|
№
п/п
|
Наименование
параметров
|
Величина
|
|
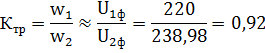
1
|
Грузоподъёмность,
т
|
0,5
|
|
2
|
Скорость
передвижения номинальная, м/с
|
0,5
|
|
3
|
Скорость
подъёма груза номинальная, м/с
|
0,07
|
|
4
|
Скорость
подъёма груза доводочная, м/с
|
0,02
|
|
5
|
Диапазон
подъёма груза, м
|
3
|
|
6
|
Наибольший
угол подъёма пути, град
|
15
|
|
7
|
Напряжение,
В
|
380
|
|
8
|
Частота
сети питания, Гц
|
50
|
|
9
|
Масса
электротягача с прицепной тележкой, кг
|
350
|
1.2 Кинематическая схема, назначение
приводов
Рисунок 1 - Общий вид электротягача: 1 - тягач;
2 - грузонесущий прицеп; 3 - ловитель; 4 - мотор-редуктор; 5 - таль
электрическая цепная; 6 - барабан кабельный; 7 - шкаф электроаппаратуры; 8 -
пульт управления; 9 - лыжа; 10 - сцепка; 11 - направляющий ролик.
Тягач (1) представляет собой четырёхколёсную
монорельсовую тележку, который тянет за собой или толкает грузонесущий прицеп
(2). Ловитель (3) предназначен для аварийной ситуации, когда тягач начинает
свободное движение под уклон с ускорением, в этом случае ловитель срабатывает и
тормозит свободное движение тягача. Мотор-редуктор (4) предназначен для
понижения числа оборотов двигателя, усиления момента его вращения, что
необходимо для движения тягача. Таль электрическая цепная (5) осуществляет
подъём и спуск груза при помощи цепи, которая входит в состав этой тали.
Барабан кабельный (6) содержит силовой кабель для питания всего электротягача,
который автоматически с помощью пружины накручивает на себя кабель при отключении
электротягача от сети. Шкаф электроаппаратуры (7) содержит в себе всю
электроаппаратуру управления электротягачом, который содержит в себе
автоматические выключатели, магнитные пускатели, аппараты контроля и
регулирования и т. д. С помощью пульта управления (8) можно управлять
передвижением электротягача, подъёмом и спуском груза как любой из талей, так и
двумя; для подъёма и спуска груза предусмотрены две скорости: номинальная и
доводочная. Лыжа (9) предназначена для дополнительной устойчивости электротягача
при передвижении. Сцепка (10) обеспечивает соединение тягача с грузонесущим
прицепом. Направляющий ролик (11) позволяет более удобно доставать и убирать
силовой кабель, находящийся на барабане
1.3 Циклограмма (последовательность
операций), режимы работы главного привода
Электротягач передвигается по наклонному
монорельсу под углом
. Подъём груза
осуществляется при помощи двух двигателей, приводящих в движение две цепные
тали, на каждой из которых находится по крюку. Эти два двигателя могут работать
совместно, выборочно или поочерёдно, поднимая или опуская транспортируемый
груз.
Привод подъёма груза работает в
повторно-кратковременном режиме с продолжительностью включения в среднем
ПВ=25%.
2 Расчёт статических нагрузок, выбор
электропривода
.1 Расчёт мощности электродвигателя
главного привода
Статическая мощность, кВт, на валу двигателя в
установившемся режиме при подъёме
где
-
КПД механизма, определяется по кривым [1], приближённо можно принять при
подъёме груза
=0,8, при подъёме
пустого крюка
=0,3;
,
-
сила тяжести грузозахватного устройства и груза, соответственно, Н;
-
скорость подъёма, м/с.
Мощность при подъёме груза
Мощность при подъёме пустых крюков
Статическая мощность, кВт, при опускании
грузозахватного устройства
где ŋ
0,5,
можно принять ŋ=0,3.
Статическая мощность, кВт, при опускании груза
где ŋ
0,5,
можно принять ŋ=0,8.
Скорость спуска принимается равной скорости
подъёма.
