Динамические характеристики манипулятора МП-9С

  • Вид работы:
    Курсовая работа (т)
  • Предмет:
    Другое
  • Язык:
    Русский
    ,
    Формат файла:
    MS Word
    2,02 Мб
  • Опубликовано:
    2012-07-22
Вы можете узнать стоимость помощи в написании студенческой работы.
Помощь в написании работы, которую точно примут!

Динамические характеристики манипулятора МП-9С

ВВЕДЕНИЕ

Пневматические приводы получили широкое применение при автоматизации производственных процессов в общем машиностроении и станкостроении, в транспортном и полиграфическом машиностроении, в литейном и кузнечном производстве.

Пневмо устройства используют в качестве приводов зажимных и транспортирующих механизмов. В первом случае привод называется силовым и используется, например, в робототехнике в схватах манипуляторов, во втором случае привод называется кинематическим. По сравнению с другими индивидуальными приводами широкое применение пневмоприводов объясняется такими их преимуществами как, надёжность функционирования, простота конструкции, сравнительная лёгкость их эксплуатации и ремонта. Они относительно дёшевы и являются гибким средством при автоматизации производственных процессов, обеспечивая воспроизведение поступательного движения без каких-либо передаточных механизмов.

Минусы связаны с ограничениями по создаваемым технологическим силам.

В кузнечно-штамповочном производстве пневматические приводы работают с высокими скоростями и при этом должны обеспечивать высокую точность позиционирования.

Целью работы является исследование динамических характеристик манипулятора МП-9С. Для достижения этой цели необходимо решить следующие основные задачи:

разработать структуру пневмопривода;

разработать алгоритм расчета и проектирования пневмопривода;

провести моделирование манипулятора МП-9С.

1. ПАТЕНТНО - ИНФОРМАЦИОННОЕ ИССЛЕДОВАНИЕ

Патентно-информационное исследование предназначено для поиска источников информации (патенты, авторские свидетельства, описание рационализаторских предложений и другой технической информации).

Предметом патентно-информационного поиска может быть конструкция технологического оборудования, система управления технологическим оборудованием, все виды оснастки, а также разнообразные способы, ведущие к увеличению эффективности технологического процесса, и т.д.

Патентные исследования были проведены на сайте "Российских патентов и товарных знаков": #"553475.files/image001.gif">

Рис. 2.1 Пневмопривод манипулятора.

Сжатый воздух через входной штуцер 1, запорный вентиль 2, регулятор давления 3 с манометром 4, влагоотделитель 5 и маслораспылитель 6 поступает к соответствующим распределительным устройствам. Маслораспылитель обеспечивает распыление в потоке сжатого воздуха масла, необходимого для смазки трущихся элементов исполнительных двигателей и распределителей.

Блок распределения сжатого воздуха включает в себя устройства, с помощью которых по заданной программе можно выполнять открытие или закрытие доступа сжатого воздуха в рабочие полости исполнительных двигателей. В роботе МП-9С используются распределители клапанного типа с электроуправлением нормально закрытые. На каждое движение ИУ в роботе установлен автономный электроклапан 7.

Исполнительные двигатели поворота 8, подъема 9 и выдвижения 10 представляют собой цилиндры с прямолинейным движением поршня одно- или двустороннего действия. На каждую степень подвижности предусматривается исполнительный двигатель, конструкция которого обеспечивает заданные линейные перемещения, скорости и усилия. Захватное устройство 11 также имеет двигатель 12.

Торможение двигателей ИУ при подходе к конечному положению осуществляется гидравлическими демпферами при выдвижении 13 и повороте 14, при подъеме или опускании за счет дросселирования сжатого воздуха на входе и выходе из цилиндра 9.

Рис. 2.2 схема подключения ПЛК-100 и робота МП-9С.

Технические характеристики ПЛК100.

Основные технические характеристики, характеристики входных сигналов и характеристики встроенных выходных элементов контроллера ПЛК100 приведены в таблицах 2.1, 2.2, 2.3.

