0.28 занижена r =0.58 адекватная

Дружелюбие Дружелюбие

5

Анастасия Матвей

Избегание Избегание

r =0.09 занижена r =0.58 адекватная

Дружелюбие Дружелюбие

6

Олеся Михаил

Приспособление Соперничество

r =0.63 адекватная r =0.11 занижена

Доминирование Доминирование

7

Светлана Андрей

Компромисс Сотрудничество

r =0.58 адекватная r =-0.1 занижена

Доминирование Дружелюбие

8

Анна Андрей

Приспособление Приспособление

r =0.14занижена r =0.8 завышена

Доминирование Доминирование

9

Наталья Валерий

Избегание Избегание

r =0.35занижена r =0.2 занижена

Дружелюбие Дружелюбие

10

Юлия  Вячеслав

Компромисс Избегание

r =0.36 занижена r =0.54 адекватная

Дружелюбие Доминирование

11

Светлана  Максим

Сотрудничество Избегание

r =0.58 адекватная r =0.60 адекватная

Дружелюбие Дружелюбие

12

Екатерина Андрей

Приспособление Приспособление

r =0.79 завышена r =0.93 завышена

Дружелюбие Дружелюбие


Подводя итоги исследования, мы видим, что оценка Галины своего супруга занижена, а ее поведение в конфликтной ситуации склонно к сотрудничеству. Сергей оценивает Галину адекватно, в конфликтной ситуации тоже склонен к сотрудничеству, не направлен на приспособление и компромисс. У Галины доминирование преобладает над дружелюбием, Сергей склонен к дружелюбию.

Рассматривая отношения в семье Екатерины и Олега, мы видим завышенную оценку супругов друг друга. В конфликтной ситуации они обоюдно идут на компромисс. У супругов доминирование преобладает над дружелюбием.

Анализируя результаты тестирования в паре Наташи и Олега, мы наблюдаем адекватную оценку супруга Наташей. Олег оценивает свою жену занижено. Супруги в равной степени идут в конфликтах на компромисс. У обоих супругов доминирование преобладает над дружелюбием.

В семье Екатерины и Дмитрия атмосфера дружелюбная, супруги в большей степени используют приспособление в качестве стиля поведения. Дмитрий адекватно оценивает супругу; Екатерина неадекватно оценивает мужа.

Рассматривая взаимную оценку супругов в семье Матвея и Анастасии, наблюдаем адекватную оценку жены мужем и заниженную женой супруга. Стратегии поведения в конфликте Матвей и Анастасия используют одинаковые: в их поведении преобладает избегание возникающих между ними разногласий. Дружелюбие в их семье превосходит доминирование.

В семье Олеси и Михаила в отношениях присутствует доминирование у обоих супругов. При выборе тактики поведения в конфликтной ситуации Михаил использует соперничество. Олеся выбирает стиль приспособления. Она оценивает своего мужа адекватно, у Михаила неадекватная оценка своей жены.

Подводя итоги исследования, мы видим, что оценка Андрея своей жены Светланы крайне занижена. Светлана в свою очередь воспринимает своего супруга адекватно. Стиль поведения Светланы - компромисс, у Андрея сотрудничество. У Светланы присутствует доминирование в отношениях, у Андрея дружелюбие.

Результаты тестирования в семье Анны и Андрея говорят нам о следующем: Анна неадекватно оценивает супруга, в отношении Андрея у нее проявляется доминирование, в качестве выбора стратегии приспособление. Андрей воспринимает супругу завышено, в семье является лидером. Как и супруга, он выбирает стратегию приспособления.

Взаимная оценка супругов Наташи и Валерия заниженная. Оба члена семьи выражают друг другу дружелюбие, но каждый стремиться избегать решений спорных вопросов.

Подводя итоги исследования, мы наблюдаем адекватную оценку мужем и женой друг друга. Юлия готова идти на компромисс. Вячеслав избегает решения проблем. Юлия дружелюбно относится с супругу, у Вячеслава в отношениях преобладает доминирование.

Рассматривая взаимную оценку супругов в семье Максима и Светланы, наблюдаем адекватную оценку мужем и женой друг друга. Стратегии поведения в конфликте имеют следующие особенности: Максим более склонен к перекладыванию ответственности в решении семейных проблем и выбирает стиль избегание. Светлана готова сотрудничать с супругом. В семье Светланы и Максима преобладает дружелюбие в супружеских отношениях.

По результатам тестирования в паре Екатерины и Андрея, наблюдается крайне завышенная оценка друг друга у обоих партнеров. Для данной пары характерно использование стратегии приспособления в случае возникновения конфликтов. Оба партнера настроены на дружелюбные отношения в семье.

2.3 Статистический анализ взаимосвязей перцептивных особенностей супругов и стиля поведения в конфликтной ситуации

Корреля́ция (от лат. Correlatio) - статистическая <#"554865.files/image014.gif">

Х1: 2,7,1,1,0,7,5,2,0,2,6,8,3,7,0,1,0,3,4,0,5.2,2,4.

Х2:2.4,7.4,0.6,9.3,4.1,4.5,-4.6,8.1,-0.3,-9.1,9.8,6.7,2.2,0.6,10.2,3.2,1.3,2.1,-0.7,10.1,-4.1,-7.2,1.7,-1.7.= + 0,21, что говорит о низкой корреляции, то есть низкой взаимосвязи между данными переменными.

Х3: 9,10,7,6,6,7,7,5,7,5,5,3,7,7,8,5,7,6,4,6,9,6,8,4.

Х4:-6.3,8.1,-5.6,4.4,3.7,3.5,12,11.2,3.1,11,4.4,3.7,-0.2,3.2,5.1,-4.7,5.1,3.4,15.1,3.3,0.4,14.2,7.8,8.2.= - 0,21, что говорит о низкой корреляции, то есть низкой взаимосвязи между двумя переменными.

Вывод по главе 2

Во второй части нашего исследования была проведена диагностическая работа, в которой нами была предпринята попытка проанализировать связь между взаимной оценкой супругов друг друга и как зависит от этой оценки стиль их поведения в конфликтной ситуации. Нами были протестированы двенадцать семей по следующим методикам:

-   определение тактики поведения в конфликтных ситуациях К.Томаса;

    методика исследования самооценки личности С.А. Будасси;

    методика диагностики межличностных отношений Лири.

Анализируя итоги тестирования двенадцати семей по трем методикам, мы видим, что сотрудничество преобладает у 4 человек, при этом у50 % из них адекватное восприятие другого, у 50% заниженная оценка супруга. У 75% преобладает восприятие другого как дружелюбного партнера, 25% восприятие другого как лидера.

Соперничество преобладает у одного человека, при этом у него оценка супруга занижена и восприятие супруга как лидера.

Компромисс преобладает у 6 человек, при этом 33,3% адекватно воспринимают другого, у 33,3% заниженная самооценка супруга и у 33,3 % завышенная оценка. У 17% преобладает восприятие супруга как дружелюбного , 83% воспринимают партнера как лидера.

