Оценка эффективности финансового менеджмента компании

  • Вид работы:
    Контрольная работа
  • Предмет:
    Финансы, деньги, кредит
  • Язык:
    Русский
    ,
    Формат файла:
    MS Word
    545,22 Кб
  • Опубликовано:
    2012-04-15
Вы можете узнать стоимость помощи в написании студенческой работы.
Помощь в написании работы, которую точно примут!

Оценка эффективности финансового менеджмента компании

Министерство образования и науки Российской Федерации

Федеральное агентство по образованию

         ГОсударственное образовательное Учреждение

         Высшего Профессионального Образования ВСЕРОССИЙСКИЙ ЗАОЧНЫЙ ФИНАНСОВО-ЭКОНОМИЧЕСКИЙ ИНСТИТУТ

Кафедра «финансы и кредит»







Контрольная работа

по дисциплине «Инвестиции»

Вариант № 5


Выполнил:

Преподаватель:

и.о. зав. кафедрой, к. э. н., доцент.

Белолипцев Игорь Анатольевич



Уфа 2012

СОДЕРЖАНИЕ

Введение

Глава 1. Оценка эффективности финансового менеджмента компании

1.1 Оценка рентабельности и прибыльности

1.2 Оценка деловой активности

.3 Оценка рыночной финансовой устойчивости

Глава 2. Стоимостные методы оценки эффективности финансового менеджмента компании

.1 Метод «добавленной экономической ценности» EVA

.2 Метод «добавленной стоимости для акционеров» SVA

.3 Метод опционного ценообразования ОРМ

Заключение

Практическая часть (вариант 2)

Список используемой литературы

ВВЕДЕНИЕ

рентабельность прибыльность капитал ликвидность

Внедрение и применение на практике теоретических положений и методов финансового менеджмента в настоящее время является важнейшим условием укрепления финансового состояния предприятия, а поэтому владение достаточно эффективными приемами и методами финансового менеджмента может стать залогом успешной работы и современного руководителя и особенно финансового директора.

Успешное ведение бизнеса и перспективы его развития во многом определяются эффективностью принимаемых менеджером решений. Результаты этих решений оказывают непосредственное влияние на общее состояние и стоимость фирмы. В агрегированной форме они периодически отражаются посредством показателей финансовой отчетности и оцениваются с помощью специальных методов ее анализа.

Цель работы - описать стоимостные методы оценки эффективности финансового менеджмента компании

Для достижения поставленной цели потребовалось решить следующие задачи:

изучить оценку рентабельности и прибыльности компании;

раскрыть оценку деловой активности компании;

рассмотреть оценку финансовой рыночной устойчивости компании;

раскрыть методы оценки с помощью моделей EVA, SVA, OPM, BSC

Объектом исследования в данной работе является финансовая деятельность организации как составная часть финансового менеджмента в целом.

Предметом исследования является эффективность финансового менеджмента организации как результат и конечная цель финансово-хозяйственной деятельности.

Глава 1. Оценка эффективности финансового менеджмента компании

1.1     Оценка рентабельности и прибыльности

Показатели рентабельности характеризуют финансовые результаты и эффективность деятельности предприятия. Они являются важными характеристиками факторной среды формирования прибыли предприятий. Поэтому они обязательны при проведении сравнительного анализа и оценке финансового состояния предприятия.

Основные показатели рентабельности можно объединить в следующие группы:

) показатели рентабельности капитала (активов);

) показатели рентабельности продукции.

Показатели прибыльности (рентабельности) позволяют дать оценку эффективности использования менеджментом предприятия его активов. Эффективность работы менеджмента определяется соотношением чистой прибыли, определяемой различными способами, с суммой активов, использованных для получения этой прибыли.

Данная группа показателей формируется в зависимости от фокуса исследования эффективности. Эксперта могут интересовать эффективности использования оборотных средств, основных активов, собственного капитала и т.д. Исходя их целей анализа, формируются компоненты показателя: величина прибыли (чистая, операционная, прибыль до выплаты налога) и величина актива или капитала, которые порождают эту прибыль.

. Рентабельность оборотного капитала иллюстрирует способность компании получать прибыль от осуществления основной деятельности, т.е. своих обычных хозяйственных операций. Прибыль от основной деятельности исключает элементы прибыли от продажи активов или владения корпоративными правами других предприятий. Поскольку оборотные средства предприятия - это та часть активов, которые непосредственно и практически ежедневно используются в процессе деятельности предприятия, при оценке эффективности их использования целесообразно сопоставить операционную прибыль со средним значением оборотных средств за период.

Расчет данного показателя производится по формуле:

RОК = 2ПО / (     ОC0 + ОС1) , где

ПО - операционная прибыль

ОC0 и ОС1 - оборотный капитал предприятия на начало и конец отчетного периода.

Снижение рентабельности оборотных средств может произойти по причине уменьшения прибыльности продаж или ухудшения оборачиваемости оборотных средств.

. Рентабельность собственного капитала характеризует эффективность использования только собственных источников финансирования предприятия. При расчете этого показателя используется чистая прибыль предприятия в сочетании с величиной собственного капитала предприятия. Расчет производится по формуле:

2ПЧ

RСК =                        , где

               CK0 + СK1

ПЧ - чистая прибыльи СK1 - собственный капитал предприятия на начало и конец отчетного периода.

Рентабельность собственного капитала показывает какую прибыль получает предприятие с каждого рубля собственных средств.

Данный показатель позволяет оценить эффективность управления авансированным на этапе организации предприятия капиталом.

Рост показателя свидетельствует о том, что финансовые менеджеры умело используют привлеченные финансовые ресурсы. Снижение рентабельности собственного капитала говорит о снижении прибыльности продаж.

. Рентабельность активов оценивается путем сопоставления чистой прибыли с общей суммой активов по балансу. Этот показатель является одним из наиболее важных для характеристики рентабельности предприятия. Данный показатель наиболее целесообразно рассчитывать по следующей формуле:

           2ПЧ + ПП(1-n)

RА=                                , где

              А0 + А1

ПЧ - чистая прибыль,

ПП - процентные платежи,

n - налоговая ставка,

А0 и А1 - активы всего на начало года + активы всего на конец года.

При формировании активов используются два финансовых источника - заемный и источник собственных средств. Процентные платежи за пользование заемными средствами включаются в число валовых издержек, в то время как доход прямых инвесторов выплачивается из прибыли в виде дивидендов либо остается на предприятии, будучи реинвестированный в дополнительные активы.Суть показателя рентабельности состоит в характеристике того, насколько эффективно был использован каждый привлеченный доллар. По этой причине мы должны исключить из рассмотрения доходы, которые являются вознаграждением владельцам капитала, как собственного, так и заемного. Но вознаграждение владельцам заемного капитала уже было учтено при расчете чистой прибыли. Поэтому мы должны исключить из чистой прибыли величину процентных платежей, выплаченных до налога на прибыль. Этим и объясняется появление дополнительного члена в числителе формулы для определения рентабельности активов.

