Энергосбережение в тепловых системах

  • Вид работы:
    Дипломная (ВКР)
  • Предмет:
    Другое
  • Язык:
    Русский
    ,
    Формат файла:
    MS Word
    3,04 Мб
  • Опубликовано:
    2012-04-04
Вы можете узнать стоимость помощи в написании студенческой работы.
Помощь в написании работы, которую точно примут!

Энергосбережение в тепловых системах

Введение

Энергосбережение и энергоэффективность - являются важнейшими приоритетами эффективного развития экономики страны, что было заявлено Президентом России в его послании Федеральному Собранию.

Энергосбережение - реализация правовых, организационных, научных мер, направленных на уменьшение потерь энергетических ресурсов, и вовлечение в хозяйственный оборот нетрадиционных источников энергии.

Энергоэффективность - достижение максимальной экономически обоснованной величины использования топливно-энергетических ресурсов, при соответствующем уровне развития техники и технологии с одновременным снижением техногенного воздействия на окружающую среду.

Эффективное использование энергии на промышленном предприятии снижает первичную себестоимость продукции, что в свою очередь отражается на ее стоимости. Она в дальнейшем оказывает влияние на ценовую политику и экономический эффект. Поэтому увеличение энергоэффективности производства является важной задачей, решение которой позволит повысить устойчивость экономической системы. Энергосберегающие технологии позволяют добиться экономного использования ресурсов при производстве продукции или оказании услуг (например, в коммунальном хозяйстве). Это в свою очередь также оказывает влияние на механизм ценообразования и развитее экономической системы.

Особое значение отводится роли энергосбережения в коммунальной отрасли, которая является одной из главных потребителей тепловой энергии (30 % от всего объема энергоносителей). Но ввиду несовершенства используемого оборудования и технологий очень велики потери, которые могут достигать 50 - 80 %, вследствие чего увеличивается стоимость тепловых коммунальных энергоносителей и как следствие − рост тарифов. Уменьшение количества теряемого тепла, возможно, при применении более совершенных организационных мероприятий и улучшении теплоизоляционных систем.

Чтобы снизить тепловые потери, необходима точная оценка эффективности работы коммунальных систем, которая может быть проведена на основе анализа теплоизоляции трубопроводов. Это может быть сделано по коэффициенту теплопроводности материала, применяемого для теплоизоляции. Также точное значение коэффициента теплопроводности необходимо при проектировании новых трубопроводов или ремонте и реконструкции уже имеющихся.

К сожалению, в настоящее время отсутствуют точные методики определения теплопроводности материалов. Использование экспериментальных методов во многих случаях является затруднительным. Кроме того, возникают сложности при анализе справочных данных по теплоизоляционным материалам. Для многих из них эти данные являются недостоверными из-за искажения их поставщиками и изготовителями. Для других материалов, эти данные имею приближенных характер или отсутствуют (огнеупорные материалы, базальтовое волокно и др.).

Целью данного исследования является разработка методики простого и точного определения коэффициента теплопроводности теплоизоляционных материалов, которая может быть применена в инженерной практике при использовании теплоизоляционных материалов.

Другая цель заключается в разработке нового типа теплоизоляционных материалов для трубопроводов, обладающего высокой надежностью и долговечностью, и не уступающего современным материалам.

1. Проблемы энергосбережения

.1 Нормативно-правовая база

Начало процессу формирования принципов и механизмов государственной политики в области энергосбережения РФ было положено выходом в свет постановления Правительства Российской Федерации «О неотложных мерах по энергосбережению в области добычи, производства, транспортировки и использования нефти, газа и нефтепродуктов» (№ 371 от 01.06.92 г.) и одобрением в этом же году Правительством РФ Концепции энергетической политики России. В апреле 1996 г. был принят Федеральный закон № 28-ФЗ «Об энергосбережении».

Новый Федеральный закон № 261-ФЗ "Об энергосбережении и о повышении энергетической эффективности и о внесении изменений в отдельные законодательные акты Российской Федерации" от 23 ноября 2009 года определяет основные требования к энергетической эффективности предприятий, организаций, в т.ч. бюджетных и осуществляющих регулируемые виды деятельности, требования в отношении отдельных видов товаров и оборудования, зданий, в т.ч. многоквартирных домов, определяет условия энергосервисных контрактов, правила создания и функционирования саморегулируемых организаций энергоаудиторов, вводит штрафы за невыполнение отдельных требований и нормативов энергоэффективности.

Распоряжение Правительства РФ от 01.12.2009 N 1830-р "Об утверждении плана мероприятий по энергосбережению и повышению энергетической эффективности в Российской Федерации" определяет перечень мероприятий, нормативных актов, принимаемых министерствами и ведомствами, а также сроки принятия данных актов во исполнение ФЗ-261 "Об энергосбережении..."

Сегодня энергоэффективность и энергосбережение входят в 5 направлений стратегического развития, названных президентом РФ на заседании Комиссии по модернизации и технологическому развитию экономики России, которое состоялась 18 июня 2009 года.

Эта тема была продолжена президентом на расширенном заседании президиума Госсовета 2 июля 2009 года в Архангельске. Среди основных проблем, обозначенных Д.А. Медведевым, - низкая энергоэффективность во всех сферах, особенно в бюджетном секторе, ЖКХ, влияние цен энергоносителей на себестоимость продукции и ее конкурентоспособность.

Одна из важнейших стратегических задач страны, поставленной президентом (Указ № 889 от 4 июня 2008 года «О некоторых мерах по повышению энергетической и экологической эффективности российской экономики»)- снижение энергоемкости валового внутреннего продукта (ВВП) на 40% к 2020 году. Для ее реализации необходимо создание совершенной системы управления энергоэффективностью и энергосбережением. В связи с этим Министерством энергетики РФ было принято решение о преобразовании подведомственного ФГУ «Объединение Росинформресурс» в «Российское энергетическое агентство», с возложением на него соответствующих функций.

.2 Мероприятия, применяемые при оценке энергоэффективности

Энергетическое обследование - деятельность по определению класса энергетической эффективности здания, предприятия, продукции, технологического процесса или организации. Деятельность по проведению энергетического обследования вправе осуществлять только лица, являющиеся членами саморегулируемых организаций в области энергетического обследования. [14] Класс энергетической эффективности здания - характеристика здания, отражающая его энергетическую эффективность.

Основными целями энергетического обследования являются: [14]

) получение объективных данных об объеме используемых энергетических ресурсов;

) определение показателей энергетической эффективности;

) определение потенциала энергосбережения и повышения энергетической эффективности;

) разработка перечня типовых, общедоступных мероприятий по энергосбережению и повышению энергетической эффективности и проведение их стоимостной оценки.

По результатам энергетического обследования проводившее его лицо составляет энергетический паспорт и передает его лицу, заказавшему проведение энергетического обследования.

Энергетический паспорт здания, должен содержать следующие данные энергетического обследования: [14]

▪ оснащенность средствами учета энергетических ресурсов;

▪ объем расходуемых энергетических ресурсов и его динамика;

▪ класс энергетической эффективности;

▪ процент потери энергетических ресурсов;

▪ потенциал энергосбережения, оценка возможной экономии;

▪ типовой план энергосбережения и повышения энергоэффективности.

Энергоаудит - взаимосвязанный комплекс технических, организационных, экономических и иных мероприятий, направленный на выявление возможности экономически эффективной оптимизации потребления энергетических ресурсов. Результатом энергоаудита является энергетический паспорт.

Включает:

▪ энергомониторинг - отслеживание установленных и фактических параметров энергопотребления;

▪ измерения (замеры) - определение с помощью специальных приборов (средств измерения, средств учета) параметров в контрольных точках;

▪ опросы и анкетирование участников процесса производства или потребления энергоресурса;

▪ изучение сопутствующей нормативной базы, руководящих документов и инструкций на предприятии;

▪ расчеты экономической эффективности внедрения тех или иных организационных предложений, либо инвестиций в энергосберегающие технологии (устройства);

▪ составление отчета, содержащего результаты проведенного энергоаудита и рекомендации.

При проведении энергетического обследования (энергоаудите) проводятся следующие мероприятия:

) Анализ состояния систем электроснабжения, теплоснабжения, водообеспечения, парка технического оборудования промышленного предприятия (объекта);

) Оценка состояния систем и средств измерений - приборы для учета энергоносителей и их соответствие установленным требованиям;

) Выявление необоснованных потерь;

) Оценка состояния системы нормирования энергопотребления и использования энергоносителей;

) Проверка энергетических балансов предприятия (объекта);

) Расчет удельных энергозатрат на выпускаемую продукцию (или виды работ);

) Оценка целесообразности основных энергосберегающих мероприятий, реализуемых предприятием.

Результатом энергоаудита может являться: заключение о качестве получаемых энергоресурсов, особенно электроэнергии; рекомендации по внедрению мероприятий и технологий энергосбережения; рекомендации по проведению мероприятий (в том числе изменений в технологии), направленных на повышение энергоэффективности выпускаемой продукции; рекомендации по замене потребляемых энергоресурсов иными видами ресурсов (например, электроэнергии на обогрев - теплом или горячим паром).

По итогам обследования формируется Энергетический паспорт предприятия по форме, утверждённой Приказом Миэнерго № 182 от 19 апреля 2010 года.

Оборудование (приборы) для проведения энергоаудита - это комплекс средств измерений, которые должны удовлетворять определенным требованиям. Основные требования к прибором для энергоаудита:

▪ при измерении режима электрических цепей - отсутствие влияния на работу исследуемых электрических цепей;

▪ портативность - вес не более 15 кг, исполнение в защищенном корпусе или наличие защитного чехла;

▪ автономность - наличие встроенного источника питания, обеспечивающего несколько часов работы;

▪ возможность регистрации данных - наличие внутреннего запоминающего устройства или, в крайнем случае, унифицированного выхода для подключения внешнего запоминающего устройства;

▪ связь с компьютером - наличие порта и программного обеспечения для передачи данных на ПК;

▪ наличие свидетельства об утверждении типа средств измерений в РФ;

▪ Для проведения инструментального энергетического обследования минимальный набор оборудования должен включать в себя приборы для следующих измерений: показателей качества электроэнергии; расхода жидкости; расхода теплового потока; температуры (контактное измерение);

температуры (бесконтактное визуальное ИК измерения); обнаружение течи (течеискатели).

1.3 Теплоизоляционные материалы

Тепловые сети являются одной из важных отраслей хозяйственной деятельности, по ним осуществляется подача жидких или газообразных веществ, для бытовых или производственных нужд. Потери тепловой энергии при этом могут составлять до 60 % [14]. Такое большое количество теряемого тепла связано с общей изношенностью сетей и несовершенством используемых теплоизоляторов.

В последнее время в качестве теплоизолирующего материала применяются минеральная вата, пенополиуритан (ППУ), поливинилхлорид (ПВХ) и другие вещества, плохо проводящие тепло. Теплоизоляции труб осуществляется посредством введения между горячей трубы и окружающей средой материала с низким коэффициентом теплопроводности. Его поверхность покрывается защитной оболочкой, выполняющей функции гидроизолирующей структуры и защиты от воздействия окружающей среды (рисунок 1).

Рисунок 1 - Структура теплоизоляции трубопроводов; 1 - горячая труба, 2 - теплоизоляционная структура, 3 - наружная оболочка

Теплоизоляционная структура является важнейшей составляющей конструкции, так как способствует снижению теплового потока. Для ее создания используют минеральную вату (стекловата, базальтовое волокно), органические вещества с низкой теплопроводностью и другие материалы.

Минеральная вата - волокнистый теплоизоляционный материал на синтетическом связующем, получаемый из минерального сырья и техногенного сырья. В качестве которого используются: песок, горные породы, силикатные расплавы из доменных шлаков, смеси осадочных и изверженных горных пород. Минеральная вата предназначена для изготовления теплоизоляционных и звукоизоляционных изделий, а также в качестве теплоизоляционного материала в строительстве и промышленности для изоляции поверхностей с температурой до + 700 °C. Необходимо помнить, что в изделиях из минеральной (каменной) ваты на синтетическом связующем (фенолформальдегидные смолы) при температуре  около 300-350°С начинается процесс деструкции связующего, что приводит к невозможности ее использования при вибрационных нагрузках, т.к. она будет рассыпаться на волокна без связующего. Коэффициент теплопроводности минеральной ваты 0,039-0,043 Вт/м∙ºК [15, 30].

Базальтовое волокно производят из различных горных пород близких по химическому составу - базальта, базанитов, амфиболитов, габродиабазов или их смесей. В качестве сырья для производства базальтовых волокон, используются базальтовые горные породы, средний химический состав которых следующий (% по массе): SiO2 (47,5-55,0); TiO2 (1,36-2,0); Al2O3 (l4,0-20,0); Fe2O3 + FeO (5,38-13,5); MnO (0,25-0,5); MgO (3,0-8,5); CaO (7,-11,0); Na2О (2.7-7,5); К2О (2,5-7,5); P2O5 (не более 0,5); SO3 (не более 0,5); прочие породы (не более 5). Производство базальтовых волокон основано на получении расплава базальта в плавильных печах и его свободном вытекании через специальные устройства, изготовленные из платины или жаростойких металлов. Плавильные печи могут быть электрическими, газовыми, или оборудоваться мазутными горелками. Существует два основных типа базальтового волокна - штапельное и непрерывное. Одним из наиболее важных параметров штапельного базальтового волокна является диаметр отдельных волокон. В зависимости от диаметра волокна делят на: микротонкие, диаметром менее 0,6 мкм; ультратонкие, 0,6 - 1,0 мкм; супертонкие, 1,0 - 3,0 мкм; тонкие, 9 - 15 мкм; утолщенные, 15 - 25 мкм и грубые - диаметром 50 - 500 мкм. Диаметр волокон существенно влияет на важнейшие свойства изделий из него: теплопроводность, звукопоглощение, плотность и др. В зависимости от диаметра волокно используется для различных целей [15].

Материалы на основе базальтового волокна обладают следующим важными свойствами: пористость, термостойкость, паропроницаемость и химическая стойкость.

Пористость базальтового волокна может составлять 70 % по объёму и более. Если поры материала заполнены воздухом, то при такой пористости он характеризуется низкой теплопроводностью.

