Особенности организации финансов предприятия
Содержание
Введение
1. Теоретические аспекты финансов предприятий
1.1 Финансы предприятия: сущность, функции и принципы их
организации
1.2 Особенности организации финансов предприятий различных
организационно-правовых форм
1.3 Финансовые ресурсы предприятий, их состав, структура, источники
формирования, распределения
2. Расчетное задание
2.1 Составление сметы затрат на производство и реализацию продукции
2.1.1 Расчет суммы затрат на металл
2.1.2 Расчет суммы затрат на топливо
2.1.3 Расчет суммы затрат на электроэнергию
2.1.4 Расчет затрат на выплату заработной платы
2.1.5 Расчет отчислений на страховые взносы
2.1.6 Расчет амортизационных затрат
2.1.7 Прочие затраты
2.1.8 Расчет общей суммы квартальных затрат по смете
2.2 Составлениние калькуляции себестоимости производства и
реализации продукции
2.2.1 Затраты на металл на технологические нужды по норме
2.2.2 Затраты на топливо по норме
2.2.3 Затраты на электроэнергию по норме
2.2.4 Заработная плата производственных рабочих по сдельной
расценке
2.2.5 Отчисления на страховые взносы
2.2.6 Переменные затраты
2.2.7 Накладные расходы
2.2.8 Полная себестоимость
2.3 Расчет квартального объема реализации продукции и прибыли
предприятия
2.3.1 Расчет оптовой цены и объема реализации
2.3.2 Формирование квартальной прибыли
2.3.3 Распределение квартальной прибыли
2.4 Расчет эффективности капитальных вложений и мероприятий НТП
2.4.1 Расчет суммы капитальных вложений
2.4.2 Расчет экономии внедрения капитальных вложений и мероприятий
НТП
2.5 Расчет показателей эффективности капвложений
2.6 Анализ сметы затрат и калькуляции себестоимости в 1 квартале
Заключение
Список используемой литературы
Введение
Финансы представляют собой экономическую категорию,
существующую в различных общественно-экономических формациях. Сущность финансов,
их роль в общественном воспроизводстве определяются экономическим строем
общества, природой и функциями государства.
Финансы предприятий являются основой единой системы финансов
государства. Это определяется тем, что они непосредственно обслуживают процесс
создания и распределения совокупного общественного продукта и национального
дохода.
Именно в этой сфере финансов формируется основная часть
доходов, которые в последующем по различным каналам перераспределяются в
народнохозяйственном комплексе и служат основным источником экономического
роста и социального развития общества. От того, в каком состояние находятся
финансы предприятий различных форм собственности, зависит обеспеченность
централизованных денежных фондов финансовыми ресурсами.
В связи с вышеизложенным тема курсовой работы является весьма
актуальной. Основной целью написания работы определим изучение теоретических
аспектов финансов предприятий.
Для достижения цели необходимо решить ряд поставленных задач:
определить сущность финансов предприятий;
описать функции финансов предприятий;
изучить принципы организации финансов предприятий;
исследовать особенности организации финансов предприятий
различных организационно-правовых форм;
раскрыть финансовые ресурсы предприятий, их состав,
структуру, источники формирования и распределения;
выполнить расчетное задание.
финансовый ресурс прибыль продукция
Предметом исследования являются финансы предприятий, а
объектом исследования - финансы предприятий любой формы собственности.
1.
Теоретические аспекты финансов предприятий
1.1 Финансы
предприятия: сущность, функции и принципы их организации
Финансы предприятий - это экономическая категория,
особенность которой заключается в сфере ее действия и присущих ей функций. В
общественном воспроизводстве финансы предприятий выражают распределительные
отношения. Однако их действия не ограничиваются лишь в сферах распределения
[11, с.7].
Выражая распределительные отношения финансы причастны ко всем
стадиям процесса воспроизводства: оно эквивалентно доле распределения в каждой
фазе, поскольку распределение имеет место и на производственной стадии, и на
стадии обмена, и на стадии потребления.
Без участия финансов не может совершаться кругооборот
общественных производственных фондов в целом.
Как в самом общественном воспроизводстве при определяющем
значении производства все его звенья взаимосвязаны и взаимодействуют, так и
финансы в совокупности элементов экономики и их взаимодействии составляют
единство этой экономики.
Финансы предприятий являются важнейшей составной частью
единой системы государства. Это предопределяется прежде всего тем, что они
обслуживают сферу материального производства, в которой создаются совокупный
общественный продукт, национальный доход и национальное богатство. По своей
сущности финансы предприятий являются специфической частью финансовой системы.
Они отличаются от государственных финансов, что обусловлено функционированием
их в разных сферах общественного производства [8, с.9].
Финансы предприятий связаны непосредственно с производством и
отражают закономерности развития экономики; они являются категорией, входящей в
состав экономического базиса.
Финансы предприятий связаны непосредственно с производством и
отражают состояние экономики страны. Они характеризуются теми же чертами,
которые присущи в целом категории финансов.
Вместе с тем им присущи особенности, обусловленные их
функционированием в сфере материального производства, где органически связаны
все сферы воспроизводственного процесса: производство, распределение, обмен и
потребление.
Для обеспечения воспроизводственного процесса с помощью
финансов на предприятиях всех отраслей народного хозяйства формируются денежные
фонды целевого назначения, используемые для производственных нужд и для
удовлетворения социальных и личных потребностей работающих. Финансы предприятий
являются исходной основой всей финансовой системы страны.
Финансы предприятий представляют собой совокупность
экономических отношений, возникающих в процессе производства, распределения и
использования совокупного общественного продукта, национального дохода,
национального богатства и связанных с образованием, распределением и
использованием валового дохода денежных накоплений и финансовых ресурсов. Эти
отношения, определяющие сущность данной категории выражаются в денежной форме
[2, с.10].
Но не все денежные отношения являются финансовыми, а лишь
только их часть, составляющая содержание финансов предприятий. Так, не являются
финансовыми денежные отношения, связанные с получением и погашением
краткосрочных и долгосрочных кредитов банка, денежные отношения, возникающие
при оплате кредиторской задолженности и др.
Таким образом, финансы предприятий выполняют 2 основные
функции: распределительную и контрольную.
Распределительная (обеспечивающая) функция предполагает, что
предприятие должно быть полностью обеспечено в оптимальном размере необходимыми
денежными средствами при соблюдении принципа: все расходы должны быть покрыты
собственными доходами. Временная дополнительная потребность в средствах
покрывается за счет кредита и других заемных источников. Главная цель
эффективного управления финансами - оптимизация источников денежных средств. В
процессе выполнения этой функции, выручка, получаемая от реализации продукции,
распределяется между предприятием и государством. Большое значение здесь имеет
порядок покрытия затрат и образования прибыли между предприятием и государством
- норматива платежей, порядок уплаты и т.д.
Контрольная функция связана с применением различного рода
стимулов и санкций, а также соответствующих показателей. В случае нарушения
предприятием сроков уплаты платежей бюджету, банку, поставщикам, оно вынуждено
платить штрафы, пени, неустойки, что ухудшает его финансовые показатели. Через
ряд финансовых показателей участники финансовых отношений могут контролировать
наличие финансовых ресурсов и возможность вступать в отношения. К этим
отношениям относятся: задолженность поставщикам, банку, бюджету, работникам, а
также убытки, ликвидность, платежеспособность и т.д.[5, с.13].
Финансовые отношения предприятий включают в себя:
финансовые отношения внутри предприятия, связанные с
формированием и использованием целевых фондов внутрихозяйственного значения -
уставного фонда, прибыли, фондов специального назначения (накопления,
потребления);
финансовые отношения между предприятиями по поводу активов и
купли-продажи товарно-материальных ценностей, уплаты и получения штрафов,
внесения средств в уставные фонды этих предприятий, участие в распределении
прибыли;
денежные отношения между предприятиями и государством,
связанные с формированием бюджетных и внебюджетных фондов и использованием этих
фондов;
отношения между предприятиями и кредитно-банковской системой
по поводу получения и возврата кредитов, уплаты процентов за предоставленные
ссуды, внесение средств на депозитные счета банков и получения % по ним;
отношения между предприятиями и добровольными объединениями
или вышестоящими органами - по поводу образования и использования
централизованных фондов и резервов;
денежные отношения между предприятиями и их работниками при
осуществлении оплаты по труду [5, с.14].
Каждая из перечисленных групп имеет свои особенности и сферу
применения. Однако все они носят двухсторонний характер и их материальной
основой является движение денежных средств. Движение денежных средств
сопровождается формированием уставного капитала предприятия, начинается и
завершается круговорот средств, формирование и использование денежных фондов
различного назначения.
Осуществление финансовой деятельности предприятия основано на
реализации следующих принципов [7, с.21]:
Принцип хозяйственной самостоятельности предполагает, что
предприятие самостоятельно независимо от организационно-правовой формы
хозяйствования определяет свою экономическую деятельность, направления вложений
денежных средств с целью извлечения прибыли.
Принцип самофинансирования означает полную окупаемость затрат
на производство и реализацию продукции, инвестирование в развитие производства
за счет собственных денежных средств и при необходимости банковских и
коммерческих кредитов. Реализация этого принципа - одно из основных условий
предпринимательской деятельности, обеспечивающее конкурентоспособность
предприятия.
Принцип материальной ответственности означает наличие
определенной системы ответственности за ведение и результаты хозяйственной
