Технологическая линия по производству гидравлической комовой и молотой извести

  • Вид работы:
    Курсовая работа (т)
  • Предмет:
    Другое
  • Язык:
    Русский
    ,
    Формат файла:
    MS Word
    216,5 Кб
  • Опубликовано:
    2012-09-18
Вы можете узнать стоимость помощи в написании студенческой работы.
Помощь в написании работы, которую точно примут!

Технологическая линия по производству гидравлической комовой и молотой извести

Министерство образования Российской федерации

Пермский государственный технический университет

Строительный факультет

Кафедра строительных материалов и специальных технологий






Курсовой проект

по дисциплине: Вяжущие вещества

на тему: Технологическая линия по производству гидравлической комовой и молотой извести












Пермь, 2010

Ведение

В России первый завод, изготавливающий известковое вяжущее с гидравлическими добавками в виде толченого кирпича (цемянки), был построен в Москве в конце XVII века[4].

В начале XVIII века было получено новое ценное вяжущее - гидравлическая известь. Было замечено, что известняки, содержащие глинистые примеси, после обжига и тонкого измельчения медленно гасятся и приобретают способность затвердевать в воде. Гидравлическую известь стали применять для кладки фундаментов зданий, подъемных и гидротехнических сооружений. Также гидравлическая известь применяется для изготовления строительных растворов, бетонов, имеющих небольшую прочность. В отличие от растворов, приготовленных с использованием воздушной извести, такие растворы можно применять для частей построек, в период эксплуатации находящихся во влажных условиях. Это привело к еще более значительному расширению производства извести.

Гидравлические извести - продукты, получаемые умеренным (не доводимым до спекания) обжигом природных мергелей и мергельных известняков, содержащих не менее 75% углекислой извести, при смачивании водою гасящиеся в порошок, а при затворении - в тесто, дающие растворы, способные отвердевать не только на воздухе, но и в воде. Это последнее свойство, общее всем гидравлическим вяжущим, отличает гидравлическую известь от воздушной.

В процессе обжига образуются силикаты, алюминаты и ферриты кальция, придающие извести гидравлические свойства. Поскольку в продукте содержится значительная часть СаО и MgO, способных только к воздушному твердению, гидравлическая известь сочетает в себе свойства как воздушного, так и гидравлического вяжущего. Следовательно, гидравлическая известь состоит из различных соединений, часть которых (CaO и MgO) обусловливает свойства извести как воздушного вяжущего, а часть (силикаты(CaO·SiO2), алюминаты(CaO·Al2O3), ферриты кальция(CaO·Fe2O3)) гидравлического. Чем больше в составе гидравлической извести последних соединений, тем быстрее она твердеет и выше ее прочность. Поэтому изделия из гидравлической извести должны некоторое время (1...2 недели) твердеть на воздухе. Лишь после этого возможно их дальнейшее твердение в воде. Прочность гидравлической извести после комбинированного твердения (7 сут на воздухе и 21 сут. в воде) составляет 2...5 МПа. Это выше, чем у воздушной извести, но все же гидравлическая известь значительно уступает по прочности современным цементам.

В настоящее время гидравлическую известь не производят из-за переменного состава (природного содержания глинистых примесей) сырьевых материалов - мергелей и не постоянства качества продукта на технологическом.

1. Разработка месторождений

Запасы сырья и их исчисление. Наша страна обладает большими запасами карбонатного сырья. Месторождение карбонатного сырья имеет промышленное значение в том случае, если его запасы достаточны для длительной эксплуатации (свыше 25 лет). Запасы сырья в месторождении определяют бурением скважин на всю глубину месторождения. Скважины распределяют в шахматном порядке на всем участке, где предполагается наличие сырья, на расстоянии 100 м одна от другой. Одновременно с бурением отбирают пробы породы для определения ее химического состава[4].

После промера толщины пустой породы и полезного слоя в каждой скважине определяют их среднюю величину по месторождению. Запасы сырья подсчитывают умножением площади разведанной части месторождения в квадратных метрах на толщину полезного слоя (мощность пласта) в метрах.

Эксплуатация карьера. Большинство разрабатываемых месторождений карбонатного сырья относятся к залежам, выходящим на поверхность земли или находящимся под небольшим слоем пустых пород. Разработка таких месторождений ведется открытым способом, т. е. полезную породу разрабатывают в карьере после сноса вышележащих пустых пород (вскрыши).

Системой разработки называется определенный порядок разработки полезного ископаемого из месторождения. Открытые работы обычно ведутся горизонтальными слоями, уступами. После подготовительных работ по устройству карьера, называемых вскрытием карьера, проводятся вскрышные работы, обнажающие залежи сырья на расчетный период работы. Вскрышные работы ведутся в один уступ. Выемка полезного ископаемого ведется экскаватором в один или несколько уступов в зависимости от мощности пласта.

1.1 Вещественный, химический и минералогический состав сырья

Исходные продукты для гидравлической извести - мергели и мергельные известняки, которые представляют собою природные смеси мелкораздробленной углекислой извести с глиной. Мергель - осадочная горная порода, состоящая из кальцита или доломита и глинистых минералов. Соотношения карбонатной и глинистой составляющих могут быть различными. Обычно к мергелям относят породу, содержащую от 30 до 90% CaCO3 или MgCO3 и, соответственно, от 70 до 10% глинистых частиц. Известняки с содержанием глинистых примесей от 2 до 8% называются слабомергелистыми известняками, а получаемая из них известь - слабогидравлической. При содержании глинистых примесей в пределах 8-20% известняки называются мергелистыми, а получаемая из них известь - сильногидравлической. Слабогидравлическая известь в обычном виде гасится частично, а сильногидравлическая вообще не гасится. Для придания высокого качества и вяжущих свойств, гидравлическую известь подвергают тонкому помолу[12]. По минеральному составу мергели также бывают известковые, мелоподобные и доломитовые, а в зависимости от примесей - кремнезёмистые, глауконитовые, песчанистые, слюдистые, битуминозные, углистые. Окраска разнообразна, чаще светлая. Мергели используют также как сырьё в производстве некоторых видов цемента. Составные части мергеля обыкновенно разделяют на эти две группы по растворимости их в соляной кислоте, и все, что в ней не растворяется, относят к глине. Кроме глины в тесном смысле слова (состоящей из SiO2 и Аl2О3), в мергелях обычно присутствуют углекислые соли магния и железа, окислы железа, иногда марганца, а также примесь ангидрида[11].

При содержании в мергеле менее 70 - 75% углекислой извести (СаО), продукт после обжига уже не имеет способности гаситься водою. В природных мергелях составные части настолько измельчены и так тесно и равномерно перемешаны между собой, что это не удается сделать искусственным путем. Этим объясняется, что попытки приготовления гидравлических известей (т. е. продуктов обожженных ниже точки спекания) из искусственных смесей до настоящего времени не удавались. Сравнительно грубые частицы в искусственных смесях могут вступать в необходимые химические реакции, дающие равномерный, годный продукт только при спекании, т. е. при начале плавления, делающего их более легкоподвижными. Отношение количества кремнезема к количеству глинозема (и окиси железа) в мергеле должно быть не менее 2,5. При этом следует принимать во внимание только активный кремнезем, так как кремнезем в виде песка при температуре обжига гидравлической извести еще остается инертным и не реагирует с известью, делая ее тощею[10].

Гидравлическая известь - продукт умеренного обжига (не до спекания) при температуре 900 - 1100°С мергелистых известняков, содержащих 5-20% глинистых примесей. Гидравлическая известь - это медленносхватывающееся вяжущее вещество. В зависимости от содержания в ней свободного оксида кальция (СаО) сроки схватывания колеблются от начала схватывания в пределах 0,5-2 ч. и до конца - 8-16 ч.

Для характеристики химического состава мергеля, содержащего известняк и глину, а также готового вяжущего вещества обычно пользуются основным модулем (ОМ), представляющим собой отношение процентного содержания по массе активности извести (CaO+MgO) к процентному содержанию кислотных оксидов:

М0 = % (CaO + MgO)/(% Si02 + % А1203 + % Fe203). [12]

Для гидравлической извести численное значение основного модуля колеблется в пределах 1,7-9. В зависимости от значения основного модуля различают также сильногидравлическую и слабогидравлическую известь. У первой основной модуль равен 1,7 - 4,5, у второй - 4,5 - 9 соответственно. При гидравлическом модуле меньше 1,7 получают романцемент, а если основной модуль больше 9, то воздушную известь (см. рис. 1.) Основной модуль не является достаточной характеристикой сырья и готового продукта, так как по его значению нельзя судить о том, в состав каких минералов входят кислотные оксиды и насколько равномерно они распределены в сырье. Так, SiO2 может входить в состав глинистых минералов, находиться в виде высокодисперсного равномерно распределенного кварца, а также в виде крупных зерен кварцевого песка. В первом случае SiO2 будет интенсивно реагировать с СаО при обжиге, во втором - останется в виде инертного балласта[12].

Рис.1. Зависимость предела прочности гидравлической извести от основного модуля.

Наряду с глинистыми и кварцевыми примесями мергелистые известняки обычно содержат минералы: доломит, слюду, пирит и другие, которые в той или иной степени влияют на режим обжига и свойства готового продукта. Химический состав некоторых мергелей, применяющихся для производства гидравлической извести, приведен в таблице 1.

Таблица 1. [12].

Месторож-

Средний химический состав, %

Гидравлический

дение

SiO2

R2O3

CaO

MgO

П.п.п. %

модуль

Каменец-Подольское

13,97

2,33

33,05

11,36

38,5

2,01

Алексеевское

15,61

4,86

38,49

4,59

36,51

1,9

Феодосийское

15,33

2,8

45,73

0,65

35,74

2,5

Ворошиловградское

17,05

4,08

43,7

0,28

34,74

2,07

Амвросиевское

16,4

4,6

42,6

0,6

35,3

2,03


Равномерность распределения примесей также имеет существенное значение, так как сырье для производства гидравлической извести не подвергается помолу и усреднению. Так как глина - это соединение кремнезема с водой и окисью алюминия, то сумма окислов SiO2+Аl2О3+Fe2О3 называется глинистыми примесями. В тех случаях, когда кремнезем равномерно распределяется по всему слою известняка, порода называется опокой. Обычно кремнезем образует в месторождении карбонатного сырья включения и прослойки или присутствует в виде песка различной крупности[8].

