Проектирование, кинематическое и динамическое исследование механизмов зубодолбежного полуавтомата

  • Вид работы:
    Курсовая работа (т)
  • Предмет:
    Другое
  • Язык:
    Русский
    ,
    Формат файла:
    MS Word
    200,12 Кб
  • Опубликовано:
    2012-05-01
Вы можете узнать стоимость помощи в написании студенческой работы.
Помощь в написании работы, которую точно примут!

Проектирование, кинематическое и динамическое исследование механизмов зубодолбежного полуавтомата

Министерство Образования Российской Федерации

Саратовский Государственный Технический Университет

Кафедра «Теория механизмов и деталей машин».










Курсовой проект на тему:

«Проектирование, кинематическое и динамическое исследование механизмов зубодолбежного полуавтомата»

(текстовые документы)









Саратов 2011

Содержание

Введение

. Синтез кривошипно - коромыслового механизма привода штосселя с долбяком

. Кинематический расчет кривошипно-коромыслового механизма

.1 Определение средней угловой скорости кривошипа по заданной скорости резания

.2 Получение 1-ой передаточной функции коромысла методом построения планов скоростей

.3 Построение плана ускорений для 5-го положения механизма

. Силовой анализ механизма методом кинетостатики

.Динамический анализ механизма привода. Расчет маховика

.1 Расчет приведенного момента

.2 Расчет приведенного момента инерции синтезированного

механизма

.3 Расчет маховика

. Проектирование кулачкового механизма распределительного вала

.1 Аналитическая зависимость, закон движения толкателя

.2 Расчет координат теоретического профиля кулачка

. Проектирование зубчатых передач скоростной кинематической цепи зубодолбежного станка

.1 Расчет параметров эвольвентных зубчатых колес

.2 Расчет станочного конического дифференциала станка

.3 Расчёт планетарного редуктора скоростей

Введение

Объектом исследования являются механизмы зубодолбежного станка для нарезания прямозубых цилиндрических колёс. Станок работает методом обкатки: нарезаемое колесо и долбяк вращаются синхронно, имитируя работу реальной передачи. При этом боковые поверхности зубьев образуются как огибающие производящей поверхности долбяка.

Долбяк закрепляется на штосселе, совершающем возвратно - поступательное движение посредством кривошипно-коромыслового механизма, исследуемого на 1-м листе. Нарезаемое колесо (заготовка) закрепляется на шпинделе бабки изделия. Цепь обкатки деления обеспечивает синхронное вращение заготовки и долбяка.


Заданная средняя скорость долбяка обеспечивается настройкой гитары скоростной цепи, включающей планетарный редуктор, представленный на листе 4.

Цепь подачи долбяка в заготовку осуществляется за счет кулачка (лист 3) установленного на распредвале.



1.Синтез кривошипно-коромыслового механизма привода штосселя с долбяком

Механизм спроектирован из условия обеспечения коэффициента изменения средней скорости К=1.

Обозначим угол γmax -максимальный угол качания коромысла. Примем его равным 300, тогда:

O2D=L’3=H(мм)/ γmax(рад)==114.65 (мм)

Исходя из заданного значения λ2=0,5 определяем плечо ВО2 коромысла:

L3=ВО2= O2D/ λ2=114.65 /0.5=229.3 (мм)

Биссектриса угла качания коромысла располагается горизонтально. В этом случае ось кривошипа будет располагаться на вертикальной прямой. Длина кривошипа будет равна:

L1=O1A=В*В**/2=59 (мм)

Длина шатуна равна:

L2=AB= L11=59.2/0.3=197.3 (мм)

Для каждого из обозначенных положений точки А кривошипа строится положение остальных звеньев(L1, L2,L3,L’3,). 2-е положение строится в толстых линиях.

Далее строится график зависимости положения коромысла от положения шатуна(φ3=f(φ1))

2. Кинематический расчет кривошипно-коромыслового механизма

2.1    Определение средней угловой скорости кривошипа по заданной скорости резания

зубодолбежный полуавтомат кинематический привод

Предполагаем, что вращение кривошипа равномерно ω1=const.