Избегание как стиль поведения в конфликтной ситуации преобладает у 6 человек, при этом у 50% из них адекватное восприятие другого, и 50% занижено воспринимают супруга. У 83% преобладает восприятие супруга как дружелюбного, и 17% воспринимают как лидера.

Приспособление преобладает у 7 человек, при этом у 28,5% адекватное восприятие другого, у 28,5% заниженная самооценка и 43 % завышено оценивают супруга. У 57% преобладает восприятие другого как дружелюбного, 43% воспринимают партнера как лидера.

Заключение

Проблемы семьи и внутрисемейных отношений были актуальны всегда. Но особый интерес к вопросам семейной жизни появился в последние годы в связи с кризисным состоянием современной семьи. Многие ошибки, которые совершаются людьми, вступающими в брак, в значительной мере обусловлены незнанием основных проблем семейной жизни.

В теоретической части нами были рассмотрены понятия семьи и брака, функции и структура семьи. Как происходит процесс восприятия супругами друг друга, что влияет на совместимость и устойчивость брака, а так же причины возникновения конфликтов и способы их разрешения.

На основе работы с теоретическими источниками в первой главе, мы можем предположить, что семейное благополучие связано в первую очередь с тем, насколько психологически совместимыми оказываются друг с другом члены семьи. Совместимость связана не только с актуальным состоянием и личностными особенностями супругов, но также и с их опытом прошлой жизни, опытом межличностных отношений. Наиболее оптимальной является ситуация, когда опыт и усвоенный тип взаимоотношений супругов носят в целом позитивный характер, сходны, и не противоречат общесоциальной системе правил и норм взаимодействия и взаимоотношений. Положительная взаимооценка супругов является результатом взаимодействия, взаимоответственности, духовной близости, правильного взаимообщения и других факторов. Она заключается в способности распознать красоту, положительные качества других и давать им понять, что вы цените эти качества.

Совместная жизнь требует от супругов готовности к компромиссу, умения считаться с потребностями партнера, уступать друг другу, развивать в себе такие качества, как взаимное уважение, доверие, взаимопонимание. Принципиальным для взаимоотношений является вопрос выработки своего собственного стиля супружеского общения, включающего в себя способы контактов с окружающими, принятия решений, методов преодоления разногласий. Важной стороной взаимоотношений является психологическая адаптация супругов к условиям семейной жизни, и психологическим особенностям друг друга.

Всякие взаимоотношения, как деловые, так и сугубо личностные эффективны только при уступчивости и сдержанности сторон, честном партнерстве, обоюдном стремлении к улаживанию разногласий и конфликтов, если они случаются.

Анализируя, работы ученых посвященные конфликтам в семье мы можем сделать вывод, что назначение конфликта было и есть преодоление чрезмерно обострившихся противоречий, нахождение оптимального выхода из возникшего противостояния в условиях серьезного расхождения их интересов, оценок, целей. Недаром столь высоко ставится соблюдение выработанного за многие века «золотого правила», по которому человек в отношениях с другими должен проявлять лояльность, расположение, терпимость и добрую волю. Быть справедливым, дружелюбным, уважительным и вежливым, т. е. строить свое общение с окружающими на такой благожелательной основе, как взаимное доверие, надежность в словах и на деле.

В результате эмпирического исследования мы получили, что сотрудничество преобладает у 4 человек, при этом у50 % из них адекватное восприятие другого, у 50% заниженная оценка супруга. У 75% преобладает восприятие другого как дружелюбного партнера. Соперничество преобладает у одного человека, при этом у него оценка супруга занижена и восприятие супруга как лидера. Компромисс преобладает у 6 человек, при этом 83% воспринимают партнера как лидера. Избегание как стиль поведения в конфликтной ситуации преобладает у 6 человек, 83% преобладает восприятие супруга как дружелюбного. Приспособление преобладает у 7 человек, при этом у 57% преобладает восприятие другого как дружелюбного.

Корреляционный анализ показал низкую взаимосвязь между двумя переменными.

Таким образом, цель нашего исследования: теоретическое и эмпирическое исследование влияния особенностей взаимной перцепции в процессе общения супругов на выбор стратегии поведения в конфликтной ситуации достигнута.

Гипотеза заключавшаяся в предположении о том, что взаимная оценка супругов друг друга будет определять выбор стратегии поведения в конфликтной ситуации: чем выше оценивают качества супруга, тем ниже уровень агрессии в конфликтной ситуации не нашла своего подтверждения, восприятие другого человека не влияет на выбор стратегии в конфликтной ситуации.

Список литературы

1.   Аверин В.А. Психология личности: Учебное пособие.- СПб.: Изд-во Михайлова В.А.,1999. - 89с.

2.   Азаров Ю.П. Семейная педагогика. - СПб.: Питер, 2011. - 400с.

3.   Андреева Г.М. Социальная психология: Учебник для высших учебных заведений / Г.М. Андреева. - 5-е изд., испр. и доп.- М.: Аспект Пресс, 2006.-363с.

4.       Андреева Т. В. Семейная психология: Учеб. пособие. - СПб.: Речь, 2004. - 244с.

.        Бендас Т. В. Гендерная психология: Учебное пособие. - СПб.: Питер, 2006. - 431 с: ил. - (Серия «Учебное пособие»).

6.   Бойко В.В. Малодетная семья (социально-психологический аспект). - М.: Мысль, 1988. - 237с.

7.   Бойко В. В.Энергия эмоций в общении: взгляд на себя и на других - М: Информационно-издательский дом "Филинъ", 1996. - 472с.

8.   Варга А. Я., Драбкина Т. С. Системная семейная психотерапия. Краткий лекционный курс. СПб.: Речь, 2001. - 144с.

9.   Вердербер Р. Психология общения. Тайны эффективного взаимодействия / Вердербер Рудольф, Вердербер Кэтлин.- СПб.: Прайм - Еврознак, 2010.-416с.

10.     Волкова А.Н. Социально-психологические факторы супружеской совместимости // Дисс. канд. психол. наук. - СПб.: Ленинград, 1979.-141с.

11. Гордон Т. Повышение родительской эффективности // Популярная педагогика.- Екатеринбург: АРД ЛТД, 1997.- 327с.

.     Зритнева Е.И. Семьеведение: учебное пособие для студентов вузов, обучающихся по направлению подгот. и специальности «Соц. работа» / Е.И. Зритнева, Н.П. Клушина. - М.: Гуманитарный издательский центр ВЛАДОС, 2006. - 246с.

13.     Зритнева Е.И. Социология семьи: учебное пособие для студентов обучающихся по специальности «Социология» / Е.И. Зритнева - М.: Гуманитарный изд. центр ВЛАДОС, 2006. - 150с.

