Оценка финансового состояния предприятия
Федеральное
агентство по образованию РФ
Государственное
образовательное учреждение
высшего
профессионального образования
Тульский
государственный университет
Кафедра
«Финансы и менеджмент»
Курсовая
работа
по дисциплине
«Финансовый менеджмент»
на тему
Оценка
финансового состояния предприятия
Тула 2011г.
Исходные данные
Форма №1 «Бухгалтерский баланс»
|
Актив
|
Код строки
|
На начало отчетного года
|
На конец отчетного периода
|
|
|
1
|
2
|
3
|
4
|
|
|
I. ВНЕОБОРОТНЫЕ АКТИВЫ
|
|
|
|
|
|
Нематериальные активы
|
110
|
10
|
16
|
|
|
Основные средства
|
120
|
11253
|
10940
|
|
|
Незавершенное строительство
|
130
|
4
|
35
|
|
|
Доходные вложения в материальные ценности
|
135
|
|
|
|
|
Долгосрочные финансовые вложения
|
140
|
20
|
17
|
|
|
Прочие внеоборотные активы
|
150
|
|
|
|
|
ИТОГО по разделу I
|
190
|
11287
|
11008
|
|
|
II. ОБОРОТНЫЕ АКТИВЫ
|
|
|
|
|
|
Запасы в том числе:
|
210
|
7139
|
9963
|
|
|
сырье, материалы и другие аналогичные ценности
|
211
|
401
|
721
|
|
|
затраты в незавершенном производстве
|
213
|
4220
|
2945
|
|
|
готовая продукция и товары для перепродажи
|
214
|
2308
|
6121
|
|
|
товары отгруженные
|
215
|
|
|
|
|
расходы будущих периодов
|
216
|
10
|
36
|
|
|
прочие запасы и затраты
|
217
|
200
|
140
|
|
|
Налог на добавленную стоимость по приобретенным ценностям
|
220
|
22
|
30
|
|
|
Дебиторская задолженность (платежи по которой ожидаются
более чем через 12 месяцев после отчетной даты)
|
230
|
|
|
|
|
в том числе покупатели и заказчики
|
231
|
|
|
|
|
Дебиторская задолженность (платежи по которой ожидаются в
течение 12 месяцев после отчетной даты) в том числе:
|
240
|
506
|
1009
|
|
|
покупатели и заказчики
|
241
|
150
|
132
|
|
|
авансы выданные
|
245
|
117
|
711
|
|
|
прочие дебиторы
|
246
|
239
|
166
|
|
|
Краткосрочные финансовые вложения в том числе:
|
250
|
9265
|
10160
|
|
|
займы, предоставленные организациям на срок менее 12
месяцев
|
251
|
2100
|
3255
|
|
|
собственные акции, выкупленные у акционеров
|
252
|
6800
|
6700
|
|
|
прочие краткосрочные финансовые вложения
|
253
|
365
|
205
|
|
|
Денежные средства в том числе:
|
260
|
10800
|
14252
|
|
|
касса
|
261
|
60
|
75
|
|
|
расчетные счета
|
262
|
10300
|
13200
|
|
|
валютные счета
|
263
|
80
|
626
|
|
|
прочие денежные средства
|
264
|
360
|
351
|
|
|
Прочие оборотные активы
|
270
|
7601
|
9400
|
|
|
ИТОГО по разделу II
|
290
|
35333
|
44814
|
|
|
БАЛАНС (сумма строк 190 + 290)
|
300
|
46620
|
55822
|
|
|
Пассив
|
Код строки
|
На начало отчетного года
|
На конец отчетного периода
|
|
1
|
2
|
3
|
4
|
|
III. КАПИТАЛ И РЕЗЕРВЫ
|
|
|
|
|
Уставный капитал
|
410
|
7000
|
7000
|
|
Добавочный капитал
|
420
|
6400
|
6400
|
|
Резервный капитал
|
430
|
600
|
650
|
|
Фонд социальной сферы
|
440
|
140
|
190
|
|
Целевые финансирование и поступления
|
450
|
860
|
900
|
|
Нераспределенная прибыль прошлых лет
|
460
|
1953
|
|
|
Непокрытый убыток прошлых лет
|
465
|
|
|
|
Нераспределенная прибыль отчетного года
|
470
|
|
5222
|
|
Непокрытый убыток отчетного года
|
745
|
|
|
|
ИТОГО по разделу III
|
490
|
16953
|
20362
|
|
IV. ДОЛГОСРОЧНЫЕ ОБЯЗАТЕЛЬСТВА
|
|
|
|
|
Займы и кредиты в том числе
|
510
|
3200