Для обеспечения средней скорости резания Vр заданной в исходных данных необходимо рассчитать время одного оборота кривошипа. Путь пройденный долбяком за 1 оборот кривошипа равен 2Н.

t1об=2Н/Vp=2*60(мм)/25(м/мин) =2*60*60/(25*1000)= 0.288 (с)

Количество оборотов в минуту равно:

n=60/ t1об=60/0.288 =208 (об/мин)

Угловая скорость вращения кривошипа:

ω1=π*n/30=21.8 (c-1)

2.2    Получение 1-ой передаточной функции коромысла методом построения планов скоростей

Все планы скоростей выходят из единого полюса Pv. Строится окружность радиусом 11см с центром в полюсе Pv. На этой окружности согласно уравнению  строятся скорости точки А для всех обозначенных положений кривошипа

По произведенным построениям планов скоростей строится график зависимости скорости долбяка от положения кривошипа (Vf=f(φ1))

Масштаб плана скоростей рассчитывается из следующих соображений:

Kv=VA/V’A где:

VA- скорость точки А, V’A- размер в сантиметрах скорости точки А на плане скоростей.

Скорость точки А:

VA= ω1*L1=21.8*0.059=1.3 (м/с)

Масштаб плана скоростей:

Kv=VA/V’A =1.3(м/с)/100(мм)= 0.013 м*с-1[мм]-1

На основе плана скоростей для заданного положения (2) определяем:

VB=b2*Kv=69.3*0.013=0.9 (м/с)

VBA=a2b2*Kv=64 *0.013=0.83(м/с)

VD= d2*Kv=34.7*0.013=0.45 (м/с)

VS2=S22*Kv=80* 0.013=1.04 (м/с)S3=S32*Kv= 17.3*0.013= 0.23(м/с)E=e2*Kv=34.7*0.013=0.45 (м/с)

ω2=VBA/L2=0.83 /0.197.3= 4.2 (c-1)

ω3=VB/L3=0.9/0.2293=3.9 (c-1)

№ положения

VB (м/с)

VBA (м/с)

VD ≈ VE (м/с)

VS2 (м/с)

VS3 (м/с)

 (c-1)

 (c-1)

0

0

1.3

0

0.65

0

6,60

0,00

1

0.46

1.21

0.23

0.76

0.12

6,14

2,01

2

0.9

0.83

0.45

1.04

0.23

4,21

3,93

3

1.28

0.07

0.64

1.29

0.32

0,36

5,59

4

1.36

0.81

0.68

1.27

0.34

4,11

5,94

5

0.88

1.33

0.44

0.89

0.22

6,75

3,84

6

0

1.3

0

0.65

0

6,60

0,00

7

0.8

0.96

0.4

0.96

0.2

4,87

3,49

8

1.24

0.53

0.62

1.25

0.31

2,69

5,41

9

1.31

0.04

0.66

1.3

0.33

0,20

5,72

10

1.01

0.51

0.5

1.14

0.25

2,59

4,41

11

0.52

1.01

0.26

0.85

0.13

5,13

2,27

12(=0)

0

1.3

0

0.65

0

6,60

0,00


2.3    Построение плана ускорений для 2-го положения механизма

План ускорений представляет собой графическое решение векторного уравнения


где:

Нормальное ускорение точки А:

аnА=L112=0.059*21.82= 28 (м/с2)

Тангенциальное ускорение точки А равняется 0

Нормальное ускорение ВА :

аnВА=L222=0.1973*4.212=3.5 (м/с2)

Нормальное ускорение L3 :

аnBO2=L332=0.2293*3.932=3.54 (м/с2)

Масштаб плана ускорений принимаем равным:

Ка=an/an’=28/100=0.28 м*с-2[ мм]-1

Определяем длины аnА, аnВА, аnBO2 на плане ускорений:

аnВА’= аnВА /Ka=3.5/0.28=12.5 (мм)

аnВО2’= аnВО2/Ka=3.54 /0.28= 12.6 (мм)

На основе плана ускорений для заданного положения определяем:

aB= aB’*Ka= 63*0.28 =17.64 (м/с2)S2= aS2’*Ka=71*0.28 =19.77 (м/с2)S3= aS3’*Ka=16*0.28 =4.48 (м/с2)D= ad’*Ka=32*0.28 =8.96 (м/с2)E=ae’*Ka=30*0.28=8.4(м/с2)

3. Силовой анализ механизма методом кинетостатики

Расчет сил инерции и инерционных моментов поводится по следующим формулам:

Fu4=-m4* adS2=-m2* aS2S3=-m2* aS32=-I223=-I33

Знак «минус» в формулах означает, что направление сил и моментов инерции противоположно направлению линейных и угловых ускорений, их вызвавших.