14. Карабанова О.А. Психология семейных отношений и основы семейного консультирования: Учебное пособие. - М.: Гардарики, 2005. - 320 с.

15. Коломинский Я.Л.Социальная психология взаимоотношений в малых группах. Учебное пособие для психологии, педагогики, социологии / Яков Львович Коломинский. - М.:АСТ, 2010. - 446с.

.     Конфликтология: Учебник / Под редакцией А.Я. Кибанова. 2-е изд., перераб. и доп. - М.: ИНФРА-М, 2005.-302с.

.     Левкович В.П., Зуськова О.Э. Социально-психологический подход к изучению супружеских конфликтов // Психологический журнал. Т.6.1985.

.     Малкина-Пых И.Г. Семейная терапия. - М.: Эксмо, 2008. - 992 с.

19.     Мещеряков Б.Г., Зинченко В.П. Большой психологический словарь. - М.: АСТ,2009. - 811с.

20. Обозов Н.Н. Межличностные отношения. - Л.: Издательство ЛГУ, 1979.- 160с.

21.     Обозов Н.Н., Обозова А.Н. Три подхода к исследованию психологической совместимости//Вопросы психологии.-1981.-№6

22. Обозов Н.Н, Обозова А.Н. Диагностика супружеских затруднений //Психологический журнал. - Т.З.-1982.-№2

23.     Общая психология: Курс лекций для первой ступени педагогического образования /Составитель Е.И. Рогов. - М.:ВЛАДОС, 1995.-448с.

.        Орлов А.Б. Психология личности и сущности человека: Парадигмы, проэкции, практики: Учебное пособие для студентов психологических факультетов вузов. - М.: Издательский центр «Академия», 2002. - 272с.

25. Основы психологии семьи и семейного консультирования: Учебное пособие для студ. высш. учеб. заведений / Под общ. ред.Н.Н. Посысоева. - М.: Изд-во ВЛАДОС-ПРЕСС, 2004. - 328 с.

26. Педагогика. Учебное пособие для студентов педагогических вузов и педагогических колледжей. Под ред. П.И. Пидкасистого. - М.: Российское педагогическое агентство, 1996.- 602с.

27.     Пезешкиан Н. Позитивная семейная психотерапия: семья как психотерапевт.- М.: Смысл, 1993.- 332с.

.        Петровская Л.А. Теоретические и методические проблемы социально-психологического тренинга.- М.: Издательство МГУ, 1982. - 168с.

29. Психология семьи: жизненные трудности и совладение с ними / Крюкова Т.Л., Сапоровская М.В., Куфтяк Е.В. - СПб.: Издательство Речь, 2005. - 240с.

30. Психология индивидуальных различий / под ред.Ю.Б. Гиппенрейтер, В.Я. Романова.- 3-е изд., перераб. и доп.- М.: АСТ: Астрель, 2008.-720с. - (Хрестоматия по психологии).

31.     Психологические тесты для профессионалов / авт. сост. Н.Ф. Гребень.-Минск: Соврем. шк., 2007.- 496с.

.        Психологическая энциклопедия. / Под ред. Корсини Р., Ауэрбах А. - СПб.: Питер, 2003. - 1096с.

33. Римский С., Римская Р. Практическая психология в тестах или как научиться понимать других. - М.: АСТ-ПРЕСС, 1998. - 376с.

34. Сатир В. Как строить себя и свою семью: Пер. с англ.: улучш. изд - М.: Педагогика-Пресс, 1992. - 192 с.

35.     Семья: психология, педагогика, социальная работа / Под ред. А.А. Реана. - М.: АСТ, 2010. - 576с.

36.     Скотт Дж.Г. Способы разрешения конфликтов.- СПб.: ВИС, 1994 .-210 с.

.        Сорокина, Т.Ф. Суслова / Под редакцией А.В. Морозова. - М.: Издательский центр «Академия», 2002. - 336с.

.        Соловьев Н.Я. Брак и семья сегодня. - Вильнюс: Минтис, 1977. - 164с.

.        Социальная конфликтология: Учебное пособие для студентов высших учебных заведений / Н.П. Дедов, А.В. Морозов, Е.Г. Сорокина, Т.Ф. Суслова/ Под ред. А.В. Морозова.- М.: Издательский центр «Академия», 2002.- 336с.

.        Степанов С.С. Популярная психологическая энциклопедия. - М.: Изд-во Эксмо,2005.- 672с.

.        Столяренко Л.Д. Основы психологии. 12-е издание. Учебное пособие / Л.Д. Столяренко. - Ростов н /Д: Феникс, 2005. - 672с.

42. Супружеская жизнь: гармония и конфликты / Составитель А. А. Богданович. - М.: Профиздат - 1990.-121с.

.     Сысенко В.А.Супружеские конфликты.- 2-е изд., перераб. и доп. - М.: Мысль, 1989.- 173,[2] с.

44. Хрестоматия по психологии: Учеб. пособие для студентов пед. ин-тов /Сост. В. В. Мироненко; Под ред. А. В. Петровского.- 2-е изд., перераб. и доп. - М.: Просвещение, 1987.- 447 с.

45. Хьелл Л., Зиглер Д. Теория личности - СПб.: Питер,2001.-608с.

46.     Целуйко В.М. Психология современной семьи: книга для педагогов и родителей / В.М. Целуйко. - М.: Гуманитарный издательский центр ВЛАДОС, 2006. - 287с.

47.     Шапарь Виктор Борисович <http://www.labirint.ru/authors/14482/>. Новейший психологический словарь. - Ростов н /Д: Феникс,2009.- 816с.

.        Шейнов В.П.Управление конфликтами: теория и практика / В.П. Шейнов.- Минск: Харвест, 2010.-912 с.

.        Шнейдер Л.Б.Семейная психология: Учебное пособие для вузов.2-е издание. - М.: Академический Проект; Екатеринбург: Деловая книга,2006.-768с.

50. Шуман С.Г., Шуман В.П. Конфликты в молодой семье: причины, пути устранения. - Мн.: Университетское, 1989.- 80с

51.     Юрчук В.В. Современный словарь по психологии. - Мн.: Элайда, 2000.-704с.

Приложение 1

По данным статистики, конфликты и разногласия в современных семьях происходят по следующим причинам:

·    Несходство взглядов и различие интересов - 43,3% семей.

·        Разногласия по финансовым вопросам - 35,4%.

·        Споры по вопросам воспитания детей - 32%.

·        Ревность супругов - 29,3%.

·        Отсутствие у супруга интереса к семье, нежелание помогать в домашних делах - 14,4%.

·        Вмешательство родителей и родственников - 12,8%.

·        Отсутствие сексуальной гармонии - 11%.

·        Алкоголизм супруга - 11%.

·    Грубость супруга, акты насилия - 7,9%.

Приложение 2

Методика исследования самооценки личности С.А. Будасси

Методика С.А. Будасси позволяет проводить количественное исследование самооценки личности, т.е. ее измерение. В основе данной методики лежит способ ранжирования.

