Расчет системы стабилизации в управлении
Курсовая работа
Тема: «Расчет системы стабилизации в
управлении»
Содержание
Введение
Задание на курсовую работу
Математическое описание элементов системы
.1 Построение структурных схем
.2 Определение передаточной функции замкнутой системы по
управляющему и возмущающему воздействиям
Статический расчет
Анализ устойчивости исходной системы
.1 Устойчивость системы по критерию Гурвица
4.2 Устойчивость системы по критерию Найквиста
5 Коррекция динамических свойств системы
.1 Расчет параметров корректирующего устройства
.2 Анализ устойчивости скорректированной системы
.2.1 Устойчивость системы по критерию Гурвица
.2.2 Устойчивость системы по критерию Найквиста
Показатели качества переходного процесса
Заключение
Список использованных источников
Приложение «Текст программы»
Введение
система стабилизация
управление
Задача расчета системы стабилизации является одной из основных задач
теории управления.
Если исходная система является неустойчивой, то требуется провести
коррекцию динамических свойств системы.
Рассматриваемая система является статической. В таких системах ошибка
регулирования не равна нулю, однако статический расчет позволяет уменьшить ее
до допустимого значения.
Целью курсовой работы является расчет системы автоматической
стабилизации, которая обеспечивает требуемую точность и устойчивость процессов
в системе путем включения специального корректирующего устройства.
В соответствии с поставленной целью этапами выполнения курсовой работы
являются:
− Построение структурной схемы системы;
− Определение передаточной функции звеньев и системы вцелом;
− Статический расчет системы;
− Анализ устойчивости исходной системы;
− Коррекция динамических характеристик системы;
− Разработка алгоритма и написание программы решения системы
линейных дифференциальных уравнений с постоянными коэффициентами;
− Оценка качества переходных процессов.
1
Задание на курсовую работу
Даны уравнения:
где
v - заданное
значение выходной регулируемой координаты y
;
z - возмущающее
воздействие;
-
координаты состояния системы;
e - ошибка
регулирования;
-
передаточный коэффициент решающего блока, построенного на основе двух объектов
управления;
-
передаточный коэффициент обратной связи;
-
передаточные коэффициенты;
-
постоянные времени.
Вариант
20
Таблица 1.1 - Задание на проектирование
|
      
|
|
|
|
|
|
|
|
|
100
|
0,7
|
0,2
|
5,0
|
0,085
|
1
|
20
|
0,5
|
2
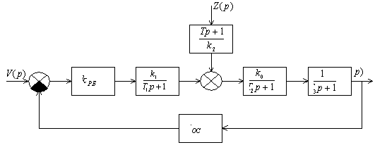
Математическое описание элементов системы
.1 Построение
структурных схем
Рисунок 2.1 - Схема системы во временной форме
Рисунок 2.2 - Структурная
схема системы
2.2 Определение
передаточной функции замкнутой системы по управляющему и возмущающему воздействиям
Для определения передаточной функции системы по управляющему воздействию V(p) в соответствии с принципом суперпозиции z=0. Используя формулы структурных
преобразований для контура A
можно записать:
(2.1)
для
контура B:
(2.2)
Рисунок 2.3 - Преобразованная структурная схема (вариант 1)
Сумматор, на который подается возмущающее воздействие, целесообразно
перенести против хода сигнала:
Рисунок 2.4 - Преобразованная структурная схема (вариант 2)
(2.3)
(2.4)
, где 

Так
как D>0, то звено II порядка может
быть представлено соединением двух звеньев I порядка, то
есть:
(2.5)
На
основе формулы (2.5) можно записать:
(2.6)
Решим
систему уравнений (2.6):
Рисунок 2.5 - Преобразованная структурная схема (вариант 3)
Для определения передаточной функции по управляющему воздействию можно
положить Z=0. Передаточная функция по
управляющему воздействию:
где
- передаточный коэффициент разомкнутой системы.
Изображение
выходного сигнала:
. (2.8)
Для
определения передаточной функции по возмущающему воздействию можно положить V=0.
Передаточная функция по возмущающему воздействию:
, (2.9)
где
- передаточный коэффициент по возмущающему
воздействию.