Мергелистые известняки, кроме глинистых примесей, обычно содержат включения 2 - 5% углекислого магния (MgO) и некоторые другие примеси. Так как гидравлическую известь изготовляют из природного сырья без специальной переработки в искусственные смеси однородного состава, то для ее получения необходимо применять мергелистые известняки с возможно равномерным распределением в них глинистых и других включений. При этом также учитывают, в виде каких соединений находятся в известняке те или иные примеси, так как от этого в значительной мере зависит качество получаемого продукта. Чтобы определить пригодность сырья для производства гидравлической извести мало знать только его химический состав, необходимо провести еще и специальные технологические исследования (см. ниже методы испытания извести) [9].

1.2 Показатели качества сырьевых материалов

Показателем качества сырьевых продуктов (мергелей) для производства гидравлической извести является химический состав горной породы, определяемый для разных карьеров.

По ГОСТ 5331- 63 на карбонатные породы для производства строительной извести предусматривается пять классов пород (А, Б, В, Г, Д) в зависимости от их химического состава (таблица 2).

Таблица 2. [12].

Химический состав

А

Б

В

Г

Д

Углекиспый кальций (СаСО3), %

 

не менее

93

90

85

47

72

Углекислый магний (MgCO3), %

 

не более

4

7

7

45

8

Глинистые примеси (SiO2+Al2O3+Fe2O3),

 

%, не более

3

3

8

8

20

 

Для производства гидравлической извести используют класс Д горной породы [7]. На основе старого ГОСТа сейчас производители разрабатывают свои технические условия (ТУ).

1.3 Контроль качества сырьевых материалов (ГОСТ 5331 - 63)

Качество исходных материалов контролируют при их поступлении на склад, периодически при хранении на складе и раз в смену на технологической линии перед поступлением в обжиговый агрегат.

Карбонатное сырье. Качество карбонатной породы на складе контролируют как по документации поставщика, так и непосредственным анализом проб, взятых из прибывшей партии сырья или различных мест штабеля.

На каждые 300 тонн прибывающего на заводской склад карбонатного сырья поставщик высылает на предприятие паспорт, в котором указано: дата выдачи документа, класс породы, количество, номер партии, результанты испытания проб сырья.

Работники предприятия периодически, 2-4 раза в месяц, производят контрольную проверку соответствия поступающей карбонатной породы требованиям ГОСТ 5331-63 «Породы карбонатные для производства строительной извести».

Содержание мелочи в поступившей партии фракционированного сырья определяют отдельно для каждой фракции следующим образом. Карбонатную породу в количестве одной десятой части объема железнодорожного вагона или одной автомашины просеивают через грохот с отверстиями, равными размеру кусков нижнего предела поставляемой фракции. Начальную пробу и прошедшие через грохот фракции сырья (мелочь) взвешивают на весах. Количество мелочи GM в процентах получают расчетом по формуле:

Gм=G2/G1*100%

где G1 - количество сырья в начальной пробе, кг; G2 - количество сырья, прошедшего через сито, кг.

Содержание мелочи в сырье данной фракции не должно превышать 5%.

Для определения физико-химических свойств сырья необходимо отобрать среднюю пробу. Карбонатную породу для средней пробы отбирают из каждой партии в размере 20 кг, равными порциями, не менее чем из 20 мест.

Перед определением влажности и химического состава карбонатного сырья отобранную пробу подвергают квартованию. Для этого пробу в количестве 20 кг измельчают в мельнице до кусков фракции 30 - 40 мм, перемешивают лопатой и равномерным слоем распределяют в виде квадрата со стороной, равной 1 м.

Квадрат делят диагоналями на четыре треугольника, т. е. квартуют. Материал двух любых противоположных треугольников отбрасывают, а двух оставшихся измельчают и снова размещают в виде квадрата и также квартуют.

Среднюю пробу в количестве до 1 кг, отобранную методом квартования, помещают в эксикатор и направляют в лабораторию для исследования.

Для определения влажности карбонатную породу из средней пробы измельчают до полного прохождения через сито с отверстиями 3 мм и квартованием отбирают 20-40 г. Навеску взвешивают на технических весах с точностью до 0,01 г в предварительно просушенной и взвешенной фарфоровой чашке. Далее чашку с навеской материала помещают в сушильный шкаф, где выдерживают до постоянного веса при температуре 105 - 110° С.

Высушенную навеску охлаждают в эксикаторе над серной кислотой и взвешивают.

Влажность материала Wр, %, определяют по формуле:

Wр = (G1-G2/G1)*100%

где G1 - количество исходного материала, г; G2 - количество материала после его сушки, г.

Потери при прокаливании (П.П.П.) карбонатной породы контролируют для косвенного определения содержания в сырье углекислого кальция и магния. Потери при прокаливании химически чистого СаСО3 составляют 44%, в доломитизированных известняках П.П.П. несколько выше, а П.П.П. известняков, засоренных примесями, ниже 44%.

Подготовку пробы и определение потери при прокаливании выполняют следующим образом. 25 - 30 г материала средней пробы растирают в фарфоровой ступке и сокращают квартованием до 10 г, после чего растирают в агатовой ступке до тонины пудры и хранят в бюксе.

г материала высушивают при температуре 105 - 110°С и взвешивают на аналитических весах с точностью до 0,0002 г. Затем его помещают в прокаленный и взвешенный фарфоровый тигель, который постепенно нагревают в муфельной печи до температуры 1000° С и выдерживают не менее 1 ч.

Тигель вынимают из печи, охлаждают в эксикаторе и взвешивают. Затем повторяют прокаливание в течение 15 мин, охлаждают и взвешивают тигель. При получении постоянного веса П.П.П., %, вычисляют по формуле:

П.П.П. = (G1-G2/G1)*100 %

где G1 - количество материала до прокаливания, г; G2 - количество материала после прокаливания, г.

Далее определяют содержание в средней пробе окиси кремния (SiO2), полуторных окислов (R2O3 = Al2O3 + Fe2O3), окиси кальция (СаО) и окиси магния (MgO).

Если контрольная проверка качества сырья показала неудовлетворительные результаты, т. е. невыполнение хотя бы одного из требований стандарта, то производят повторную проверку, отбирая двойное количество проб. При отрицательных результатах повторной проверки партия карбонатной породы не принимается предприятием и не пускается в производство.

Гранулометрический состав карбонатного сырья периодически, 1 раз в смену, проверяют на технологической линии перед его подачей в скип или питатель печи. В этом случае отбирают пробу весом 100 - 150 кг и определяют содержание мелочи рассмотренным выше методом.

Все данные сооответствующих анализов заносят в журнал по контролю сырья[4].

1.4 Правила приемки, транспортировки и хранения сырьевых материалов (ГОСТ 26871 - 86). [5].

Правила приемки:

.1. Камень должен быть принят техническим контролем предприятия-изготовителя.

.2. Приемку и поставку камня осуществляют партиями. В состав партии включают камень одного вида, сорта и фракции.

.3. При отгрузке камня железнодорожным и водным видами транспорта размер партии устанавливают в зависимости от годовой мощности карьера:

·   1000 т - при годовой мощности до 1000000 т;

·        2000 т - свыше 1000000 т.

Допускается отгружать партии камня меньшей массы.

.4. При отгрузке камня автомобильным транспортом партией, считают количество камня одного сорта и одной фракции, отгружаемого одному потребителю в течение суток.

.5. Количество поставляемого камня определяют по его массе. Камень, отгружаемый в вагонах или автомобилях, взвешивают на железнодорожных и автомобильных весах. Массу камня, отгружаемого в судах, определяют по осадке судна.

.6. Изготовитель должен определять фракционный состав камня не менее одного раза в квартал, а также при замене технологического оборудования или переходе из одного забоя в другой при разработке пласта гипсового камня.

.7. Потребитель имеет право проводить контрольную проверку соответствия камня требованиям настоящего стандарта, применяя при этом приведенный ниже порядок отбора проб и методы испытаний. Потребитель отбирает пробы после разгрузки транспортных средств, изготовитель - перед или во время погрузки.

.8. Пробы отбирают не менее чем из 10 мест равными частями на различной глубине при отгрузке железнодорожным или водным видам транспорта, а при отгрузке автомобильным транспортом - не менее чем из 5 машин.

.9. Минимальную массу общей пробы определяют в зависимости от максимального размера фракции:

·   50 кг - при максимальном размере фракции 60 мм;

·        300 кг - при фракции 300 мм.

.10. Если при испытании пробы получены неудовлетворительные результаты, проводят повторные испытания пробы камня, отобранной из той же партии.

При неудовлетворительных результатах повторных испытаний партия приемке не подлежит.

Транспортирование и хранение :

.1. Известняковый камень поставляют навалом всеми видами транспортных средств.

.2. Камень транспортируют железнодорожным транспортом в соответствии с правилами перевозок грузов и техническими условиями погрузки и крепления грузов, утвержденными министерством путей сообщения.

.3. Предприятие - изготовитель должен сопровождать каждую отгружаемую партию документом о качестве установленной формы, в котором указывают:

·   наименование и адрес предприятия - изготовителя;

·        наименование камня;

·        номер партии, дату отправки и объем партии;

·        сорт, размер фракции;

·        обозначение настоящего стандарта.

.4. При транспортировании и хранении камень должен быть защищен от загрязнения посторонними примесями[5].