Угловые ускорения будут равны:

ε2= аτВА’*Ка/L2=89*0.28/0.1973=126.3 (c-2)

ε3= аτBO2’*Ка/L3=62*0.28 /0.2293=75.7 (c-2)

Массы шатуна, коромысла и штосселя с долбяком будут равны соответственно:

m2=G2/g=30/10=3 (кг)

m3=G3/g=40/10=4 (кг)

m4=G4/g=60/10=6 (кг)

Силы и моменты инерции аналитически будут равны:

Fu4=m4* ad=6*8.96 =53.76 (H)2=m2* aS2=3*19.77 =59.31 (H)3=m2* aS3=4*4.48 =17.92 (H)2=I22=0.08*126.3=10.1 (H*м)3=I33=0.08*75.7=6 (H*м)

Вычисляем графически главный вектор сил инерции:


Для построения находим масштаб:

КФ= = 0.7H[мм]-1

Определяем длины Fu2, Fu3 на графике:

Fu3= Fu3/ КFu=17.92 /0.7=26 (мм)

Fu4’= Fu4/ КFu=53.76 /0.7=77 (мм)

Из графика следует, что:

Фu= Фu’* КFu=52*0.7 =36.4 (H)

Отдельно изобразим структурную группу 2-3 в масштабе 1:1.

При кинетостатическом анализе силы веса и силы трения вследствие относительной малости не учитываются .

В шарнирах А и О2 введем в рассмотрение ортогональные реакции RnA, RτA и RnBO2, RτBO2.

Суммарная сила действующая на точку F:

Fсум=Fсумcosα=2500*cos20o=2660 (H)

В соответствии с принципом Даламбера д ля звеньев 2 и 3 составим уравнения моментов относительно шарнира В :

Звено 2: ΣМВ=- RτA*AB+ Fu2*h Fu2 - Tu2=0;

RτA*AB+ Fu2*h Fu2 - Tu2=0τA= = 42(H)

Звено 3: ΣМВ=0;сумhFсум+ Fu3*h Fu3- RτO2*BO2- Tu3=2660* 22.5+17.92*172- RτO2*229-6=0τO2= =3868 (H)

Для нахождения реакций RnA, RnBO2 построим план сил согласно уравнения:

ΣFi=0  RnA+ RτA+Fu2+ Fu3+ Fсум+ RτO2+ RnO2=0

Примечание: усилия Fu2 и Fu3 в построении не учитываются в связи с их относительной малостью.

Масштаб плана сил будет принимаем равным KF=20 Н[мм]-1:

Fсум’= Fсум/KF=2660/20= 133 (мм)

RτO2’= RτO2/KF=1971/20= 193 (мм)

RτA’= RτA /KF=42/20=2 (мм)

Из плана сил для заданного положения определяем:

RnA= RnA’* KF=62.7*20=1254 (H)nO2= RnO2’* KF=34*20=680(H)A= RA’* KF=63*20=1260 (H)O2= RO2’* KF=196*20=3920 (H)

На основе плана сил определяем приведенный момент на кривошипе:

Тпр= RA21*hRA =1260*0.04=504 (H*м)

4. Динамический анализ механизма привода. Расчет маховика

4.1    Расчет приведенного момента

Динамика - раздел механики, в которой изучается механическое движение различных моделей тел с учетом причин (сил), вызывающих механическое движение.

В положениях 1-5 осуществляется процесс резания. В этих положениях определяем приведенный момент Тпр на кривошипе О1А по формуле:


Где VE (м/с) - скорость долбяка

Тогда Тпр (Н*м) и Тпр’ (см) на графике в 1-5 положениях будет:

№ положения

VE,м/c

Тпр,Н*м

Тпр,мм

1

0.23

26.3

88

2

0.45

51.1

170

3

0.64

72.7

242

4

0.68

77.8

259

5

0.44

50

167


Масштаб Тпр будет:

КТпрпр.max/200=0.3 Н*м[мм]-1

Работа выполненная станком за 1 оборот кривошипа будет графически представлена заштрихованной областью S1:

S1=17229 (мм2)

Рассмотрим режим установившегося движения, который характерен условием:

ωпр ср=const

При установившимся движении работа сил полезных сопротивлений равна работе сил движущих:

Апс=Адв

Будем считать, что момент движущих сил постоянен в пределах кинематического цикла:

Тдв=const

Равенству работ (1) соответствует равенство площадей S1=S2

=S1/

где длина оси (в см.), равная длине оси φ поворота звена приведения (кривошипа)

= 17229/240= 72 (мм) .