Рентабельность активов связана с прибыльностью продаж и оборачиваемостью активов. Уменьшение рентабельности активов компании является следствием снижения прибыльности продаж.

. Рентабельности основной деятельности позволяет сравнить эффективность затрат на основной вид деятельности и на другие ее виды:

RОД = ПРП / ЗПРП, где

ПРП - прибыль от реализации продукции,

ЗПРП - затраты на производство и реализацию продукции.

Рентабельности основной деятельности показывает удельный вес прибыли от реализации в каждом рубле себестоимости реализованной продукции, служит характеристикой эффективности управления и правильности выбранной стратегии.

. Показатель рентабельности продукции рассчитывается по формуле:

RП = Прп / Врп ,где

Прп - прибыль от реализации продукции,

Врп- выручка, полученная в результате реализации продукции.

Показатель рентабельности продукции показывает, какую прибыль имеет предприятие с каждого рубля выручки от реализации продукции и характеризует эффективность основной деятельности.

Положительное значение показателя рентабельности продукции свидетельствует об эффективности основной деятельности и о необходимости сохранения производства данной продукции. [1, c. 485 - 487]

1.2     Оценка деловой активности

Оценка деловой активности направлена на анализ результатов и эффективности текущей основной производственной деятельности. Оценка деловой активности на качественном уровне может быть получена в результате сравнения деятельности данного предприятия и родственных по сфере приложения капитала предприятий. Такими качественными критериями являются:

широта рынков сбыта продукции;

наличие продукции, поставляемой на экспорт;

репутация предприятия, выражающаяся, в частности, в известности клиентов, пользующихся услугами предприятия, и др.

Количественная оценка делается по двум направлениям:

степень выполнения плана (установленного вышестоящей организацией или самостоятельно) по основным показателям, обеспечение заданных темпов их роста;

уровень эффективности использования ресурсов предприятия.

Показатели деловой активности носят название коэффициентов управления активами. Здесь можно выделить две подгруппы: темпы роста основных показателей деятельности компании и коэффициенты оборачиваемости.

Методы расчета и интерпретации первой подгруппы коэффициентов, как правило, очевидны: чем выше темпы роста выручки от продаж, прибыли, реализации продукции в натурально-вещественном измерении, тем выше деловая активность фирмы. Однако слишком агрессивная политика расширения деятельности может привести к нехватке денежных средств, срыву поставок и в конечном счете к банкротству.

Деловая активность предприятия в финансовом аспекте проявляется прежде всего в скорости оборота его средств.

Анализ деловой активности заключается в исследовании уровней и динамики разнообразных финансовых коэффициентов оборачиваемости, которые являются относительными показателями эффективности финансового менеджмента компании.

.        К обобщающим показателям оценки эффективности использования ресурсов предприятия и динамичности его развития относится коэффициент устойчивости экономического роста:

Пч - Д

Кукр =                            * 100% ,где

СК

Пч - чистая прибыль,

Д - дивиденды, выплачиваемые акционерам,

СК - собственный капитал.

Собственный капитал акционерной компании может увеличиваться либо за счет дополнительного выпуска акций, либо за счет реинвестирования полученной прибыли. Таким образом, коэффициент показывает, какими темпами в среднем увеличивается собственный капитал за счет финансово-хозяйственной деятельности, а не за счет привлечения дополнительного акционерного капитала.

Следовательно, показатель дает возможность оценить, какими в среднем темпами может развиваться предприятие в дальнейшем, не меняя уже сложившееся соотношение между различными источниками финансирования, фондоотдачей, рентабельностью производства, дивидендной политикой и т. п.

.        Коэффициент оборачиваемости активов вычисляется как отношение выручки от реализации к средней за период стоимости активов. Этот показатель характеризует эффективность использования предприятием всех имеющихся ресурсов, независимо от источников их образования, т.е. показывает, сколько раз за анализируемый период совершается полный цикл производства и обращения.

Врп

ОА =                                      ,где

                      (Анп + Акп)/2

Врп - выручка от реализации за расчетный период,

Анп, Акп - величина активов на начало и конец периода.

Рост данного показателя в течении нескольких периодов свидетельствует о более эффективном управлении активами предприятия.

.        Коэффициент оборачиваемости собственных средств рассчитывается как отношение выручки от реализации к средней за период величине собственного капитала:

    Врп

Оск =                                    где   

          (СКнп + СКкп)/2

СКнп и СКкп - величина собственных средств на начало и конец периода.

С финансовой точки зрения коэффициент оборачиваемости собственных средств определяет скорость оборота собственного капитала.

Слишком высокие значения данного показателя свидетельствуют о значительном превышении уровня продаж над вложенным капиталом, что, как правило, означает увеличение кредитных ресурсов. В этом случае отношение обязательств к собственному капиталу растет, что негативным образом отражается на финансовой устойчивости и финансовой независимости предприятия. Низкий уровень коэффициента означает бездействие собственных средств. В данном случае необходимо находить новые источники дохода, в которые можно вложить собственные средства.

.        Коэффициент оборачиваемости текущих активов рассчитывается как отношение выручки от реализации к средней за период величине текущих активов.

                 Врп

Ота =                            ,где

            (ТАнп + ТАкп)/2

ТАнп, ТАкп - величина текущих активов на начало и конец периода.

Отрицательная динамика данного коэффициента свидетельствует об ухудшении финансового положения предприятия. В этом случае для поддержания нормальной производственной деятельности предприятие вынуждено привлекать дополнительные средства.

.        Коэффициент оборачиваемости запасов. Данный коэффициент рассчитывается как отношение себестоимости продукции к средней за период величине запасов, незавершенного производства и готовой продукции на складе.

                 С

Оз = ,                            где

           (Знп + Зкп)/2

С - себестоимость продукции, произведенной в расчетном периоде;

Знп и Зкп - величина остатков запасов, незавершенного производства и готовой продукции на складе на начало и конец периода.

Более нагляден и удобен для анализа обратный показатель - время обращения в днях. Он рассчитывается по формуле:

               Тпер

Поз =                  ,где

                 Оз

Тпер - продолжительность периода в днях.

Рассчитанные периоды оборота конкретных составляющих текущих активов и текущих пассивов имеют реальную экономическую интерпретацию.

Например, период оборота запасов, равный тридцати дням, означает, что при сложившемся в данном периоде анализа объеме производства на предприятии создано запасов на 30 дней.

Оценка оборачиваемости является важнейшим элементом оценки эффективности, с которой предприятие распоряжается материально-производственными запасами. Ускорение оборачиваемости сопровождается дополнительным вовлечением средств в оборот, а замедление - отвлечением средств из хозяйственного оборота, их относительно более длительным омертвлением в запасах. Кроме того, очевидно, что предприятие несет дополнительные затраты по хранению запасов, связанные не только со складскими расходами, но и с риском порчи и устаревания товара.