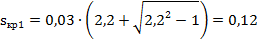
Выбор мощности двигателя производится исходя из
нагрузочной диаграммы механизма за цикл работы. Расчётный цикл состоит из
четырёх операций: подъём груза
, спуск груза
,
подъём пустого грузозахватного устройства
,
спуск грузозахватного устройства
.
Время работы, с, на каждой операции
где
-
высота подъёма, м.
Суммарное время работы механизма за цикл
Рисунок 2 - Нагрузочная диаграмма привода
подъёма электротягача
По нагрузочной диаграмме определяется
эквивалентная статическая мощность, кВт, приведённая к ближайшей стандартной
продолжительности включения ПВном=40%.
где ПВ - фактическая продолжительность
включения.
Аналогично определяется статическая мощность при
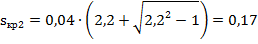
доводочной скорости подъёма и спуска.
Подъём груза
Подъём пустых крюков
Спуск пустых крюков
Спуск груза
Время на каждой операции
Суммарное время работы механизма за цикл
Рисунок 3 - Нагрузочная диаграмма привода
подъёма электротягача с доводочной скоростью
Эквивалентная статическая мощность
По справочнику [6] выбирается асинхронный
двигатель с короткозамкнутым ротором по условию
где Кз=(1,1 - 1,4) - коэффициент
запаса, учитывающий дополнительную загрузку двигателя в периоды пуска и
торможения.
Выбраны два двухскоростных двигателя 4A63А4/2У3,
соединение
обмоток - △/YY.
2.2 Основные требования к системе
электропривода
Одним из основных вопросов электрооборудования
является выбор типа электропривода.
На этот выбор оказывает влияние ряд факторов:
. Диапазон регулирования скорости - 2/1,
двигатель двухскоростной (на статоре две обмотки); регулирование - неплавное;
. Характер нагрузки привода -
повторно-кратковременный;
. Частота включения привода - частое
включение;
. Соотношение периодов машинного и
вспомогательного времени: машинное время tр=42,86
с, время паузы tп=128,58
с при поднятии и спуске груза с номинальной скоростью 0,07 м/с; машинное время tр=150
с, время паузы tп=450
с при поднятии и спуске груза с доводочной скоростью 0,02 м/с;
. Энергетические показатели работы
привода: высокий КПД; высокий коэффициент мощности;
. Надёжность привода, простота его
обслуживания и наладки.
2.3 Выбор рода тока и напряжения и
типа двигателя
Для питания электрооборудования станков и
механизмов применяется напряжение постоянного и переменного тока различной
величины.
Для питания асинхронных двигателей используется
трёхфазный переменный ток напряжением 380 В, для питания двигателей постоянного
тока используются различные преобразователи, вырабатывающие постоянный ток
напряжением 110, 220 или 440 В.
В данном случае используется сеть напряжением
380 В и частотой 50 Гц для асинхронных электродвигателей с короткозамкнутым
ротором и напряжение 220 В частотой 50 Гц для цепи управления.
Для выбранного двигателя 4A63А4/2У3
из справочника [6] выписываются паспортные данные:
Рн=0,19/0,265 кВт - номинальная
мощность;
n0=1500/3000
об/мин - синхронная частота вращения;
nн=1448/2880
об/мин - номинальная частота вращения;
Iн=0,80/0,88
А - номинальный ток;
ŋн=55/61% - номинальный КПД;
cos
𝜑н=0,66/0,75
- номинальный коэффициент мощности;
Iп/Iн=3,5/4
- кратность пускового тока;
Мп/Мн=1,6/1,2 - кратность
пускового момента;
Мmin/Мн=1,6/1,2
- кратность минимального момента;
Мmax/Мн=2,2/2,2
- кратность максимального момента;
J=0,124
10
-2 кг
м 2 -
момент инерции.
.4 Расчёт механических характеристик выбранного
двигателя, проверка двигателя
Номинальное скольжение
Номинальная угловая скорость
Угловая скорость идеального холостого хода

Номинальный момент
Максимальный момент
Пусковой момент
Критическое скольжение
Уравнение механической характеристики имеет вид:
Угловая скорость
Задаваясь значением s
в пределах (0
1,2)
sкр
,
рассчитываются зависимости М=f(s),
ω=f(s).