Термостойкость является весьма важным свойством теплоизоляционных материалов, особенно при использовании их для изоляции промышленного оборудования, работающего при высоких температурах. Термостойкость материалов характеризуют технической температурой применения, при которой материал может эксплуатироваться без изменения технических свойств.

Паропроницаемость - это способность материала пропускать через свои поры водяной пар. Наличие в материалах из базальтового волокна сообщающихся пор, они пропускают такое же количество пара, как и воздуха. Благодаря большой паропроницаемости эти материалы при эксплуатации почти всегда сухие; конденсация пара наблюдается в основном в следующем слое на более холодной стороне ограждений.

Химическая стойкость. Базальтовые волокна обладают хорошей стойкостью к действию органических веществ (масло, растворители и др.), а также к воздействию щелочей и кислот.

Благодаря этим свойствам, базальтовое волокно и материалы на его основе находят сегодня все более широкое применение. Базальтовое волокно применяется:

для теплоизоляции, звукоизоляции и огнезащиты жилых и промышленных здании и сооружений;

для теплоизоляции энергетических агрегатов, трубопроводов большого диаметра;

для теплоизоляции бытовых газовых и электрических плит, жарочных шкафов и т.д.

в трехслойных строительных сэндвич-панелях;

для утепления реконструируемых зданий с установкой, как изнутри, так и снаружи;

для утепления плоских крыш;

в промышленных холодильниках и холодильных камерах, бытовых холодильниках;

изоляция кислородных колонн;

в качестве изоляции низкотемпературного оборудования при производстве и использовании азота.

Пенополивинилхлорид (винипор, ППВХ) органический теплоизоляционный материал. Обладает следующими физическими свойствами: кажущаяся плотность 0,05-0,3 г/см3, предел прочности при растяжении 0,8 - 4,5 МПа, предел прочности при сжатии 0,4-1,5 МПа [30].

Получается прессованием или экструзией поливинилхлоридной композиции, содержащей газообразователь, например 2,2'-азо-бис-изобутиронитрил, NaHCO3, NH4HCO3, либо легколетучую жидкость - фреон или др. Сформированная композиция подвергается повторному нагреву для вспенивания. Жесткость пенополивинилхлорида зависит от количества пластификатора. Жесткие пенополивинилхлориды − конструкционные, звуко- и теплоизоляционные материалы, применяемые в строительстве, а также при изготовлении различных плавсредств (плотики, буйки, спасательные жилеты и др.). Эластичные пенополивинилхлориды используются для изготовления амортизаторов, звукоизолирующих прокладок, виброзащитных устройств, гибкой теплоизоляции.

Пенополиуретаны (ППУ) - лёгкие, но достаточно прочные пенопласты из полиуретанов, обладают очень низкой теплопроводностью (0,019 − 0,04 Вт/(м•ºK)) [15, 30], малой паропроницаемостью, высокой адгезией практически ко всему, к бумаге, металлу, древесине, штукатурке, рубероиду и многому другому. Существуют как двух и более компонентные технологии получения самоотверждаемых пенополиуретанов с различными характеристиками, так и однокомпонентные составы, отверждаемые влагой воздуха.

Жёсткие пенополиуретаны (ППУ) являются одними из наиболее распространённых на Западе строительных материалов. Системы напыляемых изоциануратов обладают рядом преимуществ:

Пониженная горючесть по сравнению с другими системами изоляции.

Одновременная гидроизоляция, материал не боится влаги, т.е. не требуется дополнительных слоев пароизоляции.

Тепло- и морозостойкость в диапазоне температур от -100°С до +130°С;.

Малый вес и отсутствие нагрузки на строительные конструкции.

Высокая адгезия к различным типам поверхности.

Монолитная бесшовная поверхность изоляционного слоя.

Ремонтопригодность.

Возможность использования как для новых, так и для ремонта старых зданий.

Удобство транспортировки и хранения.

Химическая стойкость к слабокислотным осадкам, к промышленным углеводородам.

Пенополиуретан является негорючим материалом, это делает его более безопасным материалом, чем дерево. Как правило, в компоненты для получения пенополиуретана уже включены антиперены, которые делают его пожаробезопасным. Закрытые поры пенополиуретана позволяют ему не прогорать сразу на всю глубину.

.4 Использование минеральной ваты для теплоизоляции

Для сокращения энергетических потерь в тепловых сетях используются различные конструкции теплоизолированных труб. Можно выделить трубы, при изоляции которых используется минеральная вата, пенополиуретановые или каучуковые скорлупы. Эти способы теплоизоляции обладают свойственными для каждого из них недостатками и преимуществами. Рассмотрим ниже каждый их данных способов.

Теплоизоляционные конструкции включают в себя защитное покрытие поверхности труб от коррозии, основной слой изоляции (несколько слоев) и защитное покрытие (покровный слой), предохраняющий основной слой теплоизоляции от механических повреждений, воздействия атмосферных осадков и агрессивных сред. К защитному покрытию относятся также средства и детали крепления покровного слоя и изоляции в целом

Выбор защитного покрытия поверхности труб от коррозии, производится в зависимости от способа прокладки, от вида агрессивных воздействий на поверхность и от конструкции тепловой изоляции. Наиболее распространенным являются масляно-битумные покрытия по грунту, а также покрытия изолом или бризолом по изольной мастике. Весьма эффективным является стеклоэмалсвое покрытие, состоящее из смеси кварцевого песка, полевого шпата, глинозема, буры и соды. Для повышения сцепления с металлом в состав вводят оксиды никеля, хрома, меди и другие добавки. Водный густой состав наносится на поверхность трубы, высушивается, и оплавляется на поверхности трубы в кольцевом электромагнитном индукторе при температуре около 800°С. Стыковые соединения труб могут покрываться эмалью при помощи передвижных установок. Недорогим антикоррозийным средством является покрытие краской ЭФАЖС на эпоксидной смоле. Находят применение другие эпоксидные эмали. Для теплопроводов, находящихся в жестких температурно-влажностиых условиях, весьма эффективна металлизация поверхности алюминием газотермическим способом. Алюминиевое покрытие наносится па поверхность трубы при помощи газопламенных или электродуговых аппаратов газовой или воздушной струей Установка по металлизации алюминием может входить в поточно-механизированную линию по теплоизоляции труб.

Перед нанесением антикоррозионного покрытия поверхность труб зачищается от коррозии и окалины механическими щетками или пескоструйными аппаратами и при необходимости обезжиривается органическими растворителями

Полносборные теплоизоляционные конструкции наиболее индустриальный вид изоляции − изготавливаются на заводе с противокоррозионной обработкой труб и с креплением покровного слоя поверх основного слоя изоляции Изоляция стыков, фасонных частей, арматуры, компенсаторов и др. производится после монтажа всех элементов участка теплосети из заготовленных на заводе штучных теплоизоляционных изделий. Сборные комплектные теплоизоляционные конструкции представляют собой полный комплектный набор теплоизоляционных изделий, элементов покрытия и крепежных деталей по размерам и диаметрам.

Подвесные теплоизоляционные конструкции − основной способ теплоизоляции теплопроводов надземной и подземной канальной прокладок. Выполняется из изделий минеральной ваты, стекловаты, вулканитовых изделий, известково-кремниевых и других материалов. В настоящее время изготовление подвесных теплоизоляционных конструкций, как правило, осуществляется сборкой штучных заготовок с закреплением покровным слоем и деталями крепления. Сборка изоляционных конструкций на объекте монтажа из готовых элементов (сегментов, полос, матов, скорлуп и полуцилиндров) связана с большой затратой ручного труда.

При монтаже теплоизоляции из мягких материалов (плит, матов) при нанесении покровного слоя неизбежно уплотнение материала теплоизоляционного слоя. Это должно учитываться при расчете необходимого количества материала коэффициентом уплотнения. Для изоляции запорной арматуры находят применение съемные конструкции набивной изоляции в виде тюфяков, заполненных минеральной или стеклянной ватой, перлитом и другим теплоизоляционным материалом. Оболочка тюфяков изготавливается из стеклоткани.

Покровный слой при надземной прокладке на открытом воздухе, как правило, выполняет функции защитного покрытия от проникновения атмосферной влаги. Используется фольгоизол, фольгорубероид, армопластмассовые материалы, стеклотекстолит, стеклопластик, сталь листовая углеродистая и листовая оцинкованная, листы, ленты и фольга из алюминиевых сплавов. При прокладке в непроходных каналах используют более дешевые аромопластмассовые материалы, стеклотекстолит, стеклопластик, стеклорубероид, рубероид. В тоннелях допускается также применять фольгоизоляцию, фольгорубсроид и алюминиевую фольгу дублированную. Крепление покровного слоя из листового металла производят самонарезающими винтами, планками или бандажами из упаковочной ленты или лентами из алюминиевого сплава, оболочки из стеклопластика, фольги и других материалов, крепят бандажами из алюминиевой или упаковочной ленты, оцинкованной стальной ленты и проволоки. Покрытие из кровельной стали окрашивакн атмосферостойкими красками. На рисунке 2 приведен пример теплоизоляции трубопровода минераловатными плитами.

Оберточные конструкции выполняют из прошивных матов или из мягких плит на синтетической связке, которые сшивают поперечными и продольными швами. Покровный слой крепится также, как и в подвесной изоляции. Оберточные конструкции в виде теплоизоляционных жгутов из минеральной или стеклянной ваты после наложения их на поверхность также покрывают защитным слоем. Изолируют стыки, фасонные части, арматуру.

Рисунок 2 - Изоляция трубопроводов минераловатными матами на подвесках  1, 2 - маты, 3 - подвеска, 4 - бандаж, 5 - сшивка.

Мастичная изоляция применяется также для теплоизоляции на месте монтажа арматуры и оборудования. Применяют порошкообразные материалы: асбест, асбозурт, совелит. Замешенная на воде масса накладывается на предварительно нагретую изолируемую поверхность вручную. Применяется мастичная изоляция редко, как правило, при ремонтных работах.

.5 Бесканальная прокладка теплосетей

Применение бесканальных прокладок привлекает более простой конструкцией и меньшей стоимостью по сравнению с прокладкой в каналах, однако, в этом случае требуется более тщательная гидроизоляция поверхности теплопровода вплоть до помещения изолированной трубы в герметичную оболочку. Следует различать конструкции бесканальных прокладок, засыпные, монолитные (литые), и прокладки в предварительно изолированных трубах с герметичными защитными оболочками [29].

Засыпные конструкции характеризуются тем, что смонтированные трубопроводы с антикоррозийным покрытием, уложенные в траншею, засыпаются теплоизоляционной массой. В качестве засыпок используют керамзитовый гравий, перлит, асфальтоизол Последний характеризуется тем, что при разогреве трубы теплоносителем вокруг поверхности трубы создается тройной слой: оплавившийся материал, который обволакивает поверхность трубы, являясь антикоррозионным слоем, далее идет пористая спекшаяся масса, являющаяся теплоизоляционным слоем, и периферийный слой засыпки, не изменяющий своих свойств (рисунок 3). При эксплуатации увлажняется, в основном, наружный слой, и к поверхности трубы влага не проникает. Перемещение трубопровода, вследствие температурного удлинения, происходит в вязком расплавленном слое. Теплопроводность асфальтоизола колеблется от 0,085 Вт/(м∙°С) в сухом состоянии до 0,2 Вт/(м∙°С) в увлажненном [15,29].

Рисунок 3 - Тепловая изоляция из самоспекающегося порошка (асфальтозиола),  1 - горячая труба, 2 - плотный слой, 3 - пористый слой,  4 - порошкообразный слой

Для приготовления засыпки в виде асфальтоизола могут применяться отходы от переработки нефти.

Засыпная теплоизоляция из керамзита и перлита рекомендуется при сухих и маловлажных грунтах с низким уровнем грунтовых вод. Для защиты от поверхностных вод обсыпку рекомендуется покрывать полиэтиленовой пленкой, рубероидом и другими рулонными материалами. Находит применение засыпка гидрофобизированным мелом. Перед обработкой в шаровой мельнице мел смешивается с гидрофобизатором. Засыпка мела производится в инвентарную опалубку, в которую предварительно укладывается полиэтиленовая пленка. После обсыпки трубопровода и уплотнения пленкой внахлест, укрывают изолированный трубопровод. Коэффициент теплопроводности гидрофобизированного мела в среднем 0,086 Вт/(м∙°K) [30].

Монолитные теплоизоляционные конструкции получили самое широкое распространение. Примером такой конструкции является армопенобетонная оболочка, разработанная и широко применяемая в  Санкт-Петербурге с 1948 г. Изготовление ее, и покрытие труб производится индустриальным способом на специализированных заводах. Армирование, заливка пенобетоном в формы и автоклавная обработка производится на поточной линии. В бетон добавляют пенообразователь (столярный клей, канифоль и кальцинированная сода). Гидрозащитное покрытие выполняется в виде трех слоев бризола на битум- но-резиновой мастике. Защитный слой - асбестоцементная штукатурка по проволочной сетке. В других случаях защитный слой выполняется из двух-трех слоев стеклоткани по битумно-резиновой мастике (рисунок 4).

Тепловое удлинение труб в изоляции из армопенобетона происходит вместе с изоляцией. Стыки труб изолируют по месту монтажа скорлупами или сегментами из пенобетона (теплопроводность составляет 0,093-0,116 Вт/м∙ºK [29]) или газобетона. Не высокая сложность изготовления изоляции в монолитной оболочке из армопенобетона явилась результатом широкого внедрения этою метода строительства бесканальных теплопроводов. Другим, широко распространенным способом строительства тепловых сетей являются бесканальные прокладки в битумоперлитной оболочке. Изготовление бигумоперлптной смеси, нанесение на поверхность трубы, уплотнение и покрытие рулонным материалом осуществляется на поточной линии. Вследствие малого сцепления бтумоперлига с поверхностью трубы тепловые удлинения происходят внутри изоляции. При этом способе изоляции необходимо осуществляв усиленное антикоррозийное покрытие груб с учетом возможности проникновения влаги к поверхности труб через изоляцию.