Изображение
выходного сигнала:
. (2.10)
Используя
принцип суперпозиции на основе формул (2.8) и (2.10) окончательно можно
записать:
. (2.11)
3
Статический расчет
Пусть
, то есть рассматривается исходная разомкнутая система
без обратной связи. Тогда на основе формулы (2.11) с учетом теоремы о
предельных значениях при p=0 можно записать уравнение статики вида:
, (3.1)
где
-
полезная составляющая выходного сигнала в разомкнутой системе,
-
величина, на которую уменьшится выходной сигнал в разомкнутой системе из-за
влияния возмущающего воздействия.
В
соответствии с таблицей 1.1 и формулой (3.1) можно рассчитать погрешность
стабилизации выходного сигнала в разомкнутой системе.
где
-максимальное значение возмущающего воздействия.
В
соответствии с формулой (3.1) можно записать:
. (3.2)
Пусть
, тогда
.
Рисунок 3.1 - Статическая характеристика разомкнутой системы
В
соответствии заданием на проектирование (таблица 1.1), требуемая точность
стабилизации выходных координат в статическом режиме составляет
.
Поскольку
разомкнутая система не удовлетворяет анализу стабилизации, то есть получили
, то перейдем к замкнутой системой.
Подставляем
p=0 в формулу (2.11) с учетом
и
можно
записать:
, (3.3)
или
.
Задание
на проектирование предполагает выполнение в замкнутой системе условия вида:
, (3.4)
Используя
знак равенства в (3.4) окончательно можно записать расчетную формулу требуемого
значения передаточного коэффициента разомкнутой системы:
. (3.5)
С
учетом формулы
на основе (3.5) можно рассчитать требуемое значение
передаточного коэффициента решающего блока:
. (3.6)
4
Анализ устойчивости исходной системы
.1 Устойчивость
системы по критерию Гурвица
Запишем характеристическое уравнение системы в замкнутом состоянии,
приравняв знаменатель передаточной функции к нулю:
; (4.1)
, (4.2)
где
;
;
;
.
Из
коэффициентов характеристического уравнения (4.2) составим главный определитель
Гурвица:
;
Чтобы
линейная система была устойчивой необходимо и достаточно, чтобы при
все определители Гурвица были положительными.
;
;
Так
как один из определителе отрицателен, то можно сделать вывод, что система
неустойчива.
Найдем
значение граничного передаточного коэффициента системы в разомкнутом состоянии.
Для этого необходимо главный определитель Гурвица приравнять к нулю:
Нам
известно, что
, тогда
;
(4.3)
.2 Устойчивость
системы по критерию Найквиста
Устойчивость системы зависит от структуры схемы, значений параметров
элементов схемы, но не зависит от входных сигналов, поэтому рассматриваем
систему по управляющему воздействию (игнорируем сумматор, в который входит Z(p)).
Анализ
устойчивости системы может быть проведен по критерию Найквиста в
логарифмических координатах, при этом структурная схема 2.5 с учетом
соотношения между постоянными времени
может
быть приведена к одноконтурной системе вида:
Рисунок 4.1 - Преобразованная структурная схема (вариант 4)
Для определения устойчивости системы необходимо построить логарифмические
частотные характеристики звеньев системы 4.1.
|
0,000,110,641,101,9111,04
|
|
|
|
|
|
|
|
|
 -0,96-0,190,040,281,0410
|
|
|
|
|
|
|
|
|
0-6о-30о-45о-60о-84о-90о
|
|
|
|
|
|
|
|
Таблица
4.3- Фазовая частотная характеристика звена с передаточной функцией
|
0,001,066,1710,6418,40 106,38
|
|
|
|
|
|
|
|
|
 0,030,791,031,262,0310
|
|
|
|
|
|
|
|
|
0-6о-30о-45о-60о-84о-90о
|
|
|
|
|
|
|
|
Таблица
4.2- Фазовая частотная характеристика звена с передаточной функцией
|
0,000,140,831,432,4714,29
|
|
|
|
|
|
|
|
|
 -0,85-0,080,150,391,1510
|
|
|
|
|
|
|
|
|
0-6о-30о-45о-60о-84о-90о
|
|
|
|
|
|
|
|
(4.4)
; (4.5)
(Смотри рисунок 4.2)
Найдем запас устойчивости по фазе:
, (4.6)
где
;
Так
как
, то можно сделать вывод что система неустойчива.