Таблица 2.1 Основные технические характеристики контроллера ПЛК100


Таблица 2.2 Характеристики входных сигналов


Таблица 2.3 Характеристики встроенных выходных элементов



3. Разработка алгоритма расчета пневмопривода

Одним из важных вопросов, решаемых при проектировании пневмоприводов (особенно приводов перемещения) является гашение скорости к концу хода. Это обеспечивается применением резиновых прокладок или пружин, воспринимающих удар в конце хода поршня, или повышением давления в полости противодавления так же в конце хода. Но применение прокладок и пружин приводит к снижению точности позиционирования заготовки из-за отскока поршня и связанных с ним масс при упругом ударе. Поэтому в быстродействующих приводах для гашения скорости используют метод повышения давления, который может быть осуществлен двумя способами:

• использованием тормозных золотников;

• использованием дроссельных устройств (внутренних тормозных устройств).

На рис. 3.1 представлена обобщенная структурная схема привода, которая включает силовой цилиндр и аппаратуру управления.

Рис.3.1 Структурная схема пневмопривода (1 - цилиндр; 2 - конечный выключатель; 3 - дроссель; 4 - воздухораспределитель; 5 - глушитель; 6 - маслораспылитель; 7 - манометр; 8 - регулятор давления; 9 - маслораспылитель; 10 - кран; 11 - тормозной золотник).

Высокая производительность автоматизированного кузнечно-штамповочного оборудования предъявляет повышенные требования к быстродействию приводов. Поэтому применяемые методы приближенных расчетов времени цикла не всегда удовлетворяют требования заказчика. Кроме того, на точность расчета оказывает влияние и достоверность сведений о фактических размерах и массах подвижных частей.

Для анализа динамики привода с учетом фактических физических характеристик деталей пневмоцилиндра были использование параметрические 3D-модели деталей, примеры которых приведены на рис.3.2. Разработка параметрических моделей деталей тормоза основывалась на известных методиках проектировочных и проверочных расчетов деталей. Также использовались эмпирические зависимости, полученные на основании анализа существующих конструкций пневматических цилиндров, на базе которых были созданы 3D модели деталей и сборочного узла.

Рис.3.2 Параметрические 3D-модели деталей "поршень" (а) и "шток" (б)

Алгоритм расчёта и проектирования пневмопривода включает следующие модули:

• Модуль "формирование исходных данных" (разработка системы объекта; уточнение структуры элементов объекта в соответствии с обобщенной скелетной схемой, показанной на рис.3.3. и определение взаимосвязи между элементами структуры объекта создание необходимой базы данных стандартных элементов).

• Модуль " расчёт конструктивных параметров" (определение расчётного диаметра цилиндра, расчёт размеров трубопроводов и проходных сечений отверстий подводящей и выхлопной магистралей)

• Модуль " динамические расчёты" (определение параметров движения, давления в рабочей полости и полости подпора, сил активного сопротивления, составляющих времени цикла и построение графиков переходных процессов)

• Модуль " формирование исходных данных для создания рабочих чертежей" (в редактор переменных рабочих чертежей и сборочного узла передаются уточненные параметры системы пневмопривода, а также уточненная схема привода)

Рис.3.3. Обобщенная скелетная схема системы управления приводом

При разработке математической модели были использованы следующие зависимости:

. Основным параметром исполнительного устройства привода является диаметр силового цилиндра, который либо задается проектантом, либо определяется в соответствии с практическими рекомендациями:

 (3.1),

где  - нагрузка, приведенная к штоку поршня; - конструктивный параметр, соответствующий работе привода в оптимальном режиме; - давление воздуха в наполнительной магистрали.

. Диаметр проходного сечения трубопроводов также либо задается проектантом, либо рассчитывается с учетом принятых ограничений по скорости перемещения выходного звена исполнительного u1084 механизма и времени движения:

(3.2),

где - коэффициент расхода, принимаемый на этапе предварительных расчетов равным 0,25-0,30; - скорость движения подвижных частей, определяемая из выражения:

 (3.3),

где - коэффициент, учитывающий условия разгона и торможения; - рабочий ход поршня; - ограничение по времени, обусловленное частотой ходов кузнечно-штамповочной машины. По размеру проходного сечения подбирается конкретная модель элементов аппаратуры управления.

. Динамические расчёты проводят с использованием уравнений теплового баланса в рабочей полости и полости подпора и обобщенного уравнения движения.

 (3.4),

где - значение текущего давления в рабочей полости; -показатель адиабаты; - начальный объем рабочей полости;  - активная площадь поршня со стороны рабочей полости; - газовая постоянная; - температура воздуха в рабочей полости; - скорость движения подвижных частей; - принятый шаг приращения времени при вычислительных процессах; - текущая координата положения поршня; - расход воздуха, поступающего в рабочую полость.