Инструкция. Вам предлагается список из 48 слов, обозначающих свойства личности, из которых Вам необходимо выбрать 20, в наибольшей степени характеризующих эталонную личность (назовем ее «мой идеал») в Вашем преставлении. Естественно, что в этом ряду могут найти место и негативные качества.

Текст методики

1. Аккуратность

17. Легковерие

33. Педантичность

2. Беспечность

18. Медлительность

34. Радушие

3. Вдумчивость

19. Мечтательность

35. Развязность

4. Восприимчивость

20. Мнительность

36. Рассудительность

5. Вспыльчивость

21. Мстительность

37. Самокритичность

6. Гордость

22. Надежность

38. Сдержанность

7. Грубость

23. Настойчивость

39. Справедливость

8. Гуманность

24. Нежность

40. Сострадание

9. Доброта

25. Нерешительность

41. Стыдливость

10. Жизнерадостность

26. Несдержанность

42. Практичность

11. Заботливость

27. Обаяние

43. Трудолюбие

12. Завистливость

28. Обидчивость

44. Трусость

13.Застенчивость

29. Осторожность

45. Убежденность

14. Злопамятность

30. Отзывчивость

46. Увлеченность

15. Искренность

31. Подозрительность

47. Черствость

16. Капризность

32. Принципиальность

48. Эгоизм


Из двадцати отобранных свойств личности Вам необходимо построить эталонный ряд d1 в протоколе исследования, где на первых позициях располагаются наиболее важные, с Вашей точки зрения, положительные свойства личности, а последними - наименее желательные, отрицательные (20-й ранг - наиболее привлекательное качество, 19-й - менее и т. д. вплоть до 1 ранга). Следите, чтобы ни одна оценка-ранг не повторялась дважды.

Протокол исследования

Номер ранга эталона d1

Свойства личности

Номер ранга субъекта d2

Разность рангов D

Квадрат разности рангов d2

 

Σ d2 =


Из отобранных Вами ранее свойств личности постройте субъективный ряд d2, в котором расположите данные свойства по мере убывания их выраженности у Вас лично (20-й ранг - качество, присущее Вам в наибольшей степени, 19-й - качество, характерное для Вас несколько меньше, чем первое, и т. д.). Результат занесите в протокол исследования.

Обработка результатов

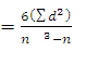
Цель обработки результатов - определение связи между ранговыми оценками качеств личности, входящими в представления «Я идеальное» и «Я реальное». Мера связи устанавливается с помощью коэффициента ранговой корреляции. Чтобы высчитать коэффициент, необходимо вначале найти разность рангов d1 - d2 по каждому качеству и занести полученный результат в колонку d в протокол исследования. Затем каждое полученное значение разности рангов d возвести в квадрат (d1 - d2)2 и записать результат в колонке d2. Подсчитайте общую сумму квадратов разности рангов Σ d2 и внесите ее в формулу

= l - 0,00075 x Σ d2,

где r - коэффициент корреляции (показатель уровня самооценки личности).

Интерпретация результатов

Коэффициент ранговой корреляции r может находиться в интервале от -1 до + 1. Если полученный коэффициент составляет не менее -0,37 и не более +0,37 (при уровне достоверности равном 0,05), то это указывает на слабую незначительную связь (или ее отсутствие) между представлениями человека о качествах своего идеала и о реальных качествах. Такой показатель может быть обусловлен и несоблюдением испытуемым инструкции, но если она выполнялась, то низкие показатели означают нечеткое и недифференцированное представление человеком о своем идеальном Я и Я реальном. Значение коэффициента корреляции от +0,38 до +1 - свидетельство наличия значимой положительной связи между Я идеальным и Я реальным. Это можно трактовать как проявление адекватной самооценки или, при г от +0,39 до +0,89, как тенденция к завышению. Значения же от +0,9 до +1 часто выражают неадекватно завышенное самооценивание. Значение коэффициента корреляции в интервале от -0,38 до -1 говорит о наличии значимой отрицательной связи между Я идеальным и Я реальным (отражает несоответствие или расхождение представлений человека о том, каким он хочет быть, и тем, какой он в реальности). Это несоответствие предлагается интерпретировать как заниженную самооценку. Чем ближе коэффициент к -1, тем больше степень несоответствия.

В предложенной методике исследования самооценки ее уровень и адекватность определяются как отношение между Я идеальным и Я реальным. Представления человека о самом себе, как правило, кажутся ему убедительными независимо от того, основываются ли они на объективном знании или на субъективном мнении, являются ли они истинными или ложными. Качества, которые человек приписывает самому себе, далеко не всегда адекватны. Процесс самооценивания может происходить двумя путями: 1) путем сопоставления уровня своих притязаний с объективными результатами своей деятельности и 2) путем сравнения себя с другими людьми. Однако независимо от того, лежат ли в основе самооценки собственные суждения человека о себе или интерпретации суждений других людей, индивидуальные идеалы или культурно-заданные стандарты, самооценка всегда носит субъективный характер; при этом ее показателями могут выступать адекватность и уровень.

Адекватность самооценивания выражает степень соответствия представлений человека о себе объективным основаниям этих представлений. Уровень самооценки выражает степень реальных и идеальных, или желаемых, представлений о себе. Адекватную самооценку (с тенденцией к завышению) можно приравнять к позитивному отношению к себе, к самоуважению, принятию себя, ощущению собственной полноценности. Низкая самооценка (с тенденцией к занижению), наоборот, может быть связана с негативным отношением к себе, неприятием себя, ощущением собственной неполноценности.

В процессе формирования Самооценки важную роль играет сопоставление образов реального Я и Я идеального. Поэтому тот, кто достигает в реальности характеристик, соответствующих идеалу, будет иметь высокую самооценку. Если же человек «эффективно» рефлексирует разрыв между этими характеристиками и реальностью своих достижений, его самооценка, по всей вероятности, будет низкой.

Самооценка и отношение человека к себе тесно связаны с уровнем притязаний, мотиваций и эмоциональными особенностями личности. От самооценки зависит интерпретация приобретенного опыта и ожидания человека относительно самого себя и других людей.

Отчет по результатам исследования особенностей самооценки

Проинтерпретируйте индивидуальные результаты исследования особенностей самооценки, используя для этого таблицу.

Индивидуальные результаты исследования особенностей самооценки

Уровни выраженности показателей самооценки

Проявления самооценки


в обыденном поведении

в общении в студенческой группе (трудовом коллективе)

в учебной (профессиональной) деятельности

От 4 - 1,0 до + 0,85

Самооценка высокая Неадекватная

 

 

 

От + 0,84 до + 0,53

Самооценка высокая Адекватная

 

 

 

От + 0,52 до -0,1

Самооценка средняя Адекватная

 

 

 

От -0,09 до -0,32

Самооценка низкая Адекватная

 

 

 

От -0,33 до -1,0

Самооценка низкая Неадекватная

 

 

 


Характеристика поведения личности в зависимости от ее самооценки

Люди с завышенной самооценкой гипертрофированно оценивают свои достоинства, ставят перед собой более высокие цели, чем те, которые они могут реально достигнуть, у них высокий уровень притязаний, не соответствующий их реальным возможностям. Здоровые качества личности: достоинство, гордость, самолюбие - перерождаются в высокомерие, тщеславие, эгоцентризм.