Коррекция динамических свойств системы
.1 Расчет
параметров корректирующего устройства
Рисунок 5.1 - Схема решающего блока корректирующего устройства
Передаточная функция корректирующего устройства может быть найдена на
основании формулы вида:
, (5.1)
где
- полное сопротивление цепи обратной связи и входной
цепи операционного усилителя
;
- инвертор.
; (5.2)
; (5.3)
, (5.4)
где
-
передаточный коэффициент решающего блока корректирующего устройства;
-
постоянные времени корректирующего устройства.
В
соответствии с теорией устойчивости можно принять:
;
.
Пусть
сопротивление цепи обратной связи
, тогда
можно записать:
;
;
;
;
;
.
.2 Анализ
устойчивости скорректированной системы
5.2.1 Устойчивость
системы по критерию Гурвица
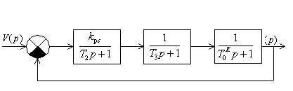
Рисунок 5.2 - Структурная схема скорректированной системы (вариант 1)
Так как устойчивость системы не зависит от рассматриваемого входного
сигнала, то можно положить z=0.
Тогда анализ устойчивости можно проводить на основе структурной схемы 5.3.
Рисунок 5.3 - Структурная схема скорректированной системы (вариант 2)
Для анализа устойчивости системы надо знаменатель передаточной функции
замкнутой системы приравнять к нулю. При исследовании линейных систем
справедлив принцип суперпозиции: реакция системы на одновременно действующие
входные сигналы равна сумме реакций системы на каждый входной сигнал в
отдельности.
. (5.5)
Найдем
передаточную функцию скорректированной системы по управляющему воздействию. В
соответствии с принципом суперпозиции z=0:
(5.6)
Для определения передаточной функции по возмущающему воздействию можно
положить V=0. Передаточная функция по
возмущающему воздействию:
; (5.7)
Запишем характеристическое уравнение скорректированной системы в
замкнутом состоянии, приравняв знаменатель передаточной функции к нулю:
; (5.8)
, (5.9)
где
;
;
;
.
Из
коэффициентов характеристического уравнения (5.9) составим главный определитель
Гурвица:
; (5.10)
Чтобы
линейная система была устойчивой необходимо и достаточно, чтобы при
все определители Гурвица были положительными.
;
;
Так
как все определителе положительны, то можно сделать вывод, что
скорректированная система является устойчивой.
Найдем
значение граничного передаточного коэффициента системы в разомкнутом состоянии.
Для этого необходимо главный определитель Гурвица приравнять к нулю:
Нам
известно, что
, тогда
;
5.2.2 Устойчивость системы по критерию Найквиста
Устойчивость системы зависит от структуры схемы, значений параметров
элементов схемы, но не зависит от входных сигналов, поэтому рассматриваем
систему по управляющему воздействию (игнорируем сумматор, в который входит Z(p)).
Анализ устойчивости системы может быть проведен по критерию Найквиста в
логарифмических координатах.
Таблица
5.1- Фазовая частотная характеристика звена с передаточной функцией
|
0,000,110,641,101,9111,04
|
|
|
|
|
|
|
|
|
 -0,96-0,190,040,281,0410
|
|
|
|
|
|
|
|
|
0-6о-30о-45о-60о-84о-90о
|
|
|
|
|
|
|
|
Таблица 5.3- Фазовая частотная характеристика
звена
с передаточной функцией
|
0,001,066,1710,6418,40 106,38
|
|
|
|
|
|
|
|
|
 0,030,791,031,262,0310
|
|
|
|
|
|
|
|
|
0-6о-30о-45о-60о-84о-90о
|
|
|
|
|
|
|
|
Таблица
5.2- Фазовая частотная характеристика звена с передаточной функцией
|
0,0010,6361,70106,38184,041063,83.
|
|
|
|
|
|
|
|
|
 1,031,792,032,263,0310
|
|
|
|
|
|
|
|
|
0-6о-30о-45о-60о-84о-90о
|
|
|
|
|
|
|
|
(Смотри рисунок 5.4)
Найдем запас устойчивости по фазе по формуле (4.6).