|
2900
|
|
кредиты банков, подлежащие погашению более чем через 12
месяцев после отчетной даты
|
511
|
1400
|
1000
|
|
займы, подлежащие погашению более чем через 12 месяцев
после отчетной даты
|
512
|
1800
|
1900
|
|
Прочие долгосрочные обязательства
|
520
|
|
|
|
ИТОГО по разделу IV
|
590
|
3200
|
2900
|
|
V. КРАТКОСРОЧНЫЕ ОБЯЗАТЕЛЬСТВА
|
|
|
|
|
Займы и кредиты в том числе
|
610
|
4900
|
5650
|
|
кредиты банков, подлежащие погашению в течение 12 месяцев
после отчетной даты
|
611
|
2950
|
3600
|
|
займы, подлежащие погашению в течение 12 месяцев после
отчетной даты
|
612
|
1950
|
2050
|
|
Кредиторская задолженность в том числе:
|
620
|
7120
|
11925
|
|
поставщики и подрядчики
|
621
|
2200
|
2855
|
|
задолженность перед персоналом организации
|
622
|
1050
|
1230
|
|
задолженность по налогам и сборам
|
624
|
760
|
740
|
|
прочие кредиторы
|
625
|
530
|
910
|
|
задолженность перед бюджетом
|
626
|
450
|
4300
|
|
авансы полученные
|
627
|
4300
|
600
|
|
прочие кредиторы
|
628
|
1700
|
1290
|
|
Задолженность участникам (учредителям) по выплате доходов
|
630
|
2450
|
2700
|
|
Доходы будущих периодов
|
640
|
2300
|
2900
|
|
Резервы предстоящих расходов
|
650
|
6700
|
4900
|
|
Прочие краткосрочные обязательства
|
660
|
2997
|
4485
|
|
ИТОГО по разделу V
|
690
|
26467
|
32560
|
|
БАЛАНС
|
700
|
46620
|
55822
|
|
|
|
|
|
|
|
Форма №2
«Отчет о прибылях и убытках»
|
Наименование показателя
|
Код строки
|
За отчетный период
|
За аналогичный период предыдущего года
|
|
|
|
|
|
1. Доходы и расходы по обычным видам деятельности
|
|
|
|
|
Выручка (нетто) от продажи товаров, продукции, работ, услуг
(за минусом налога на добавленную стоимость, акцизов и аналогичных обязательных
платежей)
|
010
|
15450
|
6880
|
|
Себестоимость проданных товаров, продукции, работ, услуг
|
020
|
8300
|
4210
|
|
Валовая прибыль
|
029
|
7150
|
2760
|
|
Коммерческие расходы
|
030
|
35
|
26
|
|
Управленческие расходы
|
040
|
25
|
14
|
|
Прибыль (убыток) от продаж
|
050
|
7090
|
2720
|
|
2. Прочие доходы и расходы
|
|
|
|
|
Проценты к получению
|
060
|
250
|
350
|
|
Проценты к уплате
|
070
|
400
|
300
|
|
Доходы от участия в других организациях
|
080
|
|
|
|
Прочие операционные доходы
|
090
|
500
|
300
|
|
Прочие операционные расходы
|
100
|
260
|
240
|
|
3. Внереализационные доходы и расходы
|
|
|
|
|
Внереализационные доходы
|
120
|
1800
|
800
|
|
Внереализационные расходы
|
130
|
1520
|
840
|
|
Прибыль (убыток) до налогообложения
|
140
|
7460
|
2790
|
|
Налог на прибыль и иные аналогичные обязательные платежи
|
150
|
2230
|
837
|
|
Прибыль (убыток) от обычной деятельности
|
160
|
5222
|
1953
|
|
4. Чрезвычайные доходы и расходы
|
|
|
|
|
Чрезвычайные доходы
|
170
|
|
|
|
Чрезвычайные расходы
|
180
|
|
|
|
Чистая прибыль (нераспределенная прибыль (убыток) отчетного
периода)
|
5222
|
1953
|
1 Экономическая
рентабельность активов
1.1 Активы
предприятия
В европейских стандартах учета оборотные средства принято включать в
стоимость активов в размере так называемого оборотного капитала, который равен
разности текущих активов и текущих пассивов. То есть оборотные средства в
европейских стандартах учитываются за вычетом кредиторской задолженности.