=21.6 Н*м

Масштаб φпр равен:

Кφ =2π/240=π/120 рад[мм]-1

Интегрируя график зависимости Тпр=f(φпр) методом хорд, получаем график избыточной работы - ΔА=f(φпр).Масштаб ΔА равен:

КΔА=Р* КТпр* Кφ=0.628 Н*м[мм]-1

4.2 Расчет приведенного момента инерции синтезированного механизма

В основe положена формула приведения масс [3 стр.82 ]

Iпр=.

Предварительно выполним разнос масс шатуна, т.е.: где:


Значения моментов инерции сведены в таблицу:

№ положения

Iпр(Н*м*с2)

0

0,06000

1

0,06146

2

0,06540

3

0,07182

4

0,07578

5

0,06801

6

0,06000

7

0,06423

8

0,07168

9

0,07260

10

0,06629

11

0,06085

12

0,06000


Вычисляем масштаб для графика Iпр=f(φпр):

КIпр=( Iпрmax- Iпрmin)/200=7.89*10-5 Н*м*с2 [мм]-1

 

Тогда Iпр на графике будет равен (в см):

№ положенияIпр(мм)


0

0,00

1

18,44

2

68,42

3

149,79

4

199,94

5

101,53

6

0,00

7

53,57

148,03

9

159,70

10

79,71

11

10,76

12

0,00


На основе графика Iпр=f(φпр) и ΔА=f(φпр), исключая параметр φпр, получаем зависимость ΔА=f(Iпр), называемая диаграммой энергомасс (петля Виттенбаура).

На основе полученных данных получаем коэффициент неравномерности хода

δреал=ΔАmax/( Iпр.ср21)= 89.8/(0.072*21.8)= 0.057

где Amax=Amax(грифически)*KA=143*0.628=89.8

Определяем величину момента инерции необходимую для обеспечения заданного значения коэффициента неравномерности хода.

зад]=1/60


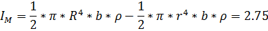
Необходимая масса моховика вычисляется по формуле

IM=-=3.42 - 0.67=2.75

4.3 Расчет маховика

Маховик ставим на вал Г-К2

Маховик рассчитывается как вращающиеся металлическое кольцо.

Момент инерции маховика будет:


где π*в*R2*ρ=m - масса маховика

принимаем ширину маховика b=60 мм, ρ=7800 кг/м3


R=250(мм) r=100(мм)

5. Проектирование кулачкового механизма распределительного вала

5.1 Аналитическая зависимость, закон движения толкателя

Кулачки устанавливают на отдельном валу называемый распредвалом, и обеспечивает полуавтоматическую работу станка.

Кулачковые механизмы предназначены для преобразования вращающегося движения кулачка в поступательное, либо качательное движение толкателя. Основным преимуществом является возможность получения большого количества разнообразных функций положения толкателя. Обычно закон движения толкателя является исходной информацией для проектирования рабочего профиля кулачка.

 - угол давления должен быть меньше допускаемого значения. В случае превышения  в кулачковом механизме произойдёт заклинивание толкателя.

Задана кинематическая диаграмма движения в виде закона изменения его ускорения

φрабудвопр=100+50+90=240

Масштаб фазовых углов принимаем Кφ=10 [мм]-1

Высоту А1 выбираем произвольно:

А1=80 (мм)

Амплитудное значение А2 определяется из условия:

SA1=SA2

SA11K1=80*50=4000 (мм)

SA2= SA1

Т.к φ1= φ2 А1= А2

Так же нам известно, что:

SВ1=SВ2

Расписываем данное выражение:

0.5*B1уд=0.5*B2пр

31* (мм)


Высоту В1 выбираем произвольно:

В1=80 (мм)

Амплитудное значение В2 определяется из условия:

SВ1=SВ2

В1уд= В2пр

В2= В1уд/ φпр=80*100/90=88 (мм)

Находим значение h1 из соотношения:


h1=H/2=50(мм)

h2 будет равно:


h1=H/2=50 (мм)

На участке 3-4 ускорение, скорость и путь толкателя будут изменяться по следующим законам:

Vφ=


При φ’=0, ; C2=0.