Рисунок 4 - Прокладка трубопроводов в изоляции из монолитного армопенобетона, 1 - изолируемый трубопровод, 2 - спиральная арматура,  3 -армопенобетон, 4 - сегмент из пенобетона для изоляции мест стыков, 5 - гидроизоляционный слой, 6 - штукатурный слой, 7 - грунт,  8 - щебеночная подготовка, 9 - стержневая арматура

Другим, широко распространенным способом строительства тепловых сетей являются бесканальные прокладки в битумоперлитной оболочке. Изготовление бигумоперлптной смеси, нанесение на поверхность трубы, уплотнение и покрытие рулонным материалом осуществляется на поточной линии. Вследствие малого сцепления бтумоперлига с поверхностью трубы тепловые удлинения происходят внутри изоляции. При этом способе изоляции необходимо осуществляв усиленное антикоррозийное покрытие груб с учетом возможности проникновения влаги к поверхности труб через изоляцию Невысокая стоимость изоляционной конструкции и не сложность ее изготовления явились следствием широкого применения битумоперлитной теплоизоляции. Теплопроводность материала зависит также от плотности и колеблется в пределах 0,08...0,15 Вт/(м∙°С) [29,30].

Разработано и применяется большое количество материалов для монолитной теплоизоляции при бесканальных прокладках пенобетон, пенополимербетон, перлитобетон, керамзитобетон, асфальтокерамзитобетон, газосиликат, пеностекло и др.

.6 Использование теплоизолированного каучука

В настоящее время широкое распространение получили предызолированные трубы с использованием ППУ, каучука, ПВХ. От предыдущих конструкций они отличаются простотой изготовления и высокими теплоизоляционными характеристиками.

Теплоизоляционный каучук представлен различными марками, и может применяться для создания теплоизолирующих конструкций (рисунок 5). Материал AF/Armaflex с повышенной плотностью ячеек - предназначен для систем кондиционирования, холодильной техники и промышленности. Температурные ограничения - от -200 до +105 °С (применение при температуре ниже -50 °С требует предварительной консультации с представителем компании-производителя; листы и ленты - до 85 °С); λ при 0 °С - не более 0,033 Вт/(м⋅°С) (не более 0,036 Вт/(м⋅°K) для листов AF-32MM-AF-50MM и трубок AF-5-AF-6); μ - не менее 10 000 (не менее 7000 для листов AF-32MM-AF-50MM и трубок AF-5-AF-6); плотность - 55-100 кг/м3. Группа горючести - Г1. Выпускается в виде трубок (толщина стенки - от 7 до 45 мм; внутренний диаметр - от 6 до 160 мм), листов или рулонов (толщина - от 10 до 50 мм) черного цвета. Возможна поставка трубок в бухтах. Трубки, листы, полосы, ленты и рулоны предлагаются также в самоклеющемся исполнении.

Для систем отопления, водоснабжения, канализации и кондиционирования предлагается Armaflex AC, применяемый при температуре от -50 до +105 °С (если листы и ленты приклеивается ко всей поверхности - до 85 °С). λ при 0 °С - не более 0,035 Вт/(м⋅°С); μ - не менее 7000; плотность - 50-70 кг/м3 (трубки) и 40-60 кг/м3 (листы). Группа горючести - Г1. Выпускается в виде трубок (толщина - от 6 до 32 мм; внутренний диаметр - от 6 до 160 мм) и рулонов (толщина - от 6 до 32 мм) черного цвета.

Рисунок 5 - Теплоизоляционные материалы из каучука

Материал HT/Armaflex применяется в отопительных, промышленных и гелиосистемах, а также вне помещений. Устойчив к воздействию УФ-излучения, не содержит ПВХ и фреона. Рабочая температура - до 150 (кратковременно - до 175) °С; для приклеенных по всей поверхности листов и лент - до 130 °С; λ при 0 °С - не более 0,040 Вт/(м⋅°С); μ - не менее 3000. Группа горючести - Г1. Выпускается в виде отрезков трубок (толщина стенки - от 10 до 25 мм; внутренний диаметр - от 10 до 89 мм), трубок в бухтах (толщина - 13 и 19 мм; внутренний диаметр - от 15 до 22 мм) и рулонов шириной 1 м (толщина - от 10 до 25 мм) черного цвета.

Для систем отопления и водоснабжения предлагается материал SH/Armaflex. Температура - до 105 °С (до 85 °С, если материал приклеивается ко всей поверхности); λ при 40 °С - не более 0,040 Вт/(м⋅°С); плотность - 55-85 кг/м3. Группа горючести - Г1. Выпускается в виде трубок (толщина стенки - от 5 до 13 мм; внутренний диаметр - от 12 до 114,3 мм) и листов (толщина - от 13 до 30 мм). Предусмотрены трубки и ленты в самоклеющемся исполнении [29,30].

Материал NH/Armaflex не содержит хлора и применяется в трудно проветриваемых помещениях. Для теплоизоляции металлических воздуховодов предлагается система Armaduct с алюминиевым покрытием или без него, выпускаемая в виде рулонов шириной 1 и 1,5 м в обычном или самоклеющемся исполнении. Система Arma-Chek на основе AF/Armaflex, NH/Armaflex и HT/Armaflex со стекловолоконным покрытием предназначена для сложных условий эксплуатации. Серия материалов Tubolit применяется для систем отопления и водоснабжения. Ограничение по температуре - до 102 °С; λ при 10 °С - не более 0,038 Вт/(м⋅°С) (Tubolit DG). [29,30]

Для защиты теплоизоляции от механических повреждений предлагаются оболочки Okapak (ПВХ), Okatherm (рифленый алюминий толщиной 0,2-0,3 мм) и Okabell (оцинкованная сталь, гальванизированный алюминий; толщина -от 0,4 до 1 мм).

.7 Пенополиуретановые предызолированные трубы

Предварительно изолированные трубы из стали с теплоизоляцией из пенополиуретана и гидрозащитным слоем из полиэтилена предназначены для бесканальной прокладки теплосетей (температура теплоносителя - до 150° С) под землей. Стальную трубу и слой пенополиуретана защищает от влаги, механических повреждений полиэтилен низкого давления. Предварительно изолированные трубы в сборе представляют собой целостную конструкцию благодаря отличной адгезии между стальной трубой, пенополиуретаном, а также прекрасной связи между ППУ и внешней гидрозащитной оболочкой - полиэтиленом. На месте монтажа труб изолируются места стыков термоусаживаемыми манжетами, в которые производится заливка компонентов пенополиуретана. Такая конструкция обеспечивает необходимые параметры для нормальной работы трубопроводов при их эксплуатации.

Применение полиэтиленовой оболочки, выполняющей роль гидрозащиты, является существенным условием при изготовлении трубы ППУ. Полиэтиленовая оболочка должна соответствовать следующим характеристикам:

относительное удлинение при разрыве - не менее 350%;

увеличение длины при нагрева 110° С - не более 3%;

стойкость при температуре 80° С (давление постоянное, не менее 165 МПа и не более 1000 МПа);

сохранение первоначальных свойств при стабильной нагрузке растяжения в 4,0 МПа, (температура 80° С), при воздействии высоких температур и при наличии в водной массе ПАВ.

Предизолированные трубы ППУ в полиэтиленовой оболочке имеют ряд преимуществ как при монтаже, так и при эксплуатации:

по сравнению с минераловатной изоляцией потери тепла снижаются в 8-10 раз;

-30 лет гарантированной службы (при минераловатной изоляции - 7-10 лет);

снижение капитальных затрат в 1,2 раза;

сокращение сроков строительства в 2,5-3 раза;

уменьшение эксплуатационных расходов в 9 раз;

уменьшение расходов на ремонт в 3 раза;

возможность осуществлять контроль состояния труб в течение всего периода эксплуатации без вскрытия траншеи;

широкий номенклатурный ряд труб ППУ в полиэтиленовой оболочке. [29,30]

2. Обобщенная методика определения коэффициента теплопроводности

Во многих теплотехнологиях встречаются случаи нагрева тел с анизотропией теплофизических свойств. Это твердые тела, имеющие различные коэффициенты теплопроводности в трех взаимно перпендикулярных направлениях. В простейшем случае эти тела не являются монолитным объектом из какого-либо материала, а представляют собой периодическую структуру из материалов с разными свойствами. К ним можно отнести пакет листов, пучок прутков, засыпку из шаров и других мелких деталей. Особо следует выделить теплоизоляционные изделия, применение которых в последнее время, в связи с задачей энергосбережения, резко возросло.

Задача нагрева металла с анизотропными свойствами в металлургических печах была впервые решена Г.П. Иванцовым [22] для тел слоистого строения (пакет, рулон), волокнистого строения (пучок прутков, бунты проволоки) и зернистого строения (мелкие детали насыпью). Аналитическое решение этой задачи в окончательном виде было представлено уравнением

 ,(1)

включающим следующие безразмерные комплексы: относительные теплопроводности

, ,

 пористость .

Здесь λэкв - эквивалентный (расчетный) коэффициент теплопроводности тела, Вт/м∙град;

λм - коэффициент теплопроводности металла, Вт/м∙град;

λпр - коэффициент теплопроводности прослойки, Вт/м∙град;

α - коэффициент теплоотдачи в газовой прослойке, Вт/м2∙град;- толщина прослойки, м;

δ - толщина металла, м.

В формуле (1) n = 1; 2; 3 для тел слоистого, волокнистого и зернистого строения, соответственно. Графическая интерпретация этого уравнения для тел различного строения представлена в виде диаграмм, которыми и пользуются в инженерной практике расчетов. Такая диаграмма для тел зернистого строения представлена на рисунке 7. Величина Λ принята в качестве непрерывно изменяющегося аргумента, а величина П задается параметрически в виде семейства линий.

Рисунок 7 - Связь между относительными теплопроводностями Λ и Ψ для тел зернистого строения

Недостатком пользования такими диаграммами является необходимость интерполирования, что особенно неудобно при неравномерной шкале для параметрически задаваемых показателей.

Ранее [20,21] нами была показана возможность преобразования таких диаграмм с целью получения обобщенных зависимостей, представленных одной линией, что устраняет необходимость интерполирования. Методом аффинных преобразований были решены многие задачи металлургической теплотехники, например, задачи аэродинамики [20], нестационарной теплопроводности (нагрев металла) [21], теплоизлучения газов и другие.

На рисунке 8 показано графическое решение задачи определения эквивалентной теплопроводности для тел зернистого строения.

Рисунок 8 - Схема определения эквивалентной теплопроводности тел зернистого строения

При решении поставленной задачи нами были несколько изменены условия. Прежде всего, на основе исходной диаграммы Г.П. Иванцова (рисунок 7) были изменены оси диаграммы. В качестве непрерывного аргумента была принята пористость П, а в качестве параметра была принята расчетная величина Λ. Представленная в левой половине диаграммы черная линия и есть обобщенная характеристика  при всех возможных значениях Λ. Особенность этой интерпретации в том, что, согласно методике аффинных преобразований, на оси ординат отложено не абсолютное значение Ψ, а его «нормированное» значение , т.е. поделенное на величину Ψст , соответствующее значению «стандарта» нормирования, взятого для какой-то одинаковой для всех параметров Λ точки оси абсцисс, т.е. при фиксированном значении П. В правой части черная линия показывает зависимость Ψст = f2(Λ), т.е. учитывает влияние параметрического показателя Λ. Левая и правая часть рисунка 8 вместе составляют номограмму, способ использования которой показан на рисунке цветными линиями и стрелками.

Алгоритм решения задачи представлен следующими операциями (номера их проставлены в кружках): 1 - по заданному (практическому) значению Λi определяют величину Ψст i ; 2 - проводим луч из точки (1−Ψ) = 0 до точки Ψст i ; 3 - из точки (1-П)i , определяющей конкретные условия опыта, по ходу стрелок находим однозначную величину (1−Ψ)i , а через нее Ψ i , что и является целью данной задачи.

Контрольные расчеты по уравнению (1) Г.П. Иванцова дают расхождение во втором-третьем знаке с числами, определяемыми по номограмме.

Аналогичные решения были получены для тел слоистого и волокнистого строения. Для сопоставления все три случая представлены на рисунке 9.

На рисунках 8 и 9 параметр (1 - П) имеет физический смысл относительной плотности, что следует из представленных решений.

Так как пористость

, то .

Здесь символами Vгеом , Vм и Vпор обозначены геометрический объем тела (образца), объем материала в нем и объем пор, соответственно. Из выражения массы тела M = ρ∙V, получим

= ρтела∙Vгеом ,

 - плотность материала, что дает окончательно

.

И хотя эта величина более физична, мы не стали ее вводить из желания сохранить очевидность связи полученных результатов с исходным решением Г.П. Иванцова.

Из рисунка видно, что кривые зернистой структуры (линяя 1) и волокнистой структуры (линяя 2) имеют хорошее схождение и одинаковый характер зависимости от пористости, в отличие от слоистой (линяя 3). Объяснение этому может быть получено из следующих соображений.

Рисунок 9 - Зависимость нормированного значения относительной теплопроводности  от характеристики пористости 1-П для зернистой (1), волокнистой (2) и слоистой (3) структур

Рассмотрим теплопроводность тела, состоящего из слоев материалов с разными свойствами, расположенных под произвольным  углом α к изотермическим поверхностям системы. Эта задача является наиболее общей для всех случаев теплопроводности, ее условия демонстрируются на  рисунке 10.

На рисунке 10 α - угол между направлением оси слоя и изотермической поверхностью, t1 и t2 - температуры изотермических поверхностей. В соответствии с гипотезой Фурье для элементарного слоя dx в одномерной задаче можно записать:

         (2).

Рисунок 10 - Схема передачи тепла через слоистую структуру с произвольной ориентацией слоев

Из геометрических соображений можно определить величины тепловых потоков в направлении вдоль слоев( qS) и по нормали к ним (qN):

 и.

Разложение вектора qx на две составляющих дает:

, а модуль этого вектора выражается как:

.(3)

Поскольку возможный диапазон изменения угла α = 0о − 90о, рассмотрим предельные случаи.