Величина оборотного капитала за i-ый период:
где
Вi - валюта баланса за i-й период;
Кi
- кредиторская задолженность за i-й период.

(п -
предшествующий период)

(о -
отчетный период)
1.2 Нетто-результат
эксплуатации инвестиций
При расчете НРЭИ на основе формы №2 в него должны быть включены доходы и
расходы разделов II и Ш этой формы:
строка 050 «Прибыль (убыток) от продаж»
+ строка 060 «Проценты к получению»
+ строка 080 «Доходы от участия в других организациях»
+ строка 090 «Прочие операционные доходы»
строка 100 «Прочие операционные расходы»
+ строка 120 «Внереализационные доходы»
строка 130 «Внереализационные расходы»
=НРЭИi
НРЭИп = 7090+250+500-260+1800-1520=7860 тыс.руб.
НРЭИо = 2720+350+300-240+800-840=3090 тыс.руб.
Тот же результат можно получить, сложив строки 070 «Проценты к уплате» и
140 «Прибыль (убыток) до налогообложения»:
НРЭИп = 400+7460=7860 тыс.руб.
НРЭИо = 300+2790=3090 тыс.руб.
Найдем значение экономической рентабельности, характеризующий
прибыльность использования активов:
,
где
ЭР - экономическая рентабельность активов, %;
НРЭИ
- нетто-результат эксплуатации инвестиций;
Ai - величина
оборотного капитала за i-ый период.
Найдем
изменение экономической рентабельности:
Вывод:
в течение рассматриваемого периода эффективность работы предприятия заметно
снизилась. Экономическая рентабельность уменьшилась на 13%, с 20% до 7%. Данное
падение объясняется уменьшением НРЭИ (в основном за счет уменьшения объемов
продаж) и увеличением оборотного капитала.
2.
Коммерческая маржа и коэффициент трансформации
.1 Расчет
коммерческой маржи и коэффициента трансформации
Оборот за i-й период (год)
определяется на основе формы №2 как сумма всех доходных строк:
строка 010 «Выручка(нетто) от продажи товаров, продукции, работ, услуг(за
минусом НДС, акцизов и аналогичных платежей»
+ строка 060 «Проценты к получению»
+ строка 080 «Доходы от участия в других организациях»
+ строка 090 «Прочие операционные доходы»
+ строка 120 «Внереализационные доходы»
=Оi
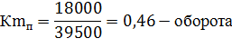
Oп=15450+250+500+1800=18000
тыс.руб.
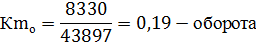
Oо=6880+350+300+800=8330
тыс.руб.
Коммерческая моржа за i-ый
период, %:
Коэффициент
трансформации за i-ый период, оборотов:
Экономическую
рентабельность можно рассчитать так:
ЭРп=43,7*0,46=20%
ЭРо=37*0,19=7%
Абсолютные
изменения коммерческой маржи и коэффициента трансформации:
оборота
Вывод:
за анализируемый период рентабельность продаж уменьшилась на 6,7% за счет менее
эффективного использования каждого рубля в обороте; значение коэффициента
трансформации уменьшилось на 0,27 оборота, таким образом, замедлив
оборачиваемость каждого рубля активов.
