Проект аппаратно-технологической схемы очистки запыленного воздуха
Содержание
Введение
. Характеристика производственного
процесса
. Выбор и обоснование
аппаратно-технологической схемы пылеочистки
. Расчет аппаратов очистки газов
.1 Вытяжной зонт
.2 Пылеосадительная камера
.3 Электрофильтр
. Аэродинамический расчет газового
тракта
. Подбор дымососа
. Расчет загрязнения атмосферы
выбросами одиночного источника
. Определение границ
санитарно-защитной зоны с учетом местных метеорологических условий
Заключение
Список использованной литературы
Приложения
Введение
Людям, живущим в крупных промышленных городах,
приходится дышать воздухом, перенасыщенным вредными и ядовитыми веществами,
которые выбрасывают в атмосферу промышленные предприятия. При этом масштабы
загрязнения зависят от размеров предприятия, потребляемого сырья. Особенно
сильно влияют на загрязнение воздуха предприятия чёрной и цветной металлургии,
химии и нефтехимии, стройиндустрии, энергетики, топливной промышленности.
Окислами углеводорода, азота, серы загрязняют
атмосферный воздух тепловые электростанции. Предприятия химической
промышленности, выпускающие лекарства, средства бытовой химии, удобрения и
многие другие продукты, используемые почти во всех случаях жизни, выбрасывают в
воздух до 80 тысяч различных химикатов. При производстве строительных
материалов, особенно таких, как цемент, стекло, асфальтобетон воздух
загрязняется пылью, соединениями свинца, окисью азота, фтористым водородом и
другими.
Немалый вклад в загрязнение воздуха вносит
Китай, строящий по две новых электростанции в неделю. Эта страна опережает США
по выбросам углекислого газа и становится самым большим источником загрязнения
воздуха, причём выбросы увеличиваются с каждым годом. Например, за прошлый год
увеличение выброса углекислого газа составило 9%. Такой рост объясняется тем,
что китайские товары пользуются большим спросом у потребителей, а для их
производства требуется немалое количество энергии. Виной этому в какой то мере
являются и западные компании, переносящие свои производства в Китай в погоне за
дешёвой рабочей силой. Третье место после Китая и США по загрязнению воздуха
углекислым газом занимают страны Евросоюза, их объёмы производства этого газ
составляют приблизительно половину китайского и снижаются из года в год. За
ними следуют Россия, Индия и Япония.
В городах, где развита угольная промышленность
воздух перенасыщен зольной пылью, летучими органическим соединениями и свинцом,
что ведёт к росту заболеваемости органов дыхательной системы, болезням мозга.
Производство металла является «чемпионом» по отравлению воздуха. Например, в
Норильске в год выбрасывается колоссальные количества диоксида серы, свинца,
сероуглерода, ксилола. Эти отходы разлетаются на многие километры вокруг.
Наряду с развитием промышленности происходит
постоянное увеличение загрязнённости атмосферного воздуха. Предприятия
выбрасывают в воздух тысячи тонн пыли, химических соединений, тяжёлых металлов.
Если посчитать, то на каждого жителя России приходится примерно по 200
килограммов распылённой в окружающем воздухе «грязи» - это сажа, диоксид серы,
аммиак, оксид углерода, бензпирен, формальдегид, диоксид азота, сероводород и
другие вещества. Многие предприятия не достаточно оборудованы очистными
сооружениями, либо экономят энергию на неполной загрузке этих сооружений.
.
Характеристика производственного процесса
Машиностроение является ведущей отраслью
современной промышленности. Значение машиностроения в народном хозяйстве
определяется тем, что оно создает один из важнейших элементов производительных
сил - орудия труда. В силу разнообразных орудий производства и общественного
разделения труда машиностроение подразделяется на отдельные отрасли, из которых
главными являются: станкостроение, тяжелое машиностроение, транспортное,
энергетическое, сельскохозяйственное, атомное.
В каждой отрасли машиностроения существуют свои
специфические технологические методы и приемы, однако в целом для
машиностроения характерна общность сырьевых материалов (черные и цветные
металлы, их сплавы и идентичность основных технологических принципов
превращения их в детали (литье, ковка, штамповка, обработка резанием),а деталей
в изделие (сварка, сборка).
В производственных процессах машиностроения
используются основные принципы рациональной организации производства. На
машиностроительных заводах различают следующие основные цехи:
заготовительные: чугунолитейный, сталелитейный,
кузнечно-прессовый;
обрабатывающие: механический, термический;
выпускающие продукцию: сборочный.
Организация промышленного производства построена
по одному из принципов - технологическому, предметному или смешанному. Выше
приведенное разделение основных цехов присуще при технологическом принципе
организации производства. При предметном принципе организации производства
оборудование для изготовления конкретных деталей или сборочных единиц
сосредотачивается в отдельных цехах предприятия. При смешанном принципе - в
отдельных цехах проводится обработка технологически однородных частей и
выполнение однотипных технологических процессов и операций.
В остальном структура машинного производства
мало чем отличается от других производств, т.е. есть вспомогательные цехи и
побочные цехи, различные службы и хозяйства, органы управления предприятием,
которые осуществляют организацию производственного процесса и его контроль,
обеспечивают разработку технической документации и технологической оснастки,
бухгалтерский учет, сбыт готовой продукции.
Таким образом, машиностроительное предприятие
представляет собой совокупность ряда производств, связанных единым
технологическим процессом. В зависимости от масштабов производства,
возможностей кооперирования с другими предприятиями и от ряда других
технико-экономических условий машиностроительный завод либо сам осуществляет
весь технологический процесс, т.е. изготовляет все детали машины и производит
ее сборку, либо изготовляет лишь основные узлы машины, а детали и полуфабрикаты
(литье, поковки) получает с других специализированных предприятий и в своих
цехах производит только их обработку и последующую сборку.
Технологическая схема машиностроительного завода
следующая: сырье и топливо из шихтарных дворов, где их хранят и соответствующим
образом подготавливают для производства поступают в литейные цехи, производящие
отливки. Полученное литье направляют в механический цех, туда же поступают и
заготовки, изготовленные ковкой и штамповкой в кузнечно-прессовом цехе. В
механическом цехе производят дальнейшую обработку заготовок резанием на
различных металлорежущих станках.