. α = 0о. Все слои параллельны изотермическим ограничивающим поверхностям t1 и t2, что представляет собой в чистом виде многослойную стенку. Для этих условий sinα = 0 и cosα = 1, что при подстановке в уравнение (3) дает qn = qx и qS = 0. Для многослойной стенки с числом слоев k, уравнение результирующего теплового потока записывается в виде обобщенного уравнения:

, Вт/м2.(4)

. α = 90о. Все слои перпендикулярны изотермическим поверхностям, тепловой поток идет по параллельным слоям. При этом cosα = 0 и sinα = 1, что по выражению (3) дает qS = qx и qn = 0. Выражение результирующего теплового потока для этого случая записывается в виде:

, Вт/м2,(5)

где Fi - площадь сечения i-го слоя, м2; F - общая площадь стенки м2.

В этом случае тепловой поток идет по каналам с термически непроницаемыми боковыми (граничными) поверхностями, что для этого случая (одномерный тепловой поток в пространстве) аналогично течению жидкости в трубках тока. Величина плотности теплового потока через такой индивидуальный канал определяется как:

.(6)

Общее количество теплоты, перенесенной через канал с единичной площадью Fi , равно

.(7)

Сумма Qi дает общее количество теплоты, переданной через площадь всей стенки, то есть:

.(8)

Усредненное значение теплового потока можно представить в общем виде:

,(9)

атем по выражению (6), получим:

,

что подтверждает правильность раннее записанного уравнения (5).

В теории стационарной теплопроводности плотность теплового потока часто выражается как , где RT термическое сопротивление. Применяя такой способ описания явлений, мы можем записать следующее выражение для рассмотренных предельных случаев.

Для α = 0о (последовательное расположение слоев):

.(10)

Для α = 90о (параллельное соединение слоев):

.(11)

Тепловое сопротивление при стационарной теплопроводности в общем случае можно записать:

;(12)

откуда .

Для последовательного соединения слоев (многослойная стенка):

, Вт/м∙град(13)

и для параллельного соединения слоев (пучок волокон):

, Вт/м∙град   (14)

Из сравнения выражений (13) и (14) понятна несовместимость на рисунке 10 обобщенных зависимостей для эквивалентного коэффициента теплопроводности для тел с разной структурой.

Предложенное общее решение можно использовать в качестве основы для выдвижения гипотезы о механизме теплопроводности различных материалов, что особенно актуально для теплоизоляционных материалов, которые начинают особенно широко применяться в современных энергосберегающих технологиях. Эти материалы и изделия из них можно рассматривать как некую комбинацию элементов, обеспечивающих как последовательное, так и параллельное направление тепловых потоков в элементах структуры материала.

Выводы.

Получены обобщенные зависимости коэффициента теплопроводности для тел с различной структурой (волокнистая, слоистая, зернистая), позволяющие с достаточной для инженерной практики точностью определять коэффициент теплопроводности.

Предложено общее решение задачи стационарной теплопроводности для стенок различной структуры и расположения элементов (слоев), объясняющее различие в результатах их расчета.

Полученные данные могут служить основой для создания модели теплопроводности в телах с анизотропными свойствами, и, прежде всего, для теплоизоляционных материалов, используемых при энергосбережении.

3. Огнеупорные материалы

.1 Свойства огнеупорных материалов

В металлургии очень важен вопрос сохранения тепловой энергии. Снижение потерь тепла может быть достигнуто, во многом, за счет правильного подбора огнеупоров. К сожалению, в настоящее время отсутствуют точные сведения об их теплопроводности. Данные представляемые производителями зачастую искажены, так как там представлены несколько завышенные значения. Поэтому в настоящее время важна разработка методики, позволяющей аналитическим способом определить теплопроводность огнеупорных изделий. Это особенно важно на этапе проектирования печи, так как позволяет оценить тепловые потери; и в процессах связанных с автоматическим управлением производственного цикла.

Огнеупорами называют материалы, способные выдерживать температуру выше 1580 °С и противостоять физическому и химическому воздействию металла, шлака и газов в печах.

Развитие огнеупорного производства в нашей стране тесным образом связано с металлургией, которая потребляет до 60%. По мере развития металлургии повышались требования и к огнеупорным материалам, были созданы новые виды огнеупоров, такие как высокоглиноземистые, периклазошпинелидные и ряд оксидных.

Огнеупорные материалы подразделяют в зависимости от различных свойств и характеристик [8].

По огнеупорности их разделяют на виды:

а) огнеупорные (огнеупорность 1580-1770 °С);

б) высокоогнеупорные  (огнеупорность  1770-2000 °С);

в) высшей огнеупорности (огнеупорность более 2000 °С).

По химико-минералогическому составу на:

а) кремнеземистые - огнеупорная основа SiO2 (динасовые, кварцевые);

б) алюмосиликатные - огнеупорная основа А12O3, и SiO2 (шамотные, полукислые и высокоглиноземистые);

в) магнезиальные - огнеупорная основа оксид MgO (магнезитовые, доломитовые, форстеритовые, тальковые и шпинельные);

г) хромистые - огнеупорная основа окислы Сг2О3 и MgO (хромитовые, хромомагнезитовые и магнезито-хромитовые);

д) углеродистые, с огнеупорной основой С (углеродистые и графитовые);

е) цирконистые - огнеупорная основа - окисел ZrO2 (цирконовые, циркониевые);

ж) карбидные, с огнеупорным соединением типа МеС

з) окисные, состоящие в основном из чистых окислов MgO, А12O3, ВеО и др.

. По типу окисла, служащего огнеупорной основой, на:

а) кислые (SiO2);

б) нейтральные (Аl2O3);

в) основные (MgO, СаО).

По способу изготовления огнеупоры делят на естественные и искусственные. Последние, в свою очередь делят на:

а) прессованные;

б) плавленые;

в) трамбованные.

В зависимости от термообработки их можно еще подразделить на обожженные и необожженные.

По сложности формы огнеупорные изделия бывают простыми и фасонными специального назначения. Фасонные, в зависимости от формы, в свою очередь, подразделяют на ряд типов.

На основании ГОСТа огнеупоры одного и того же вида делят по огнеупорности на классы, а по внешним признакам - на сорта.

По применению в кладке огнеупорные материалы делят на доменные, предназначенные для кладки доменных печей; насадочные, используемые для кладки регенеративных и рекуперативных насадок; ковшовые, употребляемые для футеровки ковшей и др. [8]

Далее представлены свойства огнеупорных изделий плотности, пористости и теплопроводности.

) Пористость. Стойкость огнеупоров во многом зависит от пористости, которая колеблется в широких пределах: от 1 в плавленых и до 80% в изоляционных огнеупорных материалах. Поры в огнеупорных материалах могут быть открытыми, т. е. они сообщаются с окружающей атмосферой; сквозными, когда они проходят насквозь через все изделие, и закрытыми. Поэтому пористость подразделяют на три вида:

▪ общую, определяемую как отношение объема всех пор к общему объему изделия;

▪ кажущуюся - отношение объема открытых пор к общему объему изделия;

▪ закрытую - отношение объема закрытых пор к общему объему.

Чем больше кажущаяся пористость, тем хуже огнеупор противостоит разъедающему действию шлаков и металла, которые попадают по порам внутрь огнеупорного изделия. Пористость определяют стандартным методом. Пористость огнеупорного изделия связана с теплопроводностью обратно пропорционально [8].

) Теплопроводность. Теплопроводность огнеупоров должна быть низкой. Лишь в тех случаях, когда тепло передается через огнеупоры (в муфелях, рекуператорах), повышение теплопроводности желательно. Теплопроводность зависит от природы материала, его пористости и температуры. Кристаллические вещества более теплопроводны, чем аморфные, С повышением температуры теплопроводность огнеупоров возрастает, исключение составляют магнезит и форстерит. Увеличение пористости приводит к снижению теплопроводности.

Зависимость коэффициента теплопроводности λ от температуры представлена формулой:

λt = λ0 + bT(15)

где λ0 − коэффициент теплопроводности при нормальных условиях, Вт/(м∙ºK),- некоторый коэффициент,- фактическая температура, ºK.

На рисунке 11 представлена зависимость коэффициента теплопроводности от температуры для некоторых огнеупоров [8].

Рисунок 11 - Зависимость коэффициента теплопроводности от температуры;  1 - магнезит, 2 - хромомагнезит, 3 - динас, 4 - шамот, 5 - пеношамот

Как видно из графика теплопроводность для шамота и пеношамота (4 и 5 соответственно) незначительно зависит от температуры. Также можно заключит, что разница между некоторым значением, и каким либо другим, измеренным на 100 - 150 ºC больше или меньше его, теплопроводность огнеупора останется примерно одинаковой. Поэтому при обработке данных можно использовать значения теплопроводности, полученные при близких значениях температур.

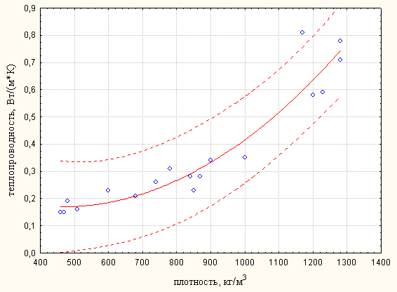
В качестве огнеупорных материалов для проверки наличия зависимости плотности и теплопроводности, были выбраны алюмосиликатные огнеупоры (шамотные, высокоглиноземистые). Они до начала размягчения и появления жидкой вазы не претерпевают изменения кристаллической решетки. Это видно из диаграммы состояния SiO2 − Al2O3, представленной на рисунке 12.

Рисунок 12 - Диаграмма состояния SiO2 − Al2O3

До 1545 ºC существует твердая фаза муллит + кристобалит, которая после этой температуры, в зависимости от состава начинает переходить или жидкую фазу (в области эвтектики), или образует систему муллит + жидкая фаза. Можно предположить, что механизм теплопередачи до 1545 ºC не должен сильно изменяться, в связи с сохранением одной структуры кристаллической решетки. В частности, это находит свое подтверждение на графиках зависимости теплопроводности от температуры. Из них видно, что для данного типа огнеупоров теплопроводность незначительно меняется в температурном диапазоне [19].

.2 Обработка данных и построение модели

Сущность графического метода заключается в построении графика по полученным, в процессе эксперимента данным или набранным из литературных источников. После построения графика находим аналитическую зависимость между переменными.

По результатам литературного обзора [16,19] были получены сведения о кажущейся плотности (ρ), открытой пористости (П), коэффициенту теплопроводности (λ) и составе для алюмосиликатных огнеупоров. Наиболее полно эти данные представалены для японских огнеупоров (таблица 1,2). Измерение значения коэффициента теплопроводности проводилось при температуре 350 ºC.

ρ − кажущаяся плотность огнеупорного материала, характеризует плотность изделия, включая поры и пустоты, содержащиеся в кирпиче, кг/м3.

λ − коэффициент теплопроводности огнеупорного кирпича, содержащего поры и пустоты, Вт/(м∙ºK),

П - открытая пористость, характеризует количество пор, сообщающихся с окружающей средой. Единицей измерения служит процент, занимаемый порами, от объема тела.

Статистическая обработка данных выполнена в программе  Statistica 6.0 на основе регрессионного анализа. Мы предположили, что уравнение  λ = f(ρ) может быть линейно параметрической функцией, которая в общем виде представляет степенной полином вида (16):

(16)

Или зависимость теплопроводности от плотности может быть представлена экспоненциальной функцией вида (17)

(17)

Таблица 1 - Основные характеристики разных марок алюмосиликатных огнеупоров

марка

A-2

LBK-20

I-2

LBK-23

TK-1

A-6K

BK-28

I-1

ρ, кг/м3

460

470

480

510

600

680

740

780

П, %

80

83

82

81

80

75

72

77

λ, Вт/м∙ºK

0,15

0,15

0,19

0,16

0,23

0,21

0,26

0,31

Al2O3, %

39,61

99,2

39,85

72,8

56,7

47,04

94,0

SiO2, %

43,52

0,20

43,76

26,7

21,1

51,59

0,30


Таблица 2 - Основные характеристики разных марок алюмосиликатных огнеупоров

марка

BK-30

B-5H

BK-3000

I-3

HA-1

HA-2

is

AiF

ρ, кг/м3

840

850

870

900

100

1200

1230

1280

1280

П, %

69

64

69

72

68

64

62

63

67

λ, Вт/м∙ºK

0,28

0,23

0,28

0,34

0,35

0,58

0,59

0,71

0,78

Al2O3, %

47,04

29,5

35,59

99,2

72,8

96,5

89,5

86,7

99,9

SiO2, %

51,59

67,74

64,30

0,20

26,70

0,23

0,08

13,60

0,10


На основании статистического анализа были получены две модели связывающие плотность и теплопроводность для алюмосиликатных огнеупоров (15,16).

Модель, для построения которой взята полиномиальная структура, показана на рисунке 13. Красной непрерывной линей показана функция  λ = f(ρ), пунктирными линиями верхняя и нижняя линяя регрессии.

Рисунок 13 - Полиномиальная модель зависимости теплопроводности от плотности

Уравнение, описывающее зависимость, представляет полином второй степени (18) относительно плотности:

(18)

Модель, для построения которой взята экспоненциальная структура, показана на рисунке 14. Красной непрерывной линей показана функция  λ = f(ρ).

Рисунок 14 - Экспоненциальная модель зависимости теплопроводности от плотности

Уравнение, описывающее зависимость, представляет экспоненциальную функцию (19).

(19)

Оба графика представленные на рисунках 13 и 14 имеют приблизительно одинаковый характер.

Для более точного представления о точности полученных моделей проводилась проверка адекватности, которая представлена ниже.

3.3 Оценка адекватности полученных моделей

Сведем полученные данные в таблицу 3, в которой отразим данные модели построенной на основе экспоненциальной зависимости и модели на основе полиномиальной функции. Ниже представленные переменные характеризующие математические модели.

