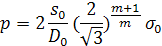
Расчет напряжений труб
1. МЕТОДЫ РАСЧЕТА НАПРЯЖЕНИЙ ТРУБ
1.1 Прочность полиэтилена при сложном напряженном состоянии
В случае хрупкого разрушения вполне эффективен метод
математического моделирования. С теоретических позиций удалось получить
уравнение «линии хрупкости», а также проследить влияние температурного фактора
на процесс охрупчивания полиэтилена.
Аналогичные методы, очевидно, пригодны и для случая
сложного напряженного состояния, которое проще всего воспроизвести в
тонкостенной цилиндрической оболочке, нагруженной; внутренним гидростатическим
давлением.
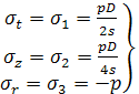
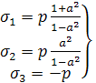
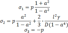
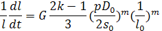
Рассмотрим ползучесть и разрушение тонкостенной
полиэтиленовой трубы, нагруженной внутренним гидростатическим давлением р и
снабженной торцовой заглушкой. Обозначим толщину стенки и внутренний диаметр
трубы соответственно через s и D. Внутреннее давление вызывает в
произвольной точке стенки трубы объемное напряженное состояние. В
цилиндрической системе координат главные нормальные напряжения определяют по
формулам

(1)
В
условиях сложного напряженного состояния нормальные и касательные напряжения в
данной точке характеризуются линейным (
) и
квадратичным (
)
инвариантами тензора напряжений. Скорость изменения формы элемента среды
описывается квадратичным инвариантом тензора скорости деформации. Интенсивность
скоростей деформаций сдвига является функцией интенсивности касательных
напряжений

(2)
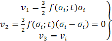
Далее запишем уравнения для скоростей ползучести

(3)
Принимаем
для функции 
степенную
зависимость; аналогично уравнению 
. Тогда

(4)
Здесь
показатель ползучести т имеет прежнее значение, а коэффициент ползучести В
равен В1, что будет доказано ниже.
Поставленная
задача сводится к определению долговечности трубного образца. Полиэтиленовые
трубы тоже разрушаются по двоякому механизму. При больших внутренних
гидростатических давлениях наблюдается пластическое разрушение оболочки, а при
средних и малых - хрупкое.
1.2 Пластическое разрушение
Исследуем
сначала пластическое разрушение. С этой целью определим по интенсивность
касательных напряжений, пренебрегая малой по сравнению с 
и 
величиной

.
полиэтилен труба напорный цилиндрический

(5)
Далее по формулам (3) вычисляем скорости главных
относительных удлинений, учитывая, что в рассматриваемом случае среднее
давление


(6)
Предполагаем,
что 
является
также и функцией времени, поскольку коэффициент ползучести зависит от времени.
Формулы
(6) показывают, что ползучесть трубы в осевом направлении отсутствует. Этот
вывод хорошо подтверждается экспериментальными данными. Труба всегда
разрушается вследствие значительного (неограниченного) увеличения диаметра.
Для
тонкостенной цилиндрической оболочки условие несжимаемости с учетом отсутствия
ползучести в осевом направлении 
принимает
вид 
где D0s0 и D, s -
соответственно начальное и переменное (текущее) значения внутреннего диаметра и
толщины стенки.
Скорость
относительного увеличения диаметра
С
другой стороны, в соответствии с уравнениями (4) и (6) эта величина равна

(7)
Интегрируем
полученное выражение при начальных условиях t=0, D=D0, предварительно
заменив s на 
. Тогда

(8)
Полагаем,
что в момент пластического разрушения 
диаметр
трубы неограниченно увеличивается 
. Тогда
из уравнения (8) долговечность трубы

(9)
где

-
скорость относительного увеличения диаметра трубы в начальный момент времени.
С помощью формул (8) и (9) легко установить известный
факт
Это означает, что резкое утонение стенки трубы
происходит непосредственно перед разрушением, причем с большей скоростью, чем
при простом растяжении.
Из
полученных соотношений вытекает ряд интересных и важных следствий. Если,
например, принять равными начальные скорости ползучести трубы 
и
растягиваемого стержня 
, то
долговечность трубы составляет при указанном условии только половину
долговечности стержня.
Любопытно
установить, при каком давлении 
. Для
одноосного растяжения 
а 
.
Следовательно, 
, 
Для
одноосного растяжения находим интенсивность скоростей деформаций сдвига 
, где 
.
Согласно
уравнению (7) получим 
Используя
последнюю формулу, можно убедиться, что 
. Теперь
условие 
можно
записать в виде

(10)
или
где

а 
Несколько
иную картину наблюдают, когда 
. В этом
случае:
Отношение

при m>3,78
и 
<1
при m<3,78. Для полиэтилена т = 2,3, и, следовательно,
долговечность трубы при 
будет
меньше, долговечности растягиваемого стержня. Справедливость подобного вывода
подтверждается данными Гаубе (рис. 1).
Рассмотрим
также случай, когда равны интенсивности касательных напряжений растягиваемого
стержня 
и трубы 
нагруженной
постоянным внутренним гидростатическим давлением. Как уже было показано, для
стержня 
, а для
трубы 
. Поэтому
из принятого условия вытекает, что 
.Теперь