Кроме обработки литых и кованных заготовок на
металлорежущих станках изготовляют детали из проката. Детали, требующие
термической обработки, направляют в термический цех.
Готовые детали из механического цеха
направляются в сборочный цех, куда поступают готовые детали их других цехов.
Механические и сборочные цехи часто располагаются в одном здании, что сокращает
расходы на внутризаводскую транспортировку деталей и узлов. Наиболее
распространенными процессами в машиностроении литье, прокатка, волочение и
прессование, ковка штамповка сварка, процессы механической обработки (обработка
резанием).
Рис. 1. Схема участка механической обработки
деталей
- станок для шлифовки коленвалов; 2 - расточной
станок для блоков цилиндров; 3 - хонинговальный станок для блоков; 4 - токарный
станок; 5 - вертикально-фрезерный станок; 6 - сверлильный станок; 7 - станок
для шлифовки клапанов; 8 - установка для опрессовки головок и блоков цилиндров;
9 - мойка; 10 - верстак для работы с головками блока; 11 - стеллаж для деталей;
12 - заточной станок; 13 - ручной станок для правки фасок клапанов; 14 -
верстак для слесарных работ; 15 - шкаф для инструмента; 16 - стеллаж для
металла; 17 - пресс гидравлический.
Рис. 2. Схема цеха механической обработки
деталей
- станок для шлифовки шатунных шеек коленвалов;
2 - станок для шлифовки коренных шеек коленвалов; 3 - плоскошлифовальный
станок; 4 - станок для обработки привалочных поверхностей; 5 - расточной станок
для блоков цилиндров; 6 - хонинговальный станок для блоков; 7 - станок для
обработки седел клапанов; 8 - станок для шлифовки клапанов; 9 - станок для
расточки постелей; 10 - станок для хонингования постелей; 11 - станок для расточки
шатунов; 12 - станок для хонингования шатунов; 13 - установка для проверки
шатунов;; 14 - балансировочный станок для коленвалов;15 - магнитный дефектоскоп
для коленвалов; 16 - токарный станок; 17 - вертикально-фрезерный станок; 18 -
сверлильный станок; 19 - установка для опрессовки головок и блоков цилиндров;
20 - мойка; 21 - верстак для работы с головками блока;22 - стеллаж для деталей;
23 - заточной станок; 24 - верстак для слесарных работ; 25 - шкаф для
инструмента; 26 - стеллаж для металла; 27 - пресс гидравлический, 28 - стенд
для разборки-сборки головок блока, П - прием деталей в ремонт, Г - участок
ремонта ГБЦ, Б - участок общего ремонта, Ш
.
Выбор и обоснование аппаратно-технологической схемы пылеочистки
На промышленных предприятиях производится
очистка воздуха, не только подаваемого в цехи, отделы, но и удаляемого из них в
атмосферу, чтобы не допускать загрязнения наружного воздуха на территории
предприятия и прилегающих к нему жилых кварталов.
Воздух, выбрасываемый в атмосферу из системы местных
отсосов и общеобменной вентиляции производственных помещений, содержащий
загрязняющие вещества, должен очищаться и рассеиваться в атмосфере с учетом
требований санитарных норм проектирования промышленных предприятий.
Очистка технологических и вентиляционных
выбросов от взвешенных частиц пыли или тумана осуществляется в аппаратах пяти
типов:
. Механические сухие пылеуловители
(пылеосадочные камеры различных конструкций, инерционные пыле- и
брызгоуловители, циклоны и мультициклоны. Пылеосадочные камеры улавливают
частицы размером более 40 - 50 мкм, инерционные пылеуловители - более 25 - 30
мкм, циклоны - 10 - 200 мкм.
. Мокрые пылеуловители (скрубберы, пенные
промыватели, трубы Вентури и др.) более эффективны, чем сухие механические
аппараты. Скруббер улавливает частицы пыли размером более 10 мкм, а с помощью
трубы Вентури - частицы пыли размером 1 мкм.
. Фильтры (масленые, кассетные, рукавные и
др.)улавливают частицы пыли размером от 0,5 мкм.
. Электрофильтры применяются для тонкой очистки
газов. Они улавливают частицы размером от 0,01 мкм.
. Комбинированные пылеуловители
(многоступенчатые, включающие не менее двух различных типов пылеуловителей).
Выбор типа пылеуловителя зависит от характера
пыли ( от размеров пылинок и её свойств; сухая, волокнистая, липкая пыль и
т.д.), ценность данной пыли и необходимой степени очистки.
.
Расчет аппаратов очистки газов
Система вентиляции цеха обеспечивает комфорт
находящихся в нем людей. Правильно подобранная и спроектированная система
вентиляции - это решение в пользу безопасности производства, безопасности
жизнедеятельности сотрудников и качества выполняемой ими работы.
Расчет вентиляции цеха основополагающая часть.
Производится перед проектированием и ложится в основу проекта. Лишь качественно
выполненные расчеты гарантируют правильность функционирования всех систем и
агрегатов. Расчет системы вентиляции цеха должен опираться на санитарные нормы
и правила и т.д.
При расчете учитываются множество факторов:
назначение цеха, объем помещения, количество людей. Количество и мощности
различного оборудования присутствующего в цехе. Также учитывается компоновка и
месторасположение оборудования. Но пожалуй самым значительным является -
вредность производства и степени требуемой очистки воздуха.
Задачей технологического расчета аппаратов для
очистки газов является определение их основных размеров, гидравлического
сопротивления и эффективности очистки по рабочим параметрам газовой смеси.
Параметры, характеризующие состояние
газовоздушной смеси: объем газа V, м3/ч; давление р, Па; температура
Т, К; плотность 
, кг/м3; теплоемкость, 
, кДж/кг∙К, вязкость 
, Па∙с.