ρi − кажущаяся плотность i-го огнеупора, кг/м3;

λi - коэффициент теплопроводности i-го огнеупора, Вт/(м∙ºК);

λэксп i - коэффициент теплопроводности i-го огнеупора, найденный по модели, построенной на основе экспоненциальной функции, Вт/(м∙ºК);

λполином i - коэффициент теплопроводности i-го огнеупора, найденный по модели, построенной на основе полиномиальной функции, Вт/(м∙ºК);

Δ λэксп i = | λi - λэксп i | - модуль разности коэффициента теплопроводности между значением, взятым из литературы, и полученным на основе экспоненциальной модели;

Δ λэксп i = | λi - λполином i | - модуль разности коэффициента теплопроводности между значением, взятым из литературы, и полученным на основе полиномиальной модели;

δ λполином i =( λi - λэксп i)2 - квадрат модуля разности коэффициента теплопроводности между значением, взятым из литературы, и полученным на основе экспоненциальной модели;

δ λполином i =( λi - λполином i)2 - квадрат модуля разности коэффициента теплопроводности между значением, взятым из литературы, и полученным на основе полиномиальной модели

Таблица 3 - Сравнение литературных данных с данными, полученными с помощью моделей

Марка

ρi

λi

λэксп i

λполином i

Δ λэксп i

δ λэксп i

Δ λполином i

δ λполином i

A-2

460

0,15

0,151697033

0,178767552

0,001697033

2,87992E-06

-0,028767552

0,000827572

LBK-20

470

0,15

0,154606832

0,178883848

0,004606832

2,12229E-05

-0,028883848

0,000834277

I-2

480

0,19

0,157572446

0,179174688

0,032427554

0,001051546

0,010825312

0,000117187

LBK-23

510

0,16

0,166814986

0,181094472

0,006814986

4,6444E-05

-0,021094472

0,000444977

TK-1

600

0,23

0,197924438

0,1962792

0,032075562

0,001028842

0,0337208

0,001137092

A-6K

680

0,21

0,23041576

0,221645728

0,02041576

0,000416803

-0,011645728

0,000135623

BK-28

740

0,26

0,258238953

0,248001472

0,001761047

3,10129E-06

0,011998528

0,000143965

I-1

780

0,31

0,278630165

0,269062848

0,031369835

0,000984067

0,040937152

0,00167585

BK-30

840

0,28

0,31227535

0,305891232

0,03227535

0,001041698

-0,025891232

0,000670356

B-H5

850

0,23

0,318265306

0,3126402

0,088265306

0,007790764

-0,0826402

0,006829403

BK-3000

870

0,28

0,330592113

0,326661768

0,050592113

0,002559562

-0,046661768

0,002177321

I-3

900

0,34

0,349983262

0,3490032

0,009983262

9,96655E-05

-0,0090032

8,10576E-05

TK-2

1000

0,35

0,423217118

0,43482

0,073217118

0,005360746

-0,08482

0,007194432

D-B

1170

0,81

0,584575141

0,620766408

0,225424859

0,050816367

0,189233592

0,035809352

HA-1

1200

0,58

0,61886387

0,6588168

0,03886387

0,0015104

-0,0788168

0,006212088

HA-2

1230

0,59

0,655163832

0,698438088

0,065163832

0,004246325

-0,108438088

0,011758819

is

1280

0,71

0,720456709

0,767964448

0,010456709

0,000109343

-0,057964448

0,003359877

AiF

1280

0,78

0,720456709

0,767964448

0,059543291

0,003545403

0,012035552

0,000144855



На основе таблицы 3 найдем значения остаточных дисперсий для коэффициента теплопроводности из трех выборок, представленных в таблице.

(20);

- количество данных, используемых для построения модели;- число степеней свободы, также характеризует число коэффициентов в уравнении модели.

Ниже представлены результаты вычисления остаточных дисперсий коэффициента теплопроводности для данных из таблицы 111.ост (литер.) = 0,04947 - дисперсия литературных данных;ост (литер.) = 0,04095 - дисперсия данных экспоненциально модели;ост (литер.) = 0,04731 - дисперсия данных полиномиальной модели.

0,00448 - для экспоненциальной модели;

0,00442 - для полиномиальной модели.

Коэффициент корреляции между плотностью и коэффициентом теплопроводности для литературных данных составляет Ккор = 0,9154; коэффициент Пирсона составляет КПирсон = 0,9154. Можно заключить, что имеется взаимосвязь между коэффициентом теплопроводности и плотностью для алюмосиликатных огнеупоров.

.4 Экспериментальная проверка адекватности модели

В результате научно-исследовательской работы теоретические литературные данные, были проверены экспериментальным методом. Испытания проводились с помощью прибора ИТП-МГ4 «100».

Прибор ИТП-МГ4 «100» предназначен для определения теплопроводности и термического сопротивления строительных материалов, а также материалов, предназначенных для тепловой изоляции промышленного оборудования и трубопроводов при стационарном режиме и методом теплового зонда.

Прибор позволяет определять теплопроводность и термическое сопротивление материалов при средней температуре образца от +15 до +42,5°С, обеспечивая автоматическое регулирование температур холодильника и нагревателя и их термостатирование в процессе испытаний.

Получаемая в процессе измерений информация автоматически архивируется и маркируется датой и временем измерения. Прибор может комплектоваться тепловым зондом для оперативного контроля теплопроводности материалов в процессе их производства и применения, а также при обследовании зданий и сооружений, имеет связь с ПК.  Общий вид прибора представлен на рисунке 15, его технические характеристики в таблице 4.

Рисунок 15 - Прибор ИТП-МГ4 «100» для определения коэффициента теплопроводности

Базовый комплект поставки измерителя ИТП-МГ4 «100» включает в себя:

электронный блок

стационарная тепловая установка

контрольный образец из оргстекла

кабель связи с ПКс программным обеспечением

Дополнительные принадлежности к измерителю ИТП-МГ4 «100» могут включать:

тепловой зонд

короб для испытания насыпных материалов

Таблица 4 − Технические характеристики измерителя ИТП-МГ4 «100»

Диапазон определения коэффициента теплопроводности при стационарном режиме, Вт/м•К

0,02...1,5

Диапазон измерения термического сопротивления, м2•К/Вт

0,01...1,5

Диапазон определения теплопроводности методом теплового зонда, Вт/м•К

0,03...1

Предел сновной относительной погрешности определения коэффициента теплопроводности и термического сопротивления при стационарном режиме, %

±5

Предел основной относительной погрешности определения коэффициента теплопроводности методом теплового зонда, %

±7

Размеры испытываемого образца, мм

100х100х3...28

Объем памяти результатов измерений

100...200

Связь с компьютером

Интерфейс RS-232

Питание прибора

220В/50Гц

Потребляемый ток, А

0,25

Время одного измерения, не более, мин: - при стационарном режиме - методом теплового зонда

 60 10

Габаритные размеры, мм: - электронного блока - нагревательной установки

 175х90х30 155х200х210

Масса прибора не более, кг

4


Проведение экспериментов

Испытания образцов проводились в ОАО «Западно-Сибирский испытательный центр», в соответствии с ГОСТ 7076-99. На лицензированном приборе ИТП-МГ4 «100».

Для испытания были приготовлено 6 образцов из огнеупорных материалов: 5 образцов из шамота легковеса, 5 образцов из шамота полулегковеса. Перед испытанием образцов на теплопроводность, был проведен эксперимент по определению плотности и кажущейся пористости. Значения физических параметров таблиц 5 и 7 получены в результате пяти испытаний для каждого образца огнеупора и их последующего нахождения среднего значения. После испытаний данные эксперимента были усреднены, эти значения приведены в таблицах 5 и 6 для шамота легковеса и в таблицах 7 и 8 для шамота полулегковеса.

Таблица 5 − Данные эксперимента для шамота легковеса

Измеряемый параметр

Обозначение

Единица измерения

Численное значение

Масса сухого образца

mc.o.

г

91,6

Масса влажного образца

mв.o.

г

98,8

Объем образца

V0

см3

188,2


Таблица 6 − Расчетная таблица для шамота легковеса

Рассчитываемая величина

Формула и численное значение

Результат расчета

Объемная плотность, г/см3

R = mc.o./V0 = 91,6/188,2

0,49

Масса поглощенной воды, г

mв = mв.о. - m.c.o. = 99,8 - 91,6

8,2

Влагосодержание, %

W = (mв./mс.о.)∙100 = = (8,2/188,2)∙100

8,85

Кажущаяся пористость, %

Пк = (mв./ V0)∙100 = = (8,2∙188,2)∙100

4,36


Таблица 7 − Данные эксперимента для шамота полулегковеса

Измеряемый параметр

Обозначение

Единица измерения

Численное значение

Масса сухого образца

mc.o.

г

200,2

Масса влажного образца

mв.o.

г

282,3

Объем образца

V0

см3


Таблица 8 − Расчетная таблица для шамота полулегковеса

Рассчитываемая величина

Формула и численное значение

Результат

Объемная плотность, г/см3

R = mc.o./V0 = 200,2/190,12

1,05

Масса поглощенной воды, г

mв = mв.о. - m.c.o. = 282,3 - 200,2

82,1

Влагосодержание, %

W = (mв./mс.о.)∙100 = = (82,1/200,2)∙100

41

Кажущаяся пористость, %

Пк = (mв./ V0)∙100 = = (82,1∙190,12)∙100

43,18


В дальнейшем были проведены испытания по определению коэффициента теплопроводности изучаемых огнеупорных материалов. Для этого были выпилены образцы, размеры которых: длина 100 мм, ширина 100 мм. Испытания проводились 5 раза для каждого из образцов, а затем было найдено среднее значение каждой из переменных. Результаты представлены в таблицах 9 и 10 шамота легковеса и шамота полулегковеса соответственно.

Таблица 9 − Результаты испытаний по определению коэффициента теплопроводности шамотных легковесных огнеупорных материалов

№ эксперимент

Толщина образца, мм

Время испытания, с

Коэффициент теплопроводности, Вт/(м∙ºК)

1

18,7

1761

0,105

2

18,7

2211

0,104

3

18,7

1954

0,105

4

18,7

1698

0,104

5

18,7

2085

0,106

среднее

18,7

1942

0,104


Таблица 10 − Результаты испытаний по определению коэффициента теплопроводности шамотных полулегковесных огнеупорных материалов

№ эксперимент

Толщина образца, мм

Время испытания, с

Коэффициент теплопроводности, Вт/(м∙ºК)

1

24,4

1839

0,219

2

24,4

1951

0,218

3

24,4

1754

0,217

4

24,4

2024

0,219

5

24,4

2050

0,218

среднее

24,4

1942

0,218


Значения коэффициента теплопроводности, как видно из таблиц 9 и 10 одинаковые, различия в сотых знаках можно считать погрешностью прибора. Будем коэффициент теплопроводности идентичным для всех исследованных образцов.

Для соотнесения результатов эксперимента с результатами модели был проведен пересчет экспериментальных данных с учетом температурного фактора. Ввиду того, что уравнения описывающие функцию λ = f(ρ) адекватны при температуре 350 ºС ; пересчет проводился: по формуле (21) для шамота легковеса и по формуле (22) для шамота полулегковеса [16]. Плотность алюмосиликатных огнеупоров в температурном интервале  0−400 ºС меняется незначительно, поэтому расширением материала с повышением температуры можно пренебречь [9,19].

(21)

(22)

Коэффициент теплопроводности и плотность шамота легковеса −  λшл = 0,157 Вт/(м∙ºК), ρшл = 490 кг/м3.

Коэффициент теплопроводности шамота полулегковеса −  λшпл = 0,323 Вт/(м∙ºК), ρшпл = 1050 кг/м3.

Результаты эксперимента были соотнесены с уравнениями математических моделей. На координатную плоскость, были отложены значения, полученные в результате эксперимента, с целью сопоставить их с уравнением. Результаты представлены на рисунке 16 для полиномиальной структуры и на рисунке 17 для экспоненциальной структуры

Рисунок 16 - Экспериментальные значения на полиномиальной зависимости коэффициента теплопроводности от плотности

Рисунок 17 - Экспериментальные значения на экспоненциальной зависимости коэффициента теплопроводности от плотности

Из анализа графика видно, что значения экспериментальных точек соответствуют литературным данным, отклонения находятся в зоне погрешности измерительного прибора. Это характеризует математические модели как достоверные, они согласуются с экспериментальными данными. Для построения модели теплопроводности в качестве входной величины предпочтительнее использовать объемную плотность огнеупора. Это связано с тем, что при испытаниях образцов было установлено, что изменение кажущейся пористости не согласуются с изменением объемной плотности. Истинная пористость является трудно определяемой величиной, ввиду сложностей в определении закрытой пористости, что было обнаружено при проведении опытов.

3.5 Выводы по математической модели

В результате анализа экспериментальных данных было установлено наличие зависимости между плотностью и теплопроводностью алюмосиликатных огнеупоров. Было получено два уравнения описывающие коэффициент теплопроводности как функцию плотности в виде экспоненциальной и полиномиальной зависимости. Оба уравнения являются адекватными моделями исходя из статистической обработки. Построение моделей на основе пористости и коэффициента теплопроводности является затруднительным, по причине отсутствия точных сведений об истинной пористости огнеупоров. Использование для этой цели открытой пористости невозможно, в связи с отсутствием корреляционной зависимости между ней и плотностью. По результатам сравнения результатов моделирования и результатов опыта можно заключить о соответствии практических данных опытным. Математические модели являются адекватными.

4. Теплоизолированная труба

.1 Разработка новой конструкции теплоизолированной трубы

Одной из главных функций теплоизоляционных материалов является уменьшение потерь тепла в окружающую среду. При движении нагретой жидкости в трубах важно минимизировать потери тепла от нее в окружающую среду. Уменьшение потерь тепла достигается за счет покрытия трубы теплоизоляционным материалом. Изоляцию труб осуществляют сплошным материалом с низким коэффициентом теплопроводности. Этим материалом может быть пенополиуритан (ППУ), базальтовое волокно, минеральная вата. Подробно достоинства и недостатки применяемых теплоизоляционных материалов описаны в введении, мы не будем на них здесь подробно останавливаться.

На основании обобщенной методики определения коэффициента теплопроводности установлено наличие обратно пропорциональной зависимости между коэффициентом теплопроводности и пористостью вещества. Самая низкая теплопроводность может быть достигнута при 100 % пористости, что соответствует газовому слою. Это говорит о возможности использования газов в качестве теплоизоляционного материала. Была разработана новая конструкция теплоизолированной трубы, защищенная патентом.