1.5 Складирование сырья и топлива

Складское хозяйство предприятия, изготовляющего известь, состоит из открытых или закрытых площадок, емкостей и хранилищ. Промежуточные (складские) емкости позволяют предприятию накапливать в них одно-двухмесячный запас сырьевых материалов, топлива и продукции для бесперебойной работы основного технологического оборудования.

Различают склады, служащие для хранения сырья, топлива и готовой продукции.

Склады заводов часто получают сырье и топливо по железной дороге. Транспортируется оно обычно в саморазгружающихся вагонах, реже на платформах грузоподъемностью 50 т.

При доставке сырья автомобильным транспортом склад обычно представляет собой открытую бетонированную площадку с эстакадой, на которую заезжают самосвалы.

Сырье поступает на склад в фракционированном или нефракционированном виде. В первом случае оно распределяется со склада по приемным бункерам печей. Во втором - его вначале отправляют в приемные бункера дробильно-сортировочной установки (ДСУ), а после дробления и рассева ленточными транспортерами распределяют по приемным бункерам обжиговых печей.

Для доставки известняка со склада к приемным бункерам применяют опрокидные вагонетки узкой колеи, которые откатывают при помощи маневровых лебедок МОЛ-1 и МОЛ-2; бульдозеров; мостовых грейферных кранов грузоподъемностью 5 и 10 т.

Типовой склад сырья и твердого топлива большой емкости протяженностью 100-130 м имеет бетонированный пол и стенки и оснащен двумя мостовыми кранами длиной 32 м и грузоподъемностью 10 т. Одной своей стороной склад примыкает к приемным бункерам дробильно-сортировочного отделения (или приемным бункерам печей). Противопожарная сторона склада оборудована эстакадой с железнодорожным путем. Сырье складируется в средней части площадки, а топливо с обоих сторон от сырья.

Полувагоны с сырьем или топливом разгружают вдоль склада по обе стороны от эстакады. Выгрузочные люки полувагонов открывают вручную (при односторонней выгрузке) или при помощи механизмов, укрепленных на фермах мостового крана. Железнодорожный состав перемещают при помощи маневровой лебедки. Сырье и топливо загружают в приемные бункера мостовыми кранами[4].

2. Процессы, происходящие при обжиге гидравлической извести. Температурные условия обжига

Обжиг гидравлической извести может производиться в тех же печах, что и обжиг воздушной извести. Главным образом применяются шахтные печи, снабженные полугазовыми топками или топками полного сгорания. Расход условного топлива на обжиг гидравлической извести несколько меньший, чем при обжиге воздушной, и составляет 12 - 14% от массы обожженной извести. Гидравлическую известь в зависимости от вида сырья обжигают при температурах от 900 до 1100 °С, а иногда и при 1200 °С. При этом в сырье происходит ряд химических превращений. В первую очередь обезвоживаются глинистые минералы и разлагаются карбонаты магния и кальция: СаО, СаСО3 и частично MgO вступают в твердофазные реакции с кислотными оксидами (SiO2 и дегидратированной глиной).

В процессе обжига чистых карбонатных пород происходит процесс теплового разложения карбонатов кальция СаСОз и магния MgCO3 с поглощением тепла по уравнениям:


Карбонаты разлагаются на окислы кальция СаО и магния MgO (известь) и углекислый газ СО2, который улетучивается.

При полном разложении 1 кг углекислого кальция образуется 0,56 кг СаО и 0,44 кг СО2. Следовательно, для получения 1 кг СаО требуется:

При полном разложении 1 кг MgCO3 образуется 0,477 кг MgO и 0,523 кг СО2. Следовательно, для получения 1 кг MgO требуется :


Количество тепла, которое необходимо затратить для разложения при атмосферном давлении и температуре 15° С 1 кг СаСО3, равно 425 ккал и для разложения 1 кг MgCO3 - 310 ккал.

Теоретически для получения 1 кг СаО необходимо затратить тепло в количестве: 425·1,786 ~ 760 ккал. Для получения 1 кг MgO необходимо затратить тепло в количестве: 310· 2,1 ~ 650 ккал, т, е. на 14,5% меньше.

На скорость разложения карбонатов решающее влияние оказывает температура. Разложение СаСО3 начинается при 600°С, но реакция не идет до конца и протекает медленно. Полное разложение СаСОз происходит примерно при температуре 900° С. Разложение MgCO3 начинается при температуре 400° С, полное разложение происходит начиная с 710° С.

Скорость реакции разложения карбонатов кальция и магния растет с уменьшением давления газа СО2, однако колебании концентрации СО2 в печных газах (25 - 40%) не оказывают существенного влияния на ведение обжига.

Рассмотрим основы процесса обжига карбоната кальция. Время полного термического распада СаСО3 зависит от температуры обжига, плотности карбонатной породы и размера ее кусков.

Разложение СаСО3 в куске и основное количество тепла диссоциации (разложения) сосредоточено на некоторой границе (поверхности), величина и положение которой непрерывно меняются. Граница между наружным обожженным слоем и внутренним необожженным называется зоной диссоциации. Эта граница хорошо видна на изломе куска извести с недожогом.

При повышении температуры обжига выше 900°С скорость разложения известняка резко возрастает. Так, если скорость продвижения зоны диссоциации при температуре 950°С принять за единицу, то при температуре 1050° С она увеличится в 1,8 раза, а при 1150° С - в 4 раза. Отсюда следует, что температура обжига является основным фактором в увеличении производительности печи.

Повышение плотности природных карбонатов кальция требует увеличения температуры их разложения, поэтому температура обжига мраморов и известняков высокой плотности должна быть на 50 - 80°С выше температуры обжига рыхлого и мелового сырья.

По мере того как кусок известняка обжигается, увеличивается толщина слоя извести на его поверхности. Вследствие высокой пористости коэффициент теплопроводности СаО в 3 раза ниже, чем известняка, что уменьшает подвод тепла к границе диссоциации. Таким образом, время полного разложения куска известняка зависит не только от температуры обжига, но и от его линейного размера.

На время разложения оказывает влияние форма кусков известняка. Время полного разложения куска известняка неправильной округлой формы в 1,5 - 2 раза меньше времени обжига равного ему по объему куска в виде плиты.

Продолжительность полного разложения кусков известняка различного размера при данной температуре пропорциональна квадрату линейного размера куска. Поэтому для получения равномерно (одинаково) обожженной извести необходимо, чтобы исходное сырье имело близкие по размеру куски.

При нагревании кальциевого известняка до температуры разложения образуется СаО, обладающая максимальной скоростью соединения с водой, т. е. минимальным временем гашения. При дальнейшем прокаливании образовавшейся окиси кальция происходит спекание материала, выражающееся в срастании мелких кристаллических зерен СаО в крупное многокристаллическое тело.

С увеличением температуры и времени прокаливания происходит рост кристаллов, называемый процессом рекристаллизации. Процесс рекристаллизации сопровождается повышением плотности и прочности извести и замедлением скорости ее гашения.

Прокаливание чистой СаО в интервале температур 950 - 1350°С приводит к росту ее кристаллов до размера 5 - 10 мк и увеличению в 2 - 3 раза времени гидратации, но не сказывается на количестве активной СаО. При прокаливании чистого известняка (с содержанием примесей менее 2%) в течение 1 ч в температурном интервале 1350 - 1400° С происходит образование перекристаллизованной (пережженной) извести (кристаллы СаО более 10 мк) в пределах 9 - 20%. Поэтому обжиг в печах на газообразном или жидком топливе чистых кальциевых известняков при температуре до 1300°С не приводит к появлению пережженной извести, а сопровождается получением активной извести со сроками гашения до 20 мин. При обжиге также сопровождается изменение плотности минералов (см. рис. 2).

Рис. 2. Изменение плотности минералов при изменении температуры обжига

Природные карбонаты кальция обычно содержат определенное количество MgCO3 и примесей. Примеси входят также в зольную часть топлива. Наиболее распространены примеси в виде кремнезема (SiО2), полуторных окислов (Fe2O3, AI2O3) и сульфата кальция (CaSO4). Влияние МgСО3 на свойства извести состоит в следующем. Разложение доломитизированного известняка идет в две стадии: вначале разлагается MgCO3, а затем при более высокой температуре СаСО3. Образовавшаяся при 700 - 750°С окись магния при дальнейшем нагревании спекается и рекристаллизуется, теряя при этом в значительной степени способность к гидратации. Чем выше температура обжига, тем больше времени затрачивается на гидратацию прокаленного MgO. Полученная длительным обжигом (в шахтной печи ) при температуре 1100 - 1300°С MgO в обычных условиях гидратирует полностью только через несколько дней и даже недель, поэтому происходит разрушение конструкций из-за увеличения в объеме MgO.

Содержание кремнезема (SiO2) в чистых известняках обычно не превышает 2%, но в мергелистых достигает 5 - 15%. SiО2 взаимодействует с СаО в твердом состоянии уже при 700 - 800° С образуя силикаты кальция ( в основном двухкальциевый силикат - 2CaO·SiO2, или белит), которые представляют собой тугоплавкие соединения и при 1300 - 1400° С не образуют плава. Полученные в процессе обжига силикаты кальция снижают количество активной СаО в извести, так как она находится в них в связанном виде.

Взаимодействие СаО с Fe2O3 и А12Оз происходит при температуре 900 - 1200°С с образованием новых соединений - ферритов и алюминатов кальция (СаО·Fе2Оз; 2CaO·Fe2O3; СаО·А12О3), обладающих низкой вязкостью и низкой температурой плавления ( так называемой жидкой фазы). Жидкая фаза обволакивает зерна СаО, образуя медленногасящуюся (гидравлическую) известь.

Присутствие в извести CaSO4 способствует понижению температуры образования жидкой фазы и значительно замедляет процесс гидратации извести. Следовательно, окись кальция в извести может находиться в свободном и связанном состоянии.