Наконец,
при условии

, 
1.3 Хрупкое разрушение
При сложном напряженном состоянии хрупкое разрушение
определяется максимальным нормальным напряжением, что было показано
экспериментально.
Рисунок 1 - Кривые долговечности растягиваемого
стержня (1) и трубы (2) из ПНД при 80 °C
Поэтому
форма временной зависимости прочности сохраняет вид уравнения (9). Здесь мы
по-прежнему используем критерий сплошности и, следовательно, уравнение (8). В
качестве максимального нормального напряжения принимаем 
.
Предполагаем, что параметры поперечного сечения трубы при хрупком разрушении
почти не меняются. Поэтому
, 
и 
. По
аналогии с уравнением (9) временная зависимость прочности для хрупкого
разрушения трубы записывается в виде

(11)
Соответственно,
не будут различаться и долговечности растягиваемого стержня и трубы при
одинаковом уровне напряжений.
Совпадение
графиков в крутопадающей области можно проследить на рис. 1, где по оси ординат
откладывают нормальное напряжение в стержне и максимальный нормальный компонент
напряжения в стенке трубы.
Вместе
с тем, в области пластического разрушения кривая долговечности трубы занимает
нижнее положение, причем значения долговечностей при 
существенно
различаются.
Рисунок
2 - Кривые долговечности труб из полипропилена
Формулы
(9) и (11) хорошо согласуются с имеющимися экспериментальными данными. На рис.
2 приведены кривые долговечности, полученные для труб из полипропилена.
Линейный
характер логарифмических графиков свидетельствует о хорошем совпадении данных
опыта и теории. Как и при одноосном растяжении, графики состоят из двух ветвей,
разделенных областью перегиба. Пологая ветвь соответствует пластическому
разрушению, а крутопадающая - хрупкому. Попытаемся установить влияние сложного
напряженного состояния на процесс охрупчивания полиэтилена. Предварительно
запишем уравнение (9) в виде

где

Координаты
«точки хрупкости» 
и 
находят
совместным решением уравнений (9) и (11).
Напомним,
что соотношения (1) остаются в силе. Их справедливость применительно к трубным
образцам подтверждается рис. 3, на котором в полулогарифмических координатах
изображены графики зависимости

где

.
Аналогичную
форму имеет также зависимость


Величины
т и n не зависят ни от температуры, ни от вида напряженного
состояния.
С учетом приведенных значений соотношения несколько изменяются

и
, (12)
где

и 
Множитель

учитывает
влияние сложного напряженного состояния, (
при m>3,78
и 
при m<3,78).
Один
из графиков уравнений (12) представлен на рис. 4. В полулогарифмических
координатах он сохраняет устойчивую линейную форму


Форма уравнения «линии хрупкости» при сложном
напряженном состоянии также не меняется. Исключив параметр (температуру) из
соотношений (12), получим

(13)
Где

,а 
.
Сравнение
формул приводит к выводу, что показатель степени 
не
зависит от вида напряженного состояния. Последнее сказывается на величине
предстепенного множителя. Рассмотрим в этой связи отношения уравнений (12) и
(1), а также (12) и (2). В первом и во втором случае получим соответственно

, 
при
n<m<3,78.
Напряжение,
соответствующее «точке хрупкости» определенным образом связано с мгновенной
прочностью трубы 
. Ранее
было показано, что эта величина экспоненциально связана с температурой:

где

и а -
материальные константы.
Имеющиеся
данные свидетельствуют о слабо выраженной линейной зависимости отношения 
от
температуры

, (14)
где

-
температура в °С.
В
среднем отношение 
колеблется
в пределах 0,5-0,55.
С
некоторой погрешностью его можно считать некоторой постоянной, что возможно при
равенстве констант а и λ в формулах (11) и (13).
Вскрытые
нами закономерности в действительности имеют более глубокий смысл, чем это
может показаться на первый взгляд. Поэтому остановимся на них несколько
подробнее. Установлено, что у полиэтилена хрупкое разрушение наступает при
напряжении, составляющем примерно половину от мгновенной прочности материала
при данной температуре. Как известно, это напряжение ограничивает сверху
область применимости линейной теории вязкоупругости.
При
больших напряжениях ползучесть проявляется достаточно интенсивно, а при меньших
со временем наступает так называемое псевдоравновесное состояние,
характеризуемое нулевой скоростью ползучести.
В
работе для труб из ПВД (индекс расплава 1,2 Г/10 мин) при 18 °С рекомендуется
предельное напряжение 60 кГ/см2. Его называют предельным статическим сопротивлением
полиэтилена. Скорость ползучести для напряжений до 50 кГ/см2 (мгновенная
прочность 100 - 110 кГ/см2) примерно пропорциональна напряжению, что
соответствует линейной теории вязкоупругости. В данной работе напряжение в 60
кГ/см2 принимаем в качестве основной расчетной величины. Это - несомненное
заблуждение, поскольку не учитывается возможность хрупкого разрушения трубы,
которое в основном и определяет ее несущую способность. Наиболее достоверные
рекомендации в отношении прочности, а также коэффициентов запаса можно получить
только с помощью кривых долговечности. Отсутствие ползучести в относительно
малой степени характеризует длительную прочность материала.
Мы
не случайно акцентируем внимание на этом вопросе, поскольку он весьма важен в
приложении. При правильной методологии особенности вязкоупругого поведения
полиэтилена, а также других термопластов можно использовать для быстрого
определения расчетных сопротивлений.
В
самом деле, выше было показано, что у полиэтилена, и, в частности, линейного,
существует асимптота релаксации