Неадекватная самооценка своих возможностей и завышенный уровень притязаний обуславливают чрезмерную самоуверенность. Развитие излишней самоуверенности может выступать следствием соответствующего стиля воспитания в семье и школе. Незаслуженные похвалы и поощрения способствуют формированию у такого человека сознания исключительности, искаженного представления о собственных возможностях, необъективной оценки результатов своей деятельности. Самоуверенные люди не склонны к самоанализу. Вкупе с не критичностью мышления, недисциплинированностью, отсутствием необходимого самоконтроля это ведет к принятию ошибочных решений и осуществлению рисковых поступков. Дальнейшая утрата чувства необходимой осторожности отрицательно влияет на безопасность, надежность и эффективность всей жизнедеятельности человека. Отсутствие или недостаточная потребность в самосовершенствовании затрудняет включение их в процесс самовоспитания.

Люди с заниженной самооценкой обычно ставят перед собой более низкие цели, чем те, которые могут достигнуть, преувеличивая значение неудач. При заниженной самооценке человек характеризуется другой крайностью, противоположной самоуверенности, - чрезмерной неуверенностью в себе. Неуверенность, часто объективно необоснованная, является устойчивым качеством личности и ведет к формированию у человека таких черт, как смирение, пассивность, «комплекс неполноценности». Это отражается и во внешнем виде человека: голова втянута в плечи, походка нерешительная, он хмур, неулыбчив. Окружающие иногда принимают такого человека за сердитого, злого, неконтактного и следствием этого становится изоляция от людей, одиночество.

Развитию неуверенности в себе могут способствовать и некоторые субъективные факторы: тип высшей нервной деятельности, черты темперамента и т. д.

Например, неуверенность выступает в качестве одной из характеристик тревожности. Преодоление неуверенности через процесс самовоспитания затруднено из-за неверия человека в свои возможности, перспективы и конечный результат.

Наиболее благоприятна адекватная самооценка, предполагающая равное признание человеком как своих достоинств, так и недостатков. В основе оптимальной самооценки, выражающейся через положительное свойство личности - уверенность, лежат необходимый опыт и соответствующие знания. Уверенность в себе позволяет человеку регулировать уровень притязаний и правильно оценивать собственные возможности применительно к различным жизненным ситуациям. Уверенного человека отличают решительность, твердость, умение находить и принимать логические решения, последовательно их реализовывать.

Уверенный человек критически относится к допущенным ошибкам, анализируя их причины, с тем, чтобы не повторить их вновь. Отсюда вывод: надо стремиться развивать у себя адекватную самооценку на основе самопознания.

Познав и оценив себя, человек может более сознательно, а не стихийно управлять своим поведением и заниматься самовоспитанием.

Приложение 3

Методика диагностики межличностных отношений Лири

Описание методики

Данная методика разработана Т.Лири <http://www.psylab.info/%D0%9B%D0%B8%D1%80%D0%B8,_%D0%A2%D0%B8%D0%BC%D0%BE%D1%82%D0%B8> (1954 г.) и предназначена для исследования представлений субъекта о себе и идеальном "Я", а также для изучения взаимоотношений в малых группах. С ее помощью выявляется преобладающий тип отношений к людям в самооценке и взаимооценке. При этом выделяется два фактора: "доминирование-подчинение" и "дружелюбие-агрессивность(враждебность)".

Именно эти факторы определяют общее впечатление о человеке в процессах межличностного восприятия.

В зависимости от соответствующих показателей выделяются ряд ориентаций - типов отношения к окружающим. Делаются выводы о выраженности типа, о степени адаптированности поведения - степени соответствия (несоответствия) между целями и достигаемыми в процессе деятельности результатами. Очень большая неадаптивность поведения (при представлении результатов выделяется красным цветом) может свидетельствовать о невротических отклонениях, дисгармониях в сфере принятия решений или являться результатом каких-либо экстремальных ситуаций.

Методика может использоваться как для самооценки, так и для оценки наблюдаемого поведения людей ("со стороны"). В последнем случае испытуемый отвечает на вопросы как бы за другого человека, основываясь на своем представлении о нем. Суммируя результаты такого тестирования разных членов группы (например, трудового коллектива) можно составить обобщенный "представленческий" портрет какого-либо ее члена, например, лидера. И делать выводы об отношении к нему других членов группы.

Теоретические основы

Методика создана Т. Лири, Г. Лефоржем, Р. Сазеком в 1954 г. и предназначена для исследования представлений субъекта о себе и идеальном "Я", а также для изучения взаимоотношений в малых группах. С помощью данной методики выявляется преобладающий тип отношений к людям в самооценке и взаимооценке.

При исследовании межличностных отношений наиболее часто выделяются два фактора: доминирование-подчинение и дружелюбие-агрессивность. Именно эти факторы определяют общее впечатление о человеке в процессах межличностного восприятия. Они названы М. Аргайлом в числе главных компонентов при анализе стиля межличностного поведения и по содержанию могут быть соотнесены с двумя из трех главных осей семантического дифференциала Ч. Осгуда: оценка и сила. В многолетнем исследовании, проводимом американскими психологами под руководством Б. Бейлза, поведение члена группы оценивается по двум переменным, анализ которых осуществляется в трехмерном пространстве, образованном тремя осями: доминирование-подчинение, дружелюбие-агрессивность, эмоциональность- аналитичность.

Для представления основных социальных ориентации Т. Лири разработал условную схему в виде круга, разделенного на секторы. В этом круге по горизонтальной и вертикальной осям обозначены четыре ориентации: доминирование-подчинение, дружелюбие-враждебность. В свою очередь, эти секторы разделены на восемь - соответственно более частным отношениям. Для еще более тонкого описания круг делят на 16 секторов, но чаще используются октанты, определенным образом ориентированные относительно двух главных осей.

Схема Т. Лири основана на предположении, что чем ближе оказываются результаты испытуемого к центру окружности, тем сильнее взаимосвязь этих двух переменных. Сумма баллов каждой ориентации переводится в индекс, где доминируют вертикальная (доминирование-подчинение) и горизонтальная (дружелюбие-враждебность) оси. Расстояние полученных показателей от центра окружности указывает на адаптивность или экстремальность интерперсонального поведения.

Опросник содержит 128 оценочных суждений, из которых в каждом из 8 типов отношений образуются 16 пунктов, упорядоченных по восходящей интенсивности. Методика построена так, что суждения, направленные на выяснение какого-либо типа отношений, расположены не подряд, а особым образом: они группируются по 4 и повторяются через равное количество определений. При обработке подсчитывается количество отношений каждого типа.