2.2 Влияние
коммерческой маржи и коэффициента трансформации на изменение экономической
рентабельности работы предприятия
Для определения степени этого влияния рассчитаем изменения экономической
рентабельности соответственно за счет коммерческой маржи и коэффициента
трансформации:
-
изменение ЭР за счет Кт
-
изменение ЭР за счет Км
Далее
рассчитаем доли этих изменений в изменении экономической рентабельности
(рис.1):
- доля
изменения ЭР за счет Кт, %;
- доля
изменения ЭР за счет Км, %.
Рисунок
1 Вклад Кm и Км в изменение ЭР,%
Вывод: за анализируемый период экономическая рентабельность активов
уменьшилась. Наибольший вклад в изменение данного показателя внесло уменьшение
коэффициента трансформации.
Необходимо направить усилия на улучшение работы маркетингового отдела для
повышения рентабельности продаж (реклама, скидки, акции и т.д.), что даст
результат лишь в долгосрочной перспективе.
Уменьшение коммерческой маржи также повлияло на уменьшение экономической
рентабельности. Возможно, следует уменьшить затраты, провести реорганизацию
производства.
3. Операционный анализ
.1 Эффект финансового рычага. Рациональная политика управления заемными
средствами
.1.1 Расчет эффекта финансового рычага
Эффект финансового рычага (ЭФР) - это приращение к рентабельности
собственных средств, получаемое благодаря использованию кредита, несмотря на
платность последнего:
где
ЭФРi - уровень эффекта финансового рычага i-го
года, %;
СНПi
- ставка налога на прибыль i-го года (берется фактическое значение с учетом льгот
- Ф.№2 строку 150 «Налог на прибыль и иные аналогичные обязательные платежи»
разделить на строку 140 «Прибыль (убыток) до налогообложения»), в формуле
показатель берется в долях;
СРСПi
- средняя расчетная ставка процента i-го года, в %;
ЭРi
- экономическая рентабельность, в %.
где
ФИi - все фактические финансовые издержки по всем
кредитам за анализируемый i-й период - строка 070 Ф.№2 «Проценты к уплате»;
ЗСi -
величина заемных средств, используемых в анализируемо i-ом периоде
(Форма №1, строки 590 «Итого по разделу IV» + 610
«Краткосрочные займы и кредиты»);
ССi -
величина собственных средств, используемых в анализируемом i-м
периоде (Ф.№1 строки 490 «Итого по разделу III» + 630 «Задолженность участникам
(учредителям) по выплате доходов» + 640 «Доходы будущих периодов» + 650
«Резервы предстоящих расходов» + 660 «Прочие краткосрочные обязательства»).
Эффект
финансового рычага
.1.2
Расчет рентабельности собственных средств
Предприятие,
использующее кредит, увеличивает или уменьшает рентабельность собственных
средств, в зависимости от соотношения собственных и заемных средств в пассиве и
от величины процентной ставки (в результате этого и возникает эффект
финансового рычага).
Рентабельность
собственных средств,%:
РССп=(1-0,3)*20+2,73=16,73%
РССо=(1-0,3)*7+0,59=5,5%
Оптимально
ЭФР должен быть в пределах
уровня
рентабельности собственных средств.
.1.3
Дифференциал и плечо финансового рычага
Дифференциал
- это разница между экономической рентабельностью активов и средней расчетной
ставкой процентов по заемным средствам:
Дифференциалп
=20-5=15%
Дифференциалп
=7-3,5=3,5%
Плечо
финансового рычага характеризует силу воздействия финансового рычага и
определяется как соотношение между заемными и собственными средствами:
Разумный
финансовый менеджер не станет увеличивать любой ценой плечо рычага, а будет
регулировать его в зависимости от величины дифференциала.
Вывод:
уменьшение дифференциала на 11,5% говорит об уменьшении возможности привлечения
кредитов. Величина плеча финансового рычага за анализируемый период немного
уменьшилась вслед за дифференциалом. При росте величины собственных средств,
это свидетельствует о достаточно пропорциональном соотношении заемных и
собственных средств.