Результаты вычисления заносятся в таблицу.
Таблица 2 - Параметры естественной
характеристики двигателя
|
s1
|
0,02
|
0,05
|
0,07
|
0,1
|
0,12
|
0,14
|
|
М1,
Н м
|
0,89
|
1,95
|
2,4
|
2,71
|
2,75
|
2,71
|
|
ω1,
рад/с
|
153,86
|
149,15
|
146,01
|
141,3
|
138,16
|
135,02
|
|
s2
|
0,03
|
0,07
|
0,1
|
0,14
|
0,17
|
0,2
|
|
М2,
Н м
|
0,66
|
1,37
|
1,69
|
1,91
|
1,94
|
1,91
|
|
ω2,
рад/с
|
304,58
|
292,02
|
282,6
|
270,04
|
260,62
|
251,2
|
Для проверки выбранного двигателя определяется
величина статического момента для одного из двух двигателей

Для проверки двигателя на перегрузочную
способность необходимо выполнить условие
где Мс max
- максимальный статический момент; Мmax
- максимальный момент, для асинхронного двигателя равен критическому.
Для проверки двигателя по условиям пуска
необходимо выполнить условие
Двигатель выбран верно.
2.5 Анализ электропривода и системы
управления им (достоинства и недостатки)
Электроприводом называют электромеханическую
систему, состоящую из электродвигательного, преобразовательного, передаточного
и управляющего устройств, предназначенную для приведения в движение
исполнительных органов рабочей машины и управления этим движением.
Электроприводы с асинхронными двигателями
надёжны, просты в эксплуатации, дешевы. Обладают высокими энергетическими
показателями. Недостатком таких двигателей является сложность регулирования
частоты вращения.
3 Расчёт и выбор проводов и
аппаратуры
.1 Выбор проводов и питающих кабелей
Сечение проводов и кабелей для напряжения до
1000 В по условию нагрева определяется по справочнику [4] в зависимости от
расчётного значения длительно допустимой токовой нагрузки из соотношения
,
(56)
где Iдл
- ток расчётной длительной нагрузки, Iн
- номинальный ток для электроприёмников, имеющих в установке одиночный
асинхронный двигатель.
А
0,88
А
Выбран провод медный гибкий с учётом четырёх
проводов в трубе
ПВ3 4(1
1).
3.2 Выбор защитной аппаратуры и
аппаратуры управления
В качестве защитной аппаратуры применяются
автоматический воздушный выключатель, предохранитель, реле максимального тока -
для защиты от короткого замыкания, тепловое реле - для защиты от перегрузки.
Номинальный ток комбинированного расцепителя
автоматического выключателя
(59)
Ток срабатывания комбинированного расцепителя
автоматического выключателя
,
(60)
где Iп
- пусковой ток двигателя:
.
По справочнику [3] выбирается автоматический
выключатель с параметрами Iн=16
А, Iрасц=1,25
А, Iсраб=12
1,25=15
А. Выбран автоматический выключатель АЕ2026.
Ток срабатывания реле максимального тока
где Кнад=1,1 - 1,25 - коэффициент
надёжности; Ксз=2 - 3 - коэффициент самозапуска, учитывающий
увеличение тока нагрузки при самозапуске двигателя; Квзв=0,8 - 0,85
- коэффициент возврата.
Тип реле выбирается по справочнику [8]. Выбрано
реле типа РТ - 40.
В качестве аппаратуры управления применяется
магнитный пускатель. Тип пускателя определяется по справочнику [7]. Номинальный
ток пускателя
Выбран магнитный пускатель Iн=10
А ПМЛ 1500.
4 Специальная часть
Целью специальной части является модернизация
электрооборудования главного привода. Предлагается два возможных варианта:
. Установка преобразователя частоты для питания
асинхронного двигателя главного привода;
. Замена асинхронного двигателя на двигатель
постоянного тока с упрощённой коробкой скоростей.
4.1 Выбор преобразователя частоты,
расчёт характеристик двигателя
Наиболее перспективным способом регулирования
скорости асинхронного двигателя является регулирование изменением частоты
подводимого напряжения с помощью преобразователя частоты, который состоит из
выпрямителя, преобразующего переменное напряжение в постоянное, инвертора,
преобразующего постоянное напряжение в переменное и блоков управления
выпрямителя и инвертора.