Т. Лири предлагал использовать методику для оценки наблюдаемого поведения людей, т.е. поведения в оценке окружающих ("со стороны"), для самооценки, оценки близких людей, для описания идеального "Я". В соответствии с этими уровнями диагностики меняется инструкция для ответа. Разные направления диагностики позволяют определить тип личности, а также сопоставлять данные по отдельным аспектам. Например, "социальное "Я", "реальное "Я"", "мои партнеры" и т.д.

Процедура проведения

Инструкция

"Вам будут представлены суждения, касающиеся характера человека, его взаимоотношений с окружающими людьми. Внимательно прочтите каждое суждение и оцените, соответствует ли оно Вашему представлению о себе.

Поставьте на бланке ответов знак " + " против номеров тех определений, которые соответствуют Вашему представлению о себе, и знак " - " против номеров тех утверждений, которые не соответствуют Вашему представлению о себе. Старайтесь быть искренним. Если нет полной уверенности, знак " + " не ставьте.

После оценивания своего реального "Я" вновь прочтите все суждения и отметьте те из них, которые соответствуют Вашему представлению о том, каким Вам, по Вашему мнению, следовало бы быть в идеале".

Если необходимо оценить личность кого-то другого, то дается дополнительная инструкция: "Таким же образом, как и в первых двух вариантах, дайте оценку личности Вашего начальника (сослуживца, подчиненного: 1. "Мой начальник, такой, какой он есть на самом деле"; 2. "Мой идеал начальника").

Методика может быть представлена респонденту либо списком (по алфавиту или в случайном порядке), либо на отдельных карточках. Ему предлагается указать те утверждения, которые соответствуют его представлению о себе, относятся к другому человеку или его идеалу.

Обработка результатов

На первом этапе обработки данных производится подсчет баллов по каждой октанте с помощью ключа к опроснику.

1.   Авторитарный: 1 - 4, 33 - 36, 65 - 68, 97 - 100.

2.       Эгоистичный: 5 - 8, 37 - 40, 69 - 72, 101 - 104.

.        Агрессивный: 9 - 12, 41 - 44, 73 - 76, 105 - 108.

.        Подозрительный: 13 - 16, 45 - 48, 77 - 80, 109 - 112.

.        Подчиняемый: 17 - 20, 49 - 52, 81 - 84, 113 - 116.

.        Зависимый: 21 - 24, 53 - 56, 85 - 88, 117 - 120.

.        Дружелюбный: 25 - 28, 57 - 60, 89 - 92, 121 - 124.

.        Альтруистический: 29 - 32, 61 - 64, 93 - 96, 125 - 128.

На втором этапе полученные баллы переносятся на диаграмму, при этом расстояние от центра круга соответствует числу баллов по данной октанте (минимальное значение - 0, максимальное - 16). Концы таких векторов соединяются и образуют профиль, отражающий представление о личности данного человека. Очерченное пространство заштриховывается. Для каждого представления строится отдельная диаграмма, на которой оно характеризуется по выраженности признаков каждой октанты.

Психограмма

На третьем этапе с помощью формул определяются показатели по двум основным параметрам «Доминирование» и «Дружелюбие»:

Доминирование = (I - V) + 0,7 х (VIII + II - IV - VI)

Дружелюбие = (VII - III) + 0,7 х (VIII - II - IV + VI)

Таким образом, система баллов по 16 межличностным переменным превращается в два цифровых индекса, которые характеризуют представление субъекта по обозначенным параметрам.

В результате проводится анализ личностного профиля - определяются типы отношения к окружающим.

Интерпретация результатов

Подсчет баллов ведется отдельно для каждой оцениваемой личности. Показателем нарушения отношений с определенным лицом является разница между представлениями человека о нем и желаемом его образе в качестве партнера по общению.

Максимальная оценка уровня - 16 баллов, но она разделена на четыре степени выраженности отношения:

0-4 балла - низкая:

адаптивное поведение

5-8 баллов - умеренная:


9-12 баллов - высокая:

экстремальное поведение

13-16 баллов - экстремальная:

до патологии поведение


Положительное значение результата, полученного по формуле "доминирование", свидетельствует о выраженном стремлении человека к лидерству в общении, к доминированию. Отрицательное значение указывает на тенденцию к подчинению, отказу от ответственности и позиции лидерства.

Положительный результат по формуле "дружелюбие" является показателем стремления личности к установлению дружелюбных отношений и сотрудничеству с окружающими. Отрицательный результат указывает на проявление агрессивно-конкурентной позиции, препятствующей сотрудничеству и успешной совместной деятельности. Количественные результаты являются показателями степени выраженности этих характеристик.

Наиболее заштрихованные на профиле октанты соответствуют преобладающему стилю межличностных отношений данного индивида. Характеристики, не выходящие за пределы 8 баллов, свойственны гармоничным личностям. Показатели, превышающие 8 баллов, свидетельствуют об акцентуации свойств, выявляемых данным октантом. Баллы, достигающие уровня 14-16 , свидетельствуют о трудностях социальной адаптации. Низкие показатели по всем октантам ( 0-3 балла) могут быть результатом скрытности и не откровенности испытуемого. Если в психограмме нет октантов, заштрихованных выше 4-х баллов, то данные сомнительны в плане их достоверности: ситуация диагностики не расположила к откровенности.

Первые четыре типа межличностных отношений (октанты 1-4) характеризуются тенденцией к лидерству и доминированию, независимостью мнения, готовностью отстаивать собственную точку зрения в конфликте. Другие четыре октанта (5-8) - отражают преобладание конформных установок, неуверенность в себе, податливость мнению окружающих, склонность к компромиссам.

В целом интерпретация данных должна ориентироваться на преобладание одних показателей над другими и в меньшей степени - на абсолютные величины. В норме обычно не наблюдаются значительные расхождения между «Я» актуальным и идеальным. Умеренное расхождение может рассматриваться как необходимое условие самосовершенствования.

Неудовлетворенность собой чаще наблюдается у лиц с заниженной самооценкой (5,6,7 октанты), а также у лиц, находящихся в ситуации затянувшегося конфликта (4 октант). Преобладание одновременно 1 и 5 октанта свойственно лицам с проблемой болезненного самолюбия, авторитарности, 4 и 8 - конфликт между стремлением к признанию группой и враждебностью, т.е. проблема подавленной враждебности, 3 и 7 -борьба мотивов самоутверждения и аффилиации, 2 и 6 - проблема независимости-подчиняемости, возникающая в сложной служебной или иной ситуации, вынуждающей повиноваться вопреки внутреннему протесту.