Теплоизолированная труба, состоит из двух концентрически расположенных труб (теплоизолируемой и гидроизолирующей), на торцах которых находятся заглушки. В качестве теплоизолирующего материала используется газ, как материал с наименьшей теплопроводностью по сравнению с другими материалами, газовый зазор между трубами фиксируется за счет крепежных элементов, периодически заполняющих пространство между ними. Кольцевой зазор между трубами заполняется воздухом; газом, обладающим меньшей теплопроводностью, чем воздух (Ar, Xe, Kr и другие газы) или газом, обладающим способностью поглощать тепловое излучение внутренней горячей трубы (СО2).

Воздух или другой газ, обладая низким значением коэффициента теплопроводности, выполняет главную теплоизолирующую функцию, Функция материла периодической структуры, заключается в фиксации наружной гидроизолирующей трубы относительно внутренней теплоизолируемой. Образующийся кольцевой газовый зазор обеспечивает низкое значение коэффициента теплопроводности. В качестве материала периодической структуры может выступать различные структуры: сетка Рабица, система центраторов, шнур или шланг из ПВХ, и тому подобное. Торцы труб герметизируются с помощью заглушек для предотвращения конвективного теплообмена. Конструкция трубы представлена на рисунке 18.

Рисунок 18 - Конструкция трубы с теплоизоляционной структурой

- внутренняя металлическая труба, 2 - материал периодической структуры (шланг из ПВХ, или шнур из губчатого ПВХ), 3 - наружная гидроизолирующая труба оболочка, 4 - заглушка на торце трубы

При оценке теплопроводности воздушного слоя в начале считаем, что теплообмен осуществляется только теплопроводностью. Для предотвращения потерь тепла изучением на внутреннюю горячую трубу следует наносить краску с низким коэффициентом излучения.

Для оценки тепловой эффективности новой «воздушной» трубы определяется коэффициент теплопроводности теплоизолирующего слоя (воздух + элемент периодической структуры), который может быть рассчитан по формуле 23.

       (23)

- площадь материала соприкасающегося с поверхностью теплоотдачи, м2; %.- общая площадь поверхности теплоотдачи, м2, %.

λi - коэффициент теплопроводности i-го вещества.

) Расчет коэффициента теплопроводности для сетки-рабицы проводим для одной ячейки, так как эти данные равны теплопроводности слоя сетки-рабицы расположенного в кольцевом зазоре. Принимаем шаг равным: Коэффициент теплопроводности стали принимаем 48 Вт/(м∙ºК) [7].  δш = 20 мм = 0,02 м, диаметр проволоки dпр = 0,002 м. Далее находим площадь одной ячейки: F = δ2 = 0,0004 м2.

Находим площадь стали и площадь воздуха, соприкасающихся с поверхностью теплоотдачи по формлам:

м2.(24)возд = F - Fсталь = 0,00039686 м2.(25)

Коэффициент теплопроводности слоя сетка-рабица + воздух:

Вт/(м∙ºК).(26)

При заполнении межтрубного пространства сеткой-рабицей на 33%, коэффициент теплопроводности кольцевого зазора составит:

 Вт/(м∙ºК).  (27)

) Коэффициент теплопроводности слоя шланг ПВХ + воздух рассчитываем по соотношению, что длина шланга в три раза больше длинны трубы. Контакт между шлангом из ПВХ и трубой будет точечный, но из-за механических деформаций ширина контакта увеличится до 5 мм. Коэффициент теплопроводности ПВХ принимаем 0,15 Вт/(м∙ºК).

 Вт/(м∙ºК).   (28)

) Коэффициент теплопроводности кольцевого зазора при обертке внутренней трубы шлангом из жесткого ППУ рассчитывается по соотношению, что длина шланга в 3 раза больше длинны трубы. Толщина контакта ППУ и внутренней трубой является точечной, но из-за механических деформаций считаем равной 5 мм. Коэффициент теплопроводности жесткого ППУ принимаем равным 0,04 Вт/(м∙ºК) [14, 30].

 Вт/(м∙ºК).   (29)

) При использовании центраторов для фиксации труб коэффициент теплопроводности кольцевого зазора равен коэффициенту теплопроводности воздуха, так как переносом тепла по центраторам можно пренебречь ввиду их незначительного диаметра.

Полученные значения для коэффициентов теплопроводности кольцевого зазора (материал периодической структуры + воздух) представлены в таблице 11, там же приведены значения для других теплоизоляционных материалов для сравнения. [7, 14, 25, 30] (без учета излучения).

Таблица 11 - теплопроводность теплоизоляционных материалов

Название материала

Коэффициент теплопроводности, Вт/(м∙ ºК)

Межтрубное пространство, заполненное  сеткой-рабицой (коэффициент заполнения 100%)

0,374

Межтрубное пространство, заполненное  сеткой-рабицой (коэффициент заполнения 33%)

0,257

Межтрубное пространство, заполненное шлангом ПВХ

0,043

Межтрубное пространство, заполненное шлангом из жесткого ППУ

0,023

Пенополиуритан

0,025 - 0,04

Базальтовое вололокно

0,04 - 0,05

Пробковые плиты

0,042 - 0,054

Асбест

0,35

Пенопласт

0,04

Стекловата

0,05

Стекловолокно

0,035

Вспененный ПВХ

0,07- 0,09

Полиэтилен

0,36 - 0,43

Пенобетон (1200 кг/м3)

0,29

Пенобетон (1000 кг/м3)

0,22

Пенобетон (600 кг/м3)

0,12


Из таблицы видно, что коэффициенты теплопроводности кольцевого зазора, заполненного материалом периодической структуры, имеют близкие значения к теплоизоляционным материалам низкой теплопроводности.

Теплоизолированные трубы с использованием, с применением материала периодической структуры в качестве заполнителя межтрубного пространства, могут найти применение в коммунальном хозяйстве. Для оценки их эффективности проведем сравнение тепловых потоков через теплоизолированную трубу. Для этого выберем стальную трубу одинакового диаметра для всех случаев и одинаковую толщину тепловой изоляции.

Плотность теплового потока идущего через стенку трубы вычисляем по формуле (30):

;   (30)

Δt - перепад температур между внутренней поверхностью стальной трубы и наружной поверхностью полиэтиленовой трубы, ºС;

λсталь - коэффициент теплопроводности стальной трубы, принимаем равным  48 Вт/(м∙ºК) [7];

λкольц.зазор - коэффициент теплопроводности кольцевого зазора, Вт/(м∙ºК);

λПЭ - коэффициент теплопроводности полиэтилена, принимаем равным  0,4 Вт/(м∙ºК) [7, 14, 30];

 - наружный диаметр стальной трубы, м;

 - внутренний диаметр стальной трубы, м;

 - наружный диаметр полиэтиленовой трубы, м;

 - внутренний диаметр полиэтиленовой трубы, м;

αвод - коэффициент конвективной теплоотдачи воды, принимаем равным 90 Вт/(м2∙ºК) [8];

αвозд - коэффициент конвективной теплоотдачи воздуха, принимаем равным 16 Вт/(м2∙ºК) [8].

Тепловой поток рассчитан для стальной трубы внешнего диаметра 108 мм, при толщине стенки 5 мм. Полиэтиленовые трубы диаметром от 160 мм до 315 мм по данным ГОСТ 30732-2006. Полученные результаты представлены в таблице 12. Расчет проводился с предположением, что теплопередача осуществлялась только теплопроводностью.

Таблица 12 - Значения тепловых потоков при различном заполнении кольцевого зазора и разных диаметрах полиэтиленовых труб

Заполнение

Диаметры наружной полиэтиленовой трубы, мм


160

180

200

225

250

сетка-рабица (100%)

410,39

320,00

267

225,93

198,32

сетка-рабица (100%)

299,07

229,31

190,00

160,00

139,63

воздух + шланг ПВХ

56,3

41,7

34,4

28,3

24,5

воздух + ППУ

30,5

22,5

18,5

15,2

13,1

воздух

26,52

19,6

16,1

13,3

11,4

ППУ

46,0

34,1

28,1

23,1

19,9

Стекловата

65,1

48,3

39,9

32,9

28,4

Пенопласт

52,4

38,8

32,0

26,4

22,8


Графически значения тепловых потоков представлены на рисунке 19, по оси абсцисс отложены в порядке возрастания диаметры труб, по оси ординат значения тепловых потоков через трубную теплоизоляцию для различных материалов.

Рисунок 19 − Значения тепловых потоков при различном заполнении кольцевого зазора, и разных диаметрах полиэтиленовых труб

Из анализа таблицы и графиков видно, что значения тепловых потоков через стенку трубы (теплоизоляция за счет элементов периодической структуры), приблизительно равны тепловым потокам через стенку трубы, изолированной ППУ, пенопластом и стекловатой. Применение сетки Рабица целесообразно для теплоизоляции горячих труб с температурой стенки выше 200 - 250 ºС, при этой температуре данный теплоизолятор сохраняет свои свойства. Особенно это актуально для изоляции труб, по которым подается нагретый газ и воздух в методическую печь.

Выводы:

) Применение материалов периодической структуры в качестве теплоизоляции трубопроводов возможно по техническим соображениям, так как значения коэффициентов теплопроводности уже используемых материалов и предлагаемых одинаковы.

) Материалы периодической структуры, такие как сетка-рабица и шланг ПВХ, обладают большей механической прочностью и долговечностью, по сравнению с используемыми теплоизоляционными материалами (например, со стекловатой). Это увеличивает срок эксплуатации трубопроводов и уменьшает расходы на их обслуживание.

.2 Экспериментальная проверка тепловых потоков

Для написания дипломной работы проводились эксперименты по определению теплового потока через стенку предызолирванной трубы. Для этого была собрана экспериментальная установка (рисунок 20). Она представляет собой предызолированную трубу, размещенную вертикально, внутри которой находится горячая вода при температуре кипения. На поверхности наружной стенки горячей трубы, в теплоизолирующем слое, и на внутренней и наружной поверхностях гидроизолирующей трубы размещены термоэлектрические преобразователи. Значение температуры определяется вторичным прибором.

Наружный диаметр стальной трубы составляет dст = 108 мм, наружный диаметр пластиковой полиэтиленовой трубы dпласт = 200 мм, толщина стенки для первой и второй трубы составляет 5 мм. Кольцевой зазор между трубами может заполняться различными теплоизоляционными материалами.

На данном приборе были проведены эксперименты по определению плотности температурного поля теплоизоляции.

Рисунок 20 - Схема установки для определения теплового потока через трубу; 1 - ртутный термометр, 2 - термоэлектрические преобразователи и контакты, идущие от них (термоэлектрические преобразователи показаны окружностью на конце провода), 3 - переключатель термопар, 4 - вторичный прибор, 5 - пробка,  6 - пенопластовая изоляция, 7 - слой ППУ, 8 - нагреватель.

Результаты для трубы изолированной ППУ представлены в таблице 13. Эксперименты проводились после наступления стационарного режима, для этого проводился прогрев стенки трубы в течении часа. После этого проводились замеры температуры. Термоэлектрический преобразователь №1 расположен на наружной поверхности горячей трубы, под слоем теплоизоляции. Термоэлектрический преобразователь №2 находится в середине теплоизолирующего слоя. Термоэлектрические преобразователи № 3 и №4 расположены на внутренней и наружной поверхности пластиковой гидроизолирующей трубы.

Таблица 13 - Температурное поле


опыт №1

опыт №2

опыт №3

опыт №4

опыт №5

терм. №1

30

30

32

33

33

терм. №2

34

34

35

36

36

терм. №3

43

44

45

46

45

терм. №4

97

96

97

97

97

темп. воды

98

98

98

99

99

темп. возд.

25

25

25

25

25


Теловой поток через стенку ППУ трубы рассчитанный на основании разностей температур по формуле (30) составляет 23,6 Вт/(м∙ºК), что соответствует расчетному значению из таблицы 12. Тепловой поток, замеренный с помощью прибора «ИПП-2МК» составляет 24 Вт/(м∙ºК).

Для оценки эффективности «воздушной» трубы определялся тепловой поток прибором «ИПП-2МК»; значение составило 280 Вт/(м∙ºК).

Разница между тепловым потоком через ППУ трубу и «воздушную» можно объяснить за счет влияния излучения. Оно осуществляется нагретой стальной трубой, за счет этого возрастают тепловые потери.

.3 Расчет лучистого теплообмена в межтрубном пространстве

Расчет выполняем по методике изложенной в источнике [7]. В качестве исходных данных принимаем результаты эксперимента: труба с горячей водой - наружный диаметр d1 = 0,108 м, температура стенки t1 = 98 ºС; гидроизолирующая труба - наружный диаметр d2 = 200 м, температура стенки t2 = 40 ºC.

Лучистый тепловой поток определяется уравнением:

.(31)

В этом уравнении C0 = 5,70  − численный коэффициент,

εпр - приведенная степень черноты. Она определяется уравнением (32),  (εг = 0, заполнение воздухом).

,(32)

где ε1 и ε2 - степени черноты материалов труб.

 - угловой коэффициент.

При создании установки длина металлической и гидроизолирующей трубы равны, находим угловой коэффициент по формуле

.

Принимаем в первом приближении ε1 = 0,8 (окисленная сталь), ε2 = 0,55 (полиэтилен).

Рассчитываем приведенную степень черноты при этих условиях:

.

Плотность теплового потока:

Вт/м2.

Полученный результат соответствует опытным замерам прибором ИПП - 2М.

Уменьшение теплового потока может быть достигнуто за счет окраски поверхностей труб, участвующих в теплообмене, алюминиевой краской. Это даст значения степени черноты ε1 = ε2 = 0,27.

Это дает величину:

.

Величина теплового потока:

Вт/м2.

Еще одним средством уменьшения теплового потока от внутренней трубы к наружной (гидроизолирующей) является заполнение межтрубного пространства лучепоглощающим газом, самым доступным является диоксид углерода (СО2).

При условии ε2 ≠ 0, величина приведенного коэффициента степени черноты εпр определяется следующим выражением [7].

.(33)

Вт/м2

В этом уравнении появился новый член εг − степень черноты газа (СО2), определяется как функция от температуры газа и силы поглощения газа. Температура газа может быть принята как среднее арифметическое температур поверхностей труб:

 ºС.