Связанной окисью кальция называется СаО, вступившая во взаимодействие с примесями с образованием новых химических соединений (силикатов и алюмоферритов кальция). Эта часть воздушной извести представляет собой безвозвратные потери окиси кальция, тогда как для гидравлической извести силикаты кальция (белит) являются необходимыми минералами.

Свободной СаО называется окись кальция, находящаяся в виде кристаллов СаО.

Таким образом, к свободным окислам СаО и MgO относятся активные СаО и MgO, ошлакованные и оплавленные частицы активной СаО и перекристаллизованные окислы СаО и МgO.

Под «недожогом» извести понимают неразложившуюся часть известняка, которая находится в куске под слоем хорошо обожженной извести. «Недожог» легко обнаружить, взяв в руки куски извести, так как куски с «недожогом» тяжелее полностью обожженных. Расколов такой кусок, можно увидеть ядро серого цвета, состоящее из неразложившегося СаСО3.

«Недожог» в извести снижает ее качество за счет уменьшения содержания СаО. Причиной появления «недожога» извести являются нарушения технологии процесса обжига.

Под «пережогом» извести понимают ту ее часть, которая в естественных условиях не взаимодействует с водой в принятые сроки гашения. К «пережогу» относятся рекристаллизованные окислы СаО и MgO, а также ошлакованные и оплавленные частицы активной окиси кальция. «Пережог» извести внешне представляет собой ошлакованные и оплавленные утяжеленные куски извести темноватого цвета, имеющие плотную структуру.

Вредное влияние «пережога» извести состоит в том, что он попадает в отходы при гашении (чистая потеря извести), гасится в силикатных изделиях (при автоклавной обработке), в кладке или штукатурке, вызывая их разрушение. Снижение количества «пережога» в комовой кальциевой извести (за счет ошлакованных и оплавленных частиц активной СаО) можно получить при ее тонком измельчении.

Причиной появления «пережога» извести является нарушение требований, предъявляемых к сырью (превышение содержания в нем МgСО3 и глинистых примесей), топливу (повышенная зольность) и режиму обжига (резко завышенная температура обжига, перерасход топлива и т. п.)[4].

2.1 Физико-химические процессы, происходящие при твердении гидравлической извести

Условия твердения.

При твердении гидравлической извести протекают процессы, характерные как для воздушного, так и для гидравлического твердения, Первые обусловливаются твердением гидрата окиси кальция или окиси кальция аналогично воздушной извести. Вторые процессы вызываются твердением силикатов, алюминатов и ферритов кальция. В результате их взаимодействия с водой появляются гидросиликаты, гидроалюминаты и гидроферриты кальция. Сочетание воздушного и гидравлического твердения и многообразие возникающих при этом химических и физических явлений значительно усложняют изучение процессов, протекающих при твердении гидравлической извести.

Твердение гидравлической извести сопровождается процессами, характерными для воздушного и гидравлического твердения. Вначале, как и при твердении воздушной извести, СаО(MgO) гидратируется до Са(ОН)2 (Mg(OH)2) (гидратное твердение):

CaO + H2O = Ca(OH)2 + 160 кДж/кг+ H2O = Mg(OH)2 + 38…42 кДж/кг

В дальнейшем при влажном твердении постепенно гидратируются силикаты, алюминаты и ферриты кальция, образуя соответствующие гидраты в коллоидном и субмикрокристаллическом состоянии. С течением времени гидраты уплотняются, пронизываются кристаллическим Са(ОН)2, образуя единый конгломерат. В связи с двойственным характером процессов, происходящих при твердении, рекомендуется комбинированный режим твердения гидравлической извести. Вначале необходимы воздушно-сухие условия, а затем влажные. Чем выше основной модуль, тем длительнее нужно выдерживать изделия из извести при воздушно-сухих условиях твердения. В дальнейшем для более полного протекания процессов гидратации гидравлических составляющих более благоприятны влажные условия. По мере повышения содержания силикатов, алюминатов и ферритов кальция условия твердения гидравлической извести приближаются к условиям твердения романцемента, а с увеличением количества гидрата окиси кальция - к условиям твердения воздушной извести[3].

2.2 Показатели качества гидравлической извести

Основные показатели качества (ГОСТ 9179-77):

.1. Гидравлическая известь по химическому составу должна соответствовать требованиям, указанным в таблице 2.

Таблица 2

Показатель

Известь


Слабогидравл.

Сильногидравл.

Содержание, %

 

активных СаО+MgO в перес-


чете на сухое вещество


не менее

40

5

не более

65

40

активного МgO, не более

6

6

CO2 не более

6

2


.2. Предел прочности образцов в МПа (кгс/смІ) через 28 суток твердения должен быть не менее:

а) при изгибе: 0,4 (4,0) - для слабогидравлической извести; 1,0 (10) - для сильногидравлической извести; б) при сжатии: 1,7 (17) - для слабогидравлической извести; 5,0 (50) - для сильногидравлической извести;

.3. Если по отдельным показателям гидравлическая известь относится к разным видам, то вид извести определяется по пределу прочности при сжатии.

Механические испытания гидравлической извести производится на образцах-балочках размером 40 X 40 х 160 мм в растворе 1:3. После 24-х часового твердения в ванне с гидравлическим затвором образцы извлекают из форм и хранят над водой в течение 6 сут, а затем в воде 21 сут. (по ГОСТ 310.4 - 86).

Гидравлическая известь из сырья с гидравлическим модулем 2 - 4 (т. е. содержащая 50 - 80 % гидравлических компонентов) при хорошо подобранном режиме обжига и тщательном помоле имеет прочность на сжатие 6 - 15 и даже 20 МПа 1.4. Содержание гидратной воды в негашеной извести не должно быть более 2%.[3].

1.5. Степень дисперсности порошкообразной воздушной, гидравлической извести должна быть такой, чтобы при просеивании пробы извести сквозь сито с сетками № 02 и 008 (по ГОСТ 6613-86) проходило соответственно не менее 98,5 и 85% массы просеиваемой пробы соответственно.[3].

Максимальный размер кусков дробленой извести должен быть не более 20 мм.

.6. По согласованию с потребителем допускается поставка комовой гидравлической извести, используемой в технологических целях.

.7. Воздушная и гидравлическая известь должна выдерживать испытание на равномерность изменения объема (см. ниже) [1].

Вспомогательные показатели качества: [3]

. Объемная масса гидравлической извести в рыхлом состоянии равна 700 - 800, а в уплотненном - 1000 - 1100кг/м3 . Плотность гидравлической извести 2,6 - 3,0 г/см3.

2. Водопотребность и водоудерживающая способность гидравлической извести ниже, чем воздушной. Это объясняется тем, что в состав ее кроме СаО входят силикаты, алюминаты и ферриты. Такие соединения являются отощителями и поэтому снижают пластичность растворов.

По ГОСТ 9179-77 гидравлическая известь делится на слабо- и сильногидравлическую.

. Сроки схватывания гидравлической извести зависят от содержания свободной извести. Слабогидравлическая известь схватывается быстрее, а твердеет медленнее, чем сильногидравлическая. Начало схватывания обычно наступает через 0,5 - 2, а конец через 2 - 16 ч.

При затворении гидравлической извести водой, свободный СаО энергично гасится, вызывая растрескивание. Для устранения этого явления П. И. Боженов предложил применять двухступенчатое затворение. Вначале к извести добавляют 10 - 15 % воды, тщательно перемешивают и выдерживают 20 - 30 мин, после чего добавляют остальное количество воды, необходимое для получения заданной удобоукладываемости. Если при первом затворении температура не поднялась выше 40 °С, то такую известь можно затворять сразу всем количеством воды, не боясь появления неравномерности изменения объема.

В. В. Манжурнет предложил вводить в гидравлическую известь во время помола 2 - 5 % гипса, который замедляет процесс гашения извести и тем самым устраняет опасность возникновения вредных деформаций. Добавка гипса также способствует увеличению прочности известково-песчаных растворов.

. Цвет гидравлической извести: белый, кремовый. Поэтому из нее, при добавлении соответствующих минеральных пигментов, можно получить цветную известь, которая применяется как декоративно-отделочный материал. Пигменты, вводимые в известь, должны быть щелочестойкими. К таким пигментам, в первую очередь, относятся: охра, сурик, мумия. Для окрашивания растворов можно вводить также молотый красный кирпич. Количество пигмента обычно не превышает 5% по массе.

. Отбор средней пробы. Каждые два часа из печи отбирают известь в количестве около 50 кг, методом квартования получают пробу 5 кг и помещают ее в герметически закрываемый сосуд. Первичную пробу извести (20 кг), отобранную за смену, методом квартования сокращают до 5 кг, получая среднюю пробу, которую и испытывают.

. Определение содержания непогасившихся зерен. Из 1 кг негашеной извести приготовляют известковое тесто и выдерживают его в течение 24 ч, затем разбавляют водой до состояниям известкового молока и пропускают через сито с сеткой № 063 одновременно промывая слабой непрерывной струей воды и слегка растирая кусочки стеклянной палочкой с резиновым наконечником. Остаток на сите высушивают при температуре 105 - 110°С до постоянного веса. Полученный остаток в граммах, деленный на 10, дает содержание непогасившихся зерен в процентах.

. Определение остаточной потери при прокаливании извести. (П.П.П.). Это испытание проводят для определения величины «недожога» извести или степени декарбонизации сырья при обжиге. При достаточно полном разложении карбонатных пород, остаточные П.П.П. составляют 2 - 7%.

Для испытания в предварительно прокаленный и взвешенный платиновый или фарфоровый тигель отвешивают на аналитических весах около 1 г извести, высушенной при температуре 105 - 110° С. Тигель помещают в муфельную печь, постепенно нагревают до температуры 1000° С, выдерживают при этой температуре в течение 30 мин, а затем охлаждают в эксикаторе и взвешивают. Прокаливание повторяют (по 5 мин) до получения постоянного веса. Потери при «прокаливании в процентах вычисляют по формуле:

П.П.П. = (G1-G2/G1)*100 %

где G1 и G2 - соответственно количество материала до и после прокаливания, г [2].