значение
которой также в среднем приближается к 0,5.
Если
в образце создать максимально возможное начальное напряжение
(
где

- предел
текучести), то остаточное (асимптотическое) напряжение будет примерно
соответствовать «точке хрупкости». Поэтому можно заключить, что значение D1 по
аналогии с уравнением (14) в известных пределах практически не зависит от
температуры. Кроме того, с помощью этого отношения напряжений весьма просто
определить напряжение, соответствующее «точке хрупкости». Для этого
целесообразно использовать описанную выше методику проведения релаксационных
испытаний на обычной разрывной машине. Таким образом, ориентировочные данные по
длительной прочности материала, которые позволяют определить деформативность
конструкции независимо от температуры, можно получить за доли часа. Стоит лишь
ограничить напряжение величиной 
, и
изделие не будет подвергаться значительным необратимым деформациям.
Наконец,
величина D1 позволяет получить достоверное значение коэффициента
условий работы 
. Примем 
и
представим 
, в виде
отношения
:

(15)
в
котором 
С
помощью полученной формулы вычисляют коэффициент запаса прочности в области
хрупкого разрушения. Здесь нетрудно учесть температурный фактор, поскольку
температурная зависимость 
и А
известна.
Далее рассмотрим более сложный случай, когда помимо
внутреннего давления р тонкостенную полиэтиленовую оболочку с начальной длиной
10 нагружают дополнительным растягивающим осевым усилием Р. По-прежнему

, 
, a 
где
k принимает ряд целых и дробных значений. Очевидно, в
любом случае k>0,5.
Следуя принятой схеме расчета, определяем квадратичный
и линейный инварианты тензора напряжений:

и 
Далее
записываем выражения для главных скоростей относительных удлинений

(16)
где

; 
; 
Эти
формулы показывают, что по мере увеличения k возрастает
скорость ползучести в осевом направлении и одновременно уменьшается 
. При k=1 
, а при k = 2
увеличение диаметра прекращается. При дальнейшем росте k наблюдается
уменьшение наружного диаметра трубы (
<0).
Для
рассматриваемого случая условие несжимаемости несколько усложняется: D0s0l0=Dsl.
Изменение
размеров поперечного сечения, а также длины образца связано с величиной k.
Легко показать, что для реализации пластического разрушения величина k не
может быть выбрана более 2. Действительно, выше было установлено, что
напряжение 
,
соответствующее «точке хрупкости», составляет в среднем 0,5 
. где 
-
мгновенная прочность при растяжении материала трубы в направлении одного из
главных нормальных напряжений. При этом условии 
, а
максимально возможное 
. При k>2
труба, которую мы считаем изотропной, будет мгновенно разрушаться. Таким
образом, коэффициент k может изменяться от ½ до 2, причем этот процесс в соответствии с формулами
(16) не сопровождается значительным изменением диаметра трубы.
Итак,
с некоторой погрешностью можно принять D0=D.
Тогда условие несжимаемости упрощается: s0l0 = sl,
откуда 
, и
уравнение (16) запишется в виде
Интегрирование при начальных условиях t= 0, l = l0
приводит к

.
Полагают,
что в момент пластического разрушения стенка трубы 
. Тогда
из последнего уравнения долговечность т определяется так:

(17)
Где
Направление
хрупкого излома в данном случае, очевидно, можно регулировать. При k<1
разрушение будет происходить в меридиональной, а при k>1-в
радиальной плоскости. Реализация условия k=1 и отсюда 
сопровождается
неустойчивым характером разрушения. В расчетах следует использовать
максимальное нормальное напряжение 
при
0,5<k<1 и 
при
1<k<2.
Наличие
дополнительного осевого усилия приводит и к некоторому изменению уравнений координат
«точки хрупкости». Известно, что предэкспоненциальные множители формул (12)
зависят от величины 
, которая
в рассматриваемом случае принимает следующий вид:
Напомним,
что
Далее,
приняв вместо одноосного растяжения последнюю схему, попытаемся воспроизвести
отношения
где