При этом изменяется скорость холостого хода, т.
к.
.
Для того, чтобы при изменении частоты максимальный момент двигателя оставался
постоянным, необходимо также изменять напряжение, так чтобы соблюдался закон
управления U/f=const.
Таблица 3 - Скорость асинхронного двигателя при
изменении частоты, где p=1
|
f, Гц
|
50
|
40
|
30
|
25
|
20
|
15
|
5
|
|
0,
рад/ с
|
314
|
251,2
|
188,4
|
157
|
125,6
|
94,2
|
31,4
|
Таблица 4 - Скорость асинхронного двигателя при
изменении частоты, где p=2
|
f, Гц
|
40
|
30
|
25
|
20
|
15
|
5
|
|
0,
рад/ с
|
157
|
125,6
|
94,2
|
78,5
|
62,8
|
47,1
|
15,7
|
4.2 Выбор двигателя постоянного тока
и тиристорного преобразователя
По мощности и частоте вращения двигателя
главного привода выбирается ДПТ из условия
Выбран двигатель 2ПБ90МУХЛ4. Технические данные:
Pн=0,28
кВт; Uн=110/220
В; nн=1600/1500
об/мин; nmax=4000/3000
об/мин; ηн=63,5/63,5%;
Rя=2,69/11,7
Ом; Rдп=1,85/7,35
Ом; Rов=810/222
Ом; Lя=62/267
мГн.
Номинальный ток двигателя:
Исходя из мощности (Рн
3
кВт) и наличия реверса двигателя главного привода, выбрана трёхфазная нулевая
реверсивная схема.
4.3 Определение параметров
трансформатора, тиристоров, реактора
Трансформатор выбирается на основе расчётных
вторичных напряжения и тока, а также расчётной мощности.
Расчётное значение вторичного фазного напряжения
трансформатора
,
(69)
где КU
- коэффициент напряжения; Ud
- напряжение преобразователя при угле открывания тиристоров α=0,
принимается
равным номинальному напряжению питания двигателя; КС=(1,05 - 1,1) -
коэффициент учёта колебания напряжения сети на 10%; Кα=(1,05
- 1,1) - коэффициент, учитывающий неполное открывание вентилей при максимальном
сигнале управления; КR=1,05
- коэффициент, учитывающий падение напряжения в трансформаторах и вентилях.
Расчётное значение тока фазы вторичной обмотки
трансформатора
,
(70)
где Кi
- коэффициент тока; Кф=1,05 - 1,1 - коэффициент формы анодного тока;
Id - выпрямленный
ток, равный номинальному току двигателя Iн.
Коэффициент трансформации трансформатора
Действующее значение тока первичной обмотки
трансформатора
Расчётная типовая мощность трансформатора
,
(72)
где КS
- коэффициент мощности.
По полученным данным выбирается трансформатор с
номинальными параметрами:
Sн
Sтр;
U2фн
U2ф;
I2фн
I2ф
Номинальное напряжение первичной обмотки
трансформатора должно быть равно напряжению сети.
Тиристоры выбираются по среднему значению тока
через вентиль с учётом увеличения тока двигателя в переходных режимах и по
максимальному значению обратного напряжения.
Среднее значение тока через тиристор с учётом
того, что тиристор в трёхфазных схемах открыт треть периода
где Кз=(2 - 2,5) - коэффициент запаса
по току; Кох - коэффициент охлаждения (1 - при принудительном
охлаждении; (0,3 - 0,35) - при естественном воздушном охлаждении со стандартным
радиатором.
Максимальная величина обратного напряжения
где КЗU=(1,5
- 1,8) - коэффициент запаса по напряжению; КUобр
- коэффициент обратного напряжения.
По каталогу выбираются тиристоры с номинальными
данными:
Iдоп
Iср;
Uобр. доп
Uобр.
max
Индуктивность уравнительного реактора
где Iур
- действующее значение уравнительного тока, обычно принимают Iур=0,1
Iн=0,1
2=0,2
(А); f1
- частота питающей сети 50 Гц; Кд - коэффициент действующего
значения уравнительного тока; для трёхфазной встречно-параллельной схемы при
согласованном управлении Кд=0,62.