Так как газ - носитель 100% воздух,
применяем сухой метод очистки, то для воздуха следующие параметры:
Т = 25+273=298 К
Плотность воздуха при рабочих
условиях:
где: 
и 
- нормальные условия, т.е. 
, 

, t - рабочая
температура газа, К

, 
- разряжение в системе, Па

- плотность воздуха при нормальных
условиях, кг/м3
Динамическая вязкость воздуха при
расчетных условиях:

,Па∙с

Па∙с
где: С-константа Сазерленда, для
воздуха С=124,

- коэффициент динамической вязкости
воздуха при t=25 ℃, Па∙с,
для воздуха 
Кинематическая вязкость υ, м2/с:
Дисперсный состав пыли
Таблица 1
|
Размер
частиц d на
границах фракций, мкм
|
1
|
10-30
|
40-80
|
100-150
|
200
|
|
Фракции,
% от общей массы частиц
|
3
|
18
|
22
|
50
|
7
|
Фракции пыли с частицами больше или меньше
заданного размера
Таблица 2
|
Размер
частиц d, мкм
|
1
|
10-30
|
40-80
|
100-150
|
200
|
>200
|
|
Масса
частиц больше d, %
|
100
|
97
|
79
|
57
|
7
|
0
|
|
Масса
частиц меньше d, %
|
0
|
3
|
21
|
43
|
93
|
100
|
Медианный диаметр:
dm = 36 мкм
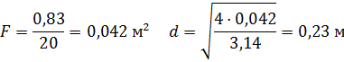
.1 Вытяжной зонт
Вытяжные зонты устанавливаются над оборудованием
с устойчивым конвективным потоком, а также над пылящим и газовыделяющим
оборудованием. С поверхности источника вредных выделений, имеющего температуру
tп (выше температуры воздуха в помещении tв), поднимается конвективный поток
тепловой струи, обусловленный разностью плотностей нагретого и холодного
воздуха. Этот поток захватывает частицы пыли, пары и образующиеся газы и уносит
их вверх к вытяжному зонту.
Для эффективного улавливания пылевых выбросов
необходимо создать такую скорость во всасывающем отверстии местного отсоса, при
которой пылевая частица не будет оседать и будет двигаться вместе с газовым
потоком.
Рис.3. Схема вытяжного зонта
- источник вредных выделений; 2 - бетонное
основание; 3 - зонт
Расчет сводится к определению площади открытого
проема зонта:
где: 
- расход воздуха, м3/ч;

- средняя скорость воздуха в
проеме, принимаем 0,3-3 м/с.
Принимаем вытяжной зонт с размерами
проема 0,9х0,9 м.
.2 Пылеосадительная камера
Простейшим сепаратором твердых взвешенных частиц
является пылеосадительная камера, в которой запыленный газовый поток
перемещается с малой скоростью, делающей возможным гравитационное осаждение
(седиментацию) транспортируемой взвеси.
В промышленности пылеосадительные камеры
используются в качестве устройств предварительной обработки газов, например,
для отделения крупных частиц и разгрузки аппаратов последующих ступеней. В
зависимости от требуемых размеров камер их ограждающие конструкции могут
выполняться стальными, кирпичными или железобетонными. Камеры могут быть полыми
или иметь перегородки и рассекатели. Последние применяют с целью уменьшения
габаритов пылеосадителя за счет интенсификации процесса, так как при этом
наряду с гравитационным происходит и инерционное осаждение пыли.
Целью расчета пылеосадительных камер является
подбор их габаритных размеров и определение коэффициента очистки. В общем
случае коэффициенты очистки могут быть найдены опытным путем, так как процесс
седиментации сопровождается турбулентной диффузией. Особенно заметно влияет
турбулентность на ухудшение оседания частиц в камерах с рассекателями, а также
в полых осадительных емкостях большой высоты.
Рис. 4. Пылеосадительные камеры и простейшие
пылеосадители инерционного действия:
а - простейшая пылеосадительная камера; б-
многополочная камера; в -камера с перегородками; г - камера с цепными или
проволочными завесами; д - пылевой мешок о центральным подводом газа; е -
пылевой мешок с боковым подводом газа; ж - пылеосадитель с отражательной
перегородкой, з - пылеосадитель, встраиваемый в газоходы
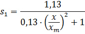
Расчет:
1. Примем
по конструктивным соображениям габариты камеры: h=1
м; b=2 м.
Найдем скорость газового потока в рабочем
сечении камеры:
где: 
- расход газов, м3/с; 
- высота и ширина камеры, м
2. Принимаем
соотношение l/h=10/1=10
3. Принимаем
отношение wр/w=1,5×h/l=1,5
1/10=0,15
Тогда скорость витания частиц, улавливаемых на
50%, будет равна:
wр=0,15
w =0,15
0,42=0,063 м/с
4. Соответствующий
размер Dр частиц,
улавливаемых на 50%, найдем из номограммы приложения 2. Тогда: для wр=0,063
м/с Dр=23 мкм.
5. Для
построения графика зависимости 
= f(Dр) принимаем
еще 4 размера частиц, выражая их через отношения скоростей витания к скорости
газового потока: 1) wр/w=0,075; 2) wр/w=0,05; 3)
wр/w=0,3; и
4) wр/w=0,5.
Тогда скорости витания составят соответственно 0,0315; 0,0021; 0,126 и 0,21
м/с.
Размеры частиц также определим по номограмме:
) Dр
(0,0315) = 18 мкм;
) Dр
(0,0021) = 15 мкм;
) Dр
(0,126) = 32 мкм;
) Dр
(0,21) = 40 мкм.
6. Определяем средние концентрации и парциальные
коэффициенты осаждения частиц размером 18,15,32 и 40 мкм. Для этого:
а) назначаем 5 расчетных точек в выходном
сечении пылеосадителя, принимая отношение х/h
равным 0; 0,25; 0,5; 0,75; 1.
б) рассчитываем параметры осаждения х1 и х2:
в) по величинам интегралов вероятностей, взятым
из приложения 1, находим значение “N”:
N = Ф(х1) + Ф(х2) -
100
г) вычисляем среднеарифметические значения Nm
по сечению:
д) определяем средний парциальный коэффициент
осаждения частицы рассматриваемого размера (с принятой скоростью витания):
ηр = 100 - Nm
Расчеты сводим в таблицы.