и 
-
координаты «точки хрупкости» при нагружении трубы дополнительным осевым
усилием. Дополнительное осевое усилие может привести к хрупкому разрушению
трубы, что экспериментально установили Гизольф и Гадовер. Они же описали метод,
позволяющий сравнительно быстро воспроизвести хрупкое разрушение трубы из
разветвленного полиэтилена при комнатной температуре.
Рисунок 5 - Стенд для гидравлических испытаний
полиэтиленовых труб с дополнительным осевым усилием: 1 - образец; 2 - зажимы; 3
- рычаг; 4- опора; 5 - грузы; 6 - ресивер; 7 - вентиль; 8 - манометр; 9 -
регулятор давления; 10 - электрический фиксатор долговечности
В обычных условиях нагружения оболочки внутренним
давлением это сделать не удается, так как при 20 °С период хрупкого разрушения
начинается лишь через несколько лет.
Для экспериментов использованы трубы из
стабилизованного ПВД (2% сажи) с индексом расплава 2,0 г/10 мин и удельным
весом 0,931 Г/см3.
Испытания осуществляли на стенде, схема которого
показана на рис. 5. Электрический фиксатор 10 долговечности срабатывал при
падении давления в системе на 10-15%.
Трубные образцы, длиной 350 мм, наружным диаметром 32
мм и толщиной стенки 3,5 мм нагружали внутренним гидростатическим давлением и
дополнительно растягивали по оси. Для этого применяли специальное рычажное
приспособление с возможностью перестановки опоры рычага по мере удлинения
образца.
Нагружение образца осуществляли за 15 сек.
Ориентированная пленка разрывается под действием
осевого напряжения, и трещина располагается в радиальной плоскости.
При низком давлении и большой осевой нагрузке тоже
возникало пластическое разрушение, сопровождаемое значительной ползучестью
трубы в осевом направлении (рис. 6,б).
Наконец, сравнительно высокое давление и большая
осевая, нагрузка приводили к хрупкому разрушению, причем трещина располагалась
в меридиональной плоскости (рис. 6, в).
На рис. 7 в логарифмических координатах представлены
кривые долговечности, полученные при испытаниях упомянутых труб с
дополнительной

Рисунок 6 - Образцы полиэтиленовых труб а и б при
пластическом разрушении, в - при хрупком разрушении осевой нагрузкой (рис. 7,
кривая) и без нее (рис. 7, кривая 2)
Рисунок 7 - Кривые долговечности труб из ПВД,
нагруженных внутренним давлением и дополнительным осевым усилием (1) и
внутренним давлением (2)
Первый график описывается одной функцией и не имеет
перегиба, а второй не отличается от обычных кривых долговечности и делится на
две линейные ветви, соответствующие пластическому и хрупкому разрушению. В
области хрупкого разрушения оба графика совпадают. Следует отметить, что на
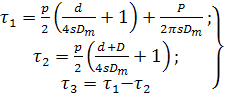
рис. 7 по оси ординат отложено октаэдрическое касательное напряжение,
вычисляемое по формуле
где

-
главные касательные напряжения в стенке трубы;

(19)
Где
D и d - соответственно наружный и внутренний диаметр трубы;

средний
диаметр трубы;
s - толщина стенки;
р - внутреннее гидростатическое давление;
Р - дополнительное осевое усилие.
Октаэдрическое
касательное напряжение на 9% превышает тангенциальное нормальное напряжение в
стенке трубы 
Таким
образом, искусственно хрупкое разрушение вызывали сравнительно быстро (от
нескольких часов до нескольких дней). Экстраполируя полученные данные, можно
определить расчетные сопротивления, не прибегая к температурному моделированию.
2.
МЕТОДЫ РАСЧЕТА НА ПРОЧНОСТЬ
Механический расчет несущих конструкций из полиэтилена
производят по методу расчетных предельных состояний. Этот критерий
характеризует состояние несущего элемента в момент, когда его дальнейшая
эксплуатация становится невозможной.
С учетом основных факторов, определяющих статическую
усталость полиэтилена, принимают следующие расчетные предельные состояния:
. Предельное состояние, характеризуемое прочностью
изделия в условиях его длительного нагружения определенной системой внешних
сил. Расчет должен гарантировать несущую способность детали в процессе
ползучести.
2.
Предельное
состояние, определяемое возникновением в конструкции значительных необратимых
деформаций, вызываемых ползучестью или релаксацией напряжений.
3.
Предельное
состояние, связанное с хрупким разрушением полиэтилена под действием остаточных
напряжений, главным образом в процессе релаксации напряжения.
4.
Предельное
состояние, характеризуемое длительной прочностью элемента конструкции при
условии повышения эксплуатационной температуры на 5°С.
В соответствии с первым предельным состоянием
необходимо оценить с учетом длительности нагружения соотношение между силовыми
и геометрическими параметрами в момент разрушения изделия. Практически эта
задача сводится к определению предела длительной прочности материала. В расчете
долговечность приравнивают к длительности эксплуатационного периода. Значение
рабочей температуры, а также концентрации растворов (в случае применения жидких
сред) дают в проектном задании.
При расчете по второму предельному состоянию
необходимо определить начальное напряжение, при котором к концу
эксплуатационного периода ползучесть не превышала бы 2,5-3,5%. Задаваясь в этих
формулах допускаемой величиной деформации ползучести, а также временем
(долговечностью), определяют соответствующее начальное напряжение. Температура
и концентрация раствора предполагаются известными.
Наиболее просто указанную задачу решают с помощью
кривых статического сопротивления полиэтилена. Подобные графики (рис. 8).
построены для линейного полиэтилена (луполен 6001 Г) с удельным весом 0,959
Г/см3 и индексом расплава 0,9 Г/10 мин. Данные получены при 50 °С. По оси
ординат отложено начальное напряжение, а по оси абсцисс - время. При выбранном
напряжении можно установить момент, когда деформация растягиваемого образца
достигает величины, указанной для каждой кривой.
Расчет по третьему предельному состоянию связан с
определением предельных для данной температуры и долговечности деформаций или
начальных напряжений. С этой целью прибегают к экстраполяционным методам. Для
различных расчетных схем (растяжение, сжатие, изгиб) деформацию (начальное
напряжение) определяют с помощью обычных формул теории упругости. Модуль
упругости вычисляют с учетом температурного фактора. Так можно оценить
долговечность различных элементов, работающих в условиях релаксации напряжения:
разъемных, в том числе резьбовых, соединений труб; конструкций, подверженных
воздействию температурных полей; различных футеровок; труб, укладываемых в
грунт и т. п.
Для расчета по четвертому предельному состоянию
необходимо провести проверку прочности и ползучести конструкции в соответствии
с методикой расчета по первому и второму предельному состоянию. Единственное
отличие заключается в том, что величина рабочей температуры по сравнению с заданной
увеличивается на 5 °С.
Определив для каждого предельного состояния
нормативные начальные напряжения, переходим затем к расчетным сопротивлениям,
которые определяют по формуле

