|
Метод расчета
|
Значения, дм3
|
Погрешность в %
|
|
Таблицы стрельбы
|
12,5
|
0
|
|
Аналитический расчет
|
13,98
|
11,18
|
|
SolidWorks 2010
|
14,11
|
12,88
|
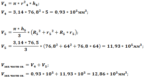
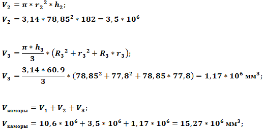
Вывод: Из таблицы видно, что погрешность расчетов обоих методов лежит в
пределах 11,5%. Различия с данными из таблицы стрельбы объясняются тем, что в
наших расчетах не был учтен объем материала самой гильзы. Если его учесть, то
наши расчеты попадут в диапазон 5%, а значит, оба метода приемлемы для
расчета.
2 Расчет приведенной ширины ведущего пояска
Диаметр канала ствола по дну нарезов:
где d - диаметр по полю нарезов канала
ствола (d=152,4 мм), t - глубина нарезки (t=1,5).
Форсирование пояска снаряда:
где
- диаметр ведущего пояска (
.
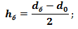
Глубина канавки за пояском:
где
- диаметр канавки за пояском.
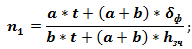
Коэффициент учета нарезов и форсирования пояска:
где
- ширина поля нареза (a=3,0 мм),
- ширина нареза (
=6,97 мм).
Буртик ведущего пояска:

Коэффициент учета буртика:
где
- ширина буртика (
=3 мм),
- ширина ведущего пояска (В=35 мм).
Глубина канавки:
где
- диаметр по дну канавки (
=152,4 мм).

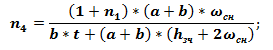
Коэффициент учета канавок:
где
- ширина канавки (
=2,5 мм),
- количество канавок (
=1).
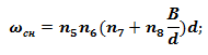
Максимальный прогиб корпуса снаряда:
Где n5=0,65- коэффициент учета снаряжения;
n6=1,5 - коэффициент учета пояска;
n7=-2,2*10-3и n8=30*10-3- коэффициенты для тонких стальных
оболочек;
В=35мм - ширина пояска.
Коэффициент учета прогиба оболочки
снаряда:
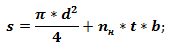
Площадь поперечного сечения канала ствола:
где
- число нарезов (
48).
Приведенный диаметр канала ствола:
Приведенная ширина пояска до форсирования:
где:
где
- диаметр первого скоса (верхнего),
- угол скоса (tgαск1=0,726).
где
- диаметр второго скоса (нижнего),
- угол скоса (tgαск2=0,577)

Приведенная ширина пояска после форсирования:
3 Расчет геометрических параметров и баллистических
характеристик порохового зерна
Геометрические параметры:
Для метания снаряда 3ОФ4 используется порох марки НДТ-3 16/1 -
нитроглицериновый порох одноканальный со сводом горения 1,6 мм.
НДТ-3 16/1 (горит в одну стадию):
Диаметр порохового зерна:
где d - диаметр отверстия в пороховом
зерне (d=2*е1 для одноканального зерна).
Длина порохового зерна: 2*с=690(так как в гильзе расположен один пучок).
Геометрические характеристики:
где а - ширина порохового зерна, для одноканального пороха ее нет.
Баллистические характеристики пороха:
Теплота взрывчатого превращения пироксилинового пороха Qw=4600(кДж/кг)=1097,85 ккал/кг.
Скорость горения пороха:
Сила пороха:
Коволюм:
Параметр расширения пороховых газов:
Температура горения:
Конечный импульс:
Результаты расчета сведены с таблицу (3.1).
Таблица 3.1 - баллистические
характеристики
|
Параметр
|
Значение
|
|
Т1, К
|
3508,76
|
|
f, Дж/кг
|
1118430
|
|
, м3*10-3/кг
|
0,96
|
|
|
0,357
|
|
u1
|
0.5*10-6
|
|
Ik, кПа*c
|
1577
|
. Расчет параметров по программе «Врезание»
Данные для программы:
Рисунок 3 - Исходные данные
Результаты программы:
Рисунок 4 - Суммарная площадь контакта пояска
Рисунок 5 - Суммарная сила врезания пояска
5. Расчет параметров по программе «Vnutr_BALL»
Предварительные расчеты:
Давление форсирования вычисляется по формуле:
где
- ширина эквивалентного пояска прямоугольного профиля после
его обжатия; коэффициенты
- учитывают зависимость давления форсирования от
дополнительных факторов:
(для 1 ведущего пояска) - зависит от конструкции поясков;
=35 МПа (для меди при
технологическом наклепе)- зависит от механических свойств материала и покрытия
пояска;
=4,012 (зависит от относительной
массы метательного заряда:
выбирается из таблицы);
=25 - зависит от способа заряжания
орудия;
- величина давления пороховых газов
в момент начала движения снаряда; d=0,1524м - калибр изделия.
В случае раздельного заряжания орудия, когда усилие извлечения снаряда
неизвестно, воспользуемся эмпирической формулой:

Данные для ввода в программу:
Рисунок 6 - Исходные данные
Результаты расчета программы:
Рисунок 7 - График скорости
Рисунок 8 - График относительной массы сгоревшего пороха
Рисунок 9 - График давления на дно снаряда, среднебаллистического
давления, давления на дно канала ствола.
Список литературы
1. Внутренняя
баллистика периода формирования: Учебное пособие. 2-е издание, доп./ Е. В.
Чербанов; Балтийский государственные технический университет. СПб., 1997. 192
с. ISBN 5-85546-117-3.
. Внутренняя
баллистика и автоматизация проектирования артиллерийских орудий: учебник / В.Ф.
Захаренков; Балтийский государственные технический университет. СПб., 2010.-
276 с. ISBN
978-5-85546-580-8.