 (3.5),

где - значение текущего давления в полости подпора; - начальный объем полости подпора; - активная площадь поршня со стороны полости подпора; - расход воздуха, выходящего из полости подпора; - температура воздуха в полости подпора.

 (3.6),

 (3.7),

 (3.8),

Где  - приведенная жесткость механизма возврата одностороннего пневмопривода; - тяговое усилие; - суммарное значение сил трения в уплотнениях; - масса подвижных частей, приведенная к штоку.

Обобщённое уравнение движения применяется как для одностороннего так и для цилиндров двухстороннего действия. В первом случае будет отсутствовать слагаемое, соответствующее давлению в полости подпора. Во втором случае будет отсутствовать пружина, а следовательно .

Время хода поршня определяется по формуле:

 (3.9),

где - время срабатывания аппаратуры управления, определяемое паспортными u1076 данными; - время распространения волны давления от распределителя до рабочей полости; - время подъема давления до величины, достаточной для преодоления сил статического сопротивления; - время движения поршня; - время заключительного периода, соответствующее подъему давления до заданного значения (определяется только для силовых пневмоприводов).

. для времени наполнения:


2. для времени движения:

. для времени заключительного периода:

На основе предложенного алгоритма и математических моделей была разработана программа на языке Си++, позволяющая моделировать динамические процессы в пневмоприводе. На рис.3.4 представлены графики переходных процессов, происходящих в приводе.

Рис.3.4 Графики переходных процессов

4. Моделирование пневмопривода

Технико-экономическая эффективность использования РТК в машиностроении прямо зависит от оптимальных структур РТК и нахождения рациональных областей их применения. Технико-экономические показателя РТК можно оценить одним из трех возможных способов:

·              проведением реального эксперимента с конкретным РТК в производственных условиях;

·              использованием накопленного опыта эксплуатации подобных РТК и прогнозированием технико-экономических показателей вновь создаваемых комплексов;

·              построение модели РТК, связывающие зависимые переменные с независимыми, и оценка параметров модели. Если модель можно описать с достаточной точностью системой небольшого числа уравнений, то можно применить аналитические методы. Если же это невозможно, то приходится использовать численный анализ или имитацию.

Метод имитационного моделирования.

Имитация - это "численный метод проведения на вычислительных машинах с математическими моделями, описывающими поведение сложным систем в течение продолжительных периодов времени" . Принципиальное отличие имитационного эксперимента от реального заключается в том, что в процессе имитации эксперимент проводится не с самой системой, а с ее моделью. Целесообразность применения имитационного моделирования роботов как в составе РТК, так и отдельно, определяется следующими причинами:

·              решение задачи аналитическими методами либо невозможно, либо крайне сложно;

·              кроме получения средних значений выходных переменных необходимо наблюдение за их изменением в течении некоторого промежутка времени;

·              с помощью метода имитационного моделирования могут быть построены модели, отражающие большую совокупность элементов рассматриваемой системы;

·              имитационное моделирование свободно от ограничений, присущих аналитическим методам;

·              на имитационной модели можно провести эксперименты, которые на реальном объекте по ряду причин провести невозможно;

·              имитационное моделирование позволяет проводить долговременные эксперименты путем сжатия временной шкалы;

·              результаты имитационного моделирования наглядны и легко интерпретируемы;

·              имитация поведения объекта дает представление о том, какие переменные системы наиболее существенны и как они взаимодействия, практические еще до создания самого объекта.

Далее рассматривается построением имитационной модели дискретно-позиционной системы управления робота. Разработка модели дискретно-позиционного управления. Сущность дискретно-позиционного управления роботом, как было отмечено ранее, сводится к следующему:

·              сигнал с аналогового датчика, "пропорциональный" текущей координате (позиции) нахождения рабочего органа робота, через определенный промежуток времени (период опроса) поступает на устройство сравнения;

·              устройство сравнения сигналов производит анализ рассогласования поступившего сигнала (текущей координаты) со значением конечной точки позиционирования (конечной координаты);

·              если рассогласование значительно (выше разрешающей способности устройства сравнения), то на исполнительный орган робота (привод) выдается управляющий сигнал, направленный на ликвидацию рассогласования двух величин - т.е. на перемещение рабочего органа в сторону конечной координаты; по прошествии времени, равному периоду дискретизации, последовательность повторяется;

·              если рассогласование не значительно (не регистрируется устройством сравнения), то сигнал на перемещение рабочего органа не выдается, а управление передается следующему контуру (например, управляющему движением по другой степени свободы).

