|
Показатели
|
Тип буровой установки
|
|
БУ - 1250
|
БУ - 1600
|
БУ - 2000
|
БУ - 2500
|
БУ - 3000
|
БУ - 4000
|
БУ - 5000
|
БУ - 6500
|
БУ - 8000
|
БУ - 10000
|
БУ - 12500
|
|
Допустимая нагрузка на крюке, кН
|
800
|
1000
|
1250
|
1600
|
2000
|
2500
|
3200
|
4000
|
5000
|
6300
|
8000
|
|
Условная глубина бурения, м
|
1250
|
1600
|
2000
|
2500
|
3200
|
4000
|
5000
|
6500
|
8000
|
10000
|
12500
|
|
Расчетная мощность на входном валу подъемного
агрегата, кВт
|
200--240
|
240--360
|
300--440
|
440--550
|
550--670
|
670--900
|
900-1100
|
1100-1500
|
1500-2200
|
|
|
|
Расчетная мощность привода ротора, кВт
|
180
|
180
|
370
|
440
|
550
|
|
|
|
Мощность бурового насоса
|
375
|
475
|
600
|
750
|
950
|
1180
|
-
|
-
|
|
Скорость подъема крюка при расхаживании
колонны, м/с
|
0,1-0,25
|
-
|
-
|
|
Скорость подъема элеватора (без нагрузки), м/с
|
1,5
|
1,6
|
-
|
-
|
|
Высота основания (отметка пола буровой), м
|
3
|
5
|
5
|
6,0
|
8,0
|
9,0
|
-
|
-
|
|
Просвет для установки стволовой части
превенторов, м
|
2,8
|
3,86
|
4,1
|
4,7
|
6,7
|
8,0
|
-
|
-
|
|
Масса установки, т
|
237
|
343
|
359
|
550
|
582
|
897
|
1225
|
1568
|
-
|
-
|
|
Допускаемая глубина бурения, м
|
1500
|
2450
|
3400
|
-
|
-
|
-
|
-
|
-
|
Примечание: Установки БУ-10000 и БУ-12500 выпускаются заводом
Уралмаш по специальному заказу.
Назначение
основных узлов и агрегатов буровой установки
Буровая вышка - это сооружение над
скважиной для спуска - подъема бурового инструмента, бурильных и обсадных труб,
забойных двигателей, размещения бурильных свечей (соединений 2-3 бурильных
труб) после подъема их из скважины, а также для защиты буровой бригады от
атмосферного влияния.
нефтегазоносная скважина буровая установка
Талевая система предназначена для уменьшения
натяжения талевого каната, снижения скорости движения бурового инструмента,
обсадных и бурильных труб и состоит из неподвижного кронблока (рисунок 6) в
верхней части вышки, талевого блока (рисунок 7), соединенного с кронблоком
талевым канатом, один конец которого крепится к барабану лебедки, а другой
закреплен неподвижно внизу буровой вышки и бурового крюка.
Буровая лебедка служит для выполнения
следующих операций:
спуска-подъема бурильных и обсадных труб;
удержания на весу бурового инструмента;
подъема различных грузов и оборудования.
Вертлюг - это механизм, соединяющий невращающуюся
талевую систему с буровым крюком с вращающейся буровой колонной и
обеспечивающий подачу бурового раствора для охлаждения бурового инструмента и
выноса шлама с забоя скважины.
Буровые насосы служат для нагнетания
бурового раствора в скважину. При глубоком бурении используются двухцилиндровые
поршневые насосы двойного действия или многоцилиндровые одинарного действия.
Промывочная жидкость под давлением по напорному рукаву от насоса подается к
перемещающемуся вертлюгу и далее по ведущей трубе и буровой колонне к
инструменту.
Роторный вращатель (ротор) передает через ведущую
буровую трубу вращение бурильной колонне и инструменту, поддерживает на весу
колонну бурильных или обсадных труб и воспринимает реактивный крутящий момент
бурильной колонны, при оснащении ее погружным забойным двигателем (турбобуром,
электробуром, винтобуром).