деятельности. В случае неэффективной деятельности к предприятию может быть
применена процедура банкротства. Для руководителей предприятия принцип
материальной ответственности реализуется через систему штрафов в случаях
нарушения налогового законодательства.
Принцип заинтересованности в результатах деятельности
обусловлен основной целью предпринимательской деятельности - извлечение
прибыли. Заинтересованность в результатах хозяйственной деятельности в равной
степени присуща работникам предприятия, самому предприятию и государству в
целом.
Принцип обеспечения финансовых резервов обусловлен
необходимостью формирования финансовых резервов, обеспечивающих
предпринимательскую деятельность, которая сопряжена с риском из-за возможных
колебаний рыночной конъюнктуры. В рыночной экономике последствия риска ложатся
непосредственно на предпринимателя, который самостоятельно принимает решения,
реализует разработанные программы с риском невозврата вложенных денежных
средств. Финансовые вложения предприятия также связаны с риском получения
недостаточного процента дохода по сравнению с темпами инфляции или более
доходными сферами приложения капитала. Возможно, могут иметь место прямые
просчеты в результате производственной программы.
Необходимо отметить, что финансы предприятий различных организационно-правовых
форм имеют свои отличительные особенности, которые рассмотрим далее.
1.2
Особенности организации финансов предприятий различных организационно-правовых
форм
В зависимости от организационно - правовой формы предприятия
его финансы функционируют по-разному. Статус предприятия налагает определенные
законодательством особенности на формирование уставного капитала, текущее
финансирование, фондообразование, порядок налогообложения, формы и методы
финансового контроля и т.д.
Экономическая организация любого хозяйствующего субъекта
начинается с образования основных и оборотных средств, величина которого
отражается в уставе хозяйствующего субъекта и носит название "Уставный
капитал" или уставный фонд. В зависимости от организационно - правовой
формы предприятия его источниками могут быть: акционерный капитал, паевые
взносы членов кооператива, отраслевые финансовые ресурсы, долгосрочный кредит,
бюджетные средства [3, с.26].
Уставный капитал, таким образом представляет
собой сумму вкладов учредителей предприятия для обеспечения его
жизнедеятельности. Его величина соответствует сумме зафиксированной в
учредительных документах, и является неизменной. Увеличение или уменьшение
уставного капитала может производиться в установленном порядке (например, по
решению общего собрания) только после перерегистрации хозяйствующего субъекта.
Источники формирования уставного капитала предприятий
различны. Для государственного предприятия - это стоимость имущества,
закрепленного государством за предприятием на праве полного хозяйственного
ведения; для общества с ограниченной ответственностью - сумма долей
собственников; для акционерного общества - совокупная номинальная стоимость
акций всех типов; для производственного кооператива - стоимостная оценка
имущества, предоставленного участниками для ведения деятельности; для арендного
предприятия - сумма вкладов его работников; для предприятий иной формы,
выделенного на самостоятельный баланс, - стоимостная оценка имущества,
закрепленного его собственником за предприятием на праве полного хозяйственного
ведения [3, с.27].
В зависимости от формы формирования уставного капитала
предприятия можно разделить на единоличные владения, партнерства и корпорации.
Рассмотрим положительные и отрицательные моменты данных видов предприятий.
Единоличное предприятие несет ответственность по
своим обязательствам всем капиталом предприятия и своим имуществом. Все дела
единоличного предприятия ведет его собственник или специально уполномоченный на
это служащий, подконтрольный собственнику. В фирменном наименовании, печатях и
штампах такого предприятия указывается фамилия собственника. В роли учредителя
может выступать любое дееспособное физическое лицо, создающее предприятие. Это
самый простой способ организации хозяйственной деятельности. Его легко
учредить. Учредитель имеет высокую мотивацию для бизнеса, располагает
значительной свободой действий в процессе ведения дела. Число предприятий в
промышленно - развитых странах - 65-75 % [4, с.30].
Отрицательные моменты:
а) ограниченность финансовых ресурсов, не позволяющая
расширить рамки деятельности, масштаб производства. Недостаток средств
порождает проблемы низкой кредито - и платежеспособности, снижая шансы на успех
в конкурентной борьбе и зачастую приводя к банкротству;
б) в большинстве случаев предпринимателю самому приходится
решать вопросы, связанные с управлением персоналом, материально - техническими
ресурсами, финансами, маркетингом, тогда как в корпорациях эти функции
распределены между специалистами;
в) владелец выступает субъектом неограниченной
ответственности. Это означает, что любой иск, выдвинутый против единоличного
владения, может рассматриваться как иск, вчиненный его хозяину [4, с.31].
Партнерство (7-15 % от общего количества предприятий
в развитых странах). Уставный капитал формируется в долевом соотношении
собственниками, которых должно быть не менее двух. Партнеры ведут дела
совместно, но могут передавать управленческие функции менеджеру. Его легко
создать, составив и утвердив учредительный договор. Управление бизнесом более
результативно за счет специализации, объединение капиталов дает возможность
больше привлекать финансовые ресурсы.
Отрицательные моменты:
а) коллегиальное управление порождает конфликт интересов;
б) высока ответственность членов партнерства не только за свои
ошибки, но и за промахи партнеров - солидарная ответственность;
в) относительная ограниченность финансовых ресурсов [4,
с.32].
Корпорация - 15-25 % от общего числа предприятий, однако,
корпорации осуществляют около 90 % всего производства продукции. Самые большие
преимущества аккумуляции капитала (ценные бумаги, ссуды и пр.) Владельцы
акционерных обществ несут ограниченную ответственность за результаты финансово
- хозяйственной деятельности, рискуют только на сумму вложенных акций.
Отрицательные моменты:
а) сложность процедуры учреждения;
б) имеется возможность махинаций, т.к. собственники часто
отстранены от реального управления делами;
в) двойное налогообложение: с прибыли корпорации, доходов
акционеров;
г) возможны конфликты между собственниками и менеджерами
предприятия, т.к. функции владения разделены [4, с.32].
Особенности финансов акционерного общества. Отличительными
особенностями ОАО является формирование уставного капитала за счет продажи
акций в форме открытой подписки и свободное обращение акций на рынке ценных
бумаг. Открытое и закрытое акционерное общество образует уставный капитал из
номинальной стоимости акций общества, приобретенных акционерами. Его величина
должна быть не менее размера, предусмотренного законом РФ об АО (для ЗАО не
менее 100 мин. оплаты труда, для ОАО - не менее 1000). Открытая подписка на
акции не допускается до полной оплаты уставного капитала (чтобы не создавать
фиктивные АО). При учреждении АО все его акции должны быть распределены среди
учредителей.
К ценным бумагам, выпускаемым АО относятся акции и облигации.
С помощью эмиссии ценных бумаг АО мобилизует денежные средства для увеличения
уставного капитала и привлекает заемные финансовые ресурсы для ведения
хозяйственной деятельности [9, с.22].
Уставный капитал АО гарантирует интересы кредиторов, поэтому
его величина должна соответствовать размеру чистых активов. Если по годовому
балансу стоимость чистых активов окажется ниже, чем уставный капитал общества,
он должен быть скорректирован в сторону уменьшения с обязательной регистрацией
нового размера в соответствующих финансовых органах. Законодательно
определяется минимальный размер уставного капитала, ниже которого общество
подлежит ликвидации.
Уставный капитал АО может изменяться только по решению общего
собрания акционеров путем дополнительной эмиссии или изменением номинальной
стоимости акций, выпущенных ранее. Очередное увеличение уставного капитала
допускается после полной оплаты предыдущей эмиссии и ликвидации задолженности
акционеров перед обществом. АО, имеющее убытки по итогам финансового года, не
вправе увеличивать уставный капитал путем проведения очередной эмиссии.
Покрытие убытков вновь привлекаемыми финансовыми ресурсами означает, что новые
акционеры заранее теряют часть причитающихся им дивидендов [9, с.23].
Гарантией прав акционеров является установленный
законодательно порядок управления АО. Высший орган управления - общее собрание,
которое имеет исключительные права на принятие решений: внесение изменений в
устав, изменение размера уставного капитала, установление порядка и пропорций
распределения прибыли и покрытия убытков.
В зависимости от целей деятельности все хозяйствующие
субъекты можно разделить на коммерческие и некоммерческие предприятия.
Коммерческие организации создаются с целью извлечения
прибыли. Они могут осуществлять свою деятельность в форме:
государственных и муниципальных унитарных предприятий;
хозяйственных товариществ и обществ;
производственных кооперативов.
Унитарные предприятия могут быть основаны на праве
хозяйственного ведения и на праве оперативного управления. Унитарное
предприятие имеет свою специфику формирования и использования денежных фондов и
доходов и особые имущественные права. Несмотря на то, что казенные предприятия
должны работать на принципах самоокупаемости и самофинансирования, значительная
часть их усилий направлена на получение от государства наиболее выгодных планов
- заказов и максимально возможных ресурсов на их выполнение. Самостоятельность
и инициативность таких предприятий крайне ограничена, как и принятие самостоятельных
решений в области использования имеющихся на предприятии финансовых ресурсов
[10, с.25].
Хозяйственные товарищества обладают более широкими
возможностями в распределении финансовых ресурсов. К хозяйственным
товариществам относятся полные товарищества, товарищества на вере (коммандитные
товарищества), а также хозяйственные общества (открытые и закрытые акционерные
общества).
Производственным кооперативом является добровольное
объединение граждан для совместной деятельности, основанной на их личном