Помимо указанных сигналов с системе существует и общий сигнал управление, отвечающий за включение робота. Общая схема-модель системы управления показана на рис. 4.1.

Рис. 4.1 - Схема-модель дискретно-позиционной системы управления движе-нием рабочего органа робота по i-ой степени свободы

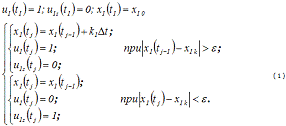
Рассмотренную схему работы можно описать и математически: Тогда уравнения движений рабочего органа по 1-ой координате x1(t), и сигналов управления u1(t) и u1s(t) будут выглядеть следующим образом:


где t1, tj, tj-1 - значение дискретного времени в первый, текущий и предыдущий мо-менты соответственно; Δt - период опроса датчика; u1(tj), u1s(tj) - значения управляющих сигналов внутри системы управления пер-вой степенью свободы и между 1-ой и s-ой, соответственно; x1(t1), x1(tj-1), x1(tj) - положение рабочего органа робота в соответствующие моменты времени; x1 0, x1 k - начальное положение рабочего органа робота и терминальная точка позиционирования; ε- точность измерения (точность сравнения); k1 - скорость перемещения рабочего органа по 1-ой степени подвижности. Первые уравнения описывают начальное состояние системы, а последующие - поведение системы во времени в зависимости о показаний позиционного датчика. Описание системы имитационного моделирования Simulink. Система имитационного моделирования Simulink является компонентом интегрированной среды инженерных расчетов MatLab компании The MathWorks. Simulink сочетает в себе наглядность аналоговых машин и точность цифровых вычислительных машин. Simulink обеспечивает пользователю доступ ко всем возмож-ностям пакета MatLab, в том числе к большой библиотеке численных методов.

Рис. 4.2 - Дерево библиотек Simulink

При моделировании с использованием Simulink реализуется принцип визуального программирования1, в соответствии с которым, пользователь на экране из библиотеки стандартных блоков создает модель устройства и осуществляет расчеты. На рис. 4.2 показано дерево стандартных библиотек системы Simulink, а также некоторые пакеты расширения. Simulink обеспечивают интерактивную среду для моделирования, при этом поведение модели и результаты ее функционирования отображаются в процессе работы, и существует возможность изменять параметры модели даже в тот момент, когда она выполняется. Simulink позволяет создавать собственные блоки и библиотеки блоков с доступом из программ на MatLab, Fortran или C, связывать блоки с разработанными ранее программами на Fortran и C, содержащими уже проверенные модели. Этапы построения модели в системе Simulink. Перед построением модели необходимо предварительно загрузить систему Matlab и запустить подсистему Simulink. В том и другом случае откроется окно Simulink Library Browser (система просмотра библиотек Simulink), изображённое на рис. 4.2. В верхней части этого окна две крайние левые кнопки служат, соответственно, для создания новой и открытия существующей модели. После нажатия левой кнопки на экране появится окно для построения новой модели (рис. 4.3,а).