Силовой привод (электрический,
дизельный, дизель-электрический) обеспечивает функционирование буровой
установки. Электропривод от двигателей постоянного или переменного тока прост в
монтаже и эксплуатации, но применим только в электрофицированных районах.
Дизельный привод применим в районах не обеспеченных электроэнергией. Дизель -
электрический привод состоит из дизеля, который вращает генератор, питающий
электродвигатель.
Суммарная мощность привода буровой установки составляет
1000-4500 кВт и распределяется на приводы буровой лебедки, насосов, ротора,
автоматического бурового ключа, клиновых пневмозахватов.
К привышечным сооружениям относятся:
помещения для размещения привода и буровой лебедки;
насосное помещение;
приемные мостки для подачи бурового технологического
оборудования;
трансформаторная площадка;
стеллажи для размещения бурильных и обсадных труб.
Спуско-подъемные операции (СПО) по подъему и спуску
буровых труб и обсадных колонн занимают 18-20% времени бурения и для их
сокращения разработаны специальные механизмы типа МСП, АСП, АКБ-ЗМ, клиновые
захваты и др.
Магазин (свечеприемник) предназначен для
размещения и удержания бурильных свечей и утяжеленных бурильных труб, которые
устанавливаются на платформе буровой установки вертикально на подсвечник и в
магазин. Магазин представляет собой раму, разделенную на секции в виде
гребенки. В установках с ручной расстановкой свечей на определенной высоте
вышки монтируется площадка верхового рабочего, а в установках с АСП -
располагается механизм расстановки свечей.
Направляющие. В последние годы в связи
с развитием систем верхнего привода буровые установки оснащаются специальными
съемными направляющими по высоте буровой вышки, длина которых определяется
длиной хода вращателя (верхнего привода). Они изготавливаются из труб или
профильного проката.
Процесс проведения бурения состоит из следующих
операций:
установка в вертлюг и ротор ведущей трубы с долотом и бурение
скважины на ее длину (13-15м);
подъем ведущей трубы из ротора, отвинчивание долота от
ведущей трубы и ведущей трубы от вертлюга и установка ведущей трубы в шурф;
подъем крюком на элеваторе бурильной трубы, навинчивания на
нее долота, установка на элеваторе или на клиньях ротора бурильной трубы с
долотом, навинчивание на муфту бурильной трубы ведущей трубы и закрепление ее
на вертлюге, спуск буровой и ведущей труб в ротор и закрепление ведущей трубы в
роторе;
запуск ротора и бурового насоса для закачки бурового
раствора;
по мере углубления скважины производится наращивание
бурильной колонны свечами из 2-3 труб, вновь установка ведущей трубы на вертлюг
и ротор и запуск бурового раствора и ротора.
Подъем колонны состоит из повторяющихся операций, которые
заключаются в подъеме свеч, установке их на специальном подсвечнике внутри
вышки.
После бурения каждого интервала скважины производится ее
крепление обсадными трубами с их цементированием (рисунок 4).
Рисунок 4 - Цементирование
Задача 1. Выбор класса буровой установки
При разбуривании нового нефтяного или газового месторождения
большое значение имеет правильность выбора буровой установки. Исходными данными
при этом являются проектная глубина и конструкция скважины.
Кроме того, для определения способа транспортировки и монтажа
необходимо учитывать рельеф местности, грунтовые условия, ожидаемую скорость
бурения.
Пример: Задана глубина скважины Lc.
Конструкция скважины состоит из следующих обсадных колонн: направления
(направляющей) диаметром Dн при толщине стенок dн и весе 1 п. м. qн;
кондуктора диаметром Dк при толщине стенок dк и весе 1 п. м. qк;
промежуточной технической колонны диаметром Dпт при толщине стенок dпт и весе 1 п. м. qпт;
эксплуатационной колонны диаметром Dэ, при толщине стенок dэ и весе 1п. м. qэ.
Глубины спуска интервалов: направления lн,
кондуктора lk, промежуточной колонны lпт,
эксплуатационной lэ.