(20)
где

-
нормативное начальное напряжение, определенное в соответствии с данным
расчетным предельным состоянием;

-
расчетное сопротивление;

-
коэффициент условий работы; для первого и третьего расчетных предельных
состояний 
= 1,3, а
для второго и четвертого 
.
Определив
расчетные сопротивления для каждого предельного состояния, выбирают минимальную
(из трех) величину, которая и рекомендуется для использования в инженерной
практике.
Расчет
деформаций с поправкой на неидеальные свойства полиэтилена не отличается особой
сложностью. Его производят с учетом количественных оценок, рассмотренных в
предыдущих главах. При анализе вязкоупругого состояния можно воспользоваться
известными представлениями теории упругости, учитывая, однако, что выражения
для материальных констант (модуль упругости, коэффициент Пуассона) учитывают
временной фактор. По-прежнему соотношения между упругими константами выражаются
формулами, в которых используется модуль ползучести, или релаксационный модуль.
Таблица
1. Формулы расчета деформаций при различных схемах нагружения изделий из
полиэтилена
|
Вид нагружения
|
Расчетная формула
|
|
Упругое состояние
|
Вязкоупругое состояние
|
|
Одноосновное растяжение
(сжатие)
|
|
|
|
Прогиб консоли, нагруженной
на конце пролета сосредоточенной нагрузкой Р .
|
|
|
|
Прогиб консоли, нагруженной
равномерно распределенной нагрузкой
|
|
|
|
Прогиб балки, шарнирно
опертой на двух опорах и нагруженной посередине пролета сосредоточенной
нагрузкой
|
|
|
|
Прогиб балки на двух
опорах, нагруженной равномерно распределенной нагрузкой
|
|
|
|
Угол закручивания стержня
длиной 1 под действием крутящего момента Мк .
|
|
|
|
Продольный изгиб
|
|
|
В табл. 1 приведены расчетные формулы для определения
деформаций изделий при различных схемах нагружения. В интересах упрощения в
этих формулах релаксационный модуль принят в соответствии с уравнением

(21)
где
Е0 - начальный модуль упругости.
Этот
результат, справедливый для всех полиолефинов. Он указывает на асимптотический
характер релаксационной кривой. Коэффициент Пуассона определяют по формуле

(22)
Формулу
(22) можно преобразовать к виду 
.
Пренебрегая малой, по сравнению с 
величиной

, получим

2.1 Расчет полиэтиленовых труб на прочность
Ниже приведен механический расчет напорных
полиэтиленовых труб, применяемых в основном в системах водоснабжения.
В соответствии с первым предельным состоянием методика
расчета и, следовательно, количественные выводы зависят в первую очередь от
характера разрушения трубы. Полиэтиленовые трубы для относительно небольших
долговечностей (5 - 10 лет при 20 °С) разрушаются по пластическому механизму. В
дальнейшем наблюдается хрупкий излом. Соответственно рассмотрим пластическое и
хрупкое разрушение.
Пластическое разрушение. В общем случае толстостенную
трубу, используемую в системах внутренней разводки, рассматривают как
горизонтальную неразрезную балку с величиной пролета l, нагруженную внутренним гидростатическим давлением р и
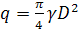
равномерно распределенной нагрузкой q, зависящей от размеров поперечного сечения трубы, плотности применяемого
материала, а также плотности транспортируемой среды.
Если
допустить, что внутреннее давление равномерно распределено вдоль участка трубы,
то в произвольной точке поперечного сечения стенки имеет место объемное
напряженное состояние, два компонента которого - тангенциальное 
и
радиальное 
главные
нормальные напряжения - определяют по формуле Ляме (вес трубы и жидкости пока
не учитывают).
Осевая
составляющая 
вызывается
только внутренним давлением, действующим на глухой конец трубы.
Главные
напряжения для наиболее нагруженных волокон, находящихся на внутренней
поверхности стенки, вычисляют при помощи следующих формул

(23)
где

отношение
внутреннего диаметра трубы к наружному.
Для
оценки напряженного состояния материала воспользуемся критерием, хорошо
согласующимся с опытом в случае пластического разрушения