Методы испытаний. Определение химического показателя качества.

Общие положения:

При химическом анализе строительной извести должны применяться реактивы химически чистые и чистые для анализа (квалификации х.ч. и ч.д.а.), соответствующие действующим на них стандартам, дистиллированная вода по ГОСТ 6709-72 и безольные фильтры.

Подготовка пробы комовой извести:

Из пробы извести, отобранной в соответствии с ГОСТ 9179-77 и измельченной до размеров кусков не более 10 мм, квартованием отбирают 1 кг для определения содержания непогасившихся зерен и пробу массой около 500 г. Эту пробу измельчают до полного прохождения через сетку № 09 по ГОСТ 3584-73, тщательно перемешивают, затем квартованием отбирают около 150 г, растирают до полного прохождения через сетку № 008 по ГОСТ 3584-73, помещают в герметически закрытый сосуд и используют для проведения испытаний, предусмотренных стандартом.

Подготовка пробы порошкообразной извести

Для проведения химического анализа пробы, отобранной по ГОСТ 9179-77, последовательно квартованием отбирают пробу массой 40 г, растирают в ступке до полного прохождения через сетку № 008 по ГОСТ 3584-73 и помещают в герметически закрытый сосуд.

Степень дисперсности, влажность, температура и время гашения, прочность и равномерность изменения объема извести определяют непосредственно из пробы, отобранной по ГОСТ 9179-77.

2.3 Взвешивание навесок должно производиться

·   для химического анализа - на аналитических весах с точностью до ±0,0002 г,

·        для прочих определений - на технических весах с точностью до ±0,01 г.

Титр раствора устанавливают по трем параллельным пробам и вычисляют как среднеарифметическое из получаемых результатов.

Допускаемые отклонения в результатах параллельных определений не должны превышать следующих величин, %:

Ø активная окись кальция ±0,4

Ø  активная окись магния ±0,3

Ø  CO2 (весовой метод) ±0,2

Подсчет результатов анализа производят с точностью до 0,01 %.

Концентрацию разбавленных кислот в ряде случаев выражают как отношение объема кислоты к объему воды. Например, раствор соляной кислоты 1:3 означает, что один объем соляной кислоты плотностью 1,19 разбавлен тремя объемами воды.

Методы испытаний:

Определение суммарного содержания активных окисей кальция и магния в магнезиальной, доломитовой и гидравлической извести

Применяемые реактивы и растворы:

Аммиачный буферный раствор готовят следующим образом:

,5 г хлористого аммония по ГОСТ 3773-72 растворяют в 200 мл дистиллированной воды, фильтруют, прибавляют 570 мл 25 %-ного раствора аммиака по ГОСТ 3760-64, доливают до 1 л водой и хорошо перемешивают.

Кислотный хром темно-синий (индикатор), 0,5 %-ный раствор готовят следующим образом:

,5 г индикатора хром темно-синего растворяют в 10 мл аммиачного буферного раствора и разбавляют до 100 мл синтетическим этиловым спиртом по ГОСТ 11547-76 или техническим этиловым спиртом по ГОСТ 17299-71. гидравлический известь месторождение оборудование

Трилон Б по ГОСТ 10652-73, 0,1 н раствор (двунатриевая соль этилендиаминотетрауксусной кислоты); готовят следующим образом:

г трилона Б растворяют в мерной колбе в 300 - 400 мл дистиллированной воды при незначительном нагревании. Если раствор получится мутным, то его фильтруют, затем доливают до 1 л водой и хорошо перемешивают. Для установки титра трилона Б приливают из бюретки 20 мл 0,1 н титрованного раствора сернокислого магния, приготовленного из фиксанала, в коническую колбу вместимостью 250 - 300 мл, разбавляют раствор до 100 мл водой, нагревают до 60 - 70 °С, приливают 15 мл аммиачного буферного раствора и 5 - 7 капель кислотного хром темно-синего индикатора и титруют 0,1 н раствором трилона Б при интенсивном помешивании до перехода красной окраски раствора в устойчивую сине-сиреневую или синюю с зеленоватым оттенком.

Титр 0,1 н раствора трилона Б TMgО, выраженный в MgО, вычисляют по формуле:

где V - объем 0,1 н раствора трилона Б, пошедший на титрование 20 мл 0,1 н раствора сернокислого магния, мл; 0,002016 - количество окиси магния, соответствующее 1 мл точно 0,1 н раствора трилона, Б, г.

Гидрат окиси калия, 20 %-ный раствор, хранят в полиэтиленовой посуде.

Флуорексон (индикатор), сухая смесь

готовят следующим образом:

г флуорексона тщательно растирают в ступке с 99 г безводного хлористого калия по ГОСТ 4234-69. Индикаторную смесь хранят в посуде с притертой крышкой в темном месте.

Триэтаналамин по действующим нормативным документам, водный раствор 1:4.

·   Сахароза по ГОСТ 5833-75, 10 %-ный раствор.

·        Фенолфталеин (индикатор) по ГОСТ 5850-72, 1 %-ный спиртовой раствор.

·        Соляная кислота по ГОСТ 3118-67, 1 н титрованный раствор.

Проведение анализа

Определение содержания активной окиси кальция сахаратным способом:

,25 г извести помещают в коническую колбу вместимостью 500 мл, добавляют 50 мл раствора сахарозы и энергично взбалтывают в течение 15 мин. Для улучшения перемешивания в колбу предварительно помещают 3 - 5 стеклянных бус или оплавленных стеклянных палочек длиной 5 - 7 мм. Затем прибавляют 2 - 3 капли фенолфталеина и титруют 1 н раствором соляной кислоты. Титрование производят по каплям до первого исчезновения розовой окраски. Количество активной окиси кальция А1 в процентах вычисляют по формуле


где V - объем 1 н раствора соляной кислоты, пошедший на титрование, мл;

ТСаО - титр 1 н раствора соляной кислоты выраженный в г. СаО; G - масса навески извести, г.

Определение содержания активной окиси магния трилонометрическим методом:

Массу навески извести 0,5 г помещают в стакан вместимостью 200 - 250 мл, смачивают ее водой и прибавляют 30 мл 1 н соляной кислоты. Стакан закрывают часовым стеклом и нагревают в течение 8 - 10 мин до температуры кипения, затем часовое стекло ополаскивают дистиллированной водой и после охлаждения раствор переливают в мерную колбу вместимостью 250 мл, доливают дистиллированной водой до метки и тщательно перемешивают. После отстаивания раствора отбирают пипеткой 50 мл, переносят в коническую колбу вместимостью 250 мл и добавляют 50 мл дистиллированной воды, 5 - 10 мл аммиачного буферного раствора, 5 - 7 капель кислотного хром темно-синего индикатора и титруют при сильном взбалтывании 0,1 н раствором трилона Б до перехода красной окраски раствора в сине-зеленую или синюю.

По окончании титрования отмечают объем V1 израсходованного трилона Б в миллилитрах.

Из этой же мерной колбы отбирают 50 мл раствора в коническую колбу вместимостью 250 мл, приливают 100 мл дистиллированной воды и перемешивают. Затем добавляют 3 мл триэтаноламина, 25 мл 20 %-ного раствора едкого калия и вновь перемешивают. Через 1 - 2 мин добавляют на кончике шпателя флуорексон и титруют раствором трилона Б до перехода флуоресцирующей розово-зеленой окраски раствора в устойчивую розовую при наблюдении на черном фоне. Отмечают объем V2 израсходованного раствора трилона Б в миллилитрах.

Содержание активной окиси магния А2 в процентах вычисляют по формуле


где V1 - объем 0,1 н раствора трилона Б, пошедший на титрование СаО + МgО, мл; V2 - объем 0,1 н раствора трилона Б, пошедший на титрование СаО, мл; TMgO - титр 0,1 н раствора трилона Б, выраженный в г MgO; 5 - коэффициент, учитывающий определение MgО в аликвотной части раствора; G - масса навески извести, г.

Содержание активных окисей кальция и магния А в процентах определяется суммой величин A1 + A2.

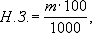
2.4 Определение содержания непогасившихся зерен

В металлический сосуд цилиндрической формы вместимостью 8 - 10 л наливают 3,5 - 4 л нагретой до температуры 85 - 90 °С воды и всыпают 1 кг извести, непрерывно перемешивая содержимое до окончания интенсивного выделения пара (кипения). Полученное тесто закрывают крышкой и выдерживают 2 ч, затем разбавляют холодной водой до консистенции известкового молока и промывают на сите с сеткой № 063 слабой непрерывной струей, слегка растирая мягкие кусочки стеклянной палочкой с резиновым наконечником. Остаток на сите высушивают при температуре 140 - 150 °С до постоянной массы. Содержание непогасившихся зерен в процентах вычисляют по формуле:

где m - остаток на сите после высушивания, г.

2.5 Определение влажности

Массу навески 10 г помещают в предварительно высушенный до постоянной массы и взвешенный бюкс с крышкой и сушат в сушильном шкафу при температуре 105 - 110 °С. В сушильном шкафу должен быть бюкс с натронной известью для улавливания СО2 воздуха. Во время сушки крышку бюкса приоткрывают. Через 2 ч бюкс плотно закрывают крышкой, извлекают из сушильного шкафа, охлаждают в эксикаторе и взвешивают. Высушивание повторяют до постоянной массы. Время контрольного высушивания 30 мин.

Влажность извести W в процентах вычисляют по формуле:


где G - масса навески извести, г; G1 - масса навески извести после высушивания, г.