Для бурения скважин до проектной глубины использованы бурильные
трубы диаметром Dб с толщиной стенки dб и весом 1п. м qб,
а также утяжеленные бурильные трубы (УБТ) диаметром DУБТ весом 1п. м
qубт, длиной lубт, которые устанавливаются
непосредственно над инструментом-долотом для предотвращения искривления профиля
скважины.
При этих условиях вес направления составит (значения
параметров принимаются из таблиц исходных данных по вариантам):
вес кондуктора
вес промежуточной технической колонны
вес эксплуатационной колонны
вес бурильной колонны
вес утяжеленной бурильной колонны
По полученному значению наибольшей нагрузки из таблицы 1
"Технические характеристики буровых установок СНГ" подбирается
соответствующий тип буровой установки.
Буровые вышки
По конструкции различают два типа вышек: башенные (рисунок 6)
и мачтовые (рисунок 7). Их изготавливают из труб или профильной прокатной
стали.
Башенная вышка представляет правильную
усеченную четырехгранную пирамиду решетчатый конструкции. Ее основными
элементами являются опоры 1, ворота 2, балкон 3 верхнего рабочего,
подкронблочная площадка 4, монтажные стойки 5, поперечные пояса 6, стяжки 7,
маршевая лестница 8.
Вышки мачтового типа бывает одноопорные и
двухопорные (А-образные). В конструкцию мачтовой вышки А-образного типа входят
подъемная стойка 1, секции мачты 2, 3, 4, 6, пожарная лестница 5, монтажные
стойки 7 для ремонта кронблока, подкронблочная рама 8, растяжки 9, 10, 14,
оттяжки 11, тоннельные лестницы 12, балкон 13 верхнего рабочего,
предохранительный пояс 15, маршевая лестницы 16, шарнир 17.
Рисунок 5 - Башенная вышка ВМ - 41
1 - нога; 2 - ворота; 3 - балкон (площадка верхнего
рабочего); 4 - подкронблочная площадка; 5 - монтажные козлы; 6 - поперечные
пояса; 7 - стяжки; 8 - маршевая лестница
Рисунок 6 - Мачтовая вышка А - образного типа 1 -
подъемная стойка; 2, 3, 4, 6 - секции мачты; 5 - пожарная лестница; 7 -
монтажные козлы для ремонта кронблока; 8 - подкронблочная рама; 9, 10, 14 -
растяжки; 11 - оттяжки; 12 - тоннельные лестницы; 13 - балкон; 15 -
предохранительный пояс; 16 - маршевые лестницы; 17 - шарнир
А-образные вышки более трудоемки в
изготовлении и поэтому более дороги. Они менее устойчивы чем башенные, но их
проще перевозить и монтировать.
Основные параметры вышки - грузоподъемность,
высота, емкость магазинов (хранилищ для свечей бурильных труб), размеры
верхнего и нижнего оснований, длина свечи, масса.
Грузоподъемность вышки - это предельно
допустимая вертикальная статическая нагрузка, которая не должна быть превышена
в процессе всего цикла проводки скважины.
Высота вышки определяет длину буровой свечи, которую
можно извлечь из скважины и от величины которой зависит продолжительность спуско
- подъемных операции (СПО). С ростом глубины бурения высота и грузоподъемность
вышек увеличиваются. Так, для бурения скважин на глубину 300-500м используются
вышка высотой 16-18м, на глубину 2000-3000м - высотой 42м и на глубину
4000-6500 вышки высотой 53м.
Емкость "магазинов" показывает какая
суммарная длина бурильных труб диаметром 114-168мм может быть размещена в них.
Практически вместимость "магазинов" (свечеприемников) показывает на
какую глубину может быть осуществлено бурение конкретной вышкой.
Размеры верхнего и нижнего оснований характеризуют условия
работы буровой бригады с учетом размещения бурового оборудования, бурового
инструмента и механизации СПО. Размер верхнего основания башенных вышек
составляет 2*2м или 2,6*2,6м, нижнего 8*8м или 10*10м.
Общая масса вышек составляет несколько десятков тонн.