.1.4
Варианты и условия привлечения заемных средств
Для
определения оптимальной величины заемных средств используем следующую методику:
1. Найдем отношение ЭФРо/РССо = 0,59/5,5 = 0,11
2. Найдем отношение ЭРо/СРСПо =7/3,5=2
. Из точки, отмеченной в пункте 1, проведем линию, параллельную
оси абсцисс до пересечения с кривой, определенной в пункте 2. Из точки
пересечения опустим перпендикуляр на ось ординат. Основание перпендикуляра -
рекомендуемое плечо рычага, которое равно 0,43 (рис.2).
Рисунок
2 Варианты и условия привлечения заемных средств
4. Рекомендуемое плечо рычага = 0,43
будет достигнуто при следующем значении ЗС
ЗС=Плечо финансового рычага*ССо
ЗС=0,43*35347=15199 тыс.руб.
. Для достижения оптимальной величины заемных средств следует
увеличить их на: 15199-8850=6349 тыс.руб.
. Рассчитаем значение ЭФР при увеличении заемных средств:
ЭФР =0,7*3,5*0,43=1,05%.
. Рассчитаем значение РСС:
РСС=0,7*7+1,05=5,95%
Вывод: приращение к рентабельности собственных средств, благодаря
использованию кредита, незначительно повысит его уровень (на 0,45%).
Использование кредита, считаю, нецелесообразно.
.2 Порог рентабельности и «запас финансовой прочности» предприятия.
Эффект производственного (операционного) рычага. Регулирование массы и динамики
прибыли
.2.1 Валовая маржа
Для начала здесь следует рассчитать общую сумму издержек (ОСИ)
предприятия за год. Она определяется по Ф. №2 как сумма всех расходных строк:
строка 020 «Себестоимость проданных товаров, продукции, работ, услуг»
+ строка 030 «Коммерческие расходы»
+ строка 040 «Управленческие расходы»
+ строка 100 «Прочие операционные расходы»
+ строка 130 «Внереализационные расходы»
=ОСИi
ОСИп=8300+35+25+260+1520=10140 тыс.руб.
ОСИо=4210+26+14+240+840=5330 тыс.руб.
Далее эту сумму нужно разделить на условно постоянные и условно
переменные издержки. Процентная доля переменных издержек равна 80%.
Для расчета нам понадобится величина, называемая валовой маржой:
ВМi = Oi - Ипер.i,
где ВМi - валовая
маржа за i-й год;
Ипер.i -
переменные издержки i-го года.
ВМп=18000-10140*80%=9888 тыс.руб.
ВМо=8330-5330*80%=4066 тыс.руб.
.2.2 Порог рентабельности
Выручка от реализации, при которой предприятие уже не имеет убытков, но
еще не имеет прибылей, называется порогом рентабельности (точкой
безубыточности):
ПРi = ПЗi / ВМi*
где ПРi - порог
рентабельности i-го года;
ПЗi - постоянные затраты i-го года;
ВM*i - результат от реализации после
возмещения переменных затрат в относительном выражении (коэффициент валовой
маржи):
ВM*i =
Порог рентабельности i-го
года

.2.3 Запас финансовой прочности
Запас финансовой прочности предприятия представляет собой разницу между
фактической выручкой от реализации и порогом рентабельности:
ЗФПi = Оi - ПРi,
где ЗФПi - запас
финансовой прочности в i-м
году.
ЗФПп=18000-4414,55=13585,45 тыс.руб.
ЗФПо=8330-2787,76=5542,24 тыс.руб.
Сведем полученные данные в таблицу 1.