Личности, у которых обнаруживаются доминантные, агрессивные и независимые черты поведения, значительно реже проявляют недовольство своим характером и межличностными отношениями, однако и у них может выявляться тенденция к совершенствованию своего стиля межличностного взаимодействия с окружением. При этом возрастание показателей того или иного октанта определит направление, по которому самостоятельно движется личность в целях самосовершенствования, степень осознания имеющихся проблем, наличие внутриличностных ресурсов.

Типы межличностных отношений . Авторитарный

- 16 - диктаторский, властный, деспотический характер, тип сильной личности, которая лидирует во всех видах групповой деятельности. Всех наставляет, поучает, во всем стремится полагаться на свое мнение, не умеет принимать советы других. Окружающие отмечают эту властность, но признают ее.

- 12 - доминантный, энергичный, компетентный, авторитетный лидер, успешный в делах, любит давать советы, требует к себе уважения. 0-8 - уверенный в себе человек, но не обязательно лидер, упорный и настойчивый. . Эгоистичный

- 16 - стремится быть над всеми, но одновременно в стороне от всех, самовлюбленный, расчетливый, независимый, себялюбивый. Трудности перекладывает на окружающих, сам относится к ним несколько отчужденно, хвастливый, самодовольный, заносчивый.

- 12 - эгоистические черты, ориентация на себя, склонность к соперничеству. . Агрессивный

- 16 - жесткий и враждебный по отношению к окружающим, резкий, жесткий, агрессивность может доходить до асоциального поведения.

- 12 -требовательный, прямолинейный, откровенный, строгий и резкий в оценке других, непримиримый, склонный во всем обвинять окружающих, насмешливый, ироничный, раздражительный.

- 8 - упрямый, упорный, настойчивый и энергичный. . Подозрительный

- 16 - отчужденный по отношению к враждебному и злобному миру, подозрительный, обидчивый, склонный к сомнению во всем, злопамятный, постоянно на всех жалуется, всем недоволен (шизоидный тип характера).

- 12 - критичный, необщительный, испытывает трудности в интерперсональных контактах из-за неуверенности в себе, подозрительности и боязни плохого отношения, замкнутый, скептичный, разочарованный в людях, скрытный, свой негативизм проявляет в вербальной агрессии.

- 8 - критичный по отношению ко всем социальным явлениям и окружающим людям. . Подчиняемый

- 16 - покорный, склонный к самоунижению, слабовольный, склонный уступать всем и во всем, всегда ставит себя на последнее место и осуждает себя, приписывает себе вину, пассивный, стремится найти опору в ком-либо более сильном.

- 12 -застенчивый, кроткий, легко смущается, склонен подчиняться более сильному без учета ситуации.

- 8 - скромный, робкий, уступчивый, эмоционально сдержанный, способный подчиняться, не имеет собственного мнения, послушно и честно выполняет свои обязанности. . Зависимый

- 16 - резко неуверенный в себе, имеет навязчивые страхи, опасения, тревожится по любому поводу, поэтому зависим от других, от чужого мнения. 9-12 - послушный, боязливый, беспомощный, не умеет проявить сопротивление, искренне считает, что другие всегда правы.

- 8 - конформный, мягкий, ожидает помощи и советов, доверчивый, склонный к восхищению окружающими, вежливый. . Дружелюбный

- 16 - дружелюбный и любезный со всеми, ориентирован на принятие и социальное одобрение, стремится удовлетворить требования всех, "быть хорошим" для всех без учета ситуации, стремится к целям микрогрупп имеет развитые механизмы вытеснения и подавления, эмоционально лабильный (истероидный тип характера).

- 8 - склонный к сотрудничеству, кооперации, гибкий и компромиссный при решении проблем и в конфликтных ситуациях, стремится быть в согласии с мнением окружающих, сознательно конформный, следует условностям, правилам и принципам "хорошего тона" в отношениях с людьми, инициативный энтузиаст в достижении целей группы, стремится помогать, чувствовать себя в центре внимания, заслужить признание и любовь, общительный, проявляет теплоту и дружелюбие в отношениях. . Альтруистический

- 16 - гиперответственный, всегда приносит в жертву свои интересы, стремится помочь и сострадать всем, навязчивый в своей помощи и слишком активный по отношению к окружающим, принимает на себя ответственность за других (может быть только внешняя "маска", скрывающая личность противоположного типа).

- 8 - ответственный по отношению к людям, деликатный, мягкий, добрый, эмоциональное отношение к людям проявляет в сострадании, симпатии, заботе, ласке, умеет подбодрить и успокоить окружающих, бескорыстный и отзывчивый.

Первые четыре типа межличностных отношений -1, 2, 3 и 4 - характеризуются преобладанием неконформных тенденций и склонностью к дезъюктивным (конфликтным) проявлениям (3, 4), большей независимостью мнения, упорством в отстаивании собственной точки зрения, тенденцией к лидерству и доминированию (1, 2).

Другие четыре октанта - 5, 6, 7, 8 - представляют противоположную картину: преобладание конформных установок, конгруэнтность в контактах с окружающими (7, 8), неуверенность в себе, податливость мнению окружающих, склонность к компромиссам (5, 6).

Приложение 4

Тест Томаса - типы поведения в конфликте

Одной из самых распространенных методик диагностики поведения личности в конфликтной ситуации (точнее, в конфликте интересов <http://www.psychologos.ru/Конфликт_интересов>) является опросник Кеннета Томаса (Kenneth Thomas) "Определение способов регулирования конфликтов". К. Томас исходил из того, что людям не следует избегать конфликтов или разрешать их любой ценой, а требуется уметь грамотно ими управлять. Он совместно с Ральфом Килманном (Ralph Kilmann) предложил двухмерную модель регулирования конфликтов, одно измерение которой - поведение личности, основанное на внимании к интересам других людей; второе - поведение, подразумевающее игнорирование целей окружающих и защиту собственных интересов.

Для описания типов поведения людей в конфликтах (точнее, в конфликте интересов) К. Томас считает применимой двухмерную модель регулирования конфликтов, основополагающими в которой являются кооперация, связанная с вниманием человека к интересам других людей, вовлеченных в ситуацию, и напористость, для которой характерен акцент на собственных интересах.

Выделяется пять способов регулирования конфликтов, обозначенные в соответствии с двумя основополагающими измерениями (кооперация и напористость):

1. Соревнование (конкуренция) - стремление добиться своих интересов в ущерб другому.

2.       Приспособление - принесение в жертву собственных интересов ради другого.

.        Компромисс - соглашение на основе взаимных уступок; предложение варианта, снимающего возникшее противоречие.

.        Избегание - отсутствие стремления к кооперации и отсутствие тенденции к достижению собственных целей.

.        Сотрудничество - участники ситуации приходят к альтернативе, полностью удовлетворяющей интересы обеих сторон.

В своем опроснике по выявлению типичных форм поведения К.Томас описывает каждый из пяти перечисленных возможных вариантов 12 суждениями о поведении индивида в конфликтной ситуации. В различных сочетаниях они сгруппированы в 30 пар, в каждой из которых респонденту предлагается выбрать то суждение, которое является наиболее типичным для характеристики его поведения.