;
Так
как
, то можно сделать вывод, что скорректированная система
является устойчивой.
6
Показатели качества переходного процесса
На
основании передаточной функции (5.7) с учетом
можно
записать уравнение процессов в системе в символической форме:
; (6.1)
где
;
;
;
;
;
;
;
; (6.2)
В
соответствии с методом последовательного интегрирования уравнению (6.2)
соответствует система дифференциальных уравнений вида:
(6.3)
Для
решения системы (6.3) используем метод Эйлера:
Рисунок 6.1 - Переходный процесс по возмущающему воздействию
На основе рисунка 6.1 можно определить следующие значения показатели
качества данного переходного процесса в системе:
− время
регулирования
;
− величина
перерегулирования
;
−
вид переходного процесса - колебательный;
− количество
колебаний в системе
;
− период
собственных колебаний
;
− частота
колебаний
;
Заключение
Целью курсовой работы является расчет системы автоматической
стабилизации, которая обеспечивает требуемую точность и устойчивость процессов
в системе путем включения специального корректирующего устройства.
В соответствии с поставленной целью курсовой работы были построены
структурные схемы системы; определены передаточные функции звеньев и системы
вцелом; сделан статический расчет системы, анализ устойчивости исходной
системы, коррекция динамических характеристик системы; разработан алгоритм и
написана программа решения системы линейных дифференциальных уравнений с
постоянными коэффициентами; оценено качество переходных процессов.
Также выяснили, что систему неустойчивую можно сделать устойчивой
скорректировав постоянные времени Т, увеличив диапазон между ними. При этом
колебания кривой переходного процесса уменьшатся.
Список использованных источников
1. Воронов А.А. Теория автоматического управления: Уч-к.
Ч.1. - М.: Высш.шк. 1986 - 268 с.
2. Попов Е.П. Теория линейных систем автоматического
регулирования и управлени: Уч-к. - М.: Наука. 1989 - 300 с.
Приложение
«Текст программы»
uses crt,graph,grafik;
z0=20;
Kpc=39; Kz=1;
T0_k=0.0094; T2=0.906; T3=0.094;
T=0.085;
dx=0.5;
x0=40;
kofx=500;
kofy=300;z,y,y2,y3,h,a0,a1,a2,a3,b0,b1,b2,pr,Ymax,Yust,Tp,pr0:real;
y0:integer;Init;
begin
z:=-z0;
a0:=Kpc+1;
a1:=T0_k+T2+T3;
a2:=T0_k*T2+T0_k*T3+T2*T3;
a3:=T0_k*T2*T3;
b0:=Kz;
b1:=Kz*(T+T0_k);
b2:=Kz*T*T0_k;
h:=a1/(40*a0);
y:=0;
y2:=0;
y3:=0;
Yust:=-dx;
Tp:=0;
end;
Init_Graph('c:\tp7.1\bgi');
y0:=MaxY-450;
SetBkColor(White);
Draw_XOY(x0,y0,1,'t','y');
Draw_Shkala_x(x0,y0,1,kofx,1);
Draw_Shkala_y(x0,y0,1,kofy,20);
Init;
while (abs(Ymax-dx)>0.025*dx) do
begin
y3:=y3+h*(b0*z/a3-a0/a3*y);
y2:=y2+h*(b1*z/a3-a1/a3*y+y3);
pr:=b2*z/a3-a2/a3*y+y2;
if ((pr0>0)and(pr<0)) or ((pr0<0)and(pr>0)) then
Ymax:=abs(y);
pr0:=pr;
y:=y+h*pr;
if y=Yust then
begin
if k=0 then tk1:=Tp;
if k=2 then tk2:=Tp;
inc(k);
end;
Tp:=Tp+h;
Draw_Grafik(x0,y0,1,kofx,kofy,Tp,Yust);
Draw_Grafik(x0,y0,1,kofx,kofy,Tp,y);
end;
Print_OX(x0,y0,kofx,kofy,Tp,y);
Print_OY(x0,y0,kofx,kofy,Tp,y);
readln;
SetBkColor(Black);
CloseGraph;.