Таблица
1 Расчет запаса финансовой прочности
|
№ стр.
|
Показатели
|
Обозначение
|
Базовый период
|
Отчетный период
|
Изменение, (+)
|
|
1
|
Выручка от реализации, тыс. руб.
|
Оi
|
18000
|
8330
|
-9670
|
|
2
|
Переменные издержки, тыс. руб.
|
Иперi
|
8112
|
4264
|
-3848
|
|
3
|
Валовая маржа, тыс. руб. (стр. 1 - стр. 2)
|
ВМi
|
9888
|
4066
|
-5822
|
|
4
|
Коэффициент валовой маржи (стр. 3 / стр. 1)
|
ВМ*i
|
0,55
|
0,49
|
-0,06
|
|
5
|
Постоянные издержки, тыс. руб.
|
ПЗ
|
2428
|
1366
|
-1062
|
|
6
|
Порог рентабельности, тыс. руб. (стр.5 / стр.4)
|
ПРi
|
4414,55
|
2787,76
|
-1626,79
|
|
7
|
Запас финансовой прочности, тыс. руб. (стр. 1 - стр. 6)
|
ЗФП
|
13585,45
|
5542,24
|
-8043,21
|
|
8
|
Запас финансовой прочности, % (стр.7 / стр.1*100%
|
ЗФП%
|
75,5
|
66,5
|
-9
|
Вывод: уменьшение постоянных и переменных издержек, а также выручки
снизили запас финансовой прочности на 9%, однако он находится на достаточно
высоком уровне и составляет в отчетном периоде 66,5%.
За анализируемый период предприятию удалось преодолеть порог
рентабельности. Несмотря на то, что выручка от реализации уменьшилась, запас
финансовой прочности был сохранен, так как был снижен порог рентабельности, за
счет сокращения издержек и реализации продукции.
.3 Оценка риска, связанного с предприятием
.3.1 Сила воздействия операционного (предпринимательского) рычага
Сила воздействия операционного рычага рассчитывается как отношение
валовой маржи к балансовой прибыли и показывает, на сколько процентов изменяется
балансовая прибыль при изменении выручки на 1 процент, %:
СВПРi= ВМi / НРЭИi,
где СВПРi - сила
воздействия производственного рычага в i-м году.
Действие операционного (производственного) рычага проявляется
в том, что любое изменение выручки от реализации всегда порождает более сильное
изменение НРЭИ и, соответственно, прибыли.
3.3.2 Сила воздействия финансового рычага
Далее определим силу воздействия финансового рычага (СВФР), которая
показывает риск, связанный с привлечением заемных средств,%:
.3.3
Сопряженный рычаг как оценка суммарного риска, связанного с предприятием
По
мере одновременного увеличения силы воздействия операционного и финансового
рычагов все менее и менее значительные изменения физического объема реализации
и выручки приводят ко все более и более масштабным изменениям чистой прибыли на
акцию. Этот тезис выражается в формуле сопряженного эффекта операционного и
финансового рычагов:
Рi
= СВФРi * СВПРi,
где
Рi - уровень сопряженного эффекта операционного и
финансового рычагов, в долях.
Рп=1,05*1,26=1,32
Ро=1,1*1,32=1,45
Значение
совокупного рычага показывает, на сколько процентов изменится чистая прибыль
при изменении выручки на 1%.
Вывод:
за анализируемый период уровень суммарного уровня риска, связанного с вложением
в предприятие, возрос.
.4
Чистая рентабельность акционерного капитала
Чистая
рентабельность акционерного капитала рассчитывается по формуле:
где
ЧПi - чистая прибыль i-го года. Она
равняется разности строк 140 «Прибыль (убыток) до налогообложения» и 150 «Налог
на прибыль и иные аналогичные обязательные платежи» из Ф. №2;
Кci
- коэффициент структуры капитала в i-м году:
%
%
Км'i
- чистая коммерческая маржа:

%
%
Расчет
ЧРАК сведем в таблицу 2.
Таблица
2 Расчет ЧРАК
|
Показатель
|
Обозначение
|
Сумма
|
|
|
Базовый год
|
Отчетный год
|
Изменение ст.4-ст.3
|
Акционерный капитал, тыс. руб. Чистая прибыль, тыс.
руб. Выручка от реализации, тыс. руб Активы, тыс. руб. АК ЧП О
7000
|
4397
|
|
|
|
|
|
Коэф-нт трансформации Чистая коммерческая маржа, % Коэф-нт
структуры капитала
|
Kт Kм' Kc
|
0,46 29 5,6
|
0,19 23 6,3
|
-0,27 -0,06 0,7
|
|
Чистая рентабельность акционерного капитала, %
|
ЧРАК
|
74,7
|
27,5
|
-47,2
|
Аналогично анализу динамики НРЭИ проведем пофакторный анализ динамики
ЧРАК (таблица 3).