Таблица 3а
|
wр/w =
0,075; wр =
0,0315; Dр =
18 мкм
|
|
х/h
|
0
|
0,25
|
0,5
|
0,75
|
1,0
|
|
Х1
|
0,94
|
1,87
|
2,83
|
3,77
|
4,72
|
|
Х2
|
6,6
|
5,66
|
4,72
|
3,77
|
2,83
|
|
Ф(х1)
|
82,64
|
96,9
|
100
|
100
|
100
|
|
Ф(х2)
|
100
|
100
|
100
|
100
|
100
|
|
N
|
82,64
|
96,9
|
100
|
100
|
100
|
|
 % ηр = 100 -
95,91 = 4,09 %
|
Таблица 3б
|
wр/w = 0,05;
wр =
0,021; Dр =
15 мкм
|
|
х/h
|
0
|
0,25
|
0,5
|
0,75
|
1,0
|
|
Х1
|
1,89
|
2,83
|
3,77
|
4,72
|
5,66
|
|
Х2
|
5,66
|
4,71
|
3,77
|
2,83
|
1,87
|
|
Ф(х1)
|
97,05
|
100
|
100
|
100
|
100
|
|
Ф(х2)
|
100
|
100
|
100
|
100
|
96,9
|
|
N
|
97,05
|
100
|
100
|
100
|
96,9
|
|
 % ηр = 100 -
98,79 = 1,21 %
|
Таблица 3в
|
wр/w = 0,3;
wр =
0,126; Dр =
32 мкм
|
|
х/h
|
0
|
0,25
|
0,5
|
0,75
|
1,0
|
|
Х1
|
-7,55
|
-6,6
|
-5,66
|
-4,72
|
-3,77
|
|
Х2
|
15,1
|
14,15
|
13,21
|
12,26
|
11,32
|
|
Ф(х1)
|
0
|
0
|
0
|
0
|
0
|
|
Ф(х2)
|
100
|
100
|
100
|
100
|
100
|
|
N
|
0
|
0
|
0
|
0
|
0
|
|
 % ηр = 100 -
0 = 100 %
|
Таблица 3г
|
wр/w = 0, 5;
wр =
0,21; Dр =
40 мкм
|
|
х/h
|
0
|
0,25
|
0,5
|
0,75
|
1,0
|
|
Х1
|
-15,09
|
-14,15
|
-13,21
|
-12,26
|
-11,32
|
|
Х2
|
22,64
|
21,7
|
20,75
|
19,81
|
18,87
|
|
Ф(х1)
|
0
|
0
|
0
|
0
|
0
|
|
Ф(х2)
|
100
|
100
|
100
|
100
|
100
|
|
N
|
0
|
0
|
0
|
0
|
0
|
|
 % ηр = 100 -
0 = 100 %
|
. Строим в вероятностно-логарифмической системе
координат кривую парциальных коэффициентов осаждения (рис. 5).
. Переносим на сетку координат линию фракционного
состава пыли. Затем по разнице между остатками R,
взятыми с линии фракционного состава, определяем процентное содержание каждой
фракции, а соответствующие им величины фракционных коэффициентов очистки
находим на линии парциальных коэффициентов очистки.
Таблица 4
|
Dр, мкм
|
1
|
20
|
60
|
125
|
200
|
|
g, %
|
4
|
6
|
16
|
24
|
50
|
|
ηр
|
0
|
0,23
|
1
|
1
|
1
|
Примечание: Сумма долей фракций g
должна быть равна 100 %
9. Вычисляем полный коэффициент очистки:
ηtot = 100
(0,04
0 + 0,06
0,23 + 0,16
1 + 0,24
1 + 0,5
1) = 91,38 %
Вывод: частицы размером >32 мкм
осядут 100%, а частицы <14 мкм не осядут ввиду их малых размеров, поэтому
необходима еще одна ступень очистки. В качестве нее будет служить электрофильтр,
т.к. частицы пыли имеют металлическое происхождение и будут эффективно
улавливаться.
Конечная запыленность очищенной газовой смеси:
где 
- запыленность газа при входе в
аппарат, г/м3
.3 Электрофильтр
Сущность процесса электрической очистки газов в
электрофильтрах заключается в следующем. Газ, содержащий взвешенные частицы,
проходит через систему, состоящую из заземленных осадительных электродов и
размещенных на некотором расстоянии (межэлектродным промежутком) «коронирующих
электродов», к которым подводится выпрямленный электрический ток высокого
напряжения.
При достаточно большом напряжении, приложенном к
межэлектродному промежутку, у поверхности коронирующего электрода происходит
интенсивная ударная ионизация газа, сопровождающаяся возникновением коронного
разряда (короны), который на весь межэлектродный промежуток не распространяется
и затухает по мере уменьшения напряженности электрического поля в направлении
осадительного электрода.
Газовые ионы различной полярности, образующиеся
в зоне короны, под действием сил электрического поля движутся к разноименным
электродам, вследствие чего в межэлектродном промежутку возникает электрический
ток, называемый током короны Улавливаемые частицы из-за адсорбции на их
поверхности ионов приобретают в межэлектродном промежутке электрический заряд и
под влиянием сил электрического поля движутся к электродам, осаждаясь на них
Основное количество частиц осаждается на развитой поверхности осадительных
электродов, меньшая их часть попадает на коронирующие электроды По мере
накопления на электродах осажденные частицы удаляются встряхиванием или
промывкой электродов
Унифицированный горизонтальный электрофильтр УГ
состоит из бункера 1, встряхивателя электродов 2, полосы встряхивания 3,
газораспределительной решетки 4, изоляторных коробок 5, осадительного 6 и
коронирующего 8 электродов, привода механизма встряхивания коронирующих
электродов 7. Перечисленные узлы смонтированы в корпусе 9.