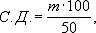
2.6 Определение степени дисперсности порошкообразной извести

Массу навески 50 г, предварительно высушенную при температуре 105 - 110 °С до постоянной массы, просеивают через сита с сетками № 02 и 008. Просеивание считают законченным, если при контрольном просеивании в течение 1 мин через указанные сита проходит не более 0,1 г извести. Степень дисперсности С.Д. в процентах вычисляют по формуле

где т - остаток на сите, г.

2.7 Определение предела прочности при изгибе и сжатии образцов из гидравлической извести

Определение предела прочности при изгибе и сжатии производят на образцах-балочках по ГОСТ 310.1-76 и ГОСТ 310.4-76 со следующими изменениями:

Одну часть гидравлической извести смешивают с тремя частями нормального песка, вливают воду в количестве около половины от общего объема, потребного для получения раствора с расплывом конуса 110 - 115 мм. Перемешанную массу охлаждают до 25 - 30 °С, добавляют остальное количество воды до достижения раствором указанной консистенции, перемешивают в течение 2 мин и переносят в мешалку.

В ванне с гидравлическим затвором образцы, освобожденные от форм, выдерживают 5 - 6 суток над водой и 21 сутки в воде.

2.8 Определение температуры и времени гашения извести

Для определения температуры и времени гашения извести используют бытовой термос вместимостью 500 мл.ассу навески извести G в граммах рассчитывают по формуле:


где А - содержание активных окисей кальция и магния в извести, %.

Массу навески G помещают в термосную колбу, вливают 25 мл воды, имеющей температуру 20 °С, и быстро перемешивают деревянной отполированной палочкой. Колбу закрывают пробкой с плотно вставленным термометром на 100 °С и оставляют в покое. Ртутный шарик термометра должен быть полностью погружен в реагирующую смесь. Отсчет температуры реагирующей смеси ведут через каждую минуту, начиная с момента добавления воды. Определение считается законченным, если в течение 4 мин температура не повышается более чем на 1 °С.

За время гашения принимают время с момента добавления воды до начала периода, когда рост температуры не превышает 0,25 °С в минуту[2].

2.9 Определение равномерности изменения объема извести

Равномерность изменения объема извести определяется по ГОСТ 310.3-76 со следующими изменениями:

Образцы-лепешки готовят из смеси извести и портландцемента по ГОСТ 10178-76. Массу навески извести 30 - 40 г затворяют водой до консистенции теста и охлаждают до температуры 25 - 30 °С, затем добавляют 30 - 40 г цемента, доливают воду и перемешивают до образования теста нормальной густоты. За нормальную густоту теста принимается такая его консистенция, при которой пестик прибора Вика, погруженный в кольцо, заполненное тестом, не доходит до пластины 7 - 11 мм. Форма и размеры кольца должны соответствовать указанным на черт. 2. Полученное тесто делят на 2 равные части для приготовления лепешек толщиной 0,7 - 0,8 см и диаметром 6 - 7 см.

Черт. 2

Лепешки выдерживают в ванне с гидравлическим затвором в течение 24 ± 2 ч. Затем вместе с пластиной переносят в бачок на решетку для пропаривания, расположенную на расстоянии не менее 3 см над уровнем воды. Воду в бачке доводят до кипения, которое поддерживают в течение 2 ч. Через час производят осмотр образцов. Если обнаруживаются признаки неравномерности изменения объема, то испытание прекращают. Известь считается соответствующей требованию равномерности изменения объема, если на поверхности лепешек не обнаружится радиальных трещин, доходящих до краев, или сетки мелких трещин, а также каких-либо искривлений, увеличения объема и образования непрочной рыхлой структуры лепешек.

2.10 Коэффициент вариации К в процентах рассчитывают по результатам испытаний извести, произведенной за квартал по формуле


где Хi - содержание активных CaO + MgO в извести отдельной (i-й) партии, %;

      - среднее содержание активных CaO + MgO в извести за квартал, %;

п - количество партий извести, произведенной за квартал[2].

Условия разрушения композита

По механизму разрушения разделяют три вида коррозии:

I. Коррозия первого вида. Происходит в мягкой слабоминерализованной или не минерализованной воде, в которой камень растворяется, теряет несущую способность и массу (физико-химические процессы растворения):

CaO·SiO2·nH2O + H2O = Ca(OH)2 + Si(OH)4

где Ca(OH)2 - хорошо растворимое соединение (гидроксид кальция); Si(OH)4 - гель кремниевой кислоты, хорошо растворимое соединение.

2СaO·Fe2O3·nH2O + H2O = СaO·Fe2O3·nH2O + Ca(OH)2

СaO·Al2O3·nH2O + H2O = СaO·Al2O3·nH2O + Ca(OH)2

где Ca(OH)2 - хорошо растворимое соединение (выщелачивание).

II. Коррозия второго вида происходит при действии на цементный камень агрессивных веществ, которые, вступая во взаимодействие с составными частями цементного камня, образуют либо легкорастворимые и вымываемые водой соли, либо аморфные массы, не обладающие связующими свойствами (кислотная, магнезиальная коррозия, коррозия под влиянием некоторых органических веществ и т. п.). На камень действует среда, растворяющая камень за счет химических реакций (химический процесс растворения):

действие грунтовых вод:

CaO·SiO2·nH2O + H2O + HCO-3 = CaHCO3 + Si(OH)4

где CaHCO3 - хорошо растворимое соединение (стиральная сода).

Коррозия под действием органических кислот, как и неорганических, быстро разрушает цементный камень. Вредное влияние оказывают и масла, содержащие кислоты жирного ряда (льняное, хлопковое, рыбий жир и т. п.). Нефть, нефтяные продукты (керосин, бензин, мазут, нефтяные масла) не опасны для цементного бетона, если в них нет остатков кислот, но они легко проникают через бетон. Продукты разгонки каменноугольного дегтя, содержащие фенолы, оказывают агрессивное воздействие на бетон. Коррозия возникает и под действием минеральных удобрений, особенно аммиачных (аммиачная селитра и сульфат аммония). Аммиачная селитра, состоящая в основном из NH4NO3, действует на гидроксид кальция:

Са(ОН)2 + 2NH4NO3 + 2НаО = Ca(NO3)2 · 4Н2О + 2NO3

Образующийся нитрат кальция хорошо растворяется в воде и вымывается из бетона. Из фосфорных удобрений агрессивен суперфосфат, состоящий в основном из Са(Н2РО4)2, гипса и содержащий небольшое количество свободной фосфорной кислоты.

Углекислотная коррозия является разновидностью общекислотной коррозии. Она развивается при действии на цементный камень воды, содержащей свободный диоксид углерода в виде слабой угольной кислоты сверх равновесного количества. Избыточная (агрессивная) углекислота разрушает ранее образовавшуюся карбонатную пленку вследствие образования хорошо растворимого бикарбоната кальция:

СаСО3 + СО2 + Н2О = Са(НСО3)2

Магнезиальная коррозия наступает при воздействии на гидроксид кальция растворов магнезиальных солей, которые встречаются в грунтовой, морской и других водах. Наиболее характерные реакции для этого вида коррозии проходят по следующей схеме:

Са(ОН)2 + MgCl2 = СаС12 + Mg(OH), Са(ОН)2 + MgSO4 = CaSO4·2H2O + Mg(OH)2

Хлорид кальция и двуводный сульфат кальция хорошо растворимы в воде и вымываются из цементного камня. К тому же двуводный сульфат кальция возникает с увеличением объема, что ускоряет появление трещин в бетоне, а также коррозию третьего вида. Гидроксид магния малорастворим в воде, но выпадает в осадок в виде рыхлой аморфной массы, не обладающей связностью, которая также легко вымывается из бетона. Меры защиты от магнезиальной коррозии те же, что и при коррозии первого вида.

III. Коррозия третьего вида объединяет процессы, при которых компоненты цементного камня, вступая во взаимодействие с агрессивной средой, образуют соединения, занимающие больший объем, чем исходные продукты реакции. Это вызывает появление внутренних напряжений в композите и его растрескивание. Характерной коррозией этого вида является сульфатная коррозия. Сульфаты, часто содержащиеся в природной и промышленных водах, вступают в обменную реакцию с гидроксидом кальция, образуя гипс CaSO4·2H2O. Разрушение цементного камня в этом случае вызывается кристаллизационным давлением кристаллов двуводного гипса (гипсовая коррозия). Такая коррозия происходит при значительных концентрациях сульфатов в воде.

Кислотная коррозия возникает при действии растворов любых кислот, за исключением поликремниевой и кремнефтористоводородной. Кислота вступает в химическое взаимодействие с гидроксидом кальция, образуя растворимые соли (например, СаС12) и соли, увеличивающиеся в объеме (CaSO4·2H2O):

Са(ОН)2 + 2НС1 = СаС12 + 2Н2О + Са(ОН)2 + H2SO4 = CaSO4·2H2O

Под действием кислот могут разрушаться также и гидросиликаты, гидроалюминаты и гидроферриты кальция, превращаясь в кальциевые соли и аморфные бессвязанные массы:

SiO2·nH2O, A12(OH)3, Fe2(OH)3.

Оценка степени разрушения ведется по показателю химической стойкости:

Коэффициент химической стойкости:

К 6 мес х.ст.=R в среде/ R в чистой воде,

где R в среде - предел прочности на сжатие образца в какой-либо среде;

R в чистой воде - предел прочности на сжатие образца в чистой воде;

Материал считается химически стойкий, если потеря прочности за срок испытания (6 месяцев) составляет < 20 - 30%.

Стойкость в первом виде коррозии оценивают по растворимости в воде, г/литр.