.        Аналогично Коэффициенту оборачиваемости запасов рассчитываются Коэффициент оборачиваемости дебиторской задолженности (Одз) и Коэффициент оборачиваемости кредиторской задолженности (Окз). Также рассчитываются периоды оборота дебиторской и кредиторской задолженностей.

Управление дебиторской задолженностью предполагает, прежде всего, контроль за оборачиваемостью средств в расчетах. Ускорение оборачиваемости в динамике за ряд периодов рассматривается как положительная тенденция. Большое значение для сокращения сроков платежей имеют отбор потенциальных покупателей и определение условий оплаты товаров, предусматриваемых в контрактах. Отбор осуществляется с помощью неформальных критериев: соблюдение платежной дисциплины в прошлом, прогнозные финансовые возможности покупателя по оплате запрашиваемого им объема товаров, уровень текущей платежеспособности, уровень финансовой устойчивости, экономические и финансовые условия предприятия-продавца (затоваренность, степень нуждаемости в денежной наличности и т. п.)

Период оборота кредиторской задолженности характеризует среднюю продолжительность отсрочки платежей, предоставляемой предприятию поставщиками. Чем он больше, тем активнее предприятие финансирует текущую производственную деятельность за счет непосредственных участников производственного процесса (за счет использования отсрочки оплаты по счетам, нормативной отсрочки по уплате налогов и т д.).

.        Фондоотдача основных средств - характеризует степень эффективности использования основных производственных средств.

                 Врп

К =                               ,где

          (ОСнг + ОСкг)/2

Врп - выручка от реализации,

ОСнг и ОСкг - основные средства на начало и на конец года.

Рост данного показателя свидетельствует о повышении эффективности использования основных средств.

.        Производственный цикл (Цпр) - начинается с момента поступления материалов на склад предприятия, заканчивается в момент отгрузки покупателю продукции, которая была изготовлена из данных материалов.

Цпр = Позап + Понп + Погп , где

Позап - период оборота запасов сырья (в днях),

Понп -период оборота незавершенного производства (в днях),

Погп - период оборота готовой продукции (в днях),

Финансовый цикл (Цф) - начинается с момента оплаты поставщикам данных материалов (погашение кредиторской задолженности), заканчивается в момент получения денег от покупателей за отгруженную продукцию (погашение дебиторской задолженности).

Цф = Цпр + Подз - Покз ± Поа , где

Подз - период оборота дебиторской задолженности (в днях),

Покз - период оборота кредиторской задолженности (в днях),

Поа -период оборота авансов (в днях).

Операционный цикл (Цо) - начинается с момента поступления материалов на склад предприятия, заканчивается в момент получения оплаты от покупателей за реализованную продукцию.

Цо = Цпр + Подз , где

Цпр - производственный цикл,

Подз - период оборота дебиторской задолженности (в днях),

Поскольку продолжительность операционного цикла больше длительности финансового цикла на период оборота кредиторской задолженности, то сокращение финансового цикла обычно влечет уменьшение операционного цикла, что оценивается как положительная тенденция.

Длительность производственного цикла вычисляется как сумма периодов оборота всех нормируемых составляющих оборотных средств. Длительность операционного цикла рассчитывается как сумма длительности производственного цикла и периода оборота дебиторской задолженности. Продолжительность финансового цикла меньше длительности операционного цикла на величину периода оборота кредиторской задолженности или больше на период оборота выданных авансов.

В более общем случае предприятие с самого начала операционного цикла вкладывает в производство собственные оборотные средства: период оборота кредиторской задолженности есть длительность обращения суммы средств, равной разности стоимости сырья и материалов, получаемых предприятием в кредит, и суммы выданных им авансов.

.3       Оценка рыночной финансовой устойчивости

Оценка рыночной финансовой устойчивости позволяет внешним субъектам анализа (прежде всего партнерам по договорным отношениям) определить финансовые возможности организации на длительные перспективы, которые от структуры ее капитала; степени взаимодействия с кредиторами и инвесторами; условий, на которых привлечены и обслуживаются внешние источники финансирования. Так, многие руководители предприятий, включая представителей государственного сектора экономики, предпочитают вкладывать в дело минимум собственных средств, а финансировать его за счет денег, взятых в долг. Однако если структура «собственный капитал - заемный капитал» имеет значительный перекос в сторону долгов, то коммерческая организация может обанкротиться, если сразу несколько кредиторов неожиданно потребуют возвратить свои деньги в «неустановленное» время.

Для анализа рыночной финансовой устойчивости разработана система соответствующих коэффициентов.

1. Коэффициент обеспеченности запасов источниками собственных оборотных средств (Ко) показывает, в какой степени материальные запасы имеют источником покрытия собственные оборотные средства:

Ко = СОС / МЗ,  руб.   , где

СОС - собственные оборотные средства

МЗ - материальные запасы

В тех случаях, когда Ко>1, можно говорить, что организация не зависит от заемных источников средств при формировании своих оборотных активов. Когда Ко<1, особенно если значительно ниже, необходимо оценить, как, в какой мере собственные оборотные средства покрывают хотя бы производственные запасы и товары, как они обеспечивают бесперебойность деятельности организации. Нормальное ограничение, полученное на основе статистической обработки данных различных организаций, составляет Ко ≥ 0,6 - 0,8.

При недостаточности запасов для бесперебойного осуществления нормального производственного процесса показатель может быть больше 1

(Ко > 1), но это не будет признаком хорошего финансового состояния. В таком случае необходимо проследить динамику составляющих коэффициента, которая позволит определить, за счет чего растет коэффициент - за счет изменения состояния источников покрытия или самих запасов.

. Коэффициент соотношения заемных и собственных средств (КЗ/С).

КЗ/С = ЗК / СК , где

ЗК - заемный капитал,

СК - собственный капитал.

Показывает сколько заемных средств приходится на каждый рубль собственных средств, вложенных в активы компании. Рост показателя в динамике свидетельствует об усилении зависимости организации от внешних инвесторов и кредиторов, т.е. о некотором снижении финансовой устойчивости, и наоборот.

. Коэффициент автономии (финансовой независимости) (КА) компании определяется отношением собственного капитала к валюте баланса:

КА = СК / ВБ , где

СК - собственный капитал,

ВБ - валюта баланса.

При снижении коэффициент автономии одновременно с ростом соотношения заемных и собственных средств означает снижение финансовой независимости организации и повышении риска финансовых затруднений в будущие периоды.

. Коэффициент маневренности (КМ) определяется отношением собственных оборотных средств к собственному капиталу:

КМ = СОС /СК, где

СОС - собственные оборотные средства,

СК - собственный капитал.