Рис. 5. Конструкции электрофильтров
Расчет
Исходные данные: расход воздуха на
обеспыливание V0 = 3000 м3/ч; плотность газов 
= 1,29 кг/м3; температура газов t =
25 0С; атмосферное давление В = 101,3 кПа ; разрежение в системе Р = 0 кПа;
рабочее напряжение Uр = 70 кВ. Состав газов близок к атмосферному воздуху;
средний размер пылевых частиц dm= 11 мкм.
1. Рассчитываем плотность газов при рабочих
условиях:
. Определяем расход газов при рабочих условиях:
3. Находим необходимую площадь сечения
электрофильтра:
где: 
- скорость потока газов в
электрофильтре; выбирается в пределах 0,3- 2 м/с. При наличии в газе тонких
пылей 
= 0,3 - 0,5 м/с, а в трубчатых
аппаратах (вертикальных электрофильтрах) 
принимается до 1 м/с. Для условий
нашего примера примем 
= 0,85 м/с:
. Принимаем электрофильтр типа
УГ-1-2-10 с площадью активного сечения фильтра Fф= 10 м2. Радиус коронирующего
электрода R1= 0,001 м.
Определяем фактическую скорость потока газов в электрофильтре:
Таблица 5
|
Марка
электрофильтра
|
Активная
высота электродов, м
|
Активная
длина поля, м
|
Количество
полей
|
Площадь
активного сечения
|
Общая
площадь осаждения, м2
|
Габаритные
размеры, м
|
|
|
|
|
|
|
Длина
|
Ширина
(по осям опор)
|
Высота
|
|
УГ
1-2-10
|
4,2
|
2,51
|
2
|
10
|
420
|
9,6
|
3,0
|
12,3
|
5. Определяем относительную плотность газов при
стандартных условиях (В = 101,3 кПа, t
= 200С):
6. Рассчитываем критическую напряженность
электрического поля:

= 5939 кВ/м
. Находим величину средней напряженности
электрического поля:
где: d = 
- расстояние между плоскостями
осадительных и коронирующих электродов, м.
8. Рассчитываем скорость дрейфа для частиц пыли
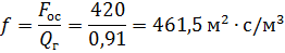
мельче 1 мкм:
. Находим удельную площадь осаждения фильтра,
учитывая, что общая площадь осаждения Fос
для фильтра УГ 1-2-10 составляет 420 м2:
. Определяем фактический коэффициент
эффективности пылеочистки:
Конечная запыленность очищенной газовой смеси:
где: 
- запыленность газа при входе в
аппарат, мг/м3
4. Аэродинамический расчет газового тракта
Для расчета сопротивления сети разбиваем ее на
участки, а участки нумеруем. Аксонометрическая схема газового тракта
представлена на
рис. 8. В результате аэродинамического расчета
определяются размеры поперечных сечений газоходов и суммарные потери давления в
сети. При этом принимается, что скорость движения газового потока в газоходах
не должна быть ниже 20 м/с, во избежание осаждения частиц пыли в газоходе.
Диаметр воздуховода, с условием что скорость
движения газового потока в газоходах была выше 20 м/с:
где F - площадь
сечения газохода, м3/ч;
Qр - расход
газа при рабочих условиях, м3/c;
vтр -
требуемая скорость движения газа в газоходах, м/с;
Определяются общие потери давления на расчетном
участке
газохода:
где
- потери давления на трение на
расчетном участке, Па;
- потери давления в местных
сопротивлениях на расчетном участке, Па.
Потери давления на трение на
расчетном участке определяются по формуле Дарси-Вейсбаха:
где: λ - коэффициент
сопротивления;- длина расчетного участка, м;- диаметр расчетного участка, м;
ρ
- плотность
газа при рабочих условиях, кг/м3;
υ
- скорость
газового потока при рабочих условиях, м/с.
Коэффициент
сопротивления λ
определяется
по формуле Альтшуля:
где Re - значение критерия Рейнольдса;
кэ
- коэффициент абсолютной эквивалентной шероховатости внутренней поверхности
газохода, м, (для стальных газоходов - 0,001 м; для асбоцементных - 0,0011 м;
для кирпичных - 0,004 м);- диаметр газохода, м. Если сечение газохода
отличается от круглого, то необходимо произвести расчет эквивалентного диаметра
по следующей формуле:э = 2АВ/А + В
где
А и В - длина и ширина сечения газохода соответственно, м.
Значение
критерия Рейнольдса определяется по следующей формуле:
где:
υ
- скорость
газового потока в газоходе при рабочих условиях, м/с;- диаметр газохода, м;
ν
- коэффициент
кинематической вязкости газа при рабочих условиях, м2/с
Потери
давления в местных сопротивлениях на расчетном участке определяются по
следующей формуле:
где:
- сумма
коэффициентов местных сопротивлений на расчетном участке;
Рд
- динамическое давление газа, Па;
Значения
коэффициентов местных сопротивлений сети
Таблица
6
|
Номер
расчетного участка
|
Вид
местных сопротивлений
|
Значение
коэффициента ξ
|
|
1
|
3
унифицированных отвода на угол 90º
|
0,35
Σζ=10,5
|
|
2
|
2
унифицированных отвода на угол 90º
|
0,35
Σζ=0,7
|
|
3
|
2
унифицированных отвода на угол 90º Конфузор перед дымососом
|
0,35
0,1 Σζ=0,8
|
Участок 1:
Найдем площадь и диаметр воздуховода, с условием
что скорость движения газового потока в газоходах была выше 20 м/с:
Принимаем d=0,25
м
Пересчитаем площадь и скорость:
Участок 2:
Участок 3:
Аэродинамический расчет газового тракта
Таблица 7
|
№
участка
|
l,
м
|
Qр,
м3/c
|
d,
м
|
F,
м2
|
υ,
м/с
|
ΔPтр, Па
|
Кэ,
м
|
Re
|
λ
|
Σζ
|
ΔPмс, Па
|
ΔPуч, Па
|
ΣΔPс, Па
|
|
1
|
15,6
|
0,83
|
0,25
|
0,049
|
16,94
|
295,8
|
0,001
|
2,71·105
|
0,028
|
10,5
|
177,8
|
473,6
|
1014
|
|
2
|
6,9
|
0,83
|
0,25
|
0,049
|
16,94
|
130,8
|
0,001
|
2,71·105
|
0,028
|
0,7
|
118,5
|
249,3
|
|
|
3
|
9,1
|
0,83
|
0,25
|
0,049
|
16,94
|
172,6
|
0,001
|
2,71·105
|
0,028
|
0,7
|
118,5
|
291,1
|
|
. Подбор дымососа
Подбор дымососа осуществляется по двум
параметрам: общим потерям давления в сети ∆Робщ, Па. и объемному расходу
газа Qp, м3/ч.