Вышки для
морских буровых установок
Предназначаются для установки на самоподъемных и
полупогружных буровых установках и отличаются для лучшей устойчивости большими
размерами оснований. Вышка ВБП 54х400 имеет нижнее основание 10*11м, верхнее
2,6*5,2м при высоте 54 м, вышка ВБП 53х320 имеет нижнее основание 12,5*13 м и
верхнее 4,8*5 м при высоте 53 м. Вышки на портале крепятся болтами, при этом
обеспечивается их эксплуатация без оттяжек. Сборка вышек производится в
горизонтальном положении на монтажных площадках и устанавливаются на платформах
буровых установок плавкранами.
Таблица 2. Технические характеристики буровых вышек СНГ
|
Наименование параметров
|
Мачтовые
|
Башенные
|
Морские
|
|
УМ-42/140-Р
|
УМ-45/250-Р
|
УМ-45/500-Р
|
ВБ-42-200
|
ВБ-53-300
|
ВБП 54*400
|
ВБП 53*320
|
|
Допускаемая нагрузка на крюке, кН
|
1400
|
2500
|
5000
|
2000
|
3000
|
4000
|
3200
|
|
Расстояние от стола ротора до низа рамы
кронблока, м
|
42,65
|
44,80
|
44,80
|
42
|
53
|
54
|
53
|
|
Расстояние от оси нижних опорных шарниров до
верха рычага кронблока, м
|
45,0
|
52,41
|
52,9
|
-
|
-
|
57,8
|
57,2
|
|
База нижняя (между нижними опорными шарнирами)
м
|
8,0
|
10,3
|
10,3
|
8*8
|
10*10
|
10*11
|
12,5*13
|
|
База верхняя
|
2,3
|
2,93
|
2,93
|
2*2
|
2,6*2,6
|
2,6*5,2
|
4,8*5,0
|
|
Глубина моря, м
|
-
|
-
|
-
|
-
|
-
|
100
|
200
|
|
Глубина бурения скважины, м
|
3200
|
5000
|
5000
|
5000
|
6000
|
6000
|
6000
|
|
Диаметры бурильных труб в свечеприемнике, мм
|
114, 127, 147
|
114, 127, 147
|
114, 127, 147
|
114, 127, 147
|
114, 127, 147
|
114, 127, 147
|
114, 127, 147
|
|
Длина бурильных труб в свечеприемнике, м
|
25-27
|
25-27
|
25-27
|
25-27
|
25,36
|
25,36
|
25-27
|
Задача 2. Определение ветровой нагрузки на буровую
вышку
На буровую вышку действуют постоянные нагрузки - от веса
вышки, веса оборудования и переменные нагрузки - от нагрузок при эксплуатации,
ветровые нагрузки. При этом возникают вертикальные и горизонтальные усилия
(реакции). Вертикальные сжимающие усилия создаются нагрузкой на крюке, весом
вышки и ее оборудования, натяжением ведущей и неподвижной ветвей каната талевой
системы. Горизонтальные нагрузки, опрокидывающие вышку, являются
горизонтальными составляющими от усилий в ведущей и неподвижной ветвях каната
талевой системы, от веса наклонно установленных на подсвечнике свечей бурильной
колонны и от действия ветра. Грузоподъемность и прочность вышки зависят от
сочетания этих нагрузок.
Ветровая нагрузка определяется для рабочего и для нерабочего
состояния буровой вышки.
В рабочем состоянии вышки принимается предельная ветровая
нагрузка при которой обеспечивается ее нормальная эксплуатация с максимальной
нагрузкой на крюке и полным набором бурильных труб на подсвечнике. В нерабочем
состоянии, когда работы приостанавливаются из-за чрезмерной скорости ветра,
принимается предельная ветровая нагрузка с учетом которой должны быть
рассчитаны элементы буровой вышки в ее нерабочем состоянии.
Ветровые нагрузки определяются по формуле:
=q*c*p*m,
где q=rV2/2 или V2/1,6 -
ветровой или скоростной напор. Здесь V-скорость ветра, r - плотность воздуха,
1,225кг/м3.