(24)
где

-
приведенное (эквивалентное) напряжение, соответствующее напряжению,
возникающему при простом одноосном растяжении образца в направлении одного из
двух главных напряжений: 
или
Формула
(24) применима только к изотропным материалам. Поэтому при ее использовании для
расчета несущих конструкций из термопластов, находящихся в условиях ползучести,
необходимо сделать ряд допущений. Во-первых, предполагаем, что материал трубы в
достаточной степени изотропен. Во-вторых, с незначительной погрешностью можно
считать, что ползучесть термопластов в условиях растяжения и сжатия одинакова.
В третьих, допускаем неизменность деформируемого объема в процессе ползучести.
Тем
не менее, при более точном решении фактор анизотропии можно учесть путем
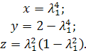
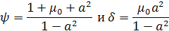
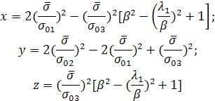
некоторой модификации формулы (24), в которую вводят параметры х, у, z,
характеризующие степень анизотропии материала:

(25)
Параметры
анизотропии можно определить, если в этом выражении последовательно приравнять
нулю два из трех главных напряжений.
Тогда
приходим к следующим уравнениям
где

; 
, 
; 
и 
-
механические характеристики материала в направлении соответствующих главных
напряжений.
Применительно
к полиэтиленовым трубам, даже при длительном нагружении, различия свойств
материала в радиальном и касательном направлениях не наблюдается. Поэтому 
=1.
Если
в качестве базового направления выбрать осевое, т. е. 
, тогда
Однако
в дальнейшем в целях упрощения расчета будем рассматривать полиэтиленовую трубу
как изотропное тело.
Таким
образом, в случае объемного напряженного состояния необратимые деформации при
кратковременных испытаниях возникают, если давление в трубе принимает значение

(26)
где

- предел
текучести материала при одноосном растяжении. Если даже предположить, что
наружный диаметр трубы D неограниченно увеличивается (
), то и
тогда начало пластических деформаций на внутренней поверхности трубы наступит,
как только

(27)
Относительную
деформацию наружного диаметра трубы при объемном напряженном состоянии
определяют по формуле

(28)
где
Е0 и 
-
соответственно начальные модуль нормальной упругости и коэффициент Пауссона.
После
подстановки значений главных напряжений выражение принимает вид

(29)
Где
С
учетом временного фактора, т. е. при расчете для вязкоупругого состояния,
необходимо несколько модифицировать выражение (29), заменив в нем мгновенный
модуль и коэффициент Пуассона соответствующими величинами, определяемыми из
приведенных выше соотношений
Можно
считать, что 
В большинстве расчетов можно пользоваться этой упрощенной
формулой.
Если
оболочки находятся в плоском напряженном состоянии и отсутствует осевая
составляющая (
= 0), то
условие начала текучести принимает следующий вид:

(30)
Очевидно,
что условие (29) сохраняется. Выражение для радиальных деформаций при плоской
схеме нагружения упрощается;
или
в конечном виде
Таким
образом можно получить выражение и для вязко-упругого состояния материала.
Из
приведенных выше формул вытекает важный практический вывод отсутствие осевых
напряжений приводит к снижению давлений, соответствующих началу текучести,
примерно на 7-8% (
).
Что
касается деформаций, то анализ свидетельствует о более интенсивном
деформировании в условиях плоской схемы. Тангенциальная деформация в этом
случае приблизительно на 20% больше. Таким образом плоская схема нагружения в
условиях пластического разрушения является наиболее тяжелой.
При
хрупком разрушении трубы указанных различий не наблюдается.
Рассмотрим
прочность трубы, когда, помимо гидростатического давления, ее нагружают
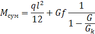
изгибающим моментом и термоупругими силами.
Изгибающий
момент вызывает в стенке трубы дополнительные осевые нормальные напряжения,
суммирующиеся с составляющей, возникающей от внутреннего давления:
где
W - момент сопротивления, вычисляемый для кольцевого
сечения по формуле 
Мmax -
максимальный изгибающий момент. Для неразрезной балки 
Здесь
интенсивность

Для
воды 
и для полиэтилена
можно принять, что 
(плотность
материала трубы - 
), а
напряжение от изгиба
В
трубе могут возникать также осевые термоупругие напряжения, которые, однако, не
сочетаются с осевой составляющей от внутреннего давления:
где

-
коэффициент линейного температурного расширения материала;

-
температурный перепад.
В
табл. 2 приведены некоторые физико-механические показатели, необходимые для
расчетов.
Таблица
2
Физико-механические
показатели трубных образцов при 20 °С
|
Материал
|
Удельный вес в Г/см3
|
Модуль упругости в кГ/см2
|
Коэффициент линейного
температурного расширения в 1/ °С
|
|
Полиэтилен низкого давления
|
0,95-0,96
|
2000-9000
|
|
Полиэтилен высокого
давления
|
0,92
|
500-1200
|
|
Таким образом, в наиболее общем случае главные
нормальные напряжения в стенке трубы вычисляют по формулам
В отсутствие осевой составляющей давления нормальные
напряжения в осевом направлении возникают в результате комбинированного
воздействия термоупругих сил и суммарного изгибающего момента. Последний
складывается из момента сил тяжести и продольных сил
где