Рис. 4.3 - Рабочие окна подсистемы Simulink при создании модели

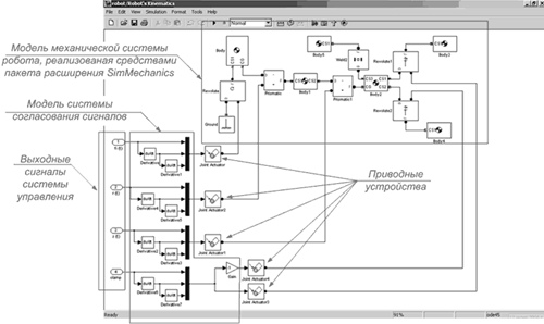
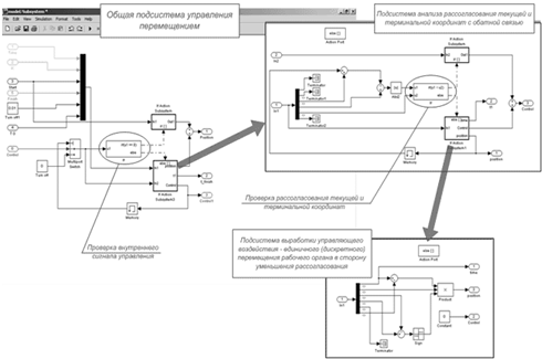
Процесс построения модели Simulink включает в себя компоновку модели и задание необходимых параметров. Компоновка заключается в выборе из библиотек Simulink необходимых блоков, их размещение в открывшемся окне (рис. 4.3,б) и соединение между собой (рис. 4.3,г). Далее для каждого блока устанавливаются соответствующие параметры (рис. 4.3,в), отвечающие требованиям моделируемой системы. Для того, чтобы построить модель Simulink, необходимо знать, какие типы блоков предоставляются пользователю. Процедура поиска и перемещения блоков из библиотек Simulink в окно модели во многом напоминает операции копирования и перемещения файлов в среде Windows. Для этого в окне Simulink Library Browser необходимо выбрать пункт Simulink, затем выбрать соответствующий пункт в открывшемся списке библиотек и раскрыть его. Для перемещения курсор мышки устанавливается на нужный блок. Затем, нажав и удерживая левую клавишу мышки на нужном блоке, переместить его в окно модели. После того, как блок появился в окне построения модели, можно установить для него соответствующие параметры. Для реализации функциональных зависимостей (4.1) и ряда вспомогательных функций потребуется ряд стандартных системных блоков. Для повышения наглядности модели сложные функциональные зависимости целесообразно объединять в отдельные подсистемы (Subsystems). В результате можно добиться того, что имитационная модель системы управления будет иметь вид сходный циклограммой работы робота. Для создания механической системы робота воспользуемся пакетом расширения Simulink - SimMechanics. В виду того, что в данной работе рассматривается только модель системы управления, подробное описание остальных систем робота не приводится. Рассмотрим же более подробно порядок создания имитационной модели дискретно-позиционной системы управления робота. Разработка имитационной модели дискретно-позиционной системы управления робота в системе Simulink. Структура модели. Для повышения наглядности модели целесообразно выделить следующие составляющие компоненты системы управления:

·              параметры робота (включая систему управления) - скорость перемещения рабочих органов по каждой координате; точность позиционирования; период опроса датчиков;

·              анализирующие и сравнивающие устройства - элементы проверки рассогласования сигналов и пр.;

·              элементы формирования управляющих команд;

·              подсистема "приводов" - исполнительных элементов робота, реализующих перемещение рабочих органов по соответствующей координате;

·              общее время моделирования;

·              рабочие сигналы и зависимости - временные зависимости xi(t), ui(t) и uis(t). Таким образом реализация модели представленной на рис. 4.1 и описываемую уравнениями 4.1, укрупнено можно представить в виде имитационной модели, показанной на рис. 4.4.

Рис. 4.4 - Укрупненная имитационная модель системы управления перемещением из точки start в точку finish по одной координате

Исходными параметрами данной модели являются:

·              дискретное время t, реализуемой парой блоков Clock и Zero-Order Hold;

·              скорость перемещения рабочего органа по одной из координат (в данном случае скорость поворота руки робота по координате φ - K_fi);

·              начальное положение рабочего органа start;

·              время начала движения T start;

·              терминальная точка перемещения рабочего органа finish;

·              сигнал управления (включения) - Start Signal.

На выходе подсистемы управления имеются три сигнала:

·              функциональная зависимость координаты рабочего органа во времени xi(t) - Position;

·              время достижения рабочим органом терминальной точки - t_finish;

·              сигнал управления (включения) последующими перемещениями uis(t) (в т.ч. и по другим координатам) - Control1.

Рис. 4.5 - Временные зависимости φ(t) (вверху) и u(t) (внизу) - результаты моделирования

Результат моделирования работы системы управления поворотом руки робота из исходной позиции (φstart = 0) на угол 60° (φfinish = 60°) представлен на рис. 4.5. Здесь вверху показана зависимость угла поворота руки робота φ(t), а внизу сигнал управления (включения) u(t) следующих перемещений рабочих органов робота. Нетрудно заметить, что поворот руки робота осуществляется не непрерывно, а дискретно, причем вдоль линии K_fi · t, до ближайшей дискретной точки из диапазона [φfinish ± ε]. По достижении рабочим органом терминальной точки, сигнал управления следующими контурами меняется с 0 на +1. Рассмотрим более подробно структуру подсистемы управления Subsystem. Входные сигналы (кроме сигнала управления) объединяются мультиплексором и подаются на вход функциональной подсистемы анализа рассогласования текущей и терминальной координат. Сигнал управления же поступает на устройство сравнения, анализирующее включение или выключение процедуры опроса датчика и пр. Если сигнал равен +1, то работа передается следующей подсистеме. Если же сигнал равен нулю, то никаких изменений в системе не происходит.