Снижении коэффициента маневренности говорит о снижении мобильности собственных средств организации и снижении свободы в маневрировании этими средствами.

5. Индекс постоянного актива (КП) - коэффициент, отражающий отношение основных средств и внеоборотных активов к собственным источникам, или доля основных средств и внеоборотных активов в источниках собственных средств.

КП = А / СК ,где

А - активы,

СК - собственный капитал.

Если предприятие не пользуется долгосрочными кредитами и займами, то сложение коэффициента маневренности собственных средств и индекса постоянного актива всегда даст единицу:

КМ + КП = 1

. Коэффициент реальной стоимости имущества (КР) является очень важным показателем рыночной финансовой устойчивости. Он определяет, какую долю в стоимости имущества составляют средства производства. Коэффициент рассчитывается делением суммарной величины основных средств, производственных запасов и незавершенного производства на стоимость активов предприятия и отражает долю имущества, обеспечивающего основную деятельность предприятия в составе активов организации:

КР = (ОС + ПЗ + НП) / ВБ , где

ОС - основных средств,

ПЗ - сырье, материалы и другие аналогичные ценности,

НП - затраты в незавершенном производстве,

ВБ - валюта баланса.

Наиболее интересен этот коэффициент для организаций, производящих товары. Он определяет, какую долю в стоимости имущества составляют средства производства - необходимые условия для осуществления основной деятельности, то есть производственный потенциал организации.[5, с. 195-197]

Глава 2. Стоимостные методы оценки эффективности финансового менеджмента компании

.1 Метод «добавленной экономической ценности» EVA

Авторство модели «добавленной экономической ценности» (Economic Value Added - EVA) обычно приписывают американскому предпринимателю Дж. Беннету Стюарту. Впервые мировому бизнесу она была представлена в 1990 г. как результат деятельности консалтинговой компании Stern Stewart & Co, основанной Дж. Беннетом Стюартом в 1980-х гг. И владеющей зарегистрированной маркой EVA.

Модель «Добавленной экономической ценности» одновременно является инструментом:

оценки бизнеса (оценки рыночной стоимости закрытой компании) и

управления стоимостью любой компании

Она и содержит в себе подход к оценке компании, и отчетливо выделяет некоторые важнейшие так называемые Value Drivers, то есть показатели :

которые в наибольшей мере влияют на рыночную капитализацию компании или на ее потенциал и

которыми можно в бизнес-планировании варьировать с целью повлиять на стоимость компании.

В определенной степени революционность данной модели состоит в двух моментах.

Во-первых, оценку компании рассматривают здесь как сумму :

того, чего стоит имущество компании (для оценки собственного капитала компании - за вычетом стоимости ее долго), если его продавать, и

тех чистых доходов, которые может дать (с учетом, конечно, факторов времени и рисков). Коммерческое использование данного имущества (возможно, с учетом довложений в его обновление) в будущем, если его не продавать.

На первый взгляд это - исключающие друг друга альтернативы и их ценность для инвесторов нельзя суммировать. Однако при ближайшем рассмотрении оказывается, что не все так просто.

В самом деле, если рассматривать справедливую (обоснованную) рыночную стоимость бизнеса как потенциал его рыночной цены при размещении акций оцениваемой закрытой компании на фондовом рынке, то надо признать, что:

указанная цена будет тем больше, чем станет больше спрос на акции компании;

в свою же очередь, спрос на акции любой компании всегда определяется позицией двух групп их потенциальных покупателей; одна из их групп ориентируется на стоимость имущества компании и чистых доходов от его возможной продажи, а другая - на ожидание чистых доходов от продолжения использования упомянутого имущества в действующем предприятии;

суммарный спрос на акции компании будет тем более высоким, чем одновременно больше окажется и рыночная стоимость имущества компании, и текущая стоимость (текущий эквивалент) чистых доходов (денежных потоков) от их использования на действующем предприятии;

следовательно, и потенциальная цена акций компании сложится из той ее составляющей, которая обуславливается ожиданиями чистых доходов от ценных активов компании, и из составляющей, зависящей от ожиданий чистых доходов от продолжения использования указанных активов для выпуска и продаж профильной продукции компании.

Во-вторых, дополнительной особенностью модели EVA является то, что учитываемые в этих моделях чистые доходы от продолжения использования указанных активов для выпуска и продаж продукции компании уменьшаются на некоторые суммы прибыли (на «нагрузку на используемый капитал», «Capital Charge» ), которые все равно надо было бы зарабатывать для того, чтобы оправдать стоимость вложенного (или планируемого для вложения) в имущество компании капитала (по его сегодняшней стоимости). Поэтому в этой модели одновременно вводится понятие «Экономической» прибыли (учитываются лишь ожидаемые «экономические» чистые доходы).

Таким образом, модель EVA предполагает, что следует отдельно учитывать как несовпадающие по своей финансовой природе два фактора:

)        Фактор времени (то, что с каждого позднее полученного рубля упускается минимально необходимая среднегодовая доходность , равная ставке дисконтирования) ; для учета этого фактора, собственно, и производится дисконтирование или капитализация будущих доходов по соответствующей ставке;

)        Фактор «нагрузки на используемый капитал», то есть то обстоятельство, что любой будущий доход должен в любом случае покрывать стоимость капитала, связываемого или уже связанного в некий неабсолютно ликвидных активах; для учета данного фактора будущие чистые доходы модели EVA уменьшаются на средневзвешенную стоимость используемого капитала (так часто в результате получается то,, что и называется экономической прибылью)

Главная идея модели довольно проста. Она заключается в том, что действующее предприятие как имущественный комплекс стоит столько:

сколько стоит его имущество и

сколько дальнейшее использование этого имущества способно принести существенных для его владельцев чистых доходов.

Среднегодовая экономическая прибыль (EP) в модели добавленной экономической ценности рассчитывается

EP = NOPLAT - (WACC * Величина капитала, связанного в старом или старом и новом имуществе предприятия).

Если же предположить, что среднегодовая экономическая прибыль будет пользоваться в течение неопределенного длительного времени, то текущим эквивалентом (Present Value PV(EP)) всего потока таких годовых экономических прибылей оказывается результат их простой прямой капитализации:

PV(EP) = EP / WACC,

Где WACC - средневзвешенная стоимость капитала, которая представляет собой минимально требуемую для владельцев как собственного, так и заемного капитала среднегодовую операционную прибыль (лучше - отдачу в виде так называемых свободных денежных потоков) с рубля инвестируемого в предприятие собственного и заемного капитала.

Именно эту величину тогда и понимают под «добавленной экономической ценностью» и для определения всей стоимости предприятия прибавляют к рыночной стоимости уже имеющихся у предприятия активов:

К* = ∑Акт* + PV(EP),

Где К* - искомая величина рыночной стоимости предприятия ( комплекса компании или всего инвестированного в предприятие капитала);

∑Акт* - суммарная рыночная стоимость имеющихся на предприятии активов.