По данным многолетних наблюдений, предельный ветровой напор в
различных районах СНГ изменяется в пределах от 270 до 1000 Па. Согласно нормам
РТМ 26-02-6-68 (Руководящий технический материал на проектирование буровых
вышек - Баграмов Р. А "Буровые машины и комплексы", М., Недра, 1988,
с.413), для расчета буровых вышек значения ветрового напора принимаются
независимо от места их эксплуатации: q=700 Па - для нерабочего
состояния: q=250 Па для рабочего состояния.
с - коэффициент, учитывающий возрастание напора ветра
в зависимости от высоты
Высота над поверхностью земли, м £10 20 40 100
Поправочный коэффициент с 1,0 1,25 1,55 2,1
р - коэффициент динамичности, учитывающий
пульсирующий характер ветрового давления и собственные колебания вышки: р=2
S - проекция панели вышки на вертикальную
плоскость, проходящую по оси вышки
S=F*j, где F-площадь панели, j - коэффициент заполнения
панели (для обшитой части j=1, для необшитой j=0,15-0,2.
m - аэрогидродинамический коэффициент, учитывающий
форму, размеры узлов и деталей вышки: для профильного проката m=1,4; для
трубного проката m=1,0
Пример: Определение ветровой нагрузки
Определить ветровую нагрузку, действующую на буровую вышку
при нормативном напоре ветра q, высота вышки h1 нижняя часть вышки
обшита на высоту h1, высота основания h0, балкон рабочего
на высоте hб, имеет сплошную обшивку высотой hоб, секции
вышки решетчатой конструкций смаршевыми лестницами до балкона.
Решение:
На каждую секцию мачты действует ветровая нагрузка
=qi *ci *p*Si *mi
і - число панелей
qi - предельный ветровой напор на каждую секциюi
- проекция каждой панели на вертикальную плоскость проходящую по оси
вышки; Si = Fi*ji - коэффициенты формы и
размеров элементов вышки
р - динамический коэффициент
После определения по заданным параметрам ветровых нагрузок на
каждую панель (секции) вышки определяется общая ветровая нагрузка на всю буровую
вышку
Q=
Задача 3. Определение
горизонтальной составляющей нагрузки, действующей на буровую вышку от веса
свечей и ветровой нагрузки на свечи и свечи приемнике
Пример:
a) Определение
горизонтальной составляющей нагрузки, действующей на буровую вышку от веса
свечей
Вес свечей
G=n·ql
где n - количество свечей в
свечеприемнике, q - вес 1 п. м. бурильной трубы, l - длина свечи;
Горизонтальная составляющая нагрузки от
веса свечей
св=Gx/hп
где hп - высота от подсвечника
до свечеприемника;
х=l / 2sin α,
где l - длина свечи, α - угол наклона свечей в свечеприемнике
б) Определение ветровой
нагрузки на свечи в свечеприемнике
Площадь бурильных труб
=dklccos α
где d - диаметр бурильной трубы; k - число
бурильных труб в ряду в свечеприемнике; 1с - длина свечи на которую
действует ветровая нагрузка, т.е. за вычетом высоты обшивки нижней панели h1
и высоты ограждения на площадке верхнего рабочего (высота обшивки балкона) hб.
Ветровая нагрузка на свечи
вс =q·c·p·m·F·φ
Задача 4. Расчет растяжек
для крепления буровой вышки при ветровых нагрузках
Согласно правил безопасности буровые вышки
высотой более 14 м во избежание опрокидывания должны укрепляться растяжками из
стальных канатов. Растяжки в башенных вышках устанавливают по диагональным
плоскостям, что исключает перекос конструкции при любом направлении ветра.
Чтобы вышка не опрокинулась, необходимо соблюдение условия
Муст≥Мопр·η
где Муст - момент устойчивости
вышки
Мопр - момент опрокидывания
вышки
η - коэффициент запаса устойчивости,
η = 1,25-1,50
Момент опрокидывания
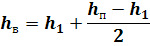
Мопр - Q·h+Qcв·hn+Qвc·hв
где Q - ветровая нагрузка на вышку (см.