В каждый из контуров уравнительного тока
устанавливается два ненасыщающихся реактора, причём индуктивность каждого из
них должна быть равна полной расчётной величине.
Индуктивность цепи выпрямленного тока из условия
сглаживания пульсаций
где k
- номер гармоники, для управляемых преобразователей k=1;
p - число пульсаций,
для трёхфазной нулевой схемы p=3;
p1%
- допустимое действующее значение основной гармоники тока, принимается (2 - 15)
в зависимости от мощности привода; Udnm
- амплитудные значения гармонических составляющих выпрямленного напряжения; для
первой гармоники и минимального рабочего угла α=300
при нулевой схеме Udnm=0,434
UD0=0,434
1,1
1,1
1,05
220=121,31
(В).

где β=(0,15 - 0,25) - для
компенсированных машин; β=0,6 - для
некомпенсированных машин; p
- число пар полюсов двигателя.
Требуемая величина индуктивности сглаживающего
реактора
(78)
4.4 Расчёт механических
характеристик двигателя постоянного тока
Расчёт естественной характеристики двигателя при
U=Uн,
Ф=Фн, R=Rдв
Сопротивление цепи якоря, приведённое к 750
С
где Rя
- сопротивление обмотки якоря; Rдп
- сопротивление дополнительных полюсов.
Номинальная скорость двигателя
Для нахождения скорости холостого хода
необходимо найти величину
Скорость холостого хода
Номинальный момент двигателя
Расчёт характеристики в разомкнутой системе при
U=Uн,
Ф=Фн, R=(Rдв+Rп),
где Rп
- сопротивление преобразователя, в приближённом случае Rп=Rдв.
В общем случае сопротивление якорной цепи помимо
сопротивления обмотки якоря и дополнительных полюсов включает сопротивление
реакторов, трансформатора, щёточного контакта, которое обозначается Rп.
Номинальная скорость в разомкнутой системе
Расчёт характеристик в замкнутой системе при
изменении Uзс
от 0 до Uзс max
Уравнение механической характеристики в
замкнутой системе по скорости имеет вид
где Uзс
- задающее напряжение Uзс=15
- 20 В;
- коэффициент
передачи обратной связи по скорости, Uос=15
В (напряжение обратной связи);
;
Кс=Ку
Кп
- коэффициент усиления усилителя и преобразователя.
Скорость холостого хода и номинальная скорость
при максимальном задающем напряжении
Номинальная скорость при различном задающем
напряжении
Таблица 5 - Номинальная скорость и скорость
холостого хода при различном задающем напряжении
|
ω0,
рад/с
|
200
|
190
|
180
|
170
|
160
|
|
ωн,
рад/с
|
182,63
|
172,63
|
162,63
|
152,63
|
142,63
|
5 Электрические схемы
.1 Описание работы схемы управления
Вводным автоматическим выключателем QF1
оборудование привода подъёма электротягача вводится в сеть. Сперва подключается
трансформатор Т1 через автоматический выключатель QF2
и замыкаются контакты автоматических выключателей SF1,
SF2, SF3, затем
автоматические выключатели QF3
и QF4 для
электродвигателей, после этого закрывается дверь шкафа (конечный выключатель SQ5)
и затем включается ключ-марка SQ9,
после чего нажимается кнопка SB1
и подаётся питание на катушку главного контактора KM1,
замыкаются контакты главного контактора KM1
и два вспомогательных контакта KM1,
один из них запитывает катушку контактора KM1,
другой подаёт напряжение на кнопки SB4,
SB5, SB6
и переключатель SA1.
Резистор и конденсатор, включенные параллельно в цепь с катушкой главного
контактора, защищают от сверх-ЭДС, наводящейся в катушке главного контактора
при её отключении кнопку SB2
(стоп) и контакт KM1
от электрической дуги, выжигающей контакты.
После срабатывания контактора KM1
схема готова к работе.