Рис. 4.6 - Декомпозиция подсистемы управления

В подсистеме более низкого уровня входной общий канал разъединяется с помощью демультеплексора и значение текущей и терминальной координат подаются на вход сумматора, осуществляющего вычисление рассогласования двух величин. Если величина рассогласования превышает разрешающую способность системы (задаваемую как Error), то дальнейшее действие передается подсистеме нижнего уровня иерархии, если же - нет, то это означает что рабочий орган находится в терминальной точке, дальнейшее его перемещение не требуется, и поэтому вырабатывается внутренний сигнал управление на прекращение движение, а сигнал управления внешними контурами меняется 0 на +1. В подсистеме нижнего уровня иерархии вырабатывается значение единичного перемещения рабочего органа (|Δx|=K·ΔT) в сторону уменьшения рассогласования сигналов, это значение передается в подсистему, стоящую выше по иерархии, где это значение добавляется к текущей координате рабочего органа (реализовано в виде положительно обратной связи). Дополнительно в подсистеме нижнего уровня иерархии записывается текущее время работы подсистемы, в последствии оно будет свидетельствовать о времени окончании такта движения рабочего органа в терминальную точку.

Рис. 4.7 - Кинематическая схема манипулятора МП-9С.01: 1,2,3 - степени подвижности; 4 - схват.

Таким образом, полный цикл работы робота может быть смоделирован последовательным соединением блоков - подсистем управления. Продемонстрируем это на примере использования робота мод. МП-9С.01 (рис. 4.7) в качестве передаточного устройства. В этом случае робот служит для передачи заготовки (например вала) с одного конвейера на другой. Цикл работы может быть описан следующим образом. Из исходной позиции рука робота поворачивается на 90° влево к первому передаточному устройству (конвейеру). Далее рука выдвигается, при этом заготовка попадает между схватов робота. Происходит захват заготовки и ее подъем (перемещение руки в вертикальном направлении). Далее рука поворачивается на 180° в противоположную сторону ко второму передаточному устройству (конвейеру). Рука опускает заготовку, после чего схваты разжимаются. Рука задвигается и поворачивается в исходное положение. Тактовая циклограмма описанной работы представлена на рис. 4.8.

Рис. 4.8 - Тактовая циклограмма работы робота

Имитационная модель системы управления движением рабочих органов робота, соответствующая представленной выше циклограммы показана на рис. 4.9. Нетрудно заметить, что расположение блоков подсистем управления перемещениями сходно с расположением характерных точек на циклограмме тактовой циклограмме (рис. 4.8).

Рис. 4.9 - Имитационная модель системы управления роботом

Результаты моделирования имеют вид временной циклограммы работы, при этом по оси ординат откладывается значение координаты перемещения вдоль той или иной степени подвижности (рис. 4.10).

Рис. 4.10 - Результат моделирования системы управления

Для подтверждения объективности разработанной модели дополнительно в системе Simulink была полная имитационная модель робота, включающая помимо системы управление еще и механическую систему и устройство согласования сигналов (рис. 4.11). Результаты моделирования имеют вид временной циклограммы работы, при этом по оси ординат откладывается значение координаты перемещения вдоль той или иной степени подвижности (рис. 4.10).

Результат моделирования представляет собой анимационную картину цикла работы робота, фрагмент которой показан на рис. 4.12.

Рис. 4.11 - Дополнение имитационной модели механической системой и устройством согласования сигналов

Рис. 4.12 - Фрагмент анимационной картины цикла работы робота

ЗАКЛЮЧЕНИЕ

В выпускной квалификационной работе (ВКР) в соответствии с заданием проведено исследование динамических характеристик манипулятора МП-9С. В работе был проведен патентно-информационный поиск, определена структура пневмопривода, разработан алгоритм расчета и проектирования пневмопривода и проведено моделирование пневмопривода.

СПИСОК ИСПОЛЬЗУЕМОЙ ЛИТЕРАТУРЫ

1.       Герц Е.В., Крейнин Г.В. Динамика пневматическх приводов машин-автоматов. М.: Машиностроение, 1964. 235 с.