предварительные расчеты - пример задачи 2)- высота равнодействующей от
силы ветра, определяется по формуле
где а; В; Н - соответственно размеры
верхнего, нижнего оснований вышки и высота вышки;n - высота от
подсвечника до свечеприемника;cв - горизонт составляющая нагрузка от
веса свечей (пример а) задачи 3);
Qвc - ветровая нагрузка на
свечи (пример б) задачи 3)
hв - высота от подсвечника до
центра ветровой нагрузки, действующей на свечи;
где h1 - высота нижней обшитой
панели
Рисунок 8 - а) Расчетная схема к
определению усилий от веса свечей
б) Расчетная схема для определения усилий
в растяжках буровой вышки
Если при этом получится результат, что Муст≤Мопр
(что не соответствует
условию устойчивости) и вышка может
опрокинуться, то ее необходимо укрепить растяжками из стальных канатов. От
действия ветровой нагрузки буровая вышка стремится опрокинуться относительно
ребра А-А1 (рисунок 8).
Уравнение равновесия относительно ребра
А-А1
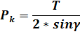
Отсюда усилие в плоскости растяжек

,
где d= (B+Hp) sin α
α определяется из соотношения - Н/D1К
(см. Элияшевский И.В. Типовые задачи и расчеты в бурении М., Изд. Недра,
1974г.); Ориентировочно sin α =0,75, Hp=5 - 7 м.
Усилия в растяжках
определяется из соотношения D1К/B3N
(рисунок 8)
Ориентировочно
= 0,83
Усилие в одной растяжке
Р1 =Рк/2
Диаметр каната для растяжек буровой вышки выбирается по разрывному
усилию:
Рр =Р1к,
где к - коэффициент запаса прочности (к= 3 - 4)
По полученному значению разрывного усилия Рр из
таблицы 3 производится выбор диаметра каната
Характеристика талевых стальных канатов ЛК - РО 6х1+6+ (6+6)
+12 (ГОСТ 16853 - 79)
Таблица 3.
|
Диаметр каната, мм
|
Площадь сечения, мм2
|
Удельная масса, кг/м
|
Разрывные усилия каната в целом в кН при
временном сопротивление проволоки, МПа
|
Диаметр проволок внешнего слоя, мм
|
|
|
|
1766 МПа
|
1960 МПа
|
|
|
22
|
204
|
1,9
|
320
|
355
|
1,0
|
|
25
|
300,6
|
2,66
|
460
|
510
|
1,6
|
|
28
|
370,3
|
3,38
|
520
|
578
|
1,8
|
|
32
|
464,99
|
4,25
|
711
|
789
|
2,0
|
|
35
|
564,23
|
5,05
|
863
|
958
|
2,2
|
|
38
|
671,6
|
5,98
|
1027
|
1140
|
2,4
|
|
41,3
|
712
|
6,6
|
1120
|
1240
|
2,6
|
|
44,5
|
-
|
8,2
|
1200
|
1350
|
2,8
|
Исходные данные для расчетов
|
Задача 1. Выбор класса буровой установки
|
|
Параметры и варианты
|
1
|
2
|
3
|
4
|
5
|
6
|
7
|
|
Глубина скважины Lс, м
|
3000
|
2800
|
2650
|
1800
|
3200
|
1400
|
2400
|
|
Диаметр направления Dн, мм
|
426
|
426
|
426
|
|
426
|
|
426
|
|
Толщина стенки направления dн, мм
|
11
|
11
|
10
|
|
11
|
|
10
|
|
Диаметр кондуктора Dк, мм
|
351
|
325
|
325
|
245
|
351
|
245
|
351
|
|
Толщина стенки кондуктора dк, мм
|
11
|
10
|
10
|
10
|
11
|
10
|