Конечно, для оценки рыночной стоимости не предприятия, а компании, владеющей соответствующим имущественным комплексом (т.е. ее собственного капитала СК*), из полученной величины надо не забыть вычесть заемный капитал (ЗК) компании:

СК* = К* - ЗК [2, c. 280-286]

Наибольший прирост стоимости любой компании в первую очередь вызван ее инвестиционной активностью, которая может быть реализована за счет как собственных, так и заемных источников. Основная идея, обосновывающая целесообразность использования EVA, состоит в том, что инвесторы компании должны получить норму возврата за принятый риск. Другими словами, капитал компании должен заработать, по крайней мере , ту же самую норму возврата, как схожие инвестиционные риски на рынках капитала. Если этого не происходит, то отсутствует реальная прибыль, а акционеры не видят выгод от инвестиционной деятельности компании.

Таким образом, положительное значение EVA характеризует эффективное использование капитала; значение EVA, равное нулю, - определенного рода достижение, так как инвесторы - владельцы компании фактически получили норму возврата, компенсирующую риск, отрицательное значение EVA - неэффективное использование капитала. [4, с. 129]

2.2     Метод «добавленной стоимости для акционеров» SVA

Модель добавленной акционерной стоимости (Shareholders’ Value Added - SVA) была разработана американцем Альфредом Раппапортом в 1980-х гг. и приобрела широкую известность в результате успешной деятельности, основанной им консалтинговой фирмы «L.E.K. Consulting», владеющей зарегистрированной торговой маркой SVA.

Можно сказать, что модель SVA была предтечей модели EVA. В ней также стоимость предприятия видится как стоимость его имущества (на случай его распродажи) плюс текущий эквивалент чистых доходов от коммерческого использования этого имущества (на случай продолжения функционирования предприятия как действующего). Таким образом, в данной модели также сочетается затратный (имущественный) и доходный подходы к оценке бизнеса.

Непосредственным объектом расчета в модели SVA как и в модели EVA выступает рыночная стоимость К* всего инвестированного в предприятие капитала.

Базовая формула модели SVA:

К* + ∑Акт* + [PV(Операционных денежных потоков после инвестиций в предприятие) -PV (Инвестиций в предприятие)],

Где ∑Акт* - рыночная стоимость имущества фирмы;

PV (Операционных денежных потоков после инвестиций в предприятие) - текущая стоимость возможных и планируемых (согласно определенному варианту бизнес-плана предприятия) инвестиций в основной и оборотный капитал фирмы;

PV(Инвестиций в предприятие) - текущая стоимость указанных инвестиций

Вследствие того, что в модели SVA в отличие от модели EVA не используется понятие экономической прибыли (иначе говоря ожидаемые чистые доходы в виде среднегодового показателя NOPLAT не уменьшаются на ту их величину, которую все равно как минимум нужно было получать для покрытия стоимости используемого капитала), оценка предприятия согласно модели SVA по сравнению с его оценкой согласно модели EVA все таки по видимому несколько завышена.

Модель SVA при этом, однако, несколько менее умозрительна, чем модель EVA. Она могла бы быть гораздо точной, если бы добавленная для акционера стоимость, рассчитывалась не на основе ожидаемых после инвестиций операционных денежных потоков, а на базе ожидаемых денежных потоков для собственного капитала (они тогда соответственно должны были бы капитализироваться с использованием в качестве коэффициента капитализации только собственности собственного капитала I). Ведь именно эти денежные потоки напрямую отражают изменение (как раз на их величину) собственного, то есть акционерного, капитала.

Очень существенно также, что главный разработчик модели SVA Альфред Раппапорт делает акцент на том, что в данной модели - в отличие от модели EVA - можно учесть наличие, как правило, ограниченного во времени периода, в течение которого рассматриваемые инвестиции в основной капитал компании, если они делаются в связи с совершенствованием продукции и технологий, обеспечивают компании конкурентное преимущество.

С учетом сказанного в базовой формуле модели SVA текущую стоимсоть чистых операционных денежных потоков после инвестиции в реконструкцию и / или реновацию следует получать не посредством капитализации неких среднегодовых денежных потоков после инвестиций, а как сумму сокращающихся во времени дисконтированных денежных потоков в рамках фиксированного срока Тконк.преим. сохранения упомянутого выше конкурентного преимущества.

Иначе говоря, текущая стоимость возможных и планируемых (согласно определенному варианту бизнес-плана предприятия) инвестиции в основной и оборотный капитал фирмы (то есть величина, обозначавшаяся в базовой формуле модели SVA как «PV(Операционных денежных потоков после инвестиций в предприятие)» должна тогда рассчитываться как:

∑ (NOPLAT после инвестиций, / (1 + WACC пл))

Где n = Tконк.преим. - ограниченный во времени срок сохранения конкурентного преимущества, созданного инвестициями в одноразовое обновление продукции и технологий (в связанную с ней реконструкцию), то есть срок сохранения возможности продавать продукцию после этих инвестиций;

NOPLAT, - сокращающиеся со временем чистые операционные доходы после всех налогов, которые по отдельности прогнозируются для будущих единичных периодов с номерами t в пределах срока n. [2, с. 294-296]

2.3 Метод опционного ценообразования (OPM)

Оценка стоимости компании на основе модели OPM (Option Price Model - модель опционного ценообразования) наиболее насыщена сложным математическим аппаратом. Применение стохастических дифференциальных уравнений в некоторой степени решает проблему субъективности прогноза денежных потоков, характерную для иных методов. Опуская детали, напомним [16] простейшую иллюстративную схему применения OPM в финансовом менеджменте на примере оценки собственного капитала компании (рис. 13). Когда акционеры берут в долг (D), это соответствует приобретению опциона «колл», срок исполнения которого истекает в момент отдачи D. Пусть приведенная рыночная стоимость компании составляет V. Если деятельность фирмы была успешной, то выигрыш акционеров составит S = V - D > 0, а выплата долга означает выкуп активов у кредиторов. В противном случае имеет место банкротство S = 0, когда активы переходят к кредиторам. Таким образом, функция выплаты по рассмотренному опциону есть S = max (V - D,0).

Рис. 13. Иллюстрация оценки собственного капитала компании как опциона «колл»

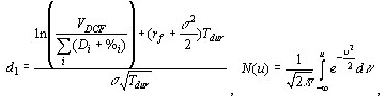
Для непрерывного времени рассмотренная схема может быть реализована, в частности, на основе формулы Блека-Шоулса (Black-Scholes) :


где VDCF - оценка стоимости компании, полученная, скажем, следуя модели DCF (или иной возможной при конкретных исходных данных);  - суммарная величина основного долга и процентных платежей (или купонных выплат); Tdur - средневзвешенная дюрация долга; rf - безрисковая процентная ставка, соответствующая длительности T;

- табличная функция, соответствующая стандартному нормальному распределению;


где s - стандартное отклонение стоимости фирмы.