(F-
площадь кольца).
Суммарный
момент определяют по известной формуле
В
последнем равенстве прогиб
.
Критическую силу вычисляют по формуле Эйлера
После
ряда преобразований окончательно получим
Величину давления, соответствующего началу необратимых
деформаций, находим из формулы

(31)
причем

принимаем
из формулы (30).
Наличие
изгибающего момента несколько снижает несущую способность конструкции. Условие
(23) изменяется:
Модифицируется также выражение для тангенциальной
деформации
Эта величина оказывается несколько меньшей значения,
определяемого по формуле (25).
Формулы для вязкоупругого состояния материала здесь не
приводятся. В случае необходимости их можно легко получить. Следует отметить,
что термоупругие напряжения относительно быстро релаксируют, и их можно
принимать в расчет только при проверке трубы на устойчивость при осевом сжатии.
Для увеличения долговечности трубопровода необходимо
выбирать температуру монтажа таким образом, чтобы трубы в эксплуатационных
условиях находились в условиях сжатия.
Под влиянием изгиба и термоупругих напряжений
происходит уменьшение радиальной деформации оболочки по сравнению с идеально
плоской схемой.
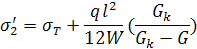
Хрупкое разрушение. Прочностной расчет для хрупкого
разрушения базируется на первой теории прочности, т. е. используется
максимальный (тангенциальный) компонент напряжения.
С некоторой погрешностью разрушающее давление
определяют по формуле

(32)
где

- предел
прочности труб при растяжении в касательном направлении;
s - толщина
стенки;
D - наружный
диаметр.
При
расчете пластмассовых трубопроводов необходимо правильно установить расстояние
между опорами горизонтальной разводки.
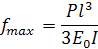
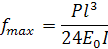
Расчет проводят по следующей схеме. При заданном
давлении пластическая деформация возникает, если выполняется неравенство
Эта формула соответствует предельному условию
нагружения и дает максимальное значение для l
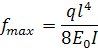
Существует
дополнительное условие, ограничивающее прогиб конструкции определенной
величиной 
, так что