Область применения гидравлической извести

Гидравлическую известь применяют при изготовлении строительных растворов обладающих повышенной водостойкостью и прочностью, для производства известково-пуццолановых цементов, легких и тяжелых бетонов низких марок. Известково-пуццолановые цементы на гидравлической извести отличаются повышенными прочностью и воздухостойкостью. Гидравлическую известь можно применять также и в качестве основы под фресковую живопись, т. е. при нанесении рисунков разбавленными в воде минеральными красками на свежую штукатурку. Такая фресковая живопись весьма долговечна. Гидравлическая известь окрашена в светлые тона: белый, кремовый. Поэтому из нее при добавлении соответствующих минеральных пигментов можно получить цветную известь, которая употребляется как декоративно-отделочный материал. Пигменты, вводимые в известь, должны быть щелочестойкими. К таким пигментам, в первую очередь, относятся: охра, сурик, мумия. Для окрашивания растворов можно вводить также молотый красный кирпич. Количество пигмента обычно не превышает 5 % по массе. Гидравлическая известь может применяться и для стабилизации грунтов при строительстве дорог с малой интенсивностью движения. Растворы и бетоны на гидравлической извести обладают высокой долговечностью при эксплуатации их в воздушно-влажной среде.

Переменное увлажнение и высушивание, а также замораживание и оттаивание отрицательно сказываются на изделиях из гидравлической извести из-за пониженной их плотности[3].

2.11 Анализ существующих схем производства гидравлической извести

В зависимости от количества глинистых примесей и равномерности распределения их по всей массе сырья могут применяться различные схемы производства молотой гидравлической извести с выпуском одного или нескольких продуктов.

Производство ее при выпуске одного продукта заключается в следующем. Обожжённый продукт гасят и выдерживают в силосе (до 15 сут.), после чего погасившиеся частицы отделяют в сепараторе от непогасившихся зерен. Последние измельчают в мельнице и затем возвращают в гасильный аппарат для догашивания, откуда они поступают в общий поток. Отделенный в сепараторе порошок погасившейся и частично измельченной извести направляют в силос и после выдерживания в нем подвергают упаковке.

Получаемый по такой схеме продукт представляет собой смесь компонентов, различных по гидравлической активности.

Если в сырье содержится много глинистых примесей, то производственный процесс строится с расчетом получения двух продуктов отличающихся друг от друга по степени гидравлической активности. В этом случае измельченная непогасившаяся часть не направляется в общий поток и не смешивается с погасившейся частью гидравлической извести, а выпускается в виде отдельного продукта, представляющего собой сильногидравлическую известь. Отделенная в сепараторе поганившаяся фракция содержит меньшее количество гидравлических составляющих и представляет собой слабогидравлическую известь.

Может применяться также схема производства с получением трех продуктов, при которой сильногидравлическай известь разделяется на два продукта, отличающиеся друг от друга по активности. В этом случае выходящая из сепаратора крупная фракция извести подвергается вторичному гашению, причем погасившаяся часть представляет собой один продукт, а размолотая непогасившаяся часть - другой продукт[4].

Эти способы производства с гашением продукта обжига, выдерживанием загашенного продукта в течение длительного времени в силосах, отделением непогасившихся частиц от погасившихся и последующим домалыванием первых сравнительно сложны. Поэтому более целесообразно превращать гидравлическую известь в порошок только путем помола без предварительного гашения. Однако у такой молотой гидравлической извести в некоторых случаях наблюдается неравномерное изменение объема[4].

Технологические факторы, влияющие на качество гидравлической извести

На качество гидравлической извести влияют многие технологические факторы:

·   температурный режим известеобжигательных печей в зоне обжига, в результате которого происходит образование «пережога» или «недожога» (см. выше).

·        тип применяемого теплового оборудования должен соответствовать типу обжигаемого исходного сырья.

·        большое влияние на качество гидравлической извести оказывает то, какая используется технологическая схема производства продукта (будет ли производится помол извести после обжига).

·        модуль основности (М0) также влияет на показатель качества извести - чем выше М0 тем ниже гидравлические свойства извести, возрастают воздушные (твердение на воздухе).

·        высокая тонкость помола - чем тоньше измельчен порошок, тем выше его качество.

Контроль качества продукции на складе [4].

От каждой партии извести, хранящейся на складе или отгружаемой потребителю, отбирают первичную пробу весом не менее 20 кг. При контроле кодовой извести пробу отбирают примерно равными частями не менее чем из 10 различных мест по всей толщине извести: из верхнего, среднего и нижнего слоя. При контроле молотой извести в мешках пробу отбирают из 10 мешков из разных мест штабеля примерно по 2 кг из каждого мешка. При контроле гашеной извести пробу отбирают примерно равными частями не менее чем из 5 различных мест по всей толщине извести: из верхнего, среднего и нижнего слоя извести примерно по 2 кг из каждого места.

Отобранную первичную пробу комовой, молотой или гашеной извести квартуют и делят на две равные части. Одну из проб извести испытывают, другую - помещают в герметически закрываемый сосуд, который опечатывают и хранят в течение 15 дней на случай арбитражных испытаний.

Если при испытании средней пробы установлено несоответствие ее хотя бы одному из требований стандарта на известь (основные показатели качества гидравлической извести см. выше), то необходимо провести повторные испытания, результаты которых следует считать окончательными[4].

Правила приёмки, маркировки, транспортирования и хранения продукта Правила приемки (ГОСТ 9179-77)

. Известь должна быть принята отделом технического контроля предприятия-изготовителя.

. Известь принимается и отгружается партиями. Размер партии устанавливается в зависимости от годовой мощности предприятия в следующем количестве:

Ø 200 т - при годовой мощности до 100 тыс. т;

Ø  400 т- при годовой мощности св. 100 до 250 тыс. т;

т - при годовой мощности 250 тыс. т. Допускается приемка и отгрузка партий и меньшей массы.

. Массу поставляемой извести определяют взвешиванием в транспортных средствах на железнодорожных и автомобильных весах. Массу извести, отгружаемой в судах, определяют по осадке судна.

. Предприятие-изготовитель производит приемку и паспортизацию продукции и назначает вид и сорт извести на основании данных заводского технологического контроля производства и данных текущего контроля отгружаемой партии.

Журналы с данными текущего контроля отгружаемой партии, используемые для приемки продукции, должны быть пронумерованы и опечатаны гербовой печатью.

. Заводской технологический контроль производства осуществляют в соответствии с технологическим регламентом.

. Текущий контроль качества отгружаемой партии осуществляют по данным испытания общей пробы. Общую пробу составляют не менее чем за две смены работы предприятия и не менее чем из восьми разовых проб. Пробы отбирают для комовой извести - от транспортных средств подачи продукции на склад, для порошкообразной - от каждой мельницы или гидратора, работающих в данный силос. Общую пробу для комовой извести составляют массой 20 кг, порошкообразной - 10 кг. Отбор разовых проб осуществляют равномерно и в равных количествах. Общую пробу комовой извести измельчают до размеров кусков не более 10 мм.

. Пробы, отобранные для текущего контроля отгружаемой партии, тщательно смешивают, квартуют и делят на две равные части. Одну из этих частей подвергают испытаниям для определения показателей, предусмотренных стандартом, другую - помещают в герметически закрываемый сосуд и хранят в сухом помещении на случай необходимости контрольных испытаний.

. Контрольную проверку качества извести осуществляют государственные и ведомственные инспекции по качеству или потребитель, применяя при этом указанный порядок отбора проб.

. От каждой партии отбирают общую пробу, получаемую объединением и тщательным смешением разовых проб. Общая проба для комовой извести составляет 30 кг, для порошкообразной - 15 кг.

. При отгрузке извести навалом пробу отбирают в момент погрузки или выгрузки, при отгрузке извести в таре - со склада готовой продукции или при разгрузке у потребителя.

. При поставке извести навалом в вагонах пробу отбирают равными долями из каждого вагона; при поставке извести автомобильным транспортом - равными долями от каждых 30 т извести; при поставке извести в мешках - равными долями из 10 мешков, отобранных случайным образом от каждой партии; при поставке водным транспортом - с транспортных лент или другого вида погрузочно-разгрузочных средств.

. Отобранную общую пробу извести подвергают испытаниям для определения показателей, предусмотренных настоящим стандартом.

. При контрольной проверке качества известь должна соответствовать всем требованиям настоящего стандарта для данного вида и сорта[1].

Упаковка, транспортировка и хранение:

. Комовую известь отгружают навалом, порошкообразную - навалом или в бумажных мешках по ГОСТ 2226. Допускается с согласия потребителя применять четырехслойные бумажные мешки.

. Для определения средней массы мешков брутто одновременно взвешивают 20 мешков с известью, отобранных случайным образом, и результат делят на 20. Среднюю массу мешка нетто определяют, вычитая из массы брутто среднюю массу нетто мешка. Отклонение средней массы мешков с известью нетто от указанной на упаковке не должно превышать ±1 кг.

. Изготовитель одновременно с отгрузочными реквизитами обязан направлять каждому потребителю извести паспорт, в котором должны быть указаны:

·        название предприятия-изготовителя и (или) его товарный знак;

·        дата отгрузки извести;

·        номер паспорта и партии;

·        масса партии;

·        полное наименование извести, ее гарантированный вид и сорт, показатели

·        соответствия продукции требованиям настоящего стандарта;

·        время и температура гашения;

·        вид и количество добавки;

·        обозначение стандарта, по которому поставляется известь.

Кроме того, в каждую транспортную единицу должен быть вложен ярлык, в котором указывают: название предприятия-изготовителя и (или) его товарный знак, полное наименование извести, ее гарантированный вид и сорт, обозначение стандарта, по которому поставляется известь.

. При отгрузке извести в бумажных мешках на них должно быть обозначено: название предприятия и (или) его товарный знак, полное наименование извести, ее гарантированный вид и сорт, обозначение стандарта, по которому поставляется известь.

. Допускается замена всех обозначений на мешках цифровыми кодами, согласованными с потребителем.

. При отгрузке извести одного наименования и сорта повагонными поставками в бесперевалочном железнодорожном сообщении допускается наносить маркировку только на мешки, уложенные у дверей вагона с каждой стороны в количестве не менее четырех.

. Изготовитель обязан поставлять известь в исправном и очищенном транспортном средстве.