Помимо ранее названных факторов стоимости модель OPM явно выделяет параметры длительности Tdur и s; их увеличение приводит к возрастанию стоимости собственного капитала компании. В работе [17] указанная формула поясняется на примере оценки собственного капитала компании Eurotunnel, созданной в целях получения прибыли от эксплуатации подводного туннеля между Францией и Англией.

В основе приведенной формулы «жестко» зафиксировано стохастическое уравнение, описывающее случайное блуждание частицы (цены актива), принцип риск-нейтральности и граничные условия, определяемые функцией выплаты [18]. Качество оценивания на основе OPM во многом определяется соответствием заложенных в модель теоретических предпосылок и реального движения цены актива. (Кстати, подобные стохастические уравнения и алгоритмы на их основе успешно применяются при проектировании и эксплуатации военной техники, функционирующей в условиях сильной неопределенности. Неудивительно, что в современных финансовых приложениях заново переоткрываются давно известные выкладки по обработке сигналов.)

Требование наличия модели, в среднем хорошо отражающей динамику основного фактора стоимости, в большей степени выполняется для добывающих компаний. Их стоимость во многом зависит от цены P на добываемое сырье. В условиях изменчивости Р метод оценки компании должен соответствовать стохастическому характеру задачи. Так, в работах [19, 20] реальные опционы встроены в формулу оценки нефтяных компаний. Она включает цену на нефть P, объемы разработанных и неразработанных запасов Qр и Qн, а также управляющую переменную υ - скорость подготовки месторождений к эксплуатации:

,

где CF (.) - интенсивность денежного потока компании, r - соответствующая уровню риска ставка дисконтирования.

Исходной точкой в подобных работах является решение проблемы моделирования цены на сырье, которая решается путем детального анализа состояния мирового рынка и математической формализации полученных знаний. Положительные результаты моделирования во многом предопределяются его ориентацией на цены относительно стабильного и предсказуемого мирового рынка, на котором российские проблемы в основном отсутствуют.

В связи с высокой сложностью разработки и анализа математических моделей OPM затрудняется их массовое тиражирование для предприятий с различной структурой и разных отраслей; число управляющих переменных выбирается относительно небольшим и, как следствие, получаемые рекомендации соответствуют главным образом уровню принятия стратегических решений высшим звеном менеджмента компании. [10, с. 35-38]

ЗАКЛЮЧЕНИЕ

Содержание и основная цель оценки эффективности финансового менеджмента компании - анализ результативности финансовой деятельности и выявление возможности повышения эффективности функционирования хозяйствующего субъекта с помощью рациональной методики финансового управления.

Оценка эффективности работы компании проводится, прежде всего, финансовыми менеджерами своей фирмы для выявления и устранения проблем в текущей деятельности фирмы, для выработки и принятия оптимальных решений по вопросам повышения эффективности производственно-сбытовых операций, рационального использования имеющихся ресурсов, повышения платежеспособности и усиления устойчивости финансового положения фирмы, а также для обеспечения выполнения плановых финансовых показателей и обязательств фирмы перед кредиторами и инвесторами.

Финансовый результат деятельности компании - это характеристика эффективности его финансового менеджмента.

Финансовое состояние предприятия, его устойчивость и стабильность непосредственно зависят от результатов его финансовой деятельности. Устойчивое финансовое состояние предприятия - это итог грамотного и искусного управления всем комплексом факторов, непосредственно определяющих результаты хозяйственной деятельности предприятия.

Чтобы выжить в условиях рыночной экономики и не допустить банкротства предприятия, нужно хорошо знать, как эффективно управлять финансами. Следует знать и такие понятие рыночной экономики, как деловая активность, рентабельность, финансовая устойчивость и другие, а также методику их оценки.

Вообще говоря, необходимо иметь в виду, что помимо ставшими наиболее популярными моделями EVA и SVA существуют и смежные с ними, но менее популярные модели. К ним относятся , например, модель CVA (Cash Value Added), модель MVA (Market Value Added).

Модель CVA отличается от модели EVA как раз тем, что в ней принципиально не допускается подмена чистого операционного денежного потока (Net Operating Cash Fiow, NOCF, который не включает в себя - и именно поэтому называется чистым операционным денежным потоком - даже и регулярно осуществляемые процентные платежи по долгосрочной задолженности).

В модели MVA изначально рыночная стоимость всего инвестированного в предприятие капитала понималась как сумма текущей стоимости всех ранее сделанных (как акционерами так и кредиторами) в предприятие денежных вложений и так называемой добавленной в результате деятельности предприятия рыночной стоимости, максимизация которой служит целевой функцией управления стоимостью предприятия. Позднее эта модель приобрела другой вид: рыночную стоимость всего инвестированного в предприятие капитала стали усматривать в сумме добавленной рыночной стоимости предприятия и восстановительной стоимости активов, используемых и неиспользуемых для операционной деятельности предприятия. При этом акцентируется мысль о том, что подлинным содержанием корпоративной миссии должна быть максимизация не всей рыночной стоимости предприятия, а только упомянутой добавленной стоимости - так , чтобы исключить из рассмотрения такие способы увеличения рыночной стоимости предприятия, как воздержание от выплаты дивидендов или простое привлечение дополнительного капитала от существующих и новых инвесторов.

А так же кроме метода опционного ценообразования существуют метод сбалансированной системы показателей (BSC), Метод доходности инвестиций на основе потока денежных средств (CFROI).

ПРАКТИЧЕСКАЯ ЧАСТЬ (ВАРИАНТ 2)

Условие:

Финансовый менеджер компании ОАО «Восход» обратил внимание на то, что за последние двенадцать месяцев объем денежных средств на счетах значительно уменьшился. Финансовая информация о деятельности ОАО «Восход» приведена в таблице.

Все закупки и продажи производились в кредит, период - 1 месяц.

Требуется:

1) проанализировать приведенную информацию и рассчитать продолжительность финансового цикла, в течение которого денежные средства отвлечены из оборота компании, за 2003 и 2004 гг.;

2) составить аналитическую записку о влиянии изменений за исследуемые периоды;

3) построить прогнозную финансовую отчетность на следующий плановый период, при условии роста выручки от реализации на 15%.

Дополнительная информация:

·   Для расчета следует предположить, что год состоит из 360 дней.

·   Все расчеты следует выполнить с точностью до дня.