10
|
|
Диаметр промежуточной колонны Dпт,
мм
|
245
|
245
|
219
|
146
|
245
|
146
|
245
|
|
Толщина стенки промежуточной колонны dпк, мм
|
10
|
10
|
10
|
10
|
10
|
10
|
10
|
|
Диаметр эксплуатационной колонны Dэ,
мм
|
146
|
146
|
146
|
127
|
146
|
127
|
146
|
|
Толщина стенки эксплуатационной колонны dэ, мм
|
10
|
10
|
9
|
9
|
10
|
10
|
10
|
|
Диаметр бурильных труб Dб, мм
|
127
|
127
|
127
|
114
|
127
|
114
|
127
|
|
Толщина стенки бурильной трубы dб, мм
|
9
|
9
|
9
|
9
|
9
|
9
|
9
|
|
Диаметр утяжеленных бурильных труб (УБТ) DУБТ,
мм
|
178
|
146
|
146
|
146
|
178
|
146
|
146
|
|
Глубина спуска направления, lн, м
|
20
|
15
|
10
|
-
|
25
|
-
|
10
|
|
Глубина спуска кондуктора lк, м
|
400
|
350
|
320
|
150
|
380
|
110
|
150
|
|
Глубина спуска промежуточной колонны lпт,
м
|
2200
|
2000
|
1800
|
1000
|
2400
|
800
|
1650
|
|
Длина УБТ lУБТ, м
|
200
|
150
|
150
|
50
|
210
|
50
|
120
|
|
Вес 1п. м. направления qн, кН
|
1300
|
1300
|
1300
|
|
1300
|
|
1300
|
|
Вес 1п. м. кондуктора qк, кН
|
1000
|
1000
|
787
|
785
|
800
|
787
|
1000
|
|
Вес 1п. м. промежуточной колонны qпт,
кН
|
590
|
590
|
595
|
595
|
590
|
590
|
590
|
|
Вес 1п. м. эксплуатационной колонны qэ,
кН
|
320
|
320
|
343
|
280
|
320
|
280
|
320
|
|
Глубина спуска эксплуатационной колонны lэ,
м
|
3000
|
2800
|
2650
|
1800
|
3200
|
1400
|
2400
|
|
Задача 2. Определение ветровой нагрузки
|
|
Параметры и варианты
|
1
|
2
|
3
|
4
|
5
|
6
|
7
|
|
Тип буровой вышки
|
УМ-42/140
|
УМ-45/250
|
УМ-45/500
|
ВБ 42-200
|
ВБ-53-300
|
УМ-40-100
|
УМ-41-170
|
|
Нормативный напор ветра q, Па
|
700
|
250
|
250
|
700
|
250
|
250
|
700
|
|
Коэффициент возрастания напора, с1 с5
с2 с6 с3 с4
|
1,2 1,4 1,45 1,8
|
1,0 1,8 1,2 1,4 1,45
|
1,0 1,6 1,2 1,4 1,45
|
1,0 1,6 1,4 1,45 1,55
|
1,0 1,55 1,2 1,7 1,4 1,45
|
1,2 1,45 1,55 1,8
|
1,2 1,45 1,55 1,8
|
|
Коэффициент динамичности Р
|
2
|
2
|
2
|
2
|
2
|
2
|
2
|
|
Число секций (панелей) вышки
|
4
|
5
|
5
|
5
|
6
|
4
|
4
|
|
Высота нижней общитой панели h1
|
10
|
8
|
11
|
10
|
12
|
6
|
6
|
|
Высота основания h0, м
|
5
|
5
|
5
|
5
|
6
|
4
|
4
|
|
Высота обшивки балкона hб, м
|
4
|
4
|
4
|
4
|
5
|
4
|
4
|
|
Высота вышки h, м
|
42
|
45
|
45
|
42
|
53
|
40
|
41
|
|
База нижняя В, м
|
8
|
10,3
|
10,3
|
8*8
|
10*10
|
6,2
|
6,2
|
|
База верхняя а, м
|
2,3
|
2,93
|
2,93
|
2*2
|
2,6*2,6
|
2,3
|
2,3
|
|
Коэффициенты заполнения панелей j1 j5 j2 j6 j3 j4
|
1 0,15 1 0,15
|
1 0,15 0,15 1 0,15
|
1 0,15 0,15 1 0,15
|
1 0,15 0,15 0,15 1 0,15
|
1 0,2 1,0 0,2
|
1,0 0,2 1,0 0,15
|
|
Материал панелей
|
Труб-ный про-кат
|
Про-филь-ный прокат
|
Про-филь-ный прокат
|
Труб-ный прокат
|
Труб-ный прокат
|
Про-филь-ный про-кат
|
Про-филь-ный про-кат
|
|
Масса вышки Gв, тн