При φ’=φ3:

аφ=0

Vφ=

h1= (мм)

Из последнего выражения находим А3:

А1=50/φ32=50 /(50*π/180)2=65.79 (мм)

Находим масштаб для графика зависимости аφ=f(φ):

Ka=A1/A’1=65/80=0.8125мм[мм]

Подставляя истинное значение А1 в формулу для Vφ, получаем:

Vφ=2*65.79 *(50*π/180)/π=36.55 (мм)

Находим масштаб для графика зависимости Vφ =f(φ):

Kv=B1/B’1=36.55/80=0.457 мм[мм]

Масштаб для графика зависимости hT =f(φ) принимаем 1:1

Начальную окружность рассчитываем графически, она равна 50,3 мм. Профиль кулачка строим в соответствии с зависимостью hT =f(φ).

5.2 Расчет координат теоретического профиля кулачка

Координаты кулачка вычисляются по формулам:

хк0*cosφ’+y0*sinφ’

хк=-x0*sinφ’+y0*cosφ’

проводим преобразования:

при хТ=0

хТ=r0+hT(φ)

хк=[r0+ hT(φ)]*sinφi

yк=[r0+ hT(φ)]*cosφi

для участка 0-1:

для φ=50

2

хк=[0. 0503+0.01782]*sin(30)=0,03406(м)

yк=[0. 0503+0.01782]*cos(30)= 0.058994 (м)

Координаты Xк и Ук теоретического профиля кулачка на участке 0-1 (через каждые 50):

φ, градусы

φ, радианы

Xк, мм

Ук, мм

5

0,087266

0,004427

0,050602

10

0,174533

0,009078

0,051486

15

0,261799

0,014172

0,052889

20

0,349066

0,019912

0,054709

25

0,436332

0,026488

0,056803

30

0,523599

0,03406

0,058994

35

0,610865

0,042763

0,061072

40

0,698132

0,052696

0,0628

45

0,785398

0,063919

0,063919

50

0,872665

0,076451

0,05415


Координаты Xк и Ук теоретического профиля кулачка на участке 1-2 (через каждые 50):


φ, градусы

φ, радианы

Xк, мм

Ук, мм

55

0,959931

0,07863

0,048755

60

1,047198

0,077258

0,044605

65

1,134464

0,084216

0,039271

70

1,22173

0,090342

0,032882

75

1,308997

0,095494

0,025588

80

1,396263

0,099554

0,017554

85

1,48353

0,102431

0,008962

90

1,570796

0,10406

6,37E-18

95

1,658063

0,104404

-0,00913

100

1,745329

0,103454

-0,01824


Координаты Xк и Ук теоретического профиля кулачка на участке 3-4 (через каждые 50):


φ, градусы

φ, радианы

Xк, мм

Ук, мм

155

2,70526

0,046272

-0,09923

160

2,792527

0,036896

-0,10137

165

2,879793

0,027366

-0,10213

170

2,96706

0,018161

-0,103

175

3,054326

0,008858

-0,10125

180

3,141593

1,24E-17

-0,10107

185

3,228859

-0,00877

-0,10028

190

3,316126

-0,0173

-0,09813


Координаты Xк и Ук теоретического профиля кулачка на участке 4-5 (через каждые 50):


φ, градусы

φ, радианы

Xк, мм

Ук, мм

195

3,403392

-0,02607

-0,09729

200

3,490659

-0,04125

-0,10332

205

3,577925

-0,04813

-0,09681

210

3,665191

-0,05118

-0,08864

215

3,752458

-0,05902

-0,08429

220

3,839724

-0,06649

-0,07924

225

3,926991

-0,07353

-0,07353

230

4,014257

-0,08007

-0,06719

235

4,101524

-0,07917

-0,06017

240

4,18879

-0,07891

-0,05553



6. Проектирование зубчатых передач скоростной кинематической цепи станка

6.1 Расчет параметров эвольвентных зубчатых колёс

Определение угла зацепления :

invαw= (invαд+2*(x1+x2))*tgαд/(z1+z2)=0.0149+2*0.38*0.364/34=0.023

отсюда:

αw=230

Межосевое расстояние:

аwном=0.5*m*(z1+z2)=0.5*8*34=136 (мм)