Таблица 1

Финансовая информация о деятельности ОАО «Восход»

Показатели

2003г, руб

2004г, руб

Выручка от реализации продукции

477 500

535 800

Закупки сырья и материалов

180 000

220 000

Стоимость потребленного сырья и материалов

150 000

183 100

Себестоимость произведенной продукции

362 500

430 000

Себестоимость реализованной продукции

350 000

370 000

Средние остатки

Дебиторская задолженность

80 900

101 250

Кредиторская задолженность

19 900

27 050

Запасы сырья и материалов

18 700

25 000

Незавершенное производство

24 100

28 600

Готовая продукция

58 300

104 200


Указания к решению задачи

1. Ознакомиться с п. 2-7 данных указаний, выполнить задание. Полученные результаты оформить.

2. На основании данных сформировать агрегированный баланс ОАО «Восход» за 2004 г. (табл. 2), дополнить баланс недостающими данными. Провести балансировку статей актива и пассива баланса (Актив = Пассив).

Таблица 2

Агрегированный баланс

Активы

2004 г.

Оборотные средства:

 

Денежные средства


 Дебиторская задолженность за товары, работы


Материальные запасы


Запасы готовой продукции


Прочие оборотные активы


 Итого оборотных средств


Основные средства:


Земля


 Здания и оборудование


Накопленный износ


Итого основных средств


Расходы будущих периодов


Итого активов


 Пассивы


Краткосрочные и долгосрочные обязательства:


Счета к оплате


Налог, подлежащий оплате


Прочие обязательства


 Итого краткосрочных и долгосрочных обязательств


Собственный капитал:


Обыкновенные акции


Нераспределенная прибыль


 Прочий капитал


Итого собственного капитала


Итого пассивов



. Выполнить построение прогнозного баланса;

4. Проанализировать имеющуюся информацию по возможно большему диапазону направлений (табл. 3).

Таблица 3

Динамический анализ прибыли

No

 Показатели

2003 г.,

2004 г.,

Изменения

п/п


рyб.

руб.

абс., руб.

отн., %

1

Выручка от реализации продукции

477 500

535 800

58 300

12,21

2

Себестоимость реализованной продукции

350 000

370 000

20 000

5,7

3

Валовая прибыль (стр. 1 - стр. 2)

?

?

?

?


. Рассчитать величину оборотного капитала и коэффициент ликвидности без учета наличности и краткосрочных банковских ссуд (табл. 4).

Таблица 4

Анализ оборотного капитала

No п/п

 Показатели

2003 г.,

2004 г.,

Изменения



руб.

руб.

абс, руб.

отн., %

1

 Дебиторская задолженность

80 900

101 250

20 350

25,15

2

 Запасы сырья и материалов

18 700

25 000

6300

33,69

3

Незавершенное производство

24 100

28 600

4500

18,67

4

Готовая продукция

58 300

104 200

45 900

78,73

5

Кредиторская задолженность

19 900

27 050

7150

35,93

6

Чистый оборотный капитал (стр. 1 + стр. 2 + стр. 3 + стр. 4 - стр. 5)

?

?

?

?

7

Коэффициент покрытия [(стр. 1 + стр. 2 + стр. 3 + стр. 4): стр. 5]

?

?

?

?


. Финансовый цикл и продолжительность одного оборота элементов оборотного капитала следует определить по данным таблицы 5.

Таблица 5

Анализ оборачиваемости оборотного капитала

№ п/п

 Показатели оборачиваемости

2003 г., дни

2004 г., дни

Изменения абс.

1

 Запасов сырья и материалов

44,48

49,15

4

2

Незавершенного производства

23,93

23,94

0

3

Запасов готовой продукции

59,97

101,38

41

4

Дебиторской задолженности

60,99

68,03

7

5

Кредиторской задолженности

40

44,3

4

6

Продолжительность оборота наличности (стр. 1 + стр. 2 + стр. 3 + + стр.4 - стр. 5)

?

?

?


. Дополнить нижеследующие выводы необходимой информацией.

Объем реализованной продукции в 2004 г, на ... % (выше / ниже), чем в 2003 г., а себестоимость реализованной продукции (выше / ниже) на... %. Вложения в запасы и дебиторскую задолженность за вычетом кредиторской задолженности возросли с ... тыс. руб. до ... тыс. руб., или на ... %, что непропорционально росту объема продаж и свидетельствует о неудовлетворительном контроле периодов оборачиваемости оборотного капитала.

Прирост чистого оборотного капитала на ... тыс. руб. означает, что чистые поступления от прибыли 2004 г. на ... тыс. руб. (больше / меньше) той величины, которую можно было бы получить при отсутствии прироста запасов и дебиторской задолженности (за вычетом кредиторской задолженности) в течение 2004 г., поэтому компании, возможно, придется брать ненужную банковскую ссуду. При этом значительное увеличение чистого оборотного капитала означает, что в текущие активы вкладывается слишком много долгосрочных средств.

Коэффициент общей ликвидности без учета наличности и краткосрочных ссуд свыше 9: 1 (пояснить это соотношение) можно считать слишком (высоким / низким). Причины роста чистого оборотного капитала:

1) рост объема продаж;

2) увеличение периодов оборачиваемости.

Вторая из перечисленных причин (более / менее) существенна. Длительность оборота запасов сырья и материалов увеличилась с ... до ... дней, несмотря на то, что это увеличение было компенсировано продлением срока кредита, предоставляемого поставщиками с 40 до 44 дней. Срок кредита для дебиторов увеличился с ... до ... дней. Этот срок представляется слишком (большим/ малым). Однако наиболее серьезным изменением было увеличение продолжительности оборота готовой продукции с ... до ... дня, примем точную причину этого установить (представляется / не представляется) возможным. [6, с.12-15]

Решение

Сформируем агрегированный баланс. Недостающие показатели дополнены самостоятельно.

Агрегированный баланс Таблица 6

Активы

2004 г.

Оборотные средства:


Денежные средства

15 950

Дебиторская задолженность за товары, работы

101 250

Материальные запасы

25 000

Запасы готовой продукции

104 200

Прочие оборотные активы

28 600

Итого оборотных средств

275 000

Основные средства:


Земля

15 000

Здания и оборудование

260 000

Накопленный износ

70 000

Итого основных средств

205 000

Прочие необоротные активы

2 000

Расходы будущих периодов

1 000

Итого активов

483 000

Пассивы


Краткосрочные и долгосрочные обязательства:


Счета к оплате

27 050

Налог, подлежащий оплате

44 302

Прочие обязательства

2 500

Итого краткосрочных и долгосрочных обязательств

73 852

Собственный капитал:


Обыкновенные акции

260 000

Нераспределенная прибыль

121 000

Прочий капитал

28 148

Итого собственного капитала

409 148

Итого пассивов

483 000


Проведем анализ финансовой информации

Динамический анализ прибыли Таблица 7

Показатели

2003 г., рyб.

2004 г., руб.

Изменения




абс., руб.