.        Смирнов А.М., Автоматизация проектирования и моделирование работы средств автоматизации кузнечно-штамповочных машин и комплексов // "Кузнечно-штамповочное производство" 1993, №4 с.30-33.

.        Ицкович Э.Л. Особенности микропроцессорных программно-технических комплексов разных фирм и их выбор для конкретных объектов // Приборы и системы управления. 1997. № 8. С. 1 - 5.

.        Технологический контроллер моноблочный ТКМ52: Руководство по эксплуатации. ДАРЦ.421243.000.РЭ. М.: АО "ТЕКОН", 1999.

.        Многофункциональный контроллер МФК: Руководство по эксплуатации. ДАРЦ.420002.001.РЭ.v. 2.0. М.: АО "ТЕКОН".

.        МИКРОКОНТ-Р2 - семейство программно-технических средств для реализации распределенных АСУ ТП. Модуль центрального процессора CPU-320DS: Руководство по эксплуатации. EKHT 656 126.067 РЭ. Иваново: НПО "Системотехника".

.        МИКРОКОНТ-Р2 - семейство программно-технических средств для реализации распределенных АСУ ТП. Модуль процессора CPU104: Руководство по эксплуатации. EKHT.656 126.072 РЭ. Иваново:НПО "Системотехника".

.        Аристова Н.И., Корнеева А.И. Промышленные программно-аппаратные средства на отечественном рынке АСУТП. М.: ООО Издательство "Научтехлитиздат", 2001. 402 с.

.        Контроллер для распределенных открытых систем КРОСС: Руководство по эксплуатации ЯЛ-БИ.421457.018 РЭ. ОАО "ЗЭиМ".

.        Плескач Н.В., Бородулин В.А., Иванов А.А., Беляев С.В. Контроллер для распределенных открытых систем КРОСС // Промышленные АСУ и контроллеры. 2001. № 4.

.        Гордон A. M., Сергеев А. П., Смоленцев В. П. и др. Автоматизированное проектирование технологических процессов. Воронеж; ВГУ, 1986. 196 с.

.        Челищев Б. Е., Боброва И. В., Гонсалес-Сабатер А. Автоматизация проектирования технологии в машиностроении. М.: Машиностроение, 1987. 264 с.

13.     Тетерин Г. П., Полухин П. И. Основы оптимизации и автоматизации проектирования технологических процессов горячей объемной штамповки. М.: Машиностроение, 1979. 284 с.

14.     Тетерин Г. П., Алиев Ч. А. Система автоматизированного проектирования технологии горячей объемной штамповки. М.: Машиностроение, 1987. 222 с.

.        Аникин А. Д. Автоматизация проектирования штампов для холодной листовой штамповки. Л.: Машиностроение, 1986. 192 с.

.        Григорьев Л. Л. Автоматизированное проектирование в холодной листовой штамповке. Л.: Машиностроение, 1984. 280 с.

.        Баранчукова И. М., Гусев А. А., Крамаренко Ю. Б. и др. Проектирование технологии. М.: Машиностроение. 1990. 416 с.

.        Медведев В. А., Вороненко В. П., Брюханов В. Н. и др. Технологические основы гибких производственных систем. М.: Высш. шк., 2000. 255 с.

.        Никифоров А. Д., Ковшов А. Н., Назаров Ю. Ф. Процессы управления объектами машиностроения. М.: Высш. шк., 2001. 455 с.

.        Герц Е.В., Крейнин Г. В. Расчет пневмоприводов. - М.: Машиностроение, 1975. - 272 с.

.        Анашкин, А. С. Техническое и программное обеспечение распределенных систем управления / А.С. Анашкин, Э.Д. Кадыров, В.Г. Харазов; под ред. В.Г. Харазова. - СПб.: "П-2", 2004. - 368 с. ISBN 5-93893-274-2.

.        Коростелев, В.Ф. Учебное пособие по дипломному проектированию для студентов специальности 220301 - Автоматизация технологических процессов и производств / В.Ф. Коростелев, Н.Г Рассказчиков, А.Н. Кирилина.: Владим. гос. ун-т. - Владимир: Изд-во Владим. гос. ун-та, 2009. - 136с. - ISBN 978-5-89368-987-7.

Похожие работы на - Динамические характеристики манипулятора МП-9С

 

Не нашли материал для своей работы?
Поможем написать уникальную работу
Без плагиата!
Без нейросетей!