Общие потери давления в сети:
∆Робщ = ∆Рв.с.+ (∆Рпк+ ∆Рэф
)+ ∆Рг - hc
где ∆Рв.с.=1500 Па - потери давления в
вентиляционной системе до пылеулавливающей установки (по заданию);
∆Рпк =100 Па - потери давления в
пылеосадительной камере;
∆Рэф =150 Па - потери давления в
электрофильтре;
∆Рг=1014 Па - потери давления в газоходе;-
самотяга в сети, Па.
Величина самотяги в сети:
где Н=2- расстояние по вертикали между
серединами начального и конечного сечения, м (принимаем 2 м, т.к. выброс
приземный);
ρ0=1,293 кг/м3- плотность
газа при нормальных условиях;- средняя температура газа на выходе из устья
трубы, °С.
Средняя температура газового потока на выходе из
устья трубы:
= tух.г.+ tcp.м./2
где tух.г.=25 °
-температура уходящих газов из устья трубы (по заданию);ср.м. =22,2°С
- средняя максимальная температура окружающего воздуха самого жаркого месяца=
138+24,2/2=37,1 °С
∆Робщ =1500 + (100 + 150) + 1014 -
1,209=2762,8 Па
Для подбора используем два параметра:
∆Робщ =2762,8 Па - общие потери давления в
сети;
Qр=0,83 м3/с или Qр=3000
м3/ч.
С учетом вышеперечисленных параметров принимаем
дымосос ВР 280 46-2,9 со следующими техническими характеристиками:
Таблица 8
|
Тип
дымососа
|
Марка
электродвигателя
|
Установленная
мощность, кВт
|
Число
оборотов, об/мин
|
полное
давление
|
Масса
|
|
ВР
280-46-2,9
|
112-М2
|
7,5
|
2885
|
2580-2940
|
79
|
6. Расчет загрязнения атмосферы выбросами
одиночного источника
. Высота источника Н, соответствующая заданному
значению см:
Н=( А
М
F
D
ŋ / 8
V1
cm)3/4
H=(200
0,0415
1
0,25
3/4=0,022 м.
Выброс может считаться приземным.
2. Максимальное значение приземной концентрации
вредного вещества См (мг/м3) при выбросе газовоздушной смеси из одиночного
точечного источника с круглым устьем достигается при неблагоприятных
метеорологических условиях на расстоянии Хм (м) от источника и определяется по
формуле:
См =
Где: А-коэффициент, зависящий от
температуры стратификации атмосферы. Для города Томск составит 200.
М(г/с)-масса вредного вещества,
выбрасываемого в атмосферу в единицу времени;
F-безразмерный
коэффициент, учитывающий скорость оседания вредных веществ в атмосферном
воздухе;
n-коэффициент,
учитывающий условия выхода газовоздушной смеси из устья источника выброса;
Н(м)-высота источника выброса над
уровнем земли;
Ŋ- безразмерных коэффициент,
учитывающий влияние рельефа местности, в случае ровной или слабопересеченной
местности с перепадом высот, не превышающим 50 м на 1 км, ŋ =1;
∆Т(0С)-разность между температурой
выбрасываемой газовоздушной смеси Тг и температурой окружающего атмосферного
воздуха Тс.;
V1
(м3/с)-расход газовоздушной смеси (по заданию 3000 м3/ч =0,83м3/с).
См = 
= 51,16 мг/м3
К =
=
=
8
vm=0,65 
v′m=1,3
fe=800(v′m)3=800
250,253=1,25·1010
. Найдем диаметр устья источника
выброса
D=
D=
Где ω (м/с)-
средняя скорость выхода газовоздушной смеси из устья источника выброса.
. Значение опасной скорости um (м/с):
um =2,2
v′m=2,2
250,25=550,55 м/с
. Расстояние Хм (м) от источника выбросов, на
котором приземная концентрация с (мг/м3) при неблагоприятных условиях достигает
максимального значения сm:
Хм = (5-F/4)·d
H,
где: d -
безразмерный коэффициент, который на ходят по формуле:
d=16·
Хм=(5-1/4)·253,12
0,022=5,06 м
. Максимальное значение приземной концентрации
вредного вещества Сми (мг/м3) при неблагоприятных метеорологических условиях и
скорости ветра u(м/с),
отличающейся от опасной скорости ветра um
(м/с):
Сми=r
cm
где: r
- безразмерная величина, определяемая в зависимости от отношения u/um
по формуле:
r=0,67
(u/um)+1,67
(u/um)2-1,34
(u/um)3
r=0,67
(1,6/6,05)+1,67
(1,6/6,05)2-1,34
(1,6/6,05)3=0,27
Сми=0,27
51,16=13,81 мг/м3
. Расстояние от источника выброса
Хми (м):
Хми=р
Хм,
где: р- безразмерный коэффициент,
определяемый по формуле:
Р=8,43(1-u/um)5+1=8,43(1-1,6/6,05)5+1=2,81
Хми=2,81
. При опасной скорости ветра um приземная
концентрация вредных веществ с (мг/м3) в атмосфере по оси факела выброса на
различных расстояниях х (м) от источника выброса:
=s1
cm
где: s1 -
безразмерный коэффициент, определяемый в зависимости от отношения х/хм и
коэффициента F по
формулам:
Рассчитаем поля концентраций:
Для х=3 м:

= 0,81
51,16=41,58 мг/м3
Для х=4 м:

= 0,97
51,16=49,57 мг/м3
Для х=6 м:

= 0,96
51,16=49,11мг/м3
. Значение приземной концентрации
вредных веществ в атмосфере су (мг/м3) на расстоянии у (м) по перпендикуляру к
оси факела выброса:
су=s2
c
где: s2-безразмерный
коэффициент определяемый в зависимости от скорости ветра u (м/с) и
отношения у/x по значению
аргумента ty:
ty= uy2/x2=1,6·1002/1002 =
1,6=1/(1+5 ty+12,8 ty2+17 ty3+45,1 ty4)2 = 6,03 
10-6
су=6,03
10-6·0,07
7. Определение границ санитарно-защитной зоны с
учетом местных метеорологических условий
В соответствии с санитарной классификацией
промышленных предприятий, производств и объектов, согласно [9] выбирается
размер СЗЗ для классов опасности:
I-1000 м;
IV-100 м;м;
V-50 м.