Таблица
3 Анализ динамики чистой рентабельности акционерного капитала
|
Расчет ЧРАК
|
Изменение, %
|
|
Кто*Км'о*Ксо
|
Значение ЧРАК за отчетный период =0,19*23*6,3=27,5%
|
|
(Кто -Ктб)*Км'о*Ксо
|
Изменение ЧРАК а счет изменения коэффициента трансформации
=(0,19-0,46)23*6,3=-39,1%
|
|
Ктб*(К м'о -К м'б)*Ксо
|
Изменение ЧРАК за счет изменения чистой коммерческой маржи
=0,46(23-29)6,3=-17,4%
|
|
Ктб*Км'б*( Ксо -Ксб)
|
Изменение ЧРАК за счет коэффициента изменения структуры
капитала =0,46*29(6,3-5,6)=9,3%
|
|
DЧРАКDКт+DЧРАКDКм+DЧРАКDКс
|
Общее изменение ЧРАК =-39,1-17,4+9,3=-47,2%
|
Вывод: за анализируемый период чистая рентабельность акционерного
капитала уменьшилась на 47,2%, с 74,7% до 27,5%. Наибольшее влияние на
изменение ЧРАК оказал коэффициент трансформации.
рентабельность
актив прибыль заемный
3.5 Внутренние темпы роста и прогноз развития предприятия
Определите возможные темпы роста ВТР выручки и активов фирмы в будущем,
насколько и за счет каких факторов они могут быть повышены. Приведите пример
возможной дивидендной политики, выбрав норму распределения прибыли НР (долю
прибыли, направляемую на выплату дивидендов) в диапазоне от 0 до 1.
ВТР = РСС*(1-НР)
ВТР=5,5(1-0,25)=4,125%
При этом фактический уровень дивидендов dфакт или дохода
владельцев предприятия будет равен:
факт = ЧРАК * НР
факт=27,9*0,25=6,975%
Вывод: ВТР выручки и активов
возможны в основном за счет повышения объемов реализации продукции и
привлечение заемных средств.
Заключение
За анализируемый период эффективность работы предприятия уменьшилась -
экономическая рентабельность за анализируемый период упала. Это изменение
произошло в основном за счет уменьшения объемов продаж, и соответственно
прибыли от реализации продукции.
Величина коммерческой маржи уменьшилась на 6,7%, а коэффициент
трансформации - на 0,27 оборота. Оборачиваемость активов в большей мере (вклад
в изменение составляет 77%) повлияла на изменение экономической рентабельности.
Эффект финансового рычага имело положительные значения, что
свидетельствует о том, что использование кредита, несмотря на его платность,
приведет к приращению рентабельности собственных средств. Однако за
анализируемый период ЭФР уменьшился.
Уменьшение дифференциала снижает возможность привлечения кредитов.
Приращение к рентабельности собственных средств, благодаря привлечению заемных
средств, незначительно повысит его уровень рентабельности.
Предприятие смогло преодолеть порог рентабельности как в базовом, так и в
отчетном периодах. Уменьшение затрат и выручки снизили запас финансовой
прочности на 9%. Снижение порога рентабельности помогло сохранить запас
финансовой прочности на высоком уровне. Однако предприятие сдает позиции.
Анализ воздействия операционного, финансового и совокупного рычагов
показал, что риск постепенно повышается, а значит либо состояние фирмы
постепенно теряет стабильность.
За анализируемый период значение чистой рентабельности акционерного
капитала заметно снизилось (на 47,2%), в основном за счет коэффициента
оборачиваемости. Проведенный анализ говорит о снижении эффективности работы
предприятия, а также о повышении рисков.
Список литературы
1. Стоянова Е.С.
Финансовый менеджмент. - М.:Перспектива, 2006.- 405 с.
Федорова Е.А. и др.
Финансовый менеджмент Тула, ТулГУ, 2009 - 336 с.