Сила поглощения pl определяется через парциальное давление РСО2. При атмосферном давлении РСО2 = 100 кПа. Эффективная длина луча для промежутка между двумя концентрическими поверхностями [7]:

.(34)

Для наших условий l = 0,09 м.

По диаграммам для СО2 [7] находим степень черноты газа, которая составляет εг = 0,09.

После подстановки получим:

.

Величина теплового потока при этих условиях составляет:

Вт/м2.

Очевидно, что можно подобрать значение теплового потока, такое же как у ППУ трубы. Для уменьшения лучистого теплообмена в межтрубном пространстве помимо окрашивания труб целесообразно нанести экран на металлическую трубу, для этого на будет наносится тонкий слой из ППУ, а потом окрашиваться алюминиевой краской. Это будет способствовать снижению лучистого теплообмена, так как часть тепловой энергии будет поглощаться экраном за счет низкой теплопроводности ППУ, а использование алюминиевой краски снизит степень черноты излучающей поверхности.

5. Экономическая часть

Сущность методика заключатся в определении коэффициента теплопроводности по плотности исследуемого материала, которая обычно предоставляется производителем, а при отсутствии данных, может быть легко измерена экспериментальным путем. Теплопроводность обычно искажается производителем или поставщиком для придания своему товару более привлекательного вида. Ввиду сложности проведения экспериментов по определению теплопроводности вещества, разработан аналитический метод, который может служить в качестве оценки коэффициента теплопроводности перед экспериментом или проектированием.

Созданная в ходе дипломной работы математическая модель определения теплопроводности материала позволяет избежать проведения экспериментов и может быть использована на стадии проектирования, когда не имеется в наличии образца, а известны иль теоретические характеристики.

Преимущество методики заключается: в отсутствии необходимости сложного теплотехнического оборудования для проведения экспериментов и привлечения сторонних организаций; возможности провести оценку коэффициента теплопроводности за небольшой временной интервал (несколько минут), по сравнению с экспериментальным способом, где процесс определения может составлять несколько дней (изготовление образцов и проведение нескольких дублирующих опытов).

Планируется написание компьютерной программы, для вычисления коэффициента теплопроводности. Данный шаг упрощает ведение расчетов, снижает вероятность возникновения ошибки. Кроме этого она является более удобным продуктом на рынке, по сравнению с методикой.

Оценка рынка сбыта

Потребителями продукции являются промышленные фирмы, которые производят строительные материалы. Она им необходима для определения коэффициента теплопроводности изготовляемой ими продукции. Фирмы, выполняющие строительные работы в коммунальном секторе, ремонтные организации, жилищно-коммунальные товарищества могут использовать методику для оценки теплопроводности используемых ими материалов, при планировании закупок новых материалов используемых, в строительстве и ремонте. Другими потребителями являются проектные организации, обслуживающие коммунальные или промышленные организации, для них методика является полезной при проведении оценочных и проектных расчетов. На основе анализу промышленных предприятий и обслуживающих организаций Кемеровской области, потребителями данного продукта могут стать 1000 объединений.

Ориентация при сбыте продукции будет осуществляться на организации Российской федерации, Сибирского региона, Кемеровской области.

Конкуренты представлены в виде проектных организации и научно исследовательских или испытательных центров (ОАО «Западно-Сибирский испытательный центр», организация, предлагающая услуги по определению физических свойств материалов). Конкуренция основывается на различной стоимости предоставляемых услуг, времени оказания услуг. Ниже представлена таблица 14, отражающая рынок услуги.

Таблица 14 − Сегментация рынка по группам (г. Новокузнецк).

Вид показателя

Организации


Фирма, обладающая методикой определия коэффициента теплопроводности

ОАО «Западно-сибирский испытательный центр»

точность исследования

до сотых долей

до сотых долей

затраты времени

около 10 мин

3-4 суток, включая время на подготовку образца

Стоимость услуги

Покупка методики определения коэффициента теплопроводности

5000 - 7000 р. за испытание образца, цена зависит от материала и сложности работ

Наличие сложного оборудования

не требуется

требуется

При поступлении товара на рынок методика определения коэффициента теплопроводности имеет ряд преимуществ, по сравнению с экспериментальным методом.

Не требуется проведения эксперимента и операций, связанных с его подготовкой.

Точность методики сопоставим с экспериментальным методом.

При приобретении методики, у организации больше нет необходимости обращаться к сторонней организации. Большое значение это имеет для проектных и строительных организаций, когда необходимо анализировать свойства большого числа материалов.

Недостатком данной методики является то, что в некоторых случаях необходимо обязательное экспериментальное определение коэффициента теплопроводности для некоторых новых материалов или в случаях установленных нормативами.

Анализ производственных возможностей


Таблица 15 - Перечень оборудования для реализации проекта

Показатели

количество

стоимость

Производственные площади

10 м2

предоставляется университетом

Перечень оборудования:



Прибор для определения теплопроводности

1 шт.

40000 р.

Термопары

3 шт.

6000 р.

Съемный диск

1 шт.

1000 р.

Пирометр

1 шт.

3000 р.

Стол лабораторный

1 шт.

2000 р.

общая стоимость

52000 р.


Расчет себестоимости интеллектуальной собственности

Расчет трудоемкости по видам работ и исполнителю проводится для оценки затрат на создание методики определения теплопроводности материала. В дальнейшем он будет включен в стоимость компьютерной программы.

Ок - месячный оклад исполнителя проекта, принимаем 20000 р.

Кр - районный коэффициент, для Кемеровской области Кр = 1,3.

Трудоемкость принимаем из справочных данных, для одного работника занятого умственным трудом, равной: Тр = 209.

Заработная плата исследователя определяется по формуле:

ЗП=р.(35)

Премия исследователя вычисляется по формуле:

П=р.(36)

Выплата по районному коэффициенту вычисляется по формуле:

Врк=р.(37)

Общий фонд оплаты труда вычисляем:

ФОТоб=р.(38)

Отчисления на социальные нужды производим по формуле:

ОСН= ФОТоб ∙ 0,22 = 37668 ∙ 0,22 = 8287 р.(39)

Накладные расходы определяем по уравнению:

НР=р.(40)

Затраты на разработку методики определения коэффициента теплопроводности принимаем 30000 р, Змет = 30000 р.

Затраты связанные с работой на компьютере вычисляем по формуле:

Зком=р.(41)

Прочие затраты определяем по формуле:

Зпр= р.(42)

Сумма затрат на разработку методики определения коэффициента:

Зсумм == 30000 + 23750 + 10500 = 64250 р.(43)

Цена методики определения коэффициента теплопроводности:

Цм = ФОТоб + ОСН + НР + Зсумм = 37668 + 8287 + 28500 + 64250 = 138709 р.(44)

Расчет затрат на создание компьютерной программы

Для оценки стоимости готового продукта рассчитаем затраты на создание компьютерной программы. Для этого будет использоваться квалифицированный программист, владеющий базовыми компьютерными программами и языками программирования. Для выполнения работы потребуется два программиста. Оклад одного программиста составляет 16000 р.

Ок - месячный оклад программистов, принимаем как сумму окладов 32000 р.

Кр - районный коэффициент, для Кемеровской области Кр = 1,3.

Трудоемкость принимаем из справочных данных, для двух работников занятых умственным трудом она составляет: Тр = 512.

Длительность рабочего дня с учетом законодательства 8 часов, но с учетом свободного расписания.

Заработная плата программиста определяется по формуле:

ЗП=р.(45)

Премия программиста вычисляется по формуле:

П=р.(46)

Выплата по районному коэффициенту вычисляется по формуле:

Врк=р.(47)

Общий фонд оплаты труда вычисляем:

ФОТоб=р.(48)

Отчисления на социальные нужды производим по формуле:

ОСН= ФОТоб ∙ 0,22 = 60268 ∙ 0,22 = 13259 р.(49)

Накладные расходы связанные с созданием программы определяем по уравнению:

НР=р.(50)

Затраты на разработку программного обеспечения принимаем 50000 р,  Зпо = 50000 р.

Прочие затраты определяем по формуле:

Зпр= р.(51)

Сумма затрат на разработку программы определения коэффициента:

Зсумм == 50000 + 17500 = 67500 р.(52)

Цена компьютерной программы определения коэффициента теплопроводности:

Цп = ФОТоб + ОСН + НР + Зсумм=60268 + 13256 + 45600 + 67500= 186624 р.(53)

Расчет рыночной стоимости компьютерной программы.

Расчет стоимости компьютерной программы производим по формуле:

.(54)

где, Цм - стоимость создания методики по определению коэффициента теплопроводности; Цп - стоимость создания компьютерной программы.

Стоимость одной лицензионной копии программы принимаем равной 7000 р. Sкопия = 7000 р.

Затраты на один программный продукт с учетом стоимости расходных материалов рассчитываем в соответствии с формулой:

(55)

Цдиск - стоимость одного диска, принимаем 10 р.

Цзапис - стоимость записи на диск, принимаем 10 р.

Цлог - стоимость нанесения логотипа на диск, 30 р.прог = 7000 + 10 +10 +30 = 7050 р.

Цена реализации программы рассчитывается по формуле, НДС - налог на добавленную стоимость составляет 18 % от стоимости товара.

реал = Sпрог(1+НДС) = 7050∙(1+0,18) = 8319 р.  (56)

Из анализа потребителей можно выделить 1000 организаций, готовых купить программу. Будем рассматривать три варианта продаж. При первом случаи развития событий 80 % потенциальных покупателей приобретут программу, во втором случае только 50 %, и в третьем только 20 %. Соответственно для первого случая покупателей будет 800, для второго − 500, для третьего 200.

Доход для первого случая (80 % купят товар) определяем по формуле:

Д1 = Sпрог ∙ Nпотр = 7050 ∙ 800 = 564000 р.(57)

Экономический эффект от продаж составит:

Э1 = Д − S = 564000 − 325323 = 5314677 р.(58)

Доход для второго случая (50 % купят товар) определяем по формуле (59):

Д2 = Sпрог ∙ Nпотр = 7050 ∙ 500 = 3525000 р.(60)

Экономический эффект от продаж составит:

Э2 = Д − S = 3525000 − 325323 = 3199677 р.(61)

Доход для третьего случая (20 % купят товар) определяем по формуле (62):

Д3 = Sпрог ∙ Nпотр = 7050 ∙ 200 = 1410000 р.(63)

Экономический эффект от продаж составит:

Э3 = Д − S = 1410000 − 325323 = 1084677 р.(64)

По результатам расчетов видно, что доходы от продаж компьютерной программы для оптимистичного, реалистичного и пессимистичного случаев превышают расходы на ее создание. Это означает, что создание программы является выгодным вложением капитала.

6. Патентная проработка

ЗАДАНИЕ

На проведение патентных исследований студенту

гр. МТ - 062 Маркус Антона Александровича

Получить патент на полезную модель новой конструкции теплоизолированной трубы. Для этого проанализировать различные способы теплоизоляции трубопроводов, используемых в промышленности и коммунальном хозяйстве. Выбрать аналог и прототип, описать их недостатки. Составить заявку на получение патента и формулу изобретения.

После проведения патентных исследований рассмотреть возможности:

внедрения новой конструкции теплоизолированной трубы в производство.

В ходе работы над дипломным проектом была поставлена задача получить патент на полезную модель. Патентная проработка проводилась с целью поиска аналогов и прототипа заявленной конструкции.

Глубину поиска научно - технической и патентной информации ограничили 10 годами: с 2001 по 2011 гг. В качестве источников информации использовали бюллетень «Изобретения. Полезные модели», РЖ ВИНИТИ «Металлургия», описания изобретений, научно - технические журналы «Металлург», «Известия ВУЗ. Черная металлурги», интернет: сайт fips.ru. По результатам проведенного патентного поиска были выявлены страны, занимающие ведущее место в области создания теплоизолирующих структур трубопроводов. К этим странам относятся Россия, Германия, Шведция. Регламент поиска представлен в таблице 16. Наибольшее число технических решений, опубликованных в печати в этой области, принадлежит России. Анализ конструкций теплоизолированных труб проводился для поиска прототипа и аналогов теплоизолированной трубы с использованием воздуха в качестве теплоизолирующего материала.

Таблица 16 - Регламент поиска

Предмет поиска

Индексы МПК и УДК

Широта поиска (перечень стран)

Глубина поиска

Источник информации

Конструкция теплоизолирующей трубы

МПК F16L59/1 - 59/40; УДК 536.2.08

Германия

2001 - 2011

Б.И.; РЖ; интернет



Россия

2001 - 2011

Б.И.; РЖ; интернет



Швейцария

2001 - 2011

Б.И.; РЖ; интернет


Теплоизоляция трубопроводов осуществляется за счет создания слоя с низкой теплопроводностью на поверхности горячей трубы. Наибольший интерес представляют изобретения, где в качестве теплоизоляционного материала используется воздух или воздушная прослойка. Результаты анализа информационных ресурсов представлены в таблице 17.

Таблица 17 - Патентная документация для анализа и исследования

Название изобретения

Страна; номер патента; индекс МПК

Автор; патентообладатель; дата приоритета; дата публикации

Сущность заявленного технического решения

Теплоизоли-рованная труба

Россия; № 2305222; F16L59/14

Ибатуллин Равиль Рустамович и др.,  ОАО «Татнефть» им. В.Д. Шашина 19.04.2006, 27.08.2007 <http://www.fips.ru/cdfi/fips.dll?ty=29&docid=2305222&cl=9&path=http://195.208.85.248/Archive/PAT/2007FULL/2007.08.27/DOC/RUNWC1/000/000/002/305/222/document.pdf>.Теплоизоляции трубы включает установку трубы с центраторами внутри оболочки с образованием кольцевой полости, герметизацию кольцевой полости заглушками и размещение в ней теплоизоляционного материала, при этом на трубу с центраторами прикрепляют мерные рулоны минеральной ваты, вводят их внутрь оболочки через усаживающую фильеру, причем рабочий диаметр фильеры равен или меньше внутреннего диаметра оболочки, и герметизируют кольцевую полость заглушками.