аw= аwном*cos(αд)/cos(αw)= 138.8 (мм)

Расчет коэффициента воспринимаемого смещения:

у=( аw- аwном)/m=0.35

проверка:

x1+x2>у ⇛ 0.38>0.35

Расчет основного диаметра

в1=m*z1*cos(αд)= 105 (мм)

Dв2=m*z2*cos(αд)= 150 (мм)

Расчет начального диаметра:

Dw1=

Dw2=

Расчет делительных диаметров:

Dd1=m*z1=112 (мм)

Dd2=m*z2= 160 (мм)

Расчет окружности впадин зубьев:

Df1= Dd1 - 2.5*m + 2* x1*m= 94.88(мм)

Df2= Dd2 - 2.5*m + 2* x2*m= 143.2 (мм)

Расчет окружности вершин зубьев:

Ra1= аw -  - 0.25*m=65 (мм)

Ra2= аw -  - 0.25*m=89 (мм)

Расчет толщины зубьев на делительной окружности:

Sd1= + 2* x1*m*tan(αд)= 13.6 (мм)d2= + 2* x2*m*tan(αд)= 12.7 (мм)

Расчет толщины зубьев на основной окружности :

Sв1= Dв1*( + invαд) =14.3 (мм)

Sв2= Dв2*( + invαд) =14.1 (мм)

Расчет толщины зубьев на начальной окружности:

Sw1= Dw1*( + invαд - invαw) =12.9 (мм)

Sw2= Dw2*( + invαд - invαw) =11.5 (мм)

Расчет толщины зубьев по вершинам:

Сначала найдем угол зацепления на вершинах зубьев:

αд1=аrссos(Dв1/(2*Ra1))= 36.130

αд2=аrссos(Dв2/(2*Ra2))= 32.570

inv αд1=0.1

inv αд2=0.0698

Sa1=2* Ra1*( + invαд - inv αд1) =4.7 (мм)a2=2* Ra2*( + invαд - inv αд1) =4.36 (мм)

Расчет торцевого коэффициента перекрытия:

Коэффициент перекрытия учитывает непрерывность и плавность зацепления зубьев шестерни и колеса. Для обеспечения непрерывности зацепления каждая последующая пара зубьев должна войти в зацепления еще до того, как предыдущая пара выйдет из зацепления.

εα=



6.2 Расчет станочного конического дифференциала станка

Станочный дифференциал предназначен для суммирования движения в цепи обкатки и деление зубообрабатывающих станков.

Степень подвижности механизмов W=2

Передаточное число дифференциала определяется по формуле Виллиса


Угловая скорость на суммирующем звене дифференциала определяется по формуле

ωH= ω1* u(3)Н1+ ω3* u(1)H3 ,

где:

u(1)H3= ωH/ ω3=1.5

u(3)H1= ωH/ ω1=0.8

Подставляем численные значения:

ωH =40*0,5+(-10)*1.5=17 (с-1)

6.3 Расчёт планетарного редуктора скоростной цепи

Планетарный редуктор устанавливается в скоростной цепи , уравнение баланса которой имеет вид (см. кинематическую схему станка на четвертом листе проекта):

p=208*20*40/(1500*10*80)= 0.139

Передаточное число редуктора будет определяться по формуле

u=1+z3/z1

Число z3 должно быть выбрано так, чтобы отсутствовали подрезание и интерференция зубьев. Принимаем z3=40, z1=20:

u=1+40/20=3

Принимаем модуль m=5, тогда:

d3=m* z3=5*40=200 (мм)

d1=m* z1=5*20=100 (мм)

Так как:

d3= d1+2*d2

d2= (d3- d1)/2 = (200-100)/2=50 (мм)

При проектировании планетарного редуктора соблюдаются условия:.         Условие сборки соблюдение которого обеспечивает равномерное угловое расположение сотелитов по окружности.

(z3+ z1)/с = (40+20)/3=20

где

с- число сателлитов..   Обеспечение заданного передаточного числа

Условие соосности всех вращающихся элементов


D.      Условие соседства.



Таким образом, работоспособность данного редуктора обеспечена.

Похожие работы на - Проектирование, кинематическое и динамическое исследование механизмов зубодолбежного полуавтомата

 

Не нашли материал для своей работы?
Поможем написать уникальную работу
Без плагиата!
Без нейросетей!