трудовом или ином участии, объединении его членами имущественных паевых
взносов. Прибыль распределяется между его членами в соответствии с их трудовым
участием.
Некоммерческие организации создаются не с целью
извлечения прибыли и могут осуществлять предпринимательскую деятельность лишь
для достижения целей, ради которых они созданы. Некоммерческие организации
создаются в форме:
потребительских кооперативов;
общественных и религиозных организаций (объединений);
благотворительных и иных фондов;
других формах, предусмотренных законом [10, с.26].
Некоммерческие организации характеризуются специфическими
методами финансирования: самофинансирование - обеспечение предприятий за счет
их собственных средств; сметное финансирование - предоставление денежных
средств из бюджета для покрытия расходов государственных учреждений; смешанное
финансирование - при недостатке собственных средств часть расходов
компенсируется бюджетным финансированием.
Финансирование может осуществляться в двух формах:
бюджетных ассигнований - денежные средства из бюджета
соответствующего уровня для покрытия расходов предприятий на определенные цели;
бюджетных дотаций - денежные средства, предоставляемые из
бюджета государственным предприятиям, оказывающим платные услуги населению по
регулируемым ценам.
1.3
Финансовые ресурсы предприятий, их состав, структура, источники формирования,
распределения
Основой организации финансов предприятий всех форм
собственности является наличие финансовых ресурсов в размерах, необходимых для
осуществления организационной хозяйственной и коммерческой деятельности
собственника.
Первоначальное формирование этих ресурсов производится в
период создания предприятия путем образования уставного фонда, состоящего из
основных и оборотных средств. Источниками образования уставного капитала могут
быть: акционерный капитал; паевые взносы членов кооператива; собственные
средства предпринимателя; долгосрочный кредит; бюджетные средства и др.
Предприятия осуществляют свою деятельность на основе полного
хозрасчета и самофинансирования. Полный хозрасчет предполагает обязательное
получение прибыли в размерах, обеспечивающих финансирование. Полный хозрасчет
означает экономическую самостоятельность предприятия и ответственность за
результат работы.
Формирование финансовых ресурсов осуществляется за счет
собственных и приравненных к ним средств, мобилизации ресурсов на финансовом
рынке и поступления денежных средств от финансово банковской системы в порядке
перераспределения [6, с. 19].
Собственные финансовые ресурсы предприятия включают
первоначальные взносы учредителей предприятия и накопления за счет результатов
хозяйственной деятельности. При создании предприятия уставный капитал
направляется на приобретение основных фондов и формирование оборотных средств в
размерах, необходимых для ведения нормальной производственно-хозяйственной
деятельности. Он вкладывается в приобретение лицензий, патентов, - ноу-хау,
использование которых является важным доходообразующим фактором. Таким образом,
первоначальный капитал инвестируется в производство, в процессе которого
создается стоимость, выражаемая ценой реализованной продукции. Таким образом, в
качестве вклада в уставный капитал может выступать любой вид имущества [6, с.
20].
На основе возвратности предприятием привлекаются заемные
финансовые ресурсы - долгосрочные кредиты банков, средства других предприятий,
облигационные займы, источником возврата которых является прибыль предприятия.
Так формируются заемные финансовые ресурсы.
Заемные финансовые ресурсы - это ресурсы, мобилизованные на
финансовом рынке: банковский кредит, ссуды других кредиторов под векселя и иные
долговые обязательства, и денежные средства, полученные от размещения
облигационных займов, доходы от эмиссии ценных бумаг предприятия (например,
акций при формировании уставного капитала). Кроме того, сюда относятся и так
называемые устойчивые пассивы [8, с.40].
Привлеченные финансовые ресурсы формируются за счет бюджетных
ассигнований, мобилизации собственных ресурсов в строительстве, экономии от
строительства хозяйственным способом, страховых возмещений, средств долевого
участия, доходов от приобретенных ценных бумаг и других финансовых активов,
доходов от реализации неиспользованного имущества. Для получения дополнительных
доходов предприятия вправе приобретать ценные бумаги других предприятий и
государства, вкладывать средства в уставный капитал вновь образуемых
предприятий и банков, предоставлять их взаймы другим предприятиям на условиях
возвратности, срочности и платности. Временно свободные средства предприятия
могут обособить из общего денежного оборота [8, с.41].
Формирование и использование финансовых ресурсов
осуществляется на двух уровнях: в масштабах страны и на каждом предприятии.
Величина и структура источников формирования финансовых ресурсов в масштабах
страны определяют возможности расширенного воспроизводства народного хозяйства,
повышения уровня членов общества, роста доходов бюджета государства. Размер
финансовых ресурсов, формируемых на уровне предприятия, определяет возможности
осуществления необходимых капитальных вложений, увеличения оборотных средств,
выполнения всех финансовых обязательств, обеспечение потребностей социального
характера.
Первоначальное формирование финансовых ресурсов происходит в
момент учреждения предприятия, когда образуется уставный фонд. Его источниками
в зависимости от организационно-правовых форм хозяйствования выступают:
акционерный капитал, паевые взносы членов кооперативов, отраслевые финансовые
ресурсы (при сохранении отраслевых структур), долгосрочный кредит, бюджетные
средства. Величина уставного фонда показывает размер тех денежных средств -
основных и оборотных - которые инвестированы в процесс производства.
Основным источником финансовых ресурсов на действующих
предприятиях выступает стоимость реализованной продукции (оказанных услуг),
различные части которой в процессе распределения выручки принимают форму
денежных доходов и накоплений. Финансовые ресурсы формируются главным образом
за счет прибыли (от основной и других видов деятельности) и амортизационных
отчислений. Наряду с ними источниками финансовых ресурсов также выступают:
выручка от реализации выбывшего имущества,
устойчивые пассивы,
различные целевые поступления (плата за содержание детей в
дошкольных учреждениях и т.д.),
мобилизация внутренних ресурсов в строительстве и др [11,
с.22].
Разворачивающиеся повсеместно процессы приватизации
государственной собственности приводят к тому, что появляется, и будет играть
важную роль, еще один источник финансовых ресурсов - паевые и иные взносы
членов трудового коллектива.
Значительные финансовые ресурсы, особенно по вновь
создаваемым и реконструируемым предприятиям, могут быть мобилизованы на
финансовом рынке. Формами их мобилизации являются: продажа акций, облигаций и
других видов ценных бумаг, выпускаемых данным предприятием, кредитные
инвестиции.
До перехода на рыночные условия хозяйствования значительные
финансовые ресурсы предприятия получались на основе внутриотраслевого
перераспределения денежных средств и бюджетного финансирования. Однако принципы
рыночного хозяйствования, внедрение коммерческих начал в деятельность
предприятий, естественно, потребовали принципиально иных подходов к
формированию финансовых ресурсов. Ориентация на инициативу и предприимчивость,
полная материальная ответственность обусловили два важнейших изменения в
области финансовых взаимосвязей предприятий с другими структурами: во-первых,
развитие страховых операций, и, во-вторых, существенное сокращение сферы
безвозмездно получаемых ассигнований. В этой связи при переходе на рыночные
основы хозяйствования в составе финансовых ресурсов, формируемых в порядке
перераспределения, все большую роль постепенно будут играть выплаты страхового
возмещения, поступающие от страховых компаний, и все меньшую - бюджетные и
отраслевые финансовые источники. Предприятия смогут получать финансовые
ресурсы: от ассоциаций и концернов, в которые они входят (лишь в том случае,
если это предусмотрено механизмом использования соответствующих денежных
фондов); от вышестоящих организаций - при сохранении отраслевых структур; от
органов государственного управления - в виде бюджетных субсидий на строго
ограниченный перечень затрат. Зато в условиях функционирования рынка ценных
бумаг появятся такие виды финансовых ресурсов, как дивиденды и проценты по
ценным бумагам других эмитентов, а также прибыль от проведения финансовых
операций.
Использование финансовых ресурсов осуществляется предприятием
по многим направлениям, главными из которых являются:
платежи органам финансово-банковской системы, обусловленные
выполнением финансовых обязательств. Сюда относятся; налоговые платежи в
бюджет, уплата процентов банкам за пользование кредитами, погашение ранее
взятых ссуд, страховые платежи и т.д.;
инвестирование собственных средств в капитальные затраты
(реинвестирование), связанное с расширением производства и техническим его
обновлением, переходом на новые прогрессивные технологии, использование
"ноу-хау" и т.д.;
инвестирование финансовых ресурсов в ценные бумаги,
приобретаемые на рынке: акции и облигации других фирм, обычно тесно связанных
кооперативными поставками с данным предприятием, в государственные займы и
т.п.;
направление финансовых ресурсов на образование денежных
фондов поощрительного и социального характера;
использование финансовых ресурсов на благотворительные цели,
спонсорство и т. п [1, с.26].
С переходом на рыночные основы хозяйствования необычайно
возрастает не только роль руководителей предприятий, членов правлений
акционерных компаний, но и финансовых служб, игравших второстепенную роль в
условиях административно-командных методов управления. Изыскание финансовых
источников развития предприятия, направлений наиболее эффективного
инвестирования финансовых ресурсов, операции с ценными бумагами и другие
вопросы финансового менеджмента становятся основными для финансовых служб
предприятий в условиях рыночной экономики. Суть финансового менеджмента
заключается в такой организации управления финансами со стороны соответствующих
служб, которая позволяет привлекать дополнительные финансовые ресурсы на самых
выгодных условиях, инвестировать их с наибольшим эффектом, осуществлять
прибыльные операции на финансовом рынке, покупая и перепродавая ценные бумаги.
Достижение успеха в области финансового менеджмента во многом зависит от такого
поведения работников финансовых служб, при котором главными становятся
инициатива, поиск нетрадиционных решений, масштабность операций и оправданный
риск, деловая хватка.
Мобилизуя денежные средства других собственников на покрытие
затрат своего предприятия, работники финансовой службы прежде всего должны
иметь ясное представление о целях инвестирования ресурсов и уже в соответствии
с ними давать рекомендации о формах привлечения средств. Для покрытия
краткосрочной и среднесрочной потребности в средствах целесообразно
использовать ссуды кредитных учреждений. При осуществлении крупных капитальных
вложений в реконструкцию и расширение предприятия можно воспользоваться
выпуском ценных бумаг. Однако подобная рекомендация может быть дана лишь в том
случае, если финансисты основательно изучили финансовый рынок, проанализировали
спрос на разные виды ценных бумаг, учли возможное изменение конъюнктуры и,
взвесив все это, тем не менее, уверены в сравнительно быстрой и выгодной
реализации ценных бумаг своего предприятия.
Планирование величины текущих потребностей финансов учитывает
следующее:
реальную величину потребностей предприятия в прошедшем
периоде;
изменение потребностей в предстоящем периоде, исходя из
конъюнктуры рынка и задач предприятия;
риск увеличения или уменьшения потребностей в финансовых
ресурсах в предстоящем периоде [1, с.30].
Финансовые отношения, возникающие в процессе образования и
использования финансовых ресурсов предприятия, формируются в процессе
кругооборота его средств, что опосредуется денежными потоками по различным
видам его деятельности.
. Текущая деятельность. Движение денежных средств, связанных
с получением выручки от продажи продукции, товаров, работ, услуг и запасов
производственно-материальных ресурсов, получением авансов, арендной платы,
уплатой по счетам поставщиков, выплатой заработной платы, расчетами с бюджетом
и фондами социального назначения, получением и возвратом краткосрочных кредитов
и займов на цели, связанные с текущей деятельностью, уплатой процентов по
указанным кредитам и займам, оплатой и получением неустоек, залогов.
. Инвестиционная деятельность. Движение денежных средств,
связанных с капитальными вложениями в связи с приобретением земельных участков,
зданий и иной недвижимости, оборудования, нематериальных активов и других
внеоборотных активов и их продажей; с осуществлением долгосрочных финансовых
вложений в другие организации, выпуском облигаций и других ценных бумаг
долгосрочного характера.
. Финансовая деятельность. Движение денежных средств,
связанных с формированием и использованием уставного капитала, добавочного
капитала, распределением и использованием прибыли, долгосрочными и
краткосрочными финансовыми вложениями, продажей корпоративных ценных бумаг,
получением долгосрочных и краткосрочных кредитов, займов, погашением
дебиторской и кредиторской задолженности нетрадиционными способами (перемены
лиц в обязательстве, новация, отступное), получение и использование целевого
финансирования и поступлений, а также расчеты по операциям, связанным с
договорами доверительного управления имуществом, простого товарищества (совместной
деятельности) [2, с.30].
Таким образом, вся совокупность финансовых отношений
предприятий, связанных с формированием и использованием финансовых ресурсов,
может быть условно представлена в виде трех денежных потоков, и иметь четкие
стоимостные характеристики. Денежные потоки влияют на всю структуру
бухгалтерского баланса предприятия, его активы и пассивы, и его финансовую
устойчивость.
"Отток" части денежного потока предприятия в форме
платежей в бюджеты и внебюджетные фонды, означают безэквивалентное изъятие этих
средств из его индивидуального кругооборота. Эти средства проходят фазу
перераспределения и принимают форму уже не денежного, а финансового потока.
Финансовый поток - это перераспределенная часть денежных
потоков (первичных доходов предприятий), аккумулированных в бюджете или во
внебюджетных (централизованных) фондах, т.е. в сфере государственных финансов.
Синоним понятия "финансовый поток" - "финансовые средства".
Это часть денежных потоков, прошедших процесс аккумуляции в различных
централизованных фондах государства (в бюджетной системе и во внебюджетных
фондах), направляемых на целевое финансирование [3, с.14]
Часть выручки от реализации продукции должна быть направлена
на возмещение материальных затрат и оплату труда. Но уже за счет полученной
выручки у предприятия аккумулируются денежные средства (фонды) в виде
амортизационных отчислений по основным средствам и нематериальным активам. Они
предназначены для приобретения нового необходимого имущества, но до его
приобретения они находятся в обороте предприятия.
За счет полученной выручки от реализации продукции образуются
денежные резервы предстоящих расходов и платежей, состав которого
регламентируется соответствующим нормативным документом в области
бухгалтерского учета и учетной политики государства. Может образовываться и
ремонтный фонд, предназначенный для равномерного распределения затрат на особо
сложные виды ремонта основных производственных фондов в себестоимости
продукции.
Процесс распределения сопровождается процессом
перераспределения. При выплате заработной платы происходит удержание
подоходного налога и отчислений в пенсионный фонд, перечисляются денежные
средства во внебюджетные фонды.
В общую величину оплаченной выручки предприятия входит доход
в форме прибыли. Общая величина прибыли не сразу участвует в денежном обороте,
так как определенная ее часть перераспределяется в форме налоговых платежей в
бюджетную систему. В результате в обороте предприятия остается нераспределенная
прибыль (прошлых лет и отчетного года), представляющая собой сумму чистой
прибыли, т.е. разницу между конечным финансовым результатом (валовой прибылью)
и суммой прибыли, направленной на уплату налогов и других платежей в бюджет [4,
с.34].
Затем чистая прибыль может распределяться в фонд накопления,
который служит источником финансирования капитальных вложений, и фонд
потребления, предназначенный для удовлетворения различных социальных
потребностей и материальных поощрений. Оба эти фонда формируются в соответствии
с учредительными документами, решениями общего собрания акционеров или учетной
политики предприятия. За счет чистой прибыли может быть образован и резервный
фонд. Он образуется в соответствии с действующим законодательством,
учредительными документами или учетной политикой предприятия.
В процессе перераспределения формируется ряд денежных
источников, имеющих характер фондов:
уставный капитал (складочный капитал, уставный фонд) -
образуется при создании предприятия за счет взносов учредителей (участников)
или за счет имущества, закрепленного собственником за предприятием. Порядок его
формирования (минимальная величина, сроки взносов, дополнительное привлечение
средств) регламентируется законодательством. Уставный капитал предназначен для
авансирования средств во внеоборотные и оборотные активы.
целевое финансирование и поступление из бюджета - в случаях,
предусмотренных соответствующими законами.
целевое финансирование и поступления из отраслевых и
межотраслевых внебюджетных фондов и от других предприятий и физических лиц для
осуществления мероприятий целевого назначения.
В кругообороте средств предприятия могут участвовать денежные
источники средств в виде эмиссионного дохода, безвозмездных поступлений,
составляющих денежную часть добавочного капитала, и резервов предстоящих
расходов и платежей. В процессе осуществления хозяйственной деятельности в
индивидуальный кругооборот средств предприятия вовлекаются и другие денежные
источники [3, с.18]
2. Расчетное
задание
Раздел 1. Затраты на изготовление продукции в первом квартале
|
Показатель
|
Изделие А
|
Изделие Б
|
|
Выпуск изделий,
шт.
|
1450
|
2640
|
|
Сдельные
расценки, руб. / шт.
|
82
|
65
|
|
Рентабельность
к полной себестоимости изделия, %
|
35
|
28
|
|
Норма расхода:
|
|
|
|
металла, т. /
шт
|
0,27
|
0,16
|
|
топлива, т. /
шт
|
0,03
|
0,018
|
|
электроэнергия,
кВт-час
|
796
|
549
|
|
|
|
|
|
|
|
Раздел 2. Потребление и продажа материальных ресурсов
А. Покупка ресурсов
|
металл
|
|
|
количество тонн
|
560
|
|
цена
приобретения, руб. / т.
|
4800
|
|
Топливо
|
|
|
Количество тонн
|
43
|
|
цена
приобретения, руб. / т.
|
1120
|
|
Электроэнергия
|
|
|
количество,
млн. кВт-час
|
3,2
|
|
стоимость 1
кВт-часа,руб.
|
1,25
|
Б. Продажа ресурсов (металл)
|
Количество
|
346
|
|
Цена продажи,
руб. / т.
|
4700
|
Раздел 3. Состояние ОПФ
|
Стоимость
зданий, млн. руб.
|
3,4
|
|
Стоимость
оборудования, млн. руб.
|
3,8
|
|
Норма
амортизации,%
|
|
|
зданий
|
5
|
|
оборудования
|
15
|
Раздел 4. Финансовые показатели
|
Ставка НДС, %
|
18
|
|
Прочие расходы,
включаемые в себестоимость продукции, тыс. руб.
|
76
|
|
Численность
работников, чел.
|
140
|
|
Среднемесячная
заработная плата одного работника, руб.
|
2400
|
|
Отчисления на
социальные нужды,%
|
34
|
|
Ежемесячные доход
от аренды, тыс. руб.
|
34
|
|
Дивиденды
ежеквартально, тыс. руб.
|
72
|
|
Первичные
платежи из прибыли, тыс. руб.
|
93
|
|
Налог на
прибыль,%
|
20
|
|
Ставка налога
на ценные бумаги, %
|
9
|
|
Экономические
санкции за квартал
|
52
|
Раздел 5. Дополнительные условия расчета
Вся сумма амортизационных отчислений и 35% чистой прибыли
направляются на развитие производства. В результате внедрения мероприятий НТП
со второго полугодия нормы расхода металла снизились на 6 %, при повышении цен
на металл на 4,0%., квартальный объем производства и соответственно
производительность труда повысились на 1,23 раза без увеличения численности
работников, заработная плата производственных рабочих возросла на 3,0%, а
условно - постоянные расходы - на 4%.
Определите:
1. Экономию от снижения себестоимости за второе
полугодие и год.
2. Хозрасчетный годовой экономический
эффект.
3. Срок окупаемости капитальных вложений и мероприятий
НТП.
2.1
Составление сметы затрат на производство и реализацию продукции
Смета затрат составляется на 1 квартал. Приведем
последовательность расчетов каждой статьи затрат данной сметы.
2.1.1 Расчет
суммы затрат на металл

(1.1)
где 
- цена приобретения металла за вычетом НДС, руб. / т. (табл.2); 
- расход
металла за квартал, т (табл.2).
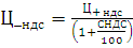
В общем случае цена за вычетом НДС определяется по формуле:

, (1.2.)
где 
- цена приобретения ресурса, включающая НДС;
СНДС - ставка налога на добавленную стоимость, % (табл.4).
Для данного варианта цена приобретения металла за вычетом НДС
составит:
Квартальные затраты на металл:

560 = 2277968 (руб.)
2.1.2 Расчет
суммы затрат на топливо

, (1.3)
где 
- цена приобретения топлива за вычетом НДС, руб. / т. (табл.2); 
- расход
топлива за квартал, т (табл.2).
Цена топлива за вычетом НДС определяется по формуле (1.2):
Квартальные затраты на топливо:

949,15
43 = 40813,45 (руб.)
2.1.3 Расчет
суммы затрат на электроэнергию

(1.4)
Цена электроэнергии за вычетом НДС определяется по формуле (2):
Квартальные затраты на электроэнергию:

1,06 
3200000 = 3392000 (руб.)
2.1.4 Расчет
затрат на выплату заработной платы

(1.5)
где 
- среднемесячная
заработная плата работника, руб., (табл.4).

- численность
работников, чел., (табл.4);

- число
месяцев в квартале.
Для данного варианта квартальные затраты на выплату заработной
платы составят:

= 2400
140 
3 = 1008000 (руб.)
2.1.5 Расчет
отчислений на страховые взносы

(1.6)
где ССН - процентная ставка отчислений на социальные нужды, %
(табл.4).
Для данного варианта квартальные отчисления на социальные нужды
составят:

= 1008000
= 342720 (руб.)
2.1.6 Расчет
амортизационных затрат
В общем случае квартальная сумма амортизации рассчитывается
по формуле:

, руб., (1.7)
где 
- балансовая стоимость основных фондов на начало периода, руб.
(табл.3).

- годовая норма амортизации, % (табл.3).

число кварталов в году.
Для данного варианта квартальные амортизационные отчисления
составят:
для зданий:
для машин и оборудования:
2.1.7 Прочие
затраты
Сумма прочих затрат дана по условию задания (табл.4).
Для данного варианта прочие затраты
составляют 76 000.
2.1.8 Расчет
общей суммы квартальных затрат по смете

руб. (1.8)

2277968 + 40813,45 + 3392000 + 1008000 + 342720 + 42500 + 142500 +
76000 = 7322501,45 (руб.).
Результаты расчетов сведем в таблицу 5.
Таблица 5
Смета затрат на производство и реализацию продукции
|
Экономические
элементы затрат
|
Цена
приобретения, руб.
|
Цена без НДС,
руб.
|
Израсходовано
|
Сумма, руб.
|
|
Металл
|
4800
|
4067,8
|
560 т.
|
2277968
|
|
Топливо
|
1120
|
949,15
|
43 т.
|
40813,45
|
|
Электроэнергия
|
1,25
|
1,06
|
3,2 млн.
кВт-час.
|
3392000
|
|
Зарплата
|
|
|
|
1008000
|
|
Отчисления на
социальные нужды
|
|
|
|
342720
|
|
Амортизация
зданий
|
|
|
|
42500
|
|
Амортизация
оборудования
|
|
|
|
142500
|
|
Прочие затраты
|
|
|
|
76000
|
|
Итого затрат
|
|
|
|
7322501,45
|
2.2
Составлениние калькуляции себестоимости производства и реализации продукции
Калькуляция себестоимости составляется на
1 квартал. Приведем последовательность расчетов каждой статьи затрат
калькуляции себестоимости.
2.2.1 Затраты
на металл на технологические нужды по норме
Затраты на металл в расчете на весь выпуск
изделия А:

(2.1)
где 
- норма расхода металла на единицу изделия А, т/шт., (табл.1)

- квартальный выпуск изделия А, шт., (табл.1).
Для данного варианта затраты на металл в расчете на весь выпуск
изделия А составят:

0,27
4067,8
1450 = 1592543,7 (руб.).
Затраты на металл в расчете на единицу изделия А:

/шт
(2.2)

1592543,7/1450 = 1098,31 (руб. /шт.).
Затраты на металл в расчете на весь выпуск изделия Б и в расчете
на единицу изделия Б определяются аналогично:

0,16
4067,8 
2640 = 1718238,72 (руб.)

= 1718238,72/2640 = 650,85 (руб. /шт.).
Суммарные затраты на металл на квартальный выпуск изделия А и Б:

1592543,7 + 1718238,72 =3310782,42 (руб.).

(2.3)
где 
- норма расхода топлива на единицу изделия А, т/шт., (табл.1);

0,03
949,15
1450 = 41288,03 (руб.)
Затраты на топливо в расчете на единицу изделия А:

/шт
(2.4)

41288,03/1450 = 28,47 (руб. /шт.).
Затраты на топливо в расчете на весь выпуск изделия Б и в расчете
на единицу изделия Б определяются аналогично:

0,018
949,15
2640 = 45103,61 (руб.)

= 45103,61/2640 = 17,08 (руб. /шт.).
Суммарные затраты на топливо на квартальный выпуск изделия А и Б:

41288,03 + 45103,61 = 86391,64 (руб.).
2.2.3 Затраты
на электроэнергию по норме
Затраты на электроэнергию в расчете на
весь выпуск изделия А:

(2.5)
где 
- норма расхода электроэнергии на единицу изделия А, кВт-час/шт.,
(табл.1);

= 796
1,06 
1450 = 1223452 (руб.)
Затраты на электроэнергию в расчете на единицу изделия А:

/шт
(2.6), 
1223452/1450 = 843,76 (руб. /шт.).
Затраты на электроэнергию в расчете на весь выпуск изделия Б и в
расчете на единицу изделия Б определяются аналогично:

549
1,06 
2640 = 1536321,6 (руб.),

1536321,6/2640 = 581,94 (руб. /шт.).
Суммарные затраты на электроэнергию на квартальный выпуск изделия
А и Б:

1223452 + 1536321,6 = 2759773,6 (руб.)
2.2.4
Заработная плата производственных рабочих по сдельной расценке
Заработная плата производственных рабочих
в расчете на весь выпуск изделия А:

(2.7)
где 
- сдельная расценка на выпуск единицы изделия А, руб. / шт.,
(табл.1).

82
1450 = 118900 (руб.)
Заработная плата производственных рабочих в расчете на весь выпуск
изделия Б определяется аналогично:

= 65
2640= 171600 (руб.)
Суммарные затраты на заработную плату производственных рабочих в
расчете на квартальный выпуск изделия А и Б:

118900 + 171600 = 290500 (руб.).
2.2.5
Отчисления на страховые взносы
Отчисления на страховые взносы в расчете
на весь выпуск изделия А:

(2.8), 
= 118900
= 40426 (руб.)
Отчисления на страховые взносы в расчете на единицу изделия А:

(2.9)

= 40426/1450 = 27,88 (руб. /шт.)
Отчисления на страховые взносы в расчете на весь выпуск изделия Б
и в расчете на единицу изделия Б определяются аналогично:

= 58344 (руб.)

58344/2640 = 22,1 (руб. /шт.).
Суммарные отчисления на страховые взносы в расчете на квартальный
выпуск изделия А и Б:

40426 + 58344 = 98770 (руб.)
2.2.6
Переменные затраты
Переменные затраты в расчете на весь
выпуск изделия А:

(2.10)

= 1592543,7+ 41288,03 + 1223452+ 118900 + 40426 = 3016609,73
(руб.)
Переменные затраты в расчете на единицу изделия А:

(2.11),

3016609,73/ 1450 = 2080,42 (руб. /шт.)
Переменные затраты в расчете на весь выпуск изделия Б и в расчете
на единицу изделия Б определяются аналогично:

1718238,72+ 45103,61+ 1536321,6 + 171600 + 58344 = 3529607,93
(руб.), 
3529607,93/2640 = 1336,97 (руб. /шт.).
Суммарные переменные затраты в расчете на квартальный выпуск
изделия А и Б:

3016609,73+ 3529607,93 = 6546217,66 (руб.).
2.2.7
Накладные расходы
Сумма накладных расходов в расчете на весь
выпуск изделия А и изделия Б:

(2.12)
где 
- общая сумма квартальных затрат по смете, рассчитанная по
формуле (1.8).

= 7322501,45 - 6546217,66= 776283,79 (руб.).
Распределение накладных расходов по изделиям производится в
соответствии с трудоемкостью каждого изделия, определенной на основе коэффициента
заработной платы (
).

(2.13)
где i - соответствующее изделие.

= 118900/290500 = 0,41;

= 171600/290500 = 0,59.
Накладные расходы в расчете на весь выпуск изделия А:

=
(2.14)

776283,79 
0,41 = 318276,35 (руб.)
Накладные расходы в расчете на единицу изделия А:

=
(2.15)

= 318276,35/1450 = 219,5 (руб. /шт.).
Накладные расходы в расчете на весь выпуск изделия Б и в расчете
на единицу изделия Б определяются аналогично:

= 776283,79 
0,59 = 458007,44 (руб.)

= 458007,44/2640 = 173,49 (руб. /шт.).
2.2.8 Полная
себестоимость
Полная себестоимость в расчете на весь
выпуск изделия А:

, руб.; (2.16)

3016609,73 + 318276,35 = 3334886,08 (руб.)
Полная себестоимость в расчете на единицу изделия А:

=
(2.17)

2080,42 + 219,5 = 2299,92 (руб. /шт.).
Полная себестоимость в расчете на весь выпуск изделия Б и в
расчете на единицу изделия Б определяется аналогично:

= 3529607,93 + 458007,44 = 3987615,37 (руб.)

= 1336,97 + 173,49 = 1510,46 (руб. /шт.)
Полная себестоимость в расчете на квартальный выпуск изделия А и
Б:

3334886,08+ 3987615,37= 7322501,45 (руб.).
Результаты расчетов пунктов 2.1 - 2.8 сведем в таблицу 6.
Таблица 6
Калькуляция себестоимости А и Б
|
Статья расходов
|
Изделие А -
1450 шт.
|
Изделие Б -
2640 шт.
|
А+Б
|
|
Нор-ма рас-хода
|
Цена без НДС
|
Затра-ты на
одно изделие
|
Затраты на весь
выпуск
|
Нор-ма рас-хода
|
Цена без НДС
|
Затраты на одно
изделие
|
Затраты на весь
выпуск
|
|
|
Металл на
технолог. нужды
|
0,27
|
4067,8
|
1098,31
|
1592543,7
|
0,16
|
4067,8
|
650,85
|
1718238,72
|
3310782,42
|
|
Топливо
|
0,03
|
949,15
|
28,47
|
41288,03
|
0,018
|
949,15
|
17,08
|
45103,61
|
86391,64
|
|
Электро-я
|
796
|
1,06
|
843,76
|
1223452
|
549
|
1,06
|
581,94
|
1536321,6
|
2759773,6
|
|
Зарплата
производ - х раб-х
|
|
|
82
|
118900
|
|
|
65
|
171600
|
290500
|
|
Отчисл-я на
социаль-ные нужды
|
|
|
27,88
|
40426
|
|
|
22,1
|
58344
|
98770
|
|
Итого
пере-менных расходов
|
|
|
2080,42
|
3016609,73
|
|
|
1336,97
|
3529607,93
|
6546217,66
|
|
Накладн.
расходы
|
|
|
219,5
|
318276,35
|
|
|
173,49
|
458007,44
|
776283,79
|
|
Полная
себест-ть
|
|
|
2299,92
|
3334886,08
|
|
|
1510,46
|
3987615,37
|
7322501,45
|
2.3
Расчет квартального объема реализации продукции и прибыли предприятия
2.3.1 Расчет
оптовой цены и объема реализации
Оптовая цена предприятия на изделие i определяется по формуле:

(3.1)
где 
- норма рентабельности по изделию i, (табл.1).

2299,92 = 3104,89 (руб. /шт.)

= 
1510,46 = 1933,39 (руб. /шт.)
Объем реализации в оптовых ценах:

(3.2)

3104,89
1450 + 1933,39
2640 = 9606240,1 (руб.).
2.3.2
Формирование квартальной прибыли
Валовая прибыль предприятия определяется
по формуле:

(3.3)
где 
- прибыль от реализации продукции, руб.; 
- прибыль от внереализационной деятельности, руб. Прибыль от
реализации продукции определяется по формуле:

(3.4)
где 
- прибыль от основной производственной деятельности, руб.;

- прибыль от коммерческой деятельности (реализации имущества,
товаров), руб.
Прибыль от основной производственной деятельности определяется по
формуле:

(3.5.) 
= 9606240,1 - 7322501,45 = 2283738,65 (руб.)
Прибыль от коммерческой деятельности
определяется по формуле:

(3.6)
где 
- цена продажи, руб. /ед.; 
- цена покупки, руб. /ед.;

- объем продаж, ед.
В данном варианте предприятие реализует металл (табл.2). Прибыль
от реализации металла:

= 
346 = - 29322,03 (руб.)

2283738,65 - 29322,03 = 2254416,62 (руб.)
Прибыль от внереализационной деятельности определяется по формуле:

(3.7) где 
- прибыль от аренды имущества, руб.;

(3.8)
где 
- ежемесячный доход от сдачи помещений в аренду, руб., (табл.4); 
- количество месяцев в квартале;

= 86440,68 (руб.)

- дивиденды по ценным бумагам.
Для данного варианта 
= 72000 руб., (табл.4).

86440,68 + 72000 = 158440,68 (руб.)
Итого валовая прибыль предприятия за квартал составит:

2254416,62+ 158440,68 = 2412857,3 (руб.)
2.3.3
Распределение квартальной прибыли
Налогооблагаемая прибыль предприятия
определяется по формуле:

(3.9)
где 
- налоги,
выплачиваемые из прибыли, первоначальные платежи, руб., (табл.4).

2412857,3 - 93000 = 2319857,3 (руб.)
Налоги на доход по ценным бумагам:

,руб., (3.10)
где 
- ставка налога на доход по ценным бумагам, % (табл.4).

72000 
6480 (руб.)
Прибыль, остающаяся в распоряжении предприятия:

(3.11)
где СНП - ставка налога на прибыль, %, (табл.4).

2319857,3 - (2319857,3 - 72000) 
- 6480 = 1876765,84 (руб.)
Чистая прибыль предприятия:

(3.12)
где 
- экономические санкции, руб., (табл.4).

=1876765,84 - 52000 = 1824765,84 (руб.)
2.4 Расчет
эффективности капитальных вложений и мероприятий НТП
2.4.1 Расчет
суммы капитальных вложений
По условию источником капитальных вложений
является сумма амортизационных отчислений и 35% чистой прибыли.

42500 + 142500 + 1824765,84
= 823668,04 (руб.)
2.4.2 Расчет
экономии внедрения капитальных вложений и мероприятий НТП
Определим квартальную экономию по каждому
изделию.
Изделие А
1) Экономия по металлу
в расчете на единицу изделия:

(4.1)
где 
- коэффициент изменения цены на металл, для данного варианта

= 1,04;

- коэффициент изменения нормы расхода на металл, для данного
варианта 
= 0,94;

1,07 %.
2) Экономия по заработной плате в расчете
на единицу изделия:

(4.2)
где 
- коэффициент изменения заработной платы, для данного варианта 
1,03.

- коэффициент изменения выпуска.
Для данного варианта 
1,23.

0,78 %
3) Экономия на
условно-постоянных (накладных) расходах в расчете на единицу изделия:

(4.3)
где 
- коэффициент изменения накладных расходов.
Для данного варианта 
= 1,04.

1,47 %
Итого экономия по изделию А в процентах:

=
1,07+ 0,78 + 1,47 = 3,32 %
Экономия по изделию А в рублях:

2299,92 
= 76,36 (руб. / шт.).
Изделие Б
Экономия по изделию Б определяется аналогично.
1) Экономия по металлу в расчете на
единицу изделия:

= 0,97 %
2) Экономия по заработной плате в расчете на единицу
изделия:

= 0,94 %
3) Экономия на условно-постоянных
(накладных) расходах в расчете на единицу изделия:

= 1,77 %
Итого экономия по изделию Б в процентах:

=
0,97 + 0,94 + 1,77= 3,68%
Экономия по изделию Б в рублях:

1510,46
= 55,58 (руб. / шт.).
Определим экономию за второе полугодие:

(4.4)

76,36
1450
1,23
2 + 55,58
2640
1,23
2 = 633334,87 (руб.)
Определим годовую экономию:

633334,87
2 = 1266669,74 (руб.).
2.5 Расчет
показателей эффективности капвложений
Срок окупаемости капвложений определим по
формуле:

(5.1)

= 0,65 (лет).
Хозрасчетный годовой экономический эффект определим по формуле:

(5.2)
где 
- нормативный коэффициент эффективности капвложений составляет
0,15.

= 1266669,74 - 0,15 
823668,04 = 1143119,53 (руб.)
2.6 Анализ
сметы затрат и калькуляции себестоимости в 1 квартале
Целью анализа сметы затрат и калькуляции
себестоимости является определение структуры затрат и структуры себестоимости
по изделиям, а также выявление статей затрат, преобладающих в данных
структурах.
Для определения структуры затрат по смете
необходимо выявить удельные веса каждого элемента за трат в общей сумме затрат
(табл.7).
Удельный вес каждого элемента затрат
определяется по формуле:

(6.1)
где 
- затраты по соответствующему элементу i, руб.;

- итоговая сумма затрат по всем элементам.
Например, рассчитаем удельный вес затрат на металл:

= 
= 31,11%
Расчет удельных весов по остальным элементам осуществляется
аналогично.
Таблица 7
Структура затрат по смете
|
Экономический
элемент затрат
|
Сумма, руб.
|
Удельный вес, %
|
|
Металл
|
2277968
|
31,11
|
|
Топливо
|
40813,45
|
0,56
|
|
Электроэнергия
|
3392000
|
46,32
|
|
Зарплата
|
1008000
|
13,77
|
|
Отчисления на
социальные нужды
|
342720
|
4,68
|
|
Амортизация
зданий
|
42500
|
0,58
|
|
Амортизация
оборудования
|
142500
|
1,95
|
|
Прочие затраты
|
76000
|
1,04
|
|
Итого затрат
|
7322501,45
|
100,0
|
Для наглядности представим структуру
затрат по смете в виде круговой диаграммы. Результат построения
представлен на рисунке 2.1.
Рис.2.1 Рисунок 2.1 - Структура затрат по
смете
Из данных таблицы 7 и рис.2.1 видно, что
наибольшую долю в сумме затрат имеют затраты на электроэнергию (46,32%) и на
металл (31,11%). Отсюда можно сделать вывод о том, что выпускаемая продукция
является энергоемкой и металлоемкой. Для определения структуры себестоимости по
каждому изделию выявляем удельные веса каждого элемента затрат в итоговых
затратах по изделиям А и Б, а также удельные веса суммы элементарных затрат на
выпуск изделия А и Б.
Для определения структуры себестоимости по
каждому изделию выявляем удельные веса каждого элемента затрат в итоговых
затратах по изделиям А и Б, а также удельные веса суммы элементарных затрат на
выпуск изделия А и Б. Результаты расчетов представлены в таблице 2.8 и на
рисунках 2.2-2.4.
Таблица 8
Структура себестоимости выпуска по
изделиям
|
Статья расходов
|
Изделие А -
1450 шт.
|
Изделие Б -
2640 шт.
|
А+Б, руб.
|
Удельный вес, %
|
|
Затраты на весь
выпуск, руб.
|
Уд. вес, %
|
Затраты на весь
выпуск, руб.
|
Уд. вес, %
|
|
|
|
Металл на
технологи-ческие нужды
|
1592543,7
|
47,75
|
1718238,72
|
43,09
|
3310782,42
|
45,21
|
|
Топливо
|
41288,03
|
1,24
|
45103,61
|
1,13
|
86391,64
|
1,18
|
|
Электроэнер-гия
|
1223452
|
36,69
|
1536321,6
|
38,53
|
2759773,6
|
37,69
|
|
Зарплата
производ - х раб-х
|
118900
|
3,57
|
171600
|
4,30
|
290500
|
3,97
|
|
Отчисления на
социальные нужды
|
40426
|
1,21
|
58344
|
1,46
|
98770
|
1,35
|
|
Накладные
(условно-постоянные) расходы
|
318276,35
|
9,54
|
458007,44
|
11,49
|
776283,79
|
|
Полная
себе-стоимость
|
3334886,08
|
100
|
3987615,37
|
100
|
7322501,45
|
100
|
Рисунок 2.2 - Структура себестоимости
выпуска изделия А
Рисунок 2.3 - Структура себестоимости
выпуска изделия Б
Рисунок 2.4 - Структура себестоимости
выпуска изделий А и Б
Сравнение данных таблиц 7 и 8 показывает,
что удельный вес такого элемента, как "металл", рассчитанный по смете
затрат, ниже удельного веса данного элемента, рассчитанного по норме в
калькуляции себестоимости на - 14,1%. Можно сделать вывод, что по данному
элементу на предприятии наблюдается экономия. По элементу
"электроэнергия" наоборот наблюдается перерасход, поскольку удельный
вес, рассчитанный по смете затрат выше данного элемента, рассчитанного по норме
в калькуляции себестоимости на - 8,63%.
Поскольку целью расчетного задания было
нахождение:
Экономии от снижения себестоимости за
второе полугодие - 633334,87 и год - 1266669,74 руб.;
Хозрасчетного годового экономического
эффекта - 1143119,53 руб.;
Срока окупаемости капитальных вложений и
мероприятий НТП - 0,65 года, считаем что оно выполнено.
Заключение
Финансы занимают особое место в экономических отношениях. Их
специфика проявляется в том, что они всегда выступают в денежной форме, имеют
распределительный характер и отражают формирование и использование различных
видов доходов и накоплений субъектов хозяйственной деятельности сферы
материального производства, государства и участников непроизводственной сферы.
Финансовые отношения существуют объективно, но имеют
конкретные формы проявления, соответствующие характеру производственных
отношений в обществе. В современных условиях формы финансовых отношений
претерпевают серьезные изменения. Становление рынка и предпринимательства в
России предполагает не только разгосударствление экономики, приватизацию
предприятий, их демонополизацию для создания свободного экономического сектора,
развитие конкуренции, либерализацию цен и внешнеэкономических связей предприятий,
но и финансовое оздоровление народного хозяйства, создание адекватной системы
финансовых отношений.
Финансы предприятий, будучи частью общей системы финансовых
отношений, отражают процесс образования, распределения и использования доходов
на предприятиях различных отраслей народного хозяйства и тесно связаны с
предпринимательством, поскольку предприятие является формой предпринимательской
деятельности.
Роль финансов предприятий проявляется в том, что финансовые
ресурсы, концентрируемые государством и используемые им для финансирования
различных общественных потребностей, в основном формируются за счет финансов
предприятий.
Финансы предприятий могут служить главным инструментом
государственного регулирования экономики. С их помощью осуществляется
регулирование воспроизводства производимого продукта, обеспечивается
финансирование потребностей расширенного воспроизводства на основе оптимального
соотношения между средствами, направляемыми на потребление и накопление.
Финансы предприятий используются для регулирования отраслевых пропорции в
рыночной экономике, способствуют ускорению развития отдельных отраслей
экономики, созданию новых производств и современных технологий.
Таким образом, финансы предприятий играют важную роль не
только в финансовой системе, но и в целом в обеспечении ее эффективного
экономического и социального развития.
Список
используемой литературы
1.
Абрамова М.А., Александровна Л.С. Финансы, денежное обращение и кредит. М.:
ИМПЭ, 2009.
.
Балабанов А.И., Балабанов И.Т. Финансы. - СПб.: Изд-во "Питер", 2006.
.
Большаков C.В.
Финансовая политика и финансовое регулирование экономики переходного периода //
Финансы. 2008. № 11.
.
Николаева Т.П. Финансы предприятий. М.: ЕАОИ, 2008. - 311 с.
.
Финансовый менеджмент: Учебник / И.Я. Лукасевич. - 2-е изд. перераб. и доп. -
М.: Эксмо, 2010. - 768с.
.
Финансовый менеджмент: Учебник для вузов / Под ред. акад.Г.Б. Поляка. - 2-е
изд., перераб. и доп. - М.: ЮНИТИ-ДАНА, 2007. - 527 с.
.
Финансы организаций (предприятий): учебник для студентов вузов, обучающихся по
экономическим специальностям, специальности 080105 "Финансы и
кредит"/ Н.В. Колчина и др.; под ред. Н.В. Колчиной. - 40е изд., перераб.
и доп. - М.: ЮНИТИ-ДАНА, 2007. - 383 с.
.
Шуляк П.Н. Финансы предприятия: Учебник. - 6-е изд., перераб. и доп. - М.:
Издательско-торговая корпорация "Дашков и К°", 2006. - 712 с.
.
Экономика предприятия (фирмы): Учебник/Под ред. проф.О.И. Волкова и доц. О.В.
Девяткина. - 3-е изд., перераб. и доп. - М.: ИНФРА-М, 2007. - 601 с.
.
Экономика предприятия: учеб. пособие / Л.Н. Нехорошева [и др.]; под ред. д-ра
экон. наук. проф.Л.Н. Нехорошевой. - Минск: БГЭУ, 2008. - 719 с.
11. Юркова Т.И.,
Юрков С.В. Экономика предприятия. Электронные учебник - Режим доступа http://econpredpr.