. При транспортировании и хранении известь должна быть защищена от воздействия влаги и загрязнения посторонними примесями.

. Известь транспортируют всеми видами крытого транспорта в соответствии с правилами перевозки грузов, действующими на данном виде транспорта. Допускается с согласия потребителя поставка комовой извести в цельнометаллических полувагонах и открытых автомашинах при условии сохранения ее качества и принятия необходимых мер против распыления и воздействия атмосферных осадков.

. Известь следует хранить и транспортировать раздельно по видам и сортам [1].

Гарантии производителя по ГОСТ 9179-77(89):

. Изготовитель гарантирует соответствие извести требованиям настоящего стандарта при соблюдении условий ее транспортирования и хранения.

. Гарантийный срок хранения извести - 30 суток со дня ее отгрузки потребителю [1].

3. Расчетно-проектный раздел

.1 Расчетная функциональная технологическая схема производства продукта

Исходя из выбранной технологической схемы, производим расчет производственной программы, то есть, определяем потери материалов при обжиге в печи.

Таблица 3 Материальный баланс печи

Компонент

Вход

Компонент

Выход


%

т/ч


%

т/ч

1. CaCO3

75

16,80

1. CaO

42

12,38

2. MgCO3

3


2. MgO

1.43


3. SiO2

2


3. SiO2

2


4. Al2O3+Fe2O3+SiO2

20


4. Al2O3+Fe2O3+SiO2

20


Физическая влага

2.5



0


П.П.П. (при 9000С) ∑ (СО2 )

0



34,57


 102.5


100



Потери при прокаливании (П.П.П.) в печи определим из уравнений реакций разложения при температуре 9000С :

СаСО3                     СаО + СО2 ММ1     ММ2         ММ3 75%   Х % У%

тогда Х = 75* ММ2/ ММ1 = 75*56/100 = 42%

У = 75* ММ3/ММ1 = 75*44/100 = 33%

 MgСО3  MgО + СО2 ММ1 ММ2 ММ3 3% Х % У%

тогда Х = 3* ММ2/ ММ1 = 3*40*/84 = 1,43% У = 3* ММ3/ММ1 = 3*44/84 = 1,57%

где ММ1, ММ2, ММ3 - молекулярные массы соответствующих веществ, входящих в состав уравнений.

3.2 Расчет производственной программы технологической линии

Таблица 4 Производственная программа по выпуску гидравлической молотой извести

Наименование оборудован.

G

Потери, %

Расчет годового фонда времени

Часовая производительность

операций

т/год

мех.

физ.

хим.

Кисп

n дней

n смен/сутки

n часов/смену

год. фонд раб. времени

т/ч

ρ

м3/ч

 

 





в году







вагон фр < 80 мк

100000




0,95

365

3

8

8322

12,01

1,2

10.00














Силос фр. < 80мк

101000

+1



0,95

365

3

8

8322

12,13

1,1

11,02














Помол фр. < 80 мк W = 0%

102010

+1



0,95

365

3

8

8322

12,25

1,0

12.25

Обжиг Т=1100-1200С

 103030,1


 +2,5

 +34.6






 12,38

 1,0

 12,38

Бункер +  дозатор

 139855,71









16,80

1.1

15,27














Дробление фр.=20…40 мм

 139855,71




0,95

365

3

8

8322

16,80

0,9

18,67

Бункер  фр.=60…80 мм

 139855,71




 0,95

 365

 3

 8

 8322

 16,80

 1,2

 14.00

Дробление фр. < 120 мм W = 2.5 %

140135,42

+0.2



 0,95

 365

 3

 8

 8322

 16,81

 1,0

 16,81

Склад сырья фр. < 300 мм W = 2.5 %

140976,23

+0.6



 0,95

 365

 3

 8

 8322

 16,81

 1,1

 15.281

Сумма


+2.8












После стадии грохочения (фр < 120 мм; W = 2,5% (см. расчетную функциональную схему на стр. 49)), технологическая линия разветвляется на три производственные линии, где установлено три бункера, три конусные дробилки, а затем производство идет снова по одной линии. В таблице 4, часовая производительность (бункеров (фр<60…80мм) и конусных дробилок) рассчитана (для разветвленной линии) как сумма производительностей каждого из механического оборудования (при условии, что по каждой линии проходят одинаковые массы сырьевого продукта m1 = m2= m3). Остальные расчеты ведутся как для одного механического оборудования.

Примечание 2.

Кисп = 0,95 - коэффициент использования механического оборудования.

(т/ч) = G / фонд рабочего времени = часовая производительность

Часовая производительность (т/ч) / ρ. = часовая производительность (м3/ч)

где G - производительность, т/год; ρ -насыпная плотность сырья (мергель).

3.3 Подбор основного механического оборудования

На основании производственной программы с помощью каталогов на оборудование подберём технологическое оборудование:

. Подберем дробилку ударного действия для мергеля ( фр. < 120 мм , W < 2,5%)

По производственным расчетам производительность молотковой дробилки должна составлять 16,81 т/ч или 16,81 м3/ч.

Таким образом, наиболее оптимальной дробилкой, будет являться следующая молотковая дробилка: СМ-19А

Производительность, т/ч - 34

Диаметр ротора: 1,3 м

Длина ротора: 1,6 м

Число оборотов в 1 сек: 12,5

Мощность эл. двигателя, кВт - 125

Размер поступающих кусков, мм - 300

Габаритные размеры, м: длина - 2,23

ширина - 1,74

высота - 1,515

Масса (без электрооборудования), т - 5,05 [13].

. Подберем конусную дробилку для мергеля (фр. < 40 мм , W < 2,5%)

По производственным расчетам производительность одной дробилки (на технологический поток поставлено три таких дробилки) должна составлять 5,6 т/ч или 6,22 м3/ч.

Таким образом, наиболее оптимальной дробилкой, будет являться следующая дробилка: конусная дробилка (КСД - 900Б)

Производительность, т/ч - 48-86

Диаметр основания внутреннего конуса, мм - 900

Наибольший размер загружаемого материала, мм - 130

Размер выходной щели, мм 15-50

Мощность эл. двигателя, кВт - 55

Габаритные размеры, м: длина - 2,68

ширина - 1,82

высота - 2,25

Масса (без электрооборудования), т - 3,79 [13].

Подберем питатель (дозатор) для подачи кускового материала из бункера (фр. < 40 мм , W < 2,5%) По производственным расчетам производительность мельницы для помола мергеля должна составлять 16,8 т/ч или 15,27 м3/ч.

Таким образом, наиболее оптимальным питателем, будет являться следующий питатель: тарельчатый питатель ЛД - 16А.

Диаметр тарелки, м - 1,6

Число оборотов тарелки в 1 сек. - 0,067

Производительность в м3/ч - 28

Мощность электродвигателя, кВт - 2,8

Габаритные размеры, м: Длина - 2,81 Ширина - 1,8 Высота - 1,8

Масса оборудования, т - 2,565 [13].

. Подберем мельницу (фр. < 80 мк , W = 0%)

По производственным расчетам производительность мельницы для помола мергеля должна составлять 12,25 т/ч или 12,25 м3/ч.

Таким образом, наиболее оптимальной мельницой, будет являться следующая мельница: шаровая мельница СМ-601 (МШЦ-15-31).

Габаритные размеры размеры барабана, мм: внутренний - 1500 рабочая длина - 3100

Число оборотов барабана в 1 сек - 0,5

Производительность, т/ч - 13,3

Мощность электродвигателя, кВт - 100

Габаритные размеры, м: длина - 9,569 ширина - 3,14 высота - 2,8

Масса мельницы без электродвигателя, т - 18,66[13].

Расчет удельных энергетических нагрузок и оценка эффективности подобранного механического и теплотехнического оборудования по энергозатратам

Таблица 5

Наименование оборудования

Марка типа оборудования

Кол-во оборудования (n)

Производительность G, т/ч

Ким

Мощность N, кВт




Gпасп.

Gфак.


Nпасп.

Nфак.




ед.

n

ед.

n


ед.

n

ед.

n

Молотковаядробилка

СМ - 19А

1

34

34

17.9

17.9

0,53

125

125

66,25

66,25

Конусная дробилка

КСД-900 Б

3

48

144

5,72

22,8

0,20

55

165

11

33

Тарельчатый дозатор

1

25,45

25,45

17,16

17,16

0,67

2,8

2,8

1,88

1,88

Шаровая мельница

СМ-601

1

13,3

13,3

12,25

12,25

0,92

100

100

92,1

92,1

 

коэффициент использования мощности оборудования;


мощность оборудования фактическая.

Список используемой литературы

[1] ГОСТ 9179-77(89) "Известь строительная. Технические условия"

[2] ГОСТ 22688-77 «Известь строительная. Методы испытаний».

[3] А. А. Пащенко, В. П. Сербин, Е. А. Старчевская «Вяжущие материалы», Киев, 1985.

[4] А. В. Монастырев «Производство извести», М.: Высшая школа 1971.

[5] ГОСТ 26871 - 86 «Материалы вяжущие гипсовые. Правила приемки, упаковки, транспортирование и хранение».

[6] Р. С. Бойнтон «Химия и технология извести» М.: 1972.

[7] А. В. Волженский «Минерльные вяжущие вещества», М.: Стройиздат 1986.

[8] Ю. Б. Бутт, М. М. Сычев, В. В. Тимашев «Химическая технология вяжущих материалов» М.: Высшая школа 1980.

[9] masterstroy.org.

[10] www. dmz-degtyarsk.ru <http://www.dmz-degtyarsk.ru>.

[11] www. agroescort.spb.ru.

[12] www. localhost. ru.

[13] Справочник по оборудованию заводов строительных материалов, Сапожников М.Я.

Похожие работы на - Технологическая линия по производству гидравлической комовой и молотой извести

 

Не нашли материал для своей работы?
Поможем написать уникальную работу
Без плагиата!
Без нейросетей!