, (33)
где

Прогиб связан с длиной пролета соотношением
Совмещение этих формул приводит к следующему выражению
для l
Последняя формула показывает, что с течением времени
прогиб трубы (при неизменной величине пролета) увеличивается, поскольку
уменьшается модуль упругости. В среднем прогиб может возрасти в 2 раза. Поэтому
условие (31) необходимо отнести к концу предполагаемого эксплуатационного
периода с соответствующей коррекцией модуля (E = 0,5 Е0).
3.
ПРОГРАММНОЕ ОБЕСПЕЧЕНИЕ ДЛЯ РАСЧЕТА ЦИЛИНДРИЧЕСКИХ ТРУБ
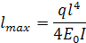
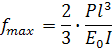
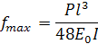
Рисунок 9 - Расчет максимального прогиба
Рисунок 10 - Расчет напряжения изотропного материала
Рисунок 11 - Расчет напряжения композитного материала
Рисунок 12 - Расчет трубы находящейся плоском напряженном состоянии
Рисунок 13 - Расчет трубы находящейся хрупком напряженном состоянии
ЗАКЛЮЧЕНИЕ
В данной курсовой работе были рассмотрены методы численного расчета
конструкций при больших давлениях, такие как дельта-метод и расчет тонкостных
конструкций. Получены практические навыки расчета, и написаны 2 программы
исходные коды которых содержаться приложениях.
СПИСОК ИСПОЛЬЗОВАННЫХ ИСТОЧНИКОВ
1. May W. D., Rolling Friction of a Hard Cylinder over a
Viscoelastic Material/ Morris E. L., Atack D., J. Appl. Phys., vol. 30, N 11, 1959,
p. 1713-1724.
2. Огибалов,
П. М. Механика полимеров/ П. М. Огибалов, В. А. Ломакин - МГУ. 1975. 340 с.
3. Александров,
А. В. Основы теории упругости и пластичности/ А. В. Александров, В. Д. Потапов
- Мн.: Высшэйшая школа. 1990. 400 с.
. Джонсон,
К. Механика контактного взаимодействия/ К. Джонсон - М. 1989. 460 с.
. Можаровский,
В. В. Прикладная механика слоистых тел из композитов/ В. В. Можаровский - Мн.: 1988. 271 с.
6. Галин
Л.А. Контактные задачи теории упругости и вязкоупругости/ Л.А. Галин - Москва
“Наука” 1988. 370 с.
. Друтовский
Р. Контактная упугость высокоэластичных материалов для уплотнений.- Проблемы
трения и смазки, 1968, №2.
. Лехницкий
Г.С. Теория упругости анизотропного тела/ Г.С. Лехницкий Мн.: 1977. 460 с.
9. Pleskachevsky, Yu.M. Mathematical models of quasi-static interaction between fibrous composite bodies. Computational methods
in contact mechanics III/ Yu.M.
Pleskachevsky, V.V. Mozharovsky, Yu.F. Rouba - Madrid. 1997. 372
10. Бородич,
С. В. Разработка программных систем на языке Паскаль/ С. В. Бородич - Мн.:
“Вышэйшая школа “, 1992.-143c.
11. Васильев,
В.В. Композиционные материалы/ В.В. Васильев Ю.М. Тарнапольский - Справочник М.: Машиностроение, 1990.
426c.
. Шумаков,
П. В. Delphi 3 и разработка приложений баз
данных/ П. В. Шумаков - М.: Нолидж. 1998. 704с.
ПРИЛОЖЕНИЯ
Приложение A
Расчет максимального прогиба
unit Unit1;
, Messages, SysUtils, Variants,
Classes, Graphics, Controls, Forms,, StdCtrls, ExtCtrls;
= class(TForm): TLabel;: TLabel;:
TLabel;: TLabel;: TEdit;: TEdit;: TEdit;: TEdit;: TLabel;: TEdit;: TLabel;:
TEdit;: TBevel;: TButton;Button1Click(Sender: TObject);
{ Private declarations }
{ Public declarations };
: TForm1;
{$R *.dfm}
TForm1.Button1Click(Sender:
TObject);l,gamma,E,Db,dl,fmax,a:real;:=strtofloat(EDIT1.Text);:=strtofloat(EDIT2.Text);:=strtofloat(EDIT3.Text);:=strtofloat(EDIT4.Text);:=strtofloat(EDIT5.Text);:=dl/Db;:=l*l*l*l*gamma/(24*E*Db*Db*(1-a*a*a*a));.Text:=floattostr(fmax);;
end.
Приложение B
Расчет напряжения композитного и изотропного
материалов
unit Unit1;
, Messages, SysUtils, Variants,
Classes, Graphics, Controls, Forms,, ExtCtrls, StdCtrls,math;
= class(TForm): TLabel;: TLabel;:
TLabel;: TEdit;: TEdit;: TEdit;: TRadioButton;: TRadioButton;: TButton;:
TEdit;: TLabel;: TEdit;: TEdit;: TEdit;: TLabel;: TLabel;: TLabel;:
TBevel;Button1Click(Sender: TObject);compozit:real;izotrop:real;koord;
{ Private declarations }
{ Public declarations };
: TForm1;
p,dl,Db,a,s1,s2,s3,S:real;,sty:integer;
{$R *.dfm}TForm1.izotrop:real;
// для изотропных материалов:=sqrt(1/2*(sqr(s1-s2)+sqr(s2-s3)+sqr(s3-s1)));;
TForm1.compozit:real;x,y,z,q,s01,s02,s03,bet,lam1:real;
//:=izotrop;:=strtofloat(edit5.Text);:=strtofloat(edit6.Text);:=strtofloat(edit7.Text);:=s03/s01;:=s02/s01;:=2*sqr(q/s01)-sqr(q/s03)*(bet*bet-sqr(lam1/bet)+1);:=2*sqr(q/s02)-2*sqr(q/s01)+sqr(q/s03);:=sqr(q/s03)*(bet*bet-sqr(lam1/bet)+1);:=sqrt(1/2*(x*sqr(s1-s2)+y*sqr(s2-s3)+z*sqr(s3-s1)));;
TForm1.Button1Click(Sender:
TObject);smk:real;:boolean;;:=true;:=strtofloat(edit1.Text);:=strtofloat(edit2.Text);:=strtofloat(edit3.Text);:=p;:=dl/Db;:=(1-a*a)*smk/sqrt(3);form1.Canvas
dop<=smk/sqrt(3) do:=p*(1+a*a)/(1-a*a);:=p*a*a/(1-a*a);:=-p;
//считаем
до
p<=smk/sqrt(3)RB1.Checked then S:=izotrops:=compozit;.Text:=floattostr(s);fr
then(405+round(s*stx), 190-round(p*sty));:=false;(405+round(s*stx),
190-round(p*sty));:=p+0.0001;
//sleep(1);;;
TForm1.koord;i:integer;j:real;smk:real;,min,deltax:real;:=-MAXINT;:=MAXINT;:=0.001;:=strtofloat(edit1.Text);:=strtofloat(edit2.Text);:=strtofloat(edit3.Text);:=p;:=dl/Db;:=(1-a*a)*smk/sqrt(3);
p<=smk/sqrt(3)
do:=p*(1+a*a)/(1-a*a);:=p*a*a/(1-a*a);:=-p;
//считаем
до
p<=smk/sqrt(3)RB1.Checked then S:=izotrops:=compozit;s>max
then:=s;s<min then:=s;:=p+deltax;;
.Canvas.FillRect(Rect(330, 0,
ClientWidth, ClientHeight));form1.Canvas do(410, 200); LineTo(410, 20); //ось y(400, 190); LineTo(610, 190); //ось х:=30;(380,i-30,'p');:=smk/sqrt(3);:=round(40/((smk/sqrt(3))/4));i
<= 190 do //деления по у(380,i-16,FloatToStrF(j,ffNumber,3,2));
MoveTo(405, i); LineTo(415,
i);:=j-(smk/sqrt(3))/4;:=i+40;
end;:=410;:=0;:=round(40/(max/5));
while i < 611 do //деления по х
begin(i-8,200,FloatToStrF(j,ffNumber,3,2));
MoveTo(i, 185); LineTo(i,
195);:=j+max/5;:=i+40;
end;(i-80,220,'Напряжение');;;.