Переключателем SA1
осуществляется выбор грузоподъёмной тали. Если переключатель SA1
находится в нулевом положении, то можно запустить оба двигателя М1 и М2
нажатием кнопок SB4
(вниз), SB5 (вверх).
При нажатии кнопки SB4
срабатывают магнитные пускатели КМ6 и КМ3, замыкаются силовые контакты КМ6 и
КМ3 и размыкаются вспомогательные контакты КМ6 и КМ3. При нажатии кнопки SB5
срабатывают магнитные пускатели КМ5 и КМ2, замыкаются силовые контакты КМ5 и
КМ2 и размыкаются вспомогательные контакты КМ5 и КМ2. Кнопка SB6
осуществляет подъём-спуск груза с меньшей скоростью только при одной из нажатых
кнопок SB4 или SB5,
при этом нормально замкнутые контакты магнитных пускателей КМ4 и КМ7
размыкаются, а нормально разомкнутые замыкаются.
При переводе переключателя SA
в первое и второе положения может работать только один из электродвигателей.
При этом срабатывают магнитные пускатели КМ8 или КМ9, размыкая свои нормально
замкнутые контакты.
Для защитного отключения двигателей
предусмотрено реле максимального тока КА1 и КА2, размыкающее нормально
замкнутые контакты. Помимо кнопки SB2
(стоп) имеется ещё кнопка SB3
(аварийный стоп). Предусмотрены конечные выключатели SQ1,
SQ2, SQ3,
SQ4, срабатывающие,
когда тали достигают своих конечных положений; SQ6,
срабатывающий, когда кабельный барабан размотан полностью; SQ8,
срабатывающий при срабатывании ловителя, когда электротягач при передвижении по
монорельсу достиг максимальной скорости, после этого замыкают SQ7,
чтобы опустить груз, а затем устранить неисправность, возникшую при
передвижении электротягача.
Заключение
В данном курсовом проекте был произведён расчёт
и выбор электрооборудования привода подъёма электротягача грузоподъёмностью 0,5
т, который предназначен для выполнения подъёмно-транспортных операций при
обслуживании ленточного конвейера бункерной эстакады доменной печи.
Для данного привода был произведён расчёт
статических нагрузок и выбор двух двухскоростных асинхронных двигателей с
короткозамкнутым ротором 4А63А4/2У3 мощностью Pн=0,19/0,265
кВт и построены их естественные механические характеристики. Для питания
двигателей предусмотрена сеть напряжением 380 В и частотой 50 Гц. Для
аппаратуры управления предусмотрено напряжение 220 В от понижающего
трансформатора. Был произведён выбор питающего электродвигатели провода ПВ3 4(1
1),
проложенного в трубе. В качестве защитной аппаратуры для двигателей выбраны
автоматический выключатель АЕ2026 с Iн=16
А, Iрасц=1,25
А, Iсраб=15
А и реле максимального тока РТ-40. В качестве аппаратуры управления выбран
магнитный пускатель ПМЛ 1500 с Iн=10
А.
Также дано подробное описание электрической
принципиальной схемы управления.
Список литературы
1.
Автоматические выключатели общего применения до 630 А. Справочник. М.:
Информэлектро, 1996.
.
Зимин Е. Н. и др. Электрооборудование промышленных предприятий и установок. М.:
Энергоатомиздат, 1981.
.
Коновалова Л. Л., Рожкова Л. Д. Электроснабжение промышленных предприятий и
установок. М.: Энергоатомиздат, 2005
.
Правила устройства электроустановок. М.: Энергоатомиздат, 2011.
.
Справочник по электрическим машинам. В двух томах. Том 1 под редакцией И. П.
Копылова и Б. К. Клокова. М.: Энергоатомиздат, 1998.
.
Справочник технолога-машиностроителя. В двух томах. Том 2 под редакцией А. Г.
Косиловой и Р. К. Мещерякова. М.: Машиностроение, 1986.
.
Электромагнитные пускатели. Справочник. М.: Информэлектро, 1994.
.
Электротехнический справочник. В трёх томах. Том 2. Электротехнические изделия
и устройства. Под общей редакцией профессоров МЭИ (главный редактор И. Н.
Орлов). М.: Энергоатомиздат, 2005.