|
19,3
|
34,7
|
42,0
|
29,0
|
30,0
|
16,6
|
26,2
|
|
Задача 3. Определение горизонтальной
составляющей нагрузки от свечей и ветровой нагрузки в свечеприемнике
|
|
Параметры и варианты
|
1
|
2
|
3
|
4
|
5
|
6
|
7
|
|
Высота от подсвечника до свечеприемника hп,
м
|
22
|
25
|
25
|
22
|
27
|
20
|
20
|
|
Длина свечи l, м
|
25
|
27
|
27
|
25
|
30
|
22
|
22
|
|
Количество свечей в свечеприемнике n
|
100
|
100
|
110
|
100
|
110
|
80
|
90
|
|
Диаметр бурильной труб Dб, мм
|
127
|
127
|
127
|
114
|
127
|
114
|
127
|
|
Вес 1 п. м. бурильных труб qб, кг/м
|
26,2
|
26,2
|
26,2
|
23,3
|
26,2
|
23,3
|
26,2
|
|
Угол наклона бурильных труб в свечеприемнике к
вертикали a, град
|
4
|
4
|
4
|
5
|
5
|
4
|
5
|
|
Число панелей (секций) вышки до свечеприемника
|
3
|
3
|
3
|
3
|
3
|
3
|
3
|
|
Нормативный напор ветра q, Па
|
700
|
250
|
250
|
700
|
250
|
250
|
700
|
|
Коэффициент выростания напора С
|
1,2
|
1,4
|
1,1
|
1,45
|
1,2
|
1,2
|
1,4
|
|
Число бурильных труб в ряду свечеприемника К
|
12
|
12
|
14
|
14
|
14
|
15
|
15
|
|
Коэффициент формы, размеров деталей вышки m
|
1,0
|
1,4
|
1,1
|
1,45
|
1,2
|
1,2
|
1,4
|
|
Задача 4. Расчет растяжек для крепления буровой
вышки
|
|
Параметры для расчетов заданы в исходных данных
задач 2, 3
|
Отчет по работе
В отчете должны быть представлены: цель работы, назначение и
основные сведения по буровым установкам, узлы и агрегаты установок,
функциональная схема буровой установки, назначение, типы, устройства буровых
вышек, основные расчетные формулы по определению параметров установок и вышек,
результаты вычислений, краткий анализ полученных результатов.
Контрольные вопросы
1. назначение буровых установок
2. состав основного оборудование буровых установок
. функциональная схема буровых установок
. параметры, характеризующие буровую установку
. классификация буровых установок
. выбор установок для бурения скважины
. вышки применяемые в буровых установках и их
параметры. Морские буровые вышки
. достоинства и недостатки башенных и мачтовых вышек
. нагрузки, действующие на вышку в процессе проводки
скважины
. силы, создающие вертикальные и горизонтальные
нагрузки на вышку
. параметры, определяющие ветровую нагрузку
. условия устойчивости вышки
. выбор каната для растяжек вышки
Рекомендуемая
литература
1. Вадецкий
Ю.В. Бурение нефтяных и газовых скважин: Учебное пособие. - М.: изд. центр
"Академия", 2006 - 352с
2. Ильский
А.Л., Шмидт А.П. Буровые машины и механизмы: Учебное пособие. - М.: Недра, 1989
- 396с.
. Тетельмин
В.В., Язев В.А. Основы бурения на нефть и газ. Учебное пособие - Долгопрудный:
Издат. дом "Интеллект", 2009-296с.
. Баграмов
Р.А. Буровые машины и комплексы. М.: Недра, 1988-413с.