отн., %

Выручка от реализации продукции

477 500

535 800

58 300

12,21

Себестоимость реализованной продукции

350 000

370 000

20 000

5,7

Валовая прибыль (стр. 1 - стр. 2)

127 500

165 800

38 300

30,03


Таблица 8

Анализ оборотного капитала

Показатели

2003 г., руб.

2004 г., руб.

Изменения




абс, руб.

отн., %

Дебиторская задолженность

80 900

101 250

20 350

25,15

Запасы сырья и материалов

18 700

25 000

6300

33,69

Незавершенное производство

24 100

28 600

4500

18,67

Готовая продукция

58 300

104 200

45 900

78,73

Кредиторская задолженность

19 900

27 050

7150

35,93

Чистый оборотный капитал (стр. 1 + стр. 2 + стр. 3 + +стр. 4 - стр. 5)

162 100

232 000

69 900

43,12

Коэффициент покрытия [(стр. 1 + стр. 2 + стр. 3 + стр. 4): стр. 5]

9,15

9,58

0,43

4,70


Таблица 9

Анализ оборачиваемости оборотного капитала

№ п/п

Показатели оборачиваемости

2003 г., дни

2004 г., дни

Изменения абс.

1

Запасов сырья и материалов

44,48

49,15

4

2

Незавершенного производства

23,93

23,94

0

3

Запасов готовой продукции

59,97

101,38

41

4

Дебиторской задолженности

60,99

68,03

7

5

Кредиторской задолженности

40

44,3

4

6

Продолжительность оборота наличности (стр. 1 + стр. 2 + стр. 3 + стр.4 - стр. 5)

149,37

198,2

48


Объем реализованной продукции в 2004 г, вырос на 12,21 % в отличии от 2003 г., а себестоимость реализованной продукции выше на 5,7 %. Вложения в запасы и дебиторскую задолженность за вычетом кредиторской задолженности возросли с 79 700 руб. до 99200 руб., или на 24,5%, что непропорционально росту объема продаж и свидетельствует о неудовлетворительном контроле периодов оборачиваемости оборотного капитала.

Прирост чистого оборотного капитала на 69 900 руб. означает, что чистые поступления от прибыли 2004 г. на 19 500 руб. меньше той величины, которую можно было бы получить при отсутствии прироста запасов и дебиторской задолженности (за вычетом кредиторской задолженности) в течение 2004 г., поэтому компании, возможно, придется брать ненужную банковскую ссуду. При этом значительное увеличение чистого оборотного капитала означает, что в текущие активы вкладывается слишком много долгосрочных средств.

Коэффициент общей ликвидности без учета наличности и краткосрочных ссуд свыше 9 :1 можно считать слишком высоким. Причины роста чистого оборотного капитала:

1)рост объема продаж;

)увеличение периодов оборачиваемости.

Вторая из перечисленных причин более существенна. Длительность оборота запасов сырья и материалов увеличилась с 44,48 до 49,15 дней, несмотря на то, что это увеличение было компенсировано продлением срока кредита, предоставляемого поставщиками с 40 до 44 дней. Срок кредита для дебиторов увеличился с 61 до 68 дней. Этот срок представляется слишком большим. Однако наиболее серьезным изменением было увеличение продолжительности оборота готовой продукции с 60 до 101 дня, причем точную причину этого установить не представляется возможным.

Построим прогнозную финансовую отчетность на следующий плановый период, при условии роста выручки от реализации на 15% методом процента от продаж. Для этого необходимо определить соотношение статей баланса к выручке.

Выручка в 2005 году составит: 535 800 *1,15= 616 170 руб.

Определим нераспределенную прибыль в планируемом году:

НПрпл = НПрб + ЧПрпл

где НПрпл, НПрб - нераспределенная прибыль планового и базового года;

ЧПрпл - чистая прибыль планового периода.

Доля ЧПр в выручке 2004 г. = 165 800/ 535 800×100 =31%

НПрпл = 121 000 + 616 170*0,31 = 312 013 руб.

СПИСОК ЛИТЕРАТУРЫ

.        Финансовый менеджмент: теория и практика: Учебник / Под ред.Е.С. Стояновой. - 6-е изд. - М.: Изд-во перспектива, 2007. - 656 с.

.        Оценка бизнеса: учеб./ под ред. Валдайцева С.В. - 3-е изд.,перераб. и доп. - М.:ТК Велби, Изд-во Проспект, 2008 - 576с.

.        Финансовый менеджмент: учебник / И.Я. Лукосевич - 2-е изд., перераб. и доп. - М.: Эксмо, 2010. - 768 с.

.        Теория финансового менеджмента: учебное пособие / под ред. Галиаскарова Ф.М., Мозалева А.А., Сагатгареева Ф.М. , - М.: Вузовский учебник, 2008. - 192 с.

.        Комплексный экономический анализ хозяйственной деятельности. Алексеева А.И., Васильев Ю.В., Малеева А.В., Ушвицкий Л.И. - М.: Финансы и статистика, 2006.

.        Финансовый менеджмент: Методические указания по выполнению курсовой и контрольной работ. Для студентов V курса специальности 080105 «Финансы и кредит» (первое и второе высшее образование)и специальности IV курса специальности 080109 «Бухгалтерский учет, анализ и аудит» (первое и второе высшее образование). - М.: ВЗФЭИ, 2009. - 32с.

.        Финансовый менеджмент: теория и практика. Ковалев В.В. - 2-е изд., перераб. и доп. - М.: ТК Велби, Изд-во Проспект, 2008. - 1024с.

.        Финансовая устойчивость предприятия: критерии и методы оценки в рыночной экономике: Учебное пособие / под ред. Грачева А.В. - 3-е изд., перераб. - М.: Издательство «Дело и сервис», 2010. -400 с.

.        Финансовый менеджмент: Учебник, - 2-е изд., перераб. и доп. / под ред. Д.э.н., проф. А.М. Ковалевой. - М.: ИНФРА-М, 2009. -336с.

10.     Журнал «Финансовый менеджмент», номер N4/2002 <http://www.finman.ru/articles/2002/4/> статья: «Стоимостные методы оценки эффективности финансового менеджмента компании», авт. Рассказов С.В.

.        Ионова А.Ф., Селезнева Н.Н. Финансовый анализ: Учеб. пособие. - М.: ТК Велби, Изд-во "Проспект", 2006. - 624 с.

.        Ионова А.Ф., Селезнева Н.Н. Анализ финансовой отчетности организации: Учеб. пособие для студентов вузов по специальности "Бухгалтерский учет, анализ и аудит, слушателей курсов по подготовке и переподготовке бухгалтеров и аудиторов. - 3-е изд., перераб. и доп. - М.: ЮНИТИ-ДАНА, 2007. - 583 с.

Похожие работы на - Оценка эффективности финансового менеджмента компании

 

Не нашли материал для своей работы?
Поможем написать уникальную работу
Без плагиата!
Без нейросетей!