Ответы на вопросы заносятся в бланк.

Текст опросника

Инструкция: Перед вами ряд утверждений, которые помогут определить некоторые особенности вашего поведения. Здесь не может быть ответов «правильных» или «ошибочных». Люди различны, и каждый может высказать свое мнение.

Имеются два варианта, А и В, из которых вы должны выбрать один, в большей степени соответствующий вашим взглядам, вашему мнению о себе. В бланке для ответов поставьте отчетливый крестик соответственно одному из вариантов (А или В) для каждого утверждения. Отвечать надо как можно быстрее.

. А. Иногда я предоставляю возможность другим взять на себя ответственность за решение спорного вопроса. В. Чем обсуждать, в чем мы расходимся, я стараюсь обратить внимание на то, с чем мы оба согласны.

. А. Я стараюсь найти компромиссное решение. В. Я пытаюсь уладить дело с учетом всех интересов другого и моих собственных.

. А. Обычно я настойчиво стремлюсь добиться своего. В. Я стараюсь успокоить другого и, главным образом, сохранить наши отношения.

. А. Я стараюсь найти компромиссное решение. В. Иногда я жертвую своими собственными интересами ради интересов другого человека.

. А. Улаживая спорную ситуацию, я все время стараюсь найти поддержку у другого. В. Я стараюсь сделать все, чтобы избежать бесполезной напряженности.

. А. Я пытаюсь избежать неприятностей для себя. В. Я стараюсь добиться своего.

. А. Я стараюсь отложить решение спорного вопроса, с тем чтобы со временем решить его окончательно. В. Я считаю возможным в чем-то уступить, чтобы добиться другого.

. А. Обычно я настойчиво стремлюсь добиться своего. В. Я первым делом стараюсь ясно определить то, в чем состоят все затронутые интересы.

. А. Думаю, что не всегда стоит волноваться из-за каких-то возникающих разногласий. В. Я прилагаю усилия, чтобы добиться своего.

. А. Я твердо стремлюсь достичь своего. В. Я пытаюсь найти компромиссное решение.

. А. Первым делом я стараюсь ясно определить, в чем состоят все затронутые спорные вопросы. В. Я стараюсь успокоить другого и, главным образом, сохранить наши отношения.

. А. Зачастую я избегаю занимать позицию, которая может вызвать споры. В. Я даю возможность другому в чем-то остаться при своем мнении, если он тоже идет навстречу мне.

. А. Я предлагаю среднюю позицию. В. Я настаиваю, чтобы было сделано по-моему.

. А. Я сообщаю другому свою точку зрения и спрашиваю о его взглядах. В. Я пытаюсь показать другому логику и преимущества моих взглядов.

. А. Я стараюсь успокоить другого и, главным образом, сохранить наши отношения. В. Я стараюсь сделать так, чтобы избежать напряженности.

. А. Я стараюсь не задеть чувств другого. В. Я пытаюсь убедить другого в преимуществах моей позиции.

. А. Обычно я настойчиво стараюсь добиться своего. В. Я стараюсь сделать все, чтобы избежать бесполезной напряженности.

. А. Если это сделает другого счастливым, дам ему возможность настоять на своем. В. Я даю возможность другому в чем-то остаться при своем мнении, если он также идет мне навстречу.

. А. Первым делом я стараюсь ясно определить то, в чем состоят все затронутые вопросы и интересы. В. Я стараюсь отложить решение спорного вопроса с тем, чтобы со временем решить его окончательно.

. А. Я пытаюсь немедленно преодолеть наши разногласия. В. Я стараюсь найти наилучшее сочетание выгод и потерь для обеих сторон.

. А. Ведя переговоры, я стараюсь быть внимательным к желаниям другого. В. Я всегда склоняюсь к прямому обсуждению проблемы и их совместному решению.

. А. Я пытаюсь найти позицию, которая находится посередине между моей позицией и точкой зрения другого человека. В. Я отстаиваю свои желания.

. А. Как правило, я озабочен тем, чтобы удовлетворить желания каждого из нас. В. Иногда я предоставляю возможность другим взять на себя ответственность за решение спорного вопроса.

. А. Если позиция другого кажется мне очень важной, я постараюсь пойти навстречу его желаниям. В. Я стараюсь убедить другого прийти к компромиссу.

. А. Я пытаюсь показать другому логику и преимущества моих взглядов. В. Ведя переговоры, я стараюсь быть внимательным к желаниям другого.

. А. Я предлагаю среднюю позицию. В. Я почти всегда озабочен тем, чтобы удовлетворить желания каждого из нас.

. А. Зачастую я избегаю занимать позицию, которая может вызвать споры. В. Если это сделает другого счастливым, я дам ему возможность настоять на своем.

. А. Обычно я настойчиво стремлюсь добиться своего. В. Улаживая ситуацию, я обычно стараюсь найти поддержку у другого.

. А. Я предлагаю среднюю позицию. В. Думаю, что не всегда стоит волноваться из-за каких-то возникающих разногласий.

. А. Я стараюсь не задеть чувств другого. В. Я всегда занимаю такую позицию в спорном вопросе, чтобы мы совместно с другим человеком могли добиться успеха.

 

Бланк опросника

А

В

А

В

А

в

1



11



21



2



12



22



3



13



23



4



14



24



5



15



25



6



16



26



7



17



27



8



18



28



9



19



29



10



20



30



 

Ключ к опроснику

1. Соперничество: ЗА, 6В, 8А, 9В, 10А, 13В, 14В, 16В, 17А, 22В, 25А, 28А.

. Сотрудничество: 2В, 5А, 8В, ПА, 14А, 19А, 20А, 21В, 23В, 26В, 28В, ЗОВ.

. Компромисс: 2А, 4А, 7В, 10В, 12В, 13А, 18В, 22А, 23А, 24В, 26А, 29А.

. Избегание: 1А, 5В, 6А, 7А, 9А, 12А, 15В, 17В, 19В, 20В, 27А, 29В.

. Приспособление: 1В, ЗВ, 4В, 11В, 15А, 16А, 18А, 21 А, 24А, 25В, 27В, 30А.

Обработка результатов

В ключе каждый ответ «А» или «В» дает представление о количественном выражении: соперничества, сотрудничества, компромисса, избегания и приспособления. Если ответ совпадает с указанным в ключе, ему присваивается значение 1, если не совпадает, то присваивается значение 0. Количество баллов, набранных индивидом по каждой шкале, дает представление о выраженности у него тенденции к проявлению соответствующих форм поведения в конфликтных ситуациях.

Похожие работы на - Влияние перцептивных особенностей супругов на стиль поведения в конфликтной ситуации

 

Не нашли материал для своей работы?
Поможем написать уникальную работу
Без плагиата!
Без нейросетей!