Теплоизоли-рованная труба

Россия; № 62643 (полезная модель); E21B17/00

Буслаев Виктор Федорович и др. ГОУ ВПО «Ухтинский государственный технический университет» (УГТУ) 08.11.2006, 27.04.2007 <http://www.fips.ru/cdfi/fips.dll?ty=29&docid=62643&cl=9&path=http://195.208.85.248/Archive/PAT/2007FULL/2007.04.27/DOC/RUNWU1/000/000/000/062/643/document.pdf>Теплоизолированная труба, включающая теплоизоляцию, отличающаяся тем, что в конструкции используется труба из композиционных и слоистых материалов, а в качестве теплоизоляции введены полые микросферы, добавленные в связующий материал в количестве  20-90% от объема.


Теплоизоли-рованная труба

Швейцария; № 2339869; F16L59/00. 

Руди Роберто и др. БРУГГ РОР АГ, ХОЛДИНГ; 14.06.2006; 13.06.2007.

В водопроводной трубе с теплоизоляцией с по меньшей мере одной внутренней трубой, слоем теплоизоляции на базе полиуретановой пены, окружающим внутреннюю трубу, пленкой, окружающей слой теплоизоляции, а также гофрированной внешней трубой из термопластичного полимера, теплоизоляционный материал состоит из имеющей частично открытые поры полиуретановой пены с относительным удлинением при разрыве более 15%, между слоем теплоизоляции и пленкой имеется упруго деформируемый промежуточный слой из мягкой полимерной пены, который, по меньшей мере, склеен с пленкой и внешняя труба имеет гофрировку с глубиной гофра от 5/D до 12/D и расстояние между гофрами от 10/D до 25/D, где D - наружный диаметр внешней трубы, измеренный по вершине гофра.

Труба из пенопласта для изоляции трубопроводов и способ ее непрерывного изготовления

Швейцария; № 2318664; B29C44/56.

Меллер Мика; АРМАЦЕЛЛЬ ЭНТЕРПРАЙЗ ГМБХ; 18.07.2003; 10.03.2008 <http://www.fips.ru/cdfi/fips.dll?ty=29&docid=2318664&cl=9&path=http://195.208.85.248/Archive/PAT/2008FULL/2008.03.10/DOC/RUNWC2/000/000/002/318/664/document.pdf>.Труба из пенопласта для изоляции трубопроводов имеет наружную и внутреннюю поверхности, внутренняя поверхность покрыта дополнительным слоем соединенных с ней клеем волокон, волокна изготовлены из материала с температурой плавления, превышающей температуру плавления пенопласта. Свободные концы приклеенных к внутренней поверхности трубы волокон находятся на расстоянии от липкого слоя, равном длине волокон. Волокна равномерно распределены по внутренней поверхности трубы и закрывают от 2 до 20% ее внутренней поверхности. Линейная плотность волокон составляет от 0,5 до 25 децитекс, а длина от  0,2 до 5 мм.



Были выбраны две конструкции теплоизолированных труб: № 2318664, B29C44/56 (Швейцария) и № 2305222, F16L59/14 (Россия); первая была взята в качестве аналога, вторая в качестве прототипа.

Известна труба из пенопласта (№ 2318664), которая надевается на трубу, нуждающуюся в теплоизоляции. Труба из пенопласта имеет наружную и внутреннюю поверхности, внутренняя поверхность покрыта дополнительным слоем соединительных волокон. Волокна равномерно распределены по внутренней поверхности трубы и закрывают от 2 до 20 % ее внутренней поверхности.

Недостатком такой конструкции является сложная структура теплоизолирующего слоя, в котором волокна являются составной частью общего теплоизолирующего слоя, основную функцию при этом несет труба из пенопласта. Отсутствие внешней оболочки трубы из пенопласта не позволяет избежать внешних воздействий в виде проникновения влаги и механического сжатия основного слоя пенопласта.

Наиболее близким к изобретению является теплоизолированная труба  (№ 2305222), включающая оболочку, центраторы с центрирующими элементами, установленные в кольцевом зазоре между оболочкой и трубой, заполненном теплоизолирующим материалом и кольцевые заглушки установленные на торцах. Корпуса центраторов выполнены в виде пояса, стянутые на трубе замком, при этом центрирующие элементы смежных центраторов расположены в шахматном порядке.

Недостатком является отсутствие осевой симметрии центраторов вокруг трубы, что способствует возникновению механических напряжений в конструкции, уменьшает ее прочностные характеристики. Массивность центраторов создает возможность перетока тепла по телоизолирующей конструкции, вызывающего потери тепла в окружающую среду. Необходимость жесткой фиксации положения центратора по длине и окружности трубы, также ухудшает конструкцию.

Задача предлагаемой полезной модели заключается в снижение теплового потока от внутренней горячей трубы в окружающее пространство, увеличение прочностных характеристик теплоизолирующей конструкции.

Задача снижения теплового потока решается за счет создания теплоизолированной трубы, состоящей из двух концентрически расположенных труб (теплоизолируемой и гидроизолирующей), на торцах которых находятся заглушки, отличающейся тем, что в качестве теплоизолирующего материала используется газ, как материал с меньшей теплопроводностью по сравнению с другими материалами, газовый зазор между трубами фиксируется за счет крепежных элементов, периодически заполняющих пространство между ними.

Кольцевой зазор между трубами заполняется газом, обладающим меньшей теплопроводностью, чем воздух (Ar, Xe, Kr и другие газы).

Кольцевой зазор между трубами заполняется газом, обладающим способностью поглощать тепловое излучение внутренней горячей трубы (СО2).

При написании патентного исследования использовались современные книги по строительному делу и энергосбережению. Список источников приведен в таблице 18.

Таблица 18 - Современная научно-техническая литература

Наименования источника

Авторы

Город, издательство, год, страницы.

1. Технология полимерных и полимерсодержащих строительных материалов и изделий

В.М. Шаповалов

Минск: Белорусская наука, 2010. - 454 с.

2. Пластмассовые трубы, их характеристики и область применения

Хольгер М.

Северное объединение производителей пластмассовых труб,  1999. - 119 с. с ил.

3. Хрестоматия энергосбережения: Справочник. В 2-х кн.

В. Г. Лисиенко, Я. М. Щелоков, М. Г. Ладыгичев

М.: Теплоэнергетик, 2003. - 688 с.

Проведенный анализ патентной и научно-технической литературы показал, что наиболее оптимальным техническим решением является новая конструкция теплоизолированной трубы, обеспечивающая низкую потерю тепла. Помимо нее высокими техническими характеристиками обладают патенты № 2318664 и  № 2305222. Эти конструкции теплоизолированных труб с небольшими техническими переделами можно использовать для теплоизоляции трубопроводов.

Заключение

В ходе выполнения дипломной работы были проведены исследования теплоизоляционных материалов с использованием аналитических и экспериментальных методов.

В результате создана обобщенная методика определения коэффициента теплопроводности анизотропных тел, позволяющая знака проводить его оценку. Методика представляет математическую модель, построенную в безразмерных величинах. За основу были взяты исследования Г.П. Иванцова, посвященные нагреву металла анизотропной структуры. На основании анализа математической модели установлена положительная зависимость между плотностью и теплопроводностью вещества и отрицательная между пористостью и теплопроводностью.

Для подтверждения полученных результатов проведен анализ литературных данных по теплопроводности алюмосиликатных огнеупоров, в результате чего получены модели взаимосвязи коэффициента теплопроводности с кажущейся плотностью и пористостью. Подтверждено, что с увеличением плотности теплопроводность вещества возрастает, с увеличение пористости теплопроводность снижается. Найденные зависимости теплопроводности от плотности алюмосиликатных огнеупоров могут быть использованы при проектировании и расчетах печей.

Предельным случаем этой зависимости является материал со 100 % пористостью, что позволило предложить идею и разработать конструкцию новой теплоизолированной трубы, которая защищена патентом. Теплоизолированная труба состоит из внутренней горячей трубы, внутри которой движется нагретая жидкость, и наружной гидроизолирующей, кольцевой зазор между внутренней и наружной трубами заполнен газом с низким коэффициентом теплопроводности. Преимущество новой конструкции заключается в ее низкой стоимости, что связано со сниженным расходом материала на производство такой трубы. Тепловые характеристики новой теплоизолированной трубы соответствуют характеристикам предизолированной трубы с использованием пеннополиуретана.

Результаты работы докладывались на Всероссийской и Международной конференциях «Проблемы недропользования» (С-Петербург, апрель 2011), конференция по реализации грантов бизнес-инкубатора СибГИУ.

Материалы работы опубликованы в двух в двух печатных статьях сборников научных трудов соответствующих конференций. Одна статья будет опубликована во Всероссийском научном журнале «Известия ВУЗов. Черная металлургия».

На основании результатов работы получен патент на полезную модель «Теплоизолированная труба» с приоритетом от 17.11.2010.

Работа оценена дипломом II степени Всероссийской конференции «Проблемы недропользования» (С-Петербург, апрель 2011).

энергосбережение теплопроводность огнеупорный материал

Библиографический список

1. Будников П.П. Технология керамики и огнеупоров / П.П. Будников, А.С. Бережинский . − М. ГСИ, 1962. - 708 с.

. Вукалович М.П. Техническая термодинамика / М.П. Вукалович,  И.И. Новиков. − М.: Энергия, 1968. − 496 с. с ил.

. Глинков А.М. Основы общей теории печей / А.М. Глинков, −  М.: Металлугргиздат, 1962. - 575 с. с ил.

. Гухман А.А. Введение в теорию подобия / А.А. Гухман. − М.: Высшая школа, 1973. − 296 с. с ил.

. Гухман А.А. Применение теории подобия к исследованию процессов теплообмена и массопереноса / А.А. Гухман. - М.: Высшая школа, 1967. - 86 с.

. Исаченко В.П. Теплопередача / В.П. Исаченко, В.А. Осипова, А.С. Сукомел. −  М.: Энергия, 1969. - 469 с. с ил.

. Казанцев Е.И. Промышленные печи / Е.И. Казанцев. − М.: Металлургия, 1964. - 452 с. с ил.

. Кривандин В.А. Теплотехника металлургического производства. Т. 1 /  А.В. Кривандин, В.А. Арутюнов, В.В. Белоусов. − М.: Изд. МИСиС, 2002. - 608 с. с ил.

. Кривандин В.А. Металлургические печи / В.А. Кривандин, Б.Л. Марков. -  М.: Металлургия, 1977. - 464 с. с ил.

. Кулаков М.В. Измерение температуры поверхности твердых тел / М.В. Кулаков, Б.И. Макаров. − М.: Энергия, 1979. - 96 с. с ил.

. Кутателадзе С.С. Справочник по теплопередаче / С.С. Кутателадзе,  В.М. Боришанский, 1959. - М.: Госэнергоиздат, 1959. - 414 с. с ил.

. Кутателадзе С.С. Основы теории теплообмена / С.С. Кутателадзе. - Новосибирск: Наука, 1970. - 658 с.

. Методы определения теплопроводности и температуропроводности /  Под редакцией А.В. Лыкова. - М.: Энергия, 1973. - 336 с. с ил.

. Лисиенко В.Г. Хрестоматия энергосбережения: справочное издание в 2-х книгах/ Под редакцией В.Г. Лисиенко. - М.: Теплотехник, 2003. - 688 с.

. Левадный В.С. Теплый дом / В.С. Левадный, В.С. Самойлов. - М.: Аделант, 2008. - 352 с. с ил.

. Лурье М.А. Легковесные огнеупоры в промышленных печах /  М.А. Лурье, В.П. Гончаренко. - М.: Металлургия, 1974. - 240 с.

. Лыков В.А. Теория теплопроводности. / В.А. Лыков. - М.: Высшая школа,  1967. - 599 с. с ил.

. Михеев М.А. Основы теплопередачи / М.А. Михеев, И.М. Михеева. -  М.: Энергия, 1973. - 319 с.

. Плотников Л.А. Огнеупоры в черной металлургии / Л.А. Плотников. -  М.: Металлургия, 1971. - 205 с.

. Стерлигов В.В., Рудерфер В.И. // Изв. вуз. Черная металлургия. − 1983. − № 10. − С.86-89.

. Стерлигов В.В. // Изв. вуз. Черная металлургия. − 1988. − № 12. − С.103-105.

Тайц Н.Ю. Технология нагрева стали / Н.Ю. Тайц. - М.: Металлургиздат, 1962. - 568 с. с ил.

.Телегин А.С. Теплоперенос / А.С. Телегин, В.С. Швыдкой,  Ю.Г. Ярошенко. - М.: Академкнига, 2002. - 455 с.

. Телегин А.С. Термодинамика и теплоперенос / А.С. Телегин,  В.С. Швыдкой, Ю.Г. Ярошенко. - М.: Металлургия, 1980. - 264 с.

. Теплоизоляция. Материалы. Конструкции. Технологии / под редакцией С.М. Кочергина / М.: Стройинформ, 2008. - 440 с.

. Филимонов Ю.П. Металлургическая теплотехника в 2-х томах /  Ю.П. Филимонов, С.Б. Старк, В.А. Морозов. - М.: Металлургия, 1974. - 519с.

. Хольгер М. Пластмассовые трубы, их характеристики и область применения / М. Хольгер. - Северное объединение производителей пластмассовых труб, 1999. -  119 с. с ил.

. Чекулаев А.А. // Проблемы недропользования. Сборник научных трудов.  Часть 2. - 2011. - С. 274.

. Шаповалов В.М. Технология полимерных и полимерсодержащих строительных материалов и изделий / В.М. Шаповалов - Минск: Белорусская наука, 2010. - 454 с.

. Шуляков Л.В. Справочник современных строительных материалов и конструкций / Л.В. Шуляков, В.Н. Основин, Л.Г. Основина. - М.: Феникс, 2010. - 443 с.

. Ясеньков Г.П. Техническая термодинамика / Г.П. Ясеньков, Я.М. Гордон,  А.С. Телегин. - М.: Металлургия, 1992. - 240 с.

. Эгейсон Л.Я. Моделирование / Л.Я. Эгейсон. - М.: Советская наука, 1952. -  372 с. с ил.

Похожие работы на - Энергосбережение в тепловых системах

 

Не нашли материал для своей работы?
Поможем написать уникальную работу
Без плагиата!
Без нейросетей!