III - 300 м;
Металлическая пыль относится к III
классу опасности, следовательно, l0
= 300 м
С учетом местной розы ветров размеры ССЗ
необходимо скорректировать ее по формуле
где 
- расчетный размер СЗЗ, м;

- повторяемость направлений ветров
одного румба при круговой розе ветров, Р0 = 100/8=12,5%;
Р - среднегодовая повторяемость
направлений ветров рассматриваемого румба для данной местности, %, определяем
по [4].
Результаты заносим в таблицу 9
Корректировка размеров СЗЗ с учетом
направления ветра
Таблица 9
|
Румбы
|
С
|
СВ
|
В
|
ЮВ
|
Ю
|
ЮЗ
|
З
|
СЗ
|
|
Р
|
9
|
10
|
11
|
11
|
33
|
15
|
7
|
4
|
|
Р0
|
12,5
|
|
Р/
Р0
|
0,72
|
0,8
|
0,88
|
0,88
|
2,64
|
1,2
|
0,56
|
0,32
|
|
L0
|
300
|
|
l
|
216
|
240
|
264
|
264
|
792
|
360
|
168
|
96
|
Рис. 6. Роза ветров г.Томск
Заключение
Современная цивилизация осуществляет невиданное
давление на природу. Загрязнение воздушной среды промышленными выбросами
оказывает вредное действие на людей, животных, растения, почву, здания и
сооружения, снижает прозрачность атмосферы, повышает влажность воздуха,
увеличивает число дней с туманами, уменьшает видимость, вызывает коррозию
металлических изделий.
Большую опасность для здоровья представляет пыль
промышленных предприятий, содержащая главным образом металлические частицы.
Так, в пыли медеплавильных заводов содержится окись железа, сера, кварц,
мышьяк, сурьма, висмут, свинец или их соединения.
В последние годы стали появляться фотохимические
туманы, возникающие из-за воздействия интенсивной ультрафиолетовой радиации на
выхлопные газы машин. Исследование атмосферы позволило установить, что воздух и
на высоте 11 км загрязнен выбросами промышленных предприятий.
Увеличение масштабов загрязнения атмосферы
требуют быстрых и эффективных способов защиты её от загрязнения, а также
способов предупреждения вредного воздействия загрязнителей воздуха. Атмосфера
может содержать определённое количество загрязнителя без проявления вредного
воздействия, т.к. происходит естественный процесс её очистки.
Первым шагом в установлении вредного
воздействия, связанного с загрязнением воздуха, является разработка критерия
качества воздуха, а также стандартов качества.
Как правило, на промышленных предприятиях
используются процессы или устройства для газоочистки и пылеулавливания, чтобы
уменьшить или предотвратить величину выброса. Процессы газоочистки могут также
разрушить или менять его химические или физические свойства так, что он
становится менее опасным.
Другим подходом к улучшению состояния атмосферы
является требование применения передовых технологических процессов, замена
вредных материалов безвредными, применение мокрых способов обработки сырья
вместо сухих.
Стандарты качества определяют уровни качества
воздуха и предельно допустимые выбросы (ПДВ), которые необходимо выдерживать
для обеспечения безопасности жизни.
В ходе выполнения курсового проекта я
запроектировал аппаратно - технологическую схему очистки запыленного воздуха,
который поступает от заточного станка. Схема включает в себя местный отсос -
вытяжной зонт, который собирает запыленный воздух, пылеосадительную камеру
размером 10х2х1 м и электрофильтр УГ 1-2-10. Далее очищенный воздух по
рассчитанным воздуховодам с помощью вентилятора ВР 280-46-2,9 направляется
наружу, где выброс находится на высоте 2м. Концентрация пыли при выбросе не
превышает предельно-допустимого значения.
По методике ОНД-80 определил поля концентраций,
а также границы санитарно-защитной зоны.
выброс
очистка газ дымосос
Список использованной литературы
. ГОСТ 12.1.005-88* Общие
санитарно-гигиенические требования к воздуху рабочей зоны.
2. Н.Ф. Тищенко. Охрана
атмосферного воздуха. Расчет содержаний вредных веществ и их распределение в
воздухе. Справочник. М. Химия, 1991г
. Внутренние
санитарно-технические устройства, ч.3. Вентиляция и кондиционирование воздуха.
Справочник проектировщика/Под ред. Староверова Н.Г.-М.: Стройиздат, 2000г
. СНиП 23.01-99. Строительная
климатология. Госстрой России. М.-2000г
. СЭП СП 2.2.1.1312-03
Гигиенические требования к проектированию вновь строящихся и регистрируемых
промышленных предприятий.
. Методика расчета
концентраций в атмосферном воздухе вредных веществ, содержащихся в выбросах
предприятий/ОНД-86.- Л.: Госкомгидромет, 1987.-57 с.
. Справочник по пыле- и
золоулавливанию/ С74 М. И. Биргер, А. Ю. Вальдберг, Б. И. Мягков и др.; Под
общ. ред. А. А. Русанова. - 2-е изд., пе- рераб. и доп. - М.: Энергоатомиздат,
1983.- 312 с., ил..
. Белевицкий А. М.
Проектирование газоочистительных сооружений.- Л.: Химия, 1990. - 288 с.: ил..
. Аспирация и очистка
промышленных выбросов и сбросов: методические указания по курсу «машины и
агрегаты предприятий строительных материалов»/ Пономарев В.Б, Замураев А.Е.
Екатеринбург: ГОУ ВПО УГТУ-УПИ, 2007. 44 с.
. Квашнин И.М. Промышленные
выбросы в атмосферу. Инженерные расчеты и инвентаризация.
. Проектирование аппаратов
пылегазоочистки. /Зиганшин М.Г., Колесник А.А., Посохин В.Н. / М.: “Экопресс -
ЗМ”, 1998 - 505 с., с иллюстрациями.
Приложение 1
|
Х
|
Ф(Х),
%
|
Ф(-Х),
%
|
Х
|
Ф(Х),
%
|
Ф(-Х),
%
|
Ф(Х),
%
|
Ф(-Х),
%
|
|
0
|
50
|
50
|
0,72
|
76,42
|
23,58
|
1,44
|
92,51
|
7,49
|
|
0,02
|
50,8
|
49,20
|
0,74
|
77,03
|
22,97
|
1,46
|
92,79
|
7,21
|
|
0,04
|
51,6
|
48,40
|
0,76
|
77,64
|
22,36
|
1,48
|
93,06
|
6,94
|
|
0,06
|
52,39
|
47,61
|
0,78
|
78,23
|
21,77
|
1,50
|
93,32
|
6,68
|
|
0,08
|
53,19
|
46,81
|
0,80
|
78,81
|
21,19
|
1,52
|
93,57
|
6,43
|
|
0,10
|
53,98
|
46,02
|
0,82
|
79,39
|
20,61
|
1,54
|
93,82
|
6,18
|
|
0,12
|
54,78
|
45,22
|
0,84
|
79,95
|
20,05
|
1,56
|
94,06
|
5,94
|
|
0,14
|
55,57
|
44,43
|
0,86
|
80,51
|
19,49
|
1,58
|
94,29
|
5,71
|
|
0,16
|
56,36
|
43,64
|
0,88
|
81,06
|
18,94
|
1,60
|
94,52
|
5,48
|
|
0,18
|
57,14
|
42,86
|
0,90
|
81,59
|
18,41
|
1,62
|
94,74
|
5,26
|
|
0,20
|
57,93
|
42,07
|
0,92
|
82,12
|
17,88
|
1,64
|
94,95
|
5,05
|
|
0,22
|
58,71
|
41,29
|
0,94
|
82,64
|
17,36
|
1,66
|
95,15
|
4,85
|
|
0,24
|
59,48
|
40,52
|
0,96
|
83,15
|
16,85
|
1,68
|
95,35
|
4,65
|
|
0,26
|
60,26
|
39,74
|
0,98
|
83,65
|
16,35
|
1,70
|
95,54
|
4,46
|
|
0,28
|
61,03
|
38,97
|
1,00
|
84,13
|
15,87
|
1,72
|
95,73
|
4,27
|
|
0,30
|
61,79
|
38,21
|
1,02
|
84,61
|
15,59
|
1,74
|
95,91
|
4,09
|
|
0,32
|
62,55
|
37,45
|
1,04
|
85,08
|
14,92
|
1,76
|
96,08
|
3,92
|
|
0,34
|
63,31
|
36,69
|
1,06
|
85,54
|
14,46
|
1,78
|
96,25
|
3,75
|
|
0,36
|
64,06
|
35,94
|
1,08
|
85,99
|
14,01
|
1,80
|
96,41
|
3,59
|
|
0,38
|
64,80
|
35,20
|
1,10
|
86,43
|
13,57
|
1,82
|
96,56
|
3,44
|
|
0,40
|
65,54
|
34,46
|
1,12
|
86,86
|
13,14
|
1,84
|
96,71
|
3,29
|
|
0,42
|
66,28
|
33,72
|
1,14
|
87,29
|
12,71
|
1,86
|
96,86
|
3,14
|
|
0,44
|
67,00
|
33,00
|
1,16
|
87,70
|
12,30
|
1,88
|
96,99
|
3,01
|
|
0,46
|
67,72
|
32,28
|
1,18
|
88,10
|
11,90
|
1,90
|
97,13
|
2,87
|
|
0,48
|
68,44
|
31,56
|
1,20
|
88,49
|
11,51
|
1,92
|
97,26
|
2,74
|
|
0,50
|
69,15
|
30,85
|
1,22
|
88,88
|
11,12
|
1,94
|
97,38
|
2,62
|
|
0,52
|
69,85
|
30,15
|
1,24
|
89,25
|
10,75
|
1,96
|
97,50
|
2,5
|
|
0,54
|
70,54
|
29,46
|
1,26
|
89,62
|
10,38
|
1,98
|
97,61
|
2,39
|
|
0,56
|
71,23
|
28,77
|
1,28
|
89,97
|
10,03
|
2,00
|
97,72
|
2,28
|
|
0,58
|
71,90
|
28,10
|
1,30
|
90,32
|
9,68
|
2,10
|
98,21
|
1,79
|
|
0,60
|
72,57
|
27,43
|
1,32
|
90,66
|
9,34
|
2,20
|
98,61
|
1,39
|
|
0,62
|
73,24
|
26,76
|
1,34
|
90,99
|
9,01
|
2,30
|
98,93
|
1,07
|
|
0,64
|
73,89
|
26,11
|
1,36
|
91,31
|
8,69
|
2,40
|
99,18
|
0,82
|
|
0,66
|
74,54
|
25,46
|
1,38
|
91,62
|
8,38
|
2,50
|
99,38
|
0,62
|
|
0,68
|
75,17
|
25,83
|
1,40
|
91,92
|
8,08
|
2,60
|
99,53
|
0,57
|
|
0,70
|
75,80
|
25,20
|
1,42
|
92,22
|
7,78
|
2,70
|
99,65
|
0